电磁场作业答案
- 格式:doc
- 大小:523.00 KB
- 文档页数:13
3.1 长度为L 的细导线带有均匀电荷,其电荷线密度为0l ρ。
(1)计算线电荷平分面上任意点的电位ϕ;(2)利用直接积分法计算线电荷平分面上任意点的电场E ,并用ϕ=-∇E 核对。
解 (1)建立如题3.1图所示坐标系。
根据电位的积分表达式,线电荷平分面上任意点P 的电位为2(,0,0)L L ϕρ-==⎰2ln(4L l L z ρπε-'+=04l ρπε=02l ρπε (2)根据对称性,可得两个对称线电荷元z l 'd 0ρ在点P 的电场为d d E ρρρθ'===Ee e 022320d 2()l z z ρρρπερ''+e故长为L 的线电荷在点P 的电场为2022320d d 2()L l z z ρρρπερ'==='+⎰⎰E E e20002L l ρρπερ'=e ρe 由ϕ=-∇E 求E ,有002l ρϕπε⎡⎢=-∇=-∇=⎢⎥⎣⎦E(00d ln 2ln 2d l L ρρρπερ⎡⎤-+-=⎢⎥⎣⎦e0012l ρρπερ⎧⎫⎪--=⎬⎪⎭e ρe可见得到的结果相同。
3.3 电场中有一半径为a 的圆柱体,已知柱内外的电位函数分别为2()0()()cos a a A aϕρρϕρρφρρ=≤⎧⎪⎨=-≥⎪⎩(1)求圆柱内、外的电场强度;L L -ρρ题3.1图(2)这个圆柱是什么材料制成的?表面有电荷分布吗?试求之。
解 (1)由ϕ=-∇E ,可得到a ρ<时, 0ϕ=-∇=Ea ρ>时, ϕ=-∇=E 22[()cos ][()cos ]a a A A ρφρφρφρρρφρ∂∂----=∂∂e e 2222(1)cos (1)sin a a A A ρφφφρρ-++-e e(2)该圆柱体为等位体,所以是由导体制成的,其表面有电荷分布,电荷面密度为0002cos S n a a A ρρρρεεεφ=====-e E e E3.4 已知0>y的空间中没有电荷,下列几个函数中哪些是可能的电位的解? (1)cosh y e x -; (2)x e y cos -;(3)cos sin e x x (4)z y x sin sin sin 。
一. 选择题[ A ] 1 (基础训练4)、两根很长的平行直导线,其间距离为a ,与电源组成闭合回路,如图12-18.已知导线上的电流为I ,在保持I 不变的情况下,若将导线间的距离增大,则空间的(A) 总磁能将增大. (B) 总磁能将减少.(C) 总磁能将保持不变.(D) 总磁能的变化不能确定【解答】212m W L I =,距离增大,φ增大,L 增大, I 不变,m W 增大。
[ D ]2(基础训练7)、如图12-21所示.一电荷为q 的点电荷,以匀角速度作圆周运动,圆周的半径为R .设t = 0 时q 所在点的坐标为x 0 = R ,y 0 = 0 ,以i 、j分别表示x 轴和y 轴上的单位矢量,则圆心处O 点的位移电流密度为: (A)i t R q ωωsin 42π (B) j t Rq ωωcos 42π (C) k R q 24πω (D) )cos (sin 42j t i t Rq ωωω-π 图 12-21 【解答】设在0—t 的时间内,点电荷转过的角度为ωt ,此时,点电荷在O 点产生的电位移矢量为0D E ε=, ()222000cos sin ,444rqR q q E e ti tj R R R R ωωπεπεπε=-=-=-+ 式中的r e 表示从O 点指向点电荷q 的单位矢量。
()2sin cos 4d dD q J ti tj dt R ωωωπ∴==-。
[ C ] 3 (基础训练8)、 如图12-22,平板电容器(忽略边缘效应)充电时,沿环路L 1的磁场强度H 的环流与沿环路L 2的磁场强度H 的环流两者,必有: (A) >'⎰⋅1d L l H ⎰⋅'2d L l H . (B) ='⎰⋅1d L l H ⎰⋅'2d L l H .(C) <'⎰⋅1d L l H ⎰⋅'2d L l H. (D) 0d 1='⎰⋅L l H .【解答】全电流是连续的,即位移电流和传导电流大小相等、方向相同。
一.选择题[ A ]1.(基础训练1)半径为a的圆线圈置于磁感强度为B 的均匀磁场中,线圈平面与磁场方向垂直,线圈电阻为R ,当把线圈转动使其法向与B 的夹角为α=60︒时,线圈中已通过的电量与线圈面积及转动时间的关系是:(A)与线圈面积成正比,与时间无关. (B) 与线圈面积成正比,与时间成正比. (C) 与线圈面积成反比,与时间无关. (D) 与线圈面积成反比,与时间成正比. 【解析】[ D ]2.(基础训练3)在一自感线圈中通过的电流I 随时间t 的变化规律如图(a)所示,若以I 的正流向作为的正方向,则代表线圈内自感电动势随时间t 变化规律的曲线应为图(b)中(A)、(B)、(C)、(D)中的哪一个? 【解析】dt dI LL -=ε,在每一段都是常量。
dtdI [ B ]3.(基础训练6)如图所示,直角三角形金属框架abc 放在均匀磁场中,磁场B平行于ab 边,bc 的长度为l .当金属框架绕ab 边以匀角速度转动时,abc 回路中的感应电动势和a 、c 两点间的电势差U a – U c 为(A) =0,U a – U c =221l B ω (B) =0,U a – U c =221l B ω- (C) =2l B ω,U a – U c =221l B ω (D) =2l B ω,U a – U c=221l B ω-【解析】金属框架绕ab 转动时,回路中0d d =Φt,所以0=ε。
2012cL a c b c bc b U U U U v B d l lBdl Bl εωω→→→⎛⎫-=-=-=-⨯⋅=-=- ⎪⎝⎭⎰⎰[ C ]5.(自测提高1)在一通有电流I 的无限长直导线所在平面内,有一半经为r ,电阻为R 的导线环,环中心距直导线为a ,如图所示,且r a >>。
