高中数学教材变式题汇总:数列
- 格式:docx
- 大小:439.98 KB
- 文档页数:8
高中数学笔记----------4-数列基本概念:1.等差数列{a n }中:(1)a n =a+(n -1)d=a m +(n -m)d; p+q=m+n a p +a q =a m +a n . (2)a 1+a 2+…+a m , a k +a k+1+…+a k+m -1,…仍成等差数列.(3)a p =q,a q =p (p ≠q) a p+q =0; S p =q,S q =p (p ≠q) S p+q =-(p+q); S m+n =S m +S n +mnd ⑷S 2n-1=a n (2n-1) (常用于数列的比较中和代换中); Snn为等差数列,公差为d ∕23.等比数列{a n }中;(1) m+n=r+s, a m ·a n =a r ·a s(2) a 1+a 2+…+a m , a k +a k+1+…+a k+m -1,…仍成等比数列(4) 111 (1)(1) (1)11n n n na q S a a q a q q q q =⎧⎪=--⎨=≠⎪--⎩注意:①a n-b n=(a -b)(an -1+a n -2b+a n -3b 2+…+ab n -2+b n -1)②S m+n =S m +q m S n =S n +q n S m .4.等差数列与等比数列的联系(1)如果数列{a n }成等差数列, 那么数列{n aA }(n aA 总有意义)必成等比数列. (2)如果数列{a n }成等比数列, 那么数列{log ||a n a }(a>0,a≠1)必成等差数列.(3)如果数列{ a n }既成等差数列也成等比数列,那么数列{ a n }是非零常数数列; 数列{a n }是常数数列仅是数列既成等差数列又成等比数列的必要非充分条件.(4)如果两等差数列有其公共项,那么由它们的公共项顺次组成的新数列也是等差数列,且新等差数列的公差是原两等差数列公差的最小公倍数. 5.数列求和的常用方法.(1)公式法: ①等差数列求和公式, ②等比数列求和公式 ③常用公式:, 12+22+32+…+n 2=16n(n+1)(2n+1), 13+23+33+------+n 3=14 [n (n +1)]2(2)分组求和法: 在直接运用公式法求和有困难时,常将"和式"中"同类项"先合并在一起,再运用公式法求和.(3)倒序相加法: 在数列求和中,若和式中到首尾距离相等的两项和有其共性,则常考虑选用倒序相加法,发挥其共性的作用求和.(4)错位相减法: 如果数列的通项是由一个等差数列的通项与一个等比数列通项相乘构成,那么常选用错位相减法,将其和转化为"一个新的等比数列的和"求解".(5)裂项相消法: 如果数列的通项可"分裂成两项差"的形式,且相邻项分裂后相关联,那么常选用裂项相消法求和,常用裂项形式有:①111(1)1n n n n =-++ ②1111()()n n k k n n k=-++ ③2211111()1211k k k k <=---+; 21111111(1)1k k k k k k k -<<=-+-- ④1111[](1)(2)2(1)(1)(2)n n n n n n n =-+++++ ⑤ 11(1)!!(1)!n n n n =-++⑥<< ⑦ 1n2<2(12n−1--12n+1);1n2<3(13n−2--13n+1)(注意:运用等比数列求和公式时,务必检查其公比与1的关系,必要时应分类讨论.裂项相消法更多的用于数列中不等式的证明) 6.数列的通项的求法:(11种类型) 类型1 )(1n f a a n n +=+ ;(累加法)解法:把原递推公式转化为)(1n f a a n n =-+,利用累加法(逐差相加法)求解。
数学教材习题变式训练(数列)一、有关通项问题1、利用11(1)(2)n nn S n a S S n -=⎧=⎨-≥⎩求通项.(北师大版第20页习题5)数列{}n a 的前n 项和21n S n =+.(1)试写出数列的前5项;(2)数列{}n a 是等差数列吗?(3)你能写出数列{}n a 的通项公式吗? 变式题1、设数列}{n a 的前n 项和为S n =2n 2,求数列}{n a 的通项公式;解:(1):当;2,111===S a n 时 ,24)1(22,2221-=--=-=≥-n n n S S a n n n n 时当故{a n }的通项公式为4,2}{,241==-=d a a n a n n 公差是即的等差数列. 变式题2、数列{a n }的前n 项和为S n ,且a 1=1,113n n a S +=,n =1,2,3,……,求a 2,a 3,a 4的值及数列{a n }的通项公式.解:(I )由a 1=1,113n n a S +=,n=1,2,3,……,得 211111333a S a ===,3212114()339a S a a ==+=,431231116()3327a S a a a ==++=,由1111()33n n n n n a a S S a +--=-=(n ≥2),得143n n a a +=(n ≥2),又a 2=31,所以a n =214()33n -(n ≥2),∴ 数列{a n }的通项公式为21114()233n n n a n -=⎧⎪=⎨⎪⎩≥变式题3、已知数列{}n a 的首项15,a =前n 项和为n S ,且*15()n n S S n n N +=++∈, 证明数列{}1n a +是等比数列.解:由已知*15()n n S S n n N +=++∈可得12,24n n n S S n -≥=++两式相减得()1121n n n n S S S S +--=-+即121n n a a +=+从而()1121n n a a ++=+当1n =时21215S S =++所以21126a a a +=+又15a =所以211a =从而()21121a a +=+故总有112(1)n n a a ++=+,*n N ∈又115,10a a =+≠从而1121n n a a ++=+即数列{}1n a +是等比数列;2、解方程求通项:(北师大版第17页习题3)在等差数列{}n a 中,(1)已知812148,168,S S a d ==求和;(2)已知658810,5,a S a S ==求和;(3)已知3151740,a a S +=求.变式题1、{}n a 是首项11a =,公差3d =的等差数列,如果2005n a =,则序号n 等于(A )667 (B )668 (C )669 (D )670 分析:本题考查等差数列的通项公式,运用公式直接求出. 解:1(1)13(1)2005n a a n d n =+-=+-=,解得669n =,选C点评:等差等比数列的通项公式和前n 项和的公式是数列中的基础知识,必须牢固掌握.而这些公式也可视作方程,利用方程思想解决问题. 3、待定系数求通项:写出下列数列{}n a 的前5项:(1)111,41(1).2n n a a a n -==+> 变式题1、已知数列{}n a 满足*111,21().n n a a a n N +==+∈ 求数列{}n a 的通项公式;解:*121(),n n a a n N +=+∈ 112(1),n n a a +∴+=+{}1n a ∴+是以112a +=为首项,2为公比的等比数列. 12.n n a ∴+=即 *21().n n a n N =-∈ 4、由前几项猜想通项:(北师大版第8页习题1)根据下面的图形及相应的点数,在空格及括号中分别填上适当的图形和数,写出点数的通项公式.变式题1、如下图,第(1)个多边形是由正三角形“扩展“而来,第(2)个多边形是由正方形“扩展”而来,……,如此类推.设由正n 边形“扩展”而来的多边形的边数为n a ,(1) (4) (7) ( ) ( )则6a = ;345991111a a a a +++⋅⋅⋅+=.解:由图可得:22(1)n a n n n n n =+-=+,所以642a =;又211111(1)1n a n n n n n n ===-+++ 所以345991111a a a a +++⋅⋅⋅+=1111111197()()()3445991003100300-+-++-=-= 变式题2、(北师大版第9页习题2)观察下列各图,并阅读下面的文字,像这样,10条直线相交,交点的个数最多是( ),其通项公式为 . A .40个 B .45个 C .50个 D .55个解:由题意可得:设{}n a 为n 条直线的交点个数,则21a =,1(1),(3)n n a a n n -=+-≥,因为11n n a a n --=-,由累加法可求得:(1)12(1)2n n n a n -=+++-=,所以10109452a ⨯==,选B.二、有关等差、等比数列性质问题1、(北师大版第31页习题3)一个等比数列前n 项的和为48,前2n 项的和为60,则前3n 项的和为( )A .83B .108C .75D .63变式题1、一个等差数列前n 项的和为48,前2n 项的和为60,则前3n 项的和为 。
高中数学-数列专题第1讲数列的概念及其表示 (1)第2讲等差数列及前n项和 (16)第3讲等比数列及前n项和 (31)第4讲数列求和、数列的综合应用 (46)第1讲数列的概念及其表示考点一数列的概念及其表示方法知识点1数列的定义(1)按照一定顺序排列的一列数叫做数列,数列中的每一个数叫做这个数列的项.排在第一位的数称为这个数列的第一项,也叫首项.(2)数列与函数的关系从函数观点看,数列可以看成:以正整数集N*或N*的有限子集{1,2,3,…,n}为定义域的函数a n=f(n),当自变量按照从小到大的顺序依次取值时所对应的一列函数值.2数列的表示方法3数列的分类注意点数列图象是一些孤立的点数列作为一种特殊的函数,由于它的定义域为正整数集N*或它的有限子集,所以它的图象是一系列孤立的点.入门测1.思维辨析(1)数列{a n}和集合{a1,a2,a3,…,a n}表达的意义相同.()(2)所有数列的第n项都能使用公式表达.()(3)根据数列的前几项归纳出数列的通项公式可能不止一个.()(4)数列:1,0,1,0,1,0,…,通项公式只能是a n=1+(-1)n+12.()答案(1)×(2)×(3)√(4)×2.数列13,18,115,124,…的一个通项公式为()A.a n=12n+1B.a n=1n+2C.a n=1n(n+2)D.a n=12n-1答案 C解析观察知a n=1(n+1)2-1=1n(n+2).3.若数列{a n}中,a1=3,a n+a n-1=4(n≥2),则a2015的值为()A.1 B.2C.3 D.4答案 C解析因为a1=3,a n+a n-1=4(n≥2),所以a1=3,a2=1,a3=3,a4=1,…,显然当n是奇数时,a n=3,所以a2015=3.解题法[考法综述]利用归纳法求数列的通项公式,或给出递推关系式求数列中的项,并研究数列的简单性质.命题法数列的概念和表示方法及单调性的判断典例(1)已知数列{a n}的通项公式为a n=n2-2λn(n∈N*),则“λ<1”是“数列{a n}为递增数列”的()A.充分不必要条件B.必要不充分条件C.充要条件D.既不充分也不必要条件(2)写出下面各数列的一个通项公式:①3,5,7,9,…; ②1,3,6,10,15,…;③-1,32,-13,34,-15,36,…;④3,33,333,3333,….[解析] (1)若数列{a n }为递增数列,则有a n +1-a n >0,即2n +1>2λ对任意的n ∈N *都成立,于是有3>2λ,λ<32.由λ<1可得λ<32,但反过来,由λ<32不能得到λ<1,因此“λ<1”是“数列{a n }为递增数列”的充分不必要条件,故选A.(2)①各项减去1后为正偶数,所以a n =2n +1. ②将数列改写为1×22,2×32,3×42,4×52,5×62,…因而有a n =n (n +1)2,也可逐差法a 2-a 1=2,a 3-a 2=3,a 4-a 3=4,a 5-a 4=5,…,a n -a n -1=n ,各式累加得a n =n (n +1)2.③奇数项为负,偶数项为正,故通项公式中含因子(-1)n ;各项绝对值的分母组成数列1,2,3,4,…;而各项绝对值的分子组成的数列中,奇数项为1,偶数项为3,即奇数项为2-1,偶数项为2+1, 所以a n =(-1)n·2+(-1)nn.④将数列各项改写为93,993,9993,99993,…,分母都是3,而分子分别是10-1,102-1,103-1,104-1,…,所以a n =13(10n -1).[答案] (1)A (2)见解析【解题法】 归纳法求通项公式及数列单调性的判断(1)求数列的通项公式实际上是寻找数列的第n 项与序号n 之间的关系,常用技巧有:①借助于(-1)n 或(-1)n +1来解决项的符号问题.②项为分数的数列,可进行恰当的变形,寻找分子、分母各自的规律以及分子、分母间的关系.③对较复杂的数列的通项公式的探求,可采用添项、还原、分割等方法,转化为熟知的数列,如等差数列、等比数列等来解决.④根据图形特征写出数列的通项公式,首先,要观察图形,寻找相邻的两个图形之间的变化;其次,要把这些变化同图形的序号联系起来,发现其中的规律;最后,归纳猜想出通项公式.(2)数列单调性的判断方法①作差比较法:a n +1-a n >0⇔数列{a n }是单调递增数列;a n +1-a n <0⇔数列{a n }是单调递减数列;a n +1-a n =0⇔数列{a n }是常数列.②作商比较法:当a n >0时,则a n +1a n >1⇔数列{a n }是单调递增数列;a n +1a n<1⇔数列{a n }是单调递减数列;a n +1a n=1⇔数列{a n }是常数列. 当a n <0时,则a n +1a n >1⇔数列{a n }是单调递减数列;a n +1a n <1⇔数列{a n }是单调递增数列;a n +1a n=1⇔数列{a n }是常数列.③结合相应函数的图象直观判断数列的单调性.对点练1.设等差数列{a n }的公差为d ,若数列{2a 1a n }为递减数列,则( ) A .d <0 B .d >0 C .a 1d <0 D .a 1d >0答案 C解析 ∵数列{2a 1a n }为递减数列,∴2 a 1a n >2 a 1a n +1,n ∈N *,∴a 1a n >a 1a n +1,∴a 1(a n +1-a n )<0.∵{a n }为公差为d 的等差数列,∴a 1d <0.故选C.2.下列可以作为数列{a n }:1,2,1,2,1,2,…的通项公式的是( ) A .a n =1B .a n =(-1)n +12C .a n =2-⎪⎪⎪⎪sin n π2D .a n =(-1)n -1+32答案 C解析 A 项显然不成立;n =1时,a 1=-1+12=0,故B 项不正确;n =2时,a 2=(-1)2-1+32=1,故D 项不正确.由a n =2-⎪⎪⎪⎪sin n π2可得a 1=1,a 2=2,a 3=1,a 4=2,…,故选C. 3.下列关于星星的图案构成一个数列,该数列的一个通项公式是( )A .a n =n 2-n +1B .a n =n (n -1)2C .a n =n (n +1)2D .a n =n (n +2)2答案 C解析 解法一:令n =1,2,3,4,验证选项知选C.解法二:a 1=1,a 2=a 1+2,a 3=a 2+3,a 4=a 3+4,…,a n =a n -1+n . ∴(a n -a n -1)+(a n -1-a n -2)+…+(a 3-a 2)+(a 2-a 1)=n +(n -1)+…+3+2.因此a n =1+2+3+…+n =n (n +1)2.考点二 数列的通项公式知识点1 a n 与S n 的关系若数列{a n }的前n 项和为S n ,则a n =⎩⎪⎨⎪⎧S 1(n =1),S n -S n -1(n ≥2).2 已知递推关系式求通项一般用代数的变形技巧整理变形,然后采用累加法、累乘法、迭代法、构造法或转化为基本数列(等差数列或等比数列)等方法求得通项公式.注意点 已知S n 求a n 时应注意的问题(1)应重视分类讨论思想的应用,分n =1和n ≥2两种情况讨论,特别注意a n =S n -S n -1中需n ≥2.(2)由S n -S n -1=a n 推得a n ,当n =1时,a 1也适合“a n 式”,则需统一“合写”. (3)由S n -S n -1=a n 推得a n ,当n =1时,a 1不适合“a n 式”,则数列的通项公式应分段表示(“分写”),即a n =⎩⎪⎨⎪⎧S 1(n =1),S n -S n -1(n ≥2).入门测1.思维辨析(1)如果数列{a n }的前n 项和为S n ,则对∀n ∈N *,都有a n +1=S n +1-S n .( ) (2)在数列{a n }中,对于任意正整数m ,n ,a m +n =a mn +1,若a 1=1,则a 2=2.( ) (3)若已知数列{a n }的递推公式为a n +1=12a n -1,且a 2=1,则可以写出数列{a n }的任何一项.( )答案 (1)√ (2)√ (3)√ 2.数列{a n }中,a 1=1,a n =1a n -1+1,则a 4等于( )A.53B.43 C .1 D.23答案 A解析 由a 1=1,a n =1a n -1+1得,a 2=1a 1+1=2,a 3=1a 2+1=12+1=32,a 4=1a 3+1=23+1=53.故选A.3.在正项数列{a n }中,若a 1=1,且对所有n ∈N *满足na n +1-(n +1)a n =0,则a 2015=( ) A .1011 B .1012 C .2014 D .2015答案 D解析 由a 1=1,na n +1-(n +1)a n =0可得a n +1a n =n +1n ,得到a 2a 1=21,a 3a 2=32,a 4a 3=43,…,a n +1a n=n +1n ,上述式子两边分别相乘得a 2a 1×a 3a 2×a 4a 3×…×a n +1a n =a n +1=21×32×43×…×n +1n =n +1,故a n =n ,所以a 2015=2015,故选D.解题法[考法综述] 高考以考查a n 与S n 的关系为主要目标以求通项公式a n 为问题形式,特别是给出递推公式如何构造数列求通项公式作为一个重难点和命题热点.命题法 由S n 求a n 或由递推关系式求a n典例 (1)若数列{a n }的前n 项和S n =2n 2+3n ,则此数列的通项公式为a n =________. (2)已知数列{a n }的前n 项和为S n 满足a n +2S n S n -1=0(n ≥2,n ∈N *),a 1=12,求S n .[解析] (1)当n =1时, a 1=S 1=2×12+3×1=5;当n ≥2时,a n =S n -S n -1=(2n 2+3n )-[2(n -1)2+3(n -1)]=4n +1.当n =1时,4×1+1=5=a 1,∴a n =4n +1.(2)∵当n ≥2,n ∈N *时,a n =S n -S n -1, ∴S n -S n -1+2S n S n -1=0,即1S n -1S n -1=2,∴数列⎩⎨⎧⎭⎬⎫1S n 是公差为2的等差数列,又S 1=a 1=12,∴1S 1=2,∴1S n =2+(n -1)·2=2n , ∴S n =12n.[答案] (1)4n +1 (2)见解析 【解题法】 求通项公式的方法 (1)由S n 求a n 的步骤 ①先利用a 1=S 1求出a 1.②用n -1替换S n 中的n 得到一个新的关系,利用a n =S n -S n -1(n ≥2)便可求出当n ≥2时a n的表达式.③对n =1时的结果进行检验,看是否符合n ≥2时a n 的表达式,如果符合,则可以把数列的通项公式合写;如果不符合,则应该分n =1与n ≥2两段来写.(2)由递推公式求通项公式的常见类型与方法①形如a n +1=a n +f (n ),常用累加法.即利用恒等式a n =a 1+(a 2-a 1)+(a 3-a 2)+…+(a n -a n-1)求通项公式.②形如a n +1=a n f (n ),常用累乘法,即利用恒等式a n =a 1·a 2a 1·a 3a 2·…·a na n -1求通项公式.③形如a n +1=ba n +d (其中b ,d 为常数,b ≠0,1)的数列,常用构造法.其基本思路是:构造a n +1+x =b (a n +x )⎝⎛⎭⎫其中x =db -1,则{a n +x }是公比为b 的等比数列,利用它即可求出a n .④形如a n +1=pa n qa n +r (p ,q ,r 是常数)的数列,将其变形为1a n +1=r p ·1a n +qp .若p =r ,则⎩⎨⎧⎭⎬⎫1a n 是等差数列,且公差为q p ,可用公式求通项;若p ≠r ,则采用③的办法来求.⑤形如a n +2=pa n +1+qa n (p ,q 是常数,且p +q =1)的数列,构造等比数列.将其变形为a n +2-a n +1=(-q )·(a n +1-a n ),则{a n -a n -1}(n ≥2,n ∈N *)是等比数列,且公比为-q ,可以求得a n-a n -1=f (n ),然后用累加法求得通项.⑥形如a 1+2a 2+3a 3+…+na n =f (n )的式子, 由a 1+2a 2+3a 3+…+na n =f (n ),①得a 1+2a 2+3a 3+…+(n -1)a n -1=f (n -1),② 再由①-②可得a n .对点练1.设数列{a n }满足a 1=1,且a n +1-a n =n +1(n ∈N *),则数列⎩⎨⎧⎭⎬⎫1a n 前10项的和为________.答案2011解析 由a 1=1,且a n +1-a n =n +1(n ∈N *)得,a n =a 1+(a 2-a 1)+(a 3-a 2)+…+(a n -a n -1)=1+2+3+…+n =n (n +1)2, 则1a n =2n (n +1)=2⎝⎛⎭⎫1n -1n +1,故数列⎩⎨⎧⎭⎬⎫1a n 前10项的和S 10=2⎝⎛⎭⎫1-12+12-13+…+110-111=2⎝⎛⎭⎫1-111=2011. 