电机参数鲤鱼江
- 格式:xls
- 大小:57.50 KB
- 文档页数:9
电机运行的参数
电机运行的参数主要包括以下几种:
额定电压:指电动机额定运行时,外加于定子绕组上的线电压,单位为伏(V)。
一般来说,电源电压要与电动机额定电压相符。
额定频率:单位是Hz,指电动机在额定电压下工作的频率。
额定功率:指电动机在额定电压和额定频率下,输出机械功率的标准值。
额定电流:指电动机在额定电压下,空载稳态运行时输入的有效电流。
效率:单位是g/w,代表每单位功率所产生的推力大小。
转速:电机的旋转速率,一般使用转/分来表示。
电机的转速与电源电压、负载情况、电机的型号等有关。
转矩:指电机输出的力矩,一般使用牛·米(Nm)来表示。
负载转速:正常工作电压下电机带负载的转速。
负载力矩:正常工作电压下电机带负载的力矩(N· m)。
负载电流:负载电流是指电机拖动负载时实际检测到的定子电流数值。
空载电流:正常工作电压下电机不带任何负载的工作电流(单位mA (毫安))。
越好的电机,在空载时,该值越小。
堵转力矩:在电机受反向外力使其停止转动时的力矩。
如果电机堵转现象经常出现,则会损坏电机,或烧坏驱动芯片。
所以大家选电机时,这是除转速外要考虑的参数。
堵转时间一长,电机温度上升的很快,这个值也会下降的很厉害。
堵转电流:在电机受反向外力使其停止转动时的电流,此时电流非常
大,时间稍微就可能烧毁电机,在实际使用时应尽量避免。
减速比:是指没有减速齿轮时转速与有减速齿轮时转速之比。
KV值:表示电机运行速度的指标,电机转速=KV值x 工作电压。
XXD电机+桨+电池(diànchí)=推力(详细参数表)XXD电机(diànjī)+桨+电池=推力(详细参数表)型号外形尺寸重量输出轴径:A220827.8×21mm36克3/3.17mm2208KV1500螺旋桨电压(V)电流(A)输入功率(W)转速(rpm)推力(g)推力效率(g/w)理论参考桨速规格螺距(mm)(km/h )(m/s)GWS70358911 5.965 12970420 6.47 69 19.2 8910 5.151 ******** 6.86 64 17.7EMP7*3E 76118.998 11890550 5.62 54 15.1 7610.58.387 11520515 5.91 53 14.6 76107.575 11020465 6.20 50 14.0 769.5 6.966 10640430 6.56 49 13.5 769 6.458 10200390 6.77 47 12.9EMP7*4E 1021110.9120 11190525 4.38 68 19.0 102109.393 10350445 4.78 63 17.6 10297.971 9500385 5.41 58 16.2HX7*51251111.1122 10950485 3.97 82 22.8 125109.797 10200415 4.28 77 21.3 12598.173 9440350 4.80 71 19.7EMP7*4.5E 1141012.9129 8860450 3.49 61 16.8 114911.4103 8400400 3.90 57 16.0EMP7*5E 1271012.9129 8720470 3.64 66 18.5 127911.4103 8300420 4.09 63 17.6HY70601521112.6139 10020590 4.26 91 25.4 15210.512.2128 9850565 4.41 90 25.0 1521011.1111 9530515 4.64 87 24.1 1529.510.499 9200490 4.96 84 23.3 15299.787 8900450 5.15 81 22.5EMP7*6E 1521011.9119 9050515 4.33 83 22.9 152910.595 8500445 4.71 78 21.5XXD8040102119.9109 11400635 5.83 70 19.4 10210.59.398 11040585 5.99 68 18.8 102108.686 10640545 6.34 65 18.1 1029.57.975 10290500 6.66 63 17.5 10297.265 98304557.02 60 16.7 1028 6.149 90003807.79 55 15.3 1027 4.934 81103008.75 50 13.8GWS8040X31021011110 9600595 5.41 59 16.310299.586 9050515 6.02 55 15.4 10287.963 8230425 6.72 50 14.0 1027 6.646 74203507.58 45 12.6HY08431091111.9131 10740680 5.19 70 19.5 10910.510.9114 10400635 5.55 68 18.9 1091010.1101 10030585 5.79 66 18.2 1099.59.287 9560535 6.12 63 17.4 10998.879 9300500 6.31 61 16.9 10987.157 ********.22 55 15.3 1097 6.143 76503458.08 50 13.9GP8*6S152710.372 6200400 5.55 57 15.7GWS8060HD 