控制工程基础第三版习题答案_清华大学出版社
- 格式:pdf
- 大小:1.47 MB
- 文档页数:65
控制工程基础课后答案第一题题目:什么是控制工程?它的主要任务是什么?答案:控制工程是一门工程技术学科,它以数学、物理和工程技术为基础,研究如何通过设计、分析和实现控制系统来实现对动态系统的控制。
控制工程的主要任务是利用反馈原理,通过感知系统输出信号与期望信号之间的差异并使用控制器进行调整,从而使系统达到预期的目标和性能指标。
第二题题目:什么是开环控制系统和闭环控制系统?它们有什么区别?答案:开环控制系统是一种基本控制系统结构,它将输入直接转换为输出,没有考虑实际输出与期望输出之间的差异。
闭环控制系统是在开环控制系统基础上增加了反馈回路,实时监测系统输出,并将实际输出与期望输出进行比较,以校正错误并调整控制器的输出信号。
区别在于开环控制系统没有反馈回路,因此无法纠正系统误差,而闭环控制系统利用反馈回路实现系统的自动校正。
闭环控制系统具有更好的鲁棒性和稳定性,可以使系统在存在不确定性和干扰的情况下仍能达到预期的控制目标。
第三题题目:什么是传递函数?如何将动态系统表示为传递函数?答案:传递函数是用于描述线性时不变系统的数学模型。
它是输出与输入之间关系的比值函数,衡量了系统对输入信号的响应程度。
传递函数可以用于分析和设计控制系统。
将动态系统表示为传递函数需要进行系统的数学建模。
通常,通过对系统的微分方程进行拉普拉斯变换,可以得到系统的传递函数。
拉普拉斯变换将微分方程转换为一个以变量s为复数的函数的代数表达式,其中s表示频域复平面上的复变量。
第四题题目:什么是反馈控制?它在控制系统中起到什么作用?答案:反馈控制是一种控制技术,通过测量系统输出并将其与期望输出进行比较,根据差异调整控制器的输出信号。
反馈控制可以使系统对不确定性和干扰具有鲁棒性,并实现系统的自动校正,使系统能够快速、准确地响应外部变化。
在控制系统中,反馈控制起到了校正系统误差的作用。
通过与期望输出进行比较,反馈控制可以检测到系统偏差,并通过调整控制器的输出信号来纠正这些偏差。
控制工程基础课后习题及答案下面是控制工程基础课后习题及答案的一个示例,供参考。
1.什么是控制工程?答:控制工程是一门研究如何设计、分析和实现控制系统的工程学科。
它涉及到自动控制理论、系统建模、信号处理、电路设计等多个领域。
2.控制系统的基本组成部分有哪些?答:控制系统的基本组成部分包括传感器、执行器、控制器和反馈系统。
传感器用于获取被控对象的状态信息,执行器用于实现控制指令,控制器用于生成控制指令,反馈系统用于将被控对象的输出信息反馈给控制器进行调节。
3.什么是开环控制系统和闭环控制系统?答:开环控制系统是指控制器的输出不受被控对象输出的影响,只根据预先设定的控制指令进行控制。
闭环控制系统是指控制器的输出根据被控对象的输出进行调节,通过反馈系统实现控制。
4.请简述PID控制器的工作原理。
答:PID控制器是一种常用的控制器,其工作原理基于对误差信号进行比例、积分和微分处理。
比例项根据误差的大小产生控制指令,积分项根据误差的累积产生控制指令,微分项根据误差的变化率产生控制指令。
PID控制器的输出是这三个项的加权和。
5.什么是控制系统的稳定性?答:控制系统的稳定性指的是在系统输入变化或外部干扰的情况下,系统输出能够保持在可接受范围内的能力。
稳定的控制系统可以实现良好的跟踪性能和抗干扰能力。
6.如何评价一个控制系统的稳定性?答:一个控制系统的稳定性可以通过判断系统的极点位置来评价。
如果系统的所有极点都位于左半平面,则系统是稳定的;如果系统存在极点位于右半平面,则系统是不稳定的。
