江苏省盐城市滨海县2019-2020学年高一上学期期末数学试题
- 格式:docx
- 大小:707.15 KB
- 文档页数:21
江苏省盐城市滨海县陈涛中学2020年高一数学理期末试题含解析一、选择题:本大题共10小题,每小题5分,共50分。
在每小题给出的四个选项中,只有是一个符合题目要求的1. 计算其结果是()A.﹣1 B.1 C.﹣3 D.3参考答案:B【考点】对数的运算性质.【分析】根据对数的运算法则和指数幂的运算性质计算即可.【解答】解:原式=+﹣lg5+|lg2﹣1|=+﹣lg5﹣lg1+1=1,故选:B【点评】本题考查了对数的运算法则和指数幂的运算性质,属于基础题.2. 函数的部分图象如图所示,则函数表达式为()A. B.C. D.参考答案:D由图象可以看出,,则,将点代入中,得,,又函数表达式,故选D.3. 点P(4,﹣2)与圆x2+y2=4上任一点连线的中点轨迹方程是()A.(x﹣2)2+(y+1)2=1 B.(x﹣2)2+(y+1)2=4 C.(x+4)2+(y﹣2)2=1 D.(x+2)2+(y﹣1)2=1参考答案:A【考点】轨迹方程.【分析】设圆上任意一点为(x1,y1),中点为(x,y),则,由此能够轨迹方程.【解答】解:设圆上任意一点为(x1,y1),中点为(x,y),则代入x2+y2=4得(2x﹣4)2+(2y+2)2=4,化简得(x﹣2)2+(y+1)2=1.故选A.4. 如图,一个空间几何体的正视图、左视图、俯视图为全等的等腰直角三角形,如果直角三角形的直角边长为1,那么这个几何体的体积为()A.1 B.错误!未找到引用源。
C.D.错误!未找到引用源。
参考答案:D略5. 如图给出的是计算的一个程序框图,则判断框内应填入关于的不等式为().A.B.C.D.参考答案:B进行了次,第次结束时,,,此时输出,因此.选.6. 下列说法正确的是()A.截距相等的直线都可以用方程表示B.方程x+my﹣2=0(m∈R)不能表示平行y轴的直线C.经过点P(1,1),倾斜角为θ的直线方程为y﹣1=tanθ(x﹣1)D.经过两点P1(x1,y1),P2(x2,y2)(x1≠x2)的直线方程为参考答案:D【考点】命题的真假判断与应用.【分析】A,截距相等为0的直线都不可以用方程表示;B,当m=0时,方程x+my﹣2=0(m∈R)表示平行y轴的直线;C,倾斜角为θ=900的直线方程不能写成点斜式;D,x1≠x2,直线的斜率存在,可以用点斜式表示.【解答】解:对于A,截距相等为0的直线都不可以用方程表示,故错;对于B,当m=0时,方程x+my﹣2=0(m∈R)表示平行y轴的直线x=2,故错;对于C,经过点P(1,1),倾斜角为θ=900的直线方程不能写成y﹣1=tanθ(x﹣1),故错;对于D,∵x1≠x2,∴直线的斜率存在,可写成,故正确;故选:D.7. 已知直线l经过点,且倾斜角为45°,则直线l的方程为()A. B.C. D.参考答案:C【分析】根据倾斜角求得斜率,再根据点斜式写出直线方程,然后化为一般式.【详解】倾斜角为,斜率为,由点斜式得,即.故选C.【点睛】本小题主要考查倾斜角与斜率对应关系,考查直线的点斜式方程和一般式方程,属于基础题.8. 设a=log2,b=log3,c=()0.3,则()A.a<b<c B.a<c<b C.b<c<a D.b<a<c参考答案:D【考点】对数值大小的比较;分数指数幂.【分析】依据对数的性质,指数的性质,分别确定a、b、c数值的大小,然后判定选项.【解答】解:,并且,所以c >a >b 故选D .9. 在等差数列中,若,则的值为( )A .B .C .D .参考答案: A 解析:而成等差数列即10. 设,,,则的大小关系是 ( )A .B .C .D .参考答案:A二、 填空题:本大题共7小题,每小题4分,共28分11. 若则函数的值域为________.参考答案:略 12. 正方体-中,与平面所成角的余弦值为 .参考答案:13. 已知函数f(x)=x 2-2x +3在闭区间[0,m]上有最大值3,最小值2,则m 的取值范围是________.参考答案:[1,2]14. 给出下列五个结论:①函数有一条对称轴是;②函数的图象关于点(,0)对称;③正弦函数在第一象限为增函数;④要得到的图象,只需将的图象左移个单位;⑤若,则,其中;其中正确的有 .(填写正确结论前面的序号) 参考答案:略15. 记实数x 1,x 2,…,x n 中的最大数为max{x 1,x 2,…,x n },最小数为min{x 1,x 2,…,x n },则max{min{x+1,x 2﹣x+1,﹣x+6}}=.参考答案:【考点】函数的最值及其几何意义.【专题】综合题;函数思想;数形结合法;函数的性质及应用.【分析】在同一坐标系中作出三个函数y=x+1,y=x 2﹣x+1与y=﹣x+6的图象,依题意,即可求得max{min{x+1,x 2﹣x+1,﹣x+6}}.【解答】解:在同一坐标系中作出三个函数y=x+1,y=x 2﹣x+1与y=﹣x+6的图象如图: 由图可知,min{x+1,x 2﹣x+1,﹣x+6}为射线AM ,抛物线ANB ,线段BC ,与射线CT 的组合体, 显然,在C 点时,y=min{x+1,x 2﹣x+1,﹣x+6}取得最大值.解方程组得,C (,),∴max{min{x+1,x 2﹣x+1,﹣x+6}}=.故答案为:.【点评】题考查函数的最值及其几何意义,在同一坐标系中作出三个函数y=x+1,y=x 2﹣x+1与y=﹣x+6的图象是关键,也是难点,属于中档题.16. 若圆上有且只有两个点到直线的距离为1,则实数的取值范围是参考答案:17. 已知数列的前n 项和为,那么该数列的通项公式为=_______.参考答案:三、解答题:本大题共5小题,共72分。
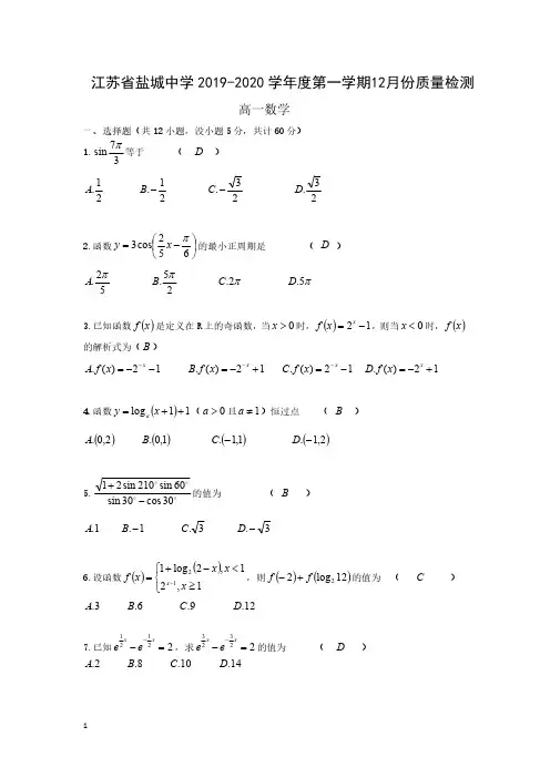
