常用有机溶剂的极性和其他物理常数列表
- 格式:xls
- 大小:55.00 KB
- 文档页数:7
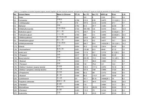
常见的各种有机溶剂的极性,沸点,粘度Solvent Polarity极性Viscosity(cp@20℃)Boilingpoint (℃)UV Cutoff(nm)i-pentane (异戊烷) 0 -- 30 --n-pentane (正戊烷) 0 0.23 36 210 Petroleum ether (⽯油醚) 0.01 0.3 30-60 210 Hexane (⼰烷)0.06 0.33 69 210 Cyclohexane (环⼰烷) 0.1 1 81 210 Isooctane (异⾟烷) 0.1 0.53 99 210 Trifluoroacetic acid (三氟⼄酸) 0.1 -- 72 --Trimethylpentane (三甲基戊烷)0.1 0.47 99 215 Cyclopentane (环戊烷) 0.2 0.47 49 210 n-heptane (正庚烷) 0.2 0.41 98 200 Butyl chloride (丁基氯; 氯丁烷) 1 0.46 78 220 Carbon tetrachloride (四氯化碳) 1.6 0.97 77 265 Trichlorotrifluoroethane (三氯三氟代⼄烷) 1.9 0.71 48 231 i-propyl ether (丙基醚; 丙醚) 2.4 0.37 68 220 Toluene (甲苯) 2.4 0.59 111 285 p-xylene (对⼆甲苯) 2.5 0.65 138 290 Chlorobenzene (氯苯) 2.7 0.8 132 --o-dichlorobenzene (临⼆氯苯) 2.7 1.33 180 295 Ethyl ether (⼆⼄醚; ⼄醚) 2.9 0.23 35 220 Benzene (苯) 3 0.65 80 280 Isobutyl alcohol (异丁醇) 3 4.7 108 220 Methylene chloride (⼆氯甲烷) 3.4 0.44 40 245 n-butanol (丁醇) 3.9 2.95 117 210 n-butyl acetate (醋酸丁酯; ⼄酸丁酯) 4 --- 126 254 n-propanol (正丙醇) 4 2.27 98 210 Tetrahydrofuran (四氢呋喃) 4.2 0.55 66 220 ethanol (⼄醇) 4.3 1.2 79 210 Ethyl acetate (⼄酸⼄酯) 4.3 0.45 77 260 i-propanol (异丙醇) 4.3 2.37 82 210 Chloroform (氯仿) 4.4 0.57 61 245 Dioxane (⼆恶烷; ⼆氧六环; ⼆氧杂环⼰烷) 4.8 1.54 102 220 Pyridine (吡啶) 5.3 0.97 115 305 Acetone (丙酮) 5.4 0.32 57 330 Acetic acid (⼄酸,醋酸) 6.2 1.28 118 230 Acetonitrile (⼄腈) 6.2 0.37 82 210 Aniline (苯胺) 6.3 4.4 184 -- Dimethyl formamide (DMF, ⼆甲基甲酰胺) 6.4 0.92 153 270 Methanol (甲醇) 6.6 0.6 65 210 Ethylene glycol (⼄⼆醇) 6.9 19.9 197 210 Dimethyl sulfoxide (DMSO, ⼆甲亚砜) 7.2 2.24 189 268。
常用有机溶剂性质粘度(20℃)/mPa·s; —介电常数名称沸点密度粘度波长极性E T(30) 介电分子量溶解性水100 1 1 268 10.2 63.1 58.8 18二甲亚砜189 2.24 268 7.2 45 48.9 78.14 DMSO能与水、醇、醚、丙酮、乙醛、吡啶、乙酸乙酯等混溶,不溶于乙炔以外的脂肪烃化合物乙二醇197 1.1155 19.9 210 6.9 56.3 26.33 62.07 与水/乙醇/丙酮/醋酸甘油吡啶等混溶,微溶于醚等,不溶于石油烃及油类.能够溶解氯化锌/氯化钠/碳酸钾/氯化钾/碘化钾/氢氧化钾等无机物.甲醇64.9 0.7914 0.6 210 6.6 55.5 32.6 32.04 溶于水、乙醇、乙醚、苯等二甲基甲酰胺152.8 0.92 270 6.4 43.8 36.71 73.10 能和水及大部分有机溶剂互溶,是高沸点的极性(亲水性)非质子性溶剂,能促进SN2反应机构的进行苯胺184 4.4 - 6.3 44.3 6.98乙酸118 1.28 230 6.2 51.9 6.19乙腈81.1 0.37 210 6.2 46 37.5 41.05 相对密度0.79,与水混溶,溶于醇等多数有机溶剂硝基甲烷101 0.67 330 6 46.3 38.6丙酮56.5 0.32 330 5.4 42.2 20.5 58.08 与水、乙醇、氯仿、乙醚及多种油类混溶吡啶115 0.97 305 5.3 40.2 12.3二恶烷; 二氧六环102 1.04 1.54 220 4.8 36 2.21 88.11 与水混溶,可混溶于多数有机溶剂2-丁酮80 0.8054 0.43 330 4.5 72.11 甲基乙基酮能溶于4份水中,但温度升高时溶解度降低,20℃时,水中溶解度26.8%(w),水在2-丁酮中的溶解度11.8%(w)。