当直导线的电流被切断后,沿着导线环流过的电量约为:(A))11(220r a a R Ir +-πμ (B)ar a R Ir +ln 20πμ (C)aR Ir 220μ (D) rR Ia 220μ 【解析】直导线切断电流的过程中,在导线环中有感应电动势大小:td d Φ=εaIR q 21φφ-=感应电流为:tR Ri d d 1Φ==ε则沿导线环流过的电量为:∆Φ=⋅Φ==⎰⎰Rt t R t i q 1d d d 1daR Ir R r a I R S B 212120200μππμ=⋅⋅=⋅∆≈[ C ]6.(自测提高4)有两个长直密绕螺线管,长度及线圈匝数均相同,半径分别为r 1和r 2.管内充满均匀介质,其磁导率分别为1和2.设r 1∶r 2=1∶2,1∶2=2∶1,当将两只螺线管串联在电路中通电稳定后,其自感系数之比L 1∶L 2与磁能之比W m 1∶W m 2分别为:(A) L 1∶L 2=1∶1,W m 1∶W m 2 =1∶1. (B) L 1∶L 2=1∶2,W m 1∶W m 2 =1∶1. (C) L 1∶L 2=1∶2,W m 1∶W m 2 =1∶2. (D) L 1∶L 2=2∶1,W m 1∶W m 2 =2∶1.【解析】自感系数为l r n V n L 222πμμ==,磁能为221LI W m =[ B ]7.(附录C3)在圆柱形空间内有一磁感应强度为B 的均匀磁场,如图所示,B的大小以速率dB/dt 变化。
大学物理电磁学练习题及答案题目一:1. 电场和电势a) 一个均匀带电圆环上各点的电势如何?答:电场和电势是描述电荷之间相互作用的物理量。
对于一个均匀带电圆环上的各点,其电势是相同的,因为圆环上的每个点与圆心的距离相等且圆环上的电荷密度是均匀分布的。
所以,圆环上任意一点的电势与其它点是等势的。
b) 电势能和电势的关系是什么?答:电势能是电荷在电场中由于位置而具有的能量,而电势则是描述电荷因所处位置而具有的势能单位的物理量。
电势能和电势之间的关系可以用公式:电势能 = 电荷 ×电势来表示。
题目二:2. 高斯定律a) 高斯定律适用于哪些情况?答:高斯定律适用于具有球对称性、圆柱对称性和平面对称性的问题,其中球对称性是最常见和最简单的情况。
b) 高斯定律的数学表达式是什么?答:高斯定律的数学表达式是∮E·dA = ε₀q/ε,其中∮E·dA表示电场E通过闭合曲面积分得到的通量,ε₀是真空介电常数,q表示闭合曲面内的电荷总量,ε表示物质的介电常数。
题目三:3. 电动力学a) 什么是电感?答:电感是指电流在变化时产生的电磁感应现象所引起的抗拒电流的能力。
电感的单位是亨利(H)。
b) 电感的大小与什么因素有关?答:电感的大小与线圈的匝数、线圈的形状以及线圈中的铁芯材料的性质有关。
线圈匝数越多,电感越大;线圈形状越复杂,电感越大;线圈中的铁芯材料磁导率越大,电感越大。
题目四:4. 交流电路a) 直流电和交流电有什么区别?答:直流电是指电流方向始终保持不变的电流,而交流电是指电流方向以一定频率周期性地变化的电流。
直流电是恒定电流,交流电是变化电流。
b) 交流电流的形式有哪些?答:交流电流的形式可以是正弦波、方波、锯齿波等。
其中,正弦波是最常见和最基本的交流电流形式,用于描述交流电路中电压和电流的变化规律。
以上是关于大学物理电磁学练习题及答案的一些内容。
希望这些问题和答案能够帮助你更好地理解和学习物理电磁学的知识。
第10章 电磁感应与电磁场一、选择题1、一导体圆线圈在均匀磁场中运动,在下列情况下,会产生感应电流的是( D )A .线圈沿磁场方向平移B .线圈以自身直径为轴转动,轴与磁场方向平行C .线圈沿垂直于磁场方向平移D .线圈以自身直径为轴转动,轴与磁场方向垂直 2、将磁铁从迅速插入和缓慢插入金属环,若两种情况下磁铁的起始位置和终了位置均相同,则关于两种情况环中的感应电动势和感生电量的说法正确的是( C )A .感应电动势不同;感生电量也不同B .感应电动势相同,感生电量也相同;C .感应电动势不同,感生电量相同;D .感应电动势相同,感生电量不同. 3、如图所示,A 为闭合的导体环,B 为有间隙的导体环,则当磁铁分别移近A 和B 时,关于A 和B 的运动描述正确的是( A )A .A 环被排斥,B 环不动 B .A 环被吸引,B 环不动C .A 环被吸引,B 环被吸引D .A 环被排斥,B 环被排斥4、在感应电场中电磁感应定律可写成⎰-=•L K dtdl d E φ ,式中K E 为感应电场的电场强度。
此式表明( D )A. 闭合曲线L 上K E处处相等 B. 感应电场是保守力场。
C .感应电场的电力线不是闭合曲线D .在感应电场中不能像对静电场那样引入电势的概念 5、关于长直螺线管线圈的自感,以下说法正确的是( D ) A 、螺线管中通有的电流越大,自感也越大; B 、螺线管横截面通过的磁通量越大,自感也越大C 、在单位长度匝数不变的情况下,真空中螺线管长度越长,自感就越大;D 、在单位长度匝数不变的情况下,真空中螺线管体积越大,自感就越大6、如图,矩形区域为均匀稳恒磁场,半圆形闭合导线回路在纸面内绕轴O 作逆时钟方向匀角速度转动,O 点是圆心且恰好落在磁场的边缘上,半圆形闭合导线完全在磁场外时开始计时。
图(A)--(D)的t -ε函数图像中哪一条属于半圆形导线回路中产生的感应电动势(A )7、如图所示的闭合线圈abcda 均位于匀强磁场中,当磁场不断减小时,回路中不产生感应电流的是( B )8、如图所示,两个圆环形导体a 、b 互相垂直地放置,且圆心重合,当它们的电流I 1、和I 2同时发生变化时,则( D )(A) a 导体产生自感电流,b 导体产生互感电流(B) 两导体同时产生自感电流和互感电流(C) b 导体产生自感电流,a 导体产生互感电流;(D)两导体只产生自感电流,不产生互感电流。
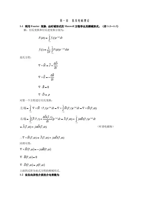
第一章 基本电磁理论1-1 利用Fourier 变换, 由时域形式的Maxwell 方程导出其频域形式。
(作1-2—1-3) 解:付氏变换和付氏逆变换分别为:dt e t f F t j ⎰∞∞-=ωω)()(ωωπωd e F t f tj ⎰∞∞--=)(21)( 麦氏方程:t D J H ∂∂+=⨯∇tB E ∂∂-=⨯∇0=⋅∇B ρ=⋅∇D对第一个方程进行付氏变换:),(),(),ωωωr H dt e t r H dt e t r H tj t j ⨯∇=⨯∇=⨯∇=⎰⎰∞∞-∞∞-(左端),(),(),(),(]),(),[ωωωωωωωr D j r J dte t r D j r J dt e t t r D t r J t j tj+=+=∂∂+=⎰⎰∞∞-∞∞-(右端(时谐电磁场) =⨯∇∴),(ωr H ),(),(ωωωr D j r J +同理可得:()()ωωω,,r B j r H -=⨯∇()0,=⋅∇ωr B()()ωρω,,r r D =⋅∇上面四式即为麦式方程的频域形式。