江苏省盐城中学2019-2020学年度第一学期12月份质量检测高一数学一、选择题(共12小题,没小题5分,共计60分) 1.37sin π等于 ( ) 21.A 21.-B 23.-C 23.D2.函数⎪⎭⎫ ⎝⎛-=652cos 3πx y 的最小正周期是 ( ) 52.πA 25.πB π2.C π5.D 3.已知函数()x f 是定义在R 上的奇函数,当0>x 时,()12-=x x f ,则当0<x 时,()x f 的解析式为()12)(.--=-x x f A 12)(.+-=-x x f B 12)(.-=-x x f C 12)(.+-=x x f D4.函数()11log ++=x y a (0>a 且1≠a )恒过点 ( )()2,0.A ()1,0.B ()1,1.-C ()2,1.-D 5.30cos 30sin 60sin 210sin 21-+的值为 ( ) 1.A 1.-B 3.C 3.-D6.设函数()()⎩⎨⎧≥<-+=-1,21,2log 112x x x x f x ,则()()12log 22f f +-的值为 ( )3.A 6.B 9.C 12.D7.已知22121=--x x e e ,求22323=--x x e e 的值为 ( )2.A 8.B 10.C 14.D 8.x y 2sin =可向右平移ϕ个单位得到⎪⎭⎫ ⎝⎛-=32sin πx y ,则ϕ可以是( ) 2.πA 3.πB 6.πC 4.πD9.对于函数()52lg +-=x x x f ,有0x 使()00=x f ,且()Z k k k x ∈+∈,1,0,则k 为( )0.A 1.B 2.C 20.或D10.函数⎪⎭⎫ ⎝⎛+=62sin πx y 图像的一个对称中心为( ) ⎪⎭⎫ ⎝⎛0,3.πA ⎪⎭⎫ ⎝⎛-0,12.πB ⎪⎭⎫ ⎝⎛0,12.πC ⎪⎭⎫ ⎝⎛0,6.πD 11.ABC ∆中,若B A sin cos >,则ABC ∆为( )A .锐角三角形B .等边三角形C .直角三角形D .钝角三角形12.函数x x y sin 4cos 2+=在区间⎥⎦⎤⎢⎣⎡πθ67,上的值域是⎥⎦⎤⎢⎣⎡-4,45,则θ的取值范围是( ) ⎥⎦⎤⎢⎣⎡-2,3.ππA ⎥⎦⎤⎢⎣⎡-2,67.ππB ⎥⎦⎤⎢⎣⎡32,3.ππC ⎥⎦⎤⎢⎣⎡-2,6.ππD 二、填空题13.已知扇形的半径是cm 6,圆心角是3π,则扇形的面积是________ 14.函数())0(sin >++=A B x A y ϕω最大值为5,最小值为-1,则振幅A 为____15.定义域为R 的函数()⎩⎨⎧=≠-=2,12,2lg x x x x f ,若关于x 的方程()()02=++c x bf x f 恰有5个不同的实数解,,,,,54321x x x x x 则()54321x x x x x f ++++等于______16.已知函数()⎩⎨⎧<-≥=mx x x m x x x f ,5,3若函数()mx x f x g -=)(2恰有2个不同的零点,则实数m 的取值范围是_______二、解答题17.(本题满分10分) 已知316cos =⎪⎭⎫ ⎝⎛-απ (1)求⎪⎭⎫⎝⎛+απ65cos (2)若02<<-απ,求⎪⎭⎫ ⎝⎛++⎪⎭⎫ ⎝⎛+απαπ34sin 3cos 218.已知()πααα<<0cos ,sin 是方程052=+-m x x 的两根. (1)求实数m 的值(2)求αtan 的值(3)求ααα2cos 2cos sin 1+的值19.(本题满分10分)已知函数()x x a a x f 2sin 2cos 221---=的最小值为a 的函数,记为()a g . (1)写出()a g 的表达式;(2)求能使()21=a g 的a 的值,并求当a 取此值时()x f 的最大值20.(本小题满分12分)已知函数()()()πϕωϕω<<>+=0,0sin 2x x f 的图像相邻两条对称轴之间的距离为2π,且143-=⎪⎭⎫ ⎝⎛πf .(1)求ϕω,的值;(2)求()x f 图像的对称轴方程;(3)若不等式()2>-m x f 在区间⎥⎦⎤⎢⎣⎡ππ433,上恒成立,求实数m 的取值范围.21.(本小题满分14分)为了研究某种药物,用小白鼠进行试验,发现1个单位剂量的药物在血液内的浓度与试验的关系因使用方式的不同而不同,若使用注射方式给药1个单位,则在注射后的3个小时内,药物在白鼠血液内的浓度1y 与时间t 满足关系式:at y -=41(340<<a ,a 为常数).若使用口服方式给药1个单位,则药物在白鼠血液的浓度2y 与时间t 满足关系式:()⎪⎩⎪⎨⎧≤≤-<<=3123)10(2t tt t y ,现对小白鼠同时进行注射给药和口服给药各1个单位,且注射药物和口服药物的吸收与代谢互不干扰.(提示:函数()()0>+=k x k x x f 在(]k ,0上单调递减,在[)+∞,k 上单调递增) (1)若1=a ,求3小时内,该小白鼠何时血液中药物的浓度最高,并求出最大值.(2)若使小白鼠在用药后3小时内血液中的药物浓度始终不低于4,求正数a 的取值范围.22.若函数()x f 在其定义域内给定区间[]b a ,上存在实数()b x a x <<00.满足()()()ab a f b f x f --=0,则称函数()x f 是区间[]b a ,上的“平均值函数”,0x 是它的一个均值点. (1)判断函数()x x f =是否是区间[]2,0上的“平均值函数”,并说明理由 (2)若函数()()12log 22++=mx x x g 是区间[]1,0上的“平均值函数”,求实数m 的取值范围.(3)设函数()()*24N k x kx x h ∈-+=是区间[]()*,2N t t ∈-上的“平均值函数”,1是函数)(x h 的一个均值点,求所有满足条件实数对()t k ,.。
