微分方程例题
- 格式:docx
- 大小:209.97 KB
- 文档页数:8
微分方程例题选解1. 求解微分方程3ln (ln )0,|2x e x xdy y x dx y =+-==。
解:原方程化为x y x x dx dy 1ln 1=+, 通解为 ⎰+⎰⎰=-]1[ln 1ln 1C dx e xe y dx x x dx x x⎰+=]ln [ln 1C dx x x x ]ln 21[ln 12C x x += 由e x =,23=y ,得1=C ,所求特解为 11ln ln 2y x x =+。
2. 求解微分方程22'0x y xy y -+=。
解:令ux y =,u x u y '+=',原方程化为 2u u u x u -='+,分离变量得 dx x udu 12=-, 积分得C x u+=ln 1, 原方程的通解为 ln xy x C=+。
3. 求解微分方程dy y y x dx xy x )()(3223+=-。
解:此题为全微分方程。
下面利用“凑微分”的方法求解。
原方程化为 03223=---dy y ydy x dx xy dx x , 由 dy y ydy x dx xy dx x 3223---42222441)(2141dy dy x dx y dx -+-=)2(414224y y x x d --=, 得 0)2(4224=--y y x x d ,原方程的通解为 C y y x x =--42242。
注:此题也为齐次方程。
4. 求解微分方程2''1(')y y =+。
解:设y p '=,则dx dp y ='',原方程化为21p dxdp+=, 分离变量得dx p dp=+21,积分得 1arctan C x p +=,于是 )tan(1C x p y +==', 积分得通解为 12ln cos()y x C C =-++。
5. 求解微分方程''2'20y y y -+=。
二阶非线性微分方程求解例题例:求y ′ ′ + y = c o s 2 x + 2 s i n x 的通解例:求y''+y= cos{2x}+2sinx 的通解例:求y′′+y=cos2x+2sinx的通解解:∵β 1 ̸= β 2 解:\because \beta_1ot= \beta_2 解:∵β1=β2∴将方程式y ′ ′ + y = c o s 2 x + 2 s i n x \therefore 将方程式 y''+y= cos{2x}+2sinx ∴将方程式y′′+y=cos2x+2sinx拆成y ′ ′ + y = c o s 2 x 与y ′ ′ + y = 2 s i n x 两个二阶常系数非齐次微分方程。
拆成y''+y= cos{2x} 与 y''+y=2sinx两个二阶常系数非齐次微分方程。
拆成y′′+y=cos2x与y′′+y=2sinx两个二阶常系数非齐次微分方程。
⇒其特征方程 r 2 = 1 = 0 的根为 ± i \Rightarrow 其特征方程r^2=1=0的根为\pm i ⇒其特征方程r2=1=0的根为±i易知:y ′ ′ + y = 0 的通解为: Y = C 1 c o s x + C 2 s i n x 易知:y''+y= 0的通解为:Y=C_1cosx+C_2sinx 易知:y′′+y=0的通解为:Y=C1cosx+C2sinx1 ) 1) 1) y ′ ′ + y = c o s2 x y''+y= cos{2x} y′′+y=cos2x⇒ α = 0 ; β = 2 ; s = m a x [ m , n ] = 0 \Rightarrow \alpha=0; \beta=2; s=max[m,n]=0 ⇒α=0;β=2;s=max[m,n]=0∵ α ± β i = ± 2 i 不是特征方程的根 \because \alpha \pm \beta i=\pm2i不是特征方程的根∵α±βi=±2i不是特征方程的根∴令 : y ∗ = a 0 c o s 2 β + b 0 s i n 2 β \therefore令 :y*=a_0cos2\beta+b_0sin2\beta ∴令:y∗=a0cos2β+b0sin2βy ∗ ′ = − 2 a 0 s i n 2 β + 2 b 0 c o s 2 β y*'=-2a_0sin2\beta+2b_0cos2\beta y∗′=−2a0sin2β+2b0cos2βy ∗ ′ ′ = − 4 a 0 c o s 2 β − 4 b 0 s i n 2 β y*''=-4a_0cos2\beta-4b_0sin2\beta y∗′′=−4a0cos2β−4b0sin2β⇒将 y ∗ , y ∗ ′ , y ∗ ′ ′ 代入原方程求解得: a 0 = 1 3 ; b 0 = 0 \Rightarrow 将y*,y*',y*'' 代入原方程求解得:a_0=\frac{1}{3}; b_0=0 ⇒将y∗,y∗′,y∗′′代入原方程求解得:a0=31;b0=0∴ y ∗ = 1 3 c o s 2 x \therefore y*=\frac{1}{3}cos{2x}∴y∗=31cos2x2 ) y ′ ′ + y = 2 s i n x 2) y''+y= 2sinx 2)y′′+y=2sinx⇒ α = 0 ; β = 1 ; s = m a x [ m , n ] = 0 \Rightarrow \alpha=0; \beta=1; s=max[m,n]=0 ⇒α=0;β=1;s=max[m,n]=0∵ α ± β i = ± i 是特征方程的一对单共轭复根\because \alpha \pm \beta i=\pm i是特征方程的一对单共轭复根∵α±βi=±i是特征方程的一对单共轭复根∴令 : y ∗ = x ( a 1 c o s β + b 1 s i n β ) \therefore令 :y*=x(a_1cos\beta+b_1sin\beta) ∴令:y∗=x(a1cosβ+b1sinβ)⇒将 y ∗ , y ∗ ′ , y ∗ ′ ′ 代入原方程求解得:a 0 = − 1 ; b 0 = 0 \Rightarrow 将y*,y*',y*'' 代入原方程求解得: a_0=-1; b_0=0 ⇒将y∗,y∗′,y∗′′代入原方程求解得:a0=−1;b0=0∴ y ∗ = − x c o s x \therefore y*=-xcosx ∴y∗=−xc osx综上:y ′ ′ + y = c o s 2 x + 2 s i n x 的通解为综上:y''+y= cos{2x}+2sinx 的通解为综上:y′′+y=cos2x+2sinx的通解为y = C 1 c o s x + C 2 s i n x + 1 3 c o s 2 x + − x c o s x y= C_1cosx+C_2sinx+\frac{1}{3}cos{2x}+-xcosx y=C1cosx+C2 sinx+31cos2x+−xcosx。
