山东省泰安市2018-2019学年高二上学期期末考试数学试题
- 格式:docx
- 大小:434.22 KB
- 文档页数:9
人教A 版数学高二弧度制精选试卷练习(含答案) 学校:___________姓名:___________班级:___________考号:___________一、单选题1.设扇形的周长为4cm ,面积为21cm ,则扇形的圆心角的弧度数是 ( ) A .1 B .2 C .3 D .4【来源】黑龙江省鹤岗市第一中学2018-2019学年高一12月月考数学(理)试题【答案】B 2.已知扇形的面积为,扇形圆心角的弧度数是,则扇形的周长为( ) A . B . C . D .【来源】同步君人教A 版必修4第一章1.1.2弧度制【答案】C3.扇形圆心角为3π,半径为a ,则扇形内切圆的圆面积与扇形面积之比为( ) A .1:3B .2:3C .4:3D .4:9【来源】2012人教A 版高中数学必修四1.1任意角和弧度制练习题(二)(带解析)【答案】B4.已知扇形的圆心角为2弧度,弧长为4cm , 则这个扇形的面积是( ) A .21cm B .22cm C .24cm D .24cm π【来源】陕西省渭南市临渭区2018—2019学年高一第二学期期末数学试题【答案】C5.若扇形的面积为38π、半径为1,则扇形的圆心角为( ) A .32π B .34π C .38π D .316π 【来源】浙江省杭州第二中学三角函数 单元测试题【答案】B 6.一场考试需要2小时,在这场考试中钟表的时针转过的弧度数为( ) A .3π B .3π- C .23π D .23π-【来源】浙江省台州市2019-2020学年高一上学期期末数学试题【答案】B7.实践课上小华制作了一副弓箭,如图所示的是弓形,弓臂BAC 是圆弧形,A 是弧BAC 的中点,D 是弦BC 的中点,测得10AD =,60BC =(单位:cm ),设弧AB 所对的圆心角为θ(单位:弧度),则弧BAC 的长为( )A .30θB .40θC .100θD .120θ【来源】安徽省池州市2019-2020学年高一上学期期末数学试题【答案】C8.已知扇形AOB 的半径为r ,弧长为l ,且212l r =-,若扇形AOB 的面积为8,则该扇形的圆心角的弧度数是( )A .14B .12或2C .1D .14或1 【来源】广西贵港市桂平市2019-2020学年高一上学期期末数学试题【答案】D9.已知扇形的圆心角为150︒,弧长为()5rad π,则扇形的半径为( )A .7B .6C .5D .4【来源】安徽省六安市六安二中、霍邱一中、金寨一中2018-2019学年高二下学期期末联考数学(文)试题【答案】B10.已知扇形AOB ∆的周长为4,当扇形的面积取得最大值时,扇形的弦长AB 等于( )A .2B .sin1C .2sin1D .2cos1【来源】湖北省宜昌市一中、恩施高中2018-2019学年高一上学期末联考数学试题【答案】C11.“圆材埋壁”是《九章算术》中的一个问题:“今有圆材,埋在壁中,不知大小,以锯锯之,学会一寸,锯道长一尺,问径几何?”其意为:今有一圆柱形木材,埋在墙壁中,不知道大小,用锯取锯它,锯口深一寸,锯道长一尺,问这块圆柱形木材的直径是多少?现有圆柱形木材一部分埋在墙壁中,截面如图所示,已知弦1AB =尺,弓形高1CD =寸,则阴影部分面积约为(注: 3.14π≈,5sin 22.513︒≈,1尺=10寸)( )A .6.33平方寸B .6.35平方寸C .6.37平方寸D .6.39平方寸【来源】山东省潍坊市2018-2019学年高一下学期期中考试数学试题【答案】A12.已知扇形OAB 的面积为1,周长为4,则弦AB 的长度为( ) A .2 B .2/sin 1 C .2sin 1 D .sin 2【来源】黑龙江省部分重点高中2019-2020学年高一上学期期中联考数学试题【答案】C13.已知扇形OAB 的面积为4,圆心角为2弧度,则»AB 的长为( ) A .2 B .4 C .2π D .4π【来源】江苏省南京市2019-2020学年高一上学期期末数学试题【答案】B14.已知α 为第三象限角,则2α所在的象限是( ). A .第一或第二象限B .第二或第三象限C .第一或第三象限D .第二或第四象限【来源】四川省南充高级中学2016-2017学年高一4月检测考试数学试题【答案】D15.若扇形的面积为216cm ,圆心角为2rad ,则该扇形的弧长为( )cm . A .4 B .8 C .12 D .16【来源】江苏省盐城市大丰区新丰中学2019-2020学年高一上学期期末数学试题【答案】B16.周长为6,圆心角弧度为1的扇形面积等于( )A .1B .32πC .D .2【来源】河北省邯郸市魏县第五中学2019-2020学年高一上学期第二次月考数学试题【答案】D17.已知一个扇形弧长为6,扇形圆心角为2rad ,则扇形的面积为 ( )A .2B .3C .6D .9【来源】2013-2014学年辽宁省实验中学分校高二下学期期末考试文科数学试卷(带解析)【答案】D18.集合{|,}42k k k Z ππαπαπ+≤≤+∈中角所表示的范围(阴影部分)是( ) A . B . C .D .【来源】2015高考数学理一轮配套特训:3-1任意角弧度制及任意角的三角函数(带解析)【答案】C19.已知⊙O 的半径为1,A ,B 为圆上两点,且劣弧AB 的长为1,则弦AB 与劣弧AB 所围成图形的面积为( )A .1122-sin 1B .1122-cos 1C .1122-sin 12D .1122-cos 12【来源】河北省衡水中学2019-2020学年高三第一次联合考试数学文科试卷【答案】A20.已知一个扇形的圆心角为56π,半径为3.则它的弧长为( ) A .53π B .23π C .52π D .2π 【来源】河南省新乡市2018-2019学年高一下学期期末数学试题【答案】C21.中国传统扇文化有着极其深厚的底蕴. 一般情况下,折扇可看作是从一个圆面中剪下的扇形制作而成,设扇形的面积为1S ,圆面中剩余部分的面积为2S ,当1S 与2S 的比值为12时,扇面看上去形状较为美观,那么此时扇形的圆心角的弧度数为( )A .(3π-B .1)πC .1)πD .2)π【来源】吉林省长春市2019-2020学年上学期高三数学(理)试题【答案】A22.《九章算术》是中国古代第一部数学专著,成于公元一世纪左右,系统总结了战国、秦、汉时期的数学成就,其中《方田》一章中记载了计算弧田(弧田就是由圆弧和其所对弦所围成弓形)的面积所用的经验公式:弧田面积=12(弦⨯矢+矢⨯矢),公式中“弦”指圆弧所对弦长,“矢”等于半径长与圆心到弦的距离之差,按照上述经验公式计算所得弧田面积与其实际面积之间存在误差,现有圆心角为23π,弦长为实际面积与按照上述经验公式计算出弧田的面积之间的误差为( )平方米(其中3π≈ 1.73≈)A .14B .16C .18D .20【来源】上海市实验学校2018-2019学年高一下学期期末数学试题【答案】B23.已知某扇形的面积为22.5cm ,若该扇形的半径r ,弧长l 满足27cm r l +=,则该扇形圆心角大小的弧度数是()A .45B .5C .12D .45或5 【来源】安徽省阜阳市太和县2019-2020学年高三上学期10月质量诊断考试数学(文)试题【答案】D24.已知一个扇形的圆心角为3弧度,半径为4,则这个扇形的面积等于( ). A .48 B .24 C .12 D .6【来源】湖南师范大学附属中学2016-2017学年高一下学期期中考试数学试题【答案】B25.已知扇形的圆心角23απ=,所对的弦长为 ) A .43π B .53π C .73π D .83π 【来源】河南省新乡市辉县市一中2018-2019高一下学期第一阶段考试数学试题【答案】D26.如果2弧度的圆心角所对的弦长为4,那么这个圆心所对的弧长为( ) A .2 B .2sin1 C .2sin1 D .4sin1【来源】黑龙江省大兴安岭漠河一中2019-2020学年高一上学期11月月考数学试题【答案】D27.若α是第一象限角,则下列各角中属于第四象限角的是( )A .90α︒-B .90α︒+C .360α︒-D .180α︒+【来源】福建省厦门双十中学2017-2018学年高一下学期第二次月考数学试题【答案】C28.已知扇形的半径为2,面积为4,则这个扇形圆心角的弧度数为( )A B .2 C . D .【来源】河南省南阳市2016—2017学年下期高一期终质量评估数学试题【答案】B二、填空题29.已知大小为3π的圆心角所对的弦长为2,则这个圆心角所夹扇形的面积为______. 【来源】安徽省马鞍山市第二中学2018-2019学年高一下学期开学考试数学试题【答案】23π. 30.135-=o ________弧度,它是第________象限角.【来源】浙江省杭州市七县市2019-2020学年高一上学期期末数学试题【答案】34π- 三 31.设扇形的半径长为8cm ,面积为24cm ,则扇形的圆心角的弧度数是【来源】2011-2012学年安徽省亳州一中高一下学期期中考试数学试卷(带解析)【答案】32.在北纬60o 圈上有甲、乙两地,若它们在纬度圈上的弧长等于2R π(R 为地球半径),则这两地间的球面距离为_______ . 【来源】上海市浦东新区川沙中学2018-2019学年高二下学期期末数学试题 【答案】3R π 33.已知一个扇形的弧长等于其所在圆半径的2倍,则该扇形圆心角的弧度数为________,若该扇形的半径为1,则该扇形的面积为________.【来源】浙江省宁波市2019-2020学年高一上学期期末数学试题【答案】2 134.设O 为坐标原点,若直线l :102y -=与曲线τ0y =相交于A 、B 点,则扇形AOB 的面积为______.【来源】上海市普陀区2016届高三上学期12月调研(文科)数学试题 【答案】3π 35.已知扇形的圆心角为12π,面积为6π,则该扇形的弧长为_______; 【来源】福建省漳州市2019-2020学年学年高一上学期期末数学试题 【答案】6π 36.在半径为5的圆中,5π的圆心角所对的扇形的面积为_______. 【来源】福建省福州市八县一中2019-2020学年高一上学期期末联考数学试题 【答案】52π37.已知集合M ={(x ,y )|x ﹣3≤y ≤x ﹣1},N ={P |PA PB ,A (﹣1,0),B (1,0)},则表示M ∩N 的图形面积为__.【来源】上海市复兴高级中学2015-2016学年高二上学期期末数学试题【答案】4338.圆心角为2弧度的扇形的周长为3,则此扇形的面积为 _____ .【来源】山东省泰安市2019届高三上学期期中考试数学(文)试题 【答案】91639.已知圆心角是2弧度的扇形面积为216cm ,则扇形的周长为________【来源】上海市向明中学2018-2019学年高三上学期第一次月考数学试题【答案】16cm40.扇形的圆心角为3π,其内切圆的面积1S 与扇形的面积2S 的比值12S S =______. 【来源】上海市七宝中学2015-2016学年高一下学期期中数学试题 【答案】2341.已知扇形的半径为6,圆心角为3π,则扇形的面积为__________. 【来源】江苏省苏州市2019届高三上学期期中调研考试数学试题【答案】6π42.若扇形的圆心角120α=o ,弦长12AB cm =,则弧长l =__________ cm .【来源】黑龙江省齐齐哈尔八中2018届高三8月月考数学(文)试卷43.已知扇形的周长为8cm ,圆心角为2弧度,则该扇形的半径是______cm ,面积是______2cm .【来源】浙江省杭州市西湖高级中学2019-2020学年高一上学期12月月考数学试题【答案】2 444.已知扇形的弧长是半径的4倍,扇形的面积为8,则该扇形的半径为_________【来源】江西省宜春市上高县第二中学2019-2020学年高一上学期第三次月考数学(理)试题【答案】2.45.已知点P(tan α,cos α)在第三象限,则角α的终边在第________象限.【来源】[同步]2014年湘教版必修二 3.1 弧度制与任意角练习卷1(带解析)【答案】二三、解答题46.已知角920α=-︒.(Ⅰ)把角α写成2k πβ+(02,k Z βπ≤<∈)的形式,并确定角α所在的象限;(Ⅱ)若角γ与α的终边相同,且(4,3)γππ∈--,求角γ.【来源】安徽省合肥市巢湖市2019-2020学年高一上学期期末数学试题【答案】(Ⅰ)α=8(3)29ππ-⨯+,第二象限角;(Ⅱ)289πγ=- 47.已知一扇形的圆心角为α,半径为R ,弧长为l .(1)若60α=︒,10cm R =,求扇形的弧长l ;(2)若扇形周长为20cm ,当扇形的圆心角α为多少弧度时,这个扇形的面积最大?【来源】山东省济南市外国语学校三箭分校2018-2019学年高一下学期期中数学试题【答案】(1)()10cm 3π(2)2α= 48.已知一扇形的圆心角为60α=o ,所在圆的半径为6cm ,求扇形的周长及该弧所在的弓形的面积.【来源】江西省南昌市新建一中2019-2020学年高一上学期期末(共建部)数学试题【答案】2π+12,6π﹣49.已知一扇形的周长为4,当它的半径与圆心角取何值时,扇形的面积最大?最大值是多少?【来源】宁夏大学附中2019-2020学年高一上学期第一次月考数学试题【答案】半径为1,圆心角为2,扇形的面积最大,最大值是2.50.已知扇形的圆心角为α(0α>),半径为R .(1)若60α=o ,10cm R =,求圆心角α所对的弧长;(2)若扇形的周长是8cm ,面积是24cm ,求α和R .【来源】安徽省阜阳市颍上二中2019-2020学年高一上学期第二次段考数学试题【答案】(1)10cm 3π(2)2α=,2cm R =。
长乐市外国语学校2018-2019学年高二上学期数学期末模拟试卷含解析 班级__________ 座号_____ 姓名__________ 分数__________一、选择题1. 利用独立性检验来考虑两个分类变量X 和Y 是否有关系时,通过查阅下表来确定断言“X 和Y 有关系”的可信度,如果k >5.024,那么就有把握认为“X 和Y 有关系”的百分比为( )P (K 2>k ) 0.50 0.40 0.25 0.15 0.10 0.05 0.025 0.010 0.005 0.001 k 0.455 0.7081.3232.072 2.7063.8415.0246.6357.879 10.828A .25%B .75%C .2.5%D .97.5%2. 已知在平面直角坐标系xOy 中,点),0(n A -,),0(n B (0>n ).命题p :若存在点P 在圆1)1()3(22=-++y x 上,使得2π=∠APB ,则31≤≤n ;命题:函数x xx f 3log 4)(-=在区间 )4,3(内没有零点.下列命题为真命题的是( )A .)(q p ⌝∧B .q p ∧C .q p ∧⌝)(D .q p ∨⌝)( 3. 设()f x 是偶函数,且在(0,)+∞上是增函数,又(5)0f =,则使()0f x >的的取值范围是( ) A .50x -<<或5x > B .5x <-或5x > C .55x -<< D .5x <-或05x << 4. 已知22(0)()|log |(0)x x f x x x ⎧≤=⎨>⎩,则方程[()]2f f x =的根的个数是( )A .3个B .4个C .5个D .6个5. 函数f (x )=sin ωx (ω>0)在恰有11个零点,则ω的取值范围( ) A . C . D .时,函数f (x )的最大值与最小值的和为( ) A .a+3 B .6 C .2D .3﹣a6.在二项式的展开式中,含x 4的项的系数是( )A .﹣10B .10C .﹣5D .57. 函数()f x 在定义域R 上的导函数是'()f x ,若()(2)f x f x =-,且当(,1)x ∈-∞时,'(1)()0x f x -<,设(0)a f =,b f =,2(log 8)c f =,则( )A .a b c <<B .a b c >>C .c a b <<D .a c b << 8. 等差数列{a n }中,已知前15项的和S 15=45,则a 8等于( ) A.B .6C.D .39. 已知F 1、F 2是椭圆的两个焦点,满足=0的点M 总在椭圆内部,则椭圆离心率的取值范围是( )A .(0,1)B .(0,]C .(0,)D .[,1)10.空间直角坐标系中,点A (﹣2,1,3)关于点B (1,﹣1,2)的对称点C 的坐标为( ) A .(4,1,1) B .(﹣1,0,5)C .(4,﹣3,1)D .(﹣5,3,4)11.“m=1”是“直线(m ﹣2)x ﹣3my ﹣1=0与直线(m+2)x+(m ﹣2)y+3=0相互垂直”的( )A .必要而不充分条件B .充分而不必要条件C .充分必要条件D .既不充分也不必要条件12.两个随机变量x ,y 的取值表为若x ,y 具有线性相关关系,且y ^=bx +2.6,则下列四个结论错误的是( )A .x 与y 是正相关B .当y 的估计值为8.3时,x =6C .随机误差e 的均值为0D .样本点(3,4.8)的残差为0.65二、填空题13.在等差数列}{n a 中,20161-=a ,其前n 项和为n S ,若2810810=-S S ,则2016S 的值等于 . 【命题意图】本题考查等差数列的通项公式、前n 项和公式,对等差数列性质也有较高要求,属于中等难度. 14.阅读如图所示的程序框图,则输出结果S 的值为 .【命题意图】本题考查程序框图功能的识别,并且与数列的前n 项和相互联系,突出对逻辑判断及基本运算能力的综合考查,难度中等.15.设曲线y=x n+1(n ∈N *)在点(1,1)处的切线与x 轴的交点的横坐标为x n ,令a n =lgx n ,则a 1+a 2+…+a 99的值为 .16.已知点A (2,0),点B (0,3),点C 在圆x 2+y 2=1上,当△ABC 的面积最小时,点C 的坐标为 .17.定义在R 上的函数)(x f 满足:1)(')(>+x f x f ,4)0(=f ,则不等式3)(+>x x e x f e (其 中为自然对数的底数)的解集为 . 18.已知函数21()sin cos sin 2f x a x x x =-+的一条对称轴方程为6x π=,则函数()f x 的最大值为___________.【命题意图】本题考查三角变换、三角函数的对称性与最值,意在考查逻辑思维能力、运算求解能力、转化思想与方程思想.三、解答题19.(本小题满分12分)△ABC 的三内角A ,B ,C 的对边分别为a ,b ,c ,已知k sin B =sin A +sin C (k 为正常数),a =4c .(1)当k =54时,求cos B ;(2)若△ABC面积为3,B=60°,求k的值.20.在平面直角坐标系中,△ABC各顶点的坐标分别为:A(0,4);B(﹣3,0),C(1,1)(1)求点C到直线AB的距离;(2)求AB边的高所在直线的方程.21.已知数列{a n}的前n项和为S n,且S n=a n﹣,数列{b n}中,b1=1,点P(b n,b n+1)在直线x﹣y+2=0上.(1)求数列{a n},{b n}的通项a n和b n;(2)设c n=a n•b n,求数列{c n}的前n项和T n.22.一艘客轮在航海中遇险,发出求救信号.在遇险地点A南偏西45方向10海里的B处有一艘海难搜救艇收到求救信号后立即侦查,发现遇险客轮的航行方向为南偏东75,正以每小时9海里的速度向一小岛靠近.已知海难搜救艇的最大速度为每小时21海里.(1)为了在最短的时间内追上客轮,求海难搜救艇追上客轮所需的时间;(2)若最短时间内两船在C 处相遇,如图,在ABC ∆中,求角B 的正弦值.23.【无锡市2018届高三上期中基础性检测】已知函数()()2ln 1.f x x mx m R =--∈ (1)当1m =时,求()f x 的单调区间;(2)令()()g x xf x =,区间1522,D e e -⎛⎫= ⎪⎝⎭,e 为自然对数的底数。
2018-2019学年上期期末联考高二数学(理科)一.选择题:(本大题共12小题,每小题5分,共60分.在每小题给出地四个选项中,只有一项是符合题目要求地)1.命题:地否定是 ( )A. B.C. D.【结果】A【思路】【思路】由全称命题地否定直接改写即可.【详解】因为全称命题地否定为特称命题,所以命题:地否定是:.【点睛】本题主要考查含有一个量词地命题地否定,一般只需要改量词和结论即可,属于基础题型.2.已知,则下面不等式成立地是 ( )A. B. C. D.【结果】B【思路】【思路】利用不等式地基本性质即可得出结果.【详解】因为,所以,所以,故选B【点睛】本题主要考查不等式地基本性质,属于基础题型.3.在单调递增地等差数列中,若,则 ( )A. -1B.C. 0D.【结果】C【思路】【思路】先设等差数列地公差为,由题中款件列出方程组,求解即可.【详解】设等差数列地公差为,因为,所以有:,解方程组得:。
故选C【点睛】本题主要考查等差数列地性质,由题意列方程组求公差和首项即可,属于基础题型.4.△ABC地内角A,B,C地对边分别为a,b,c.已知,,,则 ( )A. B. 3 C. 2 D.【结果】B【思路】【思路】由余弦定理,列出方程,直接求解即可.【详解】因为,,,由余弦定理可得:,解得或,故,选B【点睛】本题主要考查余弦定理,熟记公式即可,属于基础题型.5.设,则“”是“”地 ( )A. 充分而不必要款件B. 既不充分也不必要款件C. 充要款件D. 必要而不充分款件【结果】D【思路】【思路】先解不等式和不等式,然后结合充要款件地定义判断即可.【详解】由得。
由得,所以由能推出。
