物理冶金原理第二章习题讲解
- 格式:ppt
- 大小:1.22 MB
- 文档页数:3
第一章1 冶金原理研究的主要内容包括________、________和________。
冶金动力学、冶金热力学、冶金溶液。
2 金属熔体指________、________。
液态的金属、合金。
1、冶金原理是提取冶金的主要基础科学,它主要是应用_______的理论和方法研究提取冶金过程,为解决有关_____问题、开拓____的冶金工艺、推进冶金技术的发展指明方向。
物理化学、技术、新2、根据组成熔体的主要成分的不同,一般将冶金熔体分为________、______、_______、_______四种类型。
金属熔体、熔渣、熔盐、熔硫。
3、冶金原理按具体的冶金对象分为______冶金原理及_____冶金原理。
钢铁、有色金属。
4、根据熔渣在冶炼过程中的作用的不同,熔渣主要分为________、_______、________、__________四种。
在生产实践中,必须根据各种冶炼过程的特点,合理地选择_____,使之具有符合冶炼要求的物理化学性质。
冶炼渣、精炼渣、富集渣、合成渣。
熔渣。
5、熔渣是_______和_______的重要产物之一。
金属提炼、精炼过程。
6、熔渣是指主要由各种______熔合而成的熔体。
氧化物。
7、________的作用在于使原料中的某些有用成分富集于炉渣中,以便在后续工序中将它们回收利用。
富集渣、8、_______的作用是捕集粗金属中杂质元素的氧化产物,使之与主金属分离。
精炼渣。
9、在造锍熔炼过程中,为了使锍的液滴在熔渣中更好的沉降、降低主金属在渣中的损失,要求熔渣具有较低的______、______和_______。
粘度、密度、渣-锍界面张力。
10、为了提高有价金属的回收率、降低冶炼过程的能耗,必须使锍具有合适的______.物理化学性质。
11、在生产实践中,必须根据各种冶炼过程的特点,合理地选择________,使之具有符合冶炼要求的物理化学性质。
熔渣成分12、冶金过程热力学可以解决的问题有:1)计算给定条件下的;根据的正负判断该条件下反应能否自发地向________进行:2)计算给定条件下的平衡常数,确定反应进行的______;3)分析影响反应的和平衡常数,为进一步提高________指明努力方向。
第一章 冶金热力学基础1.基本概念:状态函数,标准态,标准生成自由能及生成焓,活度、活度系数和活度相互作用系数,分解压和分解温度,表面活性物质和表面非活性物质,电极电势和电池电动势,超电势和超电压。
2.△H 、△S 和△G 之间有何关系,它们的求算方法有什么共同点和不同点?3.化合物生成反应的ΔG °-T 关系有何用途?试根据PbO 、NiO 、SiO2、CO 的标准生成自由能与温度的关系分析这些氧化物还原的难易。
4.化学反应等温式方程联系了化学反应的哪些状态?如何应用等温方程的热力学原理来分析化学反应的方向、限度及各种 因素对平衡的影响?5.试谈谈你对活度标准态的认识。
活度标准态选择的不同,会影响到哪些热力学函数的取值?哪些不会受到影响?6.如何判断金属离子在水溶液中析出趋势的大小?7.试根据Kelvin 公式推导不同尺寸金属液滴(半径分别为r1、r2)的蒸汽压之间的关系。
8.已知AlF 3和NaF 的标准生成焓变为ΔH °298K,AlF3(S)=-1489.50kJ ·mol -1, ΔH °298K,NaF(S)=-573.60kJ ·mol -1,又知反应AlF 3(S)+3NaF (S)=Na 3AlF 6(S)的标准焓变为ΔH °298K=-95.06kJ ·mol -1,求Na 3AlF 6(S)的标准生成焓为多少?(-3305.36 kJ ·mol -1)9.已知炼钢温度下:(1)Ti (S)+O 2=TiO 2(S) ΔH 1=-943.5kJ ·mol -1(2)[Ti]+O 2=TiO 2(S) ΔH 2=-922.1kJ ·mol -1 (3)Ti (S)=Ti(l) ΔH 3=-18.8kJ ·mol -1求炼钢温度下,液态钛溶于铁液反应Ti(l)=[Ti]的溶解焓。
