初中一年级数学下册整式计算训练题完整版
- 格式:docx
- 大小:42.78 KB
- 文档页数:11
单元测试:《整式的加减》-初中一年级数学试题练习、期中期末试卷、测验题、复习资料-初中数学试卷-试卷下载---------------------------------------单元测试:《整式的加减》(2)一、选择题1.=3,=2且b<0,则a-b的值是()(A)5或-1(B)-5或1(C)-1或-5(D)5或-52.下列判断中正确的是()(A)3a2bc与bca2不是同类项(B)不是整式(C)单项式-x3y2的系数是-1(D)3x2-y+5xy2是二次三项式3.下列说法中正确的是()(A)x的系数是0(B)22与42不是同类项(C)y的次数是0(D)25xyz是三次单项式4.a-b=5,那么3a+7+5b-6(a+b)等于()(A)-7(B)-8(C)-9(D)105.下列各组代数式中互为相反数的有(1)a-b与-a-b;(2)a+b与-a-b;(3)a+1与1-a;(4)-a+b与a-b。
(A)(1)(2)(4)(B)(2)与(4)(C)(1)(3)(4)(D)(3)与(4)6.一个多项式A与多项式B=2x2-3xy-y2的差是多项式C=x2+xy+y2,则A等于()(A)x2-4xy-2y2(B)-x2+4xy+2y2(C)3x2-2xy-2y2(D)3x2-2xy7.若A是一个三次多项式,B是一个四次多项式,则A+B一定是()(A)三次多项式(B)四次多项式(C)七次多项式(D)四次七项式8.当x分别取2和-2时,多项式x5+2x3-5的值()(A)互为相反数(B)互为倒数(C)相等(D)异号不等9.已知2001xn+7y与-2002x2m+3y是同类项,则(2m-n)2的值是()(A)16(B)4×2001(C)-4×2002(D)510.已知-=10,则的值是(A)-2(B)2(C)-2(D)2二、填空题11.有四个连续偶数,其中最小的一个是2n,其余三个是,这四个连续偶数的和是。
七年级数学第一单元《整式的运算》本章知识构造:一、整式的相关观点1、单项式2、单项式的系数及次数3、多项式4、多项式的项、次数5、整式二、整式的运算(一)整式的加减法(二)整式的乘法1、同底数的幂相乘2、幂的乘方3、积的乘方4、同底数的幂相除5、单项式乘以单项式6、单项式乘以多项式7、多项式乘以多项式8、平方差公式9、完整平方公式(三)整式的除法1、单项式除以单项式2、多项式除以单项式一、整式的相关观点1、单项式:数与字母乘积,这样的代数式叫单项式。
单唯一个数或字母也是单项式。
2、单项式的系数:单项式中的数字因数。
3、单项式的次数:单项式中全部的字母的指数和。
4、多项式:几个单项式的和叫多项式。
5、多项式的项及次数:构成多项式中的单项式叫多项式的项,多项式中次数最高项的次数叫多项式的次数。
6、整式:单项式与多项式统称整式。
特别注意,分母含有字母的代数式不是整式,即单项式和多项式的分母都不可以含有字母。
.......................................二、整式的运算(一)整式的加减法基本步骤:去括号,归并同类项。
特别注意:1.整式的加减本质上就是去括号后,归并同类项,运算结果是一个多项式或是单项式.括号前方是“+”号,去括号时,括号内各项都不变号括号前方是“-”号,去括号时,括号内各项都要变号,一个数与多项式相乘时,这个数与括号内各项都要相乘.(二)整式的乘法1、同底数的幂相乘法例:同底数的幂相乘,底数不变,指数相加。
数学符号表示:a m a n a mn(此中m、n为正整数)特别注意,公式还能够逆用:a mn a m a n(m、n均为正整数)2、幂的乘方法例:幂的乘方,底数不变,指数相乘。
数学符号表示:(a m)n a mn(此中m、n为正整数)拓展:[(a m)n]p a mnp(此中m、n、P为正整数)特别注意,公式还能够逆用:a mn(a m)n(a n)m,a mnp[(a m)n]p(m、n均为正整数)3、积的乘方法例:积的乘方,先把积中各因式分别乘方,再把所得的幂相乘。
计算训练20题一.解答题(共20小题)1.先化简,再求值:(a+2b)2﹣4a(b﹣a),其中a=2,b=.2.先化简,再求值:a(a﹣3b)+(a+b)2﹣a(a﹣b),其中a=1,b=﹣3.先化简,再求值(a﹣1)2﹣2a(a﹣1)+(2a+1)(2a﹣1),其中a=.4.先化简,再求值:(2x+1)(2x﹣1)﹣(x+1)(3x﹣2),其中x=﹣15.先化简,再求值:(x+2)2+(x+2)•(x﹣1)﹣2x2,其中x=.6.先化简,再求值:(a+1)2﹣(a+1)(a﹣1),其中,a=﹣1.7.求值(1)先化简,再求值:(x2y3﹣2x3y2)÷(xy2)﹣[2(x﹣y)]2,其中x=3,y=.(2)已知a+b=3,ab=﹣2.求ab﹣a2﹣b2的值.8.(1)设x+2z=3y,试判断x2﹣9y2+4z2+4xz的值是不是定值?如果是定值,求出它的值;否则请说明理由.(2)已知x2﹣2x=2,将下式先化简,再求值:(x﹣1)2+(x+3)(x﹣3)+(x﹣3)(x﹣1).9.化简求值:(2x﹣y+3z)(﹣2x﹣y﹣3z)﹣(x+2y﹣3z)2,其中x=1,y=﹣1,z=1.10.先化简,后求值:已知:(x+1)2﹣(x﹣2)(x+2),其中,并且x是整数.11.先化简,再求值(2x+3)(2x﹣3)﹣4x(x﹣1)+(x﹣2)2,其中x=﹣12.先化简,再求值:(2a﹣b)2﹣a(4a﹣3b),其中a=1,b=.13.先化简,再求值:(x+2)(x﹣2)﹣(x+3)2,其中x=.14.先化简,再求值:x(x+3)﹣(x+1)2,其中x=+1.15.已知a2+2a﹣2=0,求代数式(3a+2)(3a﹣2)﹣2a(4a﹣1)的值.16.先化简,再求值:x(x﹣2)+(x+1)2,其中x=﹣1.17.先化简,再求值:(2x+1)2﹣2(x+3)(x﹣1),其中x=.18.先化简,再求值:(x﹣y)2+y(y+2x),其中x=,y=.19.(1)计算:﹣﹣|2﹣|(2)先化简,再求值:(2x﹣1)2﹣2(3﹣2x),其中x=﹣20.先化简,再求值:(x+y)(x﹣y)﹣(4x3y﹣8xy3)÷2xy,其中x=﹣1,y=.计算训练20题参考答案与试题解析一.解答题(共20小题)1.先化简,再求值:(a+2b)2﹣4a(b﹣a),其中a=2,b=.【分析】原式第一项利用完全平方公式化简,第二项利用单项式乘以多项式法则计算,去括号合并得到最简结果,将a、b的值代入化简后的式子中计算,即可求出值.【解答】解:原式=a2+4ab+4b2﹣4ab+4a2=5a2+4b2,当a=2、b=时,原式=5×22+4×()2=5×4+4×3=20+12=32.【点评】此题考查了整式的混合运算﹣化简求值,涉及的知识有:完全平方公式、去括号法则以及合并同类项法则,熟练掌握公式及法则是解本题的关键.2.先化简,再求值:a(a﹣3b)+(a+b)2﹣a(a﹣b),其中a=1,b=﹣【分析】先利用单项式乘多项式法则和完全平方公式去括号,再合并同类项即可化简原式,把a、b的值代入计算可得.【解答】解:原式=a2﹣3ab+a2+2ab+b2﹣a2+ab=a2+b2,当a=1、b=﹣时,原式=12+(﹣)2=1+【点评】此题考查了整式的混合运算﹣化简求值,涉及的知识有:单项式乘多项式,完全平方公式以及合并同类项法则,熟练掌握公式及法则是解本题的关键.3.先化简,再求值(a﹣1)2﹣2a(a﹣1)+(2a+1)(2a﹣1),其中a=.【分析】原式利用平方差公式,完全平方公式,以及单项式乘以多项式法则计算,去括号合并得到最简结果,把a的值代入计算即可求出值.【解答】解:原式=a2﹣2a+1﹣2a2+2a+4a2﹣1=3a2,当a=时,原式=3×5=15.【点评】此题考查了整式的混合运算﹣化简求值,熟练掌握运算法则是解本题的关键.4.先化简,再求值:(2x+1)(2x﹣1)﹣(x+1)(3x﹣2),其中x=﹣1【分析】先利用平方差公式和多项式乘多项式法则计算,再去括号、合并同类项即可化简原式,继而将x的值代入计算可得.【解答】解:原式=4x2﹣1﹣(3x2﹣2x+3x﹣2)=4x2﹣1﹣3x2+2x﹣3x+2=x2﹣x+1,当x=﹣1时,原式=(﹣1)2﹣(﹣1)+1=2﹣2+1﹣+1+1=5﹣3.