rlc电路微分方程例题全文共四篇示例,供读者参考第一篇示例:RLC电路是一种常见的电路类型,由电阻(R)、电感(L)、电容(C)三种元件组成。
在电路中,产生电压和电流的关系可以用微分方程表示。
本文将为大家介绍关于RLC电路的微分方程例题,希望能帮助大家加深对此知识的理解。
假设我们有一个串联RLC电路,电阻的阻值为R欧姆,电感的电感值为L亨利,电容的电容值为C法拉。
当电路中的电压源为E(t)伏特时,可以通过基尔霍夫定律建立电路的微分方程。
根据基尔霍夫定律,在电路中,电压源E(t)等于电阻、电感和电容元件上的电压之和。
电阻上的电压可以表示为IR,电感上的电压可以表示为L(di/dt),电容上的电压可以表示为Q/C,其中Q为电容器上的电荷。
根据电压和电流的关系可以得到以下方程:E(t) = IR + L(di/dt) + Q/CI为电流强度,di/dt为电流的变化率,Q为电容器上的电荷。
我们知道电流等于电荷的导数,即I = dQ/dt,根据此关系可以对方程进行求导整理得到:对上式做微分运算,可以得到RLC电路的微分方程:这个微分方程描述了RLC电路中电荷Q随时间的变化情况。
通过解这个微分方程,我们可以得到电荷Q随时间的具体变化规律,从而了解电路中电流的行为。
下面我们通过一个具体的例题来演示如何解决RLC电路的微分方程。
假设一个串联RLC电路中,电阻R = 2欧姆,电感L = 1亨利,电容C = 0.5法拉,电压源为E(t) = 6sin(2t)伏特。
我们需要求解电路中电荷Q随时间的变化情况。
根据上述微分方程,我们有:带入已知的数值,得到:这是一个二阶常系数非齐次线性微分方程。
我们可以通过常数变易法或者拉普拉斯变换等方法进行求解。
在这里,我们选择通过试解法来求解该微分方程。
假设Q(t) = A cos(2t) + B sin(2t)是微分方程的一个特解,代入原方程,整理后可得到:Q(t) = -2.4sin(2t) + 0.224cos(2t) + (6/5)sin(2t)电路中电荷Q随时间的变化规律可表示为:通过上述例题的求解过程,我们可以看到如何使用微分方程求解RLC电路中电荷的变化情况。
全微分方程例题范文微分方程是数学中的一个重要概念,用来描述变化的规律和过程。
全微分方程是微分方程的一个特殊类型,表示一个函数在所有变量上的微分。
在这个问题中,我们将讨论一些全微分方程的例题。
例1:求解方程 dy = (2x + y)dx + (3y + x)dy解:根据方程的形式,我们可以将其写为(3y + x)dy - (2x + y)dx = 0这是一个全微分方程,我们可以使用全微分的性质来求解它。
我们可以将方程重写为(3y + x)dy + (-2x - y)dx = 0然后我们将方程两边同时除以 dx,得到(3y + x)dy/dx + (-2x - y) = 0然后我们可以将方程重新排列,得到dy/dx = (2x + y)/(3y + x)这是一个可分离变量的微分方程,我们可以对其进行分离变量,得到(3y + x)dy = (2x + y)dx然后我们可以积分两边,得到∫(3y + x)dy = ∫(2x + y)dx计算左边的积分,得到3/2y^2 + xy = ∫(2x + y)dx + C计算右边的积分,得到3/2y^2 + xy = x^2 + xy + C将等式两边的 xy 相消,得到3/2y^2=x^2+C这就是方程的通解。
例2:求解方程 dV = (V - t)dt解:根据方程的形式,我们可以将其写为(V - t)dt - dV = 0这是一个全微分方程,我们可以使用全微分的性质来求解它。
我们可以将方程重写为(V - t)dt + (-1)dV = 0然后我们将方程两边同时除以 dt,得到(V - t) + (-1)dV/dt = 0然后我们可以将方程重新排列,得到dV/dt = t - V这是一个线性微分方程,我们可以使用积分因子的方法来求解它。
首先我们需要找到方程的积分因子。
我们可以使用常数变易法来寻找积分因子,假设积分因子为e^k。
将方程乘以积分因子,得到e^k dV/dt - e^kV = te^k然后我们可以将方程两边同时除以e^k,得到dV/dt - Ve^k = te^k这是一个可以通过常数变易法求解的线性微分方程。
常微分方程1 .( 05,4 分)微分方程xy 2yxln x 满足y(1)22x y)= x ln x.2 .( 06,4 分) 微分方程 y= y(1 x)的通解为 ———— x分析:这是可变量分离的一阶方程,分离变量得dy( 11)dx.积分得 ln y ln x x C 1,即 y e C1xe x yxy Cxe x, 其中C 为任意常数 .(二)奇次方程与伯努利方程1 .( 97,2,5 分) 求微分方程 (3x2 2xy y 2)dx (x 22xy)dy 0的通解解:所给方程是奇次方程 . 令 y=xu, 则 dy=xdu+udx. 代入原方程得 3 ( 1+u- u 2) dx+x(1-2 u) du=0. 分离变量得1-2u2 du 3dx, 1uu x积分得 ln 1 u u 2 3ln x C 1,即 1 u u 2=Cx 3. 以 u y代入得通解 x 2xy y 2.xx( y x 2y 2)dx xdy 0(x 0),2 .(99,2,7 分 ) 求初值问题 的解 .y x1 0分析:这是一阶线性微分方程原方程变形为 . dy +2y dx x 2 dx lnx, 两边乘 e x=x 得积分得y(1)x 2y=C+ x 2 ln xdx C 1 ln xdx 3 3 1 11 得 C 0 y xln x x.9 39 C 1 x 3 ln x 3 13 x. 9 1 的解解:所给方程是齐次方程 (因 dx, dy 的系数 (y+ x 2 y 2)与 (-x)都是一次齐次函数)令 dy xdu udx,带入得x(u 1 u 2dx x( xdu udx) 0, 化简得 12u 2dx xdu 0.分离变量得dx- du=0. x 1 u 2积分得 ln x ln(u 1 u 2) C 1,即 u 1 u 2Cx. 以 u y代入原方程通解为y+ x 2 y 2 Cx 2.x 再代入初始条件 y x 1 0,得 C=1.故所求解为 y+x 2y2x 2,或写成y 12 (x 2 1).(三)全微分方程 练习题(94,1,9 分)设 f ( x)具有二阶连续导数, f (0) 0, f (0) 1,且 [xy(x+y)- f(x)y]dx+[ f (x)+x 2y]dy=0为一全微分方程,求 f(x)以及全微分方程的通解先用凑微分法求左端微分式的原函数:122 122( y dx x dy ) 2( ydx xdy ) yd (2sin x cos x) (2sin x cos x)dy 0, 22 122d [ x y 2xy y (cos x 2sin x)] 0. 