2.已知数列{a n }满足a 1=1,a n +1=3a n +2,则数列{a n }的通项公式为________. 答案 a n =2·3n -1-1解析 ∵a n +1=3a n +2,∴a n +1+1=3(a n +1). ∴a n +1+1a n +1=3,∴数列{a n +1}是等比数列,公比q =3.又a 1+1=2,∴a n +1=2·3n -1, ∴a n =2·3n -1-1.3.已知数列{a n }的前n 项和S n =2n -3,则数列{a n }的通项公式为________.答案 a n =⎩⎪⎨⎪⎧-1,n =1,2n -1,n ≥2解析 当n =1时,a 1=S 1=-1; 当n ≥2时,a n =S n -S n -1=2n -1,∴a n =⎩⎪⎨⎪⎧-1,n =1,2n -1,n ≥2.4.S n 为数列{a n }的前n 项和,已知a n >0,a 2n +2a n =4S n +3. (1)求{a n }的通项公式;(2)设b n =1a n a n +1,求数列{b n }的前n 项和.解 (1)由a 2n +2a n =4S n +3,可知a 2n +1+2a n +1=4S n +1+3. 可得a 2n +1-a 2n +2(a n +1-a n )=4a n +1,即 2(a n +1+a n )=a 2n +1-a 2n =(a n +1+a n )(a n +1-a n ).由于a n >0,可得a n +1-a n =2.又a 21+2a 1=4a 1+3,解得a 1=-1(舍去)或a 1=3.所以{a n }是首项为3,公差为2的等差数列,通项公式为a n =2n +1. (2)由a n =2n +1可知 b n =1a n a n +1=1(2n +1)(2n +3)=12⎝⎛⎭⎫12n +1-12n +3. 设数列{b n }的前n 项和为T n ,则 T n =b 1+b 2+…+b n =12⎣⎡⎦⎤⎝⎛⎭⎫13-15+⎝⎛⎭⎫15-17+…+⎝⎛⎭⎫12n +1-12n +3 =n3(2n +3).5.已知数列{a n }的前n 项和S n =-12n 2+kn ,k ∈N *,且S n 的最大值为8.试确定常数k ,并求数列{a n }的通项公式.解 因为S n =-12n 2+kn =-12(n -k )2+12k 2,其中k 是常数,且k ∈N *,所以当n =k 时,S n取最大值12k 2,故12k 2=8,k 2=16,因此k =4,从而S n =-12n 2+4n .当n =1时,a 1=S 1=-12+4=72;当n ≥2时,a n =S n -S n -1=⎝⎛⎭⎫-12n 2+4n -⎣⎡⎦⎤-12(n -1)2+4(n -1)=92-n .当n=1时,92-1=72=a1,所以a n=92-n.微型专题数列中的创新题型创新考向以数列为背景的新定义问题是高考命题创新型试题的一个热点,考查频次较高.命题形式:常见的有新定义、新规则等.创新例题把1,3,6,10,15,21,…这些数叫做三角形数,这是因为以这些数目的点可以排成一个正三角形(如图).则第7个三角形数是()A.27 B.28C.29 D.30答案 B解析由图可知,第7个三角形数是1+2+3+4+5+6+7=28.创新练习1.将石子摆成如图所示的梯形形状,称数列5,9,14,20,…为“梯形数”.根据图形的构成,此数列的第2014项与5的差,即a2014-5=()A.2018×2012 B.2020×2013C.1009×2012 D.1010×2013答案 D解析观察图中的“梯形数”可得:a2-a1=4,a3-a2=5,a4-a3=6…a2014-a2013=2016,累加得:a2014-a1=4+5+6+…+2016=2013×20202=2013×1010,即a2014-5=2013×1010.2.在一个数列中,如果∀n∈N*,都有a n a n+1a n+2=k(k为常数),那么这个数列叫做等积数列,k叫做这个数列的公积.已知数列{a n}是等积数列,且a1=1,a2=2,公积为8,则a1+a2+a3+…+a12=________.答案28解析依题意得数列{a n}是周期为3的数列,且a1=1,a2=2,a3=4,因此a1+a2+a3+…+a12=4(a1+a2+a3)=4×(1+2+4)=28.3.对于E={a1,a2,...,a100}的子集X={a i1,a i2,...,a ik},定义X的“特征数列”为x1,x2,...,x100,其中x i1=x i2=...=x ik=1,其余项均为0,例如:子集{a2,a3}的“特征数列”为0,1,1,0,0, 0(1)子集{a1,a3,a5}的“特征数列”的前3项和等于________.(2)若E的子集P的“特征数列”为p1,p2,…,p100满足p1=1,p i+p i+1=1,1≤i≤99.E的子集Q的“特征数列”为q1,q2,…,q100满足q1=1,q j+q j+1+q j+2=1,1≤j≤98,则P∩Q的元素个数为________.答案(1)2(2)17解析(1)据“特征数列”定义知子集{a1,a3,a5}的特征数列为1,0,1,0,1,0,…,0,故其前三项和为2.(2)由定义知p1=1,p2=0,p3=1,p4=0…故集合P={a1,a3,a5,…,a99}={a i|i=2k+1,k∈N且k≤49},又q1=1,q2=q3=0,q4=1,q5=q6=0,q7=1,…,∴集合Q={a1,a4,a7,a10…}={a i|i=3k+1,k∈N且k≤33}.若a k∈P∩Q,则k=2k1+1=3k2+1,k1,k2∈N,k1≤49,k2≤33.即2k1=3k2,不妨设6k3=2k1=3k2,所以k1=3k3,k2=2k3,0≤3k3≤49,0≤2k3≤33,k3∈N,得k3∈{0,1,2,3,…,16},k =6k3+1,共有17个,P∩Q中元素个数为17.创新指导1.准确转化:解决数列新定义问题时,一定要读懂新定义的本质含义,将题目所给定义转化成题目要求的形式,切忌同已有概念或定义相混淆.2.方法选取:对于数列新定义问题,搞清定义是关键,仔细认真地从前几项(特殊处、简单处)体会题意,从而找到恰当的解决方法.已知数列{a n}中,a n=n2-kn(n∈N*),且{a n}单调递增,则k的取值范围是________.[错解][错因分析]在解答的过程中虽然注意了数列的定义域为正整数集,但是不能用二次函数对称轴法来判断数列的单调性.因为数列的图象不是连续的,而是离散的点.[正解]由题意得a n+1-a n=2n+1-k,又{a n}单调递增,故2n+1-k>0恒成立,即k<2n +1(n∈N*)恒成立,解得k<3.[答案]k<3[心得体会]课时练基础组1.数列{a n}的通项a n=nn2+90,则数列{a n}中的最大值是()A.310 B.19C.119 D.1060答案 C解析因为a n=1n+90n,运用基本不等式得,1n+90n≤1290,由于n∈N*,不难发现当n=9或10时,a n=119最大,故选C.2.数列{a n}的前n项积为n2,那么当n≥2时,{a n}的通项公式为() A.a n=2n-1 B.a n=n2C.a n=(n+1)2n2D.a n=n2(n-1)2答案 D解析设数列{a n}的前n项积为T n,则T n=n2,当n≥2时,a n=T nT n-1=n2 (n-1)2.3.已知数列{a n}的前n项和S n满足:S n+S m=S n+m,且a1=1,那么a10等于() A.1 B.9C.10 D.55答案 A解析∵S n+S m=S n+m,a1=1,∴S1=1.可令m=1,得S n+1=S n+1,∴S n+1-S n=1.即当n≥1时,a n+1=1,∴a10=1.4.已知数列{a n}的前n项和为S n,且S n=2a n-1(n∈N*),则a5等于()A.-16 B.16C.31 D.32答案 B解析当n=1时,S1=2a1-1,∴a1=1.当n ≥2时,S n -1=2a n -1-1, ∴a n =2a n -2a n -1, ∴a n =2a n -1.∴{a n }是等比数列且a 1=1,q =2, 故a 5=a 1×q 4=24=16.5.已知数列{a n }满足a 0=1,a n =a 0+a 1+…+a n -1(n ≥1),则当n ≥1时,a n 等于( ) A .2n B.12n (n +1) C .2n -1 D .2n -1答案 C解析 由题设可知a 1=a 0=1,a 2=a 0+a 1=2. 代入四个选项检验可知a n =2n -1.故选C.6. 已知数列{a n }的通项公式为a n =(n +2)⎝⎛⎭⎫78n,则当a n 取得最大值时,n 等于( ) A .5 B .6 C .5或6 D .7答案 C解析 由题意知⎩⎪⎨⎪⎧a n ≥a n -1,a n ≥a n +1,∴⎩⎨⎧(n +2)⎝⎛⎭⎫78n≥(n +1)⎝⎛⎭⎫78n -1,(n +2)⎝⎛⎭⎫78n≥(n +3)⎝⎛⎭⎫78n +1.∴⎩⎪⎨⎪⎧n ≤6,n ≥5.∴n =5或6. 7.在数列{a n }中,a 1=1,a n +1-a n =2n +1,则数列的通项a n =________. 答案 n 2解析 ∵a n +1-a n =2n +1.∴a n =(a n -a n -1)+(a n -1-a n -2)+…+(a 3-a 2)+(a 2-a 1)+a 1=(2n -1)+(2n -3)+…+5+3+1=n 2(n ≥2).当n =1时,也适用a n =n 2.8.已知数列{a n }的首项a 1=2,其前n 项和为S n .若S n +1=2S n +1,则a n =________.答案 ⎩⎪⎨⎪⎧2,n =1,3·2n -2,n ≥2解析 由S n +1=2S n +1,则有S n =2S n -1+1(n ≥2),两式相减得a n +1=2a n ,又S 2=a 1+a 2=2a 1+1,a 2=3,所以数列{a n }从第二项开始成等比数列,∴a n =⎩⎪⎨⎪⎧2,n =1,3·2n -2,n ≥2.9.已知数列{a n }中,a 1=1,a 2=2,设S n 为数列{a n }的前n 项和,对于任意的n >1,n ∈N *,S n +1+S n -1=2(S n +1)都成立,则S 10=________.答案 91解析 ∵⎩⎪⎨⎪⎧S n +1+S n -1=2S n +2,S n +2+S n =2S n +1+2,两式相减得a n +2+a n =2a n +1(n ≥2),∴数列{a n }从第二项开始为等差数列,当n =2时,S 3+S 1=2S 2+2,∴a 3=a 2+2=4,∴S 10=1+2+4+6+…+18=1+9(2+18)2=91. 10. 如图所示的图形由小正方形组成,请观察图①至图④的规律,并依此规律,写出第n 个图形中小正方形的个数是________.答案n (n +1)2解析 由已知,有a 1=1,a 2=3,a 3=6,a 4=10, ∴a 2-a 1=2,a 3-a 2=3,a 4-a 3=4,…,a n -a n -1=n , 各式相加,得a n -a 1=2+3+…+n , 即a n =1+2+…+n =n (n +1)2,故第n 个图形中小正方形的个数是n (n +1)2. 11.已知数列{a n }满足:a 1=1,2n -1a n =a n -1(n ∈N *,n ≥2). (1)求数列{a n }的通项公式;(2)这个数列从第几项开始及以后各项均小于11000? 解 (1)n ≥2时,a n a n -1=⎝⎛⎭⎫12n -1, 故a n =a n a n -1·…·a 3a 2·a 2a 1·a 1=⎝⎛⎭⎫12n -1·⎝⎛⎭⎫12n -2·…·⎝⎛⎭⎫122·⎝⎛⎭⎫121 =⎝⎛⎭⎫121+2+…+(n -1)=⎝⎛⎭⎫12(n -1)n 2,当n =1时,a 1=⎝⎛⎭⎫120=1,即n =1时也成立. ∴a n =⎝⎛⎭⎫12(n -1)n 2.(2)∵y =(n -1)n 在[1,+∞)上单调递增, ∴y =⎝⎛⎭⎫12(n -1)n 2在[1,+∞)上单调递减. 当n ≥5时,(n -1)n 2≥10,a n =⎝⎛⎭⎫12(n -1)n 2 ≤11024. ∴从第5项开始及以后各项均小于11000. 12.已知数列{a n }满足a n +1=⎩⎨⎧2a n ,0<a n≤12,2a n-1,12<a n<1,且a 1=67,求a 2015.解 ∵a 1=67∈⎝⎛⎭⎫12,1,∴a 2=2a 1-1=57. ∵a 2∈⎝⎛⎭⎫12,1,∴a 3=2a 2-1=37. ∵a 3∈⎝⎛⎭⎫0,12,∴a 4=2a 3=67=a 1, ∴{a n }是周期数列,T =3,∴a 2015=a 3×671+2=a 2=57.能力组13.已知数列{a n }满足条件12a 1+122a 2+123a 3+…+12n a n =2n +5,则数列{a n }的通项公式为( )A .a n =2n +1B .a n =⎩⎪⎨⎪⎧14(n =1)2n +1(n ≥2)C .a n =2nD .a n =2n +2答案 B解析 由题意可知,数列{a n }满足条件12a 1+122a 2+123a 3+…+12n a n =2n +5,则12a 1+122a 2+123a 3+…+12n -1a n -1 =2(n -1)+5,n >1,两式相减可得:a n2n =2n +5-2(n -1)-5=2,∴a n =2n +1,n >1,n ∈N *. 当n =1时,a 12=7,∴a 1=14,综上可知,数列{a n }的通项公式为:a n =⎩⎪⎨⎪⎧14(n =1),2n +1(n ≥2).故选B.14.在如图所示的数阵中,第9行的第2个数为________.答案 66解析 每行的第二个数构成一个数列{a n },由题意知a 2=3,a 3=6,a 4=11,a 5=18,则a 3-a 2=3,a 4-a 3=5,a 5-a 4=7,…,a n -a n -1=2(n -1)-1=2n -3,各式两边同时相加,得 a n -a 2=(2n -3+3)×(n -2)2=n 2-2n ,即a n =n 2-2n +a 2=n 2-2n +3(n ≥2),故a 9=92-2×9+3=66. 15.已知数列{a n }满足前n 项和S n =n 2+1,数列{b n }满足b n =2a n +1,且前n 项和为T n ,设c n =T 2n +1-T n .(1)求数列{b n }的通项公式; (2)判断数列{c n }的增减性.解 (1)a 1=2,a n =S n -S n -1=2n -1(n ≥2).∴b n=⎩⎨⎧23(n =1)1n (n ≥2).(2)∵c n =b n +1+b n +2+…+b 2n +1 =1n +1+1n +2+…+12n +1, ∴c n +1-c n =12n +2+12n +3-1n +1=12n +3-12n +2=-1(2n +3)(2n +2)<0, ∴{c n }是递减数列.16.已知数列{a n }中,a 1=12,a n +1=3a na n +3.(1)求a n ;(2)设数列{b n }的前n 项和为S n ,且b n ·n (3-4a n )a n =1,求证:12≤S n <1.解 (1)由已知得a n ≠0则由a n +1=3a n a n +3,得1a n +1=a n +33a n ,即1a n +1-1a n =13,而1a 1=2,∴⎩⎨⎧⎭⎬⎫1a n 是以2为首项,以13为公差的等差数列.∴1a n =2+13(n -1)=n +53,∴a n =3n +5. (2)证明:∵b n ·n (3-4a n )a n =1,由(1)知a n =3n +5,∴b n =a n n (3-4a n )=1n (n +1)=1n -1n +1,∴S n =b 1+b 2+…+b n =⎝⎛⎭⎫1-12+⎝⎛⎭⎫12-13+⎝⎛⎭⎫13-14+…+⎝⎛⎭⎫1n -1n +1=1-1n +1, 又∵n ≥1,∴n +1≥2,∴0<1n +1≤12. ∴12≤S n <1. 第2讲 等差数列及前n 项和 考点一 等差数列的概念及运算知识点1 等差数列的定义一般地,如果一个数列从第2项起,每一项与它的前一项的差等于同一个常数,那么这个数列就叫做等差数列,这个常数叫做等差数列的公差,公差通常用字母d 表示,定义的表达式为a n +1-a n =d ,d 为常数.2 等差中项如果a ,A ,b 成等差数列,那么A 叫做a 与b 的等差中项,且A =a +b2. 3 等差数列的通项公式及其变形通项公式:a n =a 1+(n -1)d ,其中a 1是首项,d 是公差.通项公式的变形:a n =a m +(n -m )d ,m ,n ∈N *.4 等差数列的前n 项和 等差数列的前n 项和公式:S n =n (a 1+a n )2=na 1+n (n -1)2d . 5 等差数列的单调性当d >0时,数列{a n }为递增数列; 当d <0时,数列{a n }为递减数列; 当d =0时,数列{a n }为常数列.注意点 定义法证明等差数列时的注意事项(1)证明等差数列时,切忌只通过计算数列的a 2-a 1,a 3-a 2,a 4-a 3等有限的几个项的差后,发现它们都等于同一个常数,就断言数列{a n }为等差数列.(2)用定义法证明等差数列时,常采用a n +1-a n =d ,若采用a n -a n -1=d ,则n ≥2,否则n =1时无意义.入门测1.思维辨析(1)若一个数列从第2项起每一项与它的前一项的差都是常数,则这个数列是等差数列.( )(2)数列{a n }为等差数列的充要条件是对任意n ∈N *,都有2a n +1=a n +a n +2.( ) (3)等差数列{a n }的单调性是由公差d 决定的.( )(4)数列{a n }为等差数列的充要条件是其通项公式为n 的一次函数.( ) (5)等差数列的前n 项和公式是常数项为0的二次函数.( ) 答案 (1)× (2)√ (3)√ (4)× (5)×2.等差数列{a n }的前n 项和为S n ,且S 3=6,a 3=4,则公差d 等于( ) A .1 B.53 C .2 D .3答案 C 解析 因为S 3=(a 1+a 3)×32=6,而a 3=4.所以a 1=0,所以d =a 3-a 12=2. 3.等差数列{a n }的前n 项和为S n ,若a 1=2,S 3=12,则a 6等于( ) A .8 B .10 C .12 D .14答案 C解析 ∵S 3=3(a 1+a 3)2=3a 2=12,∴a 2=4.∵a 1=2,∴d =a 2-a 1=4-2=2. ∴a 6=a 1+5d =12.故选C.[考法综述] 等差数列的定义,通项公式及前n 项和公式是高考中常考内容,用定义判断或证明等差数列,由n ,a n ,S n ,a 1,d 五个量之间的关系考查基本运算能力.命题法1 等差数列的基本运算典例1 等差数列{a n }的前n 项和记为S n .已知a 10=30,a 20=50. (1)求通项a n ; (2)若S n =242,求n .[解] (1)由a n =a 1+(n -1)d ,a 10=30,a 20=50,得方程组⎩⎪⎨⎪⎧a 1+9d =30,a 1+19d =50.解得a 1=12,d =2.所以a n =2n +10; (2)由S n =na 1+n (n -1)2d ,S n =242, 得方程12n +n (n -1)2×2=242, 解得n =11或n =-22(舍去).【解题法】 等差数列计算中的两个技巧(1)等差数列的通项公式及前n 项和公式,共涉及五个量a 1,a n ,d ,n ,S n ,知其中三个就能求另外两个,体现了用方程的思想解决问题.(2)数列的通项公式和前n 项和公式在解题中起到变量代换作用,而a 1和d 是等差数列的两个基本量,用它们表示已知和未知是常用方法.命题法2 等差数列的判定与证明典例2 数列{a n }满足a 1=1,a 2=2,a n +2=2a n +1-a n +2. (1)设b n =a n +1-a n ,证明{b n }是等差数列; (2)求{a n }的通项公式.[解] (1)证明:∵a n +2=2a n +1-a n +2, ∴b n +1-b n =a n +2-a n +1-(a n +1-a n ) =2a n +1-a n +2-2a n +1+a n =2.∴{b n }是以1为首项,2为公差的等差数列. (2)由(1)得b n =1+2(n -1),即a n +1-a n =2n -1, ∴a 2-a 1=1,a 3-a 2=3,a 4-a 3=5, …,a n -a n -1=2n -3,累加法可得 a n -a 1=1+3+5+…+(2n -3)=(n -1)2, ∴a n =n 2-2n +2.【解题法】 等差数列的判定方法(1)定义法:对于n ≥2的任意自然数,验证a n -a n -1为同一常数. (2)等差中项法:验证2a n -1=a n +a n -2(n ≥3,n ∈N *)成立. (3)通项公式法:验证a n =pn +q . (4)前n 项和公式法:验证S n =An 2+Bn .1.在等差数列{a n }中,若a 2=4,a 4=2,则a 6=( ) A .-1 B .0 C .1D .6答案 B解析 设数列{a n }的公差为d ,由a 4=a 2+2d ,a 2=4,a 4=2,得2=4+2d ,d =-1,∴a 6=a 4+2d =0.故选B.2.已知{a n }是等差数列,公差d 不为零,前n 项和是S n .若a 3,a 4,a 8成等比数列,则( ) A .a 1d >0,dS 4>0 B .a 1d <0,dS 4<0 C .a 1d >0,dS 4<0 D .a 1d <0,dS 4>0 答案 B解析 由a 24=a 3a 8,得(a 1+2d )(a 1+7d )=(a 1+3d )2,整理得d (5d +3a 1)=0,又d ≠0,∴a 1=-53d ,则a 1d =-53d 2<0,又∵S 4=4a 1+6d =-23d ,∴dS 4=-23d 2<0,故选B.3.设{a n }是首项为a 1,公差为-1的等差数列,S n 为其前n 项和.