【点评】本题主要考查整式的混合运算﹣化简求值,解题的关键是掌握整式的混合运算顺序和运算法则.5.先化简,再求值:(x+2)2+(x+2)•(x﹣1)﹣2x2,其中x=.【分析】先根据完全平方公式、多项式乘多项式的法则展开,再合并同类项,继而将x的值代入计算可得.【解答】解:原式=x2+4x+4+x2﹣x+2x﹣2﹣2x2当x=时,原式=5+2.【点评】本题主要考查整式的混合运算﹣化简求值,解题的关键是掌握完全平方公式、多项式乘多项式的法则及合并同类项的法则.6.先化简,再求值:(a+1)2﹣(a+1)(a﹣1),其中,a=﹣1.【分析】先根据完全平方公式和平方差公式算乘法,再合并同类项,最后代入求出即可.【解答】解:(a+1)2﹣(a+1)(a﹣1)=a2+2a+1﹣a2+1=2a+2,当a=﹣1时,原式=2×(﹣1)+2=2.【点评】本题考查了整式的混合运算和求值的应用,能正确运用运算法则进行化简是解此题的关键.7.求值(1)先化简,再求值:(x2y3﹣2x3y2)÷(xy2)﹣[2(x﹣y)]2,其中x=3,y=.(2)已知a+b=3,ab=﹣2.求ab﹣a2﹣b2的值.【分析】(1)先做除法和乘方运算,化简后代值计算.(2)运用乘法公式,把代数式化为含有已知条件的形式再计算.【解答】解:(1)原式=﹣2xy+4x2﹣4x2+8xy﹣4y2=6xy﹣4y2.当x=3,y=时,原式=6×3×()﹣4×()2=﹣9﹣1=﹣10.(2)当a+b=3,ab=﹣2时,ab﹣a2﹣b2=﹣(a+b)2+3ab=﹣32+3×(﹣2)=﹣15.【点评】此题考查整式的化简求值,熟练掌握和运用乘法公式是关键.8.(1)设x+2z=3y,试判断x2﹣9y2+4z2+4xz的值是不是定值?如果是定值,求出它的值;否则请说明理由.(2)已知x2﹣2x=2,将下式先化简,再求值:(x﹣1)2+(x+3)(x﹣3)+(x﹣3)(x﹣1).【分析】(1)可把已知条件化为x﹣3y=﹣2z,把代数式中的x2﹣9y2因式分解,再把x﹣3y=﹣2z代入化简可知代数式的值是否是定值;(2)把原式化简为含x2﹣2x的代数式,再整体代入计算.【解答】解:(1)定值为0,理由如下:∵x+2z=3y,∴x﹣3y=﹣2z,∴原式=(x﹣3y)(x+3y)+4z2+4xz,=﹣2z(x+3y)+4z2+4xz,=﹣2xz﹣6yz+4z2+4xz,=4z2+2xz﹣6yz,=4z2+2z(x﹣3y),=4z2﹣4z2,=0.(2)原式=x2﹣2x+1+x2﹣9+x2﹣4x+3,=3x2﹣6x﹣5,=3(x2﹣2x)﹣5,当x2﹣2x=2时,原式=3×2﹣5=1.【点评】考查的是整式的混合运算,主要考查了公式法、多项式与多项式相乘以及合并同类项的知识点,还要注意整体思想的应用.9.化简求值:(2x﹣y+3z)(﹣2x﹣y﹣3z)﹣(x+2y﹣3z)2,其中x=1,y=﹣1,z=1.【分析】根据已知条件“x=1,y=﹣1,z=1”得到“x=z=﹣y”,所以把所求代数式转化为只含有x的代数式,再把x=1代入求值即可.【解答】解:∵x=1,y=﹣1,z=1,∴x=z=﹣y.则原式=(2x+x+3x)(﹣2x+x﹣3x)﹣(x﹣2x﹣3x)2=6x•(﹣4)x﹣(﹣4x)2=﹣24x2﹣16x2=﹣40x2=﹣40×12=﹣40.【点评】本题考查了整式的混合运算﹣化简求值.解答该题时,不是先化简(2x ﹣y+3z)(﹣2x﹣y﹣3z)﹣(x+2y﹣3z)2,而是将x、y、z间的数量关系找出后再来化简该代数式,减少了不少的运算过程.10.先化简,后求值:已知:(x+1)2﹣(x﹣2)(x+2),其中,并且x是整数.【分析】原式第一项利用平方差公式化简,第二项利用单项式乘以多项式法则计算,去括号合并得到最简结果,根据题意得出x的值,代入计算可得.【解答】解:原式=x2+2x+1﹣(x2﹣4)=x2+2x+1﹣x2+4=2x+5,∵且x是整数,∴x=3,则原式=2×3+5=11.【点评】此题考查了整式的混合运算﹣化简求值,熟练掌握运算法则是解本题的关键.11.先化简,再求值(2x+3)(2x﹣3)﹣4x(x﹣1)+(x﹣2)2,其中x=﹣【分析】利用平方差公式、单项式乘多项式及完全平方公式去括号,再合并同类项化简后,再将x的值代入计算可得.【解答】解:原式=4x2﹣9﹣4x2+4x+x2﹣4x+4=x2﹣5,当x=﹣时,原式=(﹣)2﹣5=3﹣5=﹣2.【点评】本题主要考查整式的混合运算﹣化简求值,解题的关键是熟练掌握整式的混合运算顺序和运算法则.12.先化简,再求值:(2a﹣b)2﹣a(4a﹣3b),其中a=1,b=.【分析】原式利用完全平方公式,以及单项式乘以多项式法则计算,去括号合并得到最简结果,把a与b的值代入计算即可求出值.【解答】解:原式=4a2﹣4ab+b2﹣4a2+3ab=b2﹣ab,当a=1,b=时,原式=3﹣.【点评】此题考查了整式的混合运算﹣化简求值,熟练掌握运算法则及公式是解本题的关键.13.先化简,再求值:(x+2)(x﹣2)﹣(x+3)2,其中x=.【分析】把代数式去括号,合并同类项,从而将整式化为最简形式,然后把a 的值代入即可.【解答】解:原式=x2﹣4﹣(x2+6x+9)=x2﹣4﹣x2﹣6x﹣9=﹣6x﹣13,当x=时,原式=﹣6×﹣13=﹣2﹣13=﹣15.【点评】本题主要考查整式的化简.整式的运算实际上就是去括号、合并同类项,还考查了完全平方公式和单项式乘多项式的运算,巧妙运用化简结果与已知条件的形式相同是解题的关键.14.先化简,再求值:x(x+3)﹣(x+1)2,其中x=+1.【分析】原式利用单项式乘以多项式,完全平方公式计算,去括号合并得到最简结果,把x的值代入计算即可求出值.【解答】解:原式=x2+3x﹣x2﹣2x﹣1=x﹣1,当x=+1时,原式=.【点评】此题考查了整式的混合运算﹣化简求值,熟练掌握运算法则是解本题的关键.15.已知a2+2a﹣2=0,求代数式(3a+2)(3a﹣2)﹣2a(4a﹣1)的值.【分析】原式利用平方差公式,单项式乘以多项式法则计算,去括号合并后将已知等式变形代入计算即可求出值.【解答】解:∵a2+2a﹣2=0,∴a2+2a=2,则原式=9a2﹣4﹣8a2+2a=a2+2a﹣4=2﹣4=﹣2.【点评】此题考查了整式的混合运算﹣化简求值,熟练掌握运算法则是解本题的关键.16.先化简,再求值:x(x﹣2)+(x+1)2,其中x=﹣1.【分析】原式利用单项式乘以多项式,完全平方公式化简得到结果,将x的值代入计算即可求出值.【解答】解:原式=x2﹣2x+x2+2x+1=2x2+1,当x=﹣1时,原式=2×(﹣1)2+1=3.【点评】此题考查了整式的混合运算﹣化简求值,熟练掌握运算法则是解本题的关键.17.先化简,再求值:(2x+1)2﹣2(x+3)(x﹣1),其中x=.【分析】原式利用完全平方公式,以及多项式乘以多项式法则计算,去括号合并得到最简结果,把x的值代入计算即可求出值.【解答】解:原式=4x2+4x+1﹣2x2﹣4x+6=2x2+7,当x=时,原式=4+7=11.【点评】此题考查了整式的混合运算﹣化简求值,熟练掌握运算法则是解本题的关键.18.先化简,再求值:(x﹣y)2+y(y+2x),其中x=,y=.【分析】原式利用完全平方公式,单项式乘以多项式法则计算,去括号合并得到最简结果,把x与y的值代入计算即可求出值.【解答】解:原式=x2﹣2xy+y2+y2+2xy=x2+2y2,当x=,y=时,原式=2+6=8.【点评】此题考查了整式的混合运算﹣化简求值,熟练掌握运算法则是解本题的关键.19.(1)计算:﹣﹣|2﹣|(2)先化简,再求值:(2x﹣1)2﹣2(3﹣2x),其中x=﹣【分析】(1)原式分母有理化,利用立方根的定义,绝对值的代数意义计算即可求出值;(2)原式利用完全平方公式化简,去括号合并得到最简结果,把x的值代入计算即可求出值.【解答】解:(1)原式=+2﹣2+=;(2)原式=4x2﹣4x+1﹣6+4x=4x2﹣5.【点评】此题考查了整式的混合运算﹣化简求值,以及实数的运算,熟练掌握运算法则是解本题的关键.20.先化简,再求值:(x+y)(x﹣y)﹣(4x3y﹣8xy3)÷2xy,其中x=﹣1,y=.