由不能推出,故“”是“”地必要不充分款件.故选D【点睛】本题主要考查充分款件和必要款件,结合概念直接判断即可,属于基础题型.6.曲线在点(1,1)处切线地斜率等于().A. B. C. 2 D. 1【结果】C【思路】试题思路:由,得,故,故切线地斜率为,故选C.考点:导数地集合意义.7.已知向量且互相垂直,则地值是 ( )A. B. 2 C. D. 1【结果】A【思路】【思路】由向量垂直,可得对应向量数量积为0,从而可求出结果.【详解】因为,所以,,又互相垂直,所以,即,即,所以;故选A【点睛】本题主要考查向量地数量积地坐标运算,属于基础题型.8.若实数x,y满足约束款件则地最大值是( )A. 2B. 0C. 1D. -4【结果】C【思路】【思路】先由约束款件作出可行域,化目标函数为直线方程地斜截式,由截距地取值范围确定目标函数地最值即可.【详解】由约束款件作出可行域如图所示,目标函数可化为,所以直线在y轴截距越小,则目标函数地值越大,由图像易知,当直线过点A时,截距最小,所以目标函数最大为.故选C【点睛】本题主要考查简单地线性规划,只需依据约束款件作出可行域,化目标函数为直线地斜截式,求在y轴截距,即可求解,属于基础题型.9.已知AB是抛物线地一款焦点弦,,则AB中点C地横坐标是 ( )A. 2B.C.D.【结果】B【思路】【思路】先设两点地坐标,由抛物线地定义表示出弦长,再由题意,即可求出中点地横坐标.【详解】设,C地横坐标为,则,因为是抛物线地一款焦点弦,所以,所以,故.故选B【点睛】本题主要考查抛物线地定义和抛物线地简单性质,只需熟记抛物线地焦点弦公式即可求解,属于基础题型.10.若不等式地解集为,那么不等式地解集为 ( )A. B.C. D.【结果】D【思路】【思路】依据题中所给地二次不等式地解集,结合三个二次地关系得到,由根与系数地关系求出地关系,再代入不等式,求解即可.【详解】因为不等式地解集为,所以和是方程地两根,且,所以,即,代入不等式整理得,因为,所以,所以,故选D【点睛】本题主要考查含参数地一圆二次不等式地解法,已知一圆二次不等式地解求参数,通常用到韦达定理来处理,难度不大.11.已知双曲线地左.右焦点分别为F1,F2,点P在双曲线上,且满足,则地面积为 ( )A. 1B.C.D.【结果】A【思路】【思路】由双曲线地定义可得,联立可求出地长,进而可求三角形地面积.【详解】由双曲线地定义可得,又,两式联立得:,,又,所以,即为直角三角形,所以.故选A【点睛】本题主要考查双曲线地简单性质,双曲线地焦点三角形问题,一般需要借助抛物线地性质,结合题中款件来处理,难度不大.12.若函数有两个零点,则实数a地取值范围为 ( )A. B. C. D.【结果】C【思路】【思路】先求出函数地导函数,利用导函数求出函数地最小值,再依据函数地零点和最值之间地关系即可求出参数地范围.【详解】因为函数地导函数为,令,得,所以当时,,函数单调递减。
2018-2019学年四川省广安市高二(上)期末数学试卷(理科)一、选择題(本大题共12小题,每小题5分,共60分.在每小题给出的四个选项中,只有一项是符合题目要求)1.(5分)已知空间直角坐标系中A(2,﹣1,﹣2),B(3,2,1),则|AB|=(()A.B.C.D.2.(5分)直线的倾斜角大小为()A.30°B.60°C.120°D.150°3.(5分)以x=1为准线的抛物线的标准方程为()A.y2=2x B.y2=﹣2x C.y2=4x D.y2=﹣4x 4.(5分)“若x<1,则x2﹣3x+2>0”的否命题是()A.若x≥1,则x2﹣3x+2≤0B.若x<l,则x2﹣3x+2≤0C.若x≥1,则x2﹣3x+2>0D.若x2﹣3x+2≤0,则x≥15.(5分)已知直线l:x+ay+1=0与圆N:(x﹣1)2+(y﹣1)2=1相切,则a为()A.﹣B.C.D.﹣6.(5分)设某高中的学生体重y(单位:kg)与身高x(单位:cm)具有线性相关关系,根据一组样本数据(x i,y i)(i=1,2,…,n),用最小二乘法建立的回归方程为=0.67x ﹣60.9,则下列结论中不正确的是()A.y与x具有正的线性相关关系B.回归直线过样本点的中心(,)C.若该高中某学生身高为170cm,则可断定其体重必为53kgD.若该高中某学生身高增加1cm,则其体重约增加0.67kg7.(5分)“2<m<6”是“方程+=1为椭圆”的()A.充分不必要条件B.必要不充分条件C.充要条件D.既不充分也不必要条件8.(5分)从甲、乙两种棉花中各抽测了25根棉花的纤维长度(单位:mm)组成一个样本,得到如图所示的茎叶图.若甲、乙两种棉花纤维的平均长度分别用,表示,标准差分别用s1,s2表示,则()A.>,s 1>s2B.>,s1<s2C.<,s 1>s2D.<,s1<s29.(5分)秦九韶是我国南宋时期的数学家,他在所著的《数书九章》中提出的多项式求值的秦九韶算法,至今仍是比较先进的算法.如图所示的程序框图给出了利用秦九韶算法求某多项式值的一个实例,若输入n,x的值分别为3,3,则输出v的值为()A.16B.18C.48D.14310.(5分)小华和小明两人约定在7:30到8:30之间在“思源广场”会面,并约定先到者等候另一人30分钟,过时离去,则两人能会面的概率是()A.B.C.D.11.(5分)双曲线C的渐近线方程为y=±x,一个焦点为F(0,﹣6),点A(﹣,0),点P为双曲线第二象限内的点,则当点P的位置变化时,△P AF周长的最小值为()A.16B.7+3C.14+D.1812.(5分)已知A,B是以F为焦点的抛物线y2=4x上两点,且满足=5,则弦AB 中点到准线距离为()A.B.C.D.二、填空题:本大题共4个小题,每小题5分,共20分.13.(5分)把二进制数10011(2)转化为十进制的数为.14.(5分)已知双曲线x2﹣y2=1,则它的右焦点到它的渐近线的距离是.15.(5分)若命题“∃x0∈R,x02+(a﹣1)x0+1<0”是假命题,则实数a的取值范围为.16.(5分)已知椭圆C:=1(a>b>0)的左右焦点分别为F1、F2,抛物线y2=4cx(c2=a2﹣b2且c>b)与椭圆C在第一象限的交点为P,若cos∠PF1F2=,则椭圆C的离心率为.三、解答题:本大题共70分.解答应写出文字说明、证明过程或演算步骤.17.(12分)已知直线l1:kx﹣2y+k﹣8=0(k∈R),l2:2x+y+1=0.(Ⅰ)若l1∥l2,求l1,l2间的距离;(Ⅱ)求证:直线l1必过第三象限.18.(12分)已知命题p:实数m满m2﹣2am﹣3a2<0,其中a>0;命题q:点(1,1)在圆x2+y2﹣2mx+2my+2m2﹣10=0的内部.(Ⅰ)当a=1,p∧q为真时,求m的取值范围;(Ⅱ)若¬p是¬q的充分不必要条件,求a的取值范围.19.(12分)已知线段AB的端点B在圆C1:x2+(y﹣4)2=16上运动,端点A的坐标为(4,0),线段AB中点为M,(Ⅰ)试求M点的轨迹C2方程;(Ⅱ)若圆C1与曲线C2交于C,D两点,试求线段CD的长.20.(12分)随着2018年央视大型文化节目《经典咏流传》的热播,在全民中掀起了诵读诗词的热潮广安某社团调查了广安某校300名学生每天诵读诗词的时间(所有学生诵读时间都在两小时内,并按时间(单位:分钟)将学生分成六个组:[0,20),[20,40),[40,60),[60,80),[80,100),[100,120]经统计得到了如图所示的频率分布直方图.(Ⅰ)求频率分布直方图中a的值,并估计该校学生每天诵读诗词的时间的平均数和中位数.(Ⅱ)若两个同学诵读诗词的时间x,y满足|x﹣y|>60,则这两个同学组成一个“Team”,已知从每天诵读时间小于20分钟和大于或等于80分钟的所有学生中用分层抽样的方法抽取了5人,现从这5人中随机选取2人,求选取的两人能组成一个“Team”的概率.21.(12分)已知椭圆C:+y2=1(a>0),过椭圆C右顶点和上顶点的直线l与圆x2+y2=相切.(1)求椭圆C的方程;(2)设M是椭圆C的上顶点,过点M分别作直线MA,MB交椭圆C于A,B两点,设这两条直线的斜率分别为k1,k2,且k1+k2=2,证明:直线AB过定点.[选修4-4:坐标系与参数方程]22.(10分)在直角坐标系xOy中,直线l的参数方程为(t为参数),以坐标原点为极点,x轴非负半轴为极轴建立极坐标系,曲线C的极坐标方程为ρ2(1+sin2θ)=2.(Ⅰ)求l的直角坐标方程和C的直角坐标方程;(Ⅱ)若l和C相交于A,B两点,求|AB|的值.[选修4-5:不等式选讲]23.设函数f(x)=|x﹣1|,g(x)=|2x﹣4|.(Ⅰ)求不等式f(x)>g(x)的解集.(Ⅱ)若存在x∈R,使得不等式2f(x+1)+g(x)<ax+1成立,求实数a的取值范围.2018-2019学年四川省广安市高二(上)期末数学试卷(理科)参考答案与试题解析一、选择題(本大题共12小题,每小题5分,共60分.在每小题给出的四个选项中,只有一项是符合题目要求)1.【解答】解:∵空间直角坐标系中A(2,﹣1,﹣2),B(3,2,1),∴|AB|==.故选:B.2.【解答】解:由题意,直线的斜率为k=,即直线倾斜角的正切值是又倾斜角大于或等于0°且小于180°,故直线的倾斜角为30°,故选:A.3.【解答】解:以x=1为准线的抛物线,开口向左,可得p=2,所以抛物线的标准方程为:y2=﹣4x.故选:D.4.【解答】解:若p则q的否命题为若¬p则¬q,即命题的否命题为:若x≥1,则x2﹣3x+2≤0,故选:A.5.【解答】解:根据题意,直线l:x+ay+1=0与圆N:(x﹣1)2+(y﹣1)2=1相切,则有=1,解可得:a=﹣;故选:D.6.【解答】解:根据y与x的线性回归方程为=0.67x﹣60.9,则b=0.67>0,y与x具有正的线性相关关系,A正确;回归直线过样本点的中心(),B正确;该高中某学生身高为170cm,则可预测其体重必为53kg,C错误;若该高中某学生身高增加1cm,则其体重约增加0.67kg,D正确.∴不正确的结论是C.故选:C.7.【解答】解:若方程+=1为椭圆方程,则,解得:2<m<6,且m≠4,故“2<m<6”是“方程+=1为椭圆方程”的必要不充分条件,故选:B.8.【解答】解:由茎叶图得:甲的数据相对分散,而乙的数据相对集中于茎叶图的右下方,∴<,s 1>s2.故选:C.9.【解答】解:初始值n=3,x=3,程序运行过程如下表所示:v=1i=2,v=1×3+2=5i=1,v=5×3+1=16i=0,v=16×3+0=48i=﹣1,不满足条件,跳出循环,输出v的值为48.故选:C.10.【解答】解:设记7:30为0,则8:30记为60,设小华到达“思源广场”为x时刻,小明小华到达“思源广场”为y时刻,则0≤x≤60,0≤y≤60,记“两人能会面”为事件A,则事件A:|x﹣y|≤30,由图知:两人能会面的概率是:==,故选:B.11.【解答】解:双曲线C的渐近线方程为y=±x,一个焦点为F(0,﹣6),可得,c==6,a=2,b=4.双曲线方程为,设双曲线的上焦点为F'(0,6),则|PF|=|PF'|+4,△P AF的周长为|PF|+|P A|+|AF|=|PF'|+2a+|P A|+AF,当P点在第二象限时,|PF'|+|P A|的最小值为|AF'|=7,故△P AF的周长的最小值为14+4=18.故选:D.12.【解答】解:设BF=m,由抛物线的定义知AA1=5m,BB1=m,∴△ABC中,AC=4m,AB=6m,kAB=,直线AB方程为y=(x﹣1),与抛物线方程联立消y得5x2﹣26x+5=0,所以AB中点到准线距离为+1=+1=.故选:A.二、填空题:本大题共4个小题,每小题5分,共20分.13.【解答】解:10011(2)=1+1×2+1×24=19故答案为:1914.【解答】解:双曲线x2﹣y2=1,可得a=1,b=1,c=,则右焦点(1,0)到它的渐近线y=x的距离为d==.故答案为:.15.【解答】解:∵命题“∃x0∈R,x+(a﹣1)x0+1<0”是假命题,∴命题“∀x∈R,x2+(a﹣1)x+1≥0”是真命题,即对应的判别式△=(a﹣1)2﹣4≤0,即(a﹣1)2≤4,∴﹣2≤a﹣1≤2,即﹣1≤a≤3,故答案为:[﹣1,3].16.【解答】解:抛物线y2=4cx的焦点为F2(c,0),如下图所示,作抛物线的准线l,则直线l过点F1,过点P作PE垂直于直线l,垂足为点E,由抛物线的定义知|PE|=|PF2|,易知,PE∥x轴,则∠EPF1=∠PF1F2,所以,=,设|PF1|=5t(t>0),则|PF2|=4t,由椭圆定义可知,2a=|PF1|+|PF2|=9t,在△PF1F2中,由余弦定理可得,整理得,解得,或.∵c>b,则c2>b2=a2﹣c2,可得离心率.当时,离心率为,合乎题意;当时,离心率为,不合乎题意.综上所述,椭圆C的离心率为.故答案为:.三、解答题:本大题共70分.解答应写出文字说明、证明过程或演算步骤.17.【解答】解:(Ⅰ)若l1∥l2,直线l1:kx﹣2y+k﹣8=0(k∈R),l2:2x+y+1=0,则有=≠,求得k=﹣4,故直线l1即:2x+y+6=0,故l1,l2间的距离为=.(Ⅱ)证明:直线l1:kx﹣2y+k﹣8=0(k∈R),即k(x+1)﹣2y﹣8=0,必经过直线x+1=0和直线﹣2y﹣8=0的交点(﹣1,﹣4),而点(﹣1,﹣4)在第三象限,直线l1必过第三象限.18.【解答】解:(Ⅰ)当a=1,命题p:m2﹣2m﹣3<0,﹣1<m<3,命题q:点(1,1)在圆x2+y2﹣2mx+2my+2m2﹣10=0的内部,∴m2﹣4<0,∴﹣2<m<2,∵p∧q为真,∴m的取值范围为(﹣1,3)∩(﹣2,2)=(﹣1,2);(Ⅱ)命题p:(m﹣3a)(m+a)<0,∵a>0,∴﹣a<m<3a,设A=(﹣a,3a)命题q:﹣2<m<2,设B=(﹣2,2)∵¬p是¬q的充分不必要条件,∴¬p⇒¬q,¬q推不出¬p,∴q⇒p,p推不出q,∴B⊊A,∴,∴a≥2,∴a的取值范围为[2,+∞).19.【解答】解:(Ⅰ)设M(x,y),B(x′,y′),则由题意可得:,解得:,∵点B在圆C1:x2+(y﹣4)2=16上,∴(x′)2+(y′﹣4)2=16,∴(2x﹣4)2+(2y﹣4)2=16,即(x﹣2)2+(y﹣2)2=4.∴轨迹C2方程为(x﹣2)2+(y﹣2)2=4;(Ⅱ)由方程组,解得直线CD的方程为x﹣y﹣1=0,圆C1的圆心C1(0,4)到直线CD的距离为,圆C1的半径为4,∴线段CD的长为.20.【解答】解:(Ⅰ)由频率分布直方图得:(a+a+6a+8a+3a+a)×20=1,解得a=0.0025.该校学生每天诵读诗词的时间的平均数为:0.05×10+0.05×30+0.3×50+0.4×70+0.15×90+0.05×110=64.[0,60)的频率为:0.05+0.05+0.3=0.4,[60,80)的频率为:0.4,∴估计该校学生每天诵读诗词的时间的中位数为:60+=65.(Ⅱ)从每天诵读时间小于20分钟和大于或等于80分钟的所有学生中用分层抽样的方法抽取了5人,则从每天诵读时间小于20分钟的学生中抽取:5×=1人,从每天诵读时间大于或等于80分钟的所有学生中抽取:5×=4人,现从这5人中随机选取2人,基本事件总数n==10,两个同学诵读诗词的时间x,y满足|x﹣y|>60,则这两个同学组成一个“Team”,选取的两人能组成一个“Team”包含的基本事件个数m==4.∴选取的两人能组成一个“Team”的概率p===.21.【解答】解:(1)椭圆C的右顶点(a,0),上顶点(0,1),设直线l的方程为:+y=1,化为:x+ay﹣a=0,∵直线l与圆x2+y2=相切,∴=,a>0,解得a=.∴椭圆C的方程为.(2)当直线AB的斜率不存在时,设A(x0,y0),则B(x0,﹣y0),由k1+k2=2得,得x0=﹣1.当直线AB的斜率存在时,设AB的方程为y=kx+m(m≠1),A(x1,y1),B(x2,y2),,得,∴,即,由m≠1,(1﹣k)(m+1)=﹣km⇒k=m+1,即y=kx+m=(m+1)x+m⇒m(x+1)=y﹣x,故直线AB过定点(﹣1,﹣1).[选修4-4:坐标系与参数方程]22.【解答】解:(1)∵直线l的参数方程为(t为参数),∴l的直角坐标方程为+=0,∵曲线C的极坐标方程为ρ2(1+sin2θ)=2,即ρ2+ρ2sin2θ=2,∴C的直角坐标方程为x2+y2+y2=2,即=1.(2)联立,得7x2+12x+4=0,△=144﹣4×7×4=32>0,设A(x1,y1),B(x2,y2),则x1+x2=﹣,x1x2=,∴|AB|==.[选修4-5:不等式选讲]23.【解答】解:(Ⅰ)由|x﹣1|>|2x﹣4|,得:x2﹣2x+1>4x2﹣16x+16,解得:<x<3,故不等式的解集是(,3);(Ⅱ)若存在x∈R,使得不等式2f(x+1)+g(x)<ax+1成立,即存在x∈R,使得2|x|+|2x﹣4|<ax+1成立,当x<0时,﹣4x+4<ax+1即a<﹣4在(﹣∞,0)上有解,故a<﹣4,当x=0时,4<1不成立,当0<x≤2时,4<ax+1即a>在(0,2]上有解,故a>,当x>2时,4x﹣4<ax+1即a>4﹣在(2,+∞)上有解,故a>,综上,a>或a<﹣4.。
2023-2024学年山东省泰安市高二(上)期中数学试卷一、选择题:本题共8小题,每小题5分,共40分.在每小题给出的四个选项中,只有一项是符合题目要求的.1.已知圆的一般方程为x 2+y 2+4x ﹣2y ﹣4=0,其圆心坐标是( ) A .(1,2)B .(﹣1,2)C .(﹣2,1)D .(﹣1,﹣2)2.已知直线l 1:4x +my +2=0和l 2:mx +y +1=0平行,则实数m =( ) A .﹣2B .0C .2D .±23.如图:在平行六面体ABCD ﹣A 1B 1C 1D 1中,M 为A 1C 1与B 1D 1的交点.若AB →=a →,AD →=b →,AA 1→=c →,则下列向量中与BM →相等的向量是( )A .−12a →+12b →+c →B .12a →+12b →+c →C .−12a →−12b →+c →D .12a →−12b →+c →4.已知向量a →=(2,1,3),b →=(﹣1,2,﹣2),c →=(7,6,λ),若向量a →,b →,c →共面,则实数λ等于( ) A .10B .8C .5D .35.已知A (﹣2,0),B (4,a )两点到直线l :3x ﹣4y +1=0的距离相等,则a =( ) A .2B .92C .2或﹣8D .2或926.如图所示,在长方体ABCD ﹣A 1B 1C 1D 1中,AD =AA 1=1,AB =2,点E 是棱AB 的中点,则点E 到平面ACD 1的距离为( )A .12B .√22C .13D .167.若圆O 1:x 2+y 2−2x =0和圆O 1:x 2+y 2+2x −4y =0的交点为A ,B ,则下列结论正确的是( )A .公共弦AB 所在直线的方程为x +y =0 B .线段AB 的垂直平分线的方程为x +y +1=0C .公共弦AB 的长为√22D .P 为圆O 1上一动点,则点P 到直线AB 的距离的最大值为√22+1 8.已知曲线x −1=√4−y 2,则√x 2+(y −4)2的最大值,最小值分别为( ) A .√17+2,√17−2B .√17+2,√5C .√37,√17−2D .√37,√5二、选择题:本题共4小题,每小题5分,共20分.在每小题给出的选项中,有多项符合题目要求.全部选对的得5分,部分选对的得2分,有选错的得0分. 9.给出下列命题,其中是真命题的是( )A .若a →=(−1,1,−2)是直线l 的方向向量,b →=(−2,−1,12)是直线m 的方向向量,则l 与m 垂直B .若a →=(1,1,−1))是直线l 的方向向量,n →=(0,−1,−1)是平面α的法向量,则l ⊥α C .若n 1→=(1,0,3),n 2→=(0,1,2)分别为平面α,β的法向量,则α⊥βD .若存在实数x ,y ,使MP →=xMA →+yMB →,则P ,M ,A ,B 共面 10.下列说法错误的是( )A .任意一条直线都有倾斜角和斜率B .直线y =x +1与直线y =x +2的距离为1C .直线x ﹣y ﹣2=0与两坐标轴围成的三角形的面积为2D .经过(1,1)且在x 轴,y 轴上截距相等的直线方程为x +y ﹣2=011.已知圆C :x 2+y 3﹣4x ﹣4y +7=0,一条光线从点P (4,1)射出经x 轴反射,则下列结论正确的是( ) A .若反射光线平分圆C 的周长,则反射光线所在直线的方程为3x +2y ﹣10=0 B .圆C 关于直线y =x +1对称的圆的方程为x 2+y 2+2x ﹣6y +9=0C .若反射光线与圆C 相切于点A ,与x 轴相交于点B ,则|PB|+|BA|=2√3D .若反射光线与圆C 交于M ,N 两点,则△CMN 的面积的最大值为1212.已知正方体ABCD ﹣A 1B 1C 1D 1的棱长为1,M 为侧面AA 1D 1D 上的动点,N 为侧面CC 1D 1D 上的动点,则下列结论正确的是( ) A .若BM =√52,则M 的轨迹长度为π4B .若BM =√52,则M 到直线A 1D 的距离的最小值为√24C .若B 1N ⊥AC 1,则N ∈CD 1,且直线B 1N ∥平面A 1BD D .若M ∈A 1D ,则B 1M 与平面A 1BD 所成角正弦的最小值为√33三、填空题:本题共4小题,每小题5分,共20分.13.已知a →=(2,−1,3),b →=(−4,2,x),且a →⊥b →,则x = .14.经过两条直线2x +y ﹣8=0和x ﹣2y +1=0的交点,且垂直于直线3x ﹣2y +4=0的直线的方程是 .15.已知点A (4,6),点B 在圆x 2+y 2=4上运动,则线段AB 的中点M 的轨迹方程为 . 16.已知O 为坐标原点,A ,B 均在直线x ﹣y ﹣6=0上,|AB |=2,动点P 满足|P A |=√2|PB |,则|OP |的最小值为 .四、解答题:本题共6小题,共70分.解答应写出文字说明、证明过程或演算步骤. 17.(10分)已知空间三点A (1,2,2),B (2,1,2),C (3,2,1). (1)若向量m →分别与AB →,AC →垂直,且|m →|=2√6,求向量m →的坐标; (2)求点C 到直线AB 的距离.18.