2其通解为 1x 2y 2 2xy y (cos x 2sin x) C.4.( 98,3分) 已知函数y y(x)在任意点x 处的增量 y= y2 x ,当 x0时 ,1x是 x 的高阶无穷小,y(0)= ,则 y(1)等于 ( )解:由全微分方程的条件,有 即 x22xy f (x) f (x)y因而 f (x)是初值问题y x 2[xy(x y) f(x)y] y 2xy, 亦即 f (x) f (x) x 2.2yx的解,从而解得0, y x 0 12.22[ f (x) xy], x 2sin x cosx)dy 0.(A)2 .(B) .(C)e 4 .(D) e 4 .分析:由可微定义,得微分方程 y y. 分离变量得21x1y dx2,两边同时积分得 ln y arctan x C ,即 y Ce arctanx.y1x代入初始条件y(0) ,得 C= ,于是 y(x) earctanx,由此, y(1) e 4.应选 ( D)二、二阶微分方程的可降阶类型5( . 00,3分) 微分方程 x y 3y 0的通解为分析:这是二阶微分方程的一个可降阶类型,令 y =P( x),则 y =P ,方程可化为一阶线性方程xP 3P 0,标准形式为 P+3P=0,两边乘 x 3得 (Px 3) =0. 通解为 y P C 30 .xx再积分得所求通解为 y C 22C 1.x216 .( 02,3分)微分方程 yy y 2=0满足初始条件y x 01, y x 0 2的特解是分析:这是二阶的可降阶微分方程 .令 y P(y)(以 y 为自变量 ),则 y dy dP P dP.dx dx dy代入方程得 yP dP +P 2=0,即 y dP+P=0(或 P=0, ,但其不满足初始条件y x 0 1)dy dy2分离变量得 dP dy 0,PyC积分得 ln P +ln y =C ,即 P= 1(P=0对应 C 1=0); y11由 x 0时 y 1, P=y , 得 C 1 ,于是221 y P ,2 ydy dx, 积分得 y x C 2 2y .又由 y x 0 1 得 C 2. 1,所求特解为 y 1 x.三、二阶线性微分方程(一)二阶线性微分方程解的性质与通解结构7 .( 01,3分)设 y e x(C 1sin xC 2cosx)(C 1,C 2为任意常数 )为某二阶常系数线性齐次微分方程的通解,则该方程为 ___ .r1,r2 1 i,从而得知特征方程为分析一:由通解的形式可得特征方程的两个根是22(r r1 )(r r2) r (r1 r2 )r r1r2 r 2r 2 0.由此,所求微分方程为y 2y 2y 0.分析二:根本不去管它所求的微分方程是什么类型(只要是二阶),由通解y e x(C1sinx C2 cosx)求得y e x[( C1 C2 )sin x (C1 C2)cos x], y e x( 2C2 sin x 2C1 cos x),从这三个式子消去C1与C2,得y 2y 2y 0.(二)求解二阶线性常系数非齐次方程9.( 07,4分) 二阶常系数非齐次线性微分方程y 4y 3y 2e2x的通解为y=分析:特征方程24 3 ( 1)( 3) 0的根为1, 3.非齐次项 e x, 2不是特征根,非齐次方程有特解y Ae2x.代入方程得(4A 8A 3A)e2x2e2x A 2.因此,通解为y C1e x C2e3x2e2x..10.(10,10分 )求微分方程y 3y 2y 2xe x的通解.分析:这是求二阶线性常系数非齐次方程的通解.1由相应的特征方程2 3 2 0, 得特征根 1 1, 2 2 相应的齐次方程的通解为y C1e x C2e2x.2非齐次项 f ( x) 2xe x , 1是单特征根,故设原方程的特解xy x(ax b)e .代入原方程得ax2 (4a b)x 2a 2b 3[ax2 (2a b)x b] 2(ax2 bx) 2x,即 2ax 2a b 2x, a 1,b 2.3原方程的通解为y C1e x C2e2x x(x 2)e x,其中 C1,C2为两个任意常数.04, 2, 4分)微分方程y y x2 1 sin x的特解形式可设为( )22(A)y ax bx c x(Asin x B cosx).(B)y x(ax bx c Asin x B cos x).22(C)y ax bx c Asin x.(D )y ax bx c Acosx.分析:相应的二阶线性齐次方程的特征方程是2 1 0,特征根为i .y y x2 1L()与 1 y y sin xL( 2)方程 (1) 有特解 y ax2 bx c,方程(2)的非齐次项 f (x) e x sin x sin x( 0, 1,i 是特征根), 它有特解y x(Asin x B cosx).y ax2 bx c x(Asin x Bbcosx).应选 (A).(四)二阶线性变系数方程与欧拉方程12.(04, 4分 )欧拉方程x2 d2y 4x dy 2y 0(x 0)的通解为dx dx分析:建立 y 对 t 的导数与y 对 x 的导数之间的关系 .222dy dy dx dyd y d y 2 dy 2 d y dy( sin x), 2 2 sin t cost (1 x ) 2 x .dt dx dt dx dt dx dx dx dxd 2y于是原方程化为 2 y 0,其通解为 y C 1 cost C 2sint.dt 2 回到 x 为自变量得 y C 1x C 2 1 x 2.x由 y (0) C 2 1 C 2 1.y(0) C 1x 02 C 1 2.1 x 2因此 特解为 y 2x 1 x 2 .四、高于二阶的线性常系数齐次方程13.( 08, 4分)在下列微分方程中,以 y C 1e xC 2cos2x C 3 sin 2x(C 1, C 2, C 3为任意常数)为通 解的是()(A)y y 4y 4y 0.(B)y y 4y 4y 0. (C)y y 4y 4y 0.(D ) y y 4y 4y 0.分析:从通解的结构知,三阶线性常系数齐次方程相应的三个特征根是: 1, 2i(i 1),对 应的特征方程是 ( 1)( 2i)( 2i) ( 1)( 24) 3244 0,因此所求的微分方程是 y y 4y 4y 0,选(D).(00,2,3分 ) 具有特解 y 1 e x , y 2 2xe x ,y 3 3e x的三阶常系数齐次线性微分方程是( )(A)y y y y 0.(B)y y y y 0. (C)y 6y 11y 6y 0.(D)y2y y 2y 0.