【分析】先算乘法和除法,再合并同类项,最后代入求出即可.【解答】解:(x+y)(x﹣y)﹣(4x3y﹣8xy3)÷2xy=x2﹣y2﹣(2x2﹣4y2)=x2﹣y2﹣2x2+4y2=﹣x2+3y2,当时,原式=﹣(﹣1)2+3×=.【点评】本题考查了整式的混合运算和求值,能正确根据整式的运算法则进行化简是解此题的关键.考点卡片1.估算无理数的大小估算无理数大小要用逼近法.思维方法:用有理数逼近无理数,求无理数的近似值.2.实数的运算(1)实数的运算和在有理数范围内一样,值得一提的是,实数既可以进行加、减、乘、除、乘方运算,又可以进行开方运算,其中正实数可以开平方.(2)在进行实数运算时,和有理数运算一样,要从高级到低级,即先算乘方、开方,再算乘除,最后算加减,有括号的要先算括号里面的,同级运算要按照从左到有的顺序进行.另外,有理数的运算律在实数范围内仍然适用.【规律方法】实数运算的“三个关键”1.运算法则:乘方和开方运算、幂的运算、指数(特别是负整数指数,0指数)运算、根式运算、特殊三角函数值的计算以及绝对值的化简等.2.运算顺序:先乘方,再乘除,后加减,有括号的先算括号里面的,在同一级运算中要从左到右依次运算,无论何种运算,都要注意先定符号后运算.3.运算律的使用:使用运算律可以简化运算,提高运算速度和准确度.3.完全平方公式(1)完全平方公式:(a±b)2=a2±2ab+b2.可巧记为:“首平方,末平方,首末两倍中间放”.(2)完全平方公式有以下几个特征:①左边是两个数的和的平方;②右边是一个三项式,其中首末两项分别是两项的平方,都为正,中间一项是两项积的2倍;其符号与左边的运算符号相同.(3)应用完全平方公式时,要注意:①公式中的a,b可是单项式,也可以是多项式;②对形如两数和(或差)的平方的计算,都可以用这个公式;③对于三项的可以把其中的两项看做一项后,也可以用完全平方公式.4.整式的混合运算—化简求值先按运算顺序把整式化简,再把对应字母的值代入求整式的值.有乘方、乘除的混合运算中,要按照先乘方后乘除的顺序运算,其运算顺序和有理数的混合运算顺序相似.。
初一数学整式练习题50道(含5篇)第一篇:初一数学整式练习题50道初一数学(下)整式运算练习题50道1.(6×108)(7×109)(4×104). 2.(-5xn+1y)·(-2x).3.(-3ab)·(-a2c)·6ab2.4.(-4a)·(2a2+3a-1).5.58.(3m-n)(m-2n). 59.(x+2y)(5a+3b).3224260.(-ab)·(-ab)·(-abc).61.[(-a)2m]3·a3m+[(-a)5m]2. 62.xn+1(xn-xn-1+x). 63.(x+y)(x2-xy+y2).65.5x(x+2x+1)-(2x+3)(x-5). 267.(2x-3)(x+4).70.(-2ab)(-ab)(-3ab). mn2n274.(m-n)(m5+m4n+m3n2+m2n3+mn4+n5).75.(2a2-1)(a-4)(a2+3)(2a-5).76.2[(x+2)(x+1)-3]+(x-1)(x-2)-3x(x+3).77.(0.3a3b4)2·(-0.2a4b3)3. 78.(-4xy3)·(-xy)+(-3xy2)2.80.(5a3+2a-a2-3)(2-a+4a2).81.(3x4-2x2+x-3)(4x3-x2+5).83.(3ab)(2a+2ab+3b). m+2n+2mm-2n-2n86.[(-ab)]·(-ab).87.(-2ab2)3·(3a2b-2ab-4b2). 23391.(-2xy)·(-xy)·(-3xy). 92.(0.2a-1.5b+1)(0.4a-4b-0.5).393.-8(a-b)·3(b-a). 94.(x+3y+4)(2x-y). mn32n96.y[y-3(x-z)]+y[3z-(y-3x)].97.计算[(-a)2m]3·a3m+[(-a)3m]3(m为自然数).(四)化简第二篇:二年级数学练习题每日口算50道二年级数学练习题每日口算50道,应用题六道。
初一整式的加减计算题一、整式的加减计算题20题1. 计算:(3a + 2b - 5c)-(2a - 3b + 4c)- 解析:- 去括号法则:括号前是正号,去掉括号后各项不变号;括号前是负号,去掉括号后各项变号。
- 原式=3a + 2b-5c - 2a+3b - 4c- 然后合并同类项:- (3a - 2a)+(2b + 3b)+(-5c-4c)=a + 5b-9c。
2. 计算:2(2x - 3y)-3(x + y - 1)+2y- 解析:- 先运用乘法分配律去括号:- 原式=4x-6y-(3x + 3y-3)+2y- =4x - 6y - 3x-3y + 3+2y- 再合并同类项:- (4x-3x)+(-6y-3y + 2y)+3=x-7y + 3。
3. 计算:3x^2-[5x-( (1)/(2)x - 3)+2x^2]- 解析:- 先去小括号:- 原式=3x^2-[5x-(1)/(2)x + 3+2x^2]- 再去中括号:- =3x^2-5x+(1)/(2)x - 3 - 2x^2- 最后合并同类项:- (3x^2-2x^2)+(-5x+(1)/(2)x)-3=x^2-(9)/(2)x-3。
4. 计算:(4a^2b - 3ab^2)-( - a^2b+2ab^2)- 解析:- 去括号:- 原式=4a^2b-3ab^2+a^2b - 2ab^2- 合并同类项:- (4a^2b+a^2b)+(-3ab^2-2ab^2) = 5a^2b-5ab^2。
5. 计算:5a^2-[a^2+(5a^2-2a)-2(a^2-3a)]- 解析:- 原式=5a^2-[a^2+5a^2-2a - 2a^2+6a]- 再去中括号:- =5a^2-a^2-5a^2+2a + 2a^2-6a- 合并同类项:- (5a^2-a^2-5a^2+2a^2)+(2a - 6a)=a^2-4a。
6. 计算:2(a^2b + ab^2)-2(a^2b - 1)-3(ab^2+1)- 解析:- 先去括号:- 原式=2a^2b+2ab^2-2a^2b + 2-3ab^2-3- 合并同类项:- (2a^2b-2a^2b)+(2ab^2-3ab^2)+(2 - 3)=-ab^2-1。
初一数学整式练习题精选(含答案)初一数学整式练习题精选(含答案)练习一:填空题1. 3x + 5y - 4z + 2x - y - 3z = ________.2. (x - 3)(x + 2) = ________.3. (2a + 3b)(4a - 2b) = ________.4. 2(x - 1)(x + 3) - (x - 2)(x + 1) = ________.答案:1. 5x + 4y - 7z2. x^2 - x - 63. 8a^2 - 8b^24. x^2 + 2x练习二:展开和化简1. (m - 4)(m + 2)2. (2x + 1)(x - 3)3. (3a - 2)(3a + 2) - (2a - 1)(2a + 1)4. (5x - 2)(5x + 2) + (3x - 1)(3x + 1)答案:1. m^2 - 2m - 82. 2x^2 - 5x - 33. 5a^2 - 14. 34x^2 - 1练习三:因式分解1. x^2 - 92. 81m^2 - 163. 25x^2 - y^24. 16a^2 - 49b^2答案:1. (x + 3)(x - 3)2. (9m + 4)(9m - 4)3. (5x + y)(5x - y)4. (4a + 7b)(4a - 7b)练习四:扩展与合并同类项1. 2x + 3y - 4x + y2. 5a^2 - 3a - 2a^2 + a3. 4x - 2y + 3x + 5y4. 7x^2 - 5x - 3x^2 + 4x + 2x^2答案:1. -2x + 4y2. 3a^2 - 2a3. 7x + 3y4. 6x^2 - x练习五:乘法公式1. (x + y)^22. (3a - 2b)(3a + 2b)3. (4m + 5n)^24. (2x + 3y)(2x - 3y)答案:1. x^2 + 2xy + y^22. 9a^2 - 4b^23. 16m^2 + 40mn + 25n^24. 4x^2 - 9y^2练习六:因式分解与提取公因式1. 4x^2 + 8x2. 6a^2b - 12ab3. 9x^2 - 44. 10ab - 20b答案:1. 4x(x + 2)2. 6ab(a - 2)3. (3x + 2)(3x - 2)4. 10b(a - 2)练习七:应用题1. 若已知(x + 3)(x - 1) = x^2 + bx - 3,求b的值。