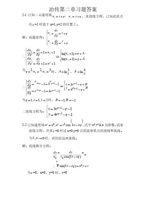
冶传第二章习题答案冶传第二章习题答案2-1 已知二元速度场,x yu x u y t t =+=+,求迹线方程,已知此质点在t =1时处于x=1,y=2的位置上。
的位置上。
解:由题意得:x y dx u x d dy u y d t t t t ìïïíïïî==+==+ '11ln(1)ln(1)11x x x y y y du dx u u A d d du u A dyu d d t t t t t t ìïìïïííïïîïî=+=++=+Þ+=+=+=+\ 当1,2,3x y u u t ===时,3ln A e =,'4ln A e ='111'113134141A A dx e e x e B d dy y e B e e d t t t t t t t t t t +---+-ìïìïïÞííïïîïî=-=-=-+=-+=-=-\ 当1,1,2x y t ===时,'1,1B B =-=-\迹线方程为:113141x e y e t t t t ìïíïî--=--=-- 2-2已知速度场()00,cos ,x y u u u v kx a t ==-式中u 0,v 0,k,a 为常数,试求流线方程,并求t =0时过x=0,y=0点的流体质点的迹线和流线。
当,0k a ®时,试比较这两条线。
时,试比较这两条线。
解:流线微分方程:解:流线微分方程: 0000cos()sin()dy dx u v kx a vkx a u y ck tt t ==-\-=+ 当t =0,x=0,y=0时,c=0\流线方程为:00sin()v y kx a ku t =- 迹线微分方程:迹线微分方程: 00cos()dy dx d u v kx a tt ==- 0'000sin()x u c v a y kx x c ku a u t ìïíïî=+\=-+-当t =0,x=0,y=0时,c=0,c ’=0\迹线方程为:000sin()u va y kx ku a t =-- 当,0k a ® 流线y=0,迹线y=02-3检查下列流速分量的平面流动是否满足连续性条件:检查下列流速分量的平面流动是否满足连续性条件: ()()()()()()()22221,;2,;3sin ,sin();4ln(),ln().x y x y x y x y u kx u ky u k x xy y u k x y u k xy u k xy y u k xy u k x ==-=+-=+==-==- 解:(1) 0y x u u x y k k ¶¶+==¶¶- 满足满足(2) (2)(2)0y x u u x yk x y k y ¶¶+=¶¶++¹ 不满足不满足 (3) cos()cos()0y x u u x y ky xy kx xy -¶¶+=¶¶¹不满足不满足 (4) 0y x u u x y x yk k -¶¶+=¶¶¹ 不满足不满足 2-4 已知已知()()()2222221,;22,2;3,,y x y x y z x x ky ky u x y x y u x xy u y xy u y z u z x u x yu ==-++=+=+=+=+=+判断上述流场是否连续?是否为有旋流动?判断上述流场是否连续?是否为有旋流动?解:(1) 2222()x kxy x y u x =-+¶¶ 22222)()(x k x x y y u y =-+¶¶ 2222)0()(y x y u u x y k x y x +¶¶+=¶¶¹+ \该流场不连续,因此无需讨论旋度。
第一篇冶金熔体第一章冶金熔体概述1. 什么是冶金熔体?它分为几种类型?2. 何为熔渣?简述熔渣成分的主要来源及冶炼渣和精炼渣的主要作用。
3. 熔锍的主要成分是什么?第二章冶金熔体的相平衡图1. 在三元系的浓度三角形中画出下列熔体的组成点,并说明其变化规律。
X :A 10% ,B 70% ,C 20% ;Y :A 10% ,B 20% ,C 70% ;Z :A 70% ,B 20% ,C 10% ;若将3kg X 熔体与2kg Y 熔体和5kg Z 熔体混合,试求出混合后熔体的组成点。