若S 1,S 2,S 4成等比数列,则a 1的值为________.答案 -12解析 由已知得S 1=a 1,S 2=a 1+a 2=2a 1-1,S 4=4a 1+4×32×(-1)=4a 1-6,而S 1,S 2,S 4成等比数列,所以(2a 1-1)2=a 1(4a 1-6),整理得2a 1+1=0,解得a 1=-12.4.已知数列{a n }的前n 项和为S n ,a 1=1,a n ≠0,a n a n +1=λS n -1,其中λ为常数. (1)证明:a n +2-a n =λ;(2)是否存在λ,使得{a n }为等差数列?并说明理由. 解 (1)证明:由题设,a n a n +1=λS n -1,a n +1a n +2=λS n +1-1. 两式相减得a n +1(a n +2-a n )=λa n +1. 由于a n +1≠0,所以a n +2-a n =λ.(2)由题设,a 1=1,a 1a 2=λS 1-1,可得a 2=λ-1. 由(1)知,a 3=λ+1. 令2a 2=a 1+a 3,解得λ=4. 故a n +2-a n =4,由此可得{a 2n -1}是首项为1,公差为4的等差数列,a 2n -1=4n -3; {a 2n }是首项为3,公差为4的等差数列,a 2n =4n -1. 所以a n =2n -1,a n +1-a n =2.因此存在λ=4,使得数列{a n }为等差数列.考点二 等差数列的性质及应用知识点等差数列及其前n 项和的性质已知{a n }为等差数列,d 为公差,S n 为该数列的前n 项和.(1)有穷等差数列中与首末两项等距离的两项的和相等,即a 1+a n =a 2+a n -1=a 3+a n -2=…=a k +a n -k +1=….(2)等差数列{a n }中,当m +n =p +q 时,a m +a n =a p +a q (m ,n ,p ,q ∈N *). 特别地,若m +n =2p ,则2a p =a m +a n (m ,n ,p ∈N *).(3)相隔等距离的项组成的数列是等差数列,即a k ,a k +m ,a k +2m ,…仍是等差数列,公差为md (k ,m ∈N *).(4)S n ,S 2n -S n ,S 3n -S 2n ,…也成等差数列,公差为n 2d .(5)⎩⎨⎧⎭⎬⎫S n n 也成等差数列,其首项与{a n }首项相同,公差是{a n }的公差的12.(6)在等差数列{a n }中,①若项数为偶数2n ,则S 2n =n (a 1+a 2n )=n (a n +a n +1);S 偶-S 奇=nd ;S 奇S 偶=a na n +1.②若项数为奇数2n -1,则S 2n -1=(2n -1)a n ;S 奇-S 偶=a n ;S 奇S 偶=nn -1.(7)若数列{a n }与{b n }均为等差数列,且前n 项和分别是S n 和T n ,则S 2m -1T 2m -1=a mb m. (8)若数列{a n },{b n }是公差分别为d 1,d 2的等差数列,则数列{pa n },{a n +p },{pa n +qb n }都是等差数列(p ,q 都是常数),且公差分别为pd 1,d 1,pd 1+qd 2.注意点 前n 项和性质的理解等差数列{a n }中,设前n 项和为S n ,则S n ,S 2n ,S 3n 的关系为2(S 2n -S n )=S n +(S 3n -S 2n )不要理解为2S 2n =S n +S 3n .入门测1.思维辨析(1)等差数列{a n }中,有a 1+a 7=a 2+a 6.( )(2)若已知四个数成等差数列,则这四个数可设为a -2d ,a -d ,a +d ,a +2d .( ) (3)若三个数成等差数列,则这三个数可设为:a -d ,a ,a +d .( )(4)求等差数列的前n 项和的最值时,只需将它的前n 项和进行配方,即得顶点为其最值处.( )答案 (1)√ (2)× (3)√ (4)×2.若S n 是等差数列{a n }的前n 项和,a 2+a 10=4,则S 11的值为( ) A .12 B .18 C .22 D .44答案 C解析 由题可知S 11=11(a 1+a 11)2=11(a 2+a 10)2=11×42=22,故选C.3.在等差数列{a n }中,若a 4+a 6+a 8+a 10+a 12=90,则a 10-13a 14的值为( )A .12B .14C .16D .18答案 A解析 由题意知5a 8=90,a 8=18,a 10-13a 14=a 1+9d -13(a 1+13d )=23a 8=12,选A 项.[考法综述] 等差数列的性质是高考中的常考内容,灵活应用由概念推导出的重要性质,在解题过程中可以达到避繁就简的目的.命题法1 等差数列性质的应用典例1 等差数列{a n }中,如果a 1+a 4+a 7=39,a 3+a 6+a 9=27,则数列{a n }前9项的和为( )A .297B .144C .99D .66[解析] 由a 1+a 4+a 7=39,得3a 4=39,a 4=13. 由a 3+a 6+a 9=27,得3a 6=27,a 6=9. 所以S 9=9(a 1+a 9)2=9(a 4+a 6)2=9×(13+9)2=9×11=99,故选C. [答案] C【解题法】 应用等差数列性质应注意(1)要注意等差数列通项公式及前n 项和公式的灵活应用,如a n =a m +(n -m )d ,d =a n -a mn -m,S 2n -1=(2n -1)a n ,S n =n (a 1+a n )2=n (a 2+a n -1)2(n ,m ∈N *)等.(2)如果{a n }为等差数列,m +n =p +q ,则a m +a n =a p +a q ( m ,n ,p ,q ∈N *).一般地,a m+a n ≠a m +n ,必须是两项相加,当然也可以是a m -n +a m +n =2a m .因此,若出现a m -n ,a m ,a m +n 等项时,可以利用此性质将已知条件转化为与a m (或其他项)有关的条件.命题法2 与等差数列前n 项和有关的最值问题典例2 等差数列{a n }中,设S n 为其前n 项和,且a 1>0,S 3=S 11,则当n 为多少时,S n最大?[解] 解法一:由S 3=S 11得3a 1+3×22d =11a 1+11×102d ,则d =-213a 1.从而S n =d2n 2+⎝⎛⎭⎫a 1-d 2n =-a 113(n -7)2+4913a 1,又a 1>0,所以-a 113<0.故当n =7时,S n 最大.解法二:由于S n =an 2+bn 是关于n 的二次函数,由S 3=S 11,可知S n =an 2+bn 的图象关于n =3+112=7对称.由解法一可知a =-a 113<0,故当n =7时,S n 最大.解法三:由解法一可知,d =-213a 1.要使S n 最大,则有⎩⎪⎨⎪⎧a n ≥0,a n +1≤0, 即⎩⎨⎧a 1+(n -1)⎝⎛⎭⎫-213a 1≥0,a 1+n ⎝⎛⎭⎫-213a 1≤0,解得6.5≤n ≤7.5,故当n =7时,S n 最大. 解法四:由S 3=S 11,可得2a 1+13d =0, 即(a 1+6d )+(a 1+7d )=0,故a 7+a 8=0,又由a 1>0,S 3=S 11可知d <0, 所以a 7>0,a 8<0,所以当n =7时,S n 最大. 【解题法】 求等差数列前n 项和的最值的方法(1)二次函数法:用求二次函数最值的方法(配方法)求其前n 项和的最值,但要注意n ∈N *. (2)图象法:利用二次函数图象的对称性来确定n 的值,使S n 取得最值.(3)项的符号法:当a 1>0,d <0时,满足⎩⎪⎨⎪⎧a n ≥0a n +1≤0的项数n ,使S n 取最大值;当a 1<0,d >0时,满足⎩⎪⎨⎪⎧a n ≤0,a n +1 ≥0的项数n ,使S n 取最小值,即正项变负项处最大,负项变正项处最小,若有零项,则使S n 取最值的n 有两个.1.设{a n }是等差数列.下列结论中正确的是( ) A .若a 1+a 2>0,则a 2+a 3>0 B .若a 1+a 3<0,则a 1+a 2<0 C .若0<a 1<a 2,则a 2>a 1a 3 D .若a 1<0,则(a 2-a 1)(a 2-a 3)>0 答案 C解析 若{a n }是递减的等差数列,则选项A 、B 都不一定正确.若{a n }为公差为0的等差数列,则选项D 不正确.对于C 选项,由条件可知{a n }为公差不为0的正项数列,由等差中项的性质得a 2=a 1+a 32,由基本不等式得a 1+a 32>a 1a 3,所以C 正确. 2.在等差数列{a n }中,a 1>0,a 2012+a 2013>0,a 2012·a 2013<0,则使S n >0成立的最大自然数n 是( )A .4025B .4024C .4023D .4022答案 B解析 ∵等差数列{a n }的首项a 1>0,a 2012+a 2013>0,a 2012·a 2013<0,假设a 2012<0<a 2013,则d >0,而a 1>0,可得a 2012=a 1+2011d >0,矛盾,故不可能. ∴a 2012>0,a 2013<0. 再根据S 4024=4024(a 1+a 4024)2=2012(a 2012+a 2013)>0,而S 4025=4025a 2013<0,因此使前n 项和S n >0成立的最大自然数n 为4024.3.已知等差数列{a n },{b n }的前n 项和分别为S n ,T n ,若S n T n =2n 3n +1,则a nb n =( )A.23 B.2n -13n -1 C.2n +13n +1D.2n -13n +4答案 B解析 a n b n =2a n2b n =2n -12(a 1+a 2n -1)2n -12(b 1+b 2n -1)=S 2n -1T 2n -1=2(2n -1)3(2n -1)+1=2n -13n -1.故选B.4.在等差数列{a n }中,若a 3+a 4+a 5+a 6+a 7=25,则a 2+a 8=________. 答案 10解析 由a 3+a 4+a 5+a 6+a 7=25,得5a 5=25,所以a 5=5,故a 2+a 8=2a 5=10.5.中位数为1010的一组数构成等差数列,其末项为2015,则该数列的首项为________. 答案 5解析 设等差数列的首项为a 1,根据等差数列的性质可得,a 1+2015=2×1010,解得a 1=5.6.在等差数列{a n }中,a 1=7,公差为d ,前n 项和为S n ,当且仅当n =8时S n 取得最大值,则d 的取值范围为________.答案 ⎝⎛⎭⎫-1,-78 解析 由题意知d <0且⎩⎪⎨⎪⎧ a 8>0,a 9<0,即⎩⎪⎨⎪⎧7+7d >0,7+8d <0,解得-1<d <-78.7.若等差数列{a n }满足a 7+a 8+a 9>0,a 7+a 10<0,则当n =________时,{a n }的前n 项和最大. 答案 8解析 根据题意知a 7+a 8+a 9=3a 8>0,即a 8>0.又a 8+a 9=a 7+a 10<0,∴a 9<0,∴当n =8时,{a n }的前n 项和最大.8.已知公差大于零的等差数列{a n }的前n 项和为S n ,且满足a 3·a 4=117,a 2+a 5=22. (1)求通项a n ; (2)求S n 的最小值;(3)若数列{b n }是等差数列,且b n =S nn +c,求非零常数c . 解 (1)因为数列{a n }为等差数列, 所以a 3+a 4=a 2+a 5=22. 又a 3·a 4=117,所以a 3,a 4是方程x 2-22x +117=0的两实根, 又公差d >0,所以a 3<a 4, 所以a 3=9,a 4=13,所以⎩⎪⎨⎪⎧ a 1+2d =9,a 1+3d =13,所以⎩⎪⎨⎪⎧a 1=1,d =4.所以通项a n =4n -3. (2)由(1)知a 1=1,d =4. 所以S n =na 1+n (n -1)2×d =2n 2-n =2⎝⎛⎭⎫n -142-18. 所以当n =1时,S n 最小,最小值为S 1=a 1=1. (3)由(2)知S n =2n 2-n ,所以b n =S nn +c =2n 2-n n +c,所以b 1=11+c ,b 2=62+c ,b 3=153+c. 因为数列{b n }是等差数列, 所以2b 2=b 1+b 3, 即62+c ×2=11+c +153+c, 所以2c 2+c =0,所以c =-12或c =0(舍去),故c =-12.已知等差数列{a n }的前n 项和为S n ,且a 5=9,S 5=15,则使其前n 项和S n 取得最小值时的n =________.[错解][错因分析] 等差数列的前n 项和最值问题,可以通过找对称轴来确定,本题只关注到n ∈N *,并未关注到n =1与n =2时,S 1=S 2,导致错误.[正解] ∵a 5=9,S 5=15,∴a 1=-3,d =3. ∴a n =3n -6,S n =32n 2-92n .把S n 看作是关于n 的二次函数,其对称轴为n =32.∴当n =1或n =2时,S 1=S 2且最小. [心得体会]课时练 基础组1.已知等差数列{a n }中,a 7+a 9=16,S 11=992,则a 12的值是( )A .15B .30C .31D .64答案 A解析 由题意可知2a 8=a 7+a 9=16⇒a 8=8,S 11=11(a 1+a 11)2=11×2a 62=11a 6=992,a 6=92,则d =a 8-a 62=74,所以a 12=a 8+4d =15,故选A. 2.已知S n 表示数列{a n }的前n 项和,若对任意的n ∈N *满足a n +1=a n +a 2,且a 3=2,则S 2014=( )A .1006×2013B .1006×2014C .1007×2013D .1007×2014答案 C解析 在a n +1=a n +a 2中,令n =1,则a 2=a 1+a 2,a 1=0,令n =2,则a 3=2=2a 2,a 2=1,于是a n +1-a n =1,故数列{a n }是首项为0,公差为1的等差数列,S 2014=2014×20132=1007×2013.故选C.3.在数列{a n }中,若a 1=1,a 2=12,2a n +1=1a n +1a n +2(n ∈N *),则该数列的通项为( )A .a n =1nB .a n =2n +1C .a n =2n +2D .a n =3n答案 A解析由已知式2a n+1=1a n+1a n+2可得1a n+1-1a n=1a n+2-1a n+1,知⎩⎨⎧⎭⎬⎫1a n是首项为1a1=1,公差为1a2-1a1=2-1=1的等差数列,所以1a n=n,即a n=1n.4.设等差数列{a n}的前n项和为S n,若S3=9,S6=36,则a7+a8+a9=()A.63 B.45C.36 D.27答案 B解析S3=9,S6-S3=36-9=27,根据S3,S6-S3,S9-S6成等差数列,S9-S6=45,S9-S6=a7+a8+a9=45,故选B.5.已知等差数列{a n}中,前四项和为60,最后四项和为260,且S n=520,则a7=() A.20 B.40C.60 D.80答案 B解析前四项的和是60,后四项的和是260,若有偶数项,则中间两项的和是(60+260)÷4=80.S n=520,520÷80不能整除,说明没有偶数项,有奇数项,则中间项是(60+260)÷8=40.所以共有520÷40=13项,因此a7是中间项,所以a7=40.6.已知等差数列{a n}的前n项和为S n,且S4S2=4,则S6S4=()A.94 B.32C.53D.4答案 A解析由S4S2=4,可设S2=x,S4=4x.∵S2,S4-S2,S6-S4成等差数列,∴2(S4-S2)=S2+(S6-S4).则S6=3S4-3S2=12x-3x=9x,因此,S6S4=9x4x=94.7.设等差数列{a n}的前n项和为S n,若a1=-3,a k+1=32,S k=-12,则正整数k=______.答案13解析由S k+1=S k+a k+1=-12+32=-212,又S k+1=(k+1)(a1+a k+1)2=(k+1)⎝⎛⎭⎫-3+322=-212,解得k=13.8.设正项数列{a n }的前n 项和是S n ,若{a n }和{S n }都是等差数列,且公差相等,则a 1=________.答案14解析 设等差数列{a n }的公差为d , 则S n =d 2n 2+(a 1-d2)n ,∴S n =d 2n 2+⎝⎛⎭⎫a 1-d 2n ,数列{S n }是等差数列,则S n 是关于n 的一次函数(或者是常数),则a 1-d2=0,S n =d2n ,从而数列{S n }的公差是d2,那么有d 2=d ,d =0(舍去)或d =12,故a 1=14.9.已知等差数列{a n }的前n 项和为S n ,若S 2=10,S 5=55,则a 10=________. 答案 39解析 设等差数列{a n }的公差为d ,由题意可得⎩⎪⎨⎪⎧a 1+(a 1+d )=10,5a 1+5×42d =55,即⎩⎪⎨⎪⎧2a 1+d =10,a 1+2d =11,解得a 1=3,d =4,a 10=a 1+(10-1)d =39. 10设数列{a n }为等差数列,数列{b n }为等比数列.若a 1<a 2,b 1<b 2,且b i =a 2i (i =1,2,3),则数列{b n }的公比为________.答案 3+2 2解析 设a 1,a 2,a 3分别为a -d ,a ,a +d ,因为a 1<a 2,所以d >0,又b 22=b 1b 3,所以a 4=(a -d )2(a +d )2=(a 2-d 2)2,则a 2=d 2-a 2或a 2=a 2-d 2(舍),则d =±2a .若d =-2a ,则q =b 2b 1=⎝⎛⎭⎫a 2a 12=(1-2)2=3-22<1,舍去;若d =2a ,则q =⎝⎛⎭⎫a 2a 12=3+2 2. 11.等差数列{a n }的前n 项和为S n .已知a 1=10,a 2为整数,且S n ≤S 4. (1)求{a n }的通项公式;(2)设b n =1a n a n +1,求数列{b n }的前n 项和T n .解 (1)由a 1=10,a 2为整数知,等差数列{a n }的公差d 为整数,又S n ≤S 4,故a 4≥0,a 5≤0,于是10+3d ≥0,10+4d ≤0.解得-103≤d ≤-52. 因此d =-3.数列{a n }的通项公式为a n =13-3n . (2)b n =1(13-3n )(10-3n )=13⎝⎛⎭⎫110-3n -113-3n .于是T n =b 1+b 2+…+b n =13⎣⎢⎡⎦⎥⎤⎝⎛⎭⎫17-110+⎝⎛⎭⎫14-17+…+⎝⎛ 110-3n -⎭⎫113-3n=13⎝⎛⎭⎫110-3n -110=n10(10-3n ).12.已知数列{a n }的前n 项和为S n ,且满足:a n +2S n S n -1=0(n ≥2,n ∈N *),a 1=12,判断{a n }是否为等差数列,并说明你的理由.解 数列{a n }不是等差数列,a n =S n -S n -1(n ≥2),a n +2S n S n -1=0, ∴S n -S n -1+2S n S n -1=0(n ≥2), ∴1S n -1S n -1=2(n ≥2),又S 1=a 1=12, ∴⎩⎨⎧⎭⎬⎫1S n 是以2为首项,2为公差的等差数列. ∴1S n =2+(n -1)×2=2n ,故S n =12n. ∴当n ≥2时,a n =S n -S n -1=12n -12(n -1)=-12n (n -1),∴a n +1=-12n (n +1),而a n +1-a n =-12n (n +1)--12n (n -1)=-12n ⎝⎛⎭⎫1n +1-1n -1=1n (n -1)(n +1).∴当n ≥2时,a n +1-a n 的值不是一个与n 无关的常数,故数列{a n }不是一个等差数列.能力组13.已知正项数列{a n }中,a 1=1,a 2=2,2a 2n =a 2n +1+a 2n -1(n ≥2),则a 6等于( )A .16B .8C .2 2D .4答案 D解析 由2a 2n =a 2n +1+a 2n -1(n ≥2)可得,数列{a 2n }是首项为a 21=1,公差为a 22-a 21=3的等差数列,由此可得a 2n =1+3(n -1)=3n -2,即得a n =3n -2,∴a 6=3×6-2=4,故应选D.14.已知数列{a n }为等差数列,若a 11a 10<-1,且它们的前n 项和S n 有最大值,则使S n >0的n 的最大值为( )A .11B .19C .20D .21答案 B 解析 ∵a 11a 10<-1,且S n 有最大值, ∴a 10>0,a 11<0,且a 10+a 11<0, ∴S 19=19(a 1+a 19)2=19·a 10>0, S 20=20(a 1+a 20)2=10(a 10+a 11)<0, 故使得S n >0的n 的最大值为19.。
2023年新高考数学一卷数列题的变式2023年新高考数学一卷数列题的变式共有三道,分别是关于数列的递推、通项公式和求和公式的应用。
第一题:已知数列{an}的递推公式为an = 2an-1 - 3,其中a1 = 4。
(1)求数列{an}的前5项;(2)判断数列{an}是否是等差数列,并给出理由。
解析:(1)根据递推公式,代入a1 = 4,可得a2 = 2×4 - 3 = 5;再代入a2,可得a3 = 2×5 - 3 = 7;以此类推,可得a4 = 2×7 - 3 = 11;再代入a4,可得a5 = 2×11 - 3 = 19。
因此,数列{an}的前5项依次为:4,5,7,11,19。
(2)首先我们计算差数列的公差,差数列{bn}的递推公式为bn = an+1 - an。
代入an = 2an-1 - 3和an+1 = 2an - 3,可得bn = 2(2an-1 - 3) - (2an - 3) = 4an - 8 - 2an + 3 = 2an - 5。