.1、22()x x2、332()()a a a3、2323()()a a a 4、 223()x5、3231()4x y z 6、32()()()x y xy yx7、53143()()n n a a a a8、2333211()()23xy x y9、(-8)2005×0.125200410、(-0.25)11×22211、263373()()(2)x x x12、433111()()()aa a13、232(2)(2)n14、33612(0.25)0.1252(2).15、3312()()n x y xy16、5524226()()()()()x x x x x x17、232323(3)()x y x y 18、32322()()(3)a b a b19、32008200910010010.25(4)8()220、122()()mm m a a a21、3233633(4)(3)2(2)x x x x x22、234342343()()()x y x y x y23、4354832263()2()5()x y xy x y x y x y24、已知 27927813n n n,求n 的值25、已知23,24nm ,求2312mn 值26、已知36,92mn ,求2413mn 值27、(3x+10)(x+2)28、(4y-1)(y-5)29、(2x-521)() 252y x y30、()()()x y z y z x z x y21、232(4)122()43b a ab a a b b32、若m为正整数,且x2m=3,求:(3x3m)2-13(x2)2m的值33、532()()a a a34、21512525n m m35、2(x-8)(x-5)-(2x-1)(x+2)36、2322(43)3(46)m m m m m m 37、04331113()()()333 38、若3918()n mx y y x y,求:222223(2)mn m m n mn值39、2()x y40、(35)(106)x y y x41、20092008(2)(2) 42、3373(2)(2)x y x y43、22232(3)42(32)x x x x x44、化简求值:其中14,22x y2(2)()(2)2(3)()x y xy xy x y xy45、2(1)x y46、(32)(23)x y y x47、2211(3)(3)22x y xy48、30131241()()()()335249、23021771()()(1.92)()(3)99350、化简求值:其中214x y32431(1)2()22(1)2xy x x yx y x y x51、22222()()()a b a b a b52、22()()4a b a b ab53、222()()()a b ab ab54、2222()()()()x y x y x y y x55、22(23)(23)(23)(23)a b a b a b a b56、化简求值:其中1x(21)(1)2(3)(4)x x x x57、(32)(32)m n m n58、(3)(3)a b b a59、4422()()()x y x y x y60、33()()a b a b a b61、1212()()m n mn a b a b62、化简求值:其中1,13x y222()()3()()4x xy yx xy yx y.63、(26)(3)y y64、(0.5)(0.5)xy xy65、3(2)(1)2(5)(3)x x x x66、22222(3)(3)(9)x y x y x y67、2222111()()(2)222yx y x xy 68、42(1)(1)(1)(1)x x x x69、已知211x x ,求x 的值。
计算训练20题一.解答题(共20小题)1.先化简,再求值:(a+2b)2﹣4a(b﹣a),其中a=2,b=.2.先化简,再求值:a(a﹣3b)+(a+b)2﹣a(a﹣b),其中a=1,b=﹣3.先化简,再求值(a﹣1)2﹣2a(a﹣1)+(2a+1)(2a﹣1),其中a=.4.先化简,再求值:(2x+1)(2x﹣1)﹣(x+1)(3x﹣2),其中x=﹣15.先化简,再求值:(x+2)2+(x+2)•(x﹣1)﹣2x2,其中x=.6.先化简,再求值:(a+1)2﹣(a+1)(a﹣1),其中,a=﹣1.7.求值(1)先化简,再求值:(x2y3﹣2x3y2)÷(xy2)﹣[2(x﹣y)]2,其中x=3,y=.(2)已知a+b=3,ab=﹣2.求ab﹣a2﹣b2的值.8.(1)设x+2z=3y,试判断x2﹣9y2+4z2+4xz的值是不是定值?如果是定值,求出它的值;否则请说明理由.(2)已知x2﹣2x=2,将下式先化简,再求值:(x﹣1)2+(x+3)(x﹣3)+(x﹣3)(x﹣1).9.化简求值:(2x﹣y+3z)(﹣2x﹣y﹣3z)﹣(x+2y﹣3z)2,其中x=1,y=﹣1,z=1.10.先化简,后求值:已知:(x+1)2﹣(x﹣2)(x+2),其中,并且x是整数.11.先化简,再求值(2x+3)(2x﹣3)﹣4x(x﹣1)+(x﹣2)2,其中x=﹣12.先化简,再求值:(2a﹣b)2﹣a(4a﹣3b),其中a=1,b=.13.先化简,再求值:(x+2)(x﹣2)﹣(x+3)2,其中x=.14.先化简,再求值:x(x+3)﹣(x+1)2,其中x=+1.15.已知a2+2a﹣2=0,求代数式(3a+2)(3a﹣2)﹣2a(4a﹣1)的值.16.先化简,再求值:x(x﹣2)+(x+1)2,其中x=﹣1.17.先化简,再求值:(2x+1)2﹣2(x+3)(x﹣1),其中x=.18.先化简,再求值:(x﹣y)2+y(y+2x),其中x=,y=.19.(1)计算:﹣﹣|2﹣|(2)先化简,再求值:(2x﹣1)2﹣2(3﹣2x),其中x=﹣20.先化简,再求值:(x+y)(x﹣y)﹣(4x3y﹣8xy3)÷2xy,其中x=﹣1,y=.计算训练20题参考答案与试题解析一.解答题(共20小题)1.先化简,再求值:(a+2b)2﹣4a(b﹣a),其中a=2,b=.【分析】原式第一项利用完全平方公式化简,第二项利用单项式乘以多项式法则计算,去括号合并得到最简结果,将a、b的值代入化简后的式子中计算,即可求出值.【解答】解:原式=a2+4ab+4b2﹣4ab+4a2=5a2+4b2,当a=2、b=时,原式=5×22+4×()2=5×4+4×3=20+12=32.【点评】此题考查了整式的混合运算﹣化简求值,涉及的知识有:完全平方公式、去括号法则以及合并同类项法则,熟练掌握公式及法则是解本题的关键.2.先化简,再求值:a(a﹣3b)+(a+b)2﹣a(a﹣b),其中a=1,b=﹣【分析】先利用单项式乘多项式法则和完全平方公式去括号,再合并同类项即可化简原式,把a、b的值代入计算可得.【解答】解:原式=a2﹣3ab+a2+2ab+b2﹣a2+ab=a2+b2,当a=1、b=﹣时,原式=12+(﹣)2=1+【点评】此题考查了整式的混合运算﹣化简求值,涉及的知识有:单项式乘多项式,完全平方公式以及合并同类项法则,熟练掌握公式及法则是解本题的关键.3.先化简,再求值(a﹣1)2﹣2a(a﹣1)+(2a+1)(2a﹣1),其中a=.【分析】原式利用平方差公式,完全平方公式,以及单项式乘以多项式法则计算,去括号合并得到最简结果,把a的值代入计算即可求出值.【解答】解:原式=a2﹣2a+1﹣2a2+2a+4a2﹣1=3a2,当a=时,原式=3×5=15.【点评】此题考查了整式的混合运算﹣化简求值,熟练掌握运算法则是解本题的关键.4.先化简,再求值:(2x+1)(2x﹣1)﹣(x+1)(3x﹣2),其中x=﹣1【分析】先利用平方差公式和多项式乘多项式法则计算,再去括号、合并同类项即可化简原式,继而将x的值代入计算可得.