7.什么是系统的过渡过程和稳定过程?答:系统的过渡过程指的是系统从初始状态到稳定状态的过程,包括系统的响应时间、超调量等性能指标。
系统的稳定过程指的是系统在达到稳定状态之后的行为,包括稳态误差、稳定精度等性能指标。
8.如何设计一个稳定的控制系统?答:设计一个稳定的控制系统需要满足系统的稳定性条件,例如极点位置的要求。
可以通过选择合适的控制器参数、采用合适的控制策略等方式来实现系统的稳定性。
控制工程基础第三版课后答案第一章1.1 分析控制系统的对象控制系统的对象通常指的是待控制的物理系统或过程。
在分析控制系统对象时,首先需要了解系统的动态特性。
为了分析控制系统的特性,我们可以通过选取一个合适的数学模型来描述物理系统的动态行为。
一种常用的方法是通过微分方程来描述系统的动态特性。
例如,对于一个简单的电路系统,可以使用基尔霍夫电流定律和基尔霍夫电压定律来建立描述电路中电流和电压之间关系的微分方程。
然后,通过求解这个微分方程,我们可以得到系统的传递函数。
另外,我们还可以使用频域分析的方法来分析控制系统的对象。
通过对信号的频谱进行分析,我们可以得到系统的频率响应。
1.2 常见的控制系统对象控制系统的对象存在各种各样的形式,下面列举了一些常见的控制系统对象:•机械系统:例如机器人、汽车悬挂系统等。
•电气系统:例如电路、电机等。
•热力系统:例如锅炉、冷却系统等。
•化工系统:例如反应器、蒸馏塔等。
针对不同的控制系统对象,我们需要选择合适的数学模型来描述其动态特性,并进一步分析系统的稳定性、性能等指标。
第二章2.1 控制系统的数学模型控制系统的数学模型描述了物理系统的动态特性和输入与输出之间的关系。
常见的控制系统数学模型包括:•模型中几何图形法:通过几何图形来描述系统的动态特性。
•传递函数法:采用以系统输入和输出的转移函数来描述系统的动态特性。
•状态方程法:将系统的状态变量与输入变量和输出变量之间的关系用一组偏微分方程或代数方程来描述。
在使用这些模型时,我们可以选择合适的数学工具进行分析和求解,例如微积分、线性代数等。
2.2 传递函数的定义和性质传递函数是描述控制系统输入输出关系的数学函数,通常用G(s)表示。
传递函数的定义和性质如下:•定义:传递函数G(s)是系统输出Y(s)和输入U(s)之间的比值,即G(s) = Y(s)/U(s)。
•零点和极点:传递函数可以有零点和极点,零点是使得传递函数为零的s值,极点是使得传递函数为无穷大的s值。
基础工程清华第三版答案1. 简介本文档是基于《基础工程清华第三版》的答案。
《基础工程清华第三版》是清华大学出版社出版的一本工程学基础教材,涵盖了工程学的基本原理和方法。
本文档将为读者提供基本知识的答案和解析,以帮助读者更好地理解和掌握工程学的核心概念。
2. 第一章:工程学概述2.1 问题1:工程学的定义是什么?工程学是一门研究设计、建设和运用人类所需物品和系统的学科。
它涵盖了多个学科领域,包括机械、土木、电气和电子等工程学科。
工程学的主要目标是解决实际问题,提供创新的解决方案,并满足人类社会的需求。
2.2 问题2:工程学的基本原理是什么?工程学的基本原理包括以下几个方面: - 物理原理:工程学基于物理学中的基本原理,例如力学、电磁学和热学等。
这些原理帮助工程师理解和分析各种工程问题和系统。
- 数学原理:数学是工程学的基础,包括代数、几何、微积分和线性代数等。
工程师需要运用数学工具来建立模型、分析数据和解决问题。
- 材料科学原理:工程师需要了解各种材料的性质和特点,以选择合适的材料来设计和构建工程项目。
- 经济原理:工程项目通常需要考虑经济因素,包括成本、效益和风险等。