2019-2020学年高一数学上学期期末试卷一、选择题 1.设02πα<<,若11sin ,(sin )(1,2,3,)n x n x x n αα+===L ,则数列{}n x 是( )A .递增数列B .递减数列C .奇数项递增,偶数项递减的数列D .偶数项递增,奇数项递减的数列2.要得到函数()sin2f x x =的图象, 只需将函数()sin 3g x x π⎛⎫=-⎪⎝⎭的图象( ) A .所有点的横坐标伸长到原来的2倍(纵坐标不变), 再将所得的图像向左平移3π个单位. B .所有点的横坐标伸长到原来的2倍(纵坐标不变), 再将所得的图像向左平移6π个单位.C .所有点的横坐标缩短到原来的12倍(纵坐标不变), 再将所得的图像向左平移3π个单位.D .所有点的横坐标缩短到原来的12倍(纵坐标不变), 再将所得的图像向左平移6π个单位.3.若1sin 63πα⎛⎫-= ⎪⎝⎭,则2cos 23πα⎛⎫+= ⎪⎝⎭( ) A .13 B .13-C .79 D .79-4.已知扇形的圆心角为2弧度,其所对的弦长为2,则扇形的弧长等于( ) A .2sin1B .2cos1C .1sin2D .2sin25.若 2.52a =,12log 2.5b =,2.512c ⎛⎫= ⎪⎝⎭,则a,b,c 之间的大小关系是( )A .c>b>aB .c>a>bC .a>c>bD .b>a>c6.下列结论中错误的是( ) A.若0ab >,则2b aa b+≥ B.函数1cos 0cos 2y x x x π=+<<()的最小值为2 C.函数22xxy -=+的最小值为2 D.若01x <<,则函数1ln 2ln x x+≤- 7.某单位青年、中年、老年职员的人数之比为10∶8∶7,从中抽取200名职员作为样本,若每人被抽取的概率是0.2,则该单位青年职员的人数为( ) A.280B.320C.400D.10008.ABC △中,D 在AC 上,AD DC =u u u r u u u r,P 是BD 上的点,29AP mAB AC =+u u u r u u u r u u u r ,则m 的值( )A .59B .79C .12D .149.已知函数()()2log x(x 0)x f x 3x 0>⎧=≤⎨⎩,那么1f f 4⎡⎤⎛⎫ ⎪⎢⎥⎝⎭⎣⎦的值为( )A.9B.19C.9-D.19-10.某几何体的三视图如图所示,则该几何体的表面积为( )A.180B.200C.220D.24011.已知函数()sin(2)f x x ϕ=+,其中ϕ为实数,若()()6f x f π≤对x ∈R 恒成立,且()()2f f ππ>,则()f x 的单调递增区间是 A .,()36k k k Z ππππ⎡⎤-+∈⎢⎥⎣⎦B .,()2k k k Z πππ⎡⎤+∈⎢⎥⎣⎦C .2,()63k k k ππππ⎡⎤++∈⎢⎥⎣⎦Z D .,()2k k k Z πππ⎡⎤-∈⎢⎥⎣⎦12.把函数y =sin x(x ∈R)的图象上所有点向左平行移动3π个单位长度,再把所得图象上所有点的横坐标缩短到原来的12倍(纵坐标不变),得到的图象所表示的函数是( ). A .sin 2,3y x x R π⎛⎫=-∈ ⎪⎝⎭B .sin ,26x y x R π⎛⎫=+∈⎪⎝⎭C .sin 2+,3y x x R π⎛⎫=∈ ⎪⎝⎭D .2sin 2+,3y x x R π⎛⎫=∈ ⎪⎝⎭二、填空题13.已知lg 3a b +=,100b a =,则lg2a b ⋅=______.14.两圆x 2+y 2+6x-4y+9=0和x 2+y 2-6x+12y-19=0的位置关系是___________________. 15.若将函数()sin(2)3f x x π=-的图象向左平移(0)ϕϕ>个单位长度,得到函数()sin 2g x x =的图象,则ϕ的最小值为______.16.光线从点(1,4)射向y 轴,经过y 轴反射后过点(3,0),则反射光线所在的直线方程是________. 三、解答题17.ABC ∆的内角A ,B ,C 的对边分别为a ,b ,c ,设222sin sin sin sin sin B C A B C +-=. (1)求A ;(22sin 2sin A B C +=,求C .18.设二次函数()()20f x ax bx c a =++≠在区间[]2,2-上的最大值、最小值分别是M 、m ,集合(){|}A x f x x ==.()1若{}1,2A =,且()02f =,求M 和m 的值;()2若{}1A =,且1a ≥,记()g a M m =+,求()g a 的最小值.19.在锐角ABC ∆中,a ,b ,c 分别为内角A ,B ,C 所对的边,且满足.(1)求角B 的大小;(2)若,,求ABC ∆的面积.20.已知数列{}n a 的前n 项和为n S ,且,*n N ∈.(1)求数列{}n a 的通项公式; (2)已知,记(且),是否存在这样的常数C ,使得数列是常数列,若存在,求出C 的值;若不存在,请说明理由;(3)若数列{}n b ,对于任意的正整数n ,均有成立,求证:数列{}n b 是等差数列. 21.已知函数,设其最小值为(1)求;(2)若,求a 以及此时()f x 的最大值.22.在充分竞争的市场环境中,产品的定价至关重要,它将影响产品的销量,进而影响生产成本、品牌形象等.某公司根据多年的市场经验,总结得到了其生产的产品A 在一个销售季度的销量(y 单位:万件)与售价(x 单位:元)之间满足函数关系14,616222,1621x x y x x ⎧-≤≤⎪=⎨⎪-<≤⎩,A 的单件成本(C 单位:元)与销量y 之间满足函数关系30C y=. ()1当产品A 的售价在什么范围内时,能使得其销量不低于5万件?()2当产品A 的售价为多少时,总利润最大?(注:总利润=销量(⨯售价-单件成本))【参考答案】*** 一、选择题13.4 14.外切 15.6π; 16.30x y +-=(或写成3y x =-+) 三、解答题 17.(1)3π(2) 512C π= 18.(Ⅰ)10M =,1m =;(Ⅱ)314. 19.(1)3π;(2. 20.(1)(2)(3)见解析21.(1)(2),22.(1)617x ≤≤(2)14元2019-2020学年高一数学上学期期末试卷一、选择题1.如图,网格纸上小正方形的边长为1,粗实线画出的是某多面体的三视图,则此几何体的表面积为( )A .()6223++ B.()6225++C .10D .122.已知1sin cos 5αα-=,0απ剟,则sin 24πα⎛⎫-= ⎪⎝⎭() A .17250B .22250C .31250D .192503.若关于的方程有两个不同解,则实数的取值范围为( )A.B.C.D.4.若函数y=f (x )图象上存在不同的两点A ,B 关于y 轴对称,则称点对[A ,B]是函数y=f (x )的一对“黄金点对”(注:点对[A ,B]与[B ,A]可看作同一对“黄金点对”).已知函数f (x )=222040412324x x x x x x x x ,<,,>⎧⎪-+≤≤⎨⎪-+⎩,则此函数的“黄金点对“有( ) A.0对B.1对C.2对D.3对5.