【解答】解:原式=4x2﹣1﹣(3x2﹣2x+3x﹣2)=4x2﹣1﹣3x2+2x﹣3x+2=x2﹣x+1,当x=﹣1时,原式=(﹣1)2﹣(﹣1)+1=2﹣2+1﹣+1+1=5﹣3.【点评】本题主要考查整式的混合运算﹣化简求值,解题的关键是掌握整式的混合运算顺序和运算法则.5.先化简,再求值:(x+2)2+(x+2)•(x﹣1)﹣2x2,其中x=.【分析】先根据完全平方公式、多项式乘多项式的法则展开,再合并同类项,继而将x的值代入计算可得.【解答】解:原式=x2+4x+4+x2﹣x+2x﹣2﹣2x2当x=时,原式=5+2.【点评】本题主要考查整式的混合运算﹣化简求值,解题的关键是掌握完全平方公式、多项式乘多项式的法则及合并同类项的法则.6.先化简,再求值:(a+1)2﹣(a+1)(a﹣1),其中,a=﹣1.【分析】先根据完全平方公式和平方差公式算乘法,再合并同类项,最后代入求出即可.【解答】解:(a+1)2﹣(a+1)(a﹣1)=a2+2a+1﹣a2+1=2a+2,当a=﹣1时,原式=2×(﹣1)+2=2.【点评】本题考查了整式的混合运算和求值的应用,能正确运用运算法则进行化简是解此题的关键.7.求值(1)先化简,再求值:(x2y3﹣2x3y2)÷(xy2)﹣[2(x﹣y)]2,其中x=3,y=.(2)已知a+b=3,ab=﹣2.求ab﹣a2﹣b2的值.【分析】(1)先做除法和乘方运算,化简后代值计算.(2)运用乘法公式,把代数式化为含有已知条件的形式再计算.【解答】解:(1)原式=﹣2xy+4x2﹣4x2+8xy﹣4y2=6xy﹣4y2.当x=3,y=时,原式=6×3×()﹣4×()2=﹣9﹣1=﹣10.(2)当a+b=3,ab=﹣2时,ab﹣a2﹣b2=﹣(a+b)2+3ab=﹣32+3×(﹣2)=﹣15.【点评】此题考查整式的化简求值,熟练掌握和运用乘法公式是关键.8.(1)设x+2z=3y,试判断x2﹣9y2+4z2+4xz的值是不是定值?如果是定值,求出它的值;否则请说明理由.(2)已知x2﹣2x=2,将下式先化简,再求值:(x﹣1)2+(x+3)(x﹣3)+(x﹣3)(x﹣1).【分析】(1)可把已知条件化为x﹣3y=﹣2z,把代数式中的x2﹣9y2因式分解,再把x﹣3y=﹣2z代入化简可知代数式的值是否是定值;(2)把原式化简为含x2﹣2x的代数式,再整体代入计算.【解答】解:(1)定值为0,理由如下:∵x+2z=3y,∴x﹣3y=﹣2z,∴原式=(x﹣3y)(x+3y)+4z2+4xz,=﹣2z(x+3y)+4z2+4xz,=﹣2xz﹣6yz+4z2+4xz,=4z2+2xz﹣6yz,=4z2+2z(x﹣3y),=4z2﹣4z2,=0.(2)原式=x2﹣2x+1+x2﹣9+x2﹣4x+3,=3x2﹣6x﹣5,=3(x2﹣2x)﹣5,当x2﹣2x=2时,原式=3×2﹣5=1.【点评】考查的是整式的混合运算,主要考查了公式法、多项式与多项式相乘以及合并同类项的知识点,还要注意整体思想的应用.9.化简求值:(2x﹣y+3z)(﹣2x﹣y﹣3z)﹣(x+2y﹣3z)2,其中x=1,y=﹣1,z=1.【分析】根据已知条件“x=1,y=﹣1,z=1”得到“x=z=﹣y”,所以把所求代数式转化为只含有x的代数式,再把x=1代入求值即可.【解答】解:∵x=1,y=﹣1,z=1,∴x=z=﹣y.则原式=(2x+x+3x)(﹣2x+x﹣3x)﹣(x﹣2x﹣3x)2=6x•(﹣4)x﹣(﹣4x)2=﹣24x2﹣16x2=﹣40x2=﹣40×12=﹣40.【点评】本题考查了整式的混合运算﹣化简求值.解答该题时,不是先化简(2x ﹣y+3z)(﹣2x﹣y﹣3z)﹣(x+2y﹣3z)2,而是将x、y、z间的数量关系找出后再来化简该代数式,减少了不少的运算过程.10.先化简,后求值:已知:(x+1)2﹣(x﹣2)(x+2),其中,并且x是整数.【分析】原式第一项利用平方差公式化简,第二项利用单项式乘以多项式法则计算,去括号合并得到最简结果,根据题意得出x的值,代入计算可得.【解答】解:原式=x2+2x+1﹣(x2﹣4)=x2+2x+1﹣x2+4=2x+5,∵且x是整数,∴x=3,则原式=2×3+5=11.【点评】此题考查了整式的混合运算﹣化简求值,熟练掌握运算法则是解本题的关键.11.先化简,再求值(2x+3)(2x﹣3)﹣4x(x﹣1)+(x﹣2)2,其中x=﹣【分析】利用平方差公式、单项式乘多项式及完全平方公式去括号,再合并同类项化简后,再将x的值代入计算可得.【解答】解:原式=4x2﹣9﹣4x2+4x+x2﹣4x+4=x2﹣5,当x=﹣时,原式=(﹣)2﹣5=3﹣5=﹣2.【点评】本题主要考查整式的混合运算﹣化简求值,解题的关键是熟练掌握整式的混合运算顺序和运算法则.12.先化简,再求值:(2a﹣b)2﹣a(4a﹣3b),其中a=1,b=.【分析】原式利用完全平方公式,以及单项式乘以多项式法则计算,去括号合并得到最简结果,把a与b的值代入计算即可求出值.【解答】解:原式=4a2﹣4ab+b2﹣4a2+3ab=b2﹣ab,当a=1,b=时,原式=3﹣.【点评】此题考查了整式的混合运算﹣化简求值,熟练掌握运算法则及公式是解本题的关键.13.先化简,再求值:(x+2)(x﹣2)﹣(x+3)2,其中x=.【分析】把代数式去括号,合并同类项,从而将整式化为最简形式,然后把a 的值代入即可.【解答】解:原式=x2﹣4﹣(x2+6x+9)=x2﹣4﹣x2﹣6x﹣9=﹣6x﹣13,当x=时,原式=﹣6×﹣13=﹣2﹣13=﹣15.【点评】本题主要考查整式的化简.整式的运算实际上就是去括号、合并同类项,还考查了完全平方公式和单项式乘多项式的运算,巧妙运用化简结果与已知条件的形式相同是解题的关键.14.先化简,再求值:x(x+3)﹣(x+1)2,其中x=+1.【分析】原式利用单项式乘以多项式,完全平方公式计算,去括号合并得到最简结果,把x的值代入计算即可求出值.【解答】解:原式=x2+3x﹣x2﹣2x﹣1=x﹣1,当x=+1时,原式=.【点评】此题考查了整式的混合运算﹣化简求值,熟练掌握运算法则是解本题的关键.15.已知a2+2a﹣2=0,求代数式(3a+2)(3a﹣2)﹣2a(4a﹣1)的值.【分析】原式利用平方差公式,单项式乘以多项式法则计算,去括号合并后将已知等式变形代入计算即可求出值.【解答】解:∵a2+2a﹣2=0,∴a2+2a=2,则原式=9a2﹣4﹣8a2+2a=a2+2a﹣4=2﹣4=﹣2.【点评】此题考查了整式的混合运算﹣化简求值,熟练掌握运算法则是解本题的关键.16.先化简,再求值:x(x﹣2)+(x+1)2,其中x=﹣1.【分析】原式利用单项式乘以多项式,完全平方公式化简得到结果,将x的值代入计算即可求出值.【解答】解:原式=x2﹣2x+x2+2x+1=2x2+1,当x=﹣1时,原式=2×(﹣1)2+1=3.【点评】此题考查了整式的混合运算﹣化简求值,熟练掌握运算法则是解本题的关键.17.先化简,再求值:(2x+1)2﹣2(x+3)(x﹣1),其中x=.【分析】原式利用完全平方公式,以及多项式乘以多项式法则计算,去括号合并得到最简结果,把x的值代入计算即可求出值.【解答】解:原式=4x2+4x+1﹣2x2﹣4x+6=2x2+7,当x=时,原式=4+7=11.【点评】此题考查了整式的混合运算﹣化简求值,熟练掌握运算法则是解本题的关键.18.先化简,再求值:(x﹣y)2+y(y+2x),其中x=,y=.【分析】原式利用完全平方公式,单项式乘以多项式法则计算,去括号合并得到最简结果,把x与y的值代入计算即可求出值.【解答】解:原式=x2﹣2xy+y2+y2+2xy=x2+2y2,当x=,y=时,原式=2+6=8.【点评】此题考查了整式的混合运算﹣化简求值,熟练掌握运算法则是解本题的关键.19.(1)计算:﹣﹣|2﹣|(2)先化简,再求值:(2x﹣1)2﹣2(3﹣2x),其中x=﹣【分析】(1)原式分母有理化,利用立方根的定义,绝对值的代数意义计算即可求出值;(2)原式利用完全平方公式化简,去括号合并得到最简结果,把x的值代入计算即可求出值.【解答】解:(1)原式=+2﹣2+=;(2)原式=4x2﹣4x+1﹣6+4x=4x2﹣5.【点评】此题考查了整式的混合运算﹣化简求值,以及实数的运算,熟练掌握运算法则是解本题的关键.20.