1-2 设各向异性介质的介电常数为⎥⎥⎥⎦⎤⎢⎢⎢⎣⎡=300420270εε 当外加电场强度为 (1) 01E x e E =;(2)02E y e E =;(3) 03E z e E =;(4) )2(04y x E e e E +=;(5))2(05y x E e e E +=求出产生的电通密度。
(作1-6)解:()),(,t r E t r D⋅=ε⎥⎥⎥⎦⎤⎢⎢⎢⎣⎡=⎥⎥⎥⎦⎤⎢⎢⎢⎣⎡333231232221131211εεεεεεεεεz y x D D D 即⎥⎥⎥⎦⎤⎢⎢⎢⎣⎡z y x E E E 将E 分别代入,得:⎥⎥⎥⎦⎤⎢⎢⎢⎣⎡=⎥⎥⎥⎦⎤⎢⎢⎢⎣⎡⎥⎥⎥⎦⎤⎢⎢⎢⎣⎡=⎥⎥⎥⎦⎤⎢⎢⎢⎣⎡027003000420270000111E E D D D z y x εε )ˆ2ˆ7(001y x E D +=ε⎥⎥⎥⎦⎤⎢⎢⎢⎣⎡=⎥⎥⎥⎦⎤⎢⎢⎢⎣⎡⎥⎥⎥⎦⎤⎢⎢⎢⎣⎡=⎥⎥⎥⎦⎤⎢⎢⎢⎣⎡042003000420270000322E E D D D z y x εε )ˆ4ˆ2(002y x E D +=ε ⎥⎥⎥⎦⎤⎢⎢⎢⎣⎡=⎥⎥⎥⎦⎤⎢⎢⎢⎣⎡⎥⎥⎥⎦⎤⎢⎢⎢⎣⎡=⎥⎥⎥⎦⎤⎢⎢⎢⎣⎡300003000420270000333E E D D D z y x εε z E D ˆ3003ε= ⎥⎥⎥⎦⎤⎢⎢⎢⎣⎡=⎥⎥⎥⎦⎤⎢⎢⎢⎣⎡⎥⎥⎥⎦⎤⎢⎢⎢⎣⎡=⎥⎥⎥⎦⎤⎢⎢⎢⎣⎡010110230004202700000444E E E D D D z y x εε )ˆ10ˆ11(004y x E D +=ε ⎥⎥⎥⎦⎤⎢⎢⎢⎣⎡=⎥⎥⎥⎦⎤⎢⎢⎢⎣⎡⎥⎥⎥⎦⎤⎢⎢⎢⎣⎡=⎥⎥⎥⎦⎤⎢⎢⎢⎣⎡08160230004202700000555E E E D D D z y x εε )ˆ8ˆ16(005y x E D +=ε 1-3 设各向异性介质的介电常数为⎥⎥⎥⎦⎤⎢⎢⎢⎣⎡=4222422240εε试求:(1) 当外加电场强度)(0z y x E e e e E ++=时,产生的电通密度D ;(2) 若要求产生的电通密度004E x εe D =,需要的外加电场强度E 。
大作业解答变化的电磁场P.1一、选择题1.一导体圆线圈在均匀磁场中运动, 能使其中产生感应电流的一种情况是(A) 线圈绕自身直径轴转动, 轴与磁场方向平行.(B) 线圈绕自身直径轴转动, 轴与磁场方向垂直.(C) 线圈平面垂直于磁场并沿垂直磁场方向平移.(D) 线圈平面平行于磁场并沿垂直磁场方向平移.2.如图, 长度为l 的直导线ab 在均匀磁场中以速度移动, 直导线ab 中的电动势为(A) Bl v . (B) Bl v sin a . (C) Bl v cos a . (D) 0.B v Bva bα⎰⋅⨯ba lB d )(vP.23.如图所示, 直角三角形金属框架abc 放在均匀磁场中, 磁场平行于ab 边, bc 的长度为l . 当金属框架绕ab 边以匀角速度ω转动时, abc 回路中的感应电动势εi 和a 、c 两点间的电势差U a –U c 为B 2i 21,0)A (l B U U c a ωε=-=2i 21,0)B (l B U U c a ωε-=-=22i 21,)C (l B U U l B c a ωωε=-=22i 21,)D (l B U U l B c a ωωε-=-=Bl b acωP.34. 对于单匝线圈取自感系数的定义式为L =Φm /I . 当线圈的几何形状、大小及周围磁介质分布不变, 且无铁磁性物质时, 若线圈中的电流强度变小, 则线圈的自感系数L(A) 不变.(B) 变小.(C) 变大, 与电流成反比关系.(D) 变大, 但与电流不成反比关系.P.4VB LI W μ22m 2121==nI B μ=222πr l n V n L μμ==5.有两个长直密绕螺线管, 长度及线圈匝数均相同, 半径分别为r1和r 2, 管内充满均匀介质, 其磁导率分别为μ1和μ2. 设r 1:r 2=1:2, μ1:μ2=2:1, 当将两只螺线管串联在电路中通电稳定后, 其自感系数之比L1:L 2与磁能之比W m1:W m2分别为:(A)L1:L 2 = 1:1, W m1:W m2 = 1:1(B)L 1:L 2= 1:2, W m1:W m2= 1:1(C)L 1:L2 = 1:2, W m1:W m2 = 1:2(D)L 1:L 2 = 2:1, W m1:W m2= 2:1解: 已知自感系数与长直密绕螺线管内部磁场分别为磁场能量为P.5St B Sd ⋅∂∂=⎰ε6.在圆柱形空间内有一磁感应强度为的均匀磁场,如图所示. 的大小以速率变化. 有一长度为l 0的金属棒先后放在磁场的两个不同位置ab 和a 'b ',那么,金属棒在这两个位置时棒内的感应电动势的大小关系为(A)(B)(C)(D)Oa 'bb 'a ⨯⨯⨯⨯⨯⨯⨯⨯⨯⨯⨯⨯B Bt B d d 0≠=''b a ab εεabb a εε>''abb a εε<''0==''ab b a εεB 解:P.67:电磁波的电场强度、磁场强度和传播速度的关系是(A) 三者互相垂直, 而和位相相差(B) 三者互相垂直, 而、、构成右旋系统(C) 三者中和是同方向的, 但都与垂直(D) 三者中和可以是任意方向的, 但都必须与垂直E H u u E E E E H H u u H H 2π/P.7St D S j I I l H S S d Ld d d 0⋅∂∂+⋅=+=⋅⎰⎰⎰8.如图所示, 平板电容器(忽略边缘效应)充电时, 沿环路L 1、L 2磁场强度的环流中, 必有:(A) (B) (C) (D) H⎰⎰⋅>⋅21d d L L l H l H ⎰⎰⋅=⋅21d d L L l H l H ⎰⎰⋅<⋅21d d L L l H l H 0d 1=⋅⎰L l H L 2L 1解:P.8二、填空题1.一根直导线在磁感应强度为的均匀磁场中以速度切割磁力线运动, 导线中对应于非静电力的场强(称作非静电场场强) ⎽⎽⎽⎽⎽⎽⎽⎽.B v =k E解:lE l B L Ld d )(i ⋅=⋅⨯=⎰⎰感v εB ⨯v 2.