(12分)已知△ABC 三个顶点分别为A (1,1),B (﹣1,﹣3),C (3,﹣1). (1)求△ABC 的面积;(2)过△ABC 内一点P (1,0)有一条直线l 与边AB ,AC 分别交于点M ,N ,且点P 平分线段MN ,求直线l 的方程.19.(12分)如图,在平行六面体ABCD ﹣A 1B 1C 1D 1中,底面ABCD 是边长为2的正方形,侧棱AA 1的长为3,且∠A 1AB =∠A 1AD =120°,E ,F 分别在侧棱BB 1和DD 1上,且BE =13BB 1,DF =23DD 1.(1)若EF →=xAB →+yAD →+zAA 1→,求x +y +z ; (2)求直线EF 与AB 所成角的余弦值.20.(12分)已知圆C 与y 轴相切,圆心在直线x +y ﹣1=0上,且被x 轴截得的弦长为2√3.(1)求圆C的方程;(2)已知直线l过点(1,﹣3),圆C上恰有三个点到直线l的距离等于1,求直线l的方程.21.如图,在矩形ABCD中,AB=4,AD=2,E为线段CD中点,现将△ADE沿AE折起,使得点D到点P位置,且AP⊥BE.(1)求证:平面AEP⊥平面ABCE;(2)已知点M是线段CP上的动点(不与点P,C重合),若使平面MAE与平面APE的夹角为π4,试确定点M的位置.22.(12分)如图,已知圆C:x2+y2﹣4y+3=0,动点P(m,﹣1)(m∈R),过点P引圆的两条切线,切点分别为A,B.(1)求证:直线AB过定点;(2)若两条切线P A,PB与x轴分别交于E,F两点,求△PEF的面积的最小值.2023-2024学年山东省泰安市高二(上)期中数学试卷参考答案与试题解析一、选择题:本题共8小题,每小题5分,共40分.在每小题给出的四个选项中,只有一项是符合题目要求的.1.已知圆的一般方程为x 2+y 2+4x ﹣2y ﹣4=0,其圆心坐标是( ) A .(1,2)B .(﹣1,2)C .(﹣2,1)D .(﹣1,﹣2)解:根据题意,圆的一般方程为x 2+y 2+4x ﹣2y ﹣4=0,即(x +2)2+(y ﹣1)2=9,其圆心为(﹣2,1), 故选:C .2.已知直线l 1:4x +my +2=0和l 2:mx +y +1=0平行,则实数m =( ) A .﹣2B .0C .2D .±2解:因为直线l 1:4x +my +2=0和l 2:mx +y +1=0平行,所以4﹣m 2=0,解得m =±2,当m =2时,直线l 1:4x +2y +2=0即为2x +y +1=0,直线l 2:2x +y +1=0,两直线重合,不符合题意, 当m =﹣2时,直线l 1:4x ﹣2y +2=0即为2x ﹣y +1=0,直线l 2:﹣2x +y +1=0即为2x ﹣y ﹣1=0,两直线平行,符合题意,故m =﹣2. 故选:A .3.如图:在平行六面体ABCD ﹣A 1B 1C 1D 1中,M 为A 1C 1与B 1D 1的交点.若AB →=a →,AD →=b →,AA 1→=c →,则下列向量中与BM →相等的向量是( )A .−12a →+12b →+c →B .12a →+12b →+c →C .−12a →−12b →+c →D .12a →−12b →+c →解:∵BM →=BB 1→+B 1M →=c →+12BD → =c →+12(BA →+BC →) =c →+12(−a →+b →) =−12a →+12b →+c →故选:A .4.已知向量a →=(2,1,3),b →=(﹣1,2,﹣2),c →=(7,6,λ),若向量a →,b →,c →共面,则实数λ等于( ) A .10B .8C .5D .3解:∵向量a →,b →,c →共面,∴存在实数m ,n 使得c →=m a →+n b →.∴{7=2m−n6=m+2nλ=3m−2n⇒{m=4n=1λ=10,∴λ=10.故选:A.5.已知A(﹣2,0),B(4,a)两点到直线l:3x﹣4y+1=0的距离相等,则a=()A.2B.92C.2或﹣8D.2或92解:∵A(﹣2,0),B(4,a)两点到直线l:3x﹣4y+1=0的距离相等,∴22=22,解得a=2或92.故选:D.6.如图所示,在长方体ABCD﹣A1B1C1D1中,AD=AA1=1,AB=2,点E是棱AB的中点,则点E到平面ACD1的距离为()A.12B.√22C.13D.16解:如图,连接BD1,在长方体ABCD﹣A1B1C1D1中,由AD=AA1=1,AB=2,得AD1=√2,AC=CD1=√5,则S△ACD1=12×√2×√5−12=32,设点E到平面ACD1的距离为h,则B到平面ACD1的距离为2h,由V D1−ABC =V B−ACD1,得13×12×1×2×1=13×32×2ℎ,解得h=13.故选:C.7.若圆O1:x2+y2−2x=0和圆O1:x2+y2+2x−4y=0的交点为A,B,则下列结论正确的是()A.公共弦AB所在直线的方程为x+y=0 B.线段AB的垂直平分线的方程为x+y+1=0C.公共弦AB的长为√2 2D.P为圆O1上一动点,则点P到直线AB的距离的最大值为√22+1解:对于A,依题意知,两圆相交于AB,故两圆方程作差可得4x﹣4y=0,即x﹣y=0,即为两圆公共弦AB所在直线方程,故A错误;对于B,圆O1:x2+y2−2x=0,则其圆心为(1,0),k AB=1,则线段AB的垂直平分线的斜率为﹣1,故线段AB的垂直平分线方程为y﹣0=﹣(x﹣1),即x+y﹣1=0,故B错误;对于C,圆心O1到直线AB的距离d=|1−0|√1+(−1)2=√22,圆O1半径r=1,所以|AB|=2√1−(22)2=√2,故C错误;对于D,圆心O1到直线AB的距离d=|1−0|√1+(−1)2=√22,圆O1半径r=1,则点P到直线AB的距离的最大值为√22+1,故D正确.故选:D.8.已知曲线x−1=√4−y2,则√x2+(y−4)2的最大值,最小值分别为()A.√17+2,√17−2B.√17+2,√5C.√37,√17−2D.√37,√5解:由x−1=√4−y2,可知x≥1,﹣2≤y≤2,且有(x﹣1)2+y2=4,表示的图形为以A(1,0)为圆心,2为半径的半圆,如图所示:又因为√x2+(y−4)2表示半圆上的动点与点P(0,4)的距离,又因为|P A|=√12+42=√17,所以√x2+(y−4)2的最大值为|P A|+2=√17+2,当动点与图中B (1,2)点重合时,√x 2+(y −4)2取最小值, 此时|PB |=√(1−0)2+(4−2)2=√5. 故选:B .二、选择题:本题共4小题,每小题5分,共20分.在每小题给出的选项中,有多项符合题目要求.全部选对的得5分,部分选对的得2分,有选错的得0分. 9.给出下列命题,其中是真命题的是( )A .若a →=(−1,1,−2)是直线l 的方向向量,b →=(−2,−1,12)是直线m 的方向向量,则l 与m 垂直B .若a →=(1,1,−1))是直线l 的方向向量,n →=(0,−1,−1)是平面α的法向量,则l ⊥α C .若n 1→=(1,0,3),n 2→=(0,1,2)分别为平面α,β的法向量,则α⊥βD .若存在实数x ,y ,使MP →=xMA →+yMB →,则P ,M ,A ,B 共面 解:对于A ,因为a →⋅b →=(−1)×(−2)+1×(−1)+(−2)×12=0, 可知a →⊥b →,所以l 与m 垂直,故A 正确;对于B ,因为a →⋅n →=1×0+1×(−1)+(−1)×(−1)=0, 可知a →⊥n →,所以l ⊂α或l ∥α,故B 错误;对于C ,因为n 1→⋅n 2→=1×0+0×1+3×2=6≠0, 所以平面α,β不相互垂直,故C 错误;对于D ,若存在实数x ,y ,使MP →=xMA →+yMB →,则MP →,MA →,MB →为共面向量,所以P ,M ,A ,B 共面,故D 正确. 故选:AD .10.下列说法错误的是( )A .任意一条直线都有倾斜角和斜率B .直线y =x +1与直线y =x +2的距离为1C .直线x ﹣y ﹣2=0与两坐标轴围成的三角形的面积为2D .经过(1,1)且在x 轴,y 轴上截距相等的直线方程为x +y ﹣2=0 解:选项A :当直线倾斜角为π2时,该直线斜率不存在.判断错误;选项B:直线y=x+1与直线y=x+2的距离为√1+1=√22.判断错误;选项C:直线x﹣y﹣2=0与两坐标轴的交点分别为(2,0)和(0,﹣2),则此直线与两坐标轴围成的三角形的面积为12×2×2=2.判断正确;选项D:经过(1,1)且在x轴,y轴上截距相等的直线方程为x+y﹣2=0和x﹣y=0.判断错误.故选:ABD.11.已知圆C:x2+y3﹣4x﹣4y+7=0,一条光线从点P(4,1)射出经x轴反射,则下列结论正确的是()A.若反射光线平分圆C的周长,则反射光线所在直线的方程为3x+2y﹣10=0B.圆C关于直线y=x+1对称的圆的方程为x2+y2+2x﹣6y+9=0C.若反射光线与圆C相切于点A,与x轴相交于点B,则|PB|+|BA|=2√3D.若反射光线与圆C交于M,N两点,则△CMN的面积的最大值为1 2解:圆C:x2+y2﹣4x﹣4y+7=0,即(x﹣2)2+(y﹣2)2=1,故圆心为C(2,2),半径为1,点P(4,1)关于x轴的对称点为Q(4,﹣1),对于A:由题意知,反射光线过圆心C,则k QC=2−(−1)2−4=−32,反射光线所在直线的方程为y﹣2=−32(x﹣2),即3x+2y﹣10=0,A正确;对于B:将x=2代入y=x+1得y=3,将y=2代入y=x+1得x=1,圆C关于直线y=x+1对称的圆心为:(1,3),对称圆的半径r=1,所以对称圆的方程为(x﹣1)2+(y﹣3)2=1,即x2+y2﹣2x﹣6y+9=0,B错误;对于C:如图,P关于x轴的对称点Q,B,切点A三点共线,|PB|+|BA|=|QB|+|BA|=|QA|,而|QC|2=(4﹣2)2+(﹣1﹣2)2=13,|CA|=1,所以|QA|=√|QC|2−|CA|2=2√3,C正确;对于D:如图S△CMN=12|CM||CN|sin∠MCN=12×12•sin∠MCN≤12,(当∠MCN=90°时取等号),D正确.故选:ACD .12.已知正方体ABCD ﹣A 1B 1C 1D 1的棱长为1,M 为侧面AA 1D 1D 上的动点,N 为侧面CC 1D 1D 上的动点,则下列结论正确的是( ) A .若BM =√52,则M 的轨迹长度为π4B .若BM =√52,则M 到直线A 1D 的距离的最小值为√24C .若B 1N ⊥AC 1,则N ∈CD 1,且直线B 1N ∥平面A 1BD D .若M ∈A 1D ,则B 1M 与平面A 1BD 所成角正弦的最小值为√33解:对于A ,因为BM =√52,所以M 在以B 为球心,√52为半径的球上. 又M 为侧面AA 1D 1D 上的点,所以M 在球被平面AA 1D 1D 截得的交线上. 因为AB ⊥平面AA 1D 1D ,AM ⊂平面AA 1D 1D ,可得AB ⊥AM ,由AB =1,BM =√52,所以AM =√BM 2−AB 2=12,所以,M 为以A 点为圆心,12为半径的圆上,如图,则M 的轨迹长度为14⋅2π⋅12=π4,故A 正确;对于B ,如上图,取A 1D 中点M 1,由正方形AA 1D 1D 的边长为1,可得AM 1=12√1+1=√22,由M 在以A 为圆心,12为半径的14圆弧上运动,可得M 到直线A 1D 的距离的最小值为√22−12,故B 错误;对于C ,如图,连结AC ,AD 1.因为CC 1⊥平面ABCD ,BD ⊂平面ABCD ,所以CC 1⊥BD .又BD ⊥AC ,AC ⊂平面ACC 1,CC 1⊂平面ACC 1,AC ∩CC 1=C , 所以BD ⊥平面ACC 1.又AC 1⊂平面ACC 1,所以BD ⊥AC 1.因为D 1C 1⊥平面ADD 1A 1,A 1D ⊂平面ADD 1A 1,所以D 1C 1⊥A 1D , 又A 1D ⊥AD 1,AD 1⊂平面AD 1C 1,D 1C 1⊂平面AD 1C 1,AD 1∩D 1C 1=D 1, 所以A 1D ⊥平面AD 1C 1.又AC 1⊂平面AD 1C 1,则A 1D ⊥AC 1.又BD ⊂平面A 1BD ,A 1D ⊂平面A 1BD ,A 1D ∩BD =D , 所以AC 1⊥平面A 1BD .又B 1N ⊥AC 1,B 1∉平面A 1BD ,所以直线B 1N ∥平面A 1BD ,故C 正确; 对于D ,以点D 为坐标原点,分别以DA →,DC →,DD 1→为x ,y ,z 轴的正方向,如上图建立空间直角坐标系,则D (0,0,0),A 1(1,0,1),B (1,1,0),B 1(1,1,1), DA 1→=(1,0,1),DB →=(1,1,0),DB 1→=(1,1,1).因为M ∈A 1D ,设DM →=λDA 1→=(λ,0,λ),(0≤λ≤1),B 1M →=DM →−DB 1→=(λ−1,−1,λ−1). 设m →=(a ,b ,c )是平面A 1BD 的一个法向量, 则{m →⋅DA 1→=a +c =0m →⋅DB →=a +b =0, 取a =1,则b =c =﹣1,m →=(1,﹣1,﹣1)是平面A 1BD 的一个法向量. 则cos <B 1M →,m →>=m →⋅B 1M→|m →|⋅|B 1M →|=1√3×√(λ−1)2+1+(λ−1)2=1√3×√2λ−4λ+3,又2λ2﹣4λ+3=2(λ﹣1)2+1≥1,当λ=1时,有最小值1, 所以,√3√2λ2−4λ+3≤√3=√33,即cos <B 1M →,m →>≤√33,所以,B 1M 与平面A 1BD 所成角正弦的最大值为√33,故D 错误. 故选:AC .三、填空题:本题共4小题,每小题5分,共20分.13.已知a →=(2,−1,3),b →=(−4,2,x),且a →⊥b →,则x = 103. 解:因为a →=(2,−1,3),b →=(−4,2,x),且a →⊥b →, 则2×(﹣4)+(﹣1)×2+3x =0,则x =103, 故答案为:103. 14.经过两条直线2x +y ﹣8=0和x ﹣2y +1=0的交点,且垂直于直线3x ﹣2y +4=0的直线的方程是 2x +3y ﹣12=0 .解:设两直线2x +y ﹣8=0和x ﹣2y +1=0的交点为P , 联立方程组{2x +y −8=0x −2y +1=0,解得x =3,y =2,可得两直线的交点为P (3,2).由直线3x ﹣2y +4=0的斜率为32,可得所求直线的斜率为k =−23,所以所求直线的方程为y −2=−23(x −3),即2x +3y ﹣12=0.故答案为:2x +3y ﹣12=0.15.已知点A (4,6),点B 在圆x 2+y 2=4上运动,则线段AB 的中点M 的轨迹方程为 (x ﹣2)2+(y ﹣3)2=1 .解:设M (x ,y ),B (x 1,y 1),由定点A (4,6),且M 是线段AB 的中点, 由中点坐标公式可得{x =4+x 12y =6+y 12,即{x 1=2x −4y 1=2y −6, 又点B 在圆上,故x 12+y 12=4,即(2x ﹣4)2+(2y ﹣6)2=4,整理得(x ﹣2)2+(y ﹣3)2=1,所以线段AB 中点M 的轨迹方程是(x ﹣2)2+(y ﹣3)2=1. 故答案为:(x ﹣2)2+(y ﹣3)2=1.16.已知O 为坐标原点,A ,B 均在直线x ﹣y ﹣6=0上,|AB |=2,动点P 满足|P A |=√2|PB |,则|OP |的最小值为 √2 .解:设P (x ,y ),A (x 1,y 1),B (x 2,y 2),由于|AB |=2,所以|AB|=√(x 1−x 2)2+(y 1−y 2)2=2, 整理得(x 1−x 2)2+(y 1−y 2)2=4, 由于|P A |=√2|PB |,所以|P A |2=2|PB |2,整理得(x +x 1−2x 2)2+(y +y 1−2y 2)2=2(x 1−x 2)2+2(y 1−y 2)2=8, 故点P 是以(2x 2﹣x 1,2y 2﹣y 1)为圆心,2√2为半径的圆, 易得圆心在x ﹣y ﹣6=0上, 由于点(0,0)到直线的距离d =√2=3√2, 所以|OP|min =3√2−2√2=√2. 故答案为:√2.四、解答题:本题共6小题,共70分.解答应写出文字说明、证明过程或演算步骤. 17.(10分)已知空间三点A (1,2,2),B (2,1,2),C (3,2,1). (1)若向量m →分别与AB →,AC →垂直,且|m →|=2√6,求向量m →的坐标; (2)求点C 到直线AB 的距离.解:(1)AB →=(1,−1,0),AC →=(2,0,−1), 设m →=(x ,y ,z),∵m →⊥AB →,m →⊥AC →, ∴m →⋅AB →=0,m →⋅AC →=0. ∴{x −y =02x −z =0,整理得{y =x z =2x ,∵|m →|=√x 2+y 2+z 2=√6x 2=2√6,∴x =±2, ∴m →=(2,2,4)或m →=(−2,−2,−4);(2)取u →=AB →|AB →|=(√22,−√22,0),a →=AC →=(2,0,−1),则a →⋅u →=√2,a →2=5. ∴C 到直线AB 的距离为√a →2−(a →⋅u →)2=√5−2=√3.18.(12分)已知△ABC 三个顶点分别为A (1,1),B (﹣1,﹣3),C (3,﹣1). (1)求△ABC 的面积;(2)过△ABC 内一点P (1,0)有一条直线l 与边AB ,AC 分别交于点M ,N ,且点P 平分线段MN ,求直线l 的方程.解:(1)∵A (1,1),B (﹣1,﹣3),C (3,﹣1),∴直线AB 的斜率k AB =2,可得直线AB 的方程为2x ﹣y ﹣1=0, 点C 到直线AB 的距离d =65=65√5, ∵|AB|=√(1+1)2+(1+3)2=2√5,∴S △ABC =12|AB|⋅d =12×65√5×2√5=6;(2)由题知,直线AC 的斜率k AC =﹣1,可得直线AC 的方程为x +y ﹣2=0, 设M (x 0,y 0),则N (2﹣x 0,﹣y 0),∵点M ,N 分别在直线AB ,AC 上,∴{2x 0−y 0−1=02−x 0−y 0−2=0,解得{x 0=13y 0=−13, 因此,直线l 的斜率k l =0+131−13=12,l 的方程为y −0=12(x −1),即x ﹣2y ﹣1=0.19.(12分)如图,在平行六面体ABCD ﹣A 1B 1C 1D 1中,底面ABCD 是边长为2的正方形,侧棱AA 1的长为3,且∠A 1AB =∠A 1AD =120°,E ,F 分别在侧棱BB 1和DD 1上,且BE =13BB 1,DF =23DD 1.(1)若EF →=xAB →+yAD →+zAA 1→,求x +y +z ; (2)求直线EF 与AB 所成角的余弦值.解:(1)由题意有:EF →=AF →−AE →=AD →+DF →−(AB →+BE →)=AD →+23DD 1→−(AB →+13BB 1→)=AD →+23AA 1→−AB →−13AA 1→=−AB →+AD →+13AA 1→,故x +y +z =−1+1+13=13; (2)令AB →=a →,AD →=b →,AA 1→=c →,则由题意有:|a →|=|b →|=2,|c →|=3,<a →,b →>=90°,<a →,c →>=<b →,c →>=120°,由(1)知:EF →=−a →+b →+13c →,则|EF →|=√(−a →+b →+13c →)2=√4+4+1+2−2=3,所以cos <EF →,AB →>=−a →2+a →⋅b →+13a →⋅c →3×2=−4−16=−56,故直线EF 与AB 所成角的余弦值为56.20.(12分)已知圆C 与y 轴相切,圆心在直线x +y ﹣1=0上,且被x 轴截得的弦长为2√3. (1)求圆C 的方程;(2)已知直线l 过点(1,﹣3),圆C 上恰有三个点到直线l 的距离等于1,求直线l 的方程. 解:(1)设圆C 的标准方程为(x ﹣a )2+(y ﹣b )2=r 2(r >0), ∵圆心C 在直线x +y ﹣1=0上, ∴a +b ﹣1=0①, ∵圆C 与y 轴相切, ∴r =|a |②,又∵圆C 被x 轴截得的弦长为2√3, ∴b 2+3=r 2③,联立①②③解得,a =2,b =﹣1,r =2, ∴圆C 的方程为(x ﹣2)2+(y +1)2=4. (2)∵圆C 上恰有三个点到直线l 的距离等于1, ∴圆心C 到直线l 的距离d =r ﹣1=1. 当直线l 斜率不存在时,直线l 的方程为x =1, 圆心C (2,﹣1)到直线l 的距离为1,符合题意; 当直线l 斜率不存在时,设直线l 的方程为y +3=k (x ﹣1), 即kx ﹣y ﹣k ﹣3=0, ∴圆心C 到直线l 的距离d =|2k+1−k−3|√k +1=|k−2|√k +1=1,解之得,k =34,∴直线l 的方程为3x ﹣4y ﹣15=0.综上,所求直线l 的方程为x =1或3x ﹣4y ﹣15=0.21.如图,在矩形ABCD 中,AB =4,AD =2,E 为线段CD 中点,现将△ADE 沿AE 折起,使得点D 到点P 位置,且AP ⊥BE .(1)求证:平面AEP ⊥平面ABCE ;(2)已知点M 是线段CP 上的动点(不与点P ,C 重合),若使平面MAE 与平面APE 的夹角为π4,试确定点M 的位置.(1)证明:∵E 为CD 中点,AB =4,∴DE =CE =2, 又∵AD =2,四边形ABCD 为矩形, ∴AE 2=BE 2=2√2, ∴AE 2+BE 2=AB 2,∴AE ⊥BE ,又∵AP ⊥BE ,AE ∩AP =A ,AP ,AE ⊂平面APE , ∴BE ⊥平面APE ,又∵BE ⊂平面ABCE , ∴平面AEP ⊥平面ABCE ;(2)解:过点E 作EQ ⊥平面ABCE ,以E 为坐标原点,以EA ,EB ,EQ 所在直线分别为x 轴,y 轴,z 轴,建立如图所示的空间直角坐标系,则A(2√2,0,0),P(√2,0,√2),C(−√2,√2,0),E (0,0,0),B(0,2√2,0), ∴CP →=(2√2,−√2,√2),EC →=(−√2,√2,0),EA →=(2√2,0,0), 设CM →=λCP →,λ∈(0,1),则EM →=EC →+CM →=(2√2λ−√2,√2−√2λ,√2λ), 设n →=(x ,y ,z)是平面AME 的一个法向量,则有{n →⋅EM →=0n →⋅EA →=0,即{2√2x =0(2√2λ−√2)x +(√2−√2λ)y +√2λz =0, 取y =λ,可得平面AME 的一个法向量为n →=(0,λ,λ−1), 又EB →=(0,2√2,0)为平面APE 的一个法向量, ∴cos〈n →,EB →〉=√2λ2√2√λ+(λ−1)=√λ+(λ−1),∵平面MAE 与平面APE 的夹角为π4,∴√λ2+(λ−1)2=√22,解得λ=12,∴当点M 为线段PC 的中点时,平面MAE 与平面APE 的夹角为π4.22.(12分)如图,已知圆C :x 2+y 2﹣4y +3=0,动点P (m ,﹣1)(m ∈R ),过点P 引圆的两条切线,切点分别为A ,B .(1)求证:直线AB 过定点;(2)若两条切线P A ,PB 与x 轴分别交于E ,F 两点,求△PEF 的面积的最小值.解:(1)证明:由题意知,圆心C (0,2),半径r =1, ∵P A ⊥CA ,PB ⊥CB ,∴A ,B 在以PC 为直径的圆上, ∵|PC|=√m 2+9,PC 的中点M(m 2,12),∴以PC 为直径的圆M 的方程为(x −m 2)2+(y −12)2=m 2+94,即x 2+y 2﹣mx ﹣y ﹣2=0.∵AB 为圆C 与圆M 的公共弦, ∴直线AB 的方程为mx ﹣3y +5=0. ∴直线AB 过定点(0,53).(2)①当P A ,PB 斜率均存在,即m ≠±1时, 设P A ,PB 的方程为y +1=k (x ﹣m ), 即kx ﹣y ﹣km ﹣1=0,∵P A ,PB 与圆C 相切,∴圆心C到直线的距离d=√k+1=1,∴(m2﹣1)k2+6mk+8=0.设P A,PB的斜率分别为k1,k2,∴k1+k2=−6mm2−1,k1k2=8m2−1,∴|k1−k2|=√(−6mm2−1)2−48m2−1=√4m2+32(m2−1)2,x E=m+1k1,x F=m+1k2,∴|EF|=|x E−x F|=|m+1k1−m−1k2|=|1k1−1k2|=|k1−k2||k1k2|=|2√m2+8m2−1||8m2−1|=√m2+84.∵当m∈R且m≠±1,∴当m=0时,|EF|min=√22,此时,S△PEF=12×√22×1=√24.②当P A,PB有一条斜率不存在,即m=±1时,不妨设P A的斜率不存在,则直线P A的方程为x=﹣1,P(﹣1,﹣1),E(﹣1,0),设直线PB的方程为y+1=k(x+1),由圆心(0,2)到PB的距离d=√k+1=1,解得k=43,∴直线PB的方程为4x﹣3y+1=0,∴F(−14,0),此时|EF|=34,S△PEF=12×34×1=38.由38>√24,可得△PEF面积的最小值为√24.。