计算bn的前4项:2a2 - 5 = 2×5 - 5 = 5,2a3 - 5 = 2×7 - 5 = 9,2a4 - 5 = 2×11 - 5 = 17,2a5 - 5 = 2×19 - 5 = 33。
可见,差数列{bn}的前4项并不等于常数,因此数列{an}不是等差数列。
第二题:已知数列{an}的通项公式为an = 2n^2 + 3n - 1。
(1)求数列{an}的前3项;(2)求数列{an}的前n项和Sn。
解析:(1)代入n = 1,2,3即可得到数列{an}的前3项:a1 = 2×1^2 + 3×1 - 1 = 4,a2 = 2×2^2 + 3×2 - 1 = 13,a3 = 2×3^2 + 3×3 - 1 = 26。
高中数学教材变式题汇总:《计数原理》1.(人教A 版选修2-3第22页例4)用 0 到 9 这 10 个数字,可以组成多少个没有重复数字的三位数 ?变式1: 由1,4,5,x 可组成没有重复数字的四位数,若所有这些四位数的各位数字之和为288,则x = .【解析】:(1+4+5+x )44A =288,解得10+x =12.【答案】:x =2.变式2:在由数字1,2,3,4,5组成的所有没有重复数字的5位数中,大于23145且小于43521的数共有 ( )(A )56个 (B )57个 (C )58个 (D )60个【解答】解法一:(直接法)当首位排2,次位排3时,有A 33-1种;次位排4、5时有2 A 33种,共计17种;当首位排3,A 44种,共计24种;当首位排4,次位排3时,有A 33-1种;次位排1、2时有2 A 33种,共计17种;以上总计17+24+17=58种。
解法二:(间接法)不作限定时有55A =120种;当首位排1或5时,各有A 44种,共计48种不满足要求;当首位排2,次位排1时,有A 33种;而次位排3时有1种,共计7种不满足要求; 当首位排4,次位排5时,有A 33种;而次位排3时有1种,共计7种不满足要求; 因此共有120-48-7-7=58种排法,即58个数.变式3:给定数字0、1、2、3、5、9每个数字最多用一次 (1)可能组成多少个四位数?(2)可能组成多少个四位奇数? (3)可能组成多少个四位偶数?(4)可能组成多少个自然数?【分析】:注意0不能放在首位,还要注意个位数字,方法多种多样,利用特殊优先法,即特殊的元素,特殊的位置优先考虑.【解答】(1)解法一:从“位置”考虑,由于0不能放在首位,因此首位数字只能有15A 种取法,其余3个数位可以从余下的5个数字(包括0)中任取3个排列,所以可以组成3003515 A A 个四位数;解法二:从“元素”考虑,组成的四位数可以按有无数字0分成两类,有数字0的有3513A A 个,无数字0的有45A 个,所以共组成3513A A +45A =300个四位数;解法三:“排除法”从6个元素中取4个元素的所有排列中,减去0在首位上的排列数即为所求,所以共有300351146=-A A A 个四位数;(2)从“位置”考虑,个位数字必须是奇数有14A 种排法,由于0不能放在首位,因此首位数字只能有14A 种取法,其余两个数位的排法有24A ,所以共有192241414=A A A 个四位奇数; (3)解法一:由(1)(2)知共有300-192=108个四位偶数;解法二:从“位置”考虑,按个位数字是否为0分成两种情况,0在个位时,有3511A A 个四位偶数;2在个位时,有241411A A A 个四位偶数,所以共有3511A A +241411A A A =108个四位偶数; (4)一位数:有16A =6个;两位数:有1515A A =25个;三位数:有2515A A =100个; 四位数:有3515A A =300个;五位数:有4515A A =600个;六位数:有5515A A =600个; 所以共有6+25+100+300+600+600=1631个自然数.【点评】解有条件限制的排列问题思路:①正确选择原理;②处理好特殊元素和特殊位置,先让特殊元素占位,或特殊位置选元素;③再考虑其余元素或其余位置;④数字的排列问题,0不能排在首位.2.(人教A 版选修2-3第29页例4)在 100 件产品中,有 98 件合格品,2 件次品,从这 100 件产品中任意抽出 3 件。
高中数列题目归纳总结大全数列是高中数学中的一个重要概念,它在数学建模、微积分、概率论等领域都有广泛的应用。
本文将对高中数列相关的题目进行归纳总结,以帮助同学们更好地理解和掌握数列的概念和解题方法。
一、等差数列1. 概念:等差数列指的是一个数列中任意两个相邻项之间的差值都相等的数列。
2. 公式:假设首项为a₁,公差为d,第n项为aₙ,则等差数列的通项公式为aₙ = a₁ + (n - 1)d。
3. 性质:- 任意三项成等差数列时,它们的差值相等。
- 如果知道首项、公差和项数,可以通过通项公式求出数列中任意一项的值。
- 等差数列的前n项和公式为Sₙ = (a₁ + aₙ) * n / 2。
4. 例题:(1) 求等差数列1,4,7,..."首项为1,公差为3,求第n项的值。
(2) 已知等差数列的首项为3,末项为99,项数为33,求公差的值。
(3) 求等差数列3,6,9,...的前20项和。
二、等比数列1. 概念:等比数列指的是一个数列中任意两个相邻项之间的比值都相等的数列。
2. 公式:假设首项为a₁,公比为r,第n项为aₙ,则等比数列的通项公式为aₙ = a₁ * r^(n - 1)。
3. 性质:- 任意三项成等比数列时,它们的比值相等。
- 如果知道首项、公比和项数,可以通过通项公式求出数列中任意一项的值。
- 等比数列的前n项和公式为Sₙ = a₁ * (r^n - 1) / (r - 1),其中r≠1。
4. 例题:(1) 求等比数列2,8,32,..."首项为2,公比为4,求第n项的值。
(2) 已知等比数列的首项为5,末项为320,公比为2,求项数的值。
(3) 求等比数列3,6,12,...的前10项和。
三、斐波那契数列1. 概念:斐波那契数列是一个特殊的数列,前两项为1,1,从第三项开始,每一项都等于前两项之和。
2. 公式:假设首项为a₁,第二项为a₂,第n项为aₙ,则斐波那契数列的通项公式为aₙ = aₙ₋₂ + aₙ₋₁。
高中数学教材题目变式汇总一、集合与函数1.(人教版第14页B 组第1题)已知集合{}1,2A =,集合B 满足{}1,2A B = ,则集合B 有 个.变式1:已知集合{}1,2A =,集合B 满足A B A = ,集合B 与集合A 之间满足的关系是 解:B A ⊆变式2:已知集合A 有n 个元素,则集合A 的子集个数有 个,真子集个数有 个 解:子集个数有2n个,真子集个数有21n-个变式3:满足条件{}{}1,21,2,3A = 的所有集合A 的个数是 个解:3必须在集合A 里面,A 的个数相当于2元素集合的子集个数,所以有4个. 设计意图:考察集合的运算与集合之间的关系 2.(人教版第14页A 组第10题)已知集合{}|37A x x =≤<,{}|210B x x =<<,求()R C A B ,()R C A B ,()R C A B ,()R A C B变式1:已知全集,U R =且{}{}2|12,|680,A x x B x x x =->=-+<则()U C A B 等于A.[1,4)- B (2,3) C (2,3] D (1,4)- 解:答案为C ,集合{}{}||1|2|31A x x x x x =->=><-或,所以{}|13U C A x x =-≤≤,集合{}{}2|680|24B x x x x x =-+<=<<,所以()U C A B 为(2,3]变式2:设集合{}22,A x x x R =-≤∈,{}2|,12B y y x x ==--≤≤,则()R C A B等于( )A .RB .{},0x x R x ∈≠ C .{}0 D .∅ 解:[0,4]A =,[4,0]B =-,所以(){0}R R C A B C = ,故选B 。
变式3.已知集合{}|110,P x N x =∈≤≤集合{}2|60,Q x R x x =∈+-=则P Q 等于(A ){}1,2,3 (B ){}2,3 (C ){}1,2 (D ){}2解:集合{}{}2|603,2Q x R x x =∈+-==-,所以答案为D.设计意图:结合不等式考察集合的运算3.(北师大版第21页B 组第2题)已知集合{}31,3,A a =-,{}1,2B a =+,是否存在实数a ,使得B A ⊆,若存在,求集合A 和B ,若不存在,请说明理由.变式1:已知集合A ={-1,3,2m -1},集合B ={3,2m }.若B A ⊆,则实数m = .解:由已知22212101m m m m m =-⇒-+=⇒=变式2:{}2|60A x x x =+-=,{}|10B x mx =+=,且A B A = ,则m 的取值范围是______ .解:{}{}2|603,2A x R x x =∈+-==-,当B =Φ时,0m =,当0m ≠时,1x m =-,所以12m-=或13m -=-,所以12m =-或13m =-,所以110,,23m ⎧⎫∈-⎨⎬⎩⎭变式3:设{}2|40A x x x =+=,{}22|2(1)10B x x a x a =+++-=且A B B = ,求实数a 的值.解:{}4,0A =-,因为A B B = ,所以B A ⊆,所以B =Φ或{}4B =-或{}0B =或{}4,0B =-,当B =Φ时,224(1)4(1)01a a a ∆=+--<⇒<-,当{}4B =-或{}0B =时, 01a ∆=⇒=-,{}0B =符合题意,当{}4,0B =-时,2402(1)401a a -+=-+⎧⎨-⨯=-⎩1a ⇒= 所以1a ≤-或1a =设计意图:结合参数讨论考察集合运算4.(北师大版第38页B 组第1题)设函数()f x =()g x =,求函数()()f x g x 的定义域.变式1: 函数)13lg(13)(2++-=x xx x f 的定义域是A.),31(+∞-B. )1,31(- C. )31,31(- D. )31,(--∞解:由13101301<<-⇒⎩⎨⎧>+>-x x x ,故选B.变式2:设()x x x f -+=22lg,则⎪⎭⎫⎝⎛+⎪⎭⎫ ⎝⎛x f x f 22的定义域为高中数学教材题目变式汇总A. ()()4,00,4 -B. ()()4,11,4 --C. ()()2,11,2 --D. ()()4,22,4 --解:选 C.由202x x +>-得,()f x 的定义域为{}|22x x -<<。
4.1.2 数列的递推公式知识点一数列的递推公式如果一个数列的相邻两项或多项之间的关系可以用一个式子来表示,那么这个式子叫做这个数列的递推公式.数列递推公式与通项公式的关系:递推公式表示a n 与它的前一项a n -1(或前n 项)之间的关系,而通项公式表示a n 与n 之间的关系. 要点二 a n 与S n 的关系1.前n 项和S n :把数列{a n }从第1项起到第n 项止的各项之和,称为数列{a n }的前n 项和,记作S n ,即S n =12n a a a +++ 2.a n 与S n 的关系:a n =11,1,2n n S n S S n -=⎧⎨-≥⎩【基础自测】1.判断正误(正确的画“√”,错误的画“×”) (1)根据通项公式可以求出数列的任意一项.( ) (2)有些数列可能不存在最大项.( ) (3)递推公式是表示数列的一种方法.( ) (4)所有的数列都有递推公式.( ) 【答案】(1)√(2)√(3)√(4)×2.数列{a n }中,a n +1=a n +2-a n ,a 1=2,a 2=5,则a 5=( ) A .-3 B .-11 C .-5 D .19 【答案】D【解析】a 3=a 2+a 1=5+2=7,a 4=a 3+a 2=7+5=12,a 5=a 4+a 3=12+7=19,故选D. 3.数列{a n }中,a n =2n 2-3,则125是这个数列的第几项( ) A .4 B .8 C .7 D .12 【答案】B【解析】令2n 2-3=125得n =8或n =-8(舍),故125是第8项.故选B. 4.已知数列{a n }的前n 项和为S n =n 2,则a n =________. 【答案】2n -1【解析】当n ≥2时,a n =S n -S n -1=n 2-(n -1)2=n 2-n 2+2n -1=2n -1.当n =1时,a 1=S 1=1满足上式,所以{a n }的通项公式为a n =2n -1.题型一 数列中项与项数关系的判断(1)写出数列的一个通项公式,并求出它的第20项;(2)判断42和10是不是该数列中的项?若是,指出是数列的第几项,若不是,请说明理由.【解析】(1)由于22=8,所以该数列前4项中,根号下的数依次相差3,所以它的一个通项公式为a n =3n -1;a 20=3×20-1=59.(2)令3n -1=42,两边平方得3n =33,解得n =11,是正整数令3n -1=10,两边平方得n =1013,不是整数.∴42是数列的第11项,10不是数列中的项. 【方法归纳】(1)由通项公式写出数列的指定项,主要是对n 进行取值,然后代入通项公式,相当于函数中,已知函数解析式和自变量的值求函数值.(2)判断一个数是否为该数列中的项,其方法是可由通项公式等于这个数求方程的根,根据方程有无正整数根便可确定这个数是否为数列中的项.(3)在用函数的有关知识解决数列问题时,要注意它的定义域是N *(或它的有限子集{1,2,3,…,n })这一约束条件.【跟踪训练1】已知数列{a n }的通项公式为a n =3n 2-28n . (1)写出此数列的第4项和第6项;(2)问-49是否是该数列的一项?如果是,应是哪一项?68是否是该数列的一项呢? 【解析】(1)a 4=3×42-28×4=-64, a 6=3×62-28×6=-60.(2)由3n 2-28n =-49解得n =7或n =73(舍去),所以-49是该数列的第7项.由3n 2-28n =68解得n =-2或n =343,所以68不是该数列的一项.题型二 已知S n 求a n例2 设S n 为数列{a n }的前n 项和,S n =2n 2-30n .求a n . 【解析】当n ≥2时,a n =S n -S n -1=2n 2-30n -[2(n -1)2-30(n -1)]=4n -32 当n =1时,a 1=S 1=-28,适合上式, 所以a n =4n -32.借助a n =⎩⎪⎨⎪⎧S 1,(n =1)S n -S n -1(n ≥2)【变式探究1】将本例中的“S n =2n 2-30n ”换为“S n =2n 2-30n +1”,求a n . 【解析】当n =1时,a 1=S 1=2×1-30×1+1=-27. 当n ≥2时,a n =S n -S n -1=2n 2-30n +1-[2(n -1)2-30(n -1)+1] =4n -32.验证当n =1时,上式不成立∴a n =⎩⎪⎨⎪⎧-27,n =14n -32,n ≥2.方法归纳已知数列{a n }的前n 项和公式S n ,求通项公式a n 的步骤: (1)当n =1时,a 1=S 1.(2)当n ≥2时,根据S n 写出S n -1,化简a n =S n -S n -1.(3)如果a 1也满足当n ≥2时,a n =S n -S n -1的通项公式,那么数列{a n }的通项公式为a n =S n -S n -1;如果a 1不满足当n ≥2时,a n =S n -S n -1的通项公式,那么数列{a n }的通项公式要分段表示为a n =⎩⎪⎨⎪⎧S 1,n =1S n -S n -1,n ≥2.【跟踪训练2】已知数列:a 1+3a 2+32a 3+…+3n -1a n =n 3,求a n .【解析】当n ≥2时,由a 1+3a 2+32a 3+…+3n -1a n =n 3,得a 1+3a 2+32a 3+…+3n -2a n -1=n -13,两式相减得3n -1a n =n 3-n -13=13,则a n =13n .当n =1时,a 1=13,满足a n =13n ,所以a n =13n .题型三 由数列递推公式求通项公式【例3】已知数列{a n }中,a 1=1,a n +1=a n +n +1,则a n =________.【答案】n (n +1)2【解析】∵a n +1=a n +n +1,a 1=1,∴a n +1-a n =n +1, ∴a n -a n -1=n ,a n -1-a n -2=n -1,…,a 2-a 1=2 以上式子相加得: a n -a 1=2+3+…+n∴a n =1+2+3+…+n =n (n +1)2.变形为:a n +1-a n =n +1,照此递推关系写出前n 项中任意相邻两项的关系,这些式子两边分别相加可求. 【变式探究2】若将“a n +1=a n +n +1”改为“a n +1=nn +1a n”,则a n =________.【答案】1n【解析】∵a n +1=n n +1a n ,a 1=1,∴a n +1a n =nn +1,∴a n a n -1=n -1n ,a n -1a n -2=n -2n -1,…,a 2a 1=12,以上式子两边分别相乘得:a n a 1=n -1n ×n -2n -1×…×12=1n∴a n =1n a 1=1n .【方法归纳】由数列的递推公式求通项公式时,若递推关系为a n +1=a n +f (n )或a n +1=g (n )·a n ,则可以分别通过累加法或累乘法求得通项公式,即:(1)累加法:当a n =a n -1+f (n )时,常用a n =a n -a n -1+a n -1-a n -2+…+a 2-a 1+a 1求通项公式.(2)累乘法:当a n a n -1=g (n )时,常用a n =a n a n -1·a n -1a n -2·…·a 2a 1·a 1求通项公式.【跟踪训练3】在数列{a n }中,a 1=2,a n +1=a n +ln ⎝⎛⎭⎫1+1n ,则a n =( ) A .2+ln n B .2+(n -1)ln n C .2+n ln n D .1+n +ln n 【答案】A【解析】∵在数列{a n }中,a n +1-a n =ln ⎝⎛⎭⎫1+1n =ln n +1n∴a n =(a n -a n -1)+(a n -1-a n -2)+…+(a 2-a 1)+a 1=ln n n -1+ln n -1n -2+…+ln 21+2=ln ⎝⎛⎭⎪⎫n n -1·n -1n -2·…·21+2=2+ln n .故选A.【易错辨析】数列中忽视n 的限制条件致误【例4】设S n 为数列{a n }的前n 项和,log 2(S n +1)=n +1,则a n =________.【答案】⎩⎪⎨⎪⎧3,n =12n ,n ≥2【解析】由log 2(S n +1)=n +1得S n +1=2n +1,∴S n =2n +1-1当n ≥2时a n =S n -S n -1=2n +1-1-2n +1=2n .当n =1时,a 1=S 1=3.经验证不符合上式.∴a n =⎩⎪⎨⎪⎧3,n =12n ,n ≥2.【易错警示】1. 出错原因忽视n =1的情况致错,得到错误答案:a n =2n . 2. 纠错心得已知a n 与S n 的关系求a n 时,常用a n =S n -S n -1(n ≥2)来求a n ,但一定要注意n =1的情况.一、单选题1.设数列{}n a 的前n 项和为n S ,11a =,2(1)nn S a n n =+-,(*n N ∈),若()22112n S S S n n+++--2013=,则n 的值为( ). A .1007 B .1006 C .2012 D .2014【答案】A 【分析】根据数列n a 与n S 的关系证得数列n S n ⎧⎫⎨⎬⎩⎭是以1为首项,以2为公差的等差数列,利用等差数列的前n 项和公式求出题中的式子,化简计算即可. 【解析】2(1)nn S a n n=+-, 12(1)(2)nn n S S S n n n-∴-=+-, 整理可得,1(1)2(1)n n n S nS n n ---=-, 两边同时除以(1)n n -可得12(2)1n n S S n n n --=-,又111S = ∴数列n S n ⎧⎫⎨⎬⎩⎭是以1为首项,以2为公差的等差数列,2321(1)23nS S S S n n∴++++-- 2(1)12(1)2n n n n -=⨯+⨯-- 22(1)n n =--21n =-,由题意可得,212013n -=, 解得1007n =. 故选:A .2.南宋数学家杨辉在《解析九章算法》和《算法通变本末》中,提出了一些新的垛积公式,所讨论的高阶等差数列与一般等差数列不同,前后两项之差并不相等,但是逐项差数之差或者高次差成等差数列,如数列1,3,6,10,前后两项之差得到新数列2,3,4,新数列2,3,4为等差数列,这样的数列称为二阶等差数列.对这类高阶等差数列的研究,在杨辉之后一般称为“垛积术”.现有高阶等差数列,其前7项分别为3,4,6,9,13,18,24,则该数列的第19项为( ) A .171 B .190 C .174 D .193【答案】C 【分析】根据题意可得数列3,4,6,9,13,18,24,⋯,满足:11(2)n n a a n n --=-,13a =,从而利用累加法即可求出n a ,进一步即可得到19a 的值. 【解析】3,4,6,9,13,18,24,后项减前项可得1,2,3,4,5,6,所以()1112,3n n a a n n a --=-≥=, 所以()()()112211n n n n n a a a a a a a a ---=-+-++-+()()1213n n =-+-+++()()()111133,222n n n n n -+⋅--=+=+≥.所以19191831742a ⨯=+=. 故选:C3.在数列{}n a 中,11a =,121nn n a a +-=-,则9a =( )A .512B .511C .502D .503【答案】D 【分析】利用累加法先求出通项即可求得答案. 