溶于乙醇和乙醚,可与油混溶。
有机溶剂是能溶解一些不溶于水的物质的一类有机化合物,其特点是在常温常压下呈液态,具有较大的挥发性,在溶解过程中,溶质与溶剂的性质均无改变。
有机溶剂的种类较多,按其化学结构可分为10大类:①芳香烃类:苯、甲苯、二甲苯等;②脂肪烃类:戊烷、己烷、辛烷等;③脂环烃类:环己烷、环己酮、甲苯环己酮等;④卤化烃类:氯苯、二氯苯、二氯甲烷等;⑤醇类:甲醇、乙醇、异丙醇等;⑥醚类:乙醚、环氧丙烷等;⑦酯类:醋酸甲酯、醋酸乙酯、醋酸丙酯等;⑧酮类:丙酮、甲基丁酮、甲基异丁酮等;⑨二醇衍生物:乙二醇单甲醚、乙二醇单乙醚、乙二醇单丁醚等;⑩其他:乙腈、吡啶、苯酚等。
有机溶剂具有脂溶性,因此除经呼吸道和消化道进入机体内外,尚可经完整的皮肤迅速吸收,有机溶剂吸收入人体后,将作用于富含脂类物质的神经、血液系统,以及肝肾等实质脏器,同时对皮肤和粘膜也有一定的刺激性。
不同有机溶剂其作用的主要靶器官和作用的强弱也不同,这决定于每一种有机溶剂的化学结构、溶解度、接触浓度和时间,以及机体的敏感性。
常用溶剂的极性顺序:水(极性最大)>甲酰胺>乙腈>甲醇>乙醇>丙醇>丙酮>二氧六环>四氢呋喃>甲乙酮>正丁醇>醋酸乙酯>乙醚>异丙醚>二氯甲烷>氯仿>溴乙烷>苯>氯丙烷>甲苯>四氯化碳>二硫化碳>环己烷>己烷>庚烷>煤油(极性最小)有机溶剂的极性根据官能团和对称性可初步判断,具体的需参照极性参数,如下表示有机溶剂的极性,关系到其物理化学性质、如介电常数、偶极矩或折射率。
这种表示方法把所有的溶剂看作是连续作用的介质,而不是看作由各个分子组成的非连续统一体,并且未考虑到溶剂和溶质之间的特殊的相互作用。
常见有机溶剂极性表- [科研]环已烷:-0.2、石油醚(Ⅰ类,30~60℃)、石油醚(Ⅱ类,60~90℃)、正已烷:0.0、甲苯:2.4、二甲苯:2.5、苯:2.7、二氯甲烷: 3.1、异丙醇:3.9、正丁醇:3.9、四氢呋喃:4.0、氯仿:4.1、乙醇:4.3、乙酸乙酯:4.4、甲醇:5.1、丙酮:5.1、乙腈: 5.8、乙酸:6.0、水:10.2水(最大) > 甲酰胺> 乙腈> 甲醇> 乙醇> 丙醇> 丙酮>二氧六环> 四氢呋喃> 甲乙酮> 正丁醇> 乙酸乙酯>乙醚> 异丙醚> 二氯甲烷>氯仿>溴乙烷>苯>四氯化碳>二硫化碳>环己烷>己烷>煤油(最小)用介电常数来表示极性大小,比水极性大的有下列三种:水80.103(20摄氏度)乙二醇碳酸酯89.6(40摄氏度)甲酰胺111.0(20摄氏度)N-甲基甲酰胺182.4(25摄氏度)Hexane(己烷) 0.06 0.33 69 210Cyclohexane(环己烷) 0.10 1.00 81 210Isooctane(异辛烷) 0.10 0.53 99 210Trifluoroacetic acid(三氟乙酸)0.10 -- 72 --Trimethylpentane(三甲基戊烷)0.10 0.47 99 215Cyclopentane(环戊烷) 0.20 0.47 49 210n-heptane(庚烷) 0.20 0.41 98 200Butyl chloride(丁基氯; 丁酰氯) 1.00 0.46 78 220Trichloroethylene(三氯乙烯; 乙炔化三氯)1.00 0.57 87 273Carbon tetrachloride(四氯化碳) 1.60 0.97 77 265Trichlorotrifluoroethane(三氯三氟代乙烷)1.90 0.71 48 231i-propyl ether(丙基醚; 丙醚) 2.40 0.37 68 220Toluene(甲苯) 2.40 0.59 111 285p-xylene(对二甲苯) 2.50 0.65 138 290Chlorobenzene(氯苯) 2.70 0.80 132 --o-dichlorobenzene(领二氯苯) 2.70 1.33 180 295Ethyl ether(二乙醚; 醚) 2.90 0.23 35 220Benzene(苯) 3.00 0.65 80 280Isobutyl alcohol(异丁醇) 3.00 4.70 108 220Methylene chloride(二氯甲烷) 3.40 0.44 40 245Ethylene dichloride(二氯化乙烯) 3.50 0.79 84 228n-butanol(丁醇) 3.90 2.95 117 210n-butyl acetate(醋酸丁酯; 乙酸丁酯)4.00 --- 126 254n-propanol(丙醇) 4.00 2.27 98 210Methyl isobutyl ketone 4.20 -- 119 330Tetrahydrofuran( 