在一定的储存温度范围内,某食品的保鲜时间(y 单位:小时)与储存温度(x 单位:)℃满足函数关系( 2.71828kx by ee +==⋯为自然对数的底数,k ,b 为常数),若该食品在0C o 时的保鲜时间为120小时,在30C o 时的保鲜时间为15小时,则该食品在20C o 时的保鲜时间为( ) A.30小时B.40小时C.50小时D.80小时6.已知0.52a -=,3log 0.5b =,2log 5c =,则,,a b c 的大小关系为( ) A.a c b >> B.c b a >> C.c a b >>D.a b c >>7.如图是函数()3sin()(0,)2f x x πωαωα=+><的部分图象,则ω,α的值是( )A .2ω=,3πα=B .2ω=,6πα=C .12ω=,6πα= D .12ω=,6πα= 8.若函数f (x )=log 2(x 2-2x+a )的最小值为4,则a=( ) A.16B.17C.32D.339.在ABC △中,点D 是线段BC 上任意一点,M 是线段AD 的中点,若存在实数λ和μ,使得BM AB AC λμ=+u u u u r u u u r u u u r,则λμ+=A.2B.2-C.12 D.12-10.某公司为激励创新,计划逐年加大研发奖金投入,若该公司2015年全年投入研发奖金130万元,在此基础上,每年投入的研发奖金比上一年增长12%,则该公司全年投入的研发奖金开始超过200万元的年份是( )(参考数据:lg1.120.05=,lg1.30.11=,lg 20.30=) A.2018年B.2019年C.2020年D.2021年11.在ABC ∆中,内角,,A B C 所对应的边分别为,,a b c ,若sin 3cos 0b A a B -=,且三边,,a b c 成等比数列,则a cb+的值为( ) A.22B.2C.2D.4 12.是一个平面,是两条直线,是一个点,若,,且,,则的位置关系不可能是( ) A .垂直 B .相交C .异面D .平行二、填空题13.已知函数1()f x x x=-,数列{}n a 是公比大于0的等比数列,且61a =,1239101()()()()()f a f a f a f a f a a +++⋅⋅⋅++=-,则1a =_______.14.在ABC △中,角A ,B ,C 所对的边分别为a ,b ,c ,其中23a c ==,,且满足(2)cos cos a c B b C -⋅=⋅,则AB BC ⋅=u u u r u u u r______.15.数列{}n x 满足*1112,2,,,n n n x x x n n N x a x b +-=-≥∈==,则2019x =________.16.ABC ∆中,内角A 、B 、C 所对的边分别是a 、b 、c ,已知cos cos c b C c B =+,且2b =,120B =o ,则ABC ∆的面积为_____.三、解答题17.在数列{}n a 中,11a =,121(2)1n n a a n n n -=+≥-,设1n n a b n=+. (1)证明:数列{}n b 是等比数列; (2)求数列{}n a 的通项公式.18.如图,在直角坐标系xOy 中,角α、β以Ox 为始边,其终边分别交单位圆于点A 、B.(1)已知角αβ-以Ox 为始边,终边交单位圆于点C ,试在图中作出点C (写明作法),并写出点C 的坐标;(2)根据图示,推导两角差的余弦公式::cos()cos cos sin C sin αβαβαβαβ--=+; (3)由C αβ-推导两角和的正弦公式::sin()cos sin cos S sin αβαβαβαβ--=+.19.已知等比数列{}n a 的公比1q >,且34528a a a ++=,42a +是35,a a 的等差中项.数列{}n b 满足11b =,数列{}1()n n n b b a +-⋅的前n 项和为22n n +.(1)求q 的值;(2)求数列{}n b 的通项公式. 20.给出以下四个式子:①22sin 8cos 22sin8cos 22+-⋅o o o o ; ②22sin 15cos 15sin15cos15+-o o o o ; ③22sin 16cos 14sin16cos14+-⋅o o o o ; ④()()22sin 5cos 35sin 5cos35o oo o -+--⋅.(1)已知所给各式都等于同一个常数,试从上述四个式子中任选一个, 求出这个常数; (2)分析以上各式的共同特点,写出能反应一般规律的等式,并对等式正确性作出证明. 21.在平面四边形ABCD 中,90ADC ∠=o ,45A ∠=o ,2AB =,5BD =. (1)求cos ADB ∠; (2)若22DC =,求BC .22.已知函数4()log (21)xf x kx =++(k ∈R )为偶函数.(1)求k 的值;(2)若函数1()4()441f x x x g x m +=+⋅-,2[0,log 5]x ∈,是否存在实数m 使得()g x 的最小值为0,若存在,求出m 的值;若不存在,请说明理由. 【参考答案】*** 一、选择题题号 1 2 3 4 5 6 7 8 9 10 11 12 答案 B C D D A C A B B B CD132 14.3- 15.b a -16三、解答题17.(1)见证明;(2)2nn a n n =⋅-18.(1)略;(2)略;(3)略 19.(1) 2q =.(2) ()2115432n n b n -⎛⎫=-+⋅ ⎪⎝⎭.20.(1)34;(2)略21.(1)5;(2)5. 22.(1)14k =-(2)存在15m =-使得()g x 最小值为0.2019-2020学年高一数学上学期期末试卷一、选择题1.已知函数()()2,211,22xa x x f x x ⎧-≥⎪=⎨⎛⎫-<⎪ ⎪⎝⎭⎩, 满足对任意的实数x 1≠x 2都有()()1212f x f x x x --<0成立,则实数a 的取值范围为( ) A.(-∞,2)B.13,8⎛⎤-∞ ⎥⎝⎦C.(-∞,2]D.13,28⎡⎫⎪⎢⎣⎭2.在ABC ∆中,,,a b c 分别是角,,A B C 的对边,若sin cos 0b A B =,且2b ac =,则a cb+的值为( ) A .2BC.2D .43.