2. 试分析下图中熔体1 、2 、3 、4 、5 、6 的冷却结晶路线。
第三章冶金熔体的结构1. 熔体远程结构无序的实质是什么?2. 试比较液态金属与固态金属以及液态金属与熔盐结构的异同点。
3. 简述熔渣结构的聚合物理论。
其核心内容是什么?第四章冶金熔体的物理性质1. 试用离子理论观点说明熔渣的温度及碱度对熔渣的粘度、表面张力、氧化能力及组元活度的影响。
2. 什么是熔化温度?什么是熔渣的熔化性温度?3. 实验发现,某炼铅厂的鼓风炉炉渣中存在大量细颗粒铅珠,造成铅的损失。
你认为这是什么原因引起的?应采取何种措施降低铅的损失?第五章冶金熔体的化学性质与热力学性质1. 某工厂炉渣的组成为:44.5% SiO 2 ,13.8%CaO ,36.8%FeO ,4.9%MgO 。
试计算该炉渣的碱度和酸度。
原子量:Mg 24 Si 28 Ca 40 Fe 56 Mn 55 P 31 Zn 652. 什么是熔渣的碱度和酸度?3. 熔渣的氧化性主要取决于渣中碱性氧化物的含量,这种说法对吗?为什么?4. 已知某炉渣的组成为(W B / % ):CaO 20.78 、SiO2 20.50 、FeO 38.86 、Fe2O3 4.98 、MgO10.51 、MnO 2.51 、P2O5 1.67 ,试求该炉渣的碱度。
原子量:Mg 24 Si 28 Ca 40 Fe 56 Mn 55 P 31 Zn 65 5. 某铅鼓风炉熔炼的炉渣成分为(W B / % ):CaO 10 、SiO2 36 、FeO 40 、ZnO 8 ,试求该炉渣的酸度。
冶金传输原理吴铿编动量传输部分习题参考答案LG GROUP system office room 【LGA16H-LGYY-LGUA8Q8-LGA162】第一章习题参考答案(仅限参考)(题目改成单位质量力的国际单位) (不能承受拉力) (d 为表现形式)13. 解:由体积压缩系数的定义,可得:14. 解:由牛顿内摩擦定律可知,式中 A dl π=由此得 d 8.57d x v v F A dl N y μμπδ==≈5. 解:112a a p p gh gh gh p ρρρ=++=+汞油水(测压计中汞柱上方为标准大气压,若为真空结果为1.16m )6.解:(测压管中上方都为标准大气压)(1)()()13121a a p p g h h g h h p ρρ=+-=-+油水ρ=833kg/m 3(2)()()13121a a p p g h h g h h p ρρ=+-=-+油水h 3=1.8m. 7.解:设水的液面下降速度为为v ,dz v dt =-单位时间内由液面下降引起的质量减少量为:24d v πρ 则有等式:224d v v πρ=,代入各式得:20.50.2744dz d z dt πρ-=整理得:解得:(212115180.2744d t s πρ⎛⎫=-= ⎪⎝⎭ 8. 解:10p p gh ρ=+a5.答:拉格朗日法即流体质点法必须首先找出函数关系x(a,b,c,t),y(a,b,c,t),z(a,b,c,t),ρ(a,b,c,t)等。
实际上就是要跟踪每一个流体质点,可见这个方法在方程的建立和数学处理上将是十分困难的。
因而除研究波浪运动等个别情况外很少采用。
实际上,在大多数的工程实际问题中,通常并不需要知道每个流体质点至始至终的运动过程,而只需要知道流体质点在通过空间任意固定点时运动要素随时间变化状况,以及某一时刻流场中各空间固定点上流体质点的运动要素,然后就可以用数学方法对整个流场进行求解计算。
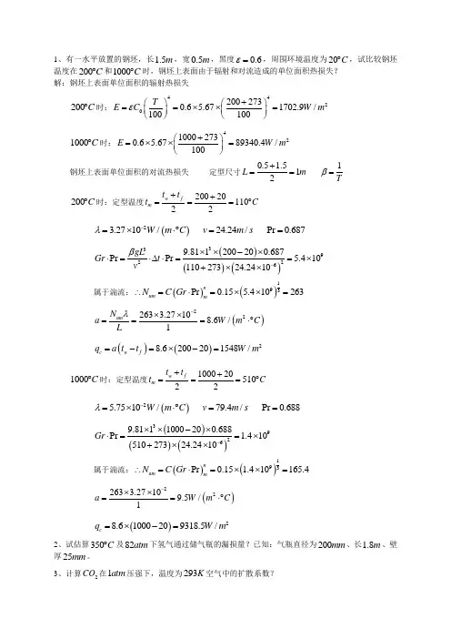