载有恒定电流I 的长直导线旁有一半圆环导线MN, 半圆环半径为b , 环面与直导线垂直, 且半圆环两端点连线的延长线与直导线相交, 如图所示.当半圆环以速度沿平行于直导线的方向平移时, 半圆环上的感应电动势的大小是⎽⎽⎽⎽⎽⎽⎽⎽⎽⎽⎽⎽.v abM O N 的方向I v 解:⎰⋅⨯==L l B d )(MN MN v εεba b a I -+⋅=ln π20v μP.9I o rωa 3.如图所示, 一半径为r 的很小的金属圆环, 在初始时刻与一半径为a (a >>r )的大金属圆环共面且同心. 在大圆环中通以恒定的电流I , 方向如图. 如果小圆环以角速度ω绕其任一方向的直径转动, 并设小圆环的电阻为R , 则任一时刻t 通过小圆环的磁通量Φm =⎽⎽⎽⎽⎽⎽⎽⎽⎽⎽⎽⎽⎽⎽; 小圆环中的感应电流i = ⎽⎽⎽⎽⎽⎽⎽⎽⎽⎽⎽⎽⎽.解:t r a It BS Φωμωcos π2cos 20m =≈tr aR I t ΦR R i ωωμεsin π2d d 120===P.10 4.如图, 通有电流I0的长直导线旁, 有一与其共面、且相距为d 的U 形导轨, 在导轨上有电阻为R 的金属棒AB,其长度为a , 以速度向右沿导轨平动, 不计一切摩擦, 则AB 棒上的感应电动势为; AB 棒所受安培力的大小为, 方向为⎽⎽⎽⎽⎽⎽⎽⎽.v r r I l B a d d d 2πd )(00i v v ⎰⎰+=⋅⨯=με d ad I +ln 2π00vμ⎰⨯=B l I F d ⎰++⋅=ad d r r I d a d I R F d π2ln 2π0000μμv 向左Ad R aBR vIR d a d I v 200ln 2π⎥⎦⎤⎢⎣⎡+μP.115.自感系数L =0.3H 的长直螺线管中通以I =8A 的电流时, 螺线管存储的磁场能量W m =⎽⎽⎽⎽⎽⎽⎽⎽⎽⎽⎽.解:221LI L =J6.983.0212=⨯⨯=6.将条形磁铁插入与冲击电流计串联的金属环中时,有q =2.0⨯10-5C 的电荷通过电流计. 若连接电流计的电路总电阻R =25Ω, 则穿过环的磁通量的变化∆Φm =⎽⎽⎽⎽⎽⎽⎽⎽⎽⎽⎽⎽⎽⎽.解:m 1ΦR q ∆-=RqΦ=∆m Wb 105.04-⨯P.127.由半径为r 的两块圆板组成的平行板电容器,在放电时两板间的电场强度的大小为,式中E 0、RC t E E -=e 0R 、C 均为常数. 则两板间的位移电流的大小为⎽⎽⎽⎽⎽⎽⎽⎽⎽⎽⎽⎽; 其方向与场强方向⎽⎽⎽⎽⎽⎽⎽⎽⎽⎽⎽.解:S t Dt ΦI d d d d d D ==St Ed d 0ε=RCtr RC E --=e π200ε流向与电场方向相反P.13试判断下列结论是包含于或者等效于哪一个麦克斯韦方程式的,将你确定的方程式用代号填在相应结论后的空白处::(1) 变化的磁场一定伴随有电场: ⎽⎽⎽⎽⎽⎽⎽⎽⎽⎽;(2) 磁感应线是无头无尾的: ⎽⎽⎽⎽⎽⎽⎽⎽⎽⎽;(3) 电荷总伴随有电场: ⎽⎽⎽⎽⎽⎽⎽⎽⎽⎽.231⎰∑==⋅s n i q S D 0i d ⎰-=⋅L t Φl E d d d m⎰=⋅sS B 0d ⎰∑+=⋅=L ni tΦI l H d d d D0i 8.反映电磁场基本性质和规律的积分形式的麦克斯韦方程组为:(1)(2)(4)(3)P.14三、计算题解:rr I l B t l a t a d 2πsin d )(0cos cos i μθεθθ⎰⎰+++-=⋅⨯=v v v v θθθμcos cosln sin 2π0t a t l a I v v v +++-=A 端电势髙a a +lO r 1. 如图所示, 一长直导线中通有电流I ,有一垂直于导线、长度为l 的金属棒AB 在包含导线的平面内, 以恒定的速度沿与棒成θ角的方向移动. 开始时, 棒的A 端到导线的距离为a , 求任意时刻金属棒中的动生电动势, 并指出棒哪端的电势高.v I a lA BvθP.15直于磁场方向,如图所示.回路的CD 段为滑动导线,以匀速远离A 端运动,且始终保持回路为等边三角形.设滑动导线CD 到A 端的垂直距离为x ,且初始x =0.试求回路ACDA 中的感应电动势ε和时间t 的关系.(其中为常矢量)的均匀磁场中,回路平面垂t B B 0=0Bv 2.将等边三角形平面回路ACDA 放在磁感应强度为⨯⨯⨯⨯⨯⨯⨯⨯⨯⨯⨯⨯⨯⨯⨯⨯⨯⨯⨯⨯v A C DB x 解:⎰⎰=⋅=S S S t B S B Φd d 0mtS B S t B S 00d ==⎰320203330tan t B tx B v =︒=220m3d d t B t Φv -=-=εP.16220200013330tan d d d )d(d t B x B S B S t t B S t B v =︒===⋅∂∂-=⎰⎰⎰ ε220233230tan 2)(tB x B CD B v v v =︒⋅=⋅⨯= ε22022022021333233t B t B t B v v v =+=+=∴εεε⨯⨯⨯⨯⨯⨯⨯⨯⨯⨯⨯⨯⨯⨯⨯⨯⨯⨯⨯⨯v A C D B x 另解:P.173.无限长直导线通以电流.有一与之共面的矩形线圈,其长边与长直导线平行.已知长边为L ,两长边距离长直导分别为a 、b ,位置如图所示.求:(1) 矩形线圈内的感应电动势的大小和感应电动势的方向; (2) 导线与线圈的互感系数.)4exp(0t I I -= b L Ia解: 建立坐标系Oxx L x I x BL S B Φd π2d d d 0m μ==⋅= O x abILx L x I Φb a ln π2d π200m μμ⎰==tIa bLt Φd d ln π2d d 0m i ⋅-=-=μεP.18tI t I I I 404t -0e 4d d e --== t i a b LI 400e ln π2-=∴με方向:顺时针 bLIaabLI abLI I ΦM ln π2ln π200m μμ===tIa bLt I M t Φi d d ln π2d d d d 0m ⋅-=-=-=μεP.19r L l 1R 2R I I 4.由半径为R 1和R 2的的两个薄圆筒形导体组成一同轴电缆,中间填充磁导率为μ的均匀磁介质.电缆内层导体通电流I ,外层导体作为电流返回路径,如图所示.求长度为l 的一段电缆内的磁场储存的能量.解:选图示的安培环路,由介质中的环路定理⎰∑=⋅L I l H d 得:)(π221R r R r IH <<=r IH B π2μμ==磁能密度:222m π821r I BH w μ==体积元:rrl V d π2d =磁场能量:122m m ln π4d 21R R l I V w W R R μ==⎰。