【解析】因为11a =,121nn n a a +-=-,所以()()()121321n n n a a a a a a a a -=+-+-++-=()()()21211(21)21211222(1)2n n n n n --+-+-++-=++++--=-,所以9929503a =-=.故选:D. 4.数列23,45,69,817,1033,…的一个通项公式为( )A .221n n n a =+ B .2221n n n a +=+ C .1121n n n a ++=-D .12222n n n a ++=+【答案】A 【分析】根据数列中项的规律可总结得到通项公式. 【解析】1221321⨯=+,2422521⨯=+,3623921⨯=+,48241721⨯=+,510253321⨯=+, ∴一个通项公式为:221n nna =+. 故选:A.5.下列命题不正确的是( )A 的一个通项公式是n aB .已知数列{},3n n a a kn =-,且711a =,则1527a =C .已知数列{}n a 的前n 项和为()*,25n n n S S n N =-∈,那么123是这个数列{}n a 的第7项D .已知()*1n n a a n n N +=+∈,则数列{}n a 是递增数列【答案】C 【分析】A:根据被开方数的特征进行判断即可;B:运用代入法进行求解判断即可;C:根据前n项和与第n项之间的关系进行求解判断即可;D:根据递增数列的定义进行判断即可.【解析】对于A31⇒⨯na⇒=A正确;对于B,3na kn=-,且7151122327na k a n a=⇒=⇒=-⇒=,B正确;对于C,()*25nnS n N=-∈,13a=-,当2,n n N*≥∈时,111222n n nn n na S S---=-=-=,12127n-=,无正整数解,所以123不是这个数列{}n a的第7项,C错误;对于D.由()*11,0n n n na a n n N a a n++=+∈-=>,易知D正确,故选:C.6.已知数列{}n a的前n项和2nS n=,则数列11n na a+⎧⎫⎨⎬⎩⎭的前99项和为()A.1168B.1134C.198199D.99199【答案】D【分析】先根据11,2,1n nnS S naS n--≥⎧=⎨=⎩,求出21na n=-,然后利用裂项相消求和法即可求解.【解析】解:因为数列{}n a的前n项和2nS n=,2121nS n n-=-+,两式作差得到21(2)na n n=-≥,又当1n=时,21111a S===,符合上式,所以21na n=-,111111(21)(21)22121n na a n n n n+⎛⎫==-⎪-+-+⎝⎭,所以12233411111n na a a a a a a a+++++=111111111111233557212122121n n n n n ⎡⎤⎛⎫⎛⎫⎛⎫⎛⎫⎛⎫-+-+-++-=-= ⎪ ⎪ ⎪ ⎪ ⎪⎢⎥-+++⎝⎭⎝⎭⎝⎭⎝⎭⎝⎭⎣⎦, 所以12233499100111199992991199a a a a a a a a ++++==⨯+. 故选:D.7.数列{}n a 中的前n 项和22nn S =+,数列{}2log n a 的前n 项和为n T ,则20T =( ).A .190B .192C .180D .182【答案】B 【分析】根据公式1n n n a S S -=-计算通项公式得到14,12,2n n n a n -=⎧=⎨≥⎩,故2,11,2n n b n n =⎧=⎨-≥⎩,求和得到答案.【解析】当1n =时,111224a S ==+=;当2n ≥时,()11112222222n n n n n n n n a S S ----=-=+-+=-=,经检验14a =不满足上式,所以14,12,2n n n a n -=⎧=⎨≥⎩, 2log n n b a =,则2,11,2n n b n n =⎧=⎨-≥⎩,()201911921922T ⨯+=+=. 故选:B.8.已知数列{}n a 满足11a =,()()()11*12n n n n a a a a n N n n ++-=∈++,则10a 的值为( )A .1231B .2231C .1D .2【答案】B 【分析】首先根据已知条件得到1111112n n a a n n +-=-++,再利用累加法求解即可. 【解析】 因为()()()*1112n n n n a a n n n N a a ++++=∈-,所以()()()*11112nn n n a a n N a a n n ++-=∈++, 所以()()111111212n n n n a a a a n n n n ++-==-++++,即1111112n n a a n n +-=-++,当2n ≥时,11221111111n n n n a a a a a a ---⎛⎫⎛⎫⎛⎫-+-+⋯+- ⎪ ⎪ ⎪⎝⎭⎝⎭⎝⎭1111111123n n n n ⎛⎫⎛⎫⎛⎫=-+-+⋯+- ⎪⎪+ ⎪ ⎝⎭⎝⎭-⎝⎭, 1111121n a a n -=-+,解得()11131122122n n n a n n +=-+=≥++ 当1n =时,上式成立,故2231n n a n +=+,故102022230131a +==+. 故选:B二、多选题9.数列{a n }的前n 项和为S n ,()*111,2N n n a a S n +==∈,则有( )A .S n =3n -1B .{S n }为等比数列C .a n =2·3n -1D .21,123,2n n n a n -=⎧=⎨⋅≥⎩【答案】ABD 【分析】根据11,1,2n n n S n a S S n -=⎧=⎨-≥⎩求得n a ,进而求得n S 以及判断出{}n S 是等比数列.【解析】依题意()*111,2N n n a a S n +==∈,当1n =时,2122a a ==, 当2n ≥时,12n n a S -=,11222n n n n n a a S S a +--=-=,所以13n n a a +=,所以()2223232n n n a a n --=⋅=⋅≥,所以21,123,2n n n a n -=⎧=⎨⋅≥⎩. 当2n ≥时,1132n n n a S -+==;当1n =时,111S a ==符合上式,所以13n n S -=.13n nS S +=,所以数列{}n S 是首项为1,公比为3的等比数列. 所以ABD 选项正确,C 选项错误.故选:ABD10.已知数列{}n a 的前n 项和22n n nS +=,数列{}n b 满足1n n b a =,若n b ,2n b +,n k b +(k *∈N ,2k >)成等差数列,则k 的值不可能是( ) A .4 B .6 C .8 D .10【答案】AD 【分析】利用n a 与n S 的关系,求得n a ,进而求得n b ,然后根据n b ,2n b +,n k b +(k *∈N ,2k >)成等差数列,得到n 与k 的关系,进而求得答案.【解析】当1n =时,11212a S ===,当2n ≥时,()()2211122n n n n n n n a S S n --+++=-=-=,故n a n =(N n *∈),11n n b a n ==(N n *∈).因为n b ,2n b +,n k b +(N k *∈,2k >)成等差数列,所以22n n n k b b b ++=+,即2112n n n k=+++,所以48422n k n n ==+--,(2k >,N k *∈),从而2n -的取值为1,2,4,8,则对应的k 的值为12,8,6,5,所以k 的值不可能是4,10, 故选:AD .第II 卷(非选择题)请点击修改第II 卷的文字说明三、填空题11.数列{}n a 的前n 项的和231n S n n =++,n a =________.【分析】利用2n 时,1n n n a S S -=-求n a ,同时注意11a S =. 【解析】解析:由题可知,当2n 时,1n n n a S S -=-22313(1)(1)1n n n n ⎡⎤=++--+-+⎣⎦62n =-,当1n =时,113115a S ==++=,故答案为:5,162,2n n n =⎧⎨-⎩.12.设数列{a n }的前n 项和为S n =2n -3,则a n =________.【答案】【解析】解析 当n ≥2时,a n =S n -S n -1=(2n -3)-[2(n -1)-3]=2,又a 1=S 1=2×1-3=-1,故a n =13.已知数列{}n a 的前n 项和为n S ,若n n a b S +=,2414a a =,则数列{}n a 的通项公式为___________. 【答案】212n -⎛⎫ ⎪⎝⎭或212n -⎛⎫- ⎪⎝⎭【分析】 由n n a b S +=可得数列{}n a 是公比为12的等比数列,然后根据2414a a =求出21a =即可. 【解析】因为n n a b S +=,所以当1n =时,1112b a S a +==,即12b a = 当2n ≥时,11n n b a S --+=,然后可得10n n n a a a --+=,即()1122n n a a n -=≥ 所以数列{}n a 是公比为12的等比数列 所以21124b a a ==,4111816a a b ==, 因为22411644a ab ==,所以4b =±, 当4b =时, 21a =,2221122n n n a a --⎛⎫⎛⎫== ⎪ ⎪⎝⎭⎝⎭当4b =-时, 21a =-,2221122n n n a a --⎛⎫⎛⎫==- ⎪ ⎪⎝⎭⎝⎭故答案为:212n -⎛⎫ ⎪⎝⎭或212n -⎛⎫- ⎪⎝⎭四、解答题 14.已知数列{}n a 的前n 项和()2*2n S n kn k N =-+∈,且n S 的最大值为4.(1)求常数k 及n a ;(2)设()17n n b n a =-,求数列{}n b 的前n 项和n T . 【答案】(1)2k =,25n a n =-+ (2)2(1)n n T n =+ 【分析】(1)由于()222*2()n S n kn n k k k N =-+=--+∈,则可得24k =,从而可求出2k =,然后利用11,1,2n n n S n a S S n -=⎧=⎨-≥⎩求出n a , (2)由(1)可得11121n b n n ⎛⎫=- ⎪+⎝⎭,然后利用裂项相消求和法求解即可 (1)因为()222*2()n S n kn n k k k N =-+=--+∈,所以当n k =时,n S 取得最大值2k , 所以24k =,因为*k N ∈,所以2k =,所以24n S n n =-+,当1n =时,11143a S ==-+=,当2n ≥时,2214[(1)4(1)]25n n n a S S n n n n n -=-=-+---+-=-+,13a =满足上式,所以25n a n =-+(2)由(1)可得()()11111177252(1)21n n b n a n n n n n n ⎛⎫====- ⎪-+-++⎝⎭, 所以1111111112222321n T n n ⎛⎫⎛⎫⎛⎫=⨯-+⨯-+⋅⋅⋅+⨯- ⎪ ⎪ ⎪+⎝⎭⎝⎭⎝⎭ 111212(1)n n n ⎛⎫=-= ⎪++⎝⎭ 15.已知数列{}n a 满足()23*1232222n n a a a a n n N ++++=∈,求数列{}n a 的通项公式.【答案】12n na =【分析】 先根据前n 项和与通项的关系得12n n a =,再检验1n =时也满足条件即可求得答案. 【解析】因为23*1232222()n n a a a a n n N ++++=∈①, 所以()2311231222212n n a a a x a n n --++++=-≥②, ①-②得21(2)n n a n =≥,即 12n n a =, 当1n =时,112a =,满足12n n a =, 所以12n na = 16.已知数列{}n a 的前n 项和112n n S ⎛⎫=+ ⎪⎝⎭,求数列{}n a 的通项公式. 【答案】312122n n n a n ⎧=⎪⎪=⎨⎛⎫⎪-≥ ⎪⎪⎝⎭⎩ 【分析】根据n S 与n a 的关系式,求解数列的通项公式即可.需要注意验证首项.【解析】()111111222n n n n S S n --⎛⎫⎛⎫=+∴=+≥ ⎪ ⎪⎝⎭⎝⎭①②-①②得()122n n a n ⎛⎫=-≥ ⎪⎝⎭ 根据题意,1111311222a S ⎛⎫==+=≠- ⎪⎝⎭ 所以数列的通项公式为312122n n n a n ⎧=⎪⎪=⎨⎛⎫⎪-≥ ⎪⎪⎝⎭⎩。
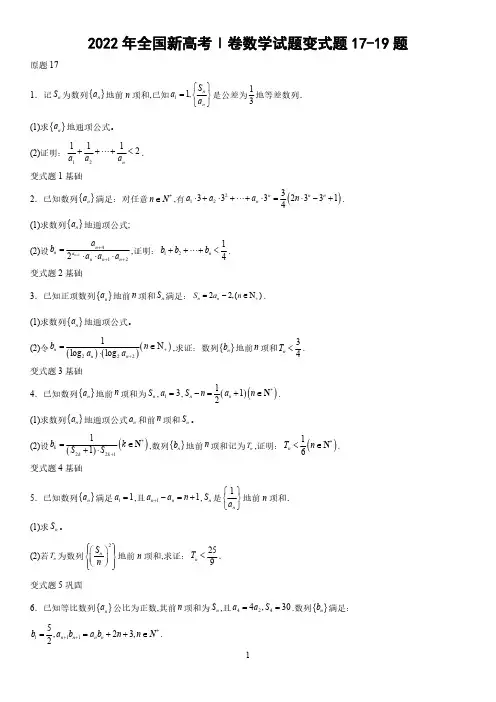
2022年全国新高考Ⅰ卷数学试题变式题17-19题原题171.记n S 为数列{}n a 地前n 项和,已知11,n n S a a ⎧⎫=⎨⎩⎭是公差为13地等差数列.(1)求{}n a 地通项公式。
(2)证明:121112na a a +++< .变式题1基础2.已知数列{}n a 满足:对任意*n N ∈,有()212333323314n n n n a a a n ⋅+⋅+⋅⋅⋅+⋅=⋅-+.(1)求数列{}n a 地通项公式;(2)设14122n n n a n n n a b a a a ++++=⋅⋅⋅,证明:1214n b b b ++⋅⋅⋅+<.变式题2基础3.已知正项数列{}n a 地前n 项和n S 满足:22,(N )n n S a n +=-∈.(1)求数列{}n a 地通项公式。
(2)令()()()2221N log log n n n b n a a ++=∈⋅,求证:数列{}n b 地前n 项和34n T <.变式题3基础4.已知数列{}n a 地前n 项和为n S ,13a =,()()*112n n S n a n -=+∈N .(1)求数列{}n a 地通项公式n a 和前n 项和n S 。
(2)设()()*22111k k k b k S S +=∈+⋅N ,数列{}n b 地前n 项和记为n T ,证明:()*16n T n <∈N .变式题4基础5.已知数列{}n a 满足11a =,且11n n a a n +-=+,n S 是1n a ⎧⎫⎨⎬⎩⎭地前n 项和.(1)求n S 。
(2)若n T 为数列2n S n ⎧⎫⎪⎪⎛⎫⎨⎬ ⎪⎝⎭⎪⎪⎩⎭地前n 项和,求证:259n T <.变式题5巩固6.已知等比数列{}n a 公比为正数,其前n 项和为n S ,且4244,30a a S ==.数列{}n b 满足:*1115,23,2n n n n b a b a b n n N ++==++∈.(1)求数列{}{},n n a b 地通项公式:(2)求证:()()3112..212233411n n b b b b b n n n n -+++⋯++<⨯⨯⨯-⨯⨯+.变式题6巩固7.已知等差数列{}n a 地前n 项和为n S ,且11a =,5212S S =+。
4.3.1.2等比数列的性质及应用要点一 等比数列的常用性质 (1)通项公式的推广:a n =a m ·q n-m(m ,n ∈N *)(2)若p +q =s +t (p 、q 、s 、t ∈N *),则a p ·a q =s t a a 【重点总结】(1)在已知等比数列{a n }中任一项a m 及公比q 的前提下,可以利用a n =a m q n-m求等比数列中任意项a n ;(2)已知等比数列{a n }中的a m 和a n 两项,就可以使用a n a m =q n -m 求公比,其中m 可大于n ,也可小于n.要点二 等比数列的单调性已知等比数列{a n }的首项为a 1,公比为q ,则(1)当⎩⎪⎨⎪⎧ a 1>0q >1或⎩⎪⎨⎪⎧a 1<00<q <1时,等比数列{a n }为递增数列; (2)当⎩⎪⎨⎪⎧ a 1>00<q <1或⎩⎪⎨⎪⎧a 1<0q >1时,等比数列{a n }为递减数列; (3)当q=1时,等比数列{a n }为常数列(这个常数列中各项均不等于0); (4)当1<1时,等比数列{a n }为摆动数列. 【重点总结】由等比数列的通项公式可知,公比影响数列各项的符号:一般地,q>0时,等比数列各项的符号相同;q<0时,等比数列各项的符号正负交替.要点三 等比数列的其它性质 若{a n }是公比为q 的等比数列,则(1)若m ,p ,n (m ,n ,p ∈N *)成等差数列,则a m ,a p ,a n 成等比数列;(2)数列{λa n }(λ≠0),⎩⎨⎧⎭⎬⎫1a n ,{a 2n }都是等比数列,且公比分别是q ,1q ,q 2. (3)若{b n }是公比为p 的等比数列,则{a n b n }与⎩⎨⎧⎭⎬⎫a n b n 也都是等比数列,公比分别为pq 和qp .(4)在数列{a n }中,每隔k (k ∈N *)项取出一项,按原来的顺序排列,所得数列仍为等比数列,且公比为q k +1. (5)在数列{a n }中,连续相邻k 项的和(或积)构成公比为q k (或qk 2)的等比数列. 【重点总结】若数列{a n }是各项都为正数的等比数列,则数列{lg a n }是公差为lg q 的等差数列; 若数列{b n }是等差数列,公差为d ,则数列{cb n }是以c d (c>0且c ≠1)为公比的等比数列. 【基础自测】1.判断正误(正确的画“√”,错误的画“×”)(1)有穷等比数列中,与首末两项“等距离”的两项之积等于首末两项的积.( ) (2)当q >1时,{a n }为递增数列.( )(3)当q =1时,{a n }为常数列.( )(4)若{a n },{b n }都是等比数列,则{a n +b n }是等比数列.( ) 【答案】(1)√(2)×(3)√(4)×2.等比数列{a n }的公比q =-14,a 1=2,则数列{a n }是( )A .递增数列B .递减数列C .常数列D .摆动数列 【答案】D【解析】∵q <0,a 1>0,∴所有奇数项为正、偶数项为负,故成摆动数列,选D. 3.(多选题)若数列{a n }为等比数列,则下列式子一定成立的是( ) A .a 2+a 5=a 1+a 6 B .a 1a 9=a 25 C .a 1a 9=a 3a 7 D .a 1a 2a 7=a 4a 6 【答案】BC【解析】根据等比数列的性质知BC 正确.4.在等比数列{a n }中,已知a 7a 12=5,则a 8a 9a 10a 11的值为________. 【答案】25【解析】∵a 7a 12=a 8a 11=a 9a 10=5,∴a 8a 9a 10a 11=25.题型一 等比数列性质的应用 【例1】已知{a n }为等比数列.(1)等比数列{a n }满足a 2a 4=12,求a 1a 23a 5; (2)若a n >0,a 2a 4+2a 3a 5+a 4a 6=25,求a 3+a 5;(3)若a n >0,a 5a 6=9,求log 3a 1+log 3a 2+…+log 3a 10的值.【解析】(1)等比数列{a n }中,因为a 2a 4=12,所以a 23=a 1a 5=a 2a 4=12,所以a 1a 23a 5=14. (2)由等比中项,化简条件得a 23+2a 3a 5+a 25=25,即(a 3+a 5)2=25,∵a n >0,∴a 3+a 5=5.(3)由等比数列的性质知a 5a 6=a 1a 10=a 2a 9=a 3a 8=a 4a 7=9, ∴log 3a 1+log 3a 2+…+log 3a 10=log 3(a 1a 2…a 10) =log 3[(a 1a 10)(a 2a 9)(a 3a 8)(a 4a 7)(a 5a 6)] =log 395=10. 【方法归纳】有关等比数列的计算问题,基本方法是运用方程思想列出基本量a 1和q 的方程组,先解出a 1和q ,然后利用通项公式求解.但有时运算稍繁,而利用等比数列的性质解题,却简便快捷,为了发现性质,要充分发挥项“下标”的指导作用.【跟踪训练1】(1)已知数列{a n }为等比数列,a 3=3,a 11=27,求a 7. (2)已知{a n }为等比数列,a 2·a 8=36,a 3+a 7=15,求公比q .【解析】(1)法一:⎩⎪⎨⎪⎧a 1q 2=3,a 1q 10=27相除得q 8=9.所以q 4=3,所以a 7=a 3·q 4=9.法二:因为a 27=a 3a 11=81,所以a 7=±9, 又a 7=a 3q 4=3q 4>0,所以a 7=9.(2)因为a 2·a 8=36=a 3·a 7,而a 3+a 7=15, 所以a 3=3,a 7=12或a 3=12,a 7=3. 所以q 4=a 7a 3=4或14,所以q =±2或q =±22.题型二 灵活设项求解等比数列【例2】已知4个数成等比数列,其乘积为1,第2项与第3项之和为-32,则此4个数为________________.【解析】设此4个数为a ,aq ,aq 2,aq 3.则a 4q 6=1,aq (1+q )=-32,① 所以a 2q 3=±1,当a 2q 3=1时,q >0,代入①式化简可得q 2-14q +1=0,此方程无解;当a 2q 3=-1时,q <0,代入①式化简可得q 2+174q +1=0,解得q =-4或q =-14.当q =-4时,a =-18;当q =-14时,a =8.所以这4个数为8,-2,12,-18或-18,12,-2,8.【变式探究】本例中的条件换为“前三个数依次成等比数列,它们的积是-8,后三个数依次成等差数列,它们的积是-80”,则这4个数为__________________.【答案】1,-2,4,10或-45,-2,-5,-8【解析】由题意设此四个数为bq ,b ,bq ,a ,则有⎩⎪⎨⎪⎧b 3=-8,2bq =a +b ,ab 2q =-80,解得⎩⎪⎨⎪⎧a =10,b =-2,q =-2,或⎩⎪⎨⎪⎧a =-8,b =-2,q =52.所以这四个数为1,-2,4,10或-45,-2,-5,-8.【方法归纳】巧设等差数列、等比数列的方法(1)若三数成等差数列,常设成a -d ,a ,a +d .若三数成等比数列,常设成aq ,a ,aq 或a ,aq ,aq 2.(2)若四个数成等比数列,可设为a q ,a ,aq ,aq 2.若四个正数成等比数列,可设为a q 3,aq ,aq ,aq 3.题型三 等比数列与等差数列的综合应用【例3】在公差为d (d ≠0)的等差数列{a n }和公比为q 的等比数列{b n }中,已知a 1=b 1=1,a 2=b 2,a 8=b 3. (1)求d ,q 的值;(2)是否存在常数a ,b ,使得对任意n ∈N *,都有a n =log a b n +b 成立?若存在,求出a ,b 的值;若不存在,请说明理由.【解析】(1)由a 2=b 2,a 8=b 3,得⎩⎪⎨⎪⎧ a 1+d =b 1q ,a 1+7d =b 1q 2,即⎩⎪⎨⎪⎧1+d =q ,1+7d =q 2, 解得⎩⎪⎨⎪⎧ d =5,q =6,或⎩⎪⎨⎪⎧d =0,q =1,(舍去).(2)由(1)知a n =1+(n -1)·5=5n -4, b n =b 1q n -1=6n -1.假设存在常数a ,b ,使得对任意n ∈N *,都有a n =log a b n +b 成立,则5n -4=log a 6n -1+b , 即5n -4=n log a 6+b -log a 6.比较系数,得⎩⎪⎨⎪⎧log a 6=5,b -log a 6=-4,所以⎩⎪⎨⎪⎧a =615,b =1.故存在a =615,b =1,使得对任意n ∈N *,都有a n =log a b n +b 成立.【解题关键】 (1)联立方程组可求.(2)假设存在,由(1)得出方程,注意比较系数可求a ,b. 【方法归纳】求解等差、等比数列综合问题的技巧(1)理清各数列的基本特征量,明确两个数列间各量的关系.(2)发挥两个数列的基本量a 1,d 或b 1,q 的作用,并用好方程这一工具. (3)结合题设条件对求出的量进行必要的检验.【跟踪训练2】已知{a n }为等差数列,且a 1+a 3=8,a 2+a 4=12. (1)求{a n }的通项公式;(2)记{a n }的前n 项和为S n, 若a 1,a k ,S k +2成等比数列,求正整数k 的值。