15289.979 7820430 5.43 71 19.8 15277.955 7050350 6.33 64 17.9HY0947119812.6101 6560570 5.65 47 13.0 119710.271 5900455 6.37 42 11.7 11968.350 54003657.33 39 10.7GP9*4.5S114710.976 5980495 6.49 41 11.4GWS9050DD 127912.1109 7920625 5.74 60 16.8 127810.282 7400535 6.56 56 15.7 1277.59.672 71605057.01 55 15.2 12778.660 67704507.48 52 14.3 127 6.57.951 65004158.08 50 13.8 1276 6.941 60703558.57 46 12.8GWS9050X3127812.197 6850550 5.68 52 14.5 12779.969 6220450 6.49 47 13.2 12767.947 56003607.59 43 11.9GP9*6S152711.983 5400460 5.52 49 13.7 *实测KV值好像不到1500,手上这只电机的KV值应该在1400左右。
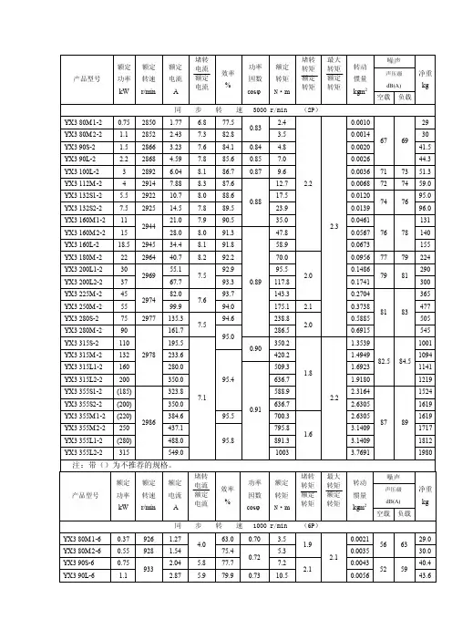
台州变频三相异步电机参数1.电机型号:台州变频三相异步电机的型号通常以Y开头,如Y90S-2、Y132M1-6等,其中的数字代表了电机的功率大小。
2.额定功率:台州变频三相异步电机的额定功率是指在额定工况下,电机能够连续运行所需的电源输入功率。
通常以千瓦(KW)为单位进行表示。
3.额定电压:台州变频三相异步电机的额定电压是指电机在额定功率下能够正常工作的电源电压。
常见的额定电压有220V、380V等。
4. 额定转速:台州变频三相异步电机的额定转速是指电机在额定电压和额定频率下的输出转速。
通常以转/分(rpm)为单位进行表示。
5.极数:台州变频三相异步电机的极数是指电机的磁极数目,它与电机的运行速度有关。
常见的极数有2极、4极、6极等。
6.额定频率:台州变频三相异步电机的额定频率是指电机运行所需的电源频率,通常为50Hz或60Hz。
7.绝缘等级:台州变频三相异步电机的绝缘等级是指电机绝缘系统的质量等级,表明了电机在电气性能上的可靠性。
常见的绝缘等级有B级、F级、H级等。
8.保护等级:台州变频三相异步电机的保护等级是指电机外壳的防护等级,表明了电机对固体颗粒和水的防护能力。
常见的保护等级有IP54、IP55等。
9.电流:台州变频三相异步电机的额定电流是指电机在额定电压和额定功率下所需的电流大小。
通常以安培(A)为单位进行表示。
10.轴承类型:台州变频三相异步电机的轴承类型有滚动轴承和滑动轴承两种,它们在电机的运行平稳性和寿命等方面有所差异。
以上是台州变频三相异步电机的一些常见参数,这些参数对于正确选择和使用电机具有重要的指导意义。
在实际应用中,还需要根据具体的需求和工作条件选择合适的电机型号和配置,以达到最佳的工作效果。
详细说明:Y系列三相异步电动机是一般用途鼠笼型异步电动机基本系列,全国统一设计。
它的中心高、功率等级、安装尺寸均符合IEC国际电工委员会标准。
产品可以和国内外各类机械设备配套。
Y系列电机中心高80-355mm。
绝缘等级为B级,外壳防护等级IP44,冷却方式IC411。
基本安装方式有IMB3、IMB5、IMB35、V1、V3等。
工作方式:S1连续工作制,环境温度-15— +40℃,海拔1000米以下。
电压380V,频率50HZ。
接法:3KW及以下为Y接,4KW及以上为△接。
Y系列电机具有效率高,能耗少、噪声低、振动小、重量轻、体积小、性能优良,运行可靠,维护方便等优点。
广泛用于工业、农业、建筑、采矿行业的各种无特殊要求的机械设备。
欧阳历创编 2021..02.09欧阳历创编 2021..02.09如风机、水泵、机床、起重及农副产品加工机械等。
B35尺寸数据机座号 凸缘号 极数 机座轴伸凸圆端盖AB AC AD HD L A A/2 B C H K D E F GM N P R ST孔数Y80 FF1652.4125 62.5 100508010 19 40 615.5165 130 200 0 12 3.5 4 165 175 150 175 290Y90S 2.4.6140 70 5690 24 50820 180 195 160 195315 Y90L 125340Y100L FF215 160 80 140 63 100122860 24 215 180 25015 4205 215 180 245 380Y112M 190 95 70 112245 240 190 265 400Y132S FF2652.4.6.8 216 10889 132 3880 10 33 265 230 300 280 275 210 315475Y132M 178 515Y160M FF300 254 127 210108 1601542 110 12 37 300 250 35019 5 330 335 265 385605Y160L 254650Y180M 279 139.5 241121 18048 14 42.5 355 380 285 430670Y180L 279710Y200L FF350 318 159 305 133 200195516 