1、有一水平放置的钢坯,长1.5m ,宽0.5m ,黑度0.6ε=,周围环境温度为20C ︒,试比较钢坯温度在200C ︒和1000C ︒时,钢坯上表面由于辐射和对流造成的单位面积热损失? 解:钢坯上表面单位面积的辐射热损失200C ︒时:44202002730.6 5.671702.9/100100T E C W m ε+⎛⎫⎛⎫==⨯⨯= ⎪ ⎪⎝⎭⎝⎭1000C ︒时:4210002730.6 5.6789340.4/100E W m +⎛⎫=⨯⨯= ⎪⎝⎭钢坯上表面单位面积的对流热损失 定型尺寸0.5 1.512L m +== 1Tβ= 200C ︒时:定型温度2002011022w fm t t t C ++===︒ ()23.2710/24.24/Pr 0.687W m C v m s λ-=⨯⋅︒==()()()3392269.811200200.687Pr Pr 5.41011027324.2410gL Gr t vβ-⨯⨯-⨯⋅=⋅∆⋅==⨯+⨯⨯属于湍流:()()193Pr 0.15 5.410263num m N C Gr ∴=⋅=⨯⨯=()22263 3.27108.6/1um N a W m C L λ-⨯⨯===⋅︒()()28.6200201548/c w f q a t t W m =-=⨯-=1000C ︒时:定型温度10002051022w fm t t t C ++===︒ ()25.7510/79.4/Pr 0.688W m C v m s λ-=⨯⋅︒==()()()39269.8111000200.688Pr 1.41051027324.2410Gr -⨯⨯-⨯⋅==⨯+⨯⨯属于湍流:()()193Pr 0.15 1.410165.4num m N C Gr ∴=⋅=⨯⨯=()22263 3.27109.5/1a W m C -⨯⨯==⋅︒()28.61000209318.5/c q W m =⨯-=2、试估算350C ︒及82atm 下氢气通过储气瓶的漏损量?已知:气瓶直径为200mm 、长1.8m 、壁厚25mm 。
第一章1 冶金原理研究的主要内容包括 __________ 、_______ 和________ 。
冶金动力学、冶金热力学、冶金溶液。
2 金属熔体指_________ 、 _______ 。
液态的金属、合金。
1、冶金原理是提取冶金的主要基础科学,它主要是应用 ________ 的理论和方法研究提取冶金过程,为解决有关 ______ 问题、开拓___ 的冶金工艺、推进冶金技术的发展指明方向。
物理化学、技术、新2、根据组成熔体的主要成分的不同,一般将冶金熔体分为 ______________ 、 _____ 、_______ 、____ 四种类型。
金属熔体、熔渣、熔盐、熔硫。
3、冶金原理按具体的冶金对象分为 _______ 冶金原理及 ____ 冶金原理。
钢铁、有色金属。
4、根据熔渣在冶炼过程中的作用的不同,熔渣主要分为 ______________ 、_______ 、、四种。
在生产实践中,必须根据各种冶炼过程的特点,合理地选择,使之具有符合冶炼要求的物理化学性质。
冶炼渣、精炼渣、富集渣、合成渣。
熔渣。
5、熔渣是 ______ 和 _______ 的重要产物之一。
金属提炼、精炼过程。
6、熔渣是指主要由各种 ______ 熔合而成的熔体。
氧化物。
7、_______ 的作用在于使原料中的某些有用成分富集于炉渣中,以便在后续工序中将它们回收利用。
富集渣、8、______ 的作用是捕集粗金属中杂质元素的氧化产物,使之与主金属分离。
精炼渣。
9、在造锍熔炼过程中,为了使锍的液滴在熔渣中更好的沉降、降低主金属在渣中的损失,要求熔渣具有较低的 _______ 、_____ 和_______ 。
粘度、密度、渣 - 锍界面张力。
10、为了提高有价金属的回收率、降低冶炼过程的能耗,必须使锍具有合适的 . 物理化学性质。
11、在生产实践中,必须根据各种冶炼过程的特点,合理地选择 ____________ ,使之具有符合冶炼要求的物理化学性质。
第二章 冶金熔体的相平衡1.在三元系的浓度三角形中画出下列熔体的组成点,并说明其变化规律。
X:A 10%,B 70%,C 20%;Y:A 10%,B 20%,C 70%;Z:A 70%,B 20%,C 10%;若将3kg X熔体与2kg Y熔体和5kg Z熔体混合,试依据杠杆规则用作图法和计算法求出混合后熔体的组成点。
2.试找出图2-44所示的三元系相图中的错误,说明原因并更正。