北交《工程电磁场》在线作业二一、单选题(共 10 道试题,共 30 分。
)1. 普拉斯方程描写的是()。
. 有源有旋场. 有源无旋场. 无源有旋场. 无源无旋场正确答案:2. 无源场存在着()。
. 电磁波. 电感. 矢势. 磁通正确答案:3. 单短截线阻抗匹配法实质是,用接入短截线后附加的反射波来抵消主传输线上原来的(),以实现匹配。
. 入射波. 折射波. 反射波. 散射波正确答案:4. 损耗主要是传输线导体的损耗及导体之间()的损耗。
. 介质. 电阻. 电感. 电抗正确答案:5. 低频无线电技术中采用L回路产生()。
. 电磁振荡. 电磁感应. 感应电流. 感应电压正确答案:6. 在无源场中,穿过场域V中任一个矢量管的所有截面的通量()。
. 相等. 相反. 与截面法向量有关. 与截面切向量有关正确答案:7. 当给定了矢量场的通量源密度和旋涡源密度以及场域的(),就可以唯一地确定该矢量场。
. 边界条件. 控制条件. 磁力线. 磁场矢量正确答案:8. ()是谐振腔最重要的一个参数。
. 谐振幅度. 谐振时间. 谐振频率. 谐振波形正确答案:9. 当传播方向上有电场的分量而无磁场的分量,此导行波称为()。
. TM波型. T波型. TM波型. TT波型正确答案:10. 长度小于()波长的短路线或开路线可用作微波电路元件。
. 1/16. 1/8. 1/4. 1/2正确答案:北交《工程电磁场》在线作业二二、多选题(共 10 道试题,共 40 分。
)1. 全电流包括()。
. 位移电流. 传导电流. 等效电流. 传输电流正确答案:2. 接地可分为()。
. 保护接地. 工作接地. 电场接地. 电磁接地正确答案:3. 静电场是()。
. 无旋场. 有旋场. 无散场. 有散场正确答案:4. 互感与()有关。
. 线圈形状. 导线形状. 周围媒介材料. 导体材料的磁导率正确答案:5. 细线天线广泛应用于()领域。
. 通信. 广播. 雷达. 信号传输正确答案:6. 在静电场中,等位面()。
经典课时作业电磁场和电磁波(含标准答案及解析)时间:45分钟分值:100分1.1864年,英国科学家麦克斯韦在总结前人研究电磁现象的基础上,建立了完整的电磁波理论,他断定电磁波的存在,推导出电磁波与光具有同样的传播速度.1887年德国物理学家赫兹用实验证实了电磁波的存在.下列有关电磁波传播过程的叙述中正确的是( )A.电磁波在真空中的传播速度等于真空中的光速B.电磁波和机械波一样依赖于介质传播C.电磁波中每一处电场强度方向和磁感应强度方向总是相互垂直,并且与波的传播方向也垂直D.只要空间中某个区域有变化的电场或变化的磁场,就一定能产生电磁波2.关于电磁场和电磁波,下列说法中正确的是( )A.均匀变化的电场在它的周围产生均匀变化的磁场B.电磁波中每一处的电场强度和磁感应强度总是互相垂直的,且与波的传播方向垂直C.电磁波和机械波一样依赖于媒质传播D.只要空间中某个区域有振荡的电场或磁场,就能产生电磁波3.红外遥感卫星通过接收地面物体发出的红外辐射来探测地面物体的状况.地球大气中的水汽(H2O)、二氧化碳(CO2)能强烈吸收某些波长范围的红外辐射,即地面物体发出的某些波长的电磁波,只有一部分能够通过大气层被遥感卫星接收.下图为水和二氧化碳对某一波段不同波长电磁波的吸收情况,由图可知,在该波段红外遥感大致能够接收到的波长范围为( )A.2.5~3.5 μmB.4~4.5 μmC.5~7 μmD.8~13 μm4.电磁波与机械波相比较有( )A.电磁波传播不需要介质,机械波传播需要介质B.电磁波在任何介质中的传播速率都相同,机械波在同一介质中的传播速率都相同C.电磁波与机械波都不能产生干涉现象D.电磁波与机械波都能产生衍射现象5.一个带正电的粒子在垂直于匀强磁场的平面内做匀速圆周运动,如图所示,当磁感应强度均匀增大时,此粒子的( )A.动能不变B.动能增大C.动能减小D.以上情况都可能6.下列哪种现象是由于所产生的电磁波引起的( )A.用室内天线收微弱信号时,人走过时电视画面会发生变化B.在夜晚用电高峰时,有部分地区白炽灯变暗发红,日光灯不容易启动C.把半导体收音机放在开着的日光灯附近会听到噪声D.在边远地区用手机或小灵通通话时,会发生信号中断的情况7.家用微波炉是一种利用微波的电磁能加热食物的新型灶具,它主要由磁控管、波导管、微波加热器、炉门、变压器、镇流系统、冷却系统、控制系统、外壳等组成.接通电路后,220 V交流电经变压器变压,在次级产生3.4 V低压交流电对磁控管加热,同时在另一次级产生2000 V 高压电,经镇流系统加到磁控管的阴、阳两极之间,使磁控管产生微波.微波输送至金属制成的加热器(炉腔),被来回后射,微波的电磁作用使食物内的分子高频运动,从而使食物受热,并能最大限度地保存食物中的维生素.关于上述微波炉,下列说法正确的是( )A.微波是由于原子外层电子受激发而产生的B.微波是由于原子内层电子受激发而产生的C.微波炉变压器的低压变压比为1100:17D.微波炉变压器的高压变压比为17:1000008.关于电磁波谱,下列说法正确的是( )A.伦琴射线是高速电子流射到固体上,使原子的内层电子受到激发而产生的B. γ射线是原子内层电子受激发而产生的C.在电磁波谱最容易发生衍射的是γ射线D.在同种均匀介质中,紫外线比紫光传播速度大9.过强的电磁辐射对人体有很大危害,影响人的心血管系统,使人心悸、失眠、白细胞减少、免疫功能下降等.按照有关规定,工作场所的电磁辐射强度(单位时间内垂直通过单位面积的电磁辐射能量)不得超过0.5 W/m2.一个人距离无线电通讯装置50 m,为保证此人的安全,无线电通讯装置的电磁辐射功率至多是( )A.4.51 kWB.3.14 kWC.15.7 kWD.0.78 kW10.为研究无线传输电能,某科研小组在实验室试制了无线电能传输装置,在短距离内点亮了灯泡,如图实验测得,接在乙线圈上的用电器获得的电能为输入甲线圈电能的35%.①若用该装置给充电功率为10 W的电波充电,则损失的功率为__________W.②若把甲线接入电压为220 V的电源,测得该线圈中的电流为0.195 A.