49 350 300 400 395 420 315 475 775 Y225SFF400 4.8 356 178 286 149 22560140 18 53 400 350 450 8 435 475 345 530 820欧阳历创编 2021..02.09轴径d键的公称尺寸键槽尺寸b(h9)h(h11)c或r L (h14)轴槽深t 毂槽深t1公称偏差公称偏差自6~8 2 20.16~0.25 6~20 1.2+0.11+0.1>8-10 3 3 6~36 1.8 1.4 >10-12 4 4 8~45 2.5 1.8>12-17 5 50.25~0.4 14-56 3 +0.12.3 +0.1>17-22 6 6 14-70 3.5 2.8>22-30 8 7 18-90 4 +0.20 3.3 +0.2>30-38 10 8 0.4-0.6 22-110 5 3.3欧阳历创编 2021..02.09欧阳历创编 2021..02.09。
直流电机型号及参数一、1650箔轧1.开卷、卷取:Z4-315-11 132KW 440V 500/1600rpm 他励180V If<20A2.主电机:Z4-560-3 584KW 440V 384/1200rpm 他励220V If<30A二、1650冷轧1.开卷、卷取:Z4-355-22 225KW 400V 632/641A 450/1600rpm 他励310V 15.5A 2.主机:Z710-3 1173KW 630V 2000A 410/1000rpm 他励220V三、1450冷轧1.开卷、卷取:Z4-355-22 225KW 400V 632/641A 450/1600rpm 他励310V 15.5A 2.主机:ZKSL-560-5 722KW 660V 1175/1185A 335/1000rpm 他励310V 20A四、铸轧机1.卷取机:Z4-180-11 400V 13KW 43A 540/1400rpm2.主机:Z4-160-31 19.5KW 400V 59.5A 900/2000rpm3.主机:Z4-180-31 33KW 400V 97A 900/2000rpm 180V五、1800飞剪(三套)1.开卷:Z4-200-11 22KW 400V 64.3A 310V 4.1A 500/1000 rpm2.夹送辊:Z4-132-3 18.5KW 440V 46A 310V 2.0A3.矫直机:Z4-250-41 90KW 440V 237/240A 600/1600 rpm 310V 9.58A4.飞剪:ZFQZ-280-31B 110KW 600rpm 285A 440V 310V 11.6A5.送料辊:Z4-112/2-2 4KW 440V 1500rpm 310V6.滚剪矫直机:Z4-200-31 90KW 440V 1500/2800rpm 310V六、1850拉矫1.开卷机Z4-250-31 67KW 400V 197/203A 540/2000rpm 180V 14.7A2.入口1#×2Z4-132-3 13.5KW 400V 41.7A 945/1600rpm 180V 4.45A3.入口2#×2Z4-180-11 16.5KW 400V 51.3/53A 670/1900rpm 180V 6.27A 4.入口3#×2Z4-200-11 33KW 400V 99A 670/1600rpm 180V 8.99A5.入口4#×2Z4-225-31 67KW 400V 196/201A 680/2250rpm 180V 13.3A6.出口1#×2Z4-250-21 81KW 400V 234/242A 680/2250rpm 180V 13.5A7.出口2#×2Z4-225-11 49KW 400V 146A 680/1300rpm 180V 11.07A8.出口3#×2Z4-180-41 27KW 400V 80A 670/2000rpm 180V 8.43A9.出口4#×2Z4-180-11 16.5KW 400V 51.3/53A 670/1900rpm 180V 6.27A 10.卷取机Z4-250-41 81KW 400V 236A 540/1600rpm 180V 16.8A七、1450拉矫(老厂2台)1.开卷、卷取Z-250-31 67KW 400V 198-205A 540/2000rpm 310V 8.3A2.入口1# Z4-160-11 22KW 400V 66A 1500-3000rpm 310A 2.7A3.入口2# Z4-180-21 30KW 400V 90.2A 1000-2000rpm 310A 3.54A4.入口3# Z4-200-31 55KW 400V 156A 1000-2000rpm 310A 4.56A5.入口4# Z4-200-31 90KW 400V 250A 1500-2800rpm 310A 4.55A6.出口1# Z4-225-11 110KW 400V 304-310A 1500-3000rpm 310A 6.37A 7.出口2# Z4-200-31 55KW 400V 156A 1000-2000rpm 310A 4.56A8.出口3# Z4-180-21 30KW 400V 90.2A 1000-2000rpm 310A 3.54A9.出口4# Z4-160-11 22KW 400V 66A 1500-3000rpm 310A 2.7A八、1650纵剪1.