3.图2-45是生成了一个二元不一致熔融化合物的三元系相图(1)写出各界线上的平衡反应;(2)写出P、E两个无变点的平衡反应;(3)分析熔体1、2、3、4、5、6的冷却结晶路线。
4.某三元系相图如图2-46中所示,A m B n为二元不一致熔融化合物。
试分析熔体1、2、3的冷却结晶过程。
5.图2-47为生成一个三元化合物的三元相图,(1)判断三元化合物N的性质;(2)标出边界线的温度降低方向;(3)指出无变点K、L、M的性质,写出它们的平衡反应;(4)分析熔体1、2的冷却过程。
6.试分析图2-23熔体3、4、5、6的冷却过程。
7.试根据CaO-SiO2-A12O3系相图说明组成为(w B / %)CaO 40.53,SiO2 32.94,A12O317.23,MgO 2.55的熔渣冷却过程中液相及固相成分的变化。
8.试根据图2-30绘制CaO- A12O3- SiO2三元系1500︒C时的等温截面图。
9.给出CaO-SiO2-FeO系相图中1500︒C的等温截面图,标出各相区内的相平衡关系。
组成为(w B / %)CaO 45、SiO2 25、FeO 20的熔渣在此温度下析出什么晶相?怎样才能使此熔渣中的固相减少或消除?10.假定炉渣碱度为= 2。
在1600︒C下,当渣中含FeO 58%(w B)时,炉渣是否全部处于液态?如果炉渣碱度不变,因脱碳反应渣中FeO含量降至20%(w B),在此温度下熔渣中是否有固相析出?若有固相析出,试确定其组成。
第一章1 冶金原理研究的主要内容包括________、________和________。
冶金动力学、冶金热力学、冶金溶液。
2 金属熔体指________、________。
液态的金属、合金。
1、冶金原理是提取冶金的主要基础科学,它主要是应用_______的理论和方法研究提取冶金过程,为解决有关_____问题、开拓____的冶金工艺、推进冶金技术的发展指明方向。
物理化学、技术、新2、根据组成熔体的主要成分的不同,一般将冶金熔体分为________、______、_______、_______四种类型。
金属熔体、熔渣、熔盐、熔硫。
3、冶金原理按具体的冶金对象分为______冶金原理及_____冶金原理。
钢铁、有色金属。
4、根据熔渣在冶炼过程中的作用的不同,熔渣主要分为________、_______、________、__________四种。
在生产实践中,必须根据各种冶炼过程的特点,合理地选择_____,使之具有符合冶炼要求的物理化学性质。
冶炼渣、精炼渣、富集渣、合成渣。
熔渣。
5、熔渣是_______和_______的重要产物之一。
金属提炼、精炼过程。
6、熔渣是指主要由各种______熔合而成的熔体。
氧化物。
7、________的作用在于使原料中的某些有用成分富集于炉渣中,以便在后续工序中将它们回收利用。
富集渣、8、_______的作用是捕集粗金属中杂质元素的氧化产物,使之与主金属分离。
精炼渣。
9、在造锍熔炼过程中,为了使锍的液滴在熔渣中更好的沉降、降低主金属在渣中的损失,要求熔渣具有较低的______、______和_______。
粘度、密度、渣-锍界面张力。
10、为了提高有价金属的回收率、降低冶炼过程的能耗,必须使锍具有合适的______.物理化学性质。
11、在生产实践中,必须根据各种冶炼过程的特点,合理地选择________,使之具有符合冶炼要求的物理化学性质。
熔渣成分12、冶金过程热力学可以解决的问题有:1)计算给定条件下的;根据的正负判断该条件下反应能否自发地向________进行:2)计算给定条件下的平衡常数,确定反应进行的______;3)分析影响反应的和平衡常数,为进一步提高________指明努力方向。
第二章习题与思考题1.某金属在不同相态下氧化生成MeO的标准吉不斯自由能— 温度关系如下:2Me①+O2=2MeO(s), ΔG θ ①=-1215033.6+192.88T,J2Me②+O2=2MeO(s), ΔG θ ②=-1500800.8+429.3T,J2Me③+O2=2MeO(s), ΔG θ ③=-1248505.6+231.8T,J(1)确定Me①,Me②,Me③的相态;(2)计算Me 的熔点和沸点;(3)作自由焓—温度图。