这时,接在乙线圈上的灯泡恰能正常发光,则此灯泡的功率为__________W.11.某雷达工作时,发射的电磁波的波长λ=20 cm,每秒脉冲数为n=5000个,每个脉冲的持续时间为t=0.02 μs,问电磁波的振荡频率是多少;最大侦察距离是多少?12.某卫星地面站向地球同步通信卫星发送无线电波,经它立即转发到另一卫星地面站,测得从发送开始到地面站接收到电磁波的时间为0.24 s,取地球半径6400 km.据此条件估算地球的质量为多少千克?(结果取1位有效数字,G=6.67×10-11 N·m2/ kg2)标准答案及解析:1.解析:电磁波是电磁场由近及远在空间传播形成的,电磁波可以不依赖介质而独立传播,在真空中的传播速度等于真空中的光速,A 正确,B 错误;电磁波是横波,传播过程中电场强度和磁感应强度总是相互垂直的,且与波的传播方向垂直,C 正确;均匀变化的电场或磁场不能产生电磁波,D 错误.答案:AC2. 解析:根据麦克斯韦电磁场理论可知,均匀变化的电场在它的周围产生稳恒的磁场,故选项A 是错误的.因电磁波中每一处的电场强度和磁感应强度总是互相垂直的,且与波的传播方向垂直,所以电磁波是横波,故选项B 是正确的.电磁波可以在真空中传播,故选项C 是错误的.只要空间中某个区域有振荡的电场或磁场,就在周期性变化的电场周围产生同周期变化的磁场,周期性变化的磁场周围产生同周期变化的电场,这样由近及远传播,形成了电磁波,故选项D 是正确的.答案:BD3.解析:由图可知,水对红外辐射吸收率最低的波长范围是8~13 μm;二氧化碳对红外辐射吸收率最低的波长范围是5~13 μm.综上可知,选D.答案:D4.解析:电磁波传播不需要介质,且在不同介质中,传播速度不同,即v=\frac{c}{n};故A 正确,B 错误.电磁波和机械波都能产生干涉和衍射现象,故C 错,D 正确.答案:AD5.解析:当磁场均匀增加时,根据麦克斯韦的电磁场理论,将激发一个稳定的电场,带电粒子将受该电场的电场力作用,可以由右手定则和楞次定律判断,电场力的方向与电荷的运动方向是一致的.即电场力对粒子将做正功,所以带电粒子的动能将增大.答案:B6.解析:电视信号由于人走过发生变化是由于人对信号的干扰;电灯变暗是由于电压在输电线上损失过多;日光灯在工作时,其镇流器会发出微弱的电磁波;小灵通通话效果不好是由于信号的原因.答案:C7.解析:微波炉中的微波是由LC 振荡电路产生的,A 、B 均错.由变压器变压比1122U n U n =知低压变压比1222011003.417U U ==,C 正确.同理高压变压比12220112000100U U =='',D 错. 答案:C8.解析:伦琴射线是高速电子流射到固体上,使其内层电子得到能量而跃迁到高能量状态后,再跃迁到低能量状态而释放出来的,A 对;γ射线是原子核受激发而产生的,B 错;最易发生衍射的是波长较长的是无线电波,C 错;在同种介质中紫外线的折射率大于紫光的折射率,由n=c v 知紫外线比紫光的传播速度小,D 错.答案:A9.解析:根据题意,要使此人是安全的,则此处的辐射功率小于或者等于0.5 W/m 2,则可得:24RP π =0.5 W/m 2,所以P=4πR 2×0.5 W=4×3.14×502×0.5 W=15.7 kW,所以C 正确. 答案:C10.答案:①18.6 ②1511.解析:由c=λf 可知,电磁波的振荡频率f=cλ=1.5×109Hz,电磁波在雷达发射两个相邻脉冲的时间间隔内传播的距离为s=cΔt=c(1n -t)≈6×104 m,所以雷达的侦察距离为s′=2s =3×104 m. 答案:1.5×109Hz 3×104 m12.解析:由s=ct 可知同步卫星距地面的高度h=1122ct =×3×108×0.24 m=3.6×107 m. 由万有引力定律可知22()GMm m R h T π⎛⎫= ⎪+⎝⎭2(R+h), 故地球质量226733211244 3.14(6.410 3.610)() 6.6710(243600)M R h kg GT π-⨯⨯⨯+⨯=+=⨯⨯⨯=6×1024 kg. 答案:6×1024 kg。
第1章 矢 量 分 析1.1 什么是场?什么是矢量场?什么是标量场?什么是静态场?什么是时变场?答:如果在空间某一个区域内上任意一点都有一确定物理量值与之对应,则这个区域就构了一个物理量的场。
如果这个确定物理量值是一个标量(只有大小没有方向),我们称这种场为标量场,如温度场、密度场、电位场等等。
如果这个确定物理量值是一个矢量(既有大小又有方向),我们称这种场为矢量场,如电场、磁场、重力场等等。
如果在场中的这个物理量仅仅是空间位置的函数,而不是时间的函数(即不随时间变化的场),我们称这种场为静态场。
如果在场中的这个物理量不仅仅是空间位置的函数,而且还是时间的函数(即随时间变化的场),我们称这种场为时变场。
1.2 什么是标量?什么是矢量?什么是常矢?什么是变矢?什么是单位矢量?答:一个物理量如果仅仅只有大小的特征,我们称此物理量为标量。
例如体积、面积、重量、能量、温度、压力、电位等。
如果一个物理量不仅仅有大小,而且还具有方向的特征,我们称此物理量为矢量。
例如电场强度,磁感应强度、电位移矢量、磁场强度、速度、重力等。
一个矢量如果其大小和方向都保持不变的矢量我们称之为常矢。
如果矢量的大小和方向或其中之一是变量的矢量称为变矢。
矢量与矢量的模值的比值,称为单位矢量。
即模值为1的矢量称为单位矢量 1.3什么是等值面?什么是等值面方程?什么是等值线?什么是等值线方程?答:在标量场中许多相同的函数值(他们具有不同的位置)。
构成的曲面,称为等值面。
例如,温度场中由相同温度构成的等温面,电位场中相同电位构成的等位面等都是等值面。
描述等值面的方程称为等值面方程。
假定()z y x u ,,是坐标变量的连续可微函数。
则等值面方程可表述为 ()C z y x u =,, (c 为任意常数)在标量场中平面中相同的函数值构成的曲线,称为等值线。
描述等值线的方程称为等值线方程。
假定()y x u ,是坐标变量的连续可微函数。