开卷Z4-225-11 40KW 400V 124A 540/1200rpm 310V 5.75A2.圆盘剪Z4-180-11 33KW 400V 97.5A 1350-3000rpm 310A 3.21A3.张力辊Z4-250-31 49KW 400V 149/153A 450/1500 rpm 310V 6.53A4.卷取机Z4-250-31 67KW 400V 198/205A 540/2000 rpm 310V 8.3A九、1950平动剪1.开卷Z4-250-31 67KW 540/2000 rpm 后改Z4-225-11 40KW2.粗矫Z4-250-41 90KW 440V 237/240A 600/1600 rpm 310V 9.58A3.二次矫直Z4-280-42 225KW 900/1800 rpm4.剁板夹送Z4-112/2-1 2.8KW 1340/3000 rpm十、2050冷轧机、2450冷轧机1.开卷、卷取:Z560-3B 639KW 440V 1564A 431/1200rpm 他励310V 20A2.主机:Z800-4B 1800KW 660V 2903A 310/750rpm 他励310V 主机:Z900-2B 1800KW 660V 2903A 310/750rpm 他励310V十一、2400热轧机1.主机:Z900-1250-4 2240KW 750V 3230A 0/147/350rpm 他励310V 4台2.F1、F2、F3、F4精轧机:Z900-1250-4 2240KW 750V 3230A 0/147/350rpm 他励310V 8台3.立辊、卷取电机:Z560-4A 728KW 06/1200 rpm 4台十二、2200重卷机1.开卷、卷取:Z4-400-41 316KW 400V 360/1200 rpm2.送料矫直辊:Z4-180-11 33KW 400V 1350/3000 rpm(已拆作备用)3.园盘剪:Z4-160-21 16.5KW 400V 900/2000 rpm4.废边卷取机:Z4-200-31 49.5KW 900/2000 rpm (不用)5.张力辊:Z4-225-11 67KW 400V 900/2000 rpm十三、2150飞剪1.开卷:z4-225-11 40KW 400V 540/1200 rpm2.垛板夹送辊:Z4-112/2-1 5.5KW 400V 1480/1800 rpm3.矫直机:Z4-280-31 220KW 440V 1000/2000 rpm4.飞剪:ZFQZ-315-12 185KW 600rpm5.送料辊:Z4-112/4-2 5.5KW 1025/1200rpm6.皮带运输机:18.5KW变频电机十四、热轧开平机、矫直机1.矫平机:Z4-250-12 160KW 440V 1500/2100 rpm3.园盘刀:Z4-225-11 75KW 440V 1000/2000 rpm3.矫直机:Z4-225-31 132KW 440V 1500/2400 rpm (更换后型号未标)十五、2400飞剪1.开卷:z4-225-11 40KW 400V 540/1200 rpm2.十九矫直机(¢75):Z4-280-31 220KW 440V 1000/2000 rpm3.十三矫直机(¢120):Z4-250-21 90KW 440V 750/2250 rpm4.飞剪:ZFQZ-315-12 185KW 600rpm5.送料辊:Z4-112/2-2 4KW 440V 1500/3000 rpm6.皮带运输机:18.5KW变频电机×2十六、2250拉矫1.开卷、卷取Z4-355-22 225KW 400V 632/641A 450/1600rpm 他励310V 15.5A 2.入口1# 、出口4# Z4-250-31 49KW 400V 152A 450/1500rpm 他励310V 3.入口2# 、出口3# Z4-280-31 80KW 400V 234A 450/1400rpm 他励310V 4.入口3# 、出口2# Z4-315-21 143KW 400V 413A 450/1500rpm 他励310V5.入口4# 、出口1# Z4-400-31 270KW 400V 768A 360/1200rpm 他励310V 十七、2450铸轧1.卷取机:Z4-180-31 33KW 400V 97A 900/2000rpm 180V2.主机:Z4-250-31 67KW 400V 204A 540/2000rpm 180V十八、1450拉矫(新厂区1#)1.开卷、卷取Z-250-31 67KW 400V 198-205A 540/2000rpm 310V 8.3A2.入口1# Z4-160-11 22KW 400V 66A 1500-3000rpm 310A 2.7A3.入口2# Z4-180-11 33KW 400V 97.5A 1350-3000rpm 310A 3.54A4.入口3# Z4-225-11 67KW 400V 156A 1000-2000rpm 310A 4.56A5.入口4# Z4-225-11 110KW 400V 304-310A 1500-300rpm 310A 4.55A 6.出口1# Z4-315-11 132KW 440V 500/1600rpm 310V If<20A7.出口2# Z4-225-11 67KW 400V 156A 1000-2000rpm 310A 4.56A8.