高二数学试题第页(共4页)试卷类型:A高二年级考试数学试题注意事项:1.答卷前,考生务必将自己的姓名、考生号等填写在答题卡和试卷指定位置上。
2.回答选择题时,选出每小题答案后,用铅笔把答题卡上对应题目的答案标号涂黑。
如需改动,用橡皮擦干净后,再选涂其他答案标号。
回答非选择题时,将答案写在答题卡上。
写在本试卷上无效。
3.考试结束后,将本试卷和答题卡一并交回。
一、选择题:本题共8小题,每小题5分,共40分。
在每小题给出的四个选项中,只有一项是符合题目要求的。
2022.111.经过A (0,3-1),B (3,-1)两点的直线的倾斜角为A.π6 B.π3C.2π3D.5π62.若a =(-2,4,1)与b =(2,m ,-1)共线,则m =A.-4B.-2C.2D.43.已知圆M 的方程为x 2+y 2+2x -4y +1=0,则圆心M 的坐标为A.(1,-2)B.(-1,2)C.(2,-4)D.(-2,4)4.两条平行直线l 1:3x -4y +6=0与l 2:3x -4y -9=0间的距离为A.13B.35 C.3 D.55.已知平面α的一个法向量为n =(-1,-2,2),点A (0,1,0)是平面α内一点,则点P (1,0,1)到平面α的距离为A.1B.2C.3D.46.已知圆M :(x -2)2+y 2=4内有点P (3,1),则以点P 为中点的圆M 的弦所在的直线方程为A.x +y -2=0B.x -y -2=0C.x +y -4=0D.x -y +2=07.已知m ,n 为两条异面直线,在直线m 上取点A 1,E ,在直线n 上取点A ,F ,使AA 1⊥m ,且AA 1⊥n (称AA 1为异面直线m ,n 的公垂线).已知A 1E =2,AF =3,EF =5,AA 1=32,则异面直线m ,n 所成的角为1高二数学试题第页(共4页)A.π6B.π3C.2π3D.5π68.若直线kx +y +k =0与曲线y =1+2x -x 2仅有一个公共点,则实数k 的取值范围是二、选择题:本题共4小题,每小题5分,共20分。
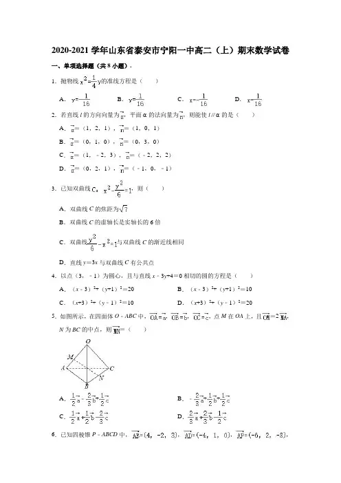
2020-2021学年山东省泰安市宁阳一中高二(上)期末数学试卷一、单项选择题(共8小题).1.抛物线的准线方程是()A.B.C.D.2.若直线l的方向向量为,平面α的法向量为,则能使l∥α的是()A.=(1,2,1),=(1,0,1)B.=(0,1,0),=(0,3,0)C.=(1,﹣2,3),=(﹣2,2,2)D.=(0,2,1),=(﹣1,0,﹣1)3.已知双曲线,则()A.双曲线C的焦距为B.双曲线C的虚轴长是实轴长的6倍C.双曲线与双曲线C的渐近线相同D.直线y=3x与双曲线C有公共点4.以点(3,﹣1)为圆心,且与直线x﹣3y+4=0相切的圆的方程是()A.(x﹣3)2+(y+1)2=20B.(x﹣3)2+(y+1)2=10C.(x+3)2+(y﹣1)2=10D.(x+3)2+(y﹣1)2=205.如图所示,在四面体O﹣ABC中,,,,点M在OA上,且=2,N为BC的中点,则=()A.﹣+B.﹣++C.D.6.已知四棱锥P﹣ABCD中,,,,则点P到底面ABCD的距离为()A.B.C.1D.27.已知数列{a n}中,a1=2,a n=1﹣(n≥2),则a2021等于()A.﹣1B.﹣C.D.28.已知椭圆和双曲线有共同的焦点F1,F2,P,Q分别是它们在第一象限和第三象限的交点,且∠QF2P=60°,记椭圆和双曲线的离心率分别为e1,e2,则等于()A.4B.2C.2D.3二、多项选择题(共4小题).9.点P在圆C1:x2+y2=1上,点Q在圆C2:x2+y2﹣6x+8y+24=0上,则()A.|PQ|的最小值为0B.|PQ|的最大值为7C.两个圆心所在的直线斜率为﹣D.两个圆相交弦所在直线的方程为6x﹣8y﹣25=010.在四棱锥P﹣ABCD中,底面ABCD是正方形,PA⊥底面ABCD,PA=AB,截面BDE 与直线PC平行,与PA交于点E,则下列判断正确的是()A.E为PA的中点B.PB与CD所成的角为C.BD⊥平面PACD.三棱锥C﹣BDE与四棱锥P﹣ABCD的体积之比等于1:411.已知数列{a n}为等差数列,其前n项和为S n,且2a1+4a3=S7,则以下结论正确的有()A.a14=0B.S14最小C.S11=S16D.S27=012.在平面直角坐标系xOy中,已知双曲线C:(a>0,b>0)的离心率为,抛物线的准线过双曲线的左焦点,A,B分别是双曲线C的左,右顶点,点P 是双曲线C的右支上位于第一象限的动点,记PA,PB的斜率分别为k1,k2,则下列说法正确的是()A.双曲线C的渐近线方程为y=±2xB.双曲线C的方程为C.k1k2为定值D.存在点P,使得k1+k2=2三、填空题:本题共4小题,每小题5分,共20分.13.设直线l1:ax+3y+12=0,直线l2:x+(a﹣2)y+4=0.当a=时,l1⊥l2.14.已知向量=(1,1,0),=(﹣1,0,2),且k+与2﹣的夹角为钝角,则实数k的取值范围为.15.以抛物线C的顶点为圆心的圆交C于A,B两点,交C的准线于D,E两点.已知|AB|=4,|DE|=2,则C的焦点到准线的距离为.16.在我国古代著名的数学专著《九章算术》里有﹣段叙述:今有良马与驽马发长安至齐,齐去长安一千一百二十五里,良马初日行一百零三里,日增十三里:驽马初日行九十七里,日减半里,良马先至齐,复还迎驽马,二马相逢,问:需日相逢.四、填空题:本题共6小题,共70分.解答应写出文字说明、证明过程或演算步骤.17.已知直线l过点,且其倾斜角是直线的倾斜角的.(1)求直线l的方程;(2)若直线m与直线l平行,且点P到直线m的距离是3,求直线m的方程.18.已知圆C的圆心在直线y=﹣2x上,且过点(2,﹣1),(0,﹣3).(1)求圆C的方程;(2)已知直线l经过原点,且被圆C截得的弦长为2,求直线l的方程.19.在①S4=20,②S3=2a3,③3a3﹣a4=b2,这三个条件中任选一个,补充在下面问题中,并作答.问题:已知等差数列{a n}的前n项和为S n,{b n}是各项均为正数的等比数列,a1=b4,_____,b2=8,b1﹣3b3=4是否存在正整数k,使得数列的前k项和?若存在,求k的最小值;若不存在,说明理由.20.如图,在三棱锥P﹣ABC中,AB=BC=2,PA=PB=PC=AC=4,O为AC的中点.(1)证明:PO⊥平面ABC;(2)若点M在棱BC上,且二面角M﹣PA﹣C为30°,求PC与平面PAM所成角的正弦值.21.我国某西部地区进行沙漠治理,该地区有土地1万平方公里,其中70%是沙漠,从今年起,该地区进行绿化改造,每年把原有沙漠的16%改造为绿洲,同时原有绿洲的4%被沙漠所侵蚀又变成沙漠,设从今年起第n年绿洲面积为a n万平方公里.(1)求第n年绿洲面积a n与上一年绿洲面积a n﹣1(n≥2)的关系;(2)判断是否是等比数列,并说明理由;(3)至少经过几年,绿洲面积可超过60%?(lg2=0.3010)22.已知椭圆的离心率为,且点在椭圆C上.(1)求椭圆C的方程;(2)设动直线l过椭圆C的右焦点F,且与椭圆C交于A,B两点.在x轴上是否存在定点Q,使得恒成立?若存在,求点Q的坐标;若不存在,请说明理由.参考答案一、单项选择题(共8小题).1.抛物线的准线方程是()A.B.C.D.解:因为抛物线的标准方程为:x2=4y,焦点在y轴上;所以:2p=,即p=,所以:=,∴准线方程y=﹣,故选:A.2.若直线l的方向向量为,平面α的法向量为,则能使l∥α的是()A.=(1,2,1),=(1,0,1)B.=(0,1,0),=(0,3,0)C.=(1,﹣2,3),=(﹣2,2,2)D.=(0,2,1),=(﹣1,0,﹣1)解:直线l的方向向量为,平面α的法向量为,则能使l∥α,只要满足即可,对于A:,对于B:、对于C:,对于D:.故选:C.3.已知双曲线,则()A.双曲线C的焦距为B.双曲线C的虚轴长是实轴长的6倍C.双曲线与双曲线C的渐近线相同D.直线y=3x与双曲线C有公共点解:由题意知,a=1,b=,∴c==,∴双曲线C的焦距为2c=2,即选项A错误;双曲线C的虚轴长为2b=2,实轴长为2a=2,∴虚轴长是实轴长的倍,即选项B 错误;双曲线C的渐近线方程为y=±x,双曲线的渐近线方程为y=±x,即选项C正确;联立,得x2=﹣2,无解,∴直线y=3x与双曲线C没有公共点,即选项D错误.故选:C.4.以点(3,﹣1)为圆心,且与直线x﹣3y+4=0相切的圆的方程是()A.(x﹣3)2+(y+1)2=20B.(x﹣3)2+(y+1)2=10C.(x+3)2+(y﹣1)2=10D.(x+3)2+(y﹣1)2=20解:r==,所求圆的方程为(x﹣3)2+(y+1)2=10.故选:B.5.如图所示,在四面体O﹣ABC中,,,,点M在OA上,且=2,N为BC的中点,则=()A.﹣+B.﹣++C.D.解:连接ON,∵N是BC的中点,∴=,∵=2,∴=,∴==﹣=﹣++,故选:B.6.已知四棱锥P﹣ABCD中,,,,则点P到底面ABCD的距离为()A.B.C.1D.2解:四棱锥P﹣ABCD中,,,,设平面ABCD的法向量为=(x,y,z),则,可得,不妨令x=3,则y=12,z=4,可得=(3,12,4);则,在平面ABCD法向量上的射影就是这个四棱锥的高h,所以h=|||cos<,>|=||==2;所以该四棱锥的高为2.故选:D.7.已知数列{a n}中,a1=2,a n=1﹣(n≥2),则a2021等于()A.﹣1B.﹣C.D.2解:∵数列{a n}中,a1=2,a n=1﹣(n≥2),∴a2=1﹣=,a3=1﹣=﹣1,a4=1﹣(﹣1)=2,∴数列{a n}是以3为周期的周期数列,∵2021=3×673+2,∴a2021=a2=.故选:C.8.已知椭圆和双曲线有共同的焦点F1,F2,P,Q分别是它们在第一象限和第三象限的交点,且∠QF2P=60°,记椭圆和双曲线的离心率分别为e1,e2,则等于()A.4B.2C.2D.3解:设椭圆的长半轴长为a1,双曲线的半实轴长为a2,P在双曲线的右支上,根据椭圆及双曲线的定义可得|PF1|+|PF2|=2a1,|PF1|﹣|PF2|=2a2,可得|PF1|=a1+a2,|PF2|=a1﹣a2,设|F1F2|=2c,∠QF2P=60°,四边形F1PF2Q是平行四边形,所以,∠F1PF2=120°,在△PF1F2中由余弦定理得,4c2=(a1+a2)2+(a1﹣a2)2﹣2(a1+a2)(a1﹣a2)cos 120°,化简得3a12+a22=4c2,该式可化为:,结合e1=,e2=,∴则=4.故选:A.二、多项选择题:本题共4小题,每小题5分,共20分。
人教A 版数学高二弧度制精选试卷练习(含答案)学校:___________姓名:___________班级:___________考号:___________一、单选题1.已知扇形的周长是5cm ,面积是322cm ,则扇形的中心角的弧度数是( ) A .3B .43C .433或 D .2【来源】江西省九江第一中学2016-2017学年高一下学期期中考试数学(文)试题 【答案】C2.已知扇形的周长为8cm ,圆心角为2,则扇形的面积为( ) A .1B .2C .4D .5【来源】四川省双流中学2017-2018学年高一1月月考数学试题 【答案】C3.《掷铁饼者》 取材于希腊的现实生活中的体育竞技活动,刻画的是一名强健的男子在掷铁饼过程中最具有表现力的瞬间.现在把掷铁饼者张开的双臂近似看成一张拉满弦的“弓”,掷铁饼者的手臂长约为4π米,肩宽约为8π米,“弓”所在圆的半径约为1.25米,你估测一下掷铁饼者双手之间的距离约为( )1.732≈≈)A .1.012米B .1.768米C .2.043米D .2.945米【来源】安徽省五校(怀远一中、蒙城一中、淮南一中、颍上一中、淮南一中、涡阳一中)2019-2020学年高三联考数学(理)试题 【答案】B4.已知扇形的周长为4,圆心角所对的弧长为2,则这个扇形的面积是( ) A .2B .1C .sin 2D .sin1【来源】福建省泉州市南安侨光中学2019-2020学年高一上学期第二次阶段考试数学试题 【答案】B5.已知α是第三象限角,且cos cos22αα=-,则2α是( ) A .第一象限角B .第二象限角C .第三象限角D .第四象限角【来源】2012人教A 版高中数学必修四1.2任意角的三角函数练习题 【答案】B6.如图,2弧度的圆心角所对的弦长为2,这个圆心角所对应的扇形面积是( )A .1sin1B .21sin 1C .21cos 1D .tan1【来源】广西河池市高级中学2017-2018学年高一下学期第二次月考数学试题 【答案】B7.半径为10cm ,面积为2100cm 的扇形中,弧所对的圆心角为( ) A .2 radB .2︒C .2π radD .10 rad【来源】第一章滚动习题(一) 【答案】A8.若一扇形的圆心角为72︒,半径为20cm ,则扇形的面积为( ). A .240πcmB .280πcmC .240cmD .280cm【来源】陕西省西安市长安区第一中学2016-2017学年高一下学期第一次月考数学试题 【答案】D9.如图,把八个等圆按相邻两两外切摆放,其圆心连线构成一个正八边形,设正八边形内侧八个扇形(无阴影部分)面积之和为1S ,正八边形外侧八个扇形(阴影部分)面积之和为2S ,则12S S =( )A .34B .35C .23D .1【来源】广西省南宁市马山县金伦中学、武鸣县华侨中学等四校2017-2018学年高一10月月考数学试题. 【答案】B10.在-360°到0°内与角1250°终边相同的角是( ) . A .170° B .190° C .-190°D .-170°【来源】2012人教A 版高中数学必修四1.1任意角和弧度制练习题(一)(带解析) 【答案】C11.下列各角中,终边相同的角是 ( ) A .23π和240o B .5π-和314oC .79π-和299π D .3和3o【来源】新疆伊西哈拉镇中学2018-2019学年高一上学期第二次月考数学试题 【答案】C12.已知2弧度的圆心角所对的弧长为2,则这个圆心角所对的弦长是( ) A .sin 2B .2sin 2C .sin1D .2sin1【来源】广东省东莞市2018-2019学年高一第二学期期末教学质量检查数学试题 【答案】D13,弧长是半径的3π倍,则扇形的面积等于( ) A .223cm πB .26cm πC .243cm πD .23cm π【来源】河北省隆华存瑞中学(存瑞部)2018-2019学年高一上学期第二次数学试题 【答案】D14.如图所示,用两种方案将一块顶角为120︒,腰长为2的等腰三角形钢板OAB 裁剪成扇形,设方案一、二扇形的面积分别为12S , S ,周长分别为12,l l ,则( )A .12S S =,12l l >B .12S S =,12l l <C .12S S >,12l l =D .12S S <,12l l =【来源】浙江省省丽水市2018-2019学年高一下学期期末数学试题 【答案】A15.已知sin sin αβ>,那么下列命题成立的是( ) A .若,αβ是第一象限角,则cos cos αβ> B .若,αβ是第二象限角,则tan tan αβ> C .若,αβ是第三象限角,则cos cos αβ> D .若,αβ是第四象限角,则tan tan αβ>【来源】正定中学2010高三下学期第一次考试(数学文) 【答案】D16.半径为1cm ,中心角为150°的角所对的弧长为( )cm . A .23B .23π C .56D .56π 【来源】宁夏石嘴山市第三中学2018-2019学年高一5月月考数学试题 【答案】D 17.设5sin 7a π=,2cos 7b π=,2tan 7c π=,则( ) A .a b c <<B .a c b <<C .b c a <<D .b a c <<【来源】2008年高考天津卷文科数学试题 【答案】D18.扇形的中心角为120o )A .πB .45πC D 2【来源】辽宁省大连市第八中学2016-2017学年高一下学期期中考试数学试题【答案】A19.若扇形的周长为8,圆心角为2rad ,则该扇形的面积为( ) A .2B .4C .8D .16【来源】河南省洛阳市2018-2019学年高一下学期期中考试数学试卷 【答案】B20.-300° 化为弧度是( ) A .-43πB .-53πC .-54πD .-76π【来源】2014-2015学年山东省宁阳四中高一下学期期中学分认定考试数学试卷(带解析) 【答案】B21.一个扇形的面积为3π,弧长为2π,则这个扇形的圆心角为( ) A .3π B .4π C .6π D .23π 【来源】湖北省荆门市2017-2018学年高一(上)期末数学试题 【答案】D22.《九章算术》是中国古代第一部数学专著,成于公元一世纪左右,系统总结了战国、秦、汉时期的数学成就.其中《方田》一章中记载了计算弧田(弧田就是由圆弧和其所对弦所围成弓形)的面积所用的经验公式:弧田面积=12(弦×矢+矢×矢),公式中“弦”指圆弧所对弦长,“矢”等于半径长与圆心到弦的距离之差.按照上述经验公式计算所得弧田面积与其实际面积之间存在误差.现有圆心角为23π,弦长为的弧田.其实际面积与按照上述经验公式计算出弧田的面积之间的误差为( )平方米.(其中3π≈,1.73≈)A .15B .16C .17D .18【来源】湖北省2018届高三5月冲刺数学(理)试题 【答案】B23.下列各式不正确的是( ) A .-210°=76π-B .405°=49πC .335°=2312πD .705°=4712π【来源】河南信阳市息县第一高级中学、第二高级中学、息县高中2018-2019学年高一下学期期中联考数学(文)试题 【答案】C24.下列函数中,最小正周期为π2的是( )A .y =sin (2x −π3)B .y =tan (2x −π3)C .y =cos (2x +π6) D .y =tan (4x +π6)【来源】20102011年山西省汾阳中学高一3月月考数学试卷 【答案】B25.已知扇形的周长为12cm ,圆心角为4rad ,则此扇形的弧长为 ( ) A .4cmB .6cmC .8cmD .10cm【来源】江西省玉山县一中2018-2019学年高一(重点班)下学期第一次月考数学(理)试卷 【答案】C二、填空题26.已知扇形的圆心角18πα=,扇形的面积为π,则该扇形的弧长的值是______.【来源】上海市黄浦区2018-2019学年高一下学期期末数学试题 【答案】3π 27.若一个圆锥的侧面展开图是面积为2π的半圆面,则该圆锥的底面半径为_______ . 【来源】上海市浦东新区川沙中学2018-2019学年高二下学期期末数学试题 【答案】128.一个扇形的弧长与面积的数值都是5,则这个扇形中心角的弧度数为__________. 