在边长为1的等边三角形ABC 中,D 是AB 的中点,E 为线段AC 上一动点,则EB ED ⋅u u u r u u u r的取值范围为( ) A.233,162⎡⎤⎢⎥⎣⎦B.233,644⎡⎤⎢⎥⎣⎦C.23,316⎡⎤⎢⎥⎣⎦D.233,642⎡⎤⎢⎥⎣⎦4.在ABC ∆中,cos cos a A b B =,则ABC ∆的形状为( ) A.等腰三角形 B.直角三角形 C.等腰或直角三角形D.等腰直角三角形5.在R 上定义运算:()1x y x y ⊗=-,若x R ∃∈使得()()1x a x a -⊗+>成立,则实数a 的取值范围是( )A .13,,22⎛⎫⎛⎫-∞-⋃+∞ ⎪ ⎪⎝⎭⎝⎭B .13,22⎛⎫- ⎪⎝⎭C .31,22⎛⎫-⎪⎝⎭ D .31,,22⎛⎫⎛⎫-∞-⋃+∞ ⎪ ⎪⎝⎭⎝⎭6.袋子中有大小、形状完全相同的四个小球,分别写有和、“谐”、“校”“园”四个字,有放回地从中任意摸出一个小球,直到“和”、“谐”两个字都摸到就停止摸球,用随机模拟的方法估计恰好在第三次停止摸球的概率。
江苏省盐城市滨海中学高一数学理上学期期末试题含解析一、选择题:本大题共10小题,每小题5分,共50分。
在每小题给出的四个选项中,只有是一个符合题目要求的1. 从一箱产品中随机地抽取一件,设事件A={抽到一等品},事件B ={抽到二等品},事件C ={抽到三等品},且已知P(A)= 0.65 ,P(B)=0.2 ,P(C)=0.1。
则事件“抽到的不是一等品”的概率为A.0.7 B.0.65 C.0.35 D.0.3 参考答案:C略2. 某学生四次模拟考试时,其英语作文的减分情况如下表:显然所减分数y与模拟考试次数x之间有较好的线性相关关系,则其线性回归方程为()A. y=0.7x+5.25B. y=﹣0.6x+5.25C. y=﹣0.7x+6.25D. y=﹣0.7x+5.25参考答案:D试题分析:先求样本中心点,利用线性回归方程一定过样本中心点,代入验证,可得结论.解:先求样本中心点,,由于线性回归方程一定过样本中心点,代入验证可知y=﹣0.7x+5.25,满足题意故选D.点评:本题考查线性回归方程,解题的关键是利用线性回归方程一定过样本中心点,属于基础题.3. 不等式的解集是()A.{x|﹣3≤x≤3}B.{x|﹣3≤x≤2或x≥3}C.{x|﹣3≤x<2或x≥3}D.{x|x≤﹣3或2<x≤3}参考答案:C【考点】7E:其他不等式的解法.【分析】不等式,即为或,由二次不等式和一次不等式的解法,计算即可得到所求解集.【解答】解:不等式,即为或,即有或,即为x≥3或﹣3≤x<2,可得解集为{x|x≥3或﹣3≤x<2},故选:C.【点评】本题考查分式不等式的解法,注意运用等价变形,转化为二次不等式和一次不等式的解法,考查运算能力,属于基础题.4. 如果一个函数满足:(1)定义域为R;(2)任意x1、x2∈R,若,则;(3)任意x∈R,若t>0。
则,则可以是()A、B、C、D、参考答案:A略5. 已知平面向量=(2,-1),=(1,1),=(-5,1),若∥,则实数k 的值为()A .2 B. C. D.参考答案:B6. 在平面直角坐标系中,横坐标与纵坐标均为整数的点称为整点.对任意,连接原点与点,用表示线段上除端点外的整点个数,则=().A. 1B. 2C. 3D. 4 参考答案:C7. 已知非零向量,满足+4=0,则()A.||+4||=0 B.与是相反向量C.与的方向相同D.与的方向相反参考答案:D【考点】96:平行向量与共线向量.【分析】根据题意,由向量加法的运算性质可得=﹣4,即与的方向相反,且||=4||,由此分析选项,即可得答案.【解答】解:根据题意,非零向量,满足+4=0,即=﹣4,即与的方向相反,且||=4||,依次分析选项:对于A:||=4||,||+4||=5||≠0,故A错误;对于B:与的方向相反,且||=4||,与的不是相反向量,故B错误;对于C:与的方向相反,故C错误;对于D:与的方向相反,D正确;故选:D.8. 空间中,垂直于同一条直线的两条直线()A.平行B.相交C.异面D.以上均有可能参考答案:D【考点】LO:空间中直线与直线之间的位置关系.【分析】画出长方体,利用长方体中的各棱的位置关系进行判断.【解答】解:在空间,垂直于同一条直线的两条直线,有可能平行,相交或者异面;如图长方体中直线a,b都与c垂直,a,b相交;直线a,d都与c垂直,a,d异面;直线d,b都与c垂直,b,d平行.故选D.【点评】本题考查了空间在直线的位置关系;本题借助于长方体中棱的关系理解.9. 已知为等差数列,,,则等于()(A)-1 (B)1 (C)3 (D) 7参考答案:B略10. 下列各式中值等于的是()A、 B、C、 D、参考答案:B略二、填空题:本大题共7小题,每小题4分,共28分11. 已知函数f(x)满足f(x﹣1)=﹣f(﹣x+1),且当x≤0时,f(x)=x3,若对任意的x∈,不等式f(x+t)≥2f(x)恒成立,则实数t的取值范围是.参考答案:[,+∞)【考点】函数恒成立问题;抽象函数及其应用.【分析】根据条件确定函数是奇函数,求出函数f (x )的表达式,并判断函数的单调性,利用函数的单调性将不等式恒成立进行转化,即可求出t 的最大值.【解答】解:由f (x ﹣1)=﹣f (﹣x+1),得f (x0)=﹣f (﹣x ﹣1+1)=﹣f (x ), 即函数f (x )是奇函数,若x >0,则﹣x <0,则f (﹣x )=﹣x 3=﹣f (x ), 即f (x )=x 3,(x >0), 综上f (x )=x 3, 则不等式f (x+t )≥2f (x )等价为不等式f (x+t )≥f(x ),∵f(x )=x 3,为增函数, ∴不等式等价为x+t≥x 在x∈恒成立,即:t≥(﹣1)x ,在x∈恒成立, 即t≥(﹣1)(t+2), 即(2﹣)t≥2(﹣1),则t≥=,故实数t 的取值范围[,+∞),故答案为:[,+∞)12. 已知实数x ,y 满足﹣1≤x+y≤4且2≤x﹣y≤3,则不等式围成的区域面积为 ,则2x ﹣3y的取值范围是 .参考答案:,[3,8].【考点】7F :基本不等式.【分析】实数x ,y 满足﹣1≤x+y≤4且2≤x﹣y≤3,如图所示,求出矩形ABCD 的顶点坐标可得面积,令2x ﹣3y=t ,则直线经过点A 时,t 取得最大值.直线经过点C 时,t 取得最小值. 【解答】解:实数x ,y 满足﹣1≤x+y≤4且2≤x﹣y≤3,如图所示,A (1,﹣2),B ,C (3,1),D . |AB|==,|BC|==.则不等式围成的区域面积==.令2x ﹣3y=t ,则直线经过点A 时, t 取得最大值t=2×1﹣3×(﹣2)=8.直线经过点C 时,t 取得最小值t=2×3﹣3×1=3. 则2x ﹣3y 的取值范围是. 故答案为:,[3,8].13. 三角形ABC 中,如果A=60o ,C=45o ,且a=,则c= 。