则等值线方程可表述为 ()C y x u =, (c 为任意常数) 1.4求下列电场的等位线方程 (1) z x =ϕ, (2) 224y x +=ϕ 解:根据等值线方程的定义即电位函数应为一常数,所以等位线方程为⑴ xz c ==ϕ,即 z cx =; ⑵ c 4=+=y x ϕ 即 k y ==+c 4x 22 (为常数k )1.5 求下电场的等值面方程 1) 1222z y x ++=ϕ, 2) )z -z ()()x -= 202020+++y y x (ϕ, 3))++ln(=222z y x ϕ 解:根据等值面方程的定义即电位函数应为一常数,所以等位面方程为⑴ c1222=++=z y x ϕ 即 2222c 1k z y x ==++ ⑵ c )z -z ()()x -= 202020=+++y y x (ϕ 即 22202020)()()(k c z z y y x x ==-+-+- ⑶ ()c z y x =++222ln 即 2222k e z y x c ==++,(k 为常数)1.6 什么方向导数?什么梯度?梯度与方向导数的关系?答:在标量场中任一点在某一方向上的变化率称为方向导数。
2.6 在圆柱坐标系中电荷分布为ρ={①r/a ,r ≤a ②0,r >a ,r 为场点到z 轴的距离,a 为常数。
求电场强度。
解:电场强度只有沿r 方向分量,选取长度为l 的圆柱sd 2r qE S rlE πε⋅==⎰⎰u r u v Ò (1)r a ≤时3223r lr q dV rldr a aπρπ===⎰⎰⎰⎰代入(1)得: 23r r E a ε=r a >时2223ar la q dV rldr a πρπ===⎰⎰⎰⎰代入(1)得: 23r a E r ε=2.7在直角坐标系中电荷分布为ρ(x ,y ,z )={①ρ0 ∣x ∣≤a ②0 ∣x ∣>a 求电场强度。
解:电场与y ,z 均无关,电场强度只有沿x 方向分量,()0x E E x ρε∂∇⋅==∂u v (1)r a ≤时0ρρ= 代入(1)得: 00x xE C ρε=+ 0x →时x E 为有限值所以0C =00x xE ρε=r a >时0ρ=代入(1)得: 'r E C = 在x a =处r E 连续,所以'00aC ρε=00r aE ρε=2.16已知电场强度为E=3x+4y-5z,试求点(0,0,0)与点(1,2,1)之间的电压解:6b bb b x y z aaaaU E dl E dx E dy E dz =⋅=++=⎰⎰⎰⎰u r r2.26两同心导体球壳半径分别为a 、b ,两导体之间有两层介质,介电常数分别为ε1、ε2,介质界面半径为c ,内外导体球壳电位分别为V 和0,求两导体球壳之间的电场和球壳上的电荷面密度,以及介质分界面上的束缚电荷面密度。
解:两球壳之间电介质不带电电位分布满足拉普拉斯方程20ϕ∇=选取球坐标则有:22210r r r r ϕϕ∂∂⎛⎫∇== ⎪∂∂⎝⎭'111C C r ϕ=-+ '222C C rϕ=-+ 代入边界条件'2220r bC C b ϕ=∣=-+= '111r aC C V aϕ=∣=-+= 12n r c n r c D D ==∣=∣12r c r c ϕϕ==∣=∣由上式可得:1122211111()()1111()()VC a c c b VC a c c bεεεε=--+-=--+-12122221,()1111()(),()1111()()VE a r c r a c c bVE c r b r a c c bεεεε=<<-+-=<<-+-在介质与导体分界面上的电荷密度s nD ρ=()11212222211111()()()1111()()s s Vr a a a c c bVr b b a c c b ερεεερεε==-+-==-+-介质分界面上没有自由电荷感应电荷面密度为:()21012s n n n n P P E E ρε=-=-()02122111()11111111()()()()Vr c c a c c ba c c bερεεεε==--+--+-2.32同轴圆柱形电容器内、外半径分别为a 、b ,导体之间一半填充介电常数为ε1的介质,另一半填充介电常数为ε2的介质,如图所示,当电压为V 时,求电容器中的电场和电荷分布。
解:电介质不带电电位分布满足拉普拉斯方程20ϕ∇= 电场强度只有沿r 方向分量, 选取圆柱坐标则有:210r r r r ϕϕ∂∂⎛⎫∇== ⎪∂∂⎝⎭又r ϕE =-∇,则r C rE =又因为两极板之间的电压是Vln bb a a C bV E dl dr C r a =⋅==⎰⎰u r rln VC b a =ln C VE br r a==在介质与导体分界面上的电荷密度s n D ρ=在1ε侧11,ln ,ln V r a b a as V r bb b aεερ==⎧⎪=⎨⎪⎩在2ε侧22,ln ,ln V r a b a as V r b b b aεερ==⎧⎪=⎨⎪⎩2.43内外半径分别为a 、b 的导电球壳内距球心为d (d<a )处有一点电荷q ,当(1)导电球壳电位为0;(2)导电球壳电位为v ;(3)导电球壳上的总电量为Q ;分别求导电球壳内外的电位分布。
解:(1)导体球壳电位为0,点电荷在球壳内所以球壳外电位均为零 在导体球外距离球心O 为f的镜像位置B 处放置一镜像电荷q ’要保持导体球壳C 处电位为零则有'0102044q q r r πεπε+=则12'r q q r -= 2a f d =,'a q q d=-导体球内距离球心r 处的电位为:'010244q q r r πεπεΦ=+其中2212212cos ,2cos r r d rd r r f rf θθ=+-=+-(2)因为球壳是一等位体,球壳内的电位分布应在第一步计算基础上加上球壳电位V 。
球壳内的电位分布为:'010244q q V r r πεπεΦ=++球壳外的电位分布为球心一镜像电荷产生的电位,并且在求外壳产生的电位为V , 则有:00""44q V q bV bπεπε=→=球壳外电位分布为:bVrΦ=(3)当导体球壳上总电量为Q 时,导体球壳的电位为:04q QU bπε+=球壳内的电位分布为:'010244q q U r r πεπεΦ=++球壳外电位分布为:04q Qrπε+Φ=3.7同轴电缆内导体半径为10cm ,外导体半径为40cm ,内外导体之间有两层煤质。
内层从10cm 到20cm ,煤质的参数为σ1=50μS/m ,εrl=2;外层从20cm 到40cm ,煤质的参数为σ2=100μS/m ,εr2=4.求⑴每区域单位长度的电容;⑵每区域单位长度的电导;⑶单位长度的总电容;⑷单位长度的总电导。