工程师需要在设计和实施过程中综合考虑经济因素,以确保项目的可行性和可持续性。
3. 第二章:静力学3.1 问题1:什么是力和力的平衡?力是物体相互作用的结果,可以改变物体的运动状态。
力可以分为接触力和非接触力两种类型。
力的大小由它对物体施加的压力决定,用牛顿(N)作为单位。
力的平衡是指物体受到的合力为零的状态。
当物体处于力的平衡状态时,它不会发生加速度和运动。
3.2 问题2:静力学中的重要概念是什么?•作用力和反作用力:根据牛顿第三定律,两个物体之间的相互作用力大小相等、方向相反。
•等力系统:由多个力合成的力称为等力系统。
在静力学中,一个物体处于力的平衡状态,说明等力系统对该物体产生的合外力为零。
•可约力和不可约力:可约力是指等力系统中可以通过向量运算得到的合力,不可约力是指等力系统中无法通过向量运算得到合力,需要使用其他方法进行分析。
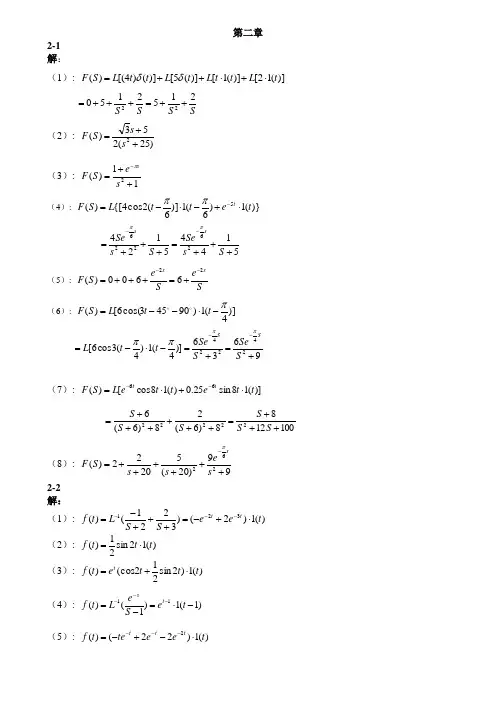
第二章2-1 解:(1): )](12[)](1[)](5[)]()4[()(t L t t L t L t t L S F ⋅+⋅++=δδ SS S S 215215022++=+++= (2): )25(253)(2++=s s S F (3): 11)(2++=-s e S F sπ(4): )}(1)6(1)]6(2cos 4{[)(5t e t t L S F t ⋅+-⋅-=-ππ5144512426226+++=+++=--S s Se S s Se ss ππ(5): Se S e S F ss 226600)(--+=+++= (6): )]4(1)90453cos(6[)(π-⋅--=t t L S F9636)]4(1)4(3cos 6[24224+=+=-⋅-=--S SeS Se t t L S Sππππ(7): )](18sin 25.0)(18cos [)(66t t e t t e L S F t t ⋅+⋅=--1001288)6(28)6(622222+++=++++++=S S S S S S (8): 99)20(52022)(262++++++=-s es s S F s π2-2解:(1): )(1)2()3221()(321t e e S S L t f t t ⋅+-=+++-=--- (2): )(12sin 21)(t t t f ⋅=(3): )(1)2sin 212(cos )(t t t e t f t ⋅+=(4): )1(1)1()(11-⋅=-=---t e S e L t f t s(5): )(1)22()(2t e e te t f t t t ⋅-+-=---(6): )(1215sin 15158))215()21(21515158()(2221t t e S L t f t⋅=++⋅=-- (7): )(1)3sin 313(cos )(t t t t f ⋅+=2-3 解:(1) 对原方程取拉氏变换,得:SS X x S SX x Sx S X S 1)(8)]0()([6)0()0()(2=+-+--⋅• 将初始条件代入,得:61)()86(1)(86)(6)(22++=++=+-+-S SS X S S SS X S SX S S X S48724781)86(16)(22+-++=++++=S S S S S S S S S X 取拉氏反变换,得:t t e e t x 42874781)(---+=(2) 当t=0时,将初始条件50)0(=•x 代入方程,得:50+100x(0)=300 则x(0)=2.5对原方程取拉氏变换,得: sx(s)-x(0)+100x(s)=300/s 将x(0)=2.5代入,得:S300100X(S)2.5-SX(S)=+ 1005.03100)S(S 3002.5S X(S)+-=++=s s取拉氏反变换,得:-100t 0.5e -3x (t)=2-4解:该曲线表示的函数为:)0002.0(16)(-⋅=t t u则其拉氏变换为:se s U s0002.06)(-=2-5 解:)0()0()(3)(2)(2)(30100==+=+i i x y t x dtt dx t y dt t dy 将上式拉氏变换,得:2332)()()()32()()23()(3)(2)(2)(30000++=+=++=+S S S X S Y S X S S Y S S X S SX S Y S SY i i i i23-S 32-S Z p ==∴零点极点又当 时)(1)(t t x i =SS X i 1)(=S S S S X S X S Y S Y i i 12332)()()()(00⋅++=⋅=3212332)()0(2312332)()(lim lim lim lim 000000=⋅++⋅=⋅=∴=⋅++⋅=⋅=∞∴∞→∞→→→S S S S S Y S y S S S S S Y S y s s s s2-6解:(a )传递函数:132123233321123233321232333211111H G G G H G G H G G G G H H G G H G G G G H G G H G G G G R C+++=⋅++⋅+++⋅=(b )传递函数:(c)传递函数:(d)传递函数:32121212211211H G G H H G G H G H G G G R C++++= 2-7 解:通过方块图的变换,系统可等价为下图:2-8 解:2-9解:(a)(b)(c)(d)(e)(f)(g)2-10 解:(a)(b)(c)2-11解:(a)(b)(c)(d)2-12 解:(a)(b)2-13 解:(a)(b)2-14 解:2-15 解:(1(2)2-16 解:2-17解:2-18解:以题可画出方块图如下:2-19 解:2-20 解:2-21 解:(1)(2、3、4)缺第三章3-1解:3-23-33-4解:3-53-6解:3-7 解:3-8 解:3-9 解:3-103-113-12 解:3-13 解:3-14解:3-153-163-17 解:3-183-193-20 解:3-21 解:3-223-23解:3-243-25解:3-26、3-27 缺3-28解:3-29、3-30 缺3-31解:3-32、3-33缺第四章4-1解:4-2解:4-3 解:4-4 解:4-5解:4-6解:(a)(b)(c)(d)(e)4-74-8、4-9 缺4-10解:4-11解:4-12解:4-16解:4-17 缺4-18解:4-19、4-20、4-21 缺第五章5-15-2、5-3、5-4 缺5-55-6 缺5-75-85-9、5-10 缺5-115-125-13 缺5-145-15 缺5-16解:5-17 缺5-18 5-19解:5-20 5-25 解:5-26 缺附题:设单位反馈的开环传递函数为)10)(2()5.0(10)(2+++=S S S S K S G试用乃氏判据确定该系统在K=1和K=10时的稳定性。
控制工程基础习题解答第一章1-5.图1-10为张力控制系统。
当送料速度在短时间内突然变化时,试说明该控制系统的作用情况。
画出该控制系统的框图。
图1-10 题1-5图由图可知,通过张紧轮将张力转为角位移,通过测量角位移即可获得当前张力的大小。