江苏省盐城市2019-2020年度高一上学期数学期末考试试卷C卷姓名:________ 班级:________ 成绩:________一、选择题 (共12题;共24分)1. (2分)已知角2α的顶点在原点,始边与x轴的非负半轴重合,终边经过点,且2α∈[0,2π),则tanα等于()A .B . -C .D . -2. (2分) (2016高三上·沙市模拟) 已知函数f(x)=sin(ωx+φ)(ω>0,|φ|<)的最小正周期为π,且其图象向左平移个单位后得到函数g(x)=cosωx的图象,则函数f(x)的图象()A . 关于直线x= 对称B . 关于直线x= 对称C . 关于点(,0)对称D . 关于点(,0)对称3. (2分) (2016高一下·湖南期中) 以下哪个区间是函数f(x)=sin(2x﹣)的单调递增区间()A . [﹣, ]B . [﹣, ]C . [ , ]D . [ , ]4. (2分)若2弧度的圆心角所对的弧长为2cm,则这个圆心角所夹的扇形的面积是()A . 4cm2B . 2cm2C . 4πcm2D . 1cm25. (2分)(2017·江西模拟) 若函数y=ksin(kx+φ)()与函数y=kx﹣k2+6的部分图象如图所示,则函数f(x)=sin(kx﹣φ)+cos(kx﹣φ)图象的一条对称轴的方程可以为()A .B .C .D .6. (2分) (2017高一下·安庆期末) 如果tanAtanBtanC>0,那么以A,B,C为内角的△ABC是()A . 锐角三角形B . 直角三角形C . 钝角三角形D . 任意三角形7. (2分)函数y=asinx﹣bcosx图象的一条对称轴为,那么 =()A .B . 1C .D . ﹣18. (2分)cos10°•cos20°﹣cos80°•sin20°=()A .B . cos10°C .D . ﹣sin10°9. (2分) (2016高一下·平罗期末) 在△ABC中,若且,则△ABC的形状是()A . 锐角三角形B . 直角三角形C . 等腰直角三角形D . 等边三角形10. (2分) (2017高一上·山东期中) 已知函数,则().A . 是奇函数,且在上是增函数B . 是偶函数,且在上是增函数C . 是奇函数,且在上是减函数D . 是偶函数,且在上是减函数11. (2分) (2015高一上·莆田期末) 下列向量组中,能作为表示它们所在平面内所有向量的一组基底的是()A . =(0,0) =(1,﹣2)B . =(﹣1,2) =(3,7)C . =(3,5) =(6,10)D . =(2,﹣3) =(,﹣)12. (2分)已知,则2a+3b的取值范围是()A .B .C .D .二、填空题 (共4题;共4分)13. (1分) (2018高三下·鄂伦春模拟) 若向量与向量共线,则 ________.14. (1分)如果=,那么tanα=________15. (1分)已知函数y=sin(ωx+φ)+1(ω>0,|φ|<π)的一段图象如图所示,则初相φ的值为________.16. (1分) (2018高一下·山西期中) 给出下列命题:①已知任意两个向量不共线,若、、,则三点共线;②已知向量与的夹角是钝角,则的取值范围是;③设,则函数的最小值是;④在中,若,则是等腰三角形;其中正确命题的序号为________.三、解答题 (共6题;共45分)17. (5分)如图所示,为△ 的外心,为垂心,求证: .18. (5分)已知函数f(x)=cos(π+x)cos(π﹣x)﹣ cos2x+ .(I)求f(x)的最小正周期和最大值;(II)求f(x)在[ ,π]上的单调递增区间.19. (5分)已知,是两个不共线的向量,=+,=﹣λ﹣8,=3﹣3,若A、B、D三点在同一条直线上,求实数λ的值.20. (10分)在公比为2的等比数列{an}中,a2与a5的等差中项是.(1)求a1的值;(2)若函数的一部分图象如图所示,M(﹣1,|a1|),N(3,﹣|a1|)为图象上的两点,设∠MPN=β,其中P与坐标原点O重合,0<β<π,求sin(2φ﹣β)的值.21. (10分)已知方程x2+bx+c=0的两实根为﹣1和3,(1)求b与 c;(2)解不等式:x2+bx+c>0.22. (10分) (2019高一下·上海月考) 如图,公园里有一湖泊,其边界由两条线段和以为直径的半圆弧组成,其中为2百米,为.若在半圆弧,线段,线段上各建一个观赏亭,再修两条栈道,使 . 记.(1)试用表示的长;(2)试确定点的位置,使两条栈道长度之和最大.参考答案一、选择题 (共12题;共24分)1-1、2-1、3-1、4-1、5-1、6-1、7-1、8-1、9-1、10-1、11-1、12-1、二、填空题 (共4题;共4分)13-1、14-1、15-1、16-1、三、解答题 (共6题;共45分) 17-1、18-1、19-1、20-1、20-2、21-1、21-2、22-1、22-2、。
高一数学期末模拟试卷注意事项:1. 答题前,考生先将自己的姓名、准考证号填写清楚,将条形码准确粘贴在考生信息条形码粘贴区。
2.选择题必须使用2B 铅笔填涂;非选择题必须使用0.5毫米黑色字迹的签字笔书写,字体工整、笔迹清楚。
3.请按照题号顺序在各题目的答题区域内作答,超出答题区域书写的答案无效;在草稿纸、试题卷上答题无效。
4.保持卡面清洁,不要折叠,不要弄破、弄皱,不准使用涂改液、修正带、刮纸刀。