分析:首先,由已知的三个特解可知特征方程的三个根为 r 1 r 21,r 3 1,从而特征方程为(1)求导数 f (x); (2)证明:当 x 0时 ,成立不等式 e分析:求解欧拉方程的方法是:作自变量22d y dy d y dy 2 (4 1) 2y 0,即 2 3 2y xe t(t l n x),将它化成常系数的情形: 0.1, 2 2, 通解为 yC 1e t C 2e 2t. y C 1 x C 22,其中C 1,C 2为任意常数(05,2,12分 )用变量代换 xcost (0 t)化简微分方程 (1 x 2)y xy y 0,并求其(r 1)2(r 1) 0,即r3r 2r 1 0,由此,微分方程为y y y y 0.应选(D).五、求解含变限积分的方程00, 2,8分) 函数y=f(x)在0, 上可导,f (0) 1,且满足等式1xf (x) f (x) 1 f (t)dt 0,x10f(x) 1.求解与证明()首先对恒等式变形后两边求导以便消去积分: 1x(x 1)f (x) (x 1)f(x) 0f (t)dt 0,(x 1)f (x)(x 2)f (x)0.在原方程中令变限 x 0得 f (0) f (0) 0,由 f (0) 1,得 f (0) 1.现降阶:令 u f (x),则有 u x 2u 0,解此一阶线性方程得x1x e f (x) u C eu 0x1 x e 由 f (0) 1,得 C 1,于是 f (x) e. x1xe (2)方法 1 用单调性 . 由f (x) e0(x 0), f (x)单调减 , f(x) f(0) 1(x );x1x 又设 (x) f (x) e x ,则 (x) f (x) e x x e x0(x 0), (x)单调增,因此 (x)x1 (0) 0(x 0),即 f(x) e x(x 0) . 综上所述,当 x 0时 ,e x f (x) 1.方法 2 用积分比较定理 . 由 牛顿 -莱布尼茨公式,有六、应用问题 (一)按导数的几何应用列方程 练习题 1 .( 96,1,7分)设对任意 x 0,曲线 y f(x)上点 (x, f(x))处的切线在 y 轴上的截距等于1 xf (t)dt,求 f ( x)的一般表达式 . x 0解:曲线 y f (x)上点 (x, f ( x))处的切线方程为 Y f ( x) f ( x)( X x).令 X 0得 y 轴上的截距 Y f(x) xf (x).由题意 1x1f(t)dt f(x) xf (x) x 0x, 得x 2f(t)dt xf (x) x 2f (x)( ) 恒等式两边求导,得 f (x) f (x) xf (x) 2xf (x) x 2f ( x),即 xf (x) f (x) 0 在 ( )式中令 x 0得 0 0,自然成立 . 故不必再加附加条件. 就是说f (x)是微分方程 xy y 0的通解 . 令 y P(x),则 y P ,解 xP P 0,得 y P C 1.xf ( x) f (0) x0 f (t)dt, f(x) t 由于 0 e t1从而有 e x e t (t 0),有 0 f (x) 1. 0t e t d t 1 dt . 1 x t e t dt x e (x再积分得 y f ( x) C1 ln x C2.12( . 98,2,8分) 设 y y(x)是一向上凸的连续曲线 ,其上任意一点 (x, y)处的曲率为 1,1 y 2y P tan( x).(二 )按定积分几何应用列方程3.(97,2,8分 )设曲线 L 的极坐标方程为 r r( ), M (r, )为 L 上任一点 ,M 0(2,0)为 L 上一定点 ,若极径 OM 0,OM 与曲线 L 所围成的曲边扇形面积值等于 L 上 M 0、 M 两点间弧长值的一半, 求曲线L 的方程 .且此曲线上点 (0,1)处的切线方程为 y x 1, 求该曲线的方程,并求函数 y y( x)的极值 .解:由题设和曲率公式有y( x)向上凸 , y 0, y令 y P(x),则 y P ,方程化为 y) ,化简得 y 12. yP1 P 21, dP 分离变量得 2 dx,积分得C 1.y (0) 1即 P(0) 1,代入可得 C 1,故再积分得 y ln cos( x) C 2 又由题设可知y(0)1,代入确定 C 2 11ln 2,1y ln cos( x) 1 ln 2x , 即当 4 2,3时 ,cos( x) 0, 而3 或 时, 44cos( x)y ln cos( 40,ln cos( x)1 x) 12 ln2( 4 x34 )显然,当 x 时 ,ln cos( x) 4410, y 取最大值 1 1ln 2,显然 y 在 (3),没有极小值解:由已知条件得r 2d r 2 r 2d , 2020 两边对 求导 ,,得 r 2 r 2 r (隐式微分方程)2 ,解出 r r r 2 1,从而, L 的直角坐标方程为 x m 3y 2.1 arccos r 分离变量,得 dr r r 2 dr r r 2 1 d 1 1 d( )1 r (r 1)2 arccos 1 , 或 r dr r r 2 1d tarccos 1(r sect ) 两边积分,得 代入初始条件 r(0) 2,得 1arccos 2 1arccos r3L 的极坐标方程为 1 r cos( ) 31 co s 3si。
微分方程例题范文微分方程是描述物理学、化学、经济学、生物学等领域中变化规律的重要数学工具。
下面我将给出几个微分方程的例题,解析其求解过程。
例题1:一般线性微分方程已知其中一种细菌种群的个体数量N(t)随时间t的变化符合以下微分方程:dN(t)/dt = k*N(t)其中k为常数。
求解该微分方程,并给出其通解。
解析:思路:这是一个一阶线性微分方程,可以使用分离变量法进行求解。
将方程进行分离变量:dN(t)/N(t) = k*dt两边同时积分:∫ (1/N(t)) dN(t) = ∫ k dt得到:ln,N(t), = kt + C1其中C1为常数。
对上式两边取指数:N(t), = e^(kt+C1) = e^C1 * e^kt = C * e^kt其中C=e^C1为常数。
由于细菌数量N(t)永远为正数,所以可以去掉绝对值符号,得到通解:N(t) = C * e^kt其中C为常数。
例题2:二阶常系数齐次线性微分方程已知其中一振动系统满足以下微分方程:d²x(t)/dt² + 4dx(t)/dt + 5x(t) = 0求解该微分方程,并给出其通解。
解析:思路:这是一个二阶常系数齐次线性微分方程,可以使用特征根法进行求解。
将方程转化为特征方程:λ²+4λ+5=0求解特征方程的解,得到特征根:λ₁=(-4+√(-4²-4*5))/2=-2+iλ₂=(-4-√(-4²-4*5))/2=-2-i特征根为复数,分别为共轭复数对。
根据特征根的性质,解的形式为:x(t) = e^(-2t) (C₁cos(t) + C₂sin(t))其中C₁、C₂为常数。