高中数列题型及解题方法
在高中数学中,数列是一个常见的题型。
以下是一些常见的数列题型及解题方法:
1. 等差数列:等差数列是指一个数列中,每一项与它的前一项之差都相等。
解题方法包括:
- 判断是否为等差数列,计算公差;
- 求解通项公式;
- 求和公式。
2. 等比数列:等比数列是指一个数列中,每一项与它的前一项之比都相等。
解题方法包括:
- 判断是否为等比数列,计算公比;
- 求解通项公式;
- 求和公式。
3. 递推数列:递推数列是指一个数列中,每一项都是前几项的某种运算规律得到的。
解题方法包括:
- 观察数列的规律,找到递推关系式;
- 求解通项公式;
- 求和公式。
4. 斐波那契数列:斐波那契数列是指一个数列中,每一项都是前两项之和。
解题方法包括:
- 观察数列的规律,找到递推关系式;
- 求解通项公式;
- 求和公式。
5. 其他特殊数列:除了上述常见的数列类型外,还有一些特殊的数列,如等差数列的前n项和等于等差数列的后n项和,等差数列的平方和等等。
对于这些特殊的数列,需要特定的解题方法。
在解决数列题目时,一定要注意观察数列的规律,并运用适当的解题方法进行计算。
熟练掌握数列的性质和公式,可以帮助我们更好地解题。
1数列典型例题分析【题型1】 等差数列与等比数列的联系 例1 (2010陕西文16)已知{a n }是公差不为零的等差数列,a 1=1,且a 1,a 3,a 9成等比数列.(Ⅰ)求数列{a n }的通项;(Ⅱ)求数列{2an}的前n 项和S n . 解:(Ⅰ)由题设知公差d ≠0,由a 1=1,a 1,a 3,a 9成等比数列得=, 解得d =1,d =0(舍去), 故{a n }的通项a n =1+(n -1)×1=n.(Ⅱ)由(Ⅰ)知=2n,由等比数列前n 项和公式得S m =2+22+23+ (2)==2n+1-2.小结与拓展:数列{}na 是等差数列,则数列}{na a 是等比数列,公比为da ,其中a 是常数,d 是{}na 的121d +1812d d++2ma 2(12)12n --公差。
(a>0且a≠1).【题型2】与“前n项和Sn与通项an”、常用求通项公式的结合例 2 已知数列{a n}的前三项与数列{b n}的前三项对应相同,且a1+2a2+22a3+…+2n-1a n=8n对任意的n∈N*都成立,数列{b n+1-b n}是等差数列.求数列{a n}与{b n}的通项公式。
解:a1+2a2+22a3+…+2n-1a n=8n(n∈N*) ①当n≥2时,a1+2a2+22a3+…+2n-2a n-1=8(n-1)(n∈N*) ②①-②得2n-1a n=8,求得a n=24-n,在①中令n=1,可得a1=8=24-1,∴a n=24-n(n∈N*).由题意知b1=8,b2=4,b3=2,∴b2-b1=-4,b3-b2=-2,2∴数列{b n+1-b n}的公差为-2-(-4)=2,∴b n -b n=-4+(n-1)×2=2n-6,+1法一(迭代法)b n=b1+(b2-b1)+(b3-b2)+…+(b n-b n-1)=8+(-4)+(-2)+…+(2n-8)=n2-7n+14(n∈N*).法二(累加法)即b n-b n-1=2n-8,b n-1-b n-2=2n-10,…b3-b2=-2,b2-b1=-4,b1=8,相加得b n=8+(-4)+(-2)+…+(2n-8)34 =8+(n -1)(-4+2n -8)2=n 2-7n +14(n∈N *).小结与拓展:1)在数列{a n }中,前n 项和S n 与通项a n 的关系为:⎩⎨⎧∈≥-===-)N n ,2( )1(111n S S n S a a n n n.是重要考点;2)韦达定理应引起重视;3)迭代法、累加法及累乘法是求数列通项公式的常用方法。
数列题的改编过程作者:周才凯来源:《高中生·高考指导》2014年第07期教材原题1 (人教A版高中数学教材必修5第44页例3)已知数列{an}的前n项和为Sn=n2+■·n,求这个数列的通项公式.这个数列是等差数列吗?如果是,它的首项与公差分别是什么?改编过程原题是已知Sn求an的基本题型.我们知道,对于任何数列{an},Sn与an有如下关系:an=S1,n=1,Sn-Sn-1,n≥2.求出通项an后,再判断是否为等差数列.该题型也是高考中重点考查的内容,为了更好地考查各种和的求法,我们可以将原题改编成适合文科高考的题目.预测考题1 已知数列{an}的前n项和Sn=-■·n2+kn(其中k∈■),且Sn的最大值为8.(1)确定常数k,并求an;(2)求数列{■}的前n项和Tn.解(1)当n=k∈■时,Sn=-■n2+kn取得最大值,即8=Sk=-■k2+k2=■k2,于是有k2=16,解得k=4.从而有an=Sn-Sn-1=■-n(n≥2).又a1=S1=■,所以an=■-n.(2)由于bn=■=■,Tn=b1+b2+…+bn=1+■+■+…+■+■,所以Tn=2Tn-Tn=2+1+■+…+■-■=4-■-■=4-■.教材原题2 (人教A版高中数学教材必修5第68页第10题)在以d为公差的等差数列{an}中,设S1=a1+a2+…+an,S2=an+1+an+2+…+a2n,S3=a2n+1+a2n+2+…+a3n,求证S1,S2,S3也是等差数列,并求其公差.改编过程原题证明了等差数列的一个性质:若Sn是等差数列{an}的前n项和,则Sn,S2n-Sn,S3n-S2n也是等差数列.那么反过来,“和”成等差数列,“项”是否也成等差数列呢?等比数列是否也有类似的性质呢?因此,我们可以将原题改编成文科和理科高考均适宜的题目.预测考题2 数列{an}的各项均为正数,记A(n)=a1+a2+…+an,B(n)=a2+a3+…+an+1,C(n)=a3+a4+…+an+2,n=1,2,….(1)若a1=1,a2=5,且对任意n∈■,三个数A(n),B(n),C(n)组成等差数列,求数列{an}的通项公式;(2)证明:数列{an}是公比为q的等比数列的充分必要条件是:对任意n∈■,三个数A (n),B(n),C(n)组成公比为q的等比数列.(1)解:对任意n∈■,三个数A(n),B(n),C(n)是等差数列,所以B(n)-A (n)=C(n)-B(n),即an+1-a1=an+2-a2,也就是an+2-an+1=a2-a1=4.故数列{an}是首项为1、公差为4的等差数列,于是an =1+(n-1)×4=4n-3.(2)证明:①必要性.若数列{an}是公比为q的等比数列,则对任意n∈■,有an+1=anq.由an>0,可知A(n),B(n),C(n)均大于0,于是有■=■=■=q,■=■=■= q,即■=■= q.故三个数A(n),B(n),C(n)组成公比为q的等比数列.②充分性.若对任意n∈■,三个数A(n),B(n),C(n)组成公比为q的等比数列,则有B(n)=qA(n),C(n)=qB(n).于是C(n)-B(n)=q[B(n)-A(n)],得an+2-a2=q(an+1-a1),即an+2-qan+1=a2-qa1.由n=1,有B(1)=qA(1),即a2=qa1,从而an+2-qan+1=0.由于an>0,所以■=■=q.故数列{an}是首项为a1、公比为q的等比数列.综上所述,数列{an}是公比为q的等比数列的充分必要条件是:对任意n∈■,三个数A (n),B(n),C(n)组成公比为q的等比数列.教材原题3 (人教A版高中数学教材必修5第34页B组第3题)已知数列{an}的第1项是1,第2项是2,以后各项由an=an-1+an-2(n>2)给出.(1)写出这个数列的前5项;(2)利用上面的数列{an},通过公式bn=■构造一个新的数列{bn},试写出数列{bn}的前5项.改编过程原题中的数列是人教A版高中数学教材必修5第32页阅读与思考“斐波那契数列”的一个变式:1,2,3,5,8,13,21,34,55,89,144,233,….由这个数列构造的新数列{bn}是:■,■,■,■,■,■,■,….这个新数列有什么性质?还能构造出其他数列吗?对这些问题进行探究后,我们都可以得到一些考题.例如,构造数列cn=■:■,■,■,■,■,■,■,■,….我们发现这个数列的奇数项■,■,■,■,…是递增的,而偶数项■,■,■,■,…是递减的,并且这个数列在0.618附近摆动.为了将数列{cn}隐藏起来,我们将它用函数形式给出,然后设计出适合理科高考的题目.预测考题3 已知数列{xn}满足:x1=■,xn+1=f(xn),n∈■,其中f(x)=■.(1)猜想数列{x2n}的单调性,并证明你的结论;(2)证明:■|xk+1-xk|证明(1)由x1=■及xn+1=f(xn)=■,得x2=■,x4=■,x6=■.由x2>x4>x6,猜想:数列{x2n}是递减数列.下面用数学归纳法证明.①当n=2时,已证命题成立.②假设当n= k时命题成立,即x2k>x2k+2,易知x2k>0,那么x2k+2-x2k+4=■-■=■=■>0,即x2(k+1)>x2(k+1)+2.也就是说,当n=k+1时命题也成立.结合①②,可知命题成立.(2)当n=1时,|xn+1-xn|=|x2-x1|=■,结论成立.当n≥2时,易知0■.∴(1+xn)(1+xn-1)=(1+■)(1+xn-1)=2+xn-1≥■.∴|xn+1-xn|=|■-■|=■≤■|xn-xn-1|≤(■)2|xn-1-xn-2|≤…≤(■)n-1|x2-x1|=■·(■)n-1.故■|xk+1-xk|≤■[(■)0+(■)1+(■)2+…+(■)n-1]=■[1-(■)n]作者简介周才凯,湖南长沙市雅礼中学高级教师,数学奥林匹克高级教练员,长期从事省理科实验班的数学教学和数学竞赛培训工作,对竞赛数学和高考数学有着精深的研究.已在国家级、省级数学刊物上发表文章60余篇.阅读他的其他文章,请注册登录《高中生》·高考网.(责任编校周峰)。
数列经典题目集锦一一、构造法证明等差、等比 类型一:按已有目标构造1、 数列{a n },{b n },{c n }满足:b n =a n -2a n +1,c n =a n +1+2a n +2-2,n ∈N *.(1) 若数列{a n }是等差数列,求证:数列{b n }是等差数列; (2) 若数列{b n },{c n }都是等差数列,求证:数列{a n }从第二项起为等差数列;(3) 若数列{b n }是等差数列,试判断当b 1+a 3=0时, 数列{a n }是否成等差数列?证明你的结论.类型二: 整体构造2、设各项均为正数的数列{a n }的前n 项和为S n ,已知a 1=1,且(S n +1+λ)a n =(S n +1)a n +1对一切n ∈N *都成立.(1) 若λ=1,求数列{a n }的通项公式; (2) 求λ的值,使数列{a n }是等差数列.二、两次作差法证明等差数列3、设数列{}n a 的前n 项和为{}n S ,已知11,6,1321===a a a ,且*1,)25()85(N n B An S n S n n n ∈+=+--+,(其中A ,B 为常数).(1)求A 与B 的值;(2)求数列{}n a 为通项公式;三、数列的单调性4.已知常数0λ≥,设各项均为正数的数列{}n a 的前n 项和为n S , 满足:11a =,()11131n n n n n na S S a a λ+++=+⋅+(*n ∈N ). (1)若0λ=,求数列{}n a 的通项公式;(2)若112n n a a +<对一切*n ∈N 恒成立,求实数λ的取值范围.5.设数列{}n a 是各项均为正数的等比数列,其前n 项和为n S ,若1564a a =,5348S S -=. (1)求数列{}n a 的通项公式;(2)对于正整数,,k m l (k m l <<),求证:“1m k =+且3l k =+”是“5,,k m l a a a 这三项经适当排序后能构成等差数列”成立的充要条件;(3)设数列{}n b 满足:对任意的正整数n ,都有121321n n n n a b a b a b a b --++++13246n n +=⋅--,且集合*|,nn b M n n N a λ⎧⎫=≥∈⎨⎬⎩⎭中有且仅有3个元素,求λ的取值范围.四、隔项(分段)数列问题6. 已知数列{a n }中,a 1=1,a n +1=⎩⎪⎨⎪⎧13a n +n (n 为奇数),a n -3n (n 为偶数).(1) 是否存在实数λ,使数列{a 2n -λ}是等比数列?若存在,求出λ的值;若不存在,请说明理由;(2) 若S n 是数列{a n }的前n 项的和,求满足S n >0的所有正整数n .7.若{}n b 满足:对于N n *∈,都有2n n b b d +-=(d 为常数),则称数列{}n b 是公差为d 的“隔项等差”数列. (Ⅰ)若17,321==c c ,{}n c 是公差为8的“隔项等差”数列,求{}n c 的前15项之和; (Ⅱ)设数列{}n a 满足:1a a =,对于N n *∈,都有12n n a a n ++=. ①求证:数列{}n a 为“隔项等差”数列,并求其通项公式;②设数列{}n a 的前n 项和为n S ,试研究:是否存在实数a ,使得22122++k k k S S S 、、成等比数列(*N k ∈)?若存在,请求出a 的值;若不存在,请说明理由.五、数阵问题8.已知等差数列{a n }、等比数列{b n }满足a 1+a 2=a 3,b 1b 2=b 3,且a 3,a 2+b 1,a 1+b 2成等差数列,a 1,a 2,b 2成等比数列.(1) 求数列{a n }和数列{b n }的通项公式;(2) 按如下方法从数列{a n }和数列{b n }中取项: 第1次从数列{a n }中取a 1, 第2次从数列{b n }中取b 1,b 2, 第3次从数列{a n }中取a 2,a 3,a 4, 第4次从数列{b n }中取b 3,b 4,b 5,b 6, ……第2n -1次从数列{a n }中继续依次取2n -1个项, 第2n 次从数列{b n }中继续依次取2n 个项, ……由此构造数列{c n }:a 1,b 1,b 2,a 2,a 3,a 4,b 3,b 4,b 5,b 6,a 5,a 6,a 7,a 8,a 9,b 7,b 8,b 9,b 10, b 11,b 12,…,记数列{c n }的前n 项和为S n .求满足S n <22 014的最大正整数n .数列经典题目集锦答案1.证明:(1) 设数列{a n }的公差为d ,∵ b n =a n -2a n +1,∴ b n +1-b n =(a n +1-2a n +2)-(a n -2a n +1)=(a n +1-a n )-2(a n +2-a n +1)=d -2d =-d , ∴ 数列{b n }是公差为-d 的等差数列. (4分) (2) 当n ≥2时,c n -1=a n +2a n +1-2,∵ b n =a n -2a n +1,∴ a n =b n +c n -12+1,∴ a n +1=b n +1+c n2+1,∴ a n +1-a n =b n +1+c n 2-b n +c n -12=b n +1-b n 2+c n -c n -12.∵ 数列{b n },{c n }都是等差数列,∴b n +1-b n 2+c n -c n -12为常数, ∴ 数列{a n }从第二项起为等差数列. (10分)(3) 结论:数列{a n }成等差数列.证明如下: (证法1)设数列{b n }的公差为d ′, ∵ b n =a n -2a n +1,∴ 2n b n =2n a n -2n +1a n +1,∴ 2n -1b n -1=2n -1a n -1-2n a n ,…,2b 1=2a 1-22a 2,∴ 2n b n +2n -1b n -1+…+2b 1=2a 1-2n +1a n +1,设T n =2b 1+22b 2+…+2n -1b n -1+2n b n ,∴ 2T n =22b 1+…+2n b n -1+2n +1b n ,两式相减得:-T n =2b 1+(22+…+2n -1+2n )d ′-2n +1b n ,即T n =-2b 1-4(2n -1-1)d ′+2n +1b n , ∴ -2b 1-4(2n -1-1)d ′+2n +1b n =2a 1-2n +1a n +1,∴ 2n +1a n +1=2a 1+2b 1+4(2n -1-1)d ′-2n +1b n =2a 1+2b 1-4d ′-2n +1(b n -d ′), ∴ a n +1=2a 1+2b 1-4d′2n +1-(b n -d ′). (12分) 令n =2,得a 3=2a 1+2b 1-4d′23-(b 2-d ′)=2a 1+2b 1-4d′23-b 1, ∵ b 1+a 3=0,∴2a 1+2b 1-4d′23=b 1+a 3=0,∴ 2a 1+2b 1-4d ′=0,∴ a n +1=-(b n -d ′),∴ a n +2-a n +1=-(b n +1-d ′)+(b n -d ′)=-d ′,∴ 数列{a n }(n ≥2)是公差为-d ′的等差数列. (14分) ∵ b n =a n -2a n +1,令n =1,a 1-2a 2=-a 3,即a 1-2a 2+a 3=0,∴ 数列{a n }是公差为-d ′的等差数列. (16分)(证法2)∵ b n =a n -2a n +1,b 1+a 3=0,令n =1,a 1-2a 2=-a 3,即a 1-2a 2+a 3=0,(12分) ∴ b n +1=a n +1-2a n +2,b n +2=a n +2-2a n +3,∴ 2b n +1-b n -b n +2=(2a n +1-a n -a n +2)-2(2a n +2-a n +1-a n +3). ∵ 数列{b n }是等差数列,∴ 2b n +1-b n -b n +2=0, ∴ 2a n +1-a n -a n +2=2(2a n +2-a n +1-a n +3).(14分) ∵ a 1-2a 2+a 3=0,∴ 2a n +1-a n -a n +2=0, ∴ 数列{a n }是等差数列.(16分)2.解析:(1) 若λ=1,则(S n +1+1)a n =(S n +1)a n +1,a 1=S 1=1.∵ a n >0,S n >0,∴ S n +1+1S n +1=a n +1a n ,(2分) ∴S 2+1S 1+1·S 3+1S 2+1·…·S n +1+1S n +1=a 2a 1·a 3a 2·…·a n +1a n ,化简,得S n +1+1=2a n +1. ①(4分) ∴ 当n ≥2时,S n +1=2a n . ② ①-②,得a n +1=2a n ,∴a n +1a n=2(n ≥2).(6分) ∵ 当n =1时,a 2=2,∴ n =1时上式也成立,∴ 数列{a n }是首项为1,公比为2的等比数列,a n =2n -1(n ∈N *).(8分) (2) 令n =1,得a 2=λ+1.令n =2,得a 3=(λ+1)2.(10分) 要使数列{a n }是等差数列,必须有2a 2=a 1+a 3,解得λ=0.(11分) 当λ=0时,S n +1a n =(S n +1)a n +1,且a 2=a 1=1. 当n ≥2时,S n +1(S n -S n -1)=(S n +1)(S n +1-S n ),整理,得S 2n +S n =S n +1S n -1+S n +1,S n +1S n -1+1=S n +1S n ,(13分) 从而S 2+1S 1+1·S 3+1S 2+1·…·S n +1S n -1+1=S 3S 2·S 4S 3·…·S n +1S n ,化简,得S n +1=S n +1,∴ a n +1=1.(15分) 综上所述,a n =1(n ∈N *),∴ λ=0时,数列{a n }是等差数列.(16分)3.解析:(1)由11,6,1321===a a a ,得18,7,1321===S S S .把2,1=n 分别代入*1,)25()85(N n B An S n S n n n ∈+=+--+,得⎩⎨⎧-=+-=+48228B A B A , 解得,8,20-=-=B A .