一、选择题1.已知不同的两条直线m ,n 与不重合的两平面α,β,下列说法正确的是( ) A.若m n P ,m αP ,则n αP B.若m αP ,αβ∥,则m βP C.若m n P ,m α⊥,则n α⊥ D.若m n ⊥,m α⊥,则n α⊥2.已知1tan 42πα⎛⎫+= ⎪⎝⎭,则2sin 2cos 1cos 2ααα-+的值为( )A .-53B .-56C .-16D .-323.在平面直角坐标系xoy 中,已知直线l 上的一点向右平移2个单位长度,再向下平移4个单位长度后,仍在该直线上,则直线l 的斜率为( )A .-2B .-12C .12 D .2 4.已知点P 在正ABC ∆所确定的平面上,且满足PA PB PC AB ++=u u u r u u u r u u u r u u u r,则ABP ∆的面积与ABC ∆的面积之比为( ) A.1:1B.1:2C.1:3D.1:45.某企业2018年全年投入研发资金150万元,为激励创新,该企业计划今后每年投入的研发资金比上年增长8%,则该企业全年投入的研发资金开始超过200万元的年份是( )(参考数据:lg1.080.033≈,lg20.301≈,lg30.477)≈A .2020B .2021C .2022D .2023 6.已知定义在R 上的函数满足,且为偶函数,若在内单调递减,则下面结论正确的是( ) A . B . C .D .7.将()y f x =的图象上各点横坐标伸长到原来的2倍,纵坐标不变,然后将图象向右平移4π个单位,所得图象恰与sin()3y x π=+重合,则()f x =( ) A .7sin(2)12x π+B .7sin()212x π+C .sin(2)12x π+D .sin()212x π+8.下列函数中,既是偶函数又在区间(-∞,0)上单调递减的是( ) A .21y x =+B .1y x=C .3y x =D .2xy -=9.设342334333log ,,224a b c ⎛⎫⎛⎫⎛⎫=== ⎪ ⎪ ⎪⎝⎭⎝⎭⎝⎭,则,,a b c 的大小关系为( )A .a b c >>B .b c a >>C .c a b >>D .a c b >>10.已知ABC ∆的三边长构成公差为2的等差数列,且最大角为120°,则这个三角形的周长为( ) A.15B.18C.21D.2411.已知m ,n 为两条不同的直线,α,β为两个不同的平面,对于下列四个命题: ①m α⊂,n ⊂α,m βP ,n P P βαβ⇒ ②n m ∥,n m αα⊂⇒P ③αβ∥,m α⊂,n m n P β⊂⇒ ④m αP ,n m n α⊂⇒P 其中正确命题的个数有( ) A.0个B.1个C.2个D.3个12.在ABC ∆中, ,,a b c 分别为角,,A B C 的对边,若2cos a b C =,则此三角形一定是( ) A.等腰三角形 B.直角三角形C.等腰直角三角形D.等腰三角形或直角三角形13.下列方程是圆22(1)(3)1x y -++=的切线方程的是( ) A .0x y -= B .0x y +=C .0x =D .0y =14.在中,,,A B C ∠∠∠所对的边长分别是,,a b c ,若sin sin()sin 2C B A A +-=,则的形状为 A .等腰三角形 B .直角三角形 C .等腰直角三角形 D .等腰三角形或直角三角形15.设ABC ∆的内角,,A B C 所对边的长分别为,,a b c ,若2,3sin 5sin b c a A B +==,则角C =( )A .3πB .23πC .34πD .56π 二、填空题16.函数23sin cos cos y x x x =+的值域为__________.17.已知函数()sin tan 1(,)f x a x b x a b R =+-∈,若(2)2018f -=,则(2)f =_____. 18.平面四边形ABCD 中,75A B C ∠=∠=∠=︒,2BC =,则AB 的取值范围是__________. 19.已知,则__.三、解答题20.某厂家拟举行促销活动,经调查测算,该产品的年销售量(即该厂的年产量)x 万件与年促销费用m 万元(0m ≥)满足31kx m =-+(k 为常数),如果不搞促销活动,则该产品的年销售量只能是1万件.已知年生产该产品的固定投入为8万元,每生产1万件该产品需要再投入16万元,厂家将每件产品的销售价格定为每件产品年平均成本的1.5倍(产品成本包括固定投入和再投入两部分资金). (1)将该产品的年利润y 万元表示为年促销费用m 万元的函数; (2)该厂家年促销费用投入多少万元时,厂家的利润最大? 21.设函数()sin(2)()3f x A x x R π=+∈的图像过点7(,2)12P π-.(1)求()f x的解析式;(2)已知10()21213fαπ+=,02πα-<<,求1cos()sin()2sin cos221sin cosππαααααα-++-+++的值;(3)若函数()y g x=的图像与()y f x=的图像关于y轴对称,求函数()y g x=的单调区间.22.已知函数2()2sin cos2sin222x x xf x=-.(Ⅰ)求()f x的最小正周期;(Ⅱ)求()f x在区间[π0]-,上的最小值.23.已知f(x)是定义在R上的奇函数且f(-2)=-3,当x≥0时,f(x)=a x-1,其中a>0且a≠1.(1)求3322f f⎛⎫⎛⎫+-⎪ ⎪⎝⎭⎝⎭的值;(2)求函数f(x)的解析式;(3)已知g(x)=log2x,若对任意的x1∈[1,4],存在)2226x⎡∈⎣,使得f(mx1)+1≥g(x2)(其中m≥0)成立,求实数m的取值范围.24.已知函数()f x,对任意a,b R∈恒有()()()f a b f a f b1+=+-,且当x0>时,有()f x1>.(Ⅰ)求()f0;(Ⅱ)求证:()f x在R上为增函数;(Ⅲ)若关于x的不等式(()222f[2log x)4f4t2log x2⎤-+-<⎦对于任意11x,82⎡⎤∈⎢⎥⎣⎦恒成立,求实数t 的取值范围.25.函数()3sin26f x xπ⎛⎫=+⎪⎝⎭的部分图象如图所示.(1)写出()f x的最小正周期及图中x、y的值;(2)求()f x在区间,212ππ⎡⎤--⎢⎥⎣⎦上的最大值和最小值.【参考答案】一、选择题1.C 2.B 3.A 4.C 5.C 6.B 7.A 8.A 9.B 10.A 11.A 12.A 13.C 14.D 15.B 二、填空题 16.13,22⎡⎤-⎢⎥⎣⎦17.-202018.3(62)3(62),⎛⎫-+ ⎪ ⎪⎝⎭19. 三、解答题20.(1)16281y m m =--+ ;(2)厂家年促销费用投入3万元时,厂家的利润最大 21.(1)()223f x sin x π⎛⎫=+ ⎪⎝⎭;(2)713-;(3)单减区间为15(,)()1212k k k z ππππ-+∈,单增区间为511(,)()1212k k k z ππππ++∈. 22.(Ⅰ)2π;(Ⅱ)212--. 23.(1)0;(2)()()21,021,(0)xx xf x x -≥-⎧⎪=-+<⎨⎪⎩;(3)2[log 31-+∞,)24.(Ⅰ)()f 01=; (Ⅱ)略; (Ⅲ)t 5<-. 25.(1)π,076x π=,03y =;(2)最大值0,最小值3-.高一数学期末模拟试卷注意事项:1. 答题前,考生先将自己的姓名、准考证号填写清楚,将条形码准确粘贴在考生信息条形码粘贴区。