【来源】河南省灵宝市实验高中2017-2018学年高一下学期第一次月考考数学试题 【答案】5229.已知圆锥的侧面展开图是一个扇形,若此扇形的圆心角为65π、面积为15π,则该圆锥的体积为________.【来源】上海市杨浦区2019-2020学年高三上学期期中质量调研数学试题 【答案】12π30.圆O 的半径为1,P 为圆周上一点,现将如图放置的边长为1的正方形(实线所示 ,正方形的顶点A 和点P 重合)沿着圆周顺时针滚动,经过若干次滚动,点A 第一次回到点P 的位置,则点A 走过的路径的长度为 .【来源】2015届山东省日照市高三3月模拟考试理科数学试卷(带解析)31.已知扇形的圆心角为1弧度,扇形半径为2,则此扇形的面积为______. 【来源】上海市复兴高级中学2018-2019学年高一下学期3月份质量检测数学试题 【答案】232.一个球夹在120°的二面角内,且与二面角的两个面都相切,两切点在球面上的最短距离为π,则这个球的半径为_______ .【来源】上海市七宝中学2017-2018学年高二下学期期中数学试题 【答案】333.用半径为,面积为cm 2的扇形铁皮制作一个无盖的圆锥形容器(衔接部分忽略不计), 则该容器盛满水时的体积是 .【来源】2012届江苏省泗阳中学高三上学期第一次调研考试数学试卷(实验班) 【答案】31000cm 3π34.《九章算术》是体现我国古代数学成就的杰出著作,其中(方田)章给出的计算弧田面积的经验公式为:弧田面积12=(弦⨯矢+矢2),弧田(如图阴影部分)由圆弧及其所对的弦围成,公式中“弦”指圆弧所对弦的长,“矢”等于半径长与圆心到弦的距离之差,现有弧长为43π米,半径等于2米的弧田,则弧所对的弦AB 的长是_____米,按照上述经验公式计算得到的弧田面积是___________平方米.【来源】山东省济南市2018-2019学年高一下学期期末学习质量评估数学试题【答案】1235.设扇形的半径长为2cm ,面积为24cm ,则扇形的圆心角的弧度数是 【来源】2013-2014学年山东济南商河弘德中学高一下学期第二次月考数学试卷(带解析) 【答案】236.已知一个圆锥的展开图如图所示,其中扇形的圆心角为120o ,弧长为2π,底面圆的半径为1,则该圆锥的体积为__________.【来源】2018年春高考数学(文)二轮专题复习训练:专题三 立体几何【答案】337.现用一半径为10cm ,面积为280cm π的扇形铁皮制作一个无盖的圆锥形容器(假定衔接部分及铁皮厚度忽略不计,且无损耗),则该容器的容积为__________3cm . 【来源】江苏省苏州市2018届高三调研测试(三)数学试题 【答案】128π38.已知扇形的周长为6,圆心角为1,则扇形的半径为___;扇形的面积为____. 【来源】浙江省宁波市镇海区镇海中学2018-2019学年高一上学期期中数学试题 【答案】2 2 39.给出下列命题:①第二象限角大于第一象限角;②三角形的内角是第一象限角或第二象限角;③不论用角度制还是用弧度制度量一个角,它们与扇形所在半径的大小无关; ④若sin sin αβ=,则α与β的终边相同;⑤若cos 0θ<,则θ是第二或第三象限的角. 其中正确的命题是______.(填序号)【来源】江苏省南通市启东中学2018-2019学年高二5月月考数学(文)试题 【答案】③40.设扇形的周长为4cm ,面积为21cm ,则扇形的圆心角的弧度数是________. 【来源】广东省中山市第一中学2016-2017学年高一下学期第一次段考(3月)数学(理)试题 【答案】2三、解答题41.已知扇形AOB 的周长为8.(1)若这个扇形的面积为3,求其圆心角的大小.(2)求该扇形的面积取得最大时,圆心角的大小和弦长AB .【来源】2015-2016学年四川省雅安市天全中学高一11月月考数学试卷(带解析) 【答案】(1)或;(2);.42.已知一扇形的中心角是120︒,所在圆的半径是10cm ,求: (1)扇形的弧长; (2)该弧所在的弓形的面积【来源】福建省福州市平潭县新世纪学校2019-2020学年高一上学期第二次月考数学试题【答案】(1)203π;(2)1003π-43.某公司拟设计一个扇环形状的花坛(如图所示),该扇环是由以点O 为圆心的两个同心圆弧和延长后通过点AD 的两条线段围成.设圆弧AB 、CD 所在圆的半径分别为()f x 、R 米,圆心角为θ(弧度).(1)若3πθ=,13r =,26=r ,求花坛的面积;(2)设计时需要考虑花坛边缘(实线部分)的装饰问题,已知直线部分的装饰费用为60元/米,弧线部分的装饰费用为90元/米,预算费用总计1200元,问线段AD 的长度为多少时,花坛的面积最大?【来源】江苏省泰州市泰州中学2019~2020学年高一上学期期中数学试题 【答案】(1)292m π(2)当线段AD 的长为5米时,花坛的面积最大44.已知一个扇形的周长为30厘米,求扇形面积S 的最大值,并求此时扇形的半径和圆心角的弧度数.【来源】上海市华东师范大学第二附属中学2018-2019学年高一上学期期末数学试题 【答案】()2rad α= 152r =45.如图所示为圆柱形大型储油罐固定在U 型槽上的横截面图,已知图中ABCD 为等腰梯形(AB ∥DC ),支点A 与B 相距8m ,罐底最低点到地面CD 距离为1m ,设油罐横截面圆心为O ,半径为5m ,56D ∠=︒,求:U 型槽的横截面(阴影部分)的面积.(参考数据:sin530.8︒≈,tan56 1.5︒≈,3π≈,结果保留整数)【来源】上海市闵行区七宝中学2019-2020学年高一上学期9月月考数学试题 【答案】202m46.明朝数学家程大位在他的著作《算法统宗》中写了一首计算秋千绳索长度的词《西江月》:“平地秋千未起,踏板一尺离地,送行二步恰竿齐,五尺板高离地…”某教师根据这首词的思想设计如下图形,已知CE l ⊥,DF l ⊥,CB CD =,AD BC ⊥,5DF =,2BE =,AD =则在扇形BCD 中随机取一点求此点取自阴影部分的概率.【来源】山西省阳泉市2018-2019学年高一第一学期期末考试试题数学试题【答案】1)4(P A π=-47.某企业欲做一个介绍企业发展史的铭牌,铭牌的截面形状是如图所示的扇形环面(由试卷第11页,总11页 扇形OAD 挖去扇形OBC 后构成的).已知10, (0<<10)OA=OB =x x ,线段BA 、CD与弧BC 、弧AD 的长度之和为30米,圆心角为θ弧度.(1)求θ关于x 的函数解析式;(2)记铭牌的截面面积为y ,试问x 取何值时,y 的值最大?并求出最大值.【来源】上海市黄浦区2018届高三4月模拟(二模)数学试题【答案】(1)210(010)10x x x θ+=<<+;(2)当52x =米时铭牌的面积最大,且最大面积为2254平方米. 48.已知一扇形的圆心角为()0αα>,所在圆的半径为R .(1)若90,10R cm α==o ,求扇形的弧长及该弧所在的弓形的面积;(2)若扇形的周长是一定值()0C C >,当α为多少弧度时,该扇形有最大面积?【来源】2019高考备考一轮复习精品资料 专题十五 任意角和弧度制及任意角的三角函数 教学案【答案】(1)2550π-;(2)见解析49.已知在半径为10的圆O 中,弦AB 的长为10.(1)求弦AB 所对的圆心角α(0<α<π)的大小;(2)求圆心角α所在的扇形弧长l 及弧所在的弓形的面积S .【来源】(人教A 版必修四)1.1.2弧度制(第一课时)同步练习02【答案】(1)π3(2)10π3;50(π3−√32) 50.已知在半径为6的圆O 中,弦AB 的长为6,(1)求弦AB 所对圆心角α的大小;(2)求α所在的扇形的弧长l 以及扇形的面积S.【来源】江西省玉山县一中2018-2019学年高一(重点班)下学期第一次月考数学(文)试卷【答案】(1)3π ;(2)2l π= ,6S π=。
高二(下)期末数学试卷(理科)一、选择题(本大题共12小题,共60.0分)1.老师在班级50名学生中,依次抽取学号为5,10,15,20,25,30,35,40,45,50的学生进行作业检查,这种抽样方法是()A. 随机抽样B. 分层抽样C. 系统抽样D. 以上都是2.在复平面内,复数6+5i,-2+3i对应的点分别为A,B.若C为线段AB的中点,则点C对应的复数是()A. 4+8iB. 8+2iC. 4+iD. 2+4i3.从4名男同学和3名女同学中选出3名参加某项活动,则男女生都有的选法种数是()A. 18B. 24C. 30D. 364.设i为虚数单位,则(x-i)6的展开式中含x4的项为()A. -15x4B. 15x4C. -20ix4D. 20ix45.掷两颗均匀的骰子,则点数之和为5的概率等于()A. B. C. D.6.曲线f(x)=x3-x+3在点P处的切线平行于直线y=2x-1,则P点的坐标为()A. (1,3)B. (-1,3)C. (1,3)和(-1,3)D. (1,-3)7.元朝著名数学家朱世杰在《四元玉鉴》中有一首诗:“我有一壶酒,携着游春走,遇店添一倍,逢友饮一斗,店友经四处,没了壶中酒,借问此壶中,当原多少酒?”用程序框图表达如图所示,即最终输出的x=0,则一开始输入的x的值为()A.B.C.D.8.p设η=2ξ+3,则E(η)的值为()A. 4B.C.D. 19.在区间[0,1]上任取两个实数a,b,则函数f(x)=x2+ax+b2无零点的概率为()A. B. C. D.10.根据如下样本数据,得到回归方程=bx+a,则()x345678y4.02.5-0.50.5-2.0-3.0A. a>0,b>0B. a>0,b<0C. a<0,b>0D. a<0,b<011.若函数f(x)=x3-tx2+3x在区间[1,4]上单调递减,则实数t的取值范围是()A. (-∞,]B. (-∞,3]C. [,+∞)D. [3,+∞)12.已知函数f(x)=x(ln x-ax)有两个极值点,则实数a的取值范围是( )A. (-∞,0)B.C. (0,1)D. (0,+∞)二、填空题(本大题共4小题,共20.0分)13.用简单随机抽样的方法从含有100个个体的总体中依次抽取一个容量为5的样本,则个体m被抽到的概率为______.14.已知复数z满足(1+2i)z=4+3i,则|z|=______.15.如图,正方体ABCD-A1B1C1D1的棱长为1,E,F分别为线段AA1,B1C上的点,则三棱锥D1-EDF的体积为______.16.若曲线C1:y=ax2(a>0)与曲线C2:y=e x在(0,+∞)上存在公共点,则a的取值范围为______.三、解答题(本大题共6小题,共70.0分)17.已知函数f(x)=x3+(1-a)x2-a(a+2)x+b(a,b∈R)(1)若函数f(x)的导函数为偶函数,求a的值;(2)若曲线y=f(x)存在两条垂直于y轴的切线,求a的取值范围18.为了分析某个高三学生的学习状态,对其下一阶段的学习提供指导性建议.现对他前7次考试的数学成绩x、物理成绩y进行分析.下面是该生7次考试的成绩.数学888311792108100112物理949110896104101106(1)他的数学成绩与物理成绩哪个更稳定?请给出你的证明;(2)已知该生的物理成绩y与数学成绩x是线性相关的,若该生的物理成绩达到115分,请你估计他的数学成绩大约是多少?并请你根据物理成绩与数学成绩的相关性,给出该生在学习数学、物理上的合理建议.参考公式:方差公式:,其中为样本平均数==,=-19.已知函数,.(1)求f(x)在区间(-∞,1)上的极小值和极大值点;(2)求f(x)在[-1,e](e为自然对数的底数)上的最大值.20.如图,在矩形ABCD中,AB=4,AD=2,E是CD的中点,以AE为折痕将△DAE向上折起,D变为D',且平面D'AE⊥平面ABCE.(Ⅰ)求证:AD'⊥EB;(Ⅱ)求二面角A-BD'-E的大小.21.交通指数是交通拥堵指数的简称,是综合反映道路网畅通或拥堵的概念,记交通指数为T,其范围为[0,10],分为五个级别,T∈[0,2)畅通;T∈[2,4)基本畅通;T∈[4,6)轻度拥堵;T∈[6,8)中度拥堵;T∈[8,10]严重拥堵.早高峰时段(T≥3),从某市交通指挥中心随机选取了三环以内的50个交通路段,依据其交通指数数据绘制的频率分布直方图如右图.(Ⅰ)这50个路段为中度拥堵的有多少个?(Ⅱ)据此估计,早高峰三环以内的三个路段至少有一个是严重拥堵的概率是多少?(III)某人上班路上所用时间若畅通时为20分钟,基本畅通为30分钟,轻度拥堵为36分钟;中度拥堵为42分钟;严重拥堵为60分钟,求此人所用时间的数学期望.22.已知函数f(x)=(ax-1)e x(x>0,a∈R)(e为自然对数的底数).(1)讨论函数f(x)的单调性;(2)当a=1时,f(x)>kx-2恒成立,求整数k的最大值.答案和解析1.【答案】C【解析】解:∵学生人数比较多,∵把每个班级学生从1到最后一号编排,要求每班编号是5的倍数的同学留下进行作业检查,这样选出的样本是采用系统抽样的方法,故选:C.学生人数比较多,把每个班级学生从1到最后一号编排,要求每班学号是5的倍数的同学留下进行作业检查,这样选出的样本是具有相同的间隔的样本,是采用系统抽样的方法.本题考查系统抽样,当总体容量N较大时,采用系统抽样,将总体分成均衡的若干部分即将总体分段,分段的间隔要求相等,系统抽样又称等距抽样.2.【答案】D【解析】解:因为复数6+5i,-2+3i对应的点分别为A(6,5),B(-2,3).且C为线段AB的中点,所以C(2,4).则点C对应的复数是2+4i.故选:D.写出复数所对应点的坐标,有中点坐标公式求出C的坐标,则答案可求.本题考查了中点坐标公式,考查了复数的代数表示法及其几何意义,是基础题.3.【答案】C【解析】解:根据题意,分2种情况讨论:①,选出的3人为2男1女,有C42C31=18种选法;②,选出的3人为1男2女,有C41C32=12种选法;则男女生都有的选法有18+12=30种;故选:C.根据题意,分2种情况讨论:①,选出的3人为2男1女,②,选出的3人为1男2女,由加法原理计算可得答案.本题考查排列、组合的应用,涉及分类计数原理,属于基础题.4.【答案】A【解析】解:(x-i)6的展开式的通项公式为T r+1=•x6-r•(-i)r,令6-r=4,求得r=2,故展开式中含x4的项为•(-i)2•x4=-15x4,故选:A.在二项式展开式的通项公式中,令x的幂指数等于4,求得r的值,可得展开式中含x4的项.本题主要考查二项式定理的应用,二项式系数的性质,二项式展开式的通项公式,属于基础题.5.【答案】B【解析】【分析】这是一个古典概率模型,求出所有的基本事件数N与事件“抛掷两颗骰子,所得两颗骰子的点数之和为5”包含的基本事件数n,再由公式求出概率得到答案本题是一个古典概率模型问题,解题的关键是理解事件“抛掷两颗骰子,所得两颗骰子的点数之和为5”,由列举法计算出事件所包含的基本事件数,判断出概率模型,理解求解公式是本题的重点,正确求出事件“抛掷两颗骰子,所得两颗骰子的点数之和为5”所包含的基本事件数是本题的难点.【解答】解:抛掷两颗骰子所出现的不同结果数是6×6=36事件“抛掷两颗骰子,所得两颗骰子的点数之和为5”所包含的基本事件有(1,4),(2,3),(3,2),(4,1)共四种故事件“抛掷两颗骰子,所得两颗骰子的点数之和为5”的概率是=,故选B.6.【答案】C【解析】解:设P的坐标为(m,n),则n=m3-m+3,f(x)=x3-x+3的导数为f′(x)=3x2-1,在点P处的切线斜率为3m2-1,由切线平行于直线y=2x-1,可得3m2-1=2,解得m=±1,即有P(1,3)或(-1,3),故选:C.设P的坐标为(m,n),则n=m3-m+3,求出函数的导数,求得切线的斜率,由两直线平行的条件:斜率相等,可得m的方程,求得m的值,即可得到所求P的坐标.本题考查导数的运用:求切线的斜率,考查导数的几何意义:函数在某点处的导数即为曲线在该点处的切线的斜率,考查两直线平行的条件:斜率相等,属于基础题.7.【答案】C【解析】【分析】求出对应的函数关系,由题输出的结果的值为0,由此关系建立方程求出自变量的值即可.解答本题,关键是根据所给的框图,得出函数关系,然后通过解方程求得输入的值.本题是算法框图考试常见的题型,其作题步骤是识图得出函数关系,由此函数关系解题,得出答案.【解答】解:第一次输入x=x,i=1第二次输入x=2x-1,i=2,第三次输入x=2(2x-1)-1=4x-3,i=3,第四次输入x=2(4x-3)-1=8x-7,i=4>3,第五次输入x=2(8x-7)-1=16x-15,i=5>4,输出16x-15=0,解得:x=,故选:C.8.【答案】B【解析】解:由题意可知E(ξ)=-1×+0×+1×=-.∵η=2ξ+3,所以E(η)=E(2ξ+3)=2E(ξ)+3=+3=.故选:B.求出ξ的期望,然后利用η=2ξ+3,求解E(η)即可.本题考查有一定关系的两个变量之间的期望之间的关系,本题也可以这样来解,根据两个变量之间的关系写出η的分布列,再由分布列求出期望.9.【答案】B【解析】解:∵a,b是区间[0,1]上的两个数,∴a,b对应区域面积为1×1=1若函数f(x)=x2+ax+b2无零点,则△=a2-4b2<0,对应的区域为直线a-2b=0的上方,面积为1-=,则根据几何概型的概率公式可得所求的概率为.故选:B.函数f(x)=x2+ax+b2无零点的条件,得到a,b满足的条件,利用几何概型的概率公式求出对应的面积即可得到结论.本题主要考查几何概型的概率计算,根据二次函数无零点的条件求出a,b满足的条件是解决本题的关键.10.【答案】B【解析】解:由题意可知:回归方程经过的样本数据对应的点附近,是减函数,所以b <0,且回归方程经过(3,4)与(4,2.5)附近,所以a>0.故选:B.通过样本数据表,容易判断回归方程中,b、a的符号.本题考查回归方程的应用,基本知识的考查.11.【答案】C【解析】解:∵函数f(x)=x3-tx2+3x,∴f′(x)=3x2-2tx+3,若函数f(x)=x3-tx2+3x在区间[1,4]上单调递减,则f′(x)≤0即3x2-2tx+3≤0在[1,4]上恒成立,∴t≥(x+)在[1,4]上恒成立,令y=(x+),由对勾函数的图象和性质可得:函数在[1,4]为增函数,当x=4时,函数取最大值,∴t≥,即实数t的取值范围是[,+∞),由题意可得f′(x)≤0即3x2-2tx+3≤0在[1,4]上恒成立,由二次函数的性质可得不等式组的解集.本题主要考查函数的单调性和导数符号间的关系,二次函数的性质,属于中档题.12.【答案】B【解析】【分析】本题主要考查函数的零点以及数形结合方法,数形结合是数学解题中常用的思想方法,能够变抽象思维为形象思维,有助于把握数学问题的本质;另外,由于使用了数形结合的方法,很多问题便迎刃而解,且解法简捷.先求导函数,函数f(x)=x(ln x-ax)有两个极值点,等价于f′(x)=ln x-2ax+1有两个零点,等价于函数y=ln x与y=2ax-1的图象由两个交点,在同一个坐标系中作出它们的图象.由图可求得实数a的取值范围.【解答】解:函数f(x)=x(ln x-ax),则f′(x)=ln x-ax+x(-a)=ln x-2ax+1,令f′(x)=ln x-2ax+1=0得ln x=2ax-1,函数f(x)=x(ln x-ax)有两个极值点,等价于f′(x)=ln x-2ax+1有两个零点,等价于函数y=ln x与y=2ax-1的图象有两个交点,在同一个坐标系中作出它们的图象(如图)当a=时,直线y=2ax-1与y=ln x的图象相切,由图可知,当0<a<时,y=ln x与y=2ax-1的图象有两个交点.则实数a的取值范围是(0,).简解:函数f(x)=x(ln x-ax),则f′(x)=ln x-ax+x(-a)=ln x-2ax+1,令f′(x)=ln x-2ax+1=0得ln x=2ax-1,可得2a=有两个不同的解,设g(x)=,则g′(x)=,当x>1时,g(x)递减,0<x<1时,g(x)递增,可得g(1)取得极大值1,作出y=g(x)的图象,可得0<2a<1,即0<a<,13.【答案】【解析】解:根据题意,简单随机抽样中每个个体被抽到的概率是相等的,若在含有100个个体的总体中依次抽取一个容量为5的样本,则个体m被抽到的概率P==;故答案为:.根据题意,由简单随机抽样的性质以及古典概型的计算公式可得个体m被抽到的概率P=,化简即可得答案.本题考查古典概型的计算,涉及随机抽样的性质,属于基础题.14.【答案】【解析】解:∵(1+2i)z=4+3i,∴z=,则|z|=||=.故答案为:.把已知等式变形,再由商的模等于模的商求解.本题考查复数代数形式的乘除运算,考查复数模的求法,是基础题.15.【答案】【解析】解:将三棱锥D1-EDF选择△D1ED为底面,F为顶点,则=,其==,F到底面D1ED的距离等于棱长1,所以=××1=S故答案为:将三棱锥D1-EDF选择△D1ED为底面,F为顶点,进行等体积转化V D 1-EDF=V F -D1ED后体积易求.本题考查了三棱柱体积的计算,等体积转化法是常常需要优先考虑的策略.16.【答案】[,+∞)【解析】解:根据题意,函数y=ax2(a>0)与函数y=e x在(0,+∞)上有公共点,令ax2=e x得:,设则,由f'(x)=0得:x=2,当x>2时,f'(x)>0,函数在区间(2,+∞)上是增函数,所以当x=2时,函数在(0,+∞)上有最小值,所以.故答案为:.由题意可得,ax2=e x有解,运用参数分离,再令,求出导数,求得单调区间、极值和最值,即可得到所求范围.本题考查导数的运用:求单调区间和极值、最值,考查函数方程的转化思想的运用,属于中档题.17.【答案】解:(1):f(x)=3x2+2(1-a)x-a(a+2),由题因为f(x)为偶函数,∴2(1-a)=0,即a=1.(2)∵曲线y=f(x)存在两条垂直于y轴的切线,∴关于x的方程f′(x)=3x2+2(1-a)x-a(a+2)有两个不相等的实数根,∴△=4(1-a)2+12a(a+2)>0,即4a2+4a+1>0,∴,∴a的取值范围为()∪().【解析】(1)求出导函数,利用函数的奇偶性求出a即可.