出口3# Z4-180-11 33KW 400V 97.5A 1350-3000rpm 310A 3.54A9.出口4# Z4-160-11 22KW 400V 66A 1500-3000rpm 310A 2.7A十九、1450拉矫(新厂区2#)1.开卷、卷取Z-250-31 67KW 400V 198-205A 540/2000rpm 310V 8.3A2.入口1# Z4-160-11 22KW 400V 66A 1500-3000rpm 310A 2.7A3.入口2# Z4-180-21 30KW 400V 90.2A 1000-2000rpm 310A 3.54A4.入口3# Z4-200-31 55KW 400V 156A 1000-2000rpm 310A 4.56A5.入口4# Z4-200-31 90KW 400V 250A 1500-2800rpm 310A 4.55A6.出口1# Z4-225-11 110KW 400V 304-310A 1500-3000rpm 310A 6.37A 7.出口2# Z4-200-31 55KW 400V 156A 1000-2000rpm 310A 4.56A9.出口4# Z4-160-11 22KW 400V 66A 1500-3000rpm 310A 2.7A二十、1650粗箔轧1.开卷、卷取:Z4-315-21 143KW 400V 414/419A 450/1600rpm 他励310V If=10.9A 2.主电机:Z4-450-3B 430KW 440V 1044/1056A 605/1600rpm 他励310V If=12.9A二十一、1650精箔轧1.开卷、卷取:Z4-315-11 118KW 400V 341/346A 450/1600rpm 他励310V If=11.4A 2.主电机:Z4-450-3B 430KW 440V 1044/1056A 605/1600rpm 他励310V If=12.9A二十二、2400重卷机1.开卷:Z4-315-11 132KW 440V 343/347 500/1600rpm 他励310V If=11.4A2.送料矫直辊:Z4-180-11 33KW 400V 1350/3000 rpm3.园盘剪:Z4-160-21 16.5KW 400V 900/2000 rpm(未用)4.张力辊:Z4-225-11 67KW 400V 900/2000 rpm5.卷取:Z4-355-22 225KW 400V 632/641A 450/1600rpm 他励310V 15.5A二十三、1850二连轧1.开卷、卷取:Z4-450-42 453KW 400V 1254A 360/1600rpm 他励310V If=?A 2.主电机:Z710-800 1600KW 750V 2270A 350/960rpm 他励310V If=?A二十四、1850拉矫机1.开卷Z4-250-41 81KW 400V 236A 540/1500rpm 310V ?A2.入口1# Z4-180-21 27KW 400V 79A 900-2000rpm 310A A3.入口2# Z 4-200-31 49.5KW 400V 141A 900-2000rpm 310A A4.入口3# Z4-250-11 99KW 400V 281A 900-2000rpm 310A A5.入口4# Z4-280-21 180KW 400V 498A 900-2000rpm 310A A6.出口1# Z4-280-21 180KW 400V 498A 900-2000rpm 310A A7.出口2# Z4-250-11 99KW 400V 281A 900-2000rpm 310A A8.出口3# Z 4-200-31 49.5KW 400V 141A 900-2000rpm 310A A9.出口4# Z4-180-21 27KW 400V 79A 900-2000rpm 310A A10.卷取Z4-315-11 118KW 400V 344A 450-1600rpm11.1# S辊Z4-180-21 27KW 400V 79A 900-2000rpm 310A A12.2# S辊Z4-180-21 27KW 400V 79A 900-2000rpm 310A A二十五、1500拉矫机(老厂)1.开卷、卷取Z-250-41 81KW 400V 236A 540/1600rpm 310V A2.入口1# Z4-160-11 22KW 400V 66A 1500-3000rpm 310A 2.7A3.入口2# Z4-180-21 30KW 400V 90.2A 1000-2000rpm 310A 3.54A4.入口3# Z4-200-31 55KW 400V 156A 1000-2000rpm 310A 4.56A5.入口4# Z4-225-11 110KW 400V 304-310A 1500-3000rpm 310A 6.37A 6.出口1# Z4-225-11 110KW 400V 304-310A 1500-3000rpm 310A 6.37A 7.出口2# Z4-200-31 55KW 400V 156A 1000-2000rpm 310A 4.56A9.出口4# Z4-160-11 22KW 400V 66A 1500-3000rpm 310A 2.7A 10.1# S辊Z4-180-21 27KW 400V 79A 900-2000rpm 310A A 11.2# S辊Z4-180-21 27KW 400V 79A 900-2000rpm 310A A二十六、1850箔轧1.