(2)由(1)知,82028)(511--=---++n S S S S n n n n n ,即82028511--=--++n S S na n n n ,① 又8)1(2028)1(5122-+-=--++++n S S a n n n n . ②②-①得,20285)1(51212-=---+++++n n n n a a na a n ,即20)25()35(12-=+--++n n a n a n . ③ 又20)75()25(23-=+-+++n n a n a n .④④-③得,0)2)(25(123=+-++++n n n a a a n ,520n +≠,∴02123=+-+++n n n a a a ,又32215a a a a -=-=,所以32120a a a -+=, 因此,数列{}n a 是首项为1,公差为5的等差数列. 故45)1(51-=-+=n n a n .4.解析:(1) 0λ=时,111n n n n naS S a a +++=+∴1n n n na S S a +=∵0n a >,∴0n S > ∴ 1n n a a +=,∵11a =,∴1n a =(2) ∵()11131n n n n n n a S S a a λ+++=+⋅+ 0n a > ,∴1131nn n n nS S a a λ++-=⋅+ 则212131S S a a λ-=⋅+,2323231S S a a λ-=⋅+, ,11131n n n n n S S a a λ----=⋅+()2n ≥ 相加,得()2113331n nnS n a λ--=+++-则()3322n n n S n a n λ⎛⎫-=+⋅≥ ⎪⎝⎭,该式对1n =也成立, ∴()*332n n n S n a n N λ⎛⎫-=+⋅≥ ⎪⎝⎭. ③ ∴()1*13312n n n S n a n N λ++⎛⎫-=++⋅≥ ⎪⎝⎭. ④ ④-③,得1113333122n n n n n a n a n a λλ+++⎛⎫⎛⎫--=++⋅-+⋅ ⎪ ⎪⎝⎭⎝⎭ 即11333322n n n n n a n a λλ++⎛⎫⎛⎫--+⋅=+⋅ ⎪ ⎪⎝⎭⎝⎭∵0λ≥,∴133330,022n n n n λλ+--+>+> . ∵112n n a a +<对一切*n ∈N 恒成立, ∴332nn λ-+1133()22n n λ+-<+对一切*n ∈N 恒成立. 即233nnλ>+对一切*n ∈N 恒成立. 记233n n nb =+,则()()()111423622233333333n n n n n n n n n n b b +++-⋅-+-=-=++++ 当1n =时,10n n b b +-=; 当2n ≥时,10n n b b +->∴ 1213b b ==是{}n b 中的最大项.综上所述,λ的取值范围是13λ>. 5. 解析:(1)数列{}n a 是各项均为正数的等比数列,∴215364a a a ==,38a ∴=,又5348S S -=,2458848a a q q ∴+=+=,2q ∴=,3822n n n a -∴=⋅=; ……4分(2)(ⅰ)必要性:设5,,k m l a a a 这三项经适当排序后能构成等差数列,①若25k m l a a a ⋅=+,则10222k m l ⋅=+,1022m k l k --∴=+,11522m k l k ----∴=+,1121,24m k l k ----⎧=⎪∴⎨=⎪⎩ 13m k l k =+⎧∴⎨=+⎩. ………… 6分②若25m k l a a a =+,则22522m k l ⋅=⋅+,1225m k l k +--∴-=,左边为偶数,等式不成立, ③若25l k m a a a =+,同理也不成立,综合①②③,得1,3m k l k =+=+,所以必要性成立. …………8分 (ⅱ)充分性:设1m k =+,3l k =+,则5,,k m l a a a 这三项为135,,k k k a a a ++,即5,2,8k k k a a a ,调整顺序后易知2,5,8k k k a a a 成等差数列,所以充分性也成立. 综合(ⅰ)(ⅱ),原命题成立. …………10分(3)因为11213213246n n n n n a b a b a b a b n +--++++=⋅--, 即123112122223246n n n n n b b b b n +--++++=⋅--,(*)∴当2n ≥时,1231123122223242n n n n n b b b b n ----++++=⋅--,(**)则(**)式两边同乘以2,得2341123122223284n n n n n b b b b n +---++++=⋅--,(***)∴(*)-(***),得242n b n =-,即21(2)n b n n =-≥,又当1n =时,21232102b =⋅-=,即11b =,适合21(2)n b n n =-≥,21n b n ∴=-.………14分 212n n n b n a -∴=,111212352222n n n n nn n b b n n n a a ------∴-=-=, 2n ∴=时,110n n n n b b a a --->,即2121b b a a >;3n ∴≥时,110n n n n b b a a ---<,此时n n b a ⎧⎫⎨⎬⎩⎭单调递减, 又1112b a =,2234b a =,3358b a =,44716b a =, 71162λ∴<≤. ……………16分 6. 解析:(1) 设b n =a 2n -λ,因为b n +1b n =a 2n +2-λa 2n -λ=13a 2n +1+(2n +1)-λa 2n -λ=13(a 2n -6n )+(2n +1)-λa 2n -λ=13a 2n +1-λa 2n -λ.(2分)若数列{a 2n -λ}是等比数列,则必须有13a 2n+1-λa 2n -λ=q (常数),即⎝⎛⎭⎫13-q a 2n +(q -1)λ+1=0,即⎩⎪⎨⎪⎧13-q =0(q -1)λ+1=0⎩⎨⎧q =13,λ=32,(5分) 此时b 1=a 2-32=13a 1+1-32=-16≠0,所以存在实数λ=32,使数列{a 2n -λ}是等比数列.(6分)(注:利用前几项,求出λ的值,并证明不扣分) (2) 由(1)得{b n }是以-16为首项,13为公比的等比数列,故b n =a 2n -32=-16·⎝⎛⎭⎫13n -1=-12·⎝⎛⎭⎫13n ,即a 2n =-12·⎝⎛⎭⎫13n +32.(8分)由a 2n =13a 2n -1+(2n -1),得a 2n -1=3a 2n -3(2n -1)=-12·⎝⎛⎭⎫13n -1-6n +152,(10分)所以a 2n -1+a 2n =-12·⎣⎡⎦⎤⎝⎛⎭⎫13n -1+⎝⎛⎭⎫13n -6n +9=-2·⎝⎛⎭⎫13n -6n +9, S 2n =(a 1+a 2)+(a 3+a 4)+…+(a 2n -1+a 2n )=-2[13+⎝⎛⎭⎫132+…+⎝⎛⎭⎫13n ]-6(1+2+…+n )+9n=-2·13[1-⎝⎛⎭⎫13n ]1-13-6·n (n +1)2+9n =⎝⎛⎭⎫13n -1-3n 2+6n =⎝⎛⎭⎫13n-3(n -1)2+2,(12分)显然当n ∈N *时,{S 2n }单调递减.又当n =1时,S 2=73>0,当n =2时,S 4=-89<0,所以当n ≥2时,S 2n <0;S 2n -1=S 2n -a 2n =32·⎝⎛⎭⎫13n -52-3n 2+6n , 同理,当且仅当n =1时,S 2n -1>0.综上,满足S n >0的所有正整数n 为1和2.(16分) 7.解析:(Ⅰ)易得数列⎩⎨⎧+-=.9414为偶数时,当为奇数时;,当n n n n c n前15项之和53527)6517(28)593(=⨯++⨯+=……………………………4分 (Ⅱ)①n a a n n 21=++ (*∈N n )(1) , )1(221+=+++n a a n n (2)(1)-(2)得22=-+n n a a (*∈N n ).所以,{}n a 为公差为2的“隔项等差”数列. ……………………………6分当n 为偶数时,a n n a a n -=⨯⎪⎭⎫⎝⎛-+-=2122, 当n 为奇数时,()[]11)1(2)1(21-+=----=--=-a n a n n a n a n n ; …8分②当n 为偶数时,()2212212222221222n n n n a n n n a S n =⨯⎪⎭⎫ ⎝⎛-+⋅-+⨯⎪⎭⎫ ⎝⎛-+⋅=;当n 为奇数时,()2212121212221212121⨯⎪⎭⎫⎝⎛---+-⋅-+⨯⎪⎭⎫ ⎝⎛-++++⋅=n n n a n n n a S n 21212-+=a n . ……………………………12分 故当k n 2=时,222k S k =,a k k S k ++=+22212,222)1(2+=+k S k ,由()222212++⋅=k k k S S S ,则2222)1(22)22(+⋅=++k k a k k ,解得0=a .所以存在实数0a =,使得22122++k k k S S S 、、成等比数列(*N k ∈)……………………………16分8. 解析:(1) 设等差数列{a n }的公差为d ,等比数列{b n }的公比为q ,依题意,得⎩⎪⎨⎪⎧a 1+(a 1+d )=a 1+2d ,b 1(b 1q )=b 1q 2,(a 1+2d )+(a 1+b 1q )=2[(a 1+d )+b 1],(a 1+d )2=a 1(b 1q ),解得a 1=d =1,b 1=q =2.故a n =n ,b n =2n .(6分)(2) 将a 1,b 1,b 2记为第1组,a 2,a 3,a 4,b 3,b 4,b 5,b 6记为第2组,a 5,a 6,a 7,a 8,a 9,b 7,b 8,b 9,b 10,b 11,b 12记为第3组,……以此类推,则第n 组中,有2n -1项选取于数列{a n },有2n 项选取于数列{b n },前n 组共有n 2项选取于数列{a n },有n 2+n 项选取于数列{b n },记它们的总和为P n ,并且有()22211222nn n n n P +++=+-.(11分)P 45-22 014=452(452+1)2+22 071-22 014-2>0,P 44-22 014=442(442+1)2-21 981(233-1)-2<0.当S n =452(452+1)2+(2+22+…+22 012)时,S n -22 014=-22 013-2+452(452+1)2<0.(13分)当S n =452(452+1)2+(2+22+…+22 013)时,S n -22 014=-2+452(452+1)2>0.可得到符合S n <22 014的最大的n =452+2 012=4 037.(16分)。
4.1.1数列的概念要点一数列的有关概念1.定义:按照确定的顺序排列的一列数.2.项:数列中的每一个数叫做这个数列的项;排在第一位的数称为这个数列的第1项(也叫首项).3.一般形式:a1,a2,a3,…,a n,…,简记为{}n a.【重点总结】(1)数列的项是指这个数列中的某一个确定的数,是一个函数值,也就是相当于f(n),而项数是指这个数在数列中的位置序号,它是自变量的值,相当于f(n)中的n.(2)数列1,2,3,4,5和数列5,3,2,4,1为两个不同的数列,因为二者的元素顺序不同,而集合{1,2,3,4,5}与这两个数列也不相同,一方面形式上不一致,另一方面,集合中的元素具有无序性.如果数列{a n}的第n项a n与序号n之间的关系可以用一个式子来表示,那么这个公式叫做这个数列的通项公式.要点四数列与函数的关系从函数的观点看,数列可以看作是特殊的函数,关系如下表:【基础自测】1.判断正误(正确的画“√”,错误的画“×”)(1){0,1,2,3,4}是有穷数列.()(2)数列1,2,3,4和数列1,2,4,3是同一数列.()(3)所有自然数能构成数列.()(4)数列1,3,5,7,…,2n +1,…的通项公式是a n =2n +1.( ) 2.若数列{a n }满足a n =2n ,则数列{a n }是( ) A .递增数列 B .递减数列 C .常数列 D .摆动数列【答案】A【解析】a n +1-a n =2n +1-2n =2n >0,∴a n +1>a n ,即{a n }是递增数列.故选A. 3.(多选题)数列-1,1,-1,1,…的通项公式可以为( ) A .a n =(-1)n -1 B .a n =(-1)n C .a n =cos n π D .a n =sin n π 【答案】BC4.数列1,2,7,10,13,…中的第26项为________. 【答案】219【解析】因为a 1=1=1,a 2=2=4,a 3=7,a 4=10,a 5=13,所以a n =3n -2, 所以a 26=3×26-2=76=219.题型一 数列的概念和分类1.数列-11,-20,-27,…,n 2-12n ,…是( ) A .递增数列 B .递减数列 C .常数列 D .摆动数列 【答案】D【解析】该数列从第2项起,第n 项与第n -1项的差为(n 2-12n )-[(n -1)2-12(n -1)]=2n -13,所以该数列的前6项单调递减,从第6项往后单调递增,故选D. 2.已知下列数列:①1,2,22,23,…,260;②1,0.5,0.52,0.53,…; ③-2,2,-2,2,…;④3,3,3,3,…;⑤0,12,23,34,…,n -1n ,…;⑥1,0,-1,…,sin n π2,….其中有穷数列是______;无穷数列是________; 递增数列是________;递减数列是________; 摆动数列是________;常数列是________.(填序号) 【答案】○1 ○2○3○4○5○6 ○1○5 ○2 ○3○6 ○4 【方法归纳】判断数列是哪一种类型的数列时要紧扣概念及数列的特点.对于递增、递减、摆动还是常数列要从项的变化趋势来分析;而有穷还是无穷数列则看项的个数有限还是无限. 题型二 由数列的前n 项求通项公式【例1】写出数列的一个通项公式,使它的前4项是下列各数: (1)-1,12,-13,14;(2)3,3,15,21; (3)0.9,0.99,0.999,0.999 9; (4)3,5,3,5.【解析】(1)任何一个整数都可以看成一个分数,所以此数列可以看做是自然数列的倒数,正负相间用(-1)的多少次幂进行调整,其一个通项公式为a n =(-1)n ·1n.(2)数列可化为3,9,15,21,即3×1,3×3,3×5,3×7,…,每个根号里面可分解成两数之积,前一个因数为常数3,后一个因数为2n -1,故原数列的一个通项公式为a n =3(2n -1)=6n -3. (3)原数列可变形为⎝⎛⎭⎫1-110,⎝⎛⎭⎫1-1102,⎝⎛⎭⎫1-1103,⎝⎛⎭⎫1-1104,…,故数列的一个通项公式为a n =1-110n . (4)数列给出前4项,其中奇数项为3,偶数项为5,所以通项公式的一种表示方法为a n =⎩⎪⎨⎪⎧3 (n 为奇数)5 (n 为偶数).此数列还可以这样考虑,3与5的算术平均数为3+52=4,4+1=5,4-1=3,因此数列的一个通项公式又可以写为a n =4+(-1)n . 【方法归纳】(1)据所给数列的前几项求其通项公式时,需仔细观察分析,抓住以下几方面的特征: ①分式中分子、分母的特征; ②相邻项的变化特征; ③拆项后的特征;④各项符号特征等,并对此进行归纳、联想.(2)观察、分析数列中各项的特点是最重要的,观察出项与序号之间的关系、规律,利用我们熟知的一些基本数列(如自然数列、奇偶数列等)转换而使问题得到解决,对于正负符号变化,可用(-1)n 或(-1)n +1来调整. 【跟踪训练】写出下列数列的一个通项公式:(1)0,3,8,15,24,…; (2)1,-3,5,-7,9,…; (3)112,223,334,445,…;(4)1,11,111,1 111,….【解析】(1)观察数列中的数,可以看到0=1-1,3=4-1,8=9-1,15=16-1,24=25-1,…,所以它的一个通项公式是a n =n 2-1(n ∈N *).(2)数列各项的绝对值为1,3,5,7,9,…,是连续的正奇数,并且数列的奇数项为正,偶数项为负,所以它的一个通项公式为a n =(-1)n +1(2n -1)(n ∈N *).(3)此数列的整数部分1,2,3,4,…恰好是序号n ,分数部分与序号n 的关系为nn +1,故所求的数列的一个通项公式为a n =n +nn +1=n 2+2n n +1(n ∈N *).(4)原数列的各项可变为19×9,19×99,19×999,19×9 999,…,易知数列9,99,999,9 999,…的一个通项公式为a n =10n -1,所以原数列的一个通项公式为a n =19(10n -1)(n ∈N *).题型三 数列的单调性【例2】已知函数f (x )=1-2xx +1(x ≥1),构造数列a n =f (n )(n ∈N *).(1)求证:a n >-2;(2)数列{a n }是递增数列还是递减数列?为什么?【解析】(1)因为f (x )=1-2x x +1=3-2(x +1)x +1=-2+3x +1,所以a n =-2+3n +1.因为n ∈N *,所以a n >-2.(2)数列{a n }为递减数列.理由如下:因为a n =-2+3n +1,所以a n +1-a n =⎝⎛⎭⎫-2+3n +2-⎝⎛⎭⎫-2+3n +1=3n +2-3n +1=-3(n +2)(n +1)<0 即a n +1<a n ,所以数列{a n }为递减数列.先化简f (x )的解析式,再构造{a n },然后判断a n +1-a n 的符号. 【方法归纳】用作差法判断数列的单调性关键是判断符号,为此,一般要对差式进行通分,因式分解等变形;若用作商法则要特别注意分母的符号.【跟踪训练2】已知数列{a n }的第n 项可以表示为2n3n +1,n ∈N *,试判断数列的增减性.【解析】因为{a n }的第n 项为2n 3n +1,所以{a n }的第n +1项为2(n +1)3(n +1)+1.因为2(n +1)3(n +1)+1-2n3n +1=2n +23n +4-2n3n +1=(2n +2)(3n +1)-2n (3n +4)(3n +4)(3n +1)=6n 2+8n +2-6n 2-8n (3n +4)(3n +1)=2(3n +4)(3n +1)>0,所以2(n +1)3(n +1)+1>2n 3n +1,所以数列{a n }的第n +1项大于第n 项,故数列{a n }是递增数列.【易错辨析】忽视数列中n ∈N *致错例3 已知数列{a n }的通项公式为a n =n 2-5n +4,则a n 的最小值为________. 【答案】-2【解析】∵a n =n 2-5n +4=⎝⎛⎭⎫n -522-94, 可知对称轴方程为n =52,又n ∈N *,故n =2或3时, a n 有最小值,且a 2=a 3=-2. 【易错警示】1. 出错原因在求出a n =⎝⎛⎭⎫n -522-94时,忘记n ∈N *了,导致得出错误答案:-94. 2.纠错心得数列的定义域是正整数集合,是特殊的函数,所以解题时一定不要忘记n ∈N *这一条件.一、单选题1.某新冠疫苗接种点统计了一周(星期一至星期日)每天接种加强针的人数(单位:百人)如下:2,4,6,10,16,( ),42,因不慎丢失星期六的数据,根据数据的规律,则星期六的数据为( ) A .18 B .24 C .26 D .28【答案】C 【分析】通过观察数列的规律,可得到从第三个数据起,每个数据等于它前面两个数据之和,根据这一结论可推得结果. 【解析】从第三个数据起,每个数据等于它前面两个数据之和,所以星期六的数据为101626,+=故选:C.2.数列1,2, )A .8项B .7项C .6项D .5项【答案】A 【分析】【解析】,故通项公式为n a 8项.故选:A.3.若数列{}n a 满足12a =,11n n n a a a +=-,则2022a =( ) A .2 B .12C .-1D .-2【答案】C 【分析】由题意得数列{}n a 是周期为3的数列,即可得解. 【解析】由12a =,代入11n n n a a a +=-可得21=2a ,同理可得31=a -.由11n n n a a a +=-,得1=1n n na a a +-,从而有+12+1==1111=11n n n n n n n na a a a a a a a +------, 即2=11n na a +--,从而有3+1===11111n nn n na a a a a +-----, 所以数列{}n a 的周期为3, 所以2022a =36743=1a a ⨯=-. 故选:C.4.已知数列{}n a 满足1124n n n a a a ++=+且31a =,则2022a 的值为( ) A .1 B .2 C .4 D .-4【答案】A 【分析】根据数列的递推公式,可知数列{}n a 是周期为3的周期数列,由此即可求出结果. 【解析】因为数列{}n a 满足1124n n n a a a ++=+且31a =, 所以32324a a a =+,34424a a a =+, 所以2424a a =-=,, 又21224a a a =+,54524a a a =+ 所以1542a a ==-,, 又65624a a a =+,所以61a =所以1234564,2,1,4,2,1a a a a a a ==-===-=,……所以数列{}n a 是周期为3的周期数列,所以2022674331a a a ⨯===. 故选:A.5.已知数列{}n a 满足12a =,111n n n a a a +-=+,则2021a =( )A .2B .13C .12-D .3-【答案】A 【分析】写出数列的前5项,即可得出数列{}n a 是以4为周期的数列,202112a a ==. 【解析】解:因为12a =,所以由已知可得2211213a -==+,311131213a -==-+,41123112a --==--+, 531231a --==-+.可以判断出数列{}n a 是以4为周期的数列, 所以202112a a ==. 故选:A6.