2.试计算碳酸镁在空气中的开始离解温度和化学沸腾温度。
已知: MgO+CO2=MgCO3ΔG θ T=-110750.5+120.12T,J3.将碳酸钙置于容积为 1L的容器中加热到 1073K, 问有多少 CaCO3 离解?解答:1. 解:(1)根据斜率变化②>③>①,可知②—气相,③—液相,① —固相。
(2)熔点: q q 31 G G D = D -1215033.6+192.88T=-1248505.6+231.8TT 熔=860.2K同理,沸点: q q 2 3 G G D= D ,T 沸=1227.5K (3)略2. 解:(P 43)TG 12 . 120 5 . 110750 + - = D 27 . 6 5783 log 2 + - = Tp CO 开始离解Pa p CO 4 . 30 101325 0003 . 0 2 = ´ = 化学沸腾 Pa p CO 101325 101325 12 = ´ = 27 . 6 5783 0003 . 0 log + - = 开T T 开=590K 27 . 6 5783 1 log + - = 沸 T T 沸=922K3.解:CaO+CO 2=CaCO 3T P RT Kp RT G CO 4 . 144 170925 ln ln 2 + -= = - = D q 1073 4 . 144 170925 ln 1073 314 . 8 2 ´ + -= ´ CO P 得 P CO2=16887.8Pa因 nRT PV = ,所以3 32 10 893 . 1 1073314 . 8 10 8 . 16887 - - ´ = ´ ´ = = RT PV n CO 33 2 10 893 . 1- ´ = = CaCO CO n n m CaCO3=0.1893g。
第一章1 冶金原理研究的主要内容包括________、________和________。
冶金动力学、冶金热力学、冶金溶液。
2 金属熔体指________、________。
液态的金属、合金。
1、冶金原理是提取冶金的主要基础科学,它主要是应用_______的理论和方法研究提取冶金过程,为解决有关_____问题、开拓____的冶金工艺、推进冶金技术的发展指明方向。
物理化学、技术、新2、根据组成熔体的主要成分的不同,一般将冶金熔体分为________、______、_______、_______四种类型。
金属熔体、熔渣、熔盐、熔硫。
3、冶金原理按具体的冶金对象分为______冶金原理及_____冶金原理。
钢铁、有色金属。
4、根据熔渣在冶炼过程中的作用的不同,熔渣主要分为________、_______、________、__________四种。
在生产实践中,必须根据各种冶炼过程的特点,合理地选择_____,使之具有符合冶炼要求的物理化学性质。
冶炼渣、精炼渣、富集渣、合成渣。
熔渣。
5、熔渣是_______和_______的重要产物之一。
金属提炼、精炼过程。
6、熔渣是指主要由各种______熔合而成的熔体。
氧化物。
7、________的作用在于使原料中的某些有用成分富集于炉渣中,以便在后续工序中将它们回收利用。
富集渣、8、_______的作用是捕集粗金属中杂质元素的氧化产物,使之与主金属分离。
精炼渣。
9、在造锍熔炼过程中,为了使锍的液滴在熔渣中更好的沉降、降低主金属在渣中的损失,要求熔渣具有较低的______、______和_______。
粘度、密度、渣-锍界面张力。
10、为了提高有价金属的回收率、降低冶炼过程的能耗,必须使锍具有合适的______.物理化学性质。
11、在生产实践中,必须根据各种冶炼过程的特点,合理地选择________,使之具有符合冶炼要求的物理化学性质。
熔渣成分12、冶金过程热力学可以解决的问题有:1)计算给定条件下的;根据的正负判断该条件下反应能否自发地向________进行:2)计算给定条件下的平衡常数,确定反应进行的______;3)分析影响反应的和平衡常数,为进一步提高________指明努力方向。