(1)每个区域单位长度的电容:1122222ln 2ln 224ln 2ln C b aC c bπεππεπ⨯==⨯==(2)应用静电比拟可得每个区域单位长度的电导:11222250ln 2ln 22100ln 2ln G b aG c bπσππσπ⨯==⨯==(3)两电容是串联,单位长度总电容为:121212121222.ln ln22211ln ln ln ln b c C C a b C b c C C b c a b a bπεπεππεπεεε===+++(4)利用静电比拟,单位长度总电导为:12211lnln G b c a bπσσ=+ 3-13 圆球形电容器内导体半径为a ,外导体内半径为c ,内外导体之间填充两层介电常数分别为εε12,,电导分别为σσ12,的非理想介质,两层非理想介质分界面半径为b ,如果内外导体间电压为V ,求电容器中的电场及界面上的电荷密度。
解:由于圆球形电容器内填充两层非理想介质,有电流流过,设电流为I 。
在圆球形电容器内取一半径为r 的球面,流过此球面的电流密度为ρˆJ J =ρ,则由⎰⎰⋅=SS d J I ρρ得24r J I π= 或 24r I J π= 电场强度为b r a << 2114r I E πσ=c r b << 2224rI E πσ=电压为 )}11(1)11(1{42121cb b a I dr E dr E Vc bba-+-=+=⎰⎰σσπ 由此求出电流与电压的关系后,电场为212211)11()11(r cb b a VE -+-=σσσ212121)11()11(rcb b a V E -+-=σσσ 内导体表面的电荷密度为===)(11a r D n s ρ21221111)11()11(a c b b a VE -+-=σσσεε外导体内表面的电荷密度为===)(22c r D n s ρ21212221)11()11(c cb b a VE -+--=-σσσεε媒质分界面的(驻立)电荷密度为 =-=n n s D D 123ρ212122111221)11()11()(b cb b a V E E -+--=-σσεσεσεε4-4、真空中导线绕成的回路形状如图所示,电流为I 。
求半圆中心处的磁场。
II(a)(b)(c)题4-4 图解:设垂直于纸面向内的方向为z方向。
由例4-2知,半径为a的半圆中心处的磁场为aIzB4ˆ01μ=ρ(1)因为在载流长直导线的延长线上磁场为零,因此aIzB4ˆ0μ=ρ(2)由例4-1知,本题半无限长的载流长直导线在距离为a处的磁场为aIzBπμ4ˆ02=ρ因此本题磁场为半圆环的磁场与两半无限长的直导线的磁场之和)2(4ˆ0+-=ππμaIzBρ(3)本题磁场为电流方向相反的两不同半径的半圆环的磁场之和,即)11(4ˆ0baIzB-=μρ4-18、已知真空中位于xoy平面的表面电流为ρJ J xs=∃,求磁感应强度。
解:由于在无限大的平面上有均匀电流,因此产生匀强磁场。
磁场方向在y方向,跨电流面取一长为L的矩形回路,利用安培环路定律得2LJLBμ=因此2JBμ=写成矢量形式为⎪⎩⎪⎨⎧>-<=;2ˆ;2ˆzJyzJyBμμρ4-20、壁很薄的、半径为cm10的导体圆筒导体圆筒上的电流面密度上的电流在圆筒外产生的磁场为m A B /ˆ100ϕρμ=ρ,求导体圆筒上的电流面密度。
解:当导体圆筒上的电流面密度为z J J S S ˆ0=ρ,由安培环路定律 ⎰=⋅lI l d B 0μρρ当l 为以导体圆筒上的电流面密度的轴线为中心,半径为ρ的圆时 0022S J B πμπρϕ= ρμϕ00S J B =ρμ010=因此 m A J S /100= 5.10已知在空气中jkr e rE r E -=θθsin ˆ)(0ρρ 在圆球坐标系中,求c S t r H t r E r H ρρρρρρρ),,(),,(),(。
解:)cos(sin 2ˆ),(0kr t rE t r E -=ωθθρρ 由H j E ρ&ρ&ωμ-=⨯∇ jkr e r kE j E H -=-⨯∇=θωμϕωμsin ˆ0ρ&ρ&)cos(sin 2ˆ),(0kr t rkE t r H -=ωωμθϕρρ2220*sin ˆr kE r HE S c ωμθ=⨯=ρ&ρ&ρ 5.11已知在空气中 jkrz e rA r A -=0)(ρ在圆球坐标系中,求)(),(r E r H ρρρρ。
解:在圆球坐标系中 jkrz r e rA A A -==θθcos cos 0jkr z e rA A A --=-=θθθsin sin 0 0=ϕA 利用关系式A H ρ&ρ&⨯∇=μ1得 0=rH & 0=θH & jkr e rr jk A H -+=)1(sin 120θμϕ& 上式代入E j Hρ&ρ&ωε=⨯∇得 jkr r e rr jk A j E -+-=)1(cos 2320ωεμθ& jkr e rj r k r jk A E --+=)(sin 3220ωεμθθ& 0=ϕE & 6-4.均匀平面电磁波在真空中沿kˆ=1/2(y ˆ+z ˆ)方向传播, 0E =10x ˆ,求E ,E (y,z,t),H ,H (y,z,t), Sc解:则k=2π, E =0E r k j e •-=xˆ10))(2(z y j e +-π H =1/Z*⨯k ˆE =2/24π(y ˆ-z ˆ))(2z y j e +-πE (y,z,t)= xˆ102cos(2πc/λt-(2π)(y+z)) H (y,z,t)= 1/12π(yˆ-z ˆ)cos(2πc/λt-(2π)(y+z)) S c =*H E ρρ⨯=(5/62π)(yˆ+z ˆ) 6-8、求f =100kHz,1MHz,100MHz,10GHz 时电磁波在铝(σ=3.6*107/欧米, εr =1, μr =1)中的集肤深度.解:δ=1/μσπf =77106.31041⨯⨯⨯⨯-ππff =100kHz, δ=2.6526*104- mf =1MHz, δ= 8.3882*105-mf =100MHz, δ= 8.3882*106-mf =10GHz, δ= 8.3882*107-m6-13、设2)(0σωμω=k ,其中σ=0.5*103-(1/欧米),求在MHz 1020⨯=πω的群速和相速。