先化简,再求值:(x+y)(x﹣y)﹣(4x3y﹣8xy3)÷2xy,其中x=﹣1,y=.【分析】先算乘法和除法,再合并同类项,最后代入求出即可.【解答】解:(x+y)(x﹣y)﹣(4x3y﹣8xy3)÷2xy=x2﹣y2﹣(2x2﹣4y2)=x2﹣y2﹣2x2+4y2=﹣x2+3y2,当时,原式=﹣(﹣1)2+3×=.【点评】本题考查了整式的混合运算和求值,能正确根据整式的运算法则进行化简是解此题的关键.考点卡片1.估算无理数的大小估算无理数大小要用逼近法.思维方法:用有理数逼近无理数,求无理数的近似值.2.实数的运算(1)实数的运算和在有理数范围内一样,值得一提的是,实数既可以进行加、减、乘、除、乘方运算,又可以进行开方运算,其中正实数可以开平方.(2)在进行实数运算时,和有理数运算一样,要从高级到低级,即先算乘方、开方,再算乘除,最后算加减,有括号的要先算括号里面的,同级运算要按照从左到有的顺序进行.另外,有理数的运算律在实数范围内仍然适用.【规律方法】实数运算的“三个关键”1.运算法则:乘方和开方运算、幂的运算、指数(特别是负整数指数,0指数)运算、根式运算、特殊三角函数值的计算以及绝对值的化简等.2.运算顺序:先乘方,再乘除,后加减,有括号的先算括号里面的,在同一级运算中要从左到右依次运算,无论何种运算,都要注意先定符号后运算.3.运算律的使用:使用运算律可以简化运算,提高运算速度和准确度.3.完全平方公式(1)完全平方公式:(a±b)2=a2±2ab+b2.可巧记为:“首平方,末平方,首末两倍中间放”.(2)完全平方公式有以下几个特征:①左边是两个数的和的平方;②右边是一个三项式,其中首末两项分别是两项的平方,都为正,中间一项是两项积的2倍;其符号与左边的运算符号相同.(3)应用完全平方公式时,要注意:①公式中的a,b可是单项式,也可以是多项式;②对形如两数和(或差)的平方的计算,都可以用这个公式;③对于三项的可以把其中的两项看做一项后,也可以用完全平方公式.4.整式的混合运算—化简求值先按运算顺序把整式化简,再把对应字母的值代入求整式的值.有乘方、乘除的混合运算中,要按照先乘方后乘除的顺序运算,其运算顺序和有理数的混合运算顺序相似.。
初一数学整式计算题一、加法计算题1. 计算:32 + 19 + 46解答:首先,将十位数相加得到 30+10+40=80,然后将个位数相加得到 2+9+6=17,将两个结果相加得到 80+17=97,所以,32 + 19 + 46 = 97。
2. 计算:12.3 + 4.56 + 7.89解答:将个位数相加得到 3+6+9=18,将十位数相加得到10+50+30=90,将百位数相加得到 1+4+7=12,所以,12.3 + 4.56 + 7.89 = 120.18。
二、减法计算题1. 计算:56 - 32解答:将个位数相减得到 6-2=4,将十位数相减得到 5-3=2,所以,56 - 32 = 24。
2. 计算:78.9 - 12.34解答:将个位数相减得到 9-4=5,将十位数相减得到 8-3=5,将百位数相减得到 7-1=6,所以,78.9 - 12.34 = 66.56。
三、乘法计算题1. 计算:5 × 6解答:将个位数相乘得到5×6=30,所以,5 × 6 = 30。
2. 计算:7.8 ×3.2解答:将个位数相乘得到8×2=16,将十位数相乘得到7×3=21,所以,7.8 × 3.2 = 24.96。
四、除法计算题1. 计算:45 ÷ 9解答:将个位数相除得到5÷9=0.55555(保留五位小数),所以,45 ÷ 9 ≈ 5.55555。
2. 计算:32.4 ÷ 4.5解答:将个位数相除得到4÷5≈0.88888(保留五位小数),将十位数相除得到3÷4≈0.75(保留两位小数),所以,32.4 ÷ 4.5 ≈ 7.2。
五、混合计算题1. 计算:(23.4 + 15.6)× 4 - 12 ÷ 3解答:首先,将括号中的加法计算得到 23.4+15.6=39,然后将乘法计算得到39×4=156,最后将除法计算得到12÷3=4,所以,(23.4 + 15.6)× 4 - 12 ÷ 3 = 152。
初中一年级数学练习题一、有理数及其运算1. 计算下列各题:(1) (3) + 7(2) 5 (2)(3) 4 × 25(4) 18 ÷ 3(5) (5 3) × 22. 化简下列各题:(1) 3 + 5 7(2) 4 (3) + 9(3) 2 × (5) ÷ 10(4) 16 ÷ (2) × (4)二、整式的加减1. 计算下列各题:(1) 3x 2x(2) 5a + 7a 2a(3) 4b 3b + 6b(4) 2m 5n + 3m 2n2. 化简下列各题:(1) 2x^2 3x^2 + 5x^2(2) 4ab 2ab + 3ab 5ab(3) 7xy 3xy + 2xy 8xy三、一元一次方程1. 解下列方程:(1) 3x 7 = 11(2) 5 2y = 1(3) 4a + 9 = 31(4) 6b 15 = 32. 解决实际问题:(1) 某数的3倍减去5等于13,求这个数。
(2) 甲、乙两人年龄之和为50岁,甲比乙小10岁,求甲、乙的年龄。
四、图形的认识1. 判断下列命题是否正确:(1) 对顶角相等。
(2) 平行线的同旁内角互补。
(3) 长度相等的两条线段是全等线段。
2. 画图题:(1) 画一个等边三角形。
(2) 画一个长方形,并标出对角线。
五、数据初步认识1. 填空题:(1) 下列数据中,众数是______。
2, 3, 4, 3, 5, 3, 6, 3(2) 下列数据中,中位数是______。
7, 9, 5, 3, 8, 62. 选择题:(1) 下列哪个数是极差?A. 8, 4, 6, 2, 10B. 5, 5, 5, 5, 5C. 1, 3, 5, 7, 9六、平面几何1. 判断题:(1) 所有直角三角形都是等腰三角形。
(2) 两条平行线上的任意一对对应角相等。
(3) 在等边三角形中,所有角都是60度。
2. 填空题:(1) 若一个三角形的两个内角分别为30度和60度,则第三个内角为______度。
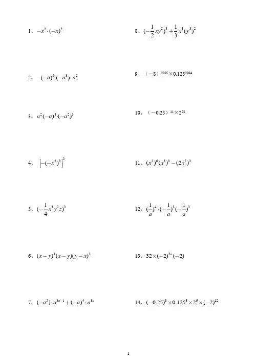
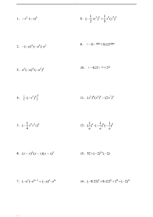
1、22()x x2、332()()a a a3、2323()()a a a 4、 223()x5、3231()4x y z 6、32()()()x y xy yx7、53143()()n n a a a a8、2333211()()23xy x y9、(-8)2005×0.125200410、(-0.25)11×22211、263373()()(2)x x x12、433111()()()aa a13、232(2)(2)n14、33612(0.25)0.1252(2)15、3312()()n x y xy16、5524226()()()()()x x x x x x17、232323(3)()x y x y 18、32322()()(3)a b a b19、32008200910010010.25(4)8()220、122()()mm m a a a21、3233633(4)(3)2(2)x x x x x22、234342343()()()x y x y x y23、4354832263()2()5()x y xy x y x y x y24、已知 27927813n n n,求n 的值25、已知23,24nm ,求2312mn 值26、已知36,92mn ,求2413mn 值27、(3x+10)(x+2)28、(4y-1)(y-5)29、(2x-521)() 252y x y30、()()()x y z y z x z x y21、232(4)122()43b a ab a a b b32、若m为正整数,且x2m=3,求:(3x3m)2-13(x2)2m的值33、532()()a a a34、21512525n m m35、2(x-8)(x-5)-(2x-1)(x+2)36、2322(43)3(46)m m m m m m 37、04331113()()()333 38、若3918()n mx y y x y,求:222223(2)mn