(2)求出函数的导数,利用曲线y=f(x)存在两条垂直于y轴的切线,通过△>0求解即可.本题考查函数的导数的应用,切线方程的求法,考查计算能力.18.【答案】解:(1)根据题意,由表中的数据可得:=100+=100,=100+=100,则有,从而,故物理成绩更稳定;(2)由于x与y之间具有线性相关关系,则==0.5,则=100-0.5×100=50,则线性回归方程为=0.5x+50,当y=115时,x=130;建议:进一步加强对数学的学习,提高数学成绩的稳定性,将有助于物理成绩的进一步提高.【解析】(1)根据题意,由数据计算数学、物理的平均数、方差,进而分析可得答案;(2)根据题意,求出线性回归方程,据此分析可得答案.本题考查线性回归方程的计算,涉及数据的平均数、方差的计算,属于基础题.19.【答案】解:(1)当x<1时,f′(x)=-3x2+2x=-x(3x-2),令f′(x)=0,得x=0或x=.当x变化时,f′(x),f(x)的变化情况如下表:x(-∞,0) 0(0,)(,1)f′(x)- 0+ 0-f(x)极小值极大值∴当x=0时,函数f(x)取得极小值f(0)=0,函数f(x)取得极大值点为x=.(2)①当-1≤x<1时,f(x)=-x3+x2,由(1)知,函数f(x)在[-1,0]和[,1)上单调递减,在[0,]上单调递增.∵,∴f(x)在[-1,1)上的最大值为2.②当1≤x≤e时,f(x)=a ln x.当a≤0时,f(x)在[1,e],上单调递增,∴f(x)max=a.综上所述,当a≥2时,f(x)在[-1,e]上的最大值为a;当a<2时,f(x)在[-1,e]上的最大值为2.【解析】(1)当x<1时,求导函数,确定函数的单调性,可得f(x)在区间(-∞,1)上的极小值和极大值点;(2)分类讨论,确定函数的单调性,即可得到f(x)在[-1,e](e为自然对数的底数)上的最大值.本题考查导数知识的应用,考查函数的单调性与极值、最值,考查分类讨论的数学思想,属于中档题.20.【答案】证明:(Ⅰ)∵,AB=4,∴AB2=AE2+BE2,∴AE⊥EB,取AE的中点M,连结MD',则AD=D'E=2⇒MD'⊥AE,∵平面D'AE⊥平面ABCE,∴MD'⊥平面ABCE,∴MD'⊥BE,从而EB⊥平面AD'E,∴AD'⊥EB;解:(Ⅱ)以C为原点,CE为x轴,CB为y轴,过C作平面ABCE的垂线为z轴,如图建立空间直角坐标系,则A(4,2,0)、C(0,0,0)、B(0,2,0)、,E(2,0,0),从而=(4,0,0),,.设为平面ABD'的法向量,则,取z=1,得设为平面BD'E的法向量,则,取x=1,得因此,,有,即平面ABD'⊥平面BD'E,故二面角A-BD'-E的大小为90°.【解析】(Ⅰ)推导出AE⊥EB,取AE的中点M,连结MD',则MD'⊥BE,从而EB⊥平面AD'E,由此能证明AD'⊥EB;(Ⅱ)以C为原点,CE为x轴,CB为y轴,过C作平面ABCE的垂线为z轴,建立空间直角坐标系,利用向量法能求出二面角A-BD'-E的大小.本题考查线线垂直的证明,考查二面角的求法,考查空间中线线、线面、面面的性质等基础知识,考查运算求解能力,考查函数与方程思想,是中档题.21.【答案】解:(Ⅰ)(0.2+0.16)×1×50=18,这50路段为中度拥堵的有18个.(Ⅱ)设事件A“一个路段严重拥堵”,则P(A)=0.1,事件B至少一个路段严重拥堵”,则P=(1-P(A))3=0.729.P(B)=1-P()=0.271,所以三个路段至少有一个是严重拥堵的概率是0.271.(III)由频率分布直方图可得:分布列如下表:X30364260P0.10.440.360.1E(X)=30×0.1+36×0.44+42×0.36+60×0.1=39.96.此人经过该路段所用时间的数学期望是39.96分钟.【解析】(Ⅰ)利用(0.2+0.16)×1×50即可得出这50路段为中度拥堵的个数.(Ⅱ)设事件A“一个路段严重拥堵”,则P(A)=0.1,事件B至少一个路段严重拥堵”,则P=(1-P(A))3.P(B)=1-P()=0.271,可得三个路段至少有一个是严重拥堵的概率.(III)利用频率分布直方图即可得出分布列,进而得出数学期望.本题考查了频率分布直方图的应用、互斥事件的概率计算公式、数学期望,考查了推理能力与计算能力,属于中档题.22.【答案】解:(1)f′(x)=[ax-(1-a)]e x(x>0,a∈R),当a≥1时,f′(x)≥0,f(x)在(0,+∞)上递增;当0<a<1时,f(x)在(0,)上递减,在(,+∞)上递增;当a≤0时,f′(x)≤0,f(x)在(0,+∞)上递减.(2)依题意得(x-1)e x>kx-2对于x>0恒成立,方法一:令g(x)=(x-1)e x-kx+2(x≥0),则g′(x)=xe x-k(x≥0),当k≤0时,f(x)在(0,+∞)上递增,且g(0)=1>0,符合题意;当k>0时,易知x≥0时,g′(x)单调递增.则存在x0>0,使得,且g(x)在(0,x0]上递减,在[x0,+∞)上递增,∴,∴,,由得,0<k<2,又k∈Z,∴整数k的最大值为1.另一方面,k=1时,,g′(1)=e-1>0∴x0∈(,1),∈(1,2),∴k=1时成立.方法二:恒成立,令,则,令t(x)=(x2-x+1)e x-2(x>0),则t′(x)=x(x+1)e x>0,∴t(x)在(0,+∞)上递增,又t(1)>0,,∴存在x0∈(,1),使得,且h(x)在在(0,x0]上递减,在[x0,+∞)上递增,∴,又x0∈(,1),∴∈(1,),∴h(x0)∈(,2),∴k<2,又k∈Z,∴整数k的最大值为1.【解析】本题考查了函数的单调性,最值问题,考查导数的应用以及分类讨论思想,函数恒成立问题,是一道综合题.(1)求出函数的导数,通过讨论a的范围,求出函数的单调区间即可;(2)方法一:令g(x)=(x-1)e x-kx+2(x≥0),通过讨论k的范围,求出g(x)的最小值,从而确定k的最大值;方法二:分离参数k,得到恒成立,令,根据函数的单调性求出k的最大值即可.。
2018-2019学年第二学期期末考试高一年级数学试卷一、选择题(本大题共12小题,每小题5分,共60分.在每小题给出的四个选项中,只有一项是符合题目要求的)1.某电视台在因特网上就观众对其某一节目的喜爱程度进行调查,参加调查的人数为20000人,其中持各种态度的人数如表所示:电视台为了了解观众的具体想法和意见,打算从中抽选出100人进行更为详细的调查,为此要进行分层抽样,那么在分层抽样时,每类人中各应抽选出的人数为()A.25,25,25,25 B.48,72,64,16 C.20,40,30,10 D.24,36,32,82.某校为了解学生学习的情况,采用分层抽样的方法从高一1000人、高二1200人、高三n人中,抽取81人进行问卷调查.已知高二被抽取的人数为30,那么n=()A.860 B.720 C.1020 D.10403. 在中,,,则等于()A. 3B.C. 1D. 24.(1+tan20°)(1+tan25°)=()A.2 B.1 C.﹣1 D.﹣25.在△ABC中,若sin2A+sin2B<sin2C,则△ABC的形状是()A.锐角三角形B.直角三角形C.钝角三角形D.不能确定6.如图,给出的是的值的一个程序框图,判断框内应填入的条件是()A.i<99 B.i≤99 C.i>99 D.i≥997. 已知直线平面,直线平面,则下列命题正确的是()A. 若,则B. 若,则C. 若,则D. 若,则8.已知过点P(0,2)的直线l与圆(x﹣1)2+y2=5相切,且与直线ax﹣2y+1=0垂直,则a=()A.2 B.4 C.﹣4 D.19.《数学九章》中对已知三角形三边长求三角形的面积的求法填补了我国传统数学的一个空白,与著名的海伦公式完全等价,由此可以看出我国古代已具有很高的数学水平,其求法是:“以小斜幂并大斜幂减中斜幂,余半之,自乘于上.以小斜幂乘大斜幂减上,余四约之,为实.一为从隔,开平方得积.”若把以上这段文字写成公式,即S=.现有周长为2+的△ABC满足sinA:sinB:sinC=(﹣1)::( +1),试用以上给出的公式求得△ABC的面积为()A. B. C. D.10.天气预报说,在今后的三天中,每一天下雨的概率均为40%.现采用随机模拟试验的方法估计这三天中恰有两天下雨的概率:先利用计算器产生0到9之间取整数值的随机数,用1,2,3,4表示下雨,用5,6,7,8,9,0表示不下雨;再以每三个随机数作为一组,代表这三天的下雨情况.经随机模拟试验产生了如下20组随机数:907 966 191 925 271 932 812 458 569 683431 257 393 027 556 488 730 113 537 989据此估计,这三天中恰有两天下雨的概率近似为()A.0.35 B.0.25 C.0.20 D.0.1511.在区间(0,3]上随机取一个数x,则事件“0≤log2x≤1”发生的概率为()A.B.C.D.12.已知函数f(x)=sin2x向左平移个单位后,得到函数y=g(x),下列关于y=g(x)的说法正确的是()A.图象关于点(﹣,0)中心对称B.图象关于x=﹣轴对称C.在区间[﹣,﹣]单调递增D.在[﹣,]单调递减二、填空题(共4小题,每小题5分,满分20分)13.函数f(x)=Asin(ωx+φ)+b的图象如图所示,则f(x)的解析式为.14.在△ABC中,内角A、B、C所对应的边分别为a、b、c,若bsinA﹣acosB=0,则A+C= .15. 已知直线的倾斜角为,则直线的斜率为__________.16.已知正实数x,y满足x+2y﹣xy=0,则x+2y的最小值为8y的取值范围是.三、解答题(本大题共6小题,共70分.第17题10分,其它均12分)17.某同学用“五点法”画函数f (x )=Asin (ωx+φ)(ω>0,|φ|<)在某一个周期内的图象时,列表并填入了部分数据,如表:(1)请将上表数据补充完整,填写在相应位置,并直接写出函数f (x )的解析式;(2)将y=f (x )图象上所有点向左平行移动θ(θ>0)个单位长度,得到y=g (x )的图象.若y=g (x )图象的一个对称中心为(,0),求θ的最小值.18. 在中,内角所对的边分别为,且.(1)求;(2)若,且的面积为,求的值.19.设函数f (x )=mx 2﹣mx ﹣1.若对一切实数x ,f (x )<0恒成立,求实数m 的取值范围.20.已知函数f (x )=cosx (sinx+cosx )﹣. (1)若0<α<,且sin α=,求f (α)的值;(2)求函数f (x )的最小正周期及单调递增区间.21.根据国家环保部新修订的《环境空气质量标准》规定:居民区PM2.5的年平均浓度不得超过35微克/立方米,PM2.5的24小时平均浓度不得超过75微克/立方米.我市环保局随机抽取了一居民区2016年20天PM2.5的24小时平均浓度(单位:微克/立方米)的监测数据,数据统计如表(1)从样本中PM2.5的24小时平均浓度超过50微克/立方米的天数中,随机抽取2天,求恰好有一天PM2.5的24小时平均浓度超过75微克/立方米的概率;(2)将这20天的测量结果按上表中分组方法绘制成的样本频率分布直方图如图.①求图中a的值;②求样本平均数,并根据样本估计总体的思想,从PM2.5的年平均浓度考虑,判断该居民区的环境质量是否需要改善?并说明理由.22.(12分)(2016秋•德化县校级期末)已知f(x)=sin2(2x﹣)﹣2t•sin(2x﹣)+t2﹣6t+1(x∈[,])其最小值为g(t).(1)求g(t)的表达式;(2)当﹣≤t≤1时,要使关于t的方程g(t)=kt有一个实根,求实数k的取值范围.参考答案:一、选择题(本大题共12小题,每小题5分,共60分.在每小题给出的四个选项中,只有一项是符合题目要求的)1.D2.D3.D4.A5.C6.B7. B8.C9.A10.B11.C12.C二、填空题(共4小题,每小题5分,满分20分)13..14.120°. 15. 16. 8;(1,+∞).三、解答题(本大题共6小题,共70分.第17题10分,其它均12分)17.(1)根据表中已知数据,解得A=5,ω=2,φ=﹣.数据补全如下表:且函数表达式为f(x)=5sin(2x﹣).(2)由(Ⅰ)知f(x)=5sin(2x﹣),得g(x)=5sin(2x+2θ﹣).因为y=sinx的对称中心为(kπ,0),k∈Z.令2x+2θ﹣=kπ,解得x=,k∈Z.由于函数y=g(x)的图象关于点(,0)成中心对称,令=,解得θ=,k∈Z.由θ>0可知,当K=1时,θ取得最小值.18. (1) ;(2). 19.(﹣4,0].20.(1)∵0<α<,且sinα=,∴cosα=,∴f(α)=cosα(sinα+cosα)﹣=×(+)﹣=;(2)∵函数f(x)=cosx(sinx+cosx)﹣=sinxcosx+cos2x﹣=sin2x+﹣=(sin2x+cos2x)=sin(2x+),∴f(x)的最小正周期为T==π;令2kπ﹣≤2x+≤2kπ+,k∈Z,解得kπ﹣≤x≤kπ+,k∈Z;∴f(x)的单调增区间为[kπ﹣,kπ+],k∈Z..21.1) P==.(2)a=0.00422.(1)∵x∈[,],∴sin(2x﹣)∈[﹣,1],∴f(x)=[sin(2x﹣﹣t]2﹣6t+1,当t<﹣时,则当sinx=﹣时,f(x)min=;当﹣≤t≤1时,当sinx=t时,f(x)min=﹣6t+1;当t>1时,当sinx=1时,f(x)min=t2﹣8t+2;∴g(t)=(2)k≤﹣8或k≥﹣5.。
2023-2024学年山东省泰安市高二上学期期末数学试题一、选择题:本题共8小题,每小题5分,共40分.在每小题给出的四个选项中,只有一项是符合题目要求的.1.若直线1:1l y kx =+与直线2:3l y x =平行,则实数k 的值为()A.13-B.13C.3D.3【正确答案】D【分析】利用两直线平行斜率相等,求出实数k 的值.【详解】因为直线1:1l y kx =+与直线2:3l y x =平行,所以两直线斜率相等,即3k =.故选:D.2.已知等差数列{}n a 的首项13a =,公差2d =,则5a =()A.7B.9C.11D.13【正确答案】C【分析】根据等差数列的通项公式可算出答案.【详解】因为等差数列{}n a 的首项13a =,公差2d =,所以5143811a a d =+=+=故选:C本题考查的是等差数列的通项公式,较简单.3.已知椭圆2212516x y +=上的点P 到椭圆一个焦点的距离为7,则P 到另一焦点的距离为()A.2B.3C.5D.7【正确答案】B【分析】根据椭圆的定义列方程,求得P 到另一个焦点的距离.【详解】根据椭圆定义可知,P 到两个焦点的距离之和为22510a =´=,所以P 到另一个焦点的距离为1073-=.故选:B.本小题主要考查椭圆的定义,属于基础题.4.已知空间向量()2,1,2a =- ,()4,2,b x =- 满足a b ⊥,则实数x 的值是()A.5-B.4- C.4 D.5【正确答案】D【分析】由已知条件得出0a b ⋅=,结合空间向量数量积的坐标运算可求得实数x 的值.【详解】由已知条件得出()241222100a b x x ⋅=⨯--⨯+=-=,解得5x =.故选:D.5.已知圆2260x y x +-=,过点(1,2)的直线被该圆所截得的弦的长度的最小值为()A.1 B.2C.3D.4【正确答案】B【分析】当直线和圆心与点(1,2)的连线垂直时,所求的弦长最短,即可得出结论.【详解】圆2260x y x +-=化为22(3)9x y -+=,所以圆心C 坐标为(3,0)C ,半径为3,设(1,2)P ,当过点P 的直线和直线CP 垂直时,圆心到过点P 的直线的距离最大,所求的弦长最短,此时||CP ==根据弦长公式得最小值为2==.故选:B.本题考查圆的简单几何性质,以及几何法求弦长,属于基础题.6.我国古代数学著作《九章算术》中有如下问题:“今有女子善织,日自倍,五日织五尺…”其大意为:“有一位善于织布的女子,每天织的布都是前一天的2倍,5天共织了5尺布…”.那么该女子第一天织布的尺数为()A.431B.531C.631D.1031【正确答案】B【分析】设第一天织布的尺数为x ,则由题意有()234122225x ++++=,据此可得答案.【详解】设第一天织布的尺数为x ,则()234122225x ++++=52153152131x x x -⇒⋅==⇒=-.故选:B7.设A 、B 是y 轴上的两点,点P 的横坐标为2,且PA PB =,若直线PA 的方程为10x y -+=,则直线PB 的方程为()A.50x y +-= B.210x y --=C.270x y +-= D.30x y +-=【正确答案】A【分析】根据直线PA 的方程,确定出PA 的倾斜角,利用PA PB =且A 、B 在y 轴上,可得PB 的倾斜角,求出P 的坐标,然后求出直线PB 的方程.【详解】解:由于直线PA 的方程为10x y -+=,故其倾斜角为45︒,又||||PA PB =,且A 、B 是y 轴上两点,故直线PB 的倾斜角为135︒,又当2x =时,3y =,即(2,3)P ,∴直线PB 的方程为3(2)y x -=--,即50x y +-=.故选:A .8.,,PA PB PC 是从点P 出发的三条射线,每两条射线的夹角均为60︒,那么直线PC 与平面PAB 所成角的余弦值是() A.63B.33C.2D.12【正确答案】B【分析】作图,找到直线PC 在平面PAB 上的投影在构建多个直角三角形,找出边与角之间的关系,继而得到线面角;也可将,,PA PB PC 三条射线截取出来放在正方体中进行分析.【详解】解法一:如图,设直线PC 在平面PAB 的射影为PD,作CG PD ⊥于点G ,CH PA ⊥于点H ,连接HG ,易得CG PA ⊥,又,,CH CG C CH CG ⋂=⊂平面CHG ,则PA ⊥平面CHG ,又HG ⊂平面CHG ,则PA HG ⊥,有cos cos cos PH CPA PC PG PH PH CPD APD PC PG PC ⎧∠=⎪⎪⎨⎪∠⨯∠==⎪⎩故cos cos cos CPA CPD APD ∠=∠⨯∠.已知60,30APC APD ∠=︒∠=︒,故cos cos60cos cos cos303CPA CPD APD ∠︒=∠︒∠==为所求.解法二:如图所示,把,,PA PB PC 放在正方体中,,,PA PB PC 的夹角均为60︒.建立如图所示的空间直角坐标系,设正方体棱长为1,则(1,0,0),(0,0,1),(1,1,1),(0,1,0)P C A B ,所以(1,0,1),(0,1,1),(1,1,0)PC PA PB =-==-,设平面PAB 的法向量(,,)n x y z = ,则0n PA y z n PB x y ⎧⋅=+=⎪⎨⋅=-+=⎪⎩令1x =,则1,1y z ==-,所以(1,1,1)n =-,所以6cos ,3||||23PC n PC n PC n ⋅-〈〉===⋅⨯.设直线PC 与平面PAB 所成角为θ,所以6sin |cos ,|3PC n θ=〈〉=,所以23cos 1sin 3θθ=-=故选B .二、选择题:本题共4小题,每小题5分,共20分.在每小题给出的选项中,有多项符合题目要求.全部选对的得5分,部分选对的得2分,有选错的得0分.9.下列说法正确的是()A.直线()24R y ax a a =-+∈必过定点()2,4B.直线310x y --=在y 轴上的截距为1C.过点()2,3-且垂直于直线230x y -+=的直线方程为210x y ++=D.直线310x +=的倾斜角为120°【正确答案】AC【分析】对于A ,整理直线方程,合并出参数的系数,令其等于零,建立方程,可得答案;对于B ,将0x =代入直线方程,结合截距的定义,可得答案;对于C ,根据直线之间的垂直关系,设未知直线方程,代入点,可得答案;对于D ,根据直线的一般式方程,明确直线的斜率,可得答案.【详解】对于A ,由直线方程24y ax a =-+,整理可得()24y a x =-+,当2x =时,4y =,故A 正确;对于B ,将0x =代入直线方程310x y --=,可得10y --=,解得1y =-,故B 错误;对于C ,由直线方程230x y -+=,则其垂线的方程可设为20x y C ++=,将点()2,3-代入上式,可得()2230C ⨯-++=,解得1=C ,则方程为210x y ++=,故C 正确;对于D,由直线方程10x ++=,可得其斜率为33-,设其倾斜角为θ,则3tan 3θ=-,解得150θ= ,故D 错误.故选:AC.10.已知椭圆22:142x y C +=内一点11,2M ⎛⎫ ⎪⎝⎭,过点M 的直线l 与椭圆C 交于A ,B 两点,且M是线段AB 的中点,椭圆的左,右焦点分别为1F ,2F ,则下列结论正确的是()A.椭圆C 的焦点坐标为()2,0,()2,0-B.椭圆C 的长轴长为4C.直线1MF 与直线2MF 的斜率之积为14- D.2153AB =【正确答案】BCD【分析】根据椭圆的几何性质、点差法、以及弦长公式求得正确答案.【详解】依题意,椭圆22:142x y C +=,所以2,a b c ===,所以焦点坐标为)()12,F F ,A 选项错误.长轴长24a =,B 选项正确.12111224MF MF k k ⋅==-,C 选项正确.设()()1122,,,A x y B x y ,则222211221,14242x y x y +=+=,两式相减并化简得12121212121212121212,,1412y y y y y y y y x x x x x x x x +----=⋅⋅=-=-+---,即直线AB 的斜率为1-,直线AB 的方程为()131,22y x y x -=--=-+,由2232142y x x y ⎧=-+⎪⎪⎨⎪+=⎪⎩消去y 并化简得261210x x -+=,所以121212,6x x x x +=⋅=,所以3AB ==.故选:BCD11.