例题3:二阶常系数非齐次线性微分方程已知其中一电路中的电流I(t)满足以下微分方程:d²I(t)/dt² + 3dI(t)/dt + 2I(t) = 6e²求解该微分方程,并给出其通解。
全微分方程例题范文微分方程是数学中非常重要的一个分支,它研究的是含有一个或多个未知函数及其偏导数的方程,利用微分方程可以描述自然界中许多现象和规律。
全微分方程是微分方程的一种特殊形式,它可以直接通过对方程两边同时求微分的方法求解,而不需要利用积分。
本文将通过具体的例题来介绍全微分方程的求解方法。
例题1:求解方程dy = x^2 dx对于这个方程,我们可以直接对方程两边同时进行微分,得到d²y = 2x dx,再次对方程两边同时进行微分,得到d³y = 2 dx。
我们可以不断进行微分得到更高阶的微分,直到无法进行微分为止。
这样,我们就可以直接求解出原方程,得到y = (2/3)x^3 + C1x + C2,其中C1和C2为任意常数。
例题2:求解方程(1 + x) dy = (1 - y) dx对于这个方程,我们可以将其改写为dy/(1-y) = dx/(1+x),然后对方程两边同时进行积分。
对于左边,我们可以利用换元法,令u = 1-y,那么du = -dy,将其带入方程,得到-du/u = dx/(1+x),同时对方程两边进行积分,得到-ln,u, = ln,1+x, + C,再次利用指数函数的性质,得到,u, = ,1+x,^C,其中C为常数。
将u = 1-y代入方程,得到,1-y, = ,1+x,^C,然后再等式两边取平方,得到(1-y)² = (1+x)²^C,即(1-y)² = (1+x)²C。
可以通过对方程两边同时开根号,得到1-y =(1+x)^C,然后分两种情况进行讨论,当C = 0时,方程变为y = 1,当C ≠ 0时,方程可以写为y = 1 - (1+x)^(-C)。
例题3:求解方程ydx - xdy = 0对于这个方程,我们可以将其改写为ydx = xdy,然后对方程两边同时进行积分。
对于左边,我们可以将其写为y/x dx = dy,然后对方程两边进行积分,得到∫(y/x) dx = ∫dy,即∫(y/x) dx = y = ∫dy = y +C,其中C为常数。
全微分方程例题
1. 求解微分方程dy/dx = 2x + 3y,且y(0) = 1。
解:因为dy/dx = 2x + 3y是一个一阶线性微分方程,可化为dy/dx - 3y = 2x,然后使用常系数齐次方程的解法得到通解为y = Ce^(3x) - (2/3)x - (1/9)。
将y(0) = 1代入可得C = 10/9,所以特解为y =
(10/9)e^(3x) - (2/3)x - (1/9)。
2. 求解微分方程(x^2 + y^2)dx - 2xydy = 0,且y(1) = 2。
解:将方程变形为(x^2 + y^2)dx = 2xydy,然后对两边同时求积分
得到x^3/3 + xy^2/2 = C,其中C为积分常数。
代入y(1) = 2可得C = 11/6,所以通解为x^3/3 + xy^2/2 = 11/6。
3. 求解微分方程dy/dx = e^(-x^2),且y(0) = 1。
解:因为dy/dx = e^(-x^2)不是一个线性微分方程,所以不能使用
常系数齐次方程的解法。
但是,我们可以利用求导的逆运算——积分来解
决它。
对两边同时积分得到y = ∫e^(-x^2)dx + C,其中C为积分常数。
但是,e^(-x^2)的不定积分无法用初等函数表示,因此这个方程的解是无
法用解析表达式表示的。
我们只能使用数值方法或者级数方法来近似求解。
如使用泰勒展开把积分函数近似为多项式形式,然后求和得到级数解。
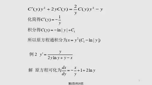
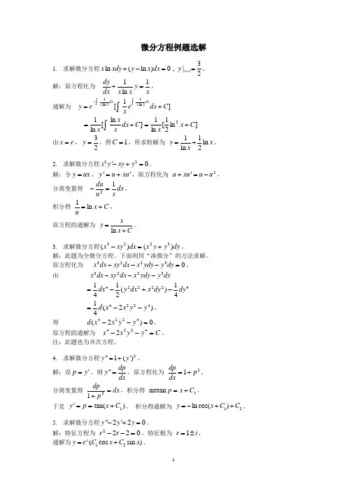
微分方程例题选解3 1. 求解微分方程 x ln xdy ( y ln x)dx 0 , y |x e。
2解:原方程化为dy1 y1dx,xln xx1 dx 1 e 1dxy eC ] 通解为x ln x[ xln xdxx1 [ ln xdx C ]1 [ 1ln 2 x C ]ln xxln x 2由 xe , y3 ,得 C1 ,所求特解为y11ln x 。
2ln x 22. 求解微分方程 x 2 y ' xy y20 。
解:令 y ux , y uxu ,原方程化为 uxuu u 2 ,分离变量得du 1dx ,1 u 2x积分得ln x C,ux原方程的通解为y。
ln x C3. 求解微分方程 ( x 3 xy 2 ) dx ( x 2 y y 3 )dy 。
解:此题为全微分方程。
下面利用“凑微分”的方法求解。
原方程化为 x 3dx xy 2 dx x 2 ydy y 3 dy 由x 3 dx xy 2 dx x 2 ydy y 3dy 1dx41( y 2 dx 2x 2 dy 2 )421d (x 4 2x 2 y 2 y 4 ) ,4 得d (x 4 2x 2 y 2y 4 ) 0 ,原方程的通解为x 42 x 2 y 2 y 4 C 。
注:此题也为齐次方程。
0 ,1 dy 444. 求解微分方程 y '' 1 ( y ') 2 。
解:设 py ,则 y dp,原方程化为 dp1 p2 ,dp dxdx分离变量得dx ,积分得 arctan px C 1 ,1 p2于是 yp tan(x C 1 ) , 积分得通解为yln cos(x C 1 ) C 2 。
5. 求解微分方程 解:特征方程为通解为 y e x (C 1y '' 2y ' 2 y 0 。
r 2 2r 2 0 ,特征根为 r1 i ,cos C 2 sin x) 。
典型例题1、判断下列一阶微分方程的类型并求其通解(1)0)41(2=+−dy x ydx ;(2).0cos )cos (=+−dy x yx dx x y y x ;(3)0)sin (=−+dx x y xdy ;(4)0)4(3=+−dx y y x xdy ;(5)ydy dx y xydy dx +=+2;(6)0)12(23=−+dy xy dx y ;(7).0324223=−+dy y x y dx y x (8)231dy x x ydx x++=−+2、求一阶微分方程的特解(1)求解微分方程x yx ydx dytan +=满足初始条件61π==x y 的特解.(2)求微分方程,0)ln (ln =−+dx x y xdy x 满足所给初始条件.1==e x y 的特解3、求下列微分方程的通解(1)求x y xe ′′′=的通解(2)02)1(222=−+dx dyx dx y d x (3)求方程02=′−′′y y y 的通解4、求下列微分方程的特解(1)求方程x e y x cos 2−=′′满足1)0(,0)0(=′=y y 的特解.(2)求微分方程初值问题:,2)1(2y x y x ′=′′+,10==x y 30=′=x y (3)求微分方程)(22y y y y ′−′=′′满足初始条件,1)0(=y 2)0(=′y 的特解.5、求下列微分方程的通解(1)440y y y ′′′++=(2)340y y y ′′′−−=(3)250y y y ′′′++=(4)(5)(4)220y y y y y y ′′′′′′+++++=(5)(4)250y y y ′′′′′−+=6、求方程12360y y y′′′−+=满足条件:01x y ==,00x y =′=的特解。