当送料速度发生变化时,使系统张力发生改变,角位移相应变化,通过测量元件获得当前实际的角位移,和标准张力时角位移的给定值进行比较,得到它们的偏差。
根据偏差的大小调节电动机的转速,使偏差减小达到张力控制的目的。
框图如图所示。
角位移题1-5 框图1-8.图1-13为自动防空火力随动控制系统示意图及原理图。
试说明该控制系统的作用情况。
该系统由两个自动控制系统串联而成:跟踪控制系统和瞄准控制系统,由跟踪控制系统获得目标的方位角和仰角,经过计算机进行弹道计算后给出火炮瞄准命令作为瞄准系统的给定值,瞄准系统控制火炮的水平旋转和垂直旋转实现瞄准。
跟踪控制系统根据敏感元件的输出获得对目标的跟踪误差,由此调整视线方向,保持敏感元件的最大输出,使视线始终对准目标,实现自动跟踪的功能。
瞄准系统分别由仰角伺服控制系统和方向角伺服控制系统并联组成,根据计算机给出的火炮瞄准命令,和仰角测量装置或水平方向角测量装置获得的火炮实际方位角比较,获得瞄准误差,通过定位伺服机构调整火炮瞄准的角度,实现火炮自动瞄准的功能。
控制工程基础习题解答第二章2-2.试求下列函数的拉氏变换,假定当t<0时,f(t)=0。
(3).()t e t f t 10cos 5.0-=解:()[][]()1005.05.010cos 25.0+++==-s s t e L t f Lt(5).()⎪⎭⎫ ⎝⎛+=35sin πt t f图1-13 题1-8图敏感元件解:()[]()252355cos 235sin 2135sin 2++=⎥⎦⎤⎢⎣⎡+=⎥⎦⎤⎢⎣⎡⎪⎭⎫ ⎝⎛+=s st t L t L t f Lπ2-6.试求下列函数的拉氏反变换。
控制工程基础习题解答第一章1-1.控制论的中心思想是什么?简述其发展过程。
维纳(N.Wiener)在“控制论——关于在动物和机器中控制和通讯的科学”中提出了控制论所具有的信息、反馈与控制三个要素,这就是控制论的中心思想控制论的发展经历了控制论的起步、经典控制理论发展和成熟、现代控制理论的发展、大系统理论和智能控制理论的发展等阶段。
具体表现为:1.1765年瓦特(Jams Watt)发明了蒸汽机,1788年发明了蒸汽机离心式飞球调速器,2.1868年麦克斯威尔(J.C.Maxwell)发表“论调速器”文章;从理论上加以提高,并首先提出了“反馈控制”的概念;3.劳斯(E.J.Routh)等提出了有关线性系统稳定性的判据4.20世纪30年代奈奎斯特(H.Nyquist)的稳定性判据,伯德(H.W.Bode)的负反馈放大器;5.二次世界大仗期间不断改进的飞机、火炮及雷达等,工业生产自动化程度也得到提高;6.1948年维纳(N.Wiener)通过研究火炮自动控制系统,发表了著名的“控制论—关于在动物和机器中控制和通讯的科学”一文,奠定了控制论这门学科的基础,提出了控制论所具有的信息、反馈与控制三要素;7.1954年钱学森发表“工程控制论”8.50年代末开始由于技术的进步和发展需要,并随着计算机技术的快速发展,使得现代控制理论发展很快,并逐渐形成了一些体系和新的分支。
9.当前现代控制理论正向智能化方向发展,同时正向非工程领域扩展(如生物系统、医学系统、经济系统、社会系统等),1-2.试述控制系统的工作原理。
控制系统就是使系统中的某些参量能按照要求保持恒定或按一定规律变化。
它可分为人工控制系统(一般为开环控制系统)和自动控制系统(反馈控制系统)。
人工控制系统就是由人来对参量进行控制和调整的系统。
自动控制系统就是能根据要求自动控制和调整参量的系统,系统在受到干扰时还能自动保持正确的输出。
它们的基本工作原理就是测量输出、求出偏差、再用偏差去纠正偏差。