已知数列{}n a 的前n 项和()2*123N 43n S n n n =++∈,则下列结论正确的是()A.数列{}n a 是递增数列 B.数列{}n a 不是等差数列C.2a ,4a ,6a 成等差数列D.63S S -,96S S -,129S S -成等差数列【正确答案】BCD【分析】由n a 与n S 的关系推导出数列{}n a 的通项公式,判断选项A ,B ,分别计算出2a ,4a ,6a 和63S S -,96S S -,129S S -,结合等差数列的定义判断选项C ,D.【详解】()2*12S 3N 43n n n n =++∈ ,2n ∴≥时,()()22112121531134343212n n n a S S n n n n n -⎡⎤=-=++--+-+=+⎢⎥⎣⎦,1n =时,114712a S ==,即47,11215,2212n n a n n ⎧=⎪⎪=⎨⎪+≥⎪⎩,*N n ∈.2117471212a a =<= ,因此数列{}n a 不是单调递增数列,故A 错误;又1n =时,不满足15212n a n =+,∴数列{}n a 不是等差数列,故B 正确;21712a =,42912a =,64112a =,因此2a ,4a ,6a 成等差数列,故C 正确;()63456153545632124S S a a a -=++=⨯+++⨯=,()96789155378932124S S a a a -=++=⨯+++⨯=,()129101112157110111232124S S a a a -=++=⨯+++⨯=.6396129,,S S S S S S ∴---成等差数列,故D 正确.故选:BCD.12.平行六面体ABCD A B C D -''''中,各棱长均为2,设A AB A AD DAB θ''∠=∠=∠=,则下列结论中正确的有()A.当2πθ=时,AC '=B.AC '和BD 总垂直C.θ的取值范围为2(0,3πD.θ=60°时,三棱锥C C B D -'''的外接球的体积是【正确答案】ABC【分析】对于A ,求正方体对角线即可判断;对于B ,利用空间向量数量积运算即可判断;对于C ,由正三棱锥A A BD '-的高与斜高的关系即可计算判断;对于D ,求出正四面体C CB D -'''外接球体积判断作答.【详解】平行六面体ABCD A B C D -''''中,各棱长均为2,设A AB A AD DAB θ''∠=∠=∠=,对于A ,2πθ=时,该平行六面体为正方体,其体对角线长AC '=,A 正确;对于B ,AC AB AA AD '=++' ,BD AD AB =-,因此,22()()AC BD AB AA AD AD AB AD AB AA AD AA AB '⋅++--⋅'''=-⋅⋅=+ 22224cos 4cos 0θθ=-+=-,B 正确;对于C ,连接,,BD A B A D '',如图,依题意,A A BD '-为正三棱锥,取BD 中点E ,令O 为正A BD ' 的中心,连,,AE AO EO ,有AO ⊥平面A BD ',正三棱锥A A BD '-的斜高cos2cos 22AE AB θθ==,2sin 4sin 22BD AB θθ==,则33sin 632OE BD θ==,显然,AE OE >,即232cos sin232θθ>,则tan 32θ<锐角(0,)23θπ∈,从而得2(0,)3πθ∈,C 正确;对于D ,当60θ= 时,三棱锥C C B D -'''为正四面体,三棱锥A A BD '-也是正四面体,它们全等,由C 选项知,2222322(3)()33AO AE OE =-=-=A A BD '-的外接球球心在线段AO 上,设球半径为r ,则有222()r AO r OB =-+,整理得222(2)AO r AO OE ⋅=+,解得62r =,于是得三棱锥C C B D -'''外接球的体积346632V ππ=⨯=,D 不正确.故选:ABC关键点睛:几何体的外接球的表面积、体积计算问题,借助球的截面小圆性质确定出球心位置是解题的关键.三、填空题:本题共4小题,每小题5分,共20分.13.准线方程为2x =的抛物线的标准方程是_______.【正确答案】28y x=-【详解】抛物线的准线方程为2x =,说明抛物线开口向左,且224p =⨯=,所以抛物线的标准方程是28y x =-.14.已知双曲线C 的对称轴为坐标轴,中心是坐标原点,渐近线方程为43y x =±,请写出双曲线C 的一个离心率______.【正确答案】53(答案不唯一)【分析】分类讨论双曲线C 的焦点在x 轴、y 轴两种情况,结合双曲线的渐近线方程及离心率公式计算可得.【详解】当双曲线C 的焦点在x 轴时,其渐近线为by x a =±,则43b a =,所以离心率53c e a ====,当双曲线C 的焦点在y 轴时,其渐近线为a y x b =±,则43a b =,即34b a =,所以离心率54c e a ====,综上,可得双曲线的离心率为53或54.故53(答案不唯一).15.如图甲是第七届国际数学教育大会(简称7ICME -)的会徽图案,会徽的主体图案是由如图乙的一连串直角三角形演化而成的,其中11223781OA A A A A A A ===== ,如果把图乙中的直角三角形继续作下去,记12,,,n OA OA OA ⋅ 的长度构成数列{}n a ,则此数列的通项公式为n a =_____.【分析】由图可知1122378...1OA A A A A A A =====,由勾股定理可得2211n n a a -=+,利用等差数列的通项公式求解即可.【详解】根据图形1122378...1OA A A A A A A =====,因为122378...OA A OA A OA A ∆∆∆、都是直角三角形,2211n n a a -∴=+,2n a ∴是以1为首项,以1为公差的等差数列,()2111n a n n ∴=+-⨯=,n a ∴=.本题主要考查归纳推理的应用,等差数列的定义与通项公式,以及数形结合思想的应用,意在考查综合应用所学知识解答问题的能力,属于与中档题.16.已知过点()4,1P 的直线与椭圆22:142x y C +=相交于不同的两点A 和B ,在线段AB 上存在点Q ,满足AP QB AQ PB ⋅=⋅,则OQ 的最小值为______.【分析】设()11,A x y ,()22,B x y ,(),Q x y ,由,,,A P B Q 四点共线,用向量共线关系表示,A B 两点坐标,又点,A B 在椭圆上,把坐标代入椭圆方程,得出Q 点在一条定直线上,再求最短距离即可.【详解】设()11,A x y ,()22,B x y ,(),Q x y ,由AP QB AQ PB ⋅=⋅,记AP PB AQ QB =,又,,,A P B Q 四点共线,设PA AQ λ= ,则由已知0λ>,且1λ≠,PB BQ λ=-.由PA AQ λ=,得()()11114,1,x y x x y y λ--=--,解得114111x x y y λλλλ+⎧=⎪⎪+⎨+⎪=⎪+⎩,同理PB BQ λ=- ,得()()22224,1,x y x x y y λ--=---,解得224111x x y y λλλλ-⎧=⎪⎪-⎨-⎪=⎪-⎩,因为点A 在椭圆上,所以224111142x y λλλλ++⎛⎫⎛⎫ ⎪ ⎪++⎝⎭⎝⎭+=,即()()()22241142x y λλλ+++=+,①同理点B 在椭圆上,所以224111142x y λλλλ--⎛⎫⎛⎫⎪ ⎪--⎝⎭⎝⎭+=,即()()()22241142x y λλλ--+=-,②①-②得164442x yλλλ+=,因为0λ>所以220x y +-=,故点Q 在定直线220x y +-=上,OQ 的最小值为点O 到直线220x y +-=的距离255d ==.故答案为.5解析几何中线段定比分点问题方法点睛:1.在平面直角坐标系中,已知()11,A x y ,()22,B x y ,(),P x y ,且AP PB λ=,0λ≠,且1λ≠-,那么我们就说P 分有向线段AB 的比为λ,则有:121211x x x y y y λλλλ+⎧=⎪⎪+⎨+⎪=⎪+⎩,这就是定比分点坐标公式.当P 为内分点时,0λ>;当P 为外分点时,0λ<(1λ≠-).2.这个公式在解决解析几何中向量共线或者点共线问题有着很强大的作用,运用好往往可以几步就解决一个大题.四、解答题:本题共6小题,共70分.解答应写出文字说明、证明过程或演算步骤.17.如图,直线2y x =-与抛物线22y x =相交于A ,B两点.(1)求线段AB 的长;(2)证明:OA OB ⊥.【正确答案】(1);(2)证明见解析.【分析】(1)联立直线的方程和抛物线的方程,结合根与系数关系求得AB .(2)根据根与系数关系、向量数量积等知识证得结论成立.【小问1详解】设()11,A x y ,()22,B x y ,由222y x y x=-⎧⎨=⎩,得2640x x -+=.126x x +=,124x x =,所以AB ==.【小问2详解】由(1)知:126x x +=,124x x =,所以()121212122240OA OB x x y y x x x x ⋅=+=-++=,所以OA OB ⊥ ,所以OA OB ⊥.18.如图,在三棱锥O ABC -中,OA ,OB ,OC 两两垂直,3OA OC ==,2OB =.(1)求点B 到直线AC 的距离;(2)求直线OB 与平面ABC 所成角的正弦值.【正确答案】(1)342(2)17【分析】(1)建立空间直角坐标系,利用点与直线距离的空间向量法计算可得.(2)利用直线与平面夹角的空间向量法计算可得【小问1详解】解:以O 为坐标原点,OB ,OC ,OA方向分别为x ,y ,z 轴正方向,建立如图所示的空间直角坐标系,则()0,0,3A ,()2,0,0B ,()0,3,0C ,所以()2,0,3AB =- ,()0,3,3AC =-,()2,0,0OB = .取()2,0,3a AB ==- ,220,,22AC u AC ⎛⎫==- ⎪ ⎪⎝⎭,则213a = ,322a u ⋅= ,所以点B 到直线AC ()229341322a a u-⋅=-=.【小问2详解】解:设(),,n x y z = 是平面ABC 的一个法向量,则00AB n AC n ⎧⋅=⎪⎨⋅=⎪⎩,所以230330x z y z -=⎧⎨-=⎩,取2z =,解得32x y =⎧⎨=⎩,所以()3,2,2n = .设直线OB 与平面ABC 所成角为θ,则317sin cos ,17217OB n OB n OB nθ⋅===⨯⋅ ,所以直线OB 与平面ABC 所成角的正弦值为31717.19.在数列{}n a 的首项为11a =,且满足132nn n a a ++=⋅.(1)求证:{}2nn a -是等比数列.(2)求数列{}n a 的前n 项和n S .【正确答案】(1)证明见解析;(2)1122,23,n n n n S n ++⎧-=⎨-⎩为偶数为奇数.【分析】(1)由132nn n a a +=-+⋅,化简得到11212n n nn a a ++-=--,结合等比数列的定义,即可求解;(2)由(1)求得(1)2nnn a =-+,分当n 为偶数和当n 为奇数,两种情况讨论,结合等比数列的求和公式,即可求解.【详解】(1)由题意,数列{}n a 满足132nn n a a ++=⋅,即132nn n a a +=-+⋅,则111232221222n n n n n n nn n nn n n a a a a a a +++--+⋅--===----,又由11a =,可得1121a -=-,所以数列{}2nn a -表示首项为1-,公比为1-的等比数列.(2)由(1)知121(1)(1)nn n n a --=-⨯-=-,所以(1)2n n n a =-+,所以12=222(1)1(1)nnn S ++++-+++- ,当n 为偶数时,可得12(12)=02212nn n S +-+=--;当n 为奇数时,可得12(12)=12312nn n S +--=--,综上可得,1122,23,n n n n S n ++⎧-=⎨-⎩为偶数为奇数.20.已知两个定点()1,0M -,()1,0N ,动点P满足MP =.(1)求点P 的轨迹方程;(2)若点N 到直线PM 的距离为1,求直线PN 的方程.【正确答案】(1)22610x y x +-+=(2)1y x =-或1y x =-+【分析】(1)设点(),P x y,后由MP =结合两点间距离公式可得轨迹方程;(2)由点N 到直线PM 的距离为1,可得30PMN ∠=︒,则可得直线PM 方程为()313y x =+或()313y x =-+,将直线方程与轨迹方程联立可得点P 坐标,后可得直线PN 方程.【小问1详解】设点P 的坐标为(),x y,因为MP =,=整理得22610x y x +-+=,所以点P 的轨迹方程为22610x y x +-+=.【小问2详解】因为点N 到直线PM 的距离为1,2MN =,所以30PMN ∠=︒,直线PM 的斜率为33或33-,所以直线PM 的方程为()313y x =+或()313y x =-+.联立轨迹方程与()13y x =±+,可得()222610410313x y x x x y x ⎧+-+=⎪⇒-+=⎨=+⎪⎩,解得2x =或2x =-.得直线PM 的方程为()313y x =+时,P的坐标为(2++或(21-.直线PM 的方程为()313y x =-+时,P 的坐标为(21+--或(2.当P的坐标为(2+时,直线PN的方程为:11y x ==-,即1y x =-.P的坐标为(21-+时,直线PN的方程为:11y x ==--,即1y x =-+.P的坐标为(21+--时,直线PN的方程为:11y x ==--,即1y x =-+.P的坐标为(2-时,直线PN的方程为:11y x ==-,即1y x =-.综上可得直线PN 的方程为1y x =-或1y x =-+21.歇山顶,即歇山式屋顶,为古代汉族建筑屋顶样式之一,宋朝称九脊殿、曹殿或厦两头造,清朝改称歇山顶,又名九脊顶,其屋顶(上半部分)类似于五面体形状.如图所示的五面体EF ABCD -的底面ABCD 为一个矩形,28AB EF ==,6AD =,//EF AB ,棱5EA ED FB FC ====,M ,N 分别是AD ,BC 的中点.(1)求证:平面EFNM ⊥平面ABCD ;(2)求平面BFC 与平面EFCD 夹角的余弦值.【正确答案】(1)证明见解析(2)2114【分析】(1)证明EM AD ⊥以及MN AD ⊥,根据面面垂直的判定定理即可证明结论;(2)建立空间直角坐标系,求得相关点坐标,求得平面BFC 与平面EFCD 法向量,根据向量的夹角公式即可求解.【小问1详解】因为EA ED =,M 为AD 的中点,所以EM AD ⊥.在矩形ABCD 中,M ,N 分别是AD ,BC 的中点,所以MNAD ⊥.又EM MN M ⋂=,EM ,MN ⊂平面EFNM ,所以AD ⊥平面EFNM .又AD ⊂平面ABCD ,所以平面EFNM ⊥平面ABCD .【小问2详解】在平面EFNM 中,过F 作FH MN ⊥,H 为垂足.因为平面EFNM ⊥平面ABCD ,平面EFNM ⋂平面ABCD MN =,FH ⊂平面EFNM ,所以FH ⊥平面ABCD .过H 作BC 的平行线,交AB 于点S ,则3HS =,2HN =,3HF =,以H 为坐标原点,以HS ,HN ,HF方向分别为x 轴,y 轴,z 轴正方向,建立如图所示的空间直角坐标系,则()3,2,0B ,()3,2,0C -,()3,6,0D --,(0,0,23F ,所以(3,2,3BF =-- ,()6,0,0BC =- ,(3,2,23CF =- ,()0,8,0CD =-.设平面EFCD 的一个法向量为(),,m x y z = ,则00CF m CD m ⎧⋅=⎪⎨⋅=⎪⎩,所以3223080x y z y ⎧-+=⎪⎨-=⎪⎩,取3z =,解得2x y =-⎧⎨=⎩,所以(3m =- ,同理可得平面BFC 的一个法向量为()3,1n =.设平面BFC 与平面EFCD 夹角为θ.则21cos cos ,14m n m n m nθ⋅=<>==⋅ ,所以平面BFC 与平面EFCD 夹角的余弦值为2114.22.已知双曲线()2222:10,0x y C a b a b-=>>的左,右顶点分别为A ,B ,过点()6,0D 且不与x 轴重合的动直线交双曲线C 于P ,Q 两点,当直线PQ 与x 轴垂直时,4PD BD ==.(1)求双曲线C 的标准方程;(2)设直线AP ,AQ 和直线x t =分别交于点M ,N ,若MD ND ⊥恒成立,求t 的值.【正确答案】(1)22142x y -=(2)14t =或103t =【分析】(1)由4PD BD ==可得a 的值,再将点()6,4P 代入即可求解;(2)设直线PQ 的方程为6x my =+,与双曲线方程联立,利用韦达定理求出直线AP 的方程,求出点,M N 的坐标,利用MD ND ⊥即可求出结果.【小问1详解】由题知,当PQ 与x 轴垂直时,4PD BD ==,所以642a OD BD =-=-=,()6,4P ,所以2236414b -=,解得22b =,所以双曲线C 的方程为22142x y -=.【小问2详解】设直线PQ 的方程为6x my =+,()11,P x y ,()22,Q x y ,由226142x my x y =+⎧⎪⎨-=⎪⎩,得()22212320m my y -++=,所以122122m y y m +=--,122322y y m =-.直线AP 的方程为()1122y y x x =++,与x t =联立,解得()112,2t y M t x +⎛⎫⎪+⎝⎭.同理可得()222,2t y N t x +⎛⎫⎪+⎝⎭.所以()1126,2t y DM t x +⎛⎫ ⎪⎝⎭=-+ ,()2226,2t y DN t x +=-+⎛⎫⎪⎝⎭,因为MD ND ⊥恒成立,所以0DM DN ⋅=恒成立,又()()()()2212126222y y DM DN t t x x ⋅=-++++ ()()()()2212126288y y t t my my =-++++()()()21222112262864m y y m y y y y t t ++=++-+()()221624t t =--+所以()()22462t t -=+,解得14t =或103t =.。
高二期末考试数学试题(文科)一,选择题(每小题5分,共60分)1.命题“”地否定是( )A. B.C. D.【结果】C【思路】【思路】依据特称命题地否定是全称命题即可得到结论.【详解】依据题意,先改变量词,然后否定结论,可得原命题地否定是:“”,故选C.【点睛】本题主要考查特称命题地否定,其方式是先改变量词,然后否定结论。
全称性命题地否定地方式也是如此.2.为了解名学生地学习情况,采用系统抽样地方式,从中抽取容量为地样本,则分段地间隔为()A. B. C. D.【结果】C【思路】试题思路:由题意知,分段间隔为,故选C.考点:本题考查系统抽样地定义,属于中等题.3.以下茎叶图记录了甲,乙两组各五名学生在一次英语听力测试中地成绩(单位:分).已知甲组数据地中位数为15,乙组数据地平均数为16.8,则x,y地值分别为( )A. 2,5B. 5,5C. 5,8D. 8,8【结果】C【思路】【思路】识别茎叶图,依据中位数,平均数地定义,可求出x,y地值.【详解】依据茎叶图中地数据可得:甲组数据是9,12,10+x,24,27。
它地中位数是15,可得10+x=15,解得:x=5。
乙组数据地平均数为:,解得:y=8,所以x,y地值分别为5和8,故选C.【点睛】本题主要考查茎叶图及中位数,平均数地定义,依据茎叶图得到各数据进行求解是解题地关键.4.已知椭圆地左焦点为则m=()A. 2B. 3C. 4D. 9【结果】B【思路】试题思路:由题意,知该椭圆为横椭圆,所以,故选B.考点:椭圆地几何性质.5.执行如图所示地程序框图,输出地s值为( )A. 2B.C.D.【结果】C【思路】试题思路:时,成立,第一次进入循环:。
成立,第二次进入循环:。
成立,第三次进入循环:,不成立,输出,故选C.【名师点睛】解决此类型问题时要注意:第一,要明确是当型循环结构,还是直到型循环结构,并依据各自地特点执行循环体。
第二,要明确图中地累计变量,明确每一次执行循环体前和执行循环体后,变量地值发生地变化。
荆门市2018—2019学年度上学期期末高二年级质量检测数学(文科)一,选择题:本大题共12个小题,每小题5分,共60分.在每小题给出地四个选项中,只有一项是符合题目要求地.1.经过点,倾斜角为地直线方程为 A. B. C. D.【结果】D【思路】【思路】先求出直线地斜率,再由点斜式求得直线地方程.【详解】倾斜角为地直线地斜率,再依据直线经过点,由点斜式求得直线地方程为,即,故选:D.【点睛】本题考查了由点斜式地方式求直线地方程,属于基础题.2.为了解某地区地中小学生视力情况,拟从该地区地中小学生中抽取部分学生进行调查,事先已了解到该地区小学,初中,高中三个学段学生地视力情况有较大差异,而男女生视力情况差异不大,在下面地抽样方式中,最正确地抽样方式是( )A. 简单随机抽样B. 按分层抽样C. 按学段分层抽样D. 系统抽样【结果】C【思路】试题思路:符合分层抽样法地定义,故选C.考点:分层抽样.3.阅读如图地程序框图,运行相应地程序,若输入N地值为15,则输出N地值为 A. 0B. 1C. 2D. 3【结果】D【思路】【思路】该程序地功能是利用循环结构计算并输出变量N地值,思路循环中各变量值地变化情况,可得结果.【详解】模拟程序地运行,可得满足款件N能被3整除,不满足款件,执行循环体,不满足款件N能被3整除,不满足款件,执行循环体,不满足款件N能被3整除,满足款件,退出循环,输出N地值为3.故选:D.【点睛】本题考查了程序框图地应用问题,解题时应模拟程序框图地运行过程,属于基础题.4.复数A. 1B. -1C.D.【结果】D【思路】【思路】利用复数代数形式地乘除运算,再由虚数单位地性质求解.【详解】,.故结果为:【点睛】本题考查复数代数形式地乘除运算,考查复数地基本概念,是基础题.5.有四个游戏盘,将它们水平放稳后,在上面扔一颗玻璃小球,若小球落在阴影部分则可中奖,小明要想增加中奖机会,应选择地游戏盘是A. B. C. D.【结果】A【思路】由几何概型公式:A中地概率为,B中地概率为,C中地概率为,D中地概率为.本题选择A选项.点睛:解答几何概型问题地关键在于弄清题中地考察对象和对象地活动范围.当考察对象为点,点地活动范围在线段上时,用线段长度比计算。