7、求解下列微分方程(1)求方程22y y y x ′′′−+=的一个特解。
(2)求方程2x y y y e ′′′−+=的一个特解。
以下是一个一阶非齐次微分方程的例题及其解法:
例题:解一阶非齐次微分方程 y' + 2y = e^x
解法:
首先,对于一阶非齐次线性微分方程,我们可以使用待定系数法来求解。
步骤如下:
1. 找到对应齐次方程的通解:对于方程 y' + 2y = 0,这是一个一阶线性齐次微分方程。
它的特征根为 r = -2。
因此,齐次方程的通解为 y_h = C*e^(-2x),其中 C 是常数。
2. 设非齐次方程的特解为 y_p。
为了找到特解,我们通常需要对非齐次项进行试探或猜测。
由于非齐次项是 e^x,我们可以猜测特解的形式为 y_p = Ax^m * e^x,其中 A 和 m 是待定系数。
将 y_p = Ax^m * e^x 代入原方程,得:
(Ax^m * e^x)' + 2(Ax^m * e^x) = e^x
=> A(x^m * e^x)' + 2Ax^m * e^x = e^x
=> Amx^(m-1) * e^x + 2Ax^m * e^x = e^x
比较等式两边的指数和系数,我们可以得到:
Am(m-1)x^(m-1) + 2Amx^m = 1
令 m = 1,可以简化上述方程。
于是,我们得到 A = 1/3。
所以,特解为 y_p = (1/3)x * e^x。
3. 最后,原方程的通解为 y = y_h + y_p = C*e^(-2x) + (1/3)x * e^x。
这就是一阶非齐次微分方程 y' + 2y = e^x 的解。
微分方程例题请问您需要什么类型的微分方程例题呢?以下是一些例题供您参考:1. 已知 $\frac{dy}{dx}+y=x$,且 $y(0)=1$,求 $y(x)$。
解:将 $\frac{dy}{dx}+y=x$ 化为 $\frac{dy}{dx}=x-y$,再利用一阶线性微分方程的通解公式 $y(x)=\mathrm{e}^{-\int1\mathrm{d}x}\left(\int\mathrm{e}^{\int1\mathrm{d}x}f(x)\mat hrm{d}x+C\right)$,其中 $f(x)=x$,则有。
$$。
y(x)=\mathrm{e}^{-x}\left(\int\mathrm{e}^{x}xf(x)\mathrm{d}x+C\right)=\mathrm{e}^{ -x}\left(\int\mathrm{e}^{x}x^2\mathrm{d}x+C\right)=\mathrm{e}^{-x}(x^2+x+C)。
$$。
代入 $y(0)=1$ 可得 $C=1$,因此 $y(x)=\mathrm{e}^{-x}(x^2+x+1)$。
2. 某物体的速度 $v$ 随时间 $t$ 的变化满足 $\frac{dv}{dt}=at-bv$,其中 $a$ 和 $b$ 为已知常数,且初始速度 $v_0=0$,求物体的速度 $v(t)$。
解:将 $\frac{dv}{dt}=at-bv$ 化为 $\frac{dv}{dt}+bv=at$,同样利用一阶线性微分方程的通解公式 $v(t)=\mathrm{e}^{-\intb\mathrm{d}t}\left(\int\mathrm{e}^{\intb\mathrm{d}t}f(t)\mathrm{d}t+C\right)$,其中 $f(t)=at$,则有。
$$。
v(t)=\mathrm{e}^{-bt}\left(\int\mathrm{e}^{bt}at\mathrm{d}t+C\right)=\mathrm{e}^{-bt}\left(\frac{a}{b}t^2+C_1t+C_2\right)。
全微分方程例题范文微分方程是数学中的一个重要分支,用来研究自然界中各种现象的变化规律。
全微分方程是微分方程中的一种特殊形式,它的解可以通过对方程进行求全微分的方式进行求解。
下面将通过几个例题来说明全微分方程的求解过程。
例1:求解全微分方程 dy = (x^2 + y^2)dx - 2xydy对于给定的方程 dy = (x^2 + y^2)dx - 2xydy,我们可以对其进行整理和分类,将 dx 和 dy 分别放在一边。
得到 dy + 2xydy = (x^2 +y^2)dx。
然后,我们对方程两边同时进行求微分操作。
左边的表达式是一个 y 的函数,右边的表达式是一个 x 的函数。
两边同时对 x 求偏导数,对 y 求偏导数。
得到 d^2y/dx^2 + 2y(dy/dx) = 2x + 2y(dy/dx)。
由于左边的表达式含有 d^2y/dx^2 和 dy/dx 两个项,右边只有 x 一个项,因此我们可以将右边的 x 去掉,这样方程就可以化简为d^2y/dx^2 = 2x。
接下来,我们将方程从微分形式转化为一个一阶微分方程。
对方程同时积分一次,得到 dy/dx = x^2 + C1,其中 C1 是一个常数。
再继续积分一次,得到y=(1/3)x^3+C1x+C2,其中C2是一个常数。
因此,原方程的通解为y=(1/3)x^3+C1x+C2,其中C1和C2是任意常数。
例2:求解全微分方程 dy = 2xydx + y^2dy对于给定的方程 dy = 2xydx + y^2dy,我们同样可以整理和分类,将 dx 和 dy 放在不同的一边。
得到 (1/y^2)dy = 2xdx + 1/ydx。
然后,我们对方程两边同时进行求微分操作。
左边的表达式是一个 y 的函数,右边的表达式是一个 x 的函数。
两边同时对 x 求偏导数,对 y 求偏导数。
得到 (d^2y/dx^2 - 2/y)(1/y) = 2 - 1/y。