2020年江苏省盐城市滨海县八滩宋尖中学高一数学理期末试题含解析一、选择题:本大题共10小题,每小题5分,共50分。
在每小题给出的四个选项中,只有是一个符合题目要求的1. 已知成公比为2的等比数列,,且也成等比数列,则的值为()A.或0 B. C.或 D.或或0参考答案:C略2. 三个数a=0.32,b=log20.3,c=20.3之间的大小关系是()A.a<c<b B.a<b<c C.b<a<c D.b<c<a参考答案:C【考点】指数函数单调性的应用.【专题】计算题.【分析】将a=0.32,c=20.3分别抽象为指数函数y=0.3x,y=2x之间所对应的函数值,利用它们的图象和性质比较,将b=log20.3,抽象为对数函数y=log2x,利用其图象可知小于零.最后三者得到结论.【解答】解:由对数函数的性质可知:b=log20.3<0,由指数函数的性质可知:0<a<1,c>1∴b<a<c故选C【点评】本题主要通过数的比较,来考查指数函数,对数函数的图象和性质.4.设向量,满足|+|=,|﹣|=,则?=()A.1 B.2 C.3 D.5【答案】A【解析】【考点】平面向量数量积的运算.【专题】平面向量及应用.【分析】将等式进行平方,相加即可得到结论.【解答】解:∵|+|=,|﹣|=,∴分别平方得+2?+=10,﹣2?+=6,两式相减得4?=10﹣6=4,即?=1,故选:A.【点评】本题主要考查向量的基本运算,利用平方进行相加是解决本题的关键,比较基础.3. 函数y=1﹣的图象是()A.B.C.D.参考答案:B【考点】函数的图象.【分析】把函数先向右平移一个单位,再关于x轴对称,再向上平移一个单位.【解答】解:把的图象向右平移一个单位得到的图象,把的图象关于x轴对称得到的图象,把的图象向上平移一个单位得到的图象.故选:B.【点评】本题考查函数图象的平移,对称,以及学生的作图能力.4. 已知为有理数,下列各式中正确的是()A. B.C. D .参考答案:D5. 若三个实数a,b,c成等比数列,其中,,则b=()A. 2B. -2C. ±2D. 4参考答案:C【分析】由实数a,b,c成等比数列,得,从而得解.【详解】由实数a,b,c成等比数列,得.所以.故选C.【点睛】本题主要考查了等比数列的基本性质,属于基础题.6. 已知点,,则直线AB的斜率是()A. 1B. -1C. 5D. -5参考答案:A【分析】由,即可得出结果.【详解】直线的斜率.【点睛】本题主要考查直线的斜率,属于基础题型.7. 从装有个红球和个黒球的口袋内任取个球,那么互斥而不对立的两个事件是()A.至少有一个黒球与都是黒球 B.至少有一个黒球与都是黒球C.至少有一个黒球与至少有个红球 D.恰有个黒球与恰有个黒球参考答案:D8. 若关于x的一元二次不等式的解集为R,则实数a的取值范围是()A. (-∞,0)∪(1,+∞)B. (0,1)C. (-∞,0]∪(1,+∞)D. [0,1]参考答案:B【分析】由题意,得出,再分析不等式开口和判别式,可得结果.【详解】由题,因为为一元二次不等式,所以又因为的解集为R所以故选B【点睛】本题考查了一元二次不等式解法,利用二次函数图形解题是关键,属于基础题.9. 已知集合A={0,2,3},B={x|x=, ,b∈A},且≠b,则B的子集的个数是 ( )A.4 B.8 C.16 D.15参考答案:A10. 已知,则函数的最大值为A.6 B.13 C.22 D.33参考答案:B略二、填空题:本大题共7小题,每小题4分,共28分11. 若函数,则__________.参考答案:312. 已知tanα=,,则sinα﹣cosα= .参考答案:【考点】同角三角函数基本关系的运用.【分析】根据同角三角函数的基本关系,以及三角函数在各个象限中的符号,求得sinα、cosα的值,可得sinα﹣cosα的值.【解答】解:∵tanα==,,sin2α+cos2α=1,∴sinα=﹣,cosα=﹣,∴sinα﹣cosα=,故答案为:.【点评】本题主要考查同角三角函数的基本关系,以及三角函数在各个象限中的符号,属于基础题.13. 设函数的定义域为[3,6],是函数的定义域为参考答案:14. 阅读下图所示的程序框图,运行相应的程序,输出的结果是____参考答案:1115. 在2与32中间插入7个实数,使这9个实数成等比数列,该数列的第7项是.参考答案:1616. 某设备的使用年数x与所支出的维修总费用y的统计数据如下表:根据上标可得回归直线方程为=1.3x+,若该设备维修总费用超过12万元,据此模型预测该设备最多可使用年.参考答案:9【考点】BK:线性回归方程.【分析】计算、,根据回归直线方程过样本中心点求出的值,写出回归直线方程,利用回归方程求≥12时x的取值即可.【解答】解:计算=×(2+3+4+5+6)=4,=×(1.5+4.5+5.5+6.5+7.0)=5,又回归直线方程=1.3x+过样本中心点,∴=﹣1.3=5﹣1.3×4=﹣0.2,∴回归直线方程为=1.3x﹣0.2;令=1.3x﹣0.2≥12,解得x≥9.4≈9,∴据此模型预测该设备最多可使用9年.故答案为:9.17. 在△ABC中,a=6,B=30°,C=120°,则△ABC的面积是__________.参考答案:【分析】计算,等腰三角形计算面积,作底边上的高,计算得到答案.【详解】,过C作于D,则故答案为【点睛】本题考查了三角形面积计算,属于简单题.三、解答题:本大题共5小题,共72分。