开卷:Z4-355-42 225KW 400V 约630A 360/1200rpm2.卷取:Z4-400-31 270KW 400V 约770A 360/1200rpm3.主电机:Z560-4B 660KW 660V 约1100A 320/1050rpm二十七、2150箔轧1.开卷:2.卷取:3.主电机:二十八、3-14切边机1.矫直Z4-200-21 75KW 440V 188A 1500/3000 rpm2.圆盘刀Z4-280-21 200KW 440V 498A 1000/2000 rpm3.卷取Z4-355-22 315KW 440V 772A 1000/1600 rpm备机如下:1.Z4-225-31 132KW 440V 1500rpm (热轧开平机矫直退下)2.Z4-160-21 16.5KW 400V 900/2000 rpm3.Z900-2B 1800KW 660V 2903A 310/750rpm4.Z4-180-11 33KW 400V 97.5A 1350/3000rpm5.Z4-160-11 22KW 400V 66A 1500/3000 rpm6.Z4-450-3B 430KW 440V 1044/1056A 605/1600rpm7.Z4-112/2-2 4KW 400V 1500rpm8.Z4-180-21 22KW 400V 750/1400rpm(磨床退下)9.Z4-112/2-1 2.8KW 400V 1340/3000rpm10.Z4-250-21 81KW 680/225011.Z4-250-31 67KW 540/2000 2台12.ZKSL-560-5 722KW 335/100013.Z4-250-41 90KW 440V 600/160014.Z4-225-31 67KW 440V 680/2250 rpm15.Z4-315-11 132KW 440V 500/1600rpm16.Z4-250-31 49KW 450/150017.Z4-315-11 118KW 400V 341/346A 450/1600rpm18.Z4-200-31 90KW19.Z4-355-22 250KW 500rpm 440V 626A (电缆厂轧杆机)20.Z4-180-31 33KW 400V 97A 900/2000rpm21.Z560-3B 639KW 440V 1564A 431/1200rpm22.Z4-355-22 225KW 400V 632/641A 450/1600rpm23.Z4-180-11 400V 13KW 43A 540/1400rpm24.Z4-160-31 19.5KW 400V 59.5A 900/2000rpm25.Z900-1250-4 2240KW 750V 3230A 0/147/350rpm26.Z4-225-11 40KW 400V 124A 540/1200rpm。
三相异步电动机三级能效参数《三相异步电动机三级能效参数,其实没那么难懂!》我呀,是个对啥都好奇的小学生。
最近,我听到了一个特别厉害的东西,叫三相异步电动机,而且还有个什么三级能效参数呢。
这就像一个超级神秘的宝藏,我决定去探索探索。
我跑去问我那特别聪明的邻居大哥哥。
我一见到他就喊:“大哥哥,大哥哥,三相异步电动机的三级能效参数是啥呀?”大哥哥笑着摸摸我的头说:“嘿,小好奇鬼,这三相异步电动机的能效参数就像是给电机打分呢。
三级能效呀,就表示这个电机在节能方面处于一个中间的水平。
”我眼睛睁得大大的,像两颗铜铃一样,说:“啥叫中间水平呀?大哥哥,你可不能说得这么含糊。
”大哥哥哈哈笑了起来,说:“好嘞,那我就给你详细说说。
”大哥哥告诉我,三相异步电动机的能效参数是用来衡量电机把电能转化成机械能的效率的。
这就好比我们把钱存到银行,然后看银行能给我们多少利息一样。
如果是三级能效的三相异步电动机,那它转化电能的效率不是最高的,也不是最低的。
他说:“你看啊,一级能效的电机就像是班级里的学霸,成绩特别好,电能转化机械能效率超高,特别节能。
而三级能效呢,就像是成绩中等的同学,虽然没有学霸那么厉害,但也能完成任务,不过就是会浪费一丢丢电能。
”我歪着脑袋想了想,说:“那三级能效的电机是不是就不好呀?”大哥哥摆摆手说:“那可不一定哦。
”大哥哥接着说:“在一些要求不是特别高的地方,三级能效的三相异步电动机就够用啦。
比如说一些小工厂里,机器不需要一直不停地工作,或者工作的强度不是特别大的时候,三级能效的电机就像一个踏实的小助手,虽然不是最完美的,但也能把活干得好好的。
而且呀,它的价格可能比一级能效的电机要便宜呢。
这就像我们买文具,有的文具质量超级好,但是很贵,有的虽然不是最好的,但也能满足我们的需求,而且还便宜。
”我点了点头,感觉好像有点明白了。
然后我又跑去问我的科学老师。
老师看到我来问这个问题,眼睛里都闪着光呢。
老师说:“三相异步电动机的三级能效参数有好多细节呢。