1. 求下列微分方程的通解: (1)x e y dxdy -=+; 解 )()()(C x e C dx e e e C dx e e e y x x x x dx x dx +=+⋅=+⎰⋅⎰=-----⎰⎰.(2)xy '+y =x 2+3x +2;解 原方程变为xx y x y 231++=+'. ])23([11C dx e x x e y dx x dx x +⎰⋅++⎰=⎰- ])23([1])23([12C dx x x xC xdx x x x +++=+++=⎰⎰ xC x x C x x x x +++=+++=22331)22331(1223. (3)y '+y cos x =e -sin x ;解 )(cos sin cos C dx e e e y xdx x dx +⎰⋅⎰=⎰--)()(sin sin sin sin C x e C dx e e e x x x x +=+⋅=---⎰.(4)y '+y tan x =sin 2x ;解 )2sin (tan tan C dx e x e y xdx xdx +⎰⋅⎰=⎰-)2sin (cos ln cos ln C dx e x e x x +⋅=⎰- ⎰+⋅=)cos 1cos sin 2(cos C dx xx x x =cos x (-2cos x +C )=C cos x -2cos 2x .(5)(x 2-1)y '+2xy -cos x =0;解 原方程变形为1cos 1222-=-+'x x y x x y . )1cos (1221222C dx e x x e y dx x xdx x x +⎰⋅-⎰=⎰--- )(sin 11])1(1cos[112222C x x C dx x x x x +-=+-⋅--=⎰. (6)23=+ρθρd d ; 解 )2(33C d e e d d +⎰⋅⎰=⎰-θρθθ)2(33C d e e +=⎰-θθθ θθθ33332)32(--+=+=Ce C e e .(7)x xy dxdy 42=+; 解 )4(22C dx e x e y xdx xdx +⎰⋅⎰=⎰-)4(22C dx e x e x x +⋅=⎰-2222)2(x x x Ce C e e --+=+=.(8)y ln ydx +(x -ln y )dy =0;解 原方程变形为yx y y dy dx 1ln 1=+. )1(ln 1ln 1C dy e y e x dy y y dy y y +⎰⋅⎰=⎰- )ln 1(ln 1C ydy yy +⋅=⎰ yC y C y y ln ln 21)ln 21(ln 12+=+=. (9)3)2(2)2(-+=-x y dxdy x ; 解 原方程变形为2)2(221-=--x y x dx dy . ])2(2[21221C dx e x e y dx x dx x +⎰⋅-⎰=⎰--- ⎰+-⋅--=]21)2(2)[2(2C dx x x x =(x -2)[(x -2)2+C ]=(x -2)3+C (x -2). (10)02)6(2=+-y dxdy x y . 解 原方程变形为y x y dy dx 213-=-. ])21([33C dy e y e x dy y dy y +⎰⋅-⎰=⎰- )121(33C dy yy y +⋅-=⎰ 32321)21(Cy y C y y +=+=. 2. 求下列微分方程满足所给初始条件的特解: (1)x x y dxdy sec tan =-, y |x =0=0; 解 )sec (tan tan C dx e x e y xdx xdx +⎰⋅⎰=⎰-)(cos 1)cos sec (cos 1C x xC xdx x x +=+⋅=⎰. 由y |x =0=0, 得C =0, 故所求特解为y =x sec x . (2)xx x y dx dy sin =+, y |x =π=1; 解 )sin (11C dx e x x e y dx x dx x +⎰⋅⎰=⎰- )cos (1)sin (1C x xC xdx x x x +-=+⋅=⎰. 由y |x =π=1, 得C =π-1, 故所求特解为)cos 1(1x xy --=π. (3)x e x y dx dy cos 5cot =+, 4|2-==πx y ; 解 )5(cot cos cot C dx e e e y xdx x xdx +⎰⋅⎰=⎰- )5(sin 1)sin 5(sin 1cos cos C e xC xdx e x x x +-=+⋅=⎰. 由4|2-==πx y , 得C =1, 故所求特解为)15(sin 1cos +-=x e x y . (4)83=+y dxdy , y |x =0=2; 解 )8(33C dx e e y dx dx +⎰⋅⎰=⎰- x x x x x Ce C e e C dx e e 3333338)38()8(---+=+=+=⎰. 由y |x =0=2, 得32-=C , 故所求特解为)4(323x e y --=. (5)13232=-+y xx dx dy , y |x =1=0. 解 )1(32323232C dx e e y dx x x dx x x +⎰⋅⎰=⎰--- )21()1(2222113113C e e x C dx e x e x x x x x +=+=--⎰. 由y |x =1=0, 得eC 21-=, 故所求特解为)1(211132--=x e x y . 3. 求一曲线的方程, 这曲线通过原点, 并且它在点(x , y )处的切线斜率等于2x +y .解 由题意知y '=2x +y , 并且y |x =0=0.由通解公式得)2()2(C dx xe e C dx xe e y x x dx dx +=+⎰⎰=⎰⎰--=e x (-2xe -x -2e -x +C )=Ce x -2x -2.由y |x =0=0, 得C =2, 故所求曲线的方程为y =2(e x -x -1).4. 设有一质量为m 的质点作直线运动, 从速度等于零的时刻起, 有一个与运动方向一至、大小与时间成正比(比例系数为k 1)的力作用于它, 此外还受一与速度成正比(比例系数为k 2)的阻力作用. 求质点运动的速度与时间的函数关系.解 由牛顿定律F =ma , 得v k t k dtdv m 21-=, 即t m k v m k dt dv 12=+. 由通解公式得 )()(222211C dt e t m k e C dt e t m k ev t m k t m k dt m k dt m k +⋅=+⎰⋅⎰=⎰⎰-- )(22222121C e k m k te k k e t m kt m k t m k +-=-. 由题意, 当t =0时v =0, 于是得221k m k C =. 因此 )(22122121222k m k e k m k te k k e v t m k t m k t m k +-=- 即 )1(222121t k e k m k t k k v ---=. 5. 设有一个由电阻R =10Ω、电感L =2h(亨)和电源电压E =20sin5t V (伏)串联组成的电路. 