m m n mn值39、2()x y 40、(35)(106)x y y x41、20092008(2)(2) 42、3373(2)(2)x y x y43、22232(3)42(32)x x x x x44、化简求值:其中14,22x y2(2)()(2)2(3)()x y xy xy x y xy45、2(1)x y46、(32)(23)x y y x47、2211(3)(3)22x y xy48、30131241()()()()335249、23021771()()(1.92)()(3)99350、化简求值:其中214x y32431(1)2()22(1)2xy x x yx y x y x51、22222()()()a b a b a b52、22()()4a b a b ab53、222()()()a b ab ab54、2222()()()()x y x y x y y x55、22(23)(23)(23)(23)a b a b a b a b56、化简求值:其中1x(21)(1)2(3)(4)x x x x57、(32)(32)m n m n58、(3)(3)a b b a59、4422()()()x y x y x y60、33()()a b a b a b61、1212()()m n mn a b a b62、化简求值:其中1,13x y222()()3()()4x xy yx xy yx y63、(26)(3)y y64、(0.5)(0.5)xy xy65、3(2)(1)2(5)(3)x x x x66、22222(3)(3)(9)x y x y x y67、2222111()()(2)222yx y x xy 68、42(1)(1)(1)(1)x x x x69、已知211x x ,求x 的值。
初中一年级数学下册整式计算训练题HEN system office room 【HEN16H-HENS2AHENS8Q8-HENH1688】计算训练20题一.解答题(共20小题)1.先化简,再求值:(a+2b)2﹣4a(b﹣a),其中a=2,b=.2.先化简,再求值:a(a﹣3b)+(a+b)2﹣a(a﹣b),其中a=1,b=﹣3.先化简,再求值(a﹣1)2﹣2a(a﹣1)+(2a+1)(2a﹣1),其中a=.4.先化简,再求值:(2x+1)(2x﹣1)﹣(x+1)(3x﹣2),其中x=﹣15.先化简,再求值:(x+2)2+(x+2)(x﹣1)﹣2x2,其中x=.6.先化简,再求值:(a+1)2﹣(a+1)(a﹣1),其中,a=﹣1.7.求值(1)先化简,再求值:(x2y3﹣2x3y2)÷(xy2)﹣[2(x﹣y)]2,其中x=3,y=.(2)已知a+b=3,ab=﹣2.求ab﹣a2﹣b2的值.8.(1)设x+2z=3y,试判断x2﹣9y2+4z2+4xz的值是不是定值?如果是定值,求出它的值;否则请说明理由.(2)已知x2﹣2x=2,将下式先化简,再求值:(x﹣1)2+(x+3)(x﹣3)+(x﹣3)(x﹣1).9.化简求值:(2x﹣y+3z)(﹣2x﹣y﹣3z)﹣(x+2y﹣3z)2,其中x=1,y=﹣1,z=1.10.先化简,后求值:已知:(x+1)2﹣(x﹣2)(x+2),其中,并且x是整数.11.先化简,再求值(2x+3)(2x﹣3)﹣4x(x﹣1)+(x﹣2)2,其中x=﹣12.先化简,再求值:(2a﹣b)2﹣a(4a﹣3b),其中a=1,b=.13.先化简,再求值:(x+2)(x﹣2)﹣(x+3)2,其中x=.14.先化简,再求值:x(x+3)﹣(x+1)2,其中x=+1.15.已知a2+2a﹣2=0,求代数式(3a+2)(3a﹣2)﹣2a(4a﹣1)的值.16.先化简,再求值:x(x﹣2)+(x+1)2,其中x=﹣1.17.先化简,再求值:(2x+1)2﹣2(x+3)(x﹣1),其中x=.18.先化简,再求值:(x﹣y)2+y(y+2x),其中x=,y=.19.(1)计算:﹣﹣|2﹣|(2)先化简,再求值:(2x﹣1)2﹣2(3﹣2x),其中x=﹣20.先化简,再求值:(x+y)(x﹣y)﹣(4x3y﹣8xy3)÷2xy,其中x=﹣1,y=.计算训练20题参考答案与试题解析一.解答题(共20小题)1.先化简,再求值:(a+2b)2﹣4a(b﹣a),其中a=2,b=.【分析】原式第一项利用完全平方公式化简,第二项利用单项式乘以多项式法则计算,去括号合并得到最简结果,将a、b的值代入化简后的式子中计算,即可求出值.【解答】解:原式=a2+4ab+4b2﹣4ab+4a2=5a2+4b2,当a=2、b=时,原式=5×22+4×()2=5×4+4×3=20+12=32.【点评】此题考查了整式的混合运算﹣化简求值,涉及的知识有:完全平方公式、去括号法则以及合并同类项法则,熟练掌握公式及法则是解本题的关键.2.先化简,再求值:a(a﹣3b)+(a+b)2﹣a(a﹣b),其中a=1,b=﹣【分析】先利用单项式乘多项式法则和完全平方公式去括号,再合并同类项即可化简原式,把a、b的值代入计算可得.【解答】解:原式=a2﹣3ab+a2+2ab+b2﹣a2+ab=a2+b2,当a=1、b=﹣时,原式=12+(﹣)2=1+=.【点评】此题考查了整式的混合运算﹣化简求值,涉及的知识有:单项式乘多项式,完全平方公式以及合并同类项法则,熟练掌握公式及法则是解本题的关键.3.先化简,再求值(a﹣1)2﹣2a(a﹣1)+(2a+1)(2a﹣1),其中a=.【分析】原式利用平方差公式,完全平方公式,以及单项式乘以多项式法则计算,去括号合并得到最简结果,把a的值代入计算即可求出值.【解答】解:原式=a2﹣2a+1﹣2a2+2a+4a2﹣1=3a2,当a=时,原式=3×5=15.【点评】此题考查了整式的混合运算﹣化简求值,熟练掌握运算法则是解本题的关键.4.先化简,再求值:(2x+1)(2x﹣1)﹣(x+1)(3x﹣2),其中x=﹣1【分析】先利用平方差公式和多项式乘多项式法则计算,再去括号、合并同类项即可化简原式,继而将x的值代入计算可得.【解答】解:原式=4x2﹣1﹣(3x2﹣2x+3x﹣2)=4x2﹣1﹣3x2+2x﹣3x+2=x2﹣x+1,当x=﹣1时,原式=(﹣1)2﹣(﹣1)+1=2﹣2+1﹣+1+1=5﹣3.【点评】本题主要考查整式的混合运算﹣化简求值,解题的关键是掌握整式的混合运算顺序和运算法则.5.先化简,再求值:(x+2)2+(x+2)(x﹣1)﹣2x2,其中x=.【分析】先根据完全平方公式、多项式乘多项式的法则展开,再合并同类项,继而将x的值代入计算可得.【解答】解:原式=x2+4x+4+x2﹣x+2x﹣2﹣2x2=5x+2,当x=时,原式=5+2.【点评】本题主要考查整式的混合运算﹣化简求值,解题的关键是掌握完全平方公式、多项式乘多项式的法则及合并同类项的法则.6.先化简,再求值:(a+1)2﹣(a+1)(a﹣1),其中,a=﹣1.【分析】先根据完全平方公式和平方差公式算乘法,再合并同类项,最后代入求出即可.【解答】解:(a+1)2﹣(a+1)(a﹣1)=a2+2a+1﹣a2+1=2a+2,当a=﹣1时,原式=2×(﹣1)+2=2.【点评】本题考查了整式的混合运算和求值的应用,能正确运用运算法则进行化简是解此题的关键.7.求值(1)先化简,再求值:(x2y3﹣2x3y2)÷(xy2)﹣[2(x﹣y)]2,其中x=3,y=.(2)已知a+b=3,ab=﹣2.求ab﹣a2﹣b2的值.【分析】(1)先做除法和乘方运算,化简后代值计算.(2)运用乘法公式,把代数式化为含有已知条件的形式再计算.【解答】解:(1)原式=﹣2xy+4x2﹣4x2+8xy﹣4y2=6xy﹣4y2.当x=3,y=时,原式=6×3×()﹣4×()2=﹣9﹣1=﹣10.(2)当a+b=3,ab=﹣2时,ab﹣a2﹣b2=﹣(a+b)2+3ab=﹣32+3×(﹣2)=﹣15.【点评】此题考查整式的化简求值,熟练掌握和运用乘法公式是关键.8.(1)设x+2z=3y,试判断x2﹣9y2+4z2+4xz的值是不是定值?如果是定值,求出它的值;否则请说明理由.(2)已知x2﹣2x=2,将下式先化简,再求值:(x﹣1)2+(x+3)(x﹣3)+(x﹣3)(x﹣1).