90千瓦2极电机参数表一、电机基本参数:1. 额定功率:90千瓦2. 极数:2极3. 额定电压:380伏特(可根据需求调整)4. 额定电流:172安培5. 额定转速:3000转/分钟6. 额定频率:50赫兹二、机械参数:1. 外形尺寸:根据具体型号而定,一般为长×宽×高,单位为毫米2. 重量:根据具体型号而定,单位为千克3. 轴径:根据具体型号而定,单位为毫米4. 整机转动惯量:根据具体型号而定,单位为千克·平方米三、效率参数:1. 效率等级:IE3(高效能)2. 额定效率:根据具体型号而定,一般在90%以上3. 功率因数:根据具体型号而定,一般在0.85以上四、绝缘等级和防护等级:1. 绝缘等级:F级(155摄氏度)2. 防护等级:根据具体型号而定,一般为IP54(防尘、防喷溅水)五、冷却方式:1. 冷却方式:自然冷却(IC411)六、其它参数:1. 噪音水平:根据具体型号而定,一般在70分贝以下2. 轴向振动:根据具体型号而定,单位为微米3. 绝缘电阻:根据具体型号而定,单位为兆欧4. 绝缘强度:根据具体型号而定,单位为千伏以上是90千瓦2极电机的基本参数表。
该电机具备高效能、高功率因数等特点,适用于各种工业领域,如机械制造、石油化工、电力等。
同时,该电机具备较低的噪音水平和振动水平,保证了工作环境的安静和稳定。
其绝缘等级为F级,能够承受高温环境下的工作,保证了电机的安全可靠性。
冷却方式为自然冷却,无需额外的冷却设备,便于安装和维护。
根据电机的参数表,可以根据具体需求选择合适的电机型号,确保其满足工作要求。
同时,在使用过程中,还需注意电机的维护保养,定期检查绝缘电阻、绝缘强度等参数,确保电机的正常运行。
对于电机的安装,也应根据具体要求进行,确保安装牢固、接线正确,避免电机在工作过程中出现故障或事故。
90千瓦2极电机是一种具备高效能、高功率因数等特点的电机,适用于不同工业领域的应用。
3kw6极电机安装参数摘要:1.3kw6极电机的基本概述2.3kw6极电机的安装流程3.3kw6极电机的安装注意事项4.安装后的调试与维护正文:近年来,3kw6极电机在我国各类设备中得到了广泛的应用,其高效、节能的特性受到了广大用户的喜爱。
本文将详细介绍3kw6极电机的安装参数,帮助大家更好地了解并应用这款产品。
一、3kw6极电机的基本概述3kw6极电机是指功率为3千瓦,极数为6极的电机。
它具有结构紧凑、性能稳定、运行可靠等特点,适用于各类通用机械设备。
在选购3kw6极电机时,需根据实际应用场景选择合适的型号和规格。
二、3kw6极电机的安装流程1.准备工作:根据设备需求,选购合适的3kw6极电机。
在选购时,要充分考虑电机的功率、转速、电压、电流等参数,以确保与设备匹配。
2.安装电机:将电机放置在平整、稳固的基础上,确保电机底座水平。
同时,要保证电机与设备的连接管道畅通,无扭曲、堵塞等情况。
3.接线:根据电机接线图,将电机与电源、负载等设备进行正确接线。
接线时,要确保接线牢固,防止松动造成故障。
4.安装防护罩:为保证操作安全,安装防护罩。
防护罩应与电机转轴紧密贴合,确保运行过程中不会发生意外。
5.调试:在安装完成后,进行电机空载运行,检查电机转速、声音、振动等是否正常。
如发现问题,及时进行调整。
三、3kw6极电机的安装注意事项1.安装过程中,要轻拿轻放,避免电机受到撞击,损坏内部部件。
2.接线时要遵循电气安全规范,确保电机可靠接地。
3.电机与设备之间的连接管道应保持畅通,避免弯折、扭曲,以确保运行顺畅。
4.定期检查电机运行状态,如发现异常,及时停机检查。
四、安装后的调试与维护1.电机安装完成后,进行负载运行,观察电机性能是否达到预期。
如发现问题,及时调整。
2.定期对电机进行维护,清理电机内部灰尘,检查电机轴承、电缆等部件是否损坏。
3.定期检查电机接线盒,确保接线牢固,无松动现象。
4.保持电机周围环境整洁,避免潮湿、高温等不良环境对电机造成损害。
yct电磁调速电机参数
YCT系列电磁调速电动机由三相(或单相)异步电动机与电磁转差离合器和测速发电机所组成,通过JD型或ZTK型控制器,调节转差离合器的励磁电流,实现输出转速的无极调节。
其主要技术参数如下:
- 制作器额定电压:220V。
- 机座中心高:112~355mm。
- 功率范围:0.55~90kw。
- 额定电压:三相380V或单相220V。
- 励磁线圈:<90V(直流)。
- 额定频率:50Hz(或60Hz需另订协议)。
- 防护等级:IP21。
- 绝缘等级:B级。
- 工作制:S1。
YCT系列电磁调速电动机产品性能和安装尺寸符合JB/T7123规定,与标准IEC接轨,广泛用于纺织、印染、橡胶、塑料、制糖、建筑、鼓风机等行业。
如需了解更多电磁调速电机的参数信息,可以继续向我提问。
介绍直线电机参数和选型1.最大电压( max. voltage ph-ph)———最大供电线电压,主要与电机绝缘能力有关;《版权声明:本文由整理提供,部分内容来源于网络,如有侵犯到你的权利请与我们联系更正。
》2.最大推力(PeakForce)———电机的峰值推力,短时,秒级,取决于电机电磁结构的安全极限能力;《版权声明:本文由整理提供,部分内容来源于网络,如有侵犯到你的权利请与我们联系更正。