开关K 合上后, 电路中有电源通过. 求电流i 与时间t 的函数关系.解 由回路电压定律知 01025sin 20=--i dt di t , 即t i dtdi 5sin 105=+. 由通解公式得t dt dt Ce t t C dt e t e i 5555cos 5sin )5sin 10(--+-=+⎰⋅⎰=⎰.因为当t =0时i =0, 所以C =1. 因此 )45sin(25cos 5sin 55π-+=+-=--t e e t t i t t (A).6. 设曲dy x x xf dx x yf L])(2[)(2-+⎰在右半平面(x >0)内与路径无关, 其中f (x )可导, 且f (1)=1, 求f (x ).解 因为当x >0时, 所给积分与路径无关, 所以])(2[)]([2x x xf xx yf y -∂∂=∂∂, 即 f (x )=2f (x )+2xf '(x )-2x ,或 1)(21)(=+'x f xx f . 因此 x C x C dx x x C dx e e x f dx dx +=+=+⎰⋅⎰=⎰⎰-32)(1)1()(11. 由f (1)=1可得31=C , 故x x x f 3132)(+=. 7. 求下列伯努利方程的通解: (1))sin (cos 2x x y y dxdy -=+; 解 原方程可变形为 x x ydx dy y sin cos 112-=+, 即x x y dx y d cos sin )(11-=---. ])cos sin ([1C dx e x x e y dx dx +⎰⋅-⎰=--⎰x Ce C dx e x x e x x x sin ])sin (cos [-=+-=⎰-, 原方程的通解为x Ce yx sin 1-=. (2)23xy xy dxdy =-; 解 原方程可变形为 x y x dxdy y =-1312, 即x xy dx y d -=+--113)(. ])([331C dx e x e y xdx xdx +⎰⋅-⎰=⎰-- )(222323C dx xe e x x +-=⎰- 31)31(222232323-=+-=--x x x Ce C e e , 原方程的通解为311223-=-x Ce y . (3)4)21(3131y x y dx dy -=+; 解 原方程可变形为)21(31131134x y dx dy y -=+, 即12)(33-=---x y dx y d . ])12([3C dx e x e y dx dx +⎰⋅-⎰=--⎰x x x Ce x C dx e x e +--=+-=⎰-12])12([, 原方程的通解为1213--=x Ce yx . (4)5xy y dxdy =-; 解 原方程可变形为 x ydx dy y =-4511, 即x y dx y d 44)(44-=+--. ])4([444C dx e x e y dx dx +⎰⋅-⎰=⎰--)4(44C dx xe e x +-=⎰- x Ce x 441-++-=, 原方程的通解为x Ce x y44411-++-=.(5)xdy -[y +xy 3(1+ln x )]dx =0.解 原方程可变形为 )ln 1(11123x yx dx dy y +=⋅-⋅, 即)ln 1(22)(22x y x dx y d +-=+--. ])ln 1(2[222C dx e x e y dx x dx x +⎰⋅+-⎰=⎰-- ])ln 1(2[122C dx x x x ++-=⎰x x x x C 94ln 322--=, 原方程的通解为x x x x Cy 94ln 32122--=. 8. 验证形如yf (xy )dx +xg (xy )dy =0的微分方程, 可经变量代换v =xy 化为可分离变量的方程, 并求其通解.解 原方程可变形为 )()(xy xg xy yf dx dy -=. 在代换v =xy 下原方程化为)()(22v g x v vf x v dx dv x -=-, 即 dx xdu v f v g v v g 1)]()([)(=-, 积分得 C x du v f v g v v g +=-⎰ln )]()([)(, 对上式求出积分后, 将v =xy 代回, 即得通解.9. 用适当的变量代换将下列方程化为可分离变量的方程, 然 后求出通解: (1)2)(y x dxdy +=; 解 令u =x +y , 则原方程化为 21u dx du =-, 即21ududx +=. 两边积分得x =arctan u +C .将u =x +y 代入上式得原方程的通解x =arctan(x +y )+C , 即y =-x +tan(x -C ). (2)11+-=yx dx dy ; 解 令u =x -y , 则原方程化为 111+=-udx du , 即dx =-udu . 两边积分得 1221C u x +-=. 将u =x +y 代入上式得原方程的通解 12)(21C y x x +--=, 即(x -y )2=-2x +C (C =2C 1). (3)xy '+y =y (ln x +ln y );解 令u =xy , 则原方程化为 u x u x u x udx du x x ln )1(2=+-, 即du uu dx x ln 11=. 两边积分得ln x +ln C =lnln u , 即u =e Cx .将u =xy 代入上式得原方程的通解xy =e Cx , 即Cx e xy 1=. (4)y '=y 2+2(sin x -1)y +sin 2x -2sin x -cos x +1;解 原方程变形为y '=(y +sin x -1)2-cos x .令u =y +sin x -1, 则原方程化为x u x dx du cos cos 2-=-, 即dx du u =21. 两边积分得 C x u+=-1. 将u =y +sin x -1代入上式得原方程的通解 C x x y +=-+-1sin 1, 即Cx x y +--=1sin 1.(5)y (xy +1)dx +x (1+xy +x 2y 2)dy =0 . 解 原方程变形为 )1()1(22y x xy x xy y dx dy +++-=. 令u =xy , 则原方程化为 )1()1(1u u x u u x u dx du x +++-=-, 即)1(1223u u x u dx du x ++=. 分离变量得 du uu u dx x )111(123++=. 两边积分得 u uu C x ln 121ln 21+--=+. 将u =xy 代入上式得原方程的通解 xy xyy x C x ln 121ln 221+--=+, 即 2x 2y 2ln y -2xy -1=Cx 2y 2(C =2C 1)。