【分析】(1)可把已知条件化为x﹣3y=﹣2z,把代数式中的x2﹣9y2因式分解,再把x﹣3y=﹣2z代入化简可知代数式的值是否是定值;(2)把原式化简为含x2﹣2x的代数式,再整体代入计算.【解答】解:(1)定值为0,理由如下:∵x+2z=3y,∴x﹣3y=﹣2z,∴原式=(x﹣3y)(x+3y)+4z2+4xz,=﹣2z(x+3y)+4z2+4xz,=﹣2xz﹣6yz+4z2+4xz,=4z2+2xz﹣6yz,=4z2+2z(x﹣3y),=4z2﹣4z2,=0.(2)原式=x2﹣2x+1+x2﹣9+x2﹣4x+3,=3x2﹣6x﹣5,=3(x2﹣2x)﹣5,当x2﹣2x=2时,原式=3×2﹣5=1.【点评】考查的是整式的混合运算,主要考查了公式法、多项式与多项式相乘以及合并同类项的知识点,还要注意整体思想的应用.9.化简求值:(2x﹣y+3z)(﹣2x﹣y﹣3z)﹣(x+2y﹣3z)2,其中x=1,y=﹣1,z=1.【分析】根据已知条件“x=1,y=﹣1,z=1”得到“x=z=﹣y”,所以把所求代数式转化为只含有x的代数式,再把x=1代入求值即可.【解答】解:∵x=1,y=﹣1,z=1,∴x=z=﹣y.则原式=(2x+x+3x)(﹣2x+x﹣3x)﹣(x﹣2x﹣3x)2=6x(﹣4)x﹣(﹣4x)2=﹣24x2﹣16x2=﹣40x2=﹣40×12=﹣40.【点评】本题考查了整式的混合运算﹣化简求值.解答该题时,不是先化简(2x﹣y+3z)(﹣2x﹣y﹣3z)﹣(x+2y﹣3z)2,而是将x、y、z间的数量关系找出后再来化简该代数式,减少了不少的运算过程.10.先化简,后求值:已知:(x+1)2﹣(x﹣2)(x+2),其中,并且x是整数.【分析】原式第一项利用平方差公式化简,第二项利用单项式乘以多项式法则计算,去括号合并得到最简结果,根据题意得出x的值,代入计算可得.【解答】解:原式=x2+2x+1﹣(x2﹣4)=x2+2x+1﹣x2+4=2x+5,∵且x是整数,∴x=3,则原式=2×3+5=11.【点评】此题考查了整式的混合运算﹣化简求值,熟练掌握运算法则是解本题的关键.11.先化简,再求值(2x+3)(2x﹣3)﹣4x(x﹣1)+(x﹣2)2,其中x=﹣【分析】利用平方差公式、单项式乘多项式及完全平方公式去括号,再合并同类项化简后,再将x的值代入计算可得.【解答】解:原式=4x2﹣9﹣4x2+4x+x2﹣4x+4=x2﹣5,当x=﹣时,原式=(﹣)2﹣5=3﹣5=﹣2.【点评】本题主要考查整式的混合运算﹣化简求值,解题的关键是熟练掌握整式的混合运算顺序和运算法则.12.先化简,再求值:(2a﹣b)2﹣a(4a﹣3b),其中a=1,b=.【分析】原式利用完全平方公式,以及单项式乘以多项式法则计算,去括号合并得到最简结果,把a与b的值代入计算即可求出值.【解答】解:原式=4a2﹣4ab+b2﹣4a2+3ab=b2﹣ab,当a=1,b=时,原式=3﹣.【点评】此题考查了整式的混合运算﹣化简求值,熟练掌握运算法则及公式是解本题的关键.13.先化简,再求值:(x+2)(x﹣2)﹣(x+3)2,其中x=.【分析】把代数式去括号,合并同类项,从而将整式化为最简形式,然后把a的值代入即可.【解答】解:原式=x2﹣4﹣(x2+6x+9)=x2﹣4﹣x2﹣6x﹣9=﹣6x﹣13,当x=时,原式=﹣6×﹣13=﹣2﹣13=﹣15.【点评】本题主要考查整式的化简.整式的运算实际上就是去括号、合并同类项,还考查了完全平方公式和单项式乘多项式的运算,巧妙运用化简结果与已知条件的形式相同是解题的关键.14.先化简,再求值:x(x+3)﹣(x+1)2,其中x=+1.【分析】原式利用单项式乘以多项式,完全平方公式计算,去括号合并得到最简结果,把x的值代入计算即可求出值.【解答】解:原式=x2+3x﹣x2﹣2x﹣1=x﹣1,当x=+1时,原式=.【点评】此题考查了整式的混合运算﹣化简求值,熟练掌握运算法则是解本题的关键.15.已知a2+2a﹣2=0,求代数式(3a+2)(3a﹣2)﹣2a(4a﹣1)的值.【分析】原式利用平方差公式,单项式乘以多项式法则计算,去括号合并后将已知等式变形代入计算即可求出值.【解答】解:∵a2+2a﹣2=0,∴a2+2a=2,则原式=9a2﹣4﹣8a2+2a=a2+2a﹣4=2﹣4=﹣2.【点评】此题考查了整式的混合运算﹣化简求值,熟练掌握运算法则是解本题的关键.16.先化简,再求值:x(x﹣2)+(x+1)2,其中x=﹣1.【分析】原式利用单项式乘以多项式,完全平方公式化简得到结果,将x的值代入计算即可求出值.【解答】解:原式=x2﹣2x+x2+2x+1=2x2+1,当x=﹣1时,原式=2×(﹣1)2+1=3.【点评】此题考查了整式的混合运算﹣化简求值,熟练掌握运算法则是解本题的关键.17.先化简,再求值:(2x+1)2﹣2(x+3)(x﹣1),其中x=.【分析】原式利用完全平方公式,以及多项式乘以多项式法则计算,去括号合并得到最简结果,把x的值代入计算即可求出值.【解答】解:原式=4x2+4x+1﹣2x2﹣4x+6=2x2+7,当x=时,原式=4+7=11.【点评】此题考查了整式的混合运算﹣化简求值,熟练掌握运算法则是解本题的关键.18.先化简,再求值:(x﹣y)2+y(y+2x),其中x=,y=.【分析】原式利用完全平方公式,单项式乘以多项式法则计算,去括号合并得到最简结果,把x与y的值代入计算即可求出值.【解答】解:原式=x2﹣2xy+y2+y2+2xy=x2+2y2,当x=,y=时,原式=2+6=8.【点评】此题考查了整式的混合运算﹣化简求值,熟练掌握运算法则是解本题的关键.19.(1)计算:﹣﹣|2﹣|(2)先化简,再求值:(2x﹣1)2﹣2(3﹣2x),其中x=﹣【分析】(1)原式分母有理化,利用立方根的定义,绝对值的代数意义计算即可求出值;(2)原式利用完全平方公式化简,去括号合并得到最简结果,把x的值代入计算即可求出值.【解答】解:(1)原式=+2﹣2+=;(2)原式=4x2﹣4x+1﹣6+4x=4x2﹣5.【点评】此题考查了整式的混合运算﹣化简求值,以及实数的运算,熟练掌握运算法则是解本题的关键.20.先化简,再求值:(x+y)(x﹣y)﹣(4x3y﹣8xy3)÷2xy,其中x=﹣1,y=.【分析】先算乘法和除法,再合并同类项,最后代入求出即可.【解答】解:(x+y)(x﹣y)﹣(4x3y﹣8xy3)÷2xy=x2﹣y2﹣(2x2﹣4y2)=x2﹣y2﹣2x2+4y2=﹣x2+3y2,当时,原式=﹣(﹣1)2+3×=.【点评】本题考查了整式的混合运算和求值,能正确根据整式的运算法则进行化简是解此题的关键.考点卡片1.估算无理数的大小估算无理数大小要用逼近法.思维方法:用有理数逼近无理数,求无理数的近似值.2.实数的运算(1)实数的运算和在有理数范围内一样,值得一提的是,实数既可以进行加、减、乘、除、乘方运算,又可以进行开方运算,其中正实数可以开平方.(2)在进行实数运算时,和有理数运算一样,要从高级到低级,即先算乘方、开方,再算乘除,最后算加减,有括号的要先算括号里面的,同级运算要按照从左到有的顺序进行.另外,有理数的运算律在实数范围内仍然适用.【规律方法】实数运算的“三个关键”1.运算法则:乘方和开方运算、幂的运算、指数(特别是负整数指数,0指数)运算、根式运算、特殊三角函数值的计算以及绝对值的化简等.2.运算顺序:先乘方,再乘除,后加减,有括号的先算括号里面的,在同一级运算中要从左到右依次运算,无论何种运算,都要注意先定符号后运算.3.运算律的使用:使用运算律可以简化运算,提高运算速度和准确度.3.完全平方公式(1)完全平方公式:(a±b)2=a2±2ab+b2.可巧记为:“首平方,末平方,首末两倍中间放”.(2)完全平方公式有以下几个特征:①左边是两个数的和的平方;②右边是一个三项式,其中首末两项分别是两项的平方,都为正,中间一项是两项积的2倍;其符号与左边的运算符号相同.(3)应用完全平方公式时,要注意:①公式中的a,b可是单项式,也可以是多项式;②对形如两数和(或差)的平方的计算,都可以用这个公式;③对于三项的可以把其中的两项看做一项后,也可以用完全平方公式.4.整式的混合运算—化简求值先按运算顺序把整式化简,再把对应字母的值代入求整式的值.有乘方、乘除的混合运算中,要按照先乘方后乘除的顺序运算,其运算顺序和有理数的混合运算顺序相似.。