》3.最大电流(Peak Current)———最大工作电流,与最大推力想对应,低于电机的退磁电流;4.最大连续消耗功率(Max. Continuous Power Loss)———确定温升条件和散热条件下,电机可连续运行的上限发热损耗,反映电机的热设计水准;5.最大速度(Maximum speed)———在确定供电线电压下的最高运行速度,取决于电机的反电势线数,反映电机电磁设计的结果;6.马达力常数(MotorForceConstant)———电机的推力电流比,单位N/A或KN/A,反映电机电磁设计的结果,在某种意义上也可以反映电磁设计水平;7.反向电动势(Back EMF)———电机反电势(系数),单位Vs/m,反映电机电磁设计的结果,影响电机在确定供电电压下的最高运行速度;8.马达常数(MotorConstant)———电机推力与功耗的平方根的比值,单位N/√W,是电机电磁设计和热设计水平的综合体现;10.绕组电阻/每相(Resistance per phase)———电机的相电阻,下给出的往往是线电阻,即Ph-Ph,与电机发热关系较大,在意义下可以反映电磁设计水平;11.绕组电感/每相(Induction per phase)———电机的相电感,下给出的往往是线电感,即Ph-Ph,与电机反电势有关系,在意义下可以反映电磁设计水平;12.电气时间常数(Electrical time constant)———电机电感与电阻的比值,L/R;13.热阻抗(Thermal Resistance)———与电机的散热能力有关,反映电机的散热设计水平;14.马达引力(MotorAttractionForce)———平板式有铁心结构直线电机,尤其是永磁式电机,次极永磁体对初级铁心的法向吸引力,高于电机额定推力一个数量级,直接决定采用直线电机的直线运动轴的支撑导轨的承载能力和选型。
3kw6极电机安装参数1.引言本文档将介绍3k w6极电机的安装参数。
作为电机安装的参考手册,本文档旨在帮助读者了解如何正确安装和配置3k w6极电机。
2.电机参数2.1功率和电压3k w6极电机的额定功率为3千瓦。
额定电压为220伏特,50赫兹。
2.2频率和转速电机的额定频率为50赫兹。
额定转速为1440转/分钟。
2.3绝缘等级电机的绝缘等级为F级。
3.安装步骤下面将介绍3kw6极电机的安装步骤,确保按照正确的顺序进行安装。
3.1准备工作在开始安装之前,确保已经完成以下准备工作:-确保电机的尺寸和重量与所安装设备相匹配。
-根据电机的安装位置和工作环境,选择合适的安装方式和工具。
3.2安装位置选择合适的安装位置,并确保电机安装垂直稳固。
避免安装在有振动或容易受到污染的地方。
3.3固定电机将电机固定在所选位置,确保使用适当的螺栓和垫圈。
紧固电机螺栓时,需遵循正确的扭矩要求。
3.4连接电源根据电机的额定电压,正确连接电源线。
确保连接稳固可靠,避免电源线受损。
3.5接线和调试按照电机接线图连接电机主线和控制线。
完成接线后,进行电机的调试工作。
确保电机能正常运转,并检查电流和转速是否符合要求。
4.注意事项在安装3kw6极电机时,请注意以下事项:-在进行电机安装和调试时,确保遵守相关的安全操作规程。
-在电机运转过程中,避免手部或其他物体靠近旋转部件。
-定期检查电机的绝缘状况,并定期进行维护保养。
5.结论本文档介绍了3k w6极电机的安装参数。
通过正确安装和配置电机,可以确保电机的正常运行和延长其使用寿命。
同时,通过遵循安全操作规程,还能保护人员的安全。
希望本文档对读者在电机安装方面提供帮助和指导。
-结束-。
德阳东森水电设备有限公司500千瓦轴流式水利发电机设计参数
成都戴德阳东森水电设备有限公司新推出的500千瓦轴流式水利发电机,是一
种适用于宽范围的水利发电机械装置,综合使用性能优越、体积小、重量轻、强度高的特点。
该500千瓦轴流式水利发电机,设计参数如下:有功功率拟定值:400
千瓦;无功功率拟定值:35千伏安;功率损失:磁性损耗:不大于0.8千瓦;电
气特性曲线:水形曲线,输入角度不大于1.4度,输出角度不大于2.0度;效率:最低粗效率为86%;冷却:水冷型,冷却水流量控制未大于220m3/h,冷却水温度35℃;空气冷却,冷却气量控制不大于20t/h,冷却空气温度35℃;轴承温度检测:发电机内轴承温度检测装置,发电机内轴承机械指标:前轴转速范围为500—3600 r/min;形式:三相异步电机,电压/频率:3*10 KV/50 Hz。
这款500千瓦轴流式水利发电机凭借其优异的参数性能,更适合大规模的水利
发电行业。
它具有高效率低损耗,使用成本低,更能满足客户经济效益的要求,具备出色的可靠性、安全性和耐久性,大大降低了机电设备的长期使用维护成本,
真正做到了环保省事、节能效益优势明显,是我们为用户提供完美、卓著水利发电设备的不二之选。
水族单相小型电机参数
水族单相小型电机是一种常用于水族箱中的电动设备,用于提供水流和气泡,为鱼类提供良好的生活环境。
下面将介绍水族单相小型电机的几个重要参数。
首先是额定电压。
水族单相小型电机的额定电压通常为12V,这是为了保证电机的安全稳定运行。
如果使用过高或过低的电压供电,可能会损坏电机或导致其运行不正常。
其次是额定功率。
水族单相小型电机的额定功率通常在1W到5W之间,这取决于电机的大小和设计。
功率越大,电机提供的水流和气泡效果就越强。
接下来是额定转速。
水族单相小型电机的额定转速通常在3000rpm 到6000rpm之间。
转速越高,电机提供的水流和气泡效果就越强。
但是要注意,过高的转速可能会产生噪音和振动,影响水族箱的舒适性。
然后是额定电流。
水族单相小型电机的额定电流通常在0.1A到0.5A之间。
电流越大,电机提供的水流和气泡效果就越强。
但是要注意,过大的电流可能会导致电机发热,影响电机的寿命和安全性。
最后是防水等级。
水族单相小型电机的防水等级通常为IPX8,这意味着它具有很高的防水性能。
这对于水族箱中的电动设备非常重要,
可以确保电机在水中的安全运行。
水族单相小型电机的参数包括额定电压、额定功率、额定转速、额定电流和防水等级。
了解这些参数可以帮助我们选择适合的电机,提供良好的水流和气泡效果,为鱼类创造一个舒适的生活环境。
在购买和使用水族单相小型电机时,我们应该注意这些参数,以确保电机的正常运行和长期使用。