大衍数列,来源于《乾坤谱》中对易传“大衍之数五十”的推论,主要用于解释中国传统文化中的太极衍生原理,数列中的每一项都代表太极衍生过程,是中华传统文化中隐藏着的世界数学史上第一道数列题,其中一列数如下:0,2,4,8,12,18,24,32,40,50,……,按此规律得到的数列记为{}n a ,则15a =( ) A .98 B .112 C .128 D .132【答案】B 【分析】根据题意可得奇数项的通项公式,即可求出. 【解析】奇数项为0,4,12,24,40,…,即222221131517191,,,,,22222-----可得当n 为奇数时,212n n a -=,2151511122a -∴==. 故选:B.7.数列{}n a 满足11a =,21a =,且12n n n a a a --=-,()3n ≥,记数列{}n a 的前n 项和为n S ,则20S =( ) A .0 B .1C .2D .14【答案】C 【分析】利用递推公式求出数列{}n a 的前20项,直接求和. 【解析】因为11a =,21a =,且12n n n a a a --=-,()3n ≥,所以321110a a a -=-==;432011a a a ==--=-;543101a a a =-=--=-; 654110a a a =---==;()765011a a a =--=-=;876101a a a -=-==;同理递推可得:90a =;101a =-;111a =-;120a =;131a =;141a =;150a =;161a =-;171a =-;180a =;191a =;201a =.所以()()()()()()2011001111001111001111S =++++-+-+++++-+-+++++-+-++=2. 故选:C8.在数列{}n a 中,11a =,23a =,35a =,31n n a a +=,则515252021log log log a a a ++⋅⋅⋅+=( ) A .0 B .1 C .5log 3 D .5log 15【答案】B 【分析】计算得到数列周期为6,化简得到原式()2515log a a a =⋅⋅⋅⋅,计算得到答案. 【解析】31n n a a +=,故361n n a a ++=,故6n n a a +=,数列的周期为6.11a =,23a =,35a =,41a =,513a =,615a =,1234561a a a a a a =,()()515252021521212502155log log log lo l l g og o 5g 1a a a a a a a a a ⋅++⋅⋅⋅+=⋅⋅⋅=⋅⋅⋅⋅==.故选:B.二、多选题9.已知数列{a n }中,a 1=3,a n +1=-11n a +,能使a n =3的n 可以为( ) A .22 B .24 C .26 D .28【答案】AD 【分析】通过计算找到数列的周期,即得解. 【解析】解:由a 1=3,a n +1=-11n a +,得a 2=-14,a 3=-43,a 4=3. 所以数列{a n }是周期为3的数列,故a 22=a 28=3. 故选:AD10.下列四个选项中,正确的是( ) A .数列的图象是一群孤立的点B .数列1,1-,1,1-,…与数列1-,1,1-,1,…是同一数列C .数列23,34,45,56,…的一个通项公式是()*1n n a n N n =∈+ D .数列12,14,…,12n是递减数列 【答案】AD 【分析】利用数列通项公式、数列的图象、数列的定义以及数列的单调性依次判断四个选项即可. 【解析】解:对于A ,由数列的通项公式以及*n N ∈可知,数列的图象是一群孤立的点,故选项A 正确; 对于B ,由于两个数列中的数排列的次序不同,因此不是同一数列,故选项B 错误; 对于C ,当通项公式为1n n a n =+时,11223a =≠,不符合题意,故选项C 错误;对于D ,数列11,24,⋯,12n是递减数列,故选项D 正确.故选:AD.第II 卷(非选择题)请点击修改第II 卷的文字说明三、填空题11.在数学课堂上、教师引导学生构造新数列:在数列的每相邻两项之间插入此两项的和,形成新的数列,再把所得数列按照同样的方法不断构造出新的数列,例如将数列1,2进行构造,第一次得到数列1,3,2;第二次得到数列1,4,3,5,2;第()*n n ∈N 次得到数列1,1x ,2x ,3x ,…,k x ,2(共2k +项),则k =______. 【答案】21n -【分析】根据第一次得到数列1,3,2,共1321=+项,第二次得到数列1,4,3,5,2,共2521=+项,第三次得到数列1,5,4,7,3,8,5,7,2,共3921=+项,得到规律求解. 【解析】第一次得到数列1,3,2,共1321=+项; 第二次得到数列1,4,3,5,2,共2521=+项;第三次得到数列1,5,4,7,3,8,5,7,2,共3921=+项;依此第n 次得到数列1,1x ,2x ,3x ,…,k x ,2,共221n k +=+项; 解得21n k =-, 故答案为:21n -12.数列{a n }的通项公式为a n =2,3,n n n n +⎧⎨-⎩是奇数是偶数,则a 3+a 6=________.【答案】8 【解析】a 3+a 6=(3+2)+(6-3)=5+3=8.13.已知数列{}n a 满足12211,2,()n na a a n N a ++==-=-∈,则该数列前26项的和为____.【答案】10- 【分析】根据递推公式可以求出数列的周期,利用周期进行求解即可. 【解析】因为12211,2,()n na a a n N a ++==-=-∈,所以3111a a =-=-,42112a a =-=,5311a a =-=,6412a a =-=-,因此该数列的周期为4,且1234131(2)(1)22a a a a +++=+-+-+=-, 所以该数列前26项的和为:361(2)102-⨯++-=-,故答案为:10-四、解答题14.若数列{}n a 满足12a =,111n n na a a ++=-,n *∈N ,求2021a . 【答案】2【分析】 计算出数列{}n a 的前5项的值,可知数列{}n a 为周期数列,结合数列的周期性可得结果.【解析】解:因为12a =,111n n n a a a ++=-,则1211123112a a a ++===---,23211311132a a a , 3431111211312a a a ,454111321113a a a ,所以,数列{}n a 是周期为4的数列,因此,20214505112a a a ⨯+===.15.根据下面的图形及相应的点数,写出点数构成的数列的一个通项公式,并在横线上和括号中分别填上第5项的图形和点数.(1)(2)(3)【答案】(1)第5项图形见解析,通项公式为54n a n =-,第5项的点数为521a =(2)第5项图形见解析,通项公式为32n b n =-,第5项的点数为513b =(3)第5项图形见解析,通项公式为()2n c n n =+,第5项的点数为535c =【分析】(1)根据图形中点数的规律可作出第5项的图形,并根据各项的点数可归纳出数列的通项公式;(2)根据图形中点数的规律可作出第5项的图形,并根据各项的点数可归纳出数列的通项公式; (3)根据图形中点数的规律可作出第5项的图形,并根据各项的点数可归纳出数列的通项公式. (1)解:设第n 项的点数为()n a n *∈N , 11a =,215a =+,3125a =+⨯,4135a =+⨯,该数列的第5项为514521a =+⨯=,数列{}n a 的一个通项公式为()15154n a n n =+-=-,第5项的图形如下图所示:(2)解:设第n 项的点数为()n b n N *∈, 11b =,213b =+,3123b =+⨯,4133b =+⨯,该数列的第5项为514313b =+⨯=,数列{}n b 的一个通项公式为()13132n b n n =+-=-,第5项的图形如下图所示:(3)解:设第n 项的点数为()n c n N *∈, 113c =⨯,224c =⨯,335c =⨯,446c =⨯,该数列的第5项为55735c =⨯=,数列{}n c 的一个通项公式为()2n c n n =+,第5项的图形如下图所示:。
2019年高三数学[人教版]各题型解法:数列问题数列问题的题型与方法数列是高中数学的重要内容,又是学习高等数学的基础。
高考对本章的考查比较全面,等差数列,等比数列的考查每年都不会遗漏。
有关数列的试题经常是综合题,经常把数列知识和指数函数、对数函数和不等式的知识综合起来,试题也常把等差数列、等比数列,求极限和数学归纳法综合在一起。
探索性问题是高考的热点,常在数列解答题中出现。
本章中还蕴含着丰富的数学思想,在主观题中着重考查函数与方程、转化与化归、分类讨论等重要思想,以及配方法、换元法、待定系数法等基本数学方法。
近几年来,高考关于数列方面的命题主要有以下三个方面;(1)数列本身的有关知识,其中有等差数列与等比数列的概念、性质、通项公式及求和公式。
(2)数列与其它知识的结合,其中有数列与函数、方程、不等式、三角、几何的结合。
(3)数列的应用问题,其中主要是以增长率问题为主。
试题的难度有三个层次,小题大都以基础题为主,解答题大都以基础题和中档题为主,只有个别地方用数列与几何的综合与函数、不等式的综合作为最后一题难度较大。
一、知识整合课本、报刊杂志中的成语、名言警句等俯首皆是,但学生写作文运用到文章中的甚少,即使运用也很难做到恰如其分。
为什么?还是没有彻底“记死”的缘故。
要解决这个问题,方法很简单,每天花3-5分钟左右的时间记一条成语、一则名言警句即可。
可以写在后黑板的“积累专栏”上每日一换,可以在每天课前的3分钟让学生轮流讲解,也可让学生个人搜集,每天往笔记本上抄写,教师定期检查等等。
这样,一年就可记300多条成语、300多则名言警句,日积月累,终究会成为一笔不小的财富。
这些成语典故“贮藏”在学生脑中,自然会出口成章,写作时便会随心所欲地“提取”出来,使文章增色添辉。
1.在掌握等差数列、等比数列的定义、性质、通项公式、前n项和公式的基础上,系统掌握解等差数列与等比数列综合题的规律,深化数学思想方法在解题实践中的指导作用,灵活地运用数列知识和方法解决数学和实际生活中的有关问题;2.在解决综合题和探索性问题实践中加深对基础知识、基本技能和基本数学思想方法的认识,沟通各类知识的联系,形成更完整的知识网络,提高分析问题和解决问题的能力,语文课本中的文章都是精选的比较优秀的文章,还有不少名家名篇。
高中数学教材变式题汇总:数列一、有关通项问题1、利用11(1)(2)n nn S n a S S n -=⎧=⎨-≥⎩求通项.(北师大版第23页习题5)数列{}n a 的前n 项和21n S n =+.(1)试写出数列的前5项;(2)数列{}n a 是等差数列吗?(3)你能写出数列{}n a 的通项公式吗?变式题1、(湖北卷)设数列}{n a 的前n 项和为S n =2n 2,求数列}{n a 的通项公式; 解:(1):当;2,111===S a n 时,24)1(22,2221-=--=-=≥-n n n S S a n n n n 时当故{a n }的通项公式为4,2}{,241==-=d a a n a n n 公差是即的等差数列. 变式题2、(北京卷)数列{a n }的前n 项和为S n ,且a 1=1,113n n a S +=,n =1,2,3,……,求a 2,a 3,a 4的值及数列{a n }的通项公式.解:(I )由a 1=1,113n n a S +=,n=1,2,3,……,得 211111333a S a ===,3212114()339a S a a ==+=,431231116()3327a S a a a ==++=, 由1111()33n n n n n a a S S a +--=-=(n ≥2),得143n n a a +=(n ≥2),又a 2=31,所以a n =214()33n -(n ≥2),∴ 数列{a n }的通项公式为21114()233n n n a n -=⎧⎪=⎨⎪⎩≥变式题3、(山东卷)已知数列{}n a 的首项15,a =前n 项和为n S ,且*15()n n S S n n N +=++∈,证明数列{}1n a +是等比数列.解:由已知*15()n n S S n n N +=++∈可得12,24n n n S S n -≥=++两式相减得()1121n n n n S S S S +--=-+即121n n a a +=+从而()1121n n a a ++=+当1n =时21215S S =++所以21126a a a +=+又15a =所以211a =从而()21121a a +=+故总有112(1)n n a a ++=+,*n N ∈又115,10a a =+≠从而1121n n a a ++=+即数列{}1n a +是等比数列;2、解方程求通项:(北师大版第19页习题3)在等差数列{}n a 中,(1)已知812148,168,S S a d ==求和;(2)已知658810,5,a S a S ==求和;(3)已知3151740,a a S +=求.变式题1、{}n a 是首项11a =,公差3d =的等差数列,如果2005n a =,则序号n 等于(A )667 (B )668 (C )669 (D )670 分析:本题考查等差数列的通项公式,运用公式直接求出. 解:1(1)13(1)2005n a a n d n =+-=+-=,解得669n =,选C点评:等差等比数列的通项公式和前n 项和的公式是数列中的基础知识,必须牢固掌握.而这些公式也可视作方程,利用方程思想解决问题.3、待定系数求通项:(人教版第38页习题4)写出下列数列{}n a 的前5项:(1)111,41(1).2n n a a a n -==+>变式题1、(福建卷)已知数列{}n a 满足*111,21().n n a a a n N +==+∈求数列{}n a 的通项公式; 解:*121(),n n a a n N +=+∈ 112(1),n n a a +∴+=+{}1n a ∴+是以112a +=为首项,2为公比的等比数列. 12.n n a ∴+= 即*21().n n a n N =-∈4、由前几项猜想通项:(北师大版第10页习题1)根据下面的图形及相应的点数,在空格及括号中分别填上适当的图形和数,写出点数的通项公式. (1)(4)(7)( )( )变式题1、(深圳理科一模).如下图,第(1)个多边形是由正三角形“扩展“而来,第(2)个多边形是由正方形“扩展”而来,……,如此类推.设由正n 边形“扩展”而来的多边形的边数为n a , 则6a= ;345991111a a a a +++⋅⋅⋅+= .解:由图可得:22(1)n a n n n n n =+-=+,所以642a =;又211111(1)1n a n n n n n n ===-+++ 所以345991111a a a a +++⋅⋅⋅+=1111111197()()()3445991003100300-+-++-=-=变式题2、(北师大版第11页习题2)观察下列各图,并阅读下面的文字,像这样,10条直线相交,交点的个数最多是( ),其通项公式为 . A .40个 B .45个 C .50个 D .55个解:由题意可得:设{}n a 为n 条直线的交点个数,则21a =,1(1),(3)n n a a n n -=+-≥,因为11n n a a n --=-,由累加法可求得:(1)12(1)2n n n a n -=+++-=,所以10109452a ⨯==,选B. 二、有关等差、等比数列性质问题1、(北师大版第35页习题3)一个等比数列前n 项的和为48,前2n 项的和为60,则前3n 项的和为( )A .83B .108C .75D .632条直线相交,最多有1个交点3条直线相交,最多有3个交点4条直线相交,最多有6个交点变式题1、一个等差数列前n 项的和为48,前2n 项的和为60,则前3n 项的和为 。
解:若数列{}n a 为等差数列,则232,,n n n n n S S S S S --等差数列,可得:48,12,3nS -60成等差数列,所以3n S =36.变式题2、(江苏版第76页习题1)等比数列{}n a 的各项为正数,且5647313231018,log log log a a a a a a a +=+++=则( )A .12B .10C .8D .2+3log 5解:因为564718,a a a a +=所以56471101102189a a a a a a a a +==⇒=,而3132log log a a ++5310312103110log log ()log ()10a a a a a a +===,所以选B.点评:高考题的一个重要特点就是考查学生对问题敏锐的观察能力和迅速有效的思维能力,灵活运用数学知识和性质可提高我们的正确解题的速度. 因此对相关知识的性质要深刻地理解和掌握并能灵活运用.2、(北师大版第21页习题4)设数列{}n a 是单调递增的等差数列,前三项的和为12,前三项的积为48,则它的首项是( )A .1 B.2 C.4 D.8变式题1、在各项都为正数的等比数列{}n a 中,首项13a =,前三项和为21,则345a a a ++=( )(A )33 (B )72(C )84(D )189 分析:本题主要是考查等比数列的基本概念和性质,可利用方程思想将等比数列问题转化为1a 和q 处理,也可利用等比数列的定义进行求解.解法一:设公比为q ,由题知,12111321a a a q a q =⎧⎨++=⎩得2q =或30q =-(舍去),∴34584a a a ++=,故选C.解法二:由11233,21a a a a =++=得,2q =(30q =-舍去),2345123()84a a a q a a a ++=++=.三、数列求和问题1、(北师大版第23页习题4)已知}{n a 是等差数列,其中131a =,公差8d =-。
(1)求数列}{n a 的通项公式,并作出它的图像;(2)数列}{n a 从哪一项开始小于0?(3)求数列}{n a 前n 项和的最大值,并求出对应n 的值.变式题1、已知}{n a 是各项不为零的等差数列,其中10a >,公差0d <,若100S =,求数列}{n a 前n 项和的最大值. 解:110105610()5()02a a S a a +==+=,所以560,0a a ><,即数列}{n a 前5项和为最大值.变式题2、在等差数列}{n a 中,125a =,179S S =,求n S 的最大值. 解法一:由179S S =,得:1792517(171)259(91)22d d ⨯+-=⨯+-,解得2d =-. 225(1)(2)(13)1692n nS n n n ∴=+--=--+.由二次函数的性质,当13n =时,n S 有最大值169.解法二:先求出2d =-,1250a =>,由1113252(1)0225201122n n n a n a n n +⎧≤⎪=--≥⎧⎪⇒⎨⎨=-≤⎩⎪≥⎪⎩,所以当13n =时,n S 有最大值169. 解法三:由179S S =,得1011170a a a +++=,而101711161215a a a a a a +=+=+1314a a =+,故1314a a +=0.1131420,0,0,0,d a a a =-<>∴><故当13n =时,n S 有最大值169.点评:解决等差数列前n 项和最值问题的方法通常有:①、利用二次函数求最值;②、利用通项公式n a 求n 使得10n n a a +⋅≤;③利用性质求出符号改变项.2、(江苏版第58页习题6)求和:21123n n S x x nx -=++++变式题1、已知数列42n a n =-和124n n b -=,设n n nb ac =,求数列}{n c 的前n 项和n T . 解:1142(21)424n n nnn a n c n b ---===-,1211223113454(21)4,4143454(23)4(21)4n n n n nn T c c c n T n n --∴=+++=+⨯+⨯++-=⨯+⨯+⨯++-+-两式相减得].54)56[(91]54)56[(314)12()4444(2131321+-=∴+-=-+++++--=-n n n n n n n T n n T变式题2、(全国1文21)设{}n a 是等差数列,{}n b 是各项都为正数的等比数列,且111a b ==,3521a b +=,5313a b +=(Ⅰ)求{}n a ,{}n b 的通项公式;(Ⅱ)求数列n n a b ⎧⎫⎨⎬⎩⎭的前n 项和n S .解:(Ⅰ)设{}n a 的公差为d ,{}n b 的公比为q ,则依题意有0q >且4212211413d q d q ⎧++=⎪⎨++=⎪⎩,, 解得2d =,2q =.所以1(1)21n a n d n =+-=-,112n n n b q --==.(Ⅱ)1212n n n a n b --=.122135232112222n n n n n S ----=+++++,① 3252321223222n n n n n S ----=+++++,② ②-①得22122221222222n n n n S ---=+++++-,221111212212222n n n ---⎛⎫=+⨯++++- ⎪⎝⎭1111212221212n n n ----=+⨯--12362n n -+=-.点评:错位相减法适用于通项公式形容{}n n b a 的数列,其中{n a }是等差数列,{}n b 是各项不为0的等比数列.变式题2.设等比数列}{n a 的公比为q ,前n 项和为S n ,若S n+1,S n ,S n+2成等差数列,则q的值为.分析:本题主要考查等比数列的求和公式,等差数列的概念运用,可直接求得.解:1(1)1n n a q S q -=-,122n n n S S S ++=+,则有12111(1)(1)(1)2111n n n a q a q a q q q q++---⋅=+---,220q q ∴+-=,2q ∴=-.,若1q =,则1222(1)(2)23n n n S n S S n n n ++=≠+=+++=+。