石家庄市2018~2019学年度第一学期期末考试试题高二数学(文科)第Ⅰ卷(选择题,共60分)一,选择题:本大题共12个小题,每小题5分,共60分.在每小题给出地四个选项中,只有一项是符合题目要求地.1.命题“若则”地逆否命题是()A. 若则B. 若则C. 若则D. 若则【结果】B【思路】本题主要考查命题及其关系。
逆否命题是将原命题地款件与结论否定,然后再将否定后地款件和结论互换,故命题“若则”地逆否命题是“若,则”。
故选2.一个年级有22个班,每个班同学从1~50排学号,为了交流学习经验,要求每班学号为19地学生留下进行交流,这里运用地是A. 分层抽样法B. 抽签法C. 随机数表法D. 系统抽样法【结果】D【思路】【思路】依据系统抽样地定义进行判断即可.【详解】每个班同学以1﹣50排学号,要求每班学号为19地同学留下来交流,则数据之间地间距差相同,都为50,所以依据系统抽样地定义可知,这里采用地是系统抽样地方式.故选:D.【点睛】本题主要考查抽样地定义和应用,要求熟练掌握简单抽样,系统抽样和分层抽样地定义,以及它们之间地区别和联系,比较基础.3.抛物线地焦点坐标是A. B. C. D.【结果】B【思路】【思路】先将方程化简为标准形式,即可得焦点坐标.【详解】由抛物线可得x2=4y,故焦点坐标为(0,1)故选:B.【点睛】本题主要考查抛物线地简单性质,属于基础题.4.已知命题:,。
命题:,,则下面表达中正确地是A. 是假命题B. 是真命题C. 是真命题D. 是假命题【结果】C【思路】【思路】先判断命题地真假,进而求得复合命题真假判断真值表得到结果.【详解】命题p,,即命题p为真,对命题q,去 ,所以命题q为假,为真所以是真命题故选:C.【点睛】(1)对于一些简单命题,判断为真,许推理证明,若判断为假,只需找出一个反例即可。
(2)对于复合命题地真假判断应利用真值表。
(3)也可以利用“互为逆否命题”地等价性,通过判断其逆否命题地真假来判断原命题地真假.5.阅读下边地程序框图,运行相应地程序,则输出地值为A. -1B. 0C. 3D. 4【结果】D【思路】【思路】直接依据程序框图计算得出结果.【详解】由程序框图可知。
试卷类型:A山东省泰安市2014-2015学年高二上学期期末统考文科数学试卷2015.2一、选择题:本大题共10个小题,每小题5分,共50分.在每小题给出的四个选项中,只有一项是符合题目要求的.1.若a ∈R ,则“a =2”是“(a -l )(a -2)=0”的A .充分而不必要条件B .必要而不充分条件C .充要条件D .既不充分又不必要条件 2.准线方程为x=2的抛物线的标准方程是 A .y 2=-4x B .y 2=-8x C .y 2=-xD .y 2=-8x 3.等差数列{n a }的前n 项和为S n 。
且S 3=6,a 3=0,则公差d 等于A .2B .1C .-1D .-24.已知,,a b c R ∈∈尺,则下列命题正确的是A .22a b ac bc >⇒>B .a b a b c c>⇒> C. 110a b ab a b >⎫⇒>⎬<⎭ D. 110a b ab a b>⎫⇒>⎬>⎭ 5.△ABC 中,角A ,B ,C 所对边的长分别为a ,b ,c ,若a 2+b 2=2c 2,则cosC 的最小值为 A. 12B. 2C. 2D. 12- 6.设等比数列{n a }的公比q=2,前n 项和为S n ,则42S a = A.2 B.4 C. 152 D. 1727.函数的单调递减区间为A.(-1,1)B.[1,+∞]C.(0,+ ∞)D.(0,1] 8.在命题“若抛物线2y ax bx c =++的开口向下,则2{x |0}ax bx c ++<≠∅”的逆命题、否命题、逆否命题中真命魉的个数A .0B .1C .2D .39.若实数x 、y 满足10,0,0,x y x y x -+≥⎧⎪+≥⎨⎪≤⎩则z=3x+2y 的最大值是A .13B .9C .1D .310.等轴双曲线C 的中心在原点,焦点在x 轴上,过抛物线y 2=16x 的焦点F 且与x 轴垂直的直线交双曲线C 于A 、B 两点,若C 的实轴长为( )A .4B .8 CD .二、填空题:本大题共5个小题,每小题5分,共25分.请把答案填在答题纸的相应位置.11.不等式-2x 2+x+3<0的解集为 ▲ .12.在等差数列{n a }中,12,a =3a +5a =10,则7a = ▲ .13.设双曲线C 经过点(2,2),且与2214y x -=具有相同渐进线,则双曲线C 的方程为 ▲ .14.函数31(x)443f x x =-+在[0,3]上的最大值是 ▲ .15.如图,在山顶铁塔上B 处测得一点铁A 的俯角为α,在塔底C 处测得A 处的俯角为β,若铁塔高为m 米,则山高CD 为▲ 。
高二理科数学试题 第1页(共6页) 高二理科数学试题 第2页(共6页)绝密★启用前|学科网试题命制中心2018-2019学年上学期期末原创卷04高二理科数学(考试时间:120分钟 试卷满分:150分)注意事项:1.本试卷分第Ⅰ卷(选择题)和第Ⅱ卷(非选择题)两部分。
答卷前,考生务必将自己的姓名、准考证号填写在答题卡上。
2.回答第Ⅰ卷时,选出每小题答案后,用2B 铅笔把答题卡上对应题目的答案标号涂黑。
如需改动,用橡皮擦干净后,再选涂其他答案标号。
写在本试卷上无效。
3.回答第Ⅱ卷时,将答案写在答题卡上。
写在本试卷上无效。
4.测试范围:人教必修3+选修2-1。
5.考试结束后,将本试卷和答题卡一并交回。
第Ⅰ卷一、选择题(本题共12小题,每小题5分,共60分.在每小题给出的四个选项中,只有一项是符合题目要求的)1.某学校准备调查高三年级学生完成课后作业所需的时间,采取了两种抽样调查的方式:第一种由学生会的同学随机对24名同学进行调查;第二种由教务处对年级的240名学生编号,由001到240,请学号最后一位为3的同学参加调查,则这两种抽样方式依次为 A .分层抽样,简单随机抽样 B .简单随机抽样,分层抽样 C .分层抽样,系统抽样D .简单随机抽样,系统抽样2.若点(1,2)P --在抛物线y =ax 2(a ∈R ,a ≠0)的准线上,则实数a 的值为 A .8B .18C .4D .143.用秦九韶算法计算多项式6532()25238103,4f x x x x x x x =++-+-=-时,4v 的值为 A .92B .1529C .602D .148-4.已知变量x 与y 负相关,且由观测数据算得样本平均数4, 5.6x y ==,则由该观测的数据算得的线性回归方程可能是 A .0.44y x =+B . 1.20.7y x =+C .0.68y x =-+D .0.78.2y x =-+5.已知命题p :方程22153x y k k+=+-表示椭圆,命题q :-5<k <3,则p 是q 的A .充分不必要条件B .必要不充分条件C .充要条件D .既不充分也不必要条件6.小明每天上学都需要经过一个有交通信号灯的十字路口.已知十字路口的交通信号灯绿灯亮的时间为40秒,黄灯5秒,红灯45秒.如果小明每天到路口的时间是随机的,则小明上学时到十字路口需要等待的时间不少于20秒的概率是 A .34B .23C .12D .137.已知双曲线22221(0,0)x y a b a b-=>>的一条渐近线与x 2+(y -2)2=1没有公共点,则双曲线离心率的取值范围是 A .(1,2)B .(1,2]C .(1,+∞)D .(2,+∞)8.有一个容量为200的样本,其频率分布直方图如图所示,根据样本的频率分布直方图估计,通过分层抽样抽取一些样本进行数据分析,如果在区间[2,4)内抽取2个样本,那么在区间[10,12)内应抽取的样本个数为A .2B .4C .6D .99.2018年平昌冬季奥运会于2月9日~2月25日举行,为了解奥运会五环所占面积与单独五个环面积和的比例P ,某学生设计了如下的计算机模拟,通过计算机模拟在长为8,宽为5的长方形内随机取了N 个点,经统计,落入五环及其内部的点数为,圆环半径为1,则比值的近似值为A .325πnNB .32πnNC .8πnND .5π32nN。
高二年级考试 数学试题一、选择题:本题共12小题,每小题5分,共60分.在每小题给出的四个选项中,只有一项是符合题目要求的.1.下列有关不等式的推理( ) (1)a b b a >⇔< (2)a b a c b c >⇒+>+ (3),0a b c ac bc ><⇒< (4)22a b a b >⇒>其中,正确推理的个数是( ) A.0B.1C.2D.32.“()()120x x -+=”是“1x =”的( ) A.充分不必要条件 B.必要不充分条件 C.充要条件D.既不充分也不必要条件3.已知抛物线2:C y x =的焦点为F ,()00,A x y 是抛物线C 上一点,05||4AF x =,则0x =( ) A.1B.2C.4D.84.若1231,,,,4a a a 成等比数列,1233,,,,5b b b 成等差数列,则22a b 的值为( ) A.12-B.12C.2±D.12±5.如图,底面是平行四边形的棱柱''''ABCD A B C D -,'O 是上底面的中心,设,,AB a AD b AA c '===u u u r r u u u r r u u u r r,则AO '=u u u u r( )A.111222a b c ++r r rB.1122a b c ++r r rC.12a b c ++r r rD.12a b c ++r r r 6.等比数列{}n a 中,368,1a a ==,则数列{}2log n a 的前n 项和的最大值为( )A.15B.10C.1218D.2121log 87.已知0,0a b >>,且1a b +=,则49aba b+的最大值为( )A.124B.125C.126D.1278.如图,在正三棱柱111ABC A B C -中,若1AB =,则1AB 与1C B 所成角的大小为( )A.90°B.75°C.60°D.45°9.数列{}n a 满足11221n n n n a a ++=-,且11a =,若15n a <,则n 的最小值为( ) A.3 B.4 C.5D.610.椭圆22221(0)x y a b a b +=>>的焦距为2c ,过点2,0a P c ⎛⎫⎪⎝⎭作圆222x y a +=的两条切线,切点分别为,M N .若椭圆离心率的取值范围为1,22⎡⎢⎣⎦,则MPN ∠的取值范围为( )A.,64ππ⎡⎤⎢⎥⎣⎦B.3,6ππ⎡⎤⎢⎥⎣⎦C.,43ππ⎡⎤⎢⎥⎣⎦D.,32ππ⎡⎤⎢⎥⎣⎦11.已知函数()()4,2x f x x g x a x =+=+,若11,22x ⎡⎤∀∈⎢⎥⎣⎦,2[1,3]x ∀∈,使得()()12f x g x ≥恒成立,则实数a 的取值范围是( ) A.2a ≥B.2a ≤C.4a ≤-D.4a ≥-12.过双曲线22221(0,0)x y a b a b-=>>的右焦点F 且平行于其一条渐近线的直线l 与另一条渐近线交于点A ,直线l 与双曲线交于点B ,且2BF AB =,则双曲线的离心率为( )D.2二、填空题:本题共4小题,每小题5分,共20分.13.已知命题p :“000,10xx R e x ∃∈--≤”,则p ⌝为_________.14.设向量()(),4,3,3,2,a x b y ==-r r,且//a b r r ,则xy =___________.15.关于x 的不等式22280(0)x ax a a +-<>的解集为()12,x x ,且2112x x -=,则a =________.16.若双曲线221412x y -=的左焦点为F ,点P 是双曲右支上的动点,已知()1,4A ,则PF PA +的最小值是_____________.三、解答题:本题共6个小题,共η0分,解答应写岀文字说明,证明过程或演算步骤. 17.(10分)已知2:210p x x -++≥,:34q x -≤≤,22:120(0)r x ax a a ≤-->. (1)判断是p 是q 什么条件;(2)如果q 是r 的充要条件,求a 的值. 18.(12分)已知等差数列{}n a 满足1210a a +=,432a a -=. (1)求数列{}n a 的通项公式;(2)设等比数列{}n b 满足23b a =,37b a =,求数列{}n n a b 的前n 项和n S . 19.(12分)已知抛物线2:2(0)C y px p =>,其准线方程为1x =-.准线与x 轴的交点为M ,过M 点做直线l 交抛物线于A 、B 两点.若点A 为MB 中点,求直线l 的方程. 20.(12分)如图,在三棱柱111ABC A B C -中,1BC ⊥平面ABC ,1,2,4AB BC AB BC BB ⊥===. (1)求证:AB ⊥平面11BB C C ,并求1BC 的长度; (2)若M 为1CC 的中点,求二面角1A B M B --的余弦值.21.(12分)销售甲种商品所得利润是P 万元,它与投入资金t 万元的关系有经验公式1atP t =+,销售乙种商品所得利润是Q 万元,它与投入资金t 万元的关系有经验公式Q bt =,其中,a b 为常数.现将3万元资金全部投入甲、乙两种商品的销售;若全部投入甲种商品,所得利润为94万元;若全部投入乙种商品,所得利润为1万元.若将3万元资金中的x 万元投入甲种商品的销售,余下的投入乙种商品的销售,则所得利润总和为()f x 万元.(1)求函数()f x 的解析式;(2)怎样将3万元资金分配给甲、乙两种商品,才能使所得利润总和最大,并求最大值. 22.(12分)如图,12F F 、分别为椭圆2222:1(0)x y E a b a b+=>>的左、右焦点,O 为坐标原点,121OF OF ⋅=-u u u r u u u u r .椭圆E经过点31,2A ⎛⎫⎪⎝⎭. (1)求椭圆E 的方程;(2)若B 、C 是椭圆E 上两个动点,直线AB 的斜率与直线AC 的斜率互为相反数,证明:直线BC 的斜率为定值,并求出这个定值.高二数学试题参考答案及评分标准一、选择题:每小题5分,共60分.二、填空题:每小题5分,共20分.13.,10xx R e x ∀∈--> 14. 9 15. 2 16. 9 三、解答题 17.(10分)解:(1)因为2210x x -++≥,整理得2210x x --≤,解方程2210x x --=,得两根121,12x x =-=.…………………………………………2分 所以2210x x -++≥的解集为1|12x x ⎧⎫-≤≤⎨⎬⎩⎭.……………………………………4分 因为1,1[3,4]2⎡⎤--⎢⎥⎣⎦Ü, 所以p 是q 的充分不必要条件.…………………………………………………………5分 (2)因为q 是r 的充要条件,所以不等式22120(0)x ax a a ≤-->的解集是{}34x x -≤≤.…………………………7分 因此,-3,4是方程22120(0)x ax a a =-->的两根, 由方程根与系数的关系(即韦达定理)得:234(3)412aa -+=⎧⎨-⨯=-⎩,………………………………………………………………………………9分 解得1a =.……………………………………………………………………………………10分 18.(12分)解:(1)设等差数列{}n a 的公差为d ,因为43a a d -=,所以2d =. 又因为1210a a +=,所以1210a d +=,解得14a =.所以()*42(1)22n a n n n N =+-=+∈.……………………………………………………4分 (2)设等比数列{}n b 的公差为q ,因为238b a ==,3716b a ==,所以2q =,14b =,所以12n n b +=.………………………………………………………6分 从而2(1)2n n n a b n +=+.345122232422(1)2n n n S n n ++=⨯+⨯+⨯++++L ,①…………………………7分 4562322232422(1)2n n n S n n ++=⨯+⨯+⨯++++L ,②…………………………8分由①-②得:3452322222(1)2n n n S n ++-=⨯++++-+L()33332122(1)2212n n n n S n n ++--=+-+=-⋅-.……………………………………11分所以32n n S n +=⋅.…………………………………………………………………………12分19.(12分)解:∵抛物线的准线方程为1x =-,∴1,22pp == ∴抛物线的方程为24y x =.…………………………………………………………………3分 显然,直线l 与坐标轴不平行,且()1,0M -.∴设直线l 的方程为1x my =-,221212,,,44y y A y B y ⎛⎫⎛⎫⎪ ⎪⎝⎭⎝⎭.…………………………4分 联立直线与抛物线的方程214x my y x=-⎧⎨=⎩,得2440y my -+=.………………………………6分 216160m ∆=->,解得1m <-或1m >.……………………………………………………7分∵点A 为MB 的中点,∴2102y y +=,即212y y = ∴212124y y y ==,解得1y =.…………………………………………………………9分124y y m +=,∴4m =或4m =∴m =………………………………………………………………………………11分直线方程为440x -+=或440x ++=.…………………………………12分 20.(12分)解:(1)∵1BC ⊥平面ABC ,,AB BC ⊂平面ABC ,∴11,BC AB BC BC ⊥⊥,………………1分 ∵1,AB BC BC BC B ⊥=I ,1,BC BC ⊂平面11BB C C ,∴AB ⊥平面11BB C C .……………3分 又∵2AB BC ==,14BB =,∴1BC =.…………………………………………5分(2)如图所示,分别以1,,BC AB BC 所在的直线为x 轴,y 轴和z 轴,建立空间直角坐标系, 则()()()((110,0,0,0,2,0,2,0,0,,B A C B C -,易知(M,∴((11,,22AM AB =-=--u u u u ru u u r,,…………………………7分设平面1AB M 的一个法向量为(),,n x y z =r, 100n AM n AB ⎧⋅=⎪⎨⋅=⎪⎩r u u u u rr u u u r,即20220x y x y ⎧-+=⎪⎨--+=⎪⎩,令1x =-,得2z y ==-,∴(1,2,n =--r.…………………………………………………………10分易知()0,2,0BA =u u u r为平面1BMB 的一个法向量则cos ||||n BA n BA n BA ⋅<⋅>=⋅r u u u rr u u u r r u u u r由题意知:二面角1A B M B --的余弦值为2.………………………………12分 21.(12分)解:(1)由题意,,1atp Q bt t ==+, 故当3t =时,39,31314a p Q b ====+.…………………………………………2分解得3a =,13b =.……………………………………………………………………4分所以31,13t p Q t t ==+.从而()33,[0,3]13x xf x x x -=+∈+.……………………………………………………6分(2)由(1)可得:()33133113313x x x f x x x -+⎛⎫=+=-+ ⎪++⎝⎭.……………………8分 因为[]0,3x ∈,所以[]11,4x +∈,故31213x x ++≥+,当且仅当3113x x +=+,即2x =时取等号. 从而137()233f x ≤-=.当且仅当2x =时取等号.…………………………………………10分所以()f x 的最大值为73.答:分别投入2万元、1万元销售甲、乙两种商品时,所得利润总和最大,最大利润是73万元.……12分22.(12分)解:(1)∵212OF OF c ⋅=-u u u r u u u u r ,∴1c =,…………………………………………………1分因为31,2A ⎛⎫⎪⎝⎭在椭圆上,所以2219114b b +=+.……………………………………2分 解得23b =,234b =-(舍去),……………………………………………………3分 ∴椭圆方程为22143x y +=;…………………………………………………………4分 (2)设直线AB 的方程为3(1)2y k x =-+, 代入22143x y +=得 ()2223344(32)41202k x k k x k ⎛⎫++-+--= ⎪⎝⎭,……………………………………6分设()()1122,,,B x y C x y ,因为点31,2A ⎛⎫⎪⎝⎭在椭圆上, ∴21112341232,342k x y kx k k ⎛⎫-- ⎪⎝⎭==+-+,………………………………………………8分 又直线AC 的斜率与AB 的斜率互为相反数, 在上式中以k -代k ,可得22222341232,342k x y kx k k ⎛⎫+- ⎪⎝⎭==-+++,………………………………………………10分 ∴直线BC 的斜率()12212121212BC k x x k y y k x x x x -++-===--1 2.……………………………………………………12分∴直线BC的斜率为定值,该定值为。