四氢呋喃)4.20 0.55 66 220ethanol 4.30 1.20 79 210Ethyl acetate 4.30 0.45 77 260i-propanol(丙醇) 4.30 2.37 82 210Chloroform(氯仿) 4.40 0.57 61 245Methyl ethyl ketone(甲基乙基酮) 4.50 0.43 80 330Dioxane(二恶烷; 二氧六环; 二氧杂环己烷)4.80 1.54 102 220 Pyridine(吡啶) 5.30 0.97 115 305Acetone(丙酮) 5.40 0.32 57 330Nitromethane(硝基甲烷)6.00 0.67 101 380Acetic acid(乙酸)6.20 1.28 118 230Acetonitrile(乙腈) 6.20 0.37 82 210Aniline(苯胺) 6.30 4.40 184 --Dimethyl formamide(二甲基甲酰胺) 6.40 0.92 153 270 Methanol6.60 0.60 65 210Ethylene glycol(乙二醇)6.90 19.90 197 210Dimethyl sulfoxide() 7.20 2.24 189 268water 10.20 1.00 100 268一般有机溶剂根据“相似相溶”的原理来进行选择化合物名称极性粘度沸点吸收波长i-pentane(异戊烷) 0 - 30 - n-pentane(正戊烷) 0 0.23 36 210 Petroleum ether(石油醚) 0.01 0.3 30~60 210 Hexane(己烷) 0.06 0.33 69 210 Cyclohexane(环己烷) 0.1 1 81 210 Isooctane(异辛烷) 0.1 0.53 99 210 Trifluoroacetic acid(三氟乙酸) 0.1 - 72 - Trimethylpentane(三甲基戊烷) 0.1 0.47 99 215 Cyclopentane(环戊烷) 0.2 0.47 49 210 n-heptane(庚烷) 0.2 0.41 98 200 Butyl chloride(丁基氯; 丁酰氯) 1 0.46 78 220 Trichloroethylene(三氯乙烯; 乙炔化三氯) 1 0.57 87 273 Carbon tetrachloride(四氯化碳) 1.6 0.97 77 265 Trichlorotrifluoroethane(三氯三氟代乙烷) 1.9 0.71 48 231 i-propyl ether(丙基醚; 丙醚) 2.4 0.37 68 220 Toluene(甲苯) 2.4 0.59 111 285 p-xylene(对二甲苯) 2.5 0.65 138 290 Chlorobenzene(氯苯) 2.7 0.8 132 - o-dichlorobenzene(邻二氯苯) 2.7 1.33 180 295 Ethyl ether(二乙醚; 醚) 2.9 0.23 35 220 Benzene(苯) 3 0.65 80 280 Isobutyl alcohol(异丁醇) 3 4.7 108 220 Methylene chloride(二氯甲烷) 3.4 0.44 240 245 Ethylene dichloride(二氯化乙烯) 3.5 0.78 84 228 n-butanol(正丁醇) 3.7 2.95 117 210 n-butyl acetate(醋酸丁酯;乙酸丁酯) 4 - 126 254 n-propanol(丙醇) 4 2.27 98 210 Methyl isobutyl ketone(甲基异丁酮) 4.2 - 119 330 Tetrahydrofuran(四氢呋喃) 4.2 0.55 66 220 Ethyl acetate(乙酸乙酯) 4.30 0.45 77 260 i-propanol(异丙醇) 4.3 2.37 82 210 Chloroform(氯仿) 4.4 0.57 61 245Methyl ethyl ketone(甲基乙基酮) 4.5 0.43 80 330 Dioxane(二恶烷; 二氧六环; 二氧杂环己烷) 4.8 1.54 102 220 Pyridine(吡啶) 5.3 0.97 115 305 Acetone(丙酮) 5.4 0.32 57 330 Nitromethane(硝基甲烷) 6 0.67 101 330 Acetic acid(乙酸) 6.2 1.28 118 230 Acetonitrile(乙腈) 6.2 0.37 82 210 Aniline(苯胺) 6.3 4.4 184 - Dimethyl formamide(二甲基甲酰胺) 6.4 0.92 153 270 Methanol(甲醇) 6.6 0.6 65 210 Ethylene glycol(乙二醇 ) 6.9 19.9 197 210 Dimethyl sulfoxide(二甲亚砜 DMSO) 7.2 2.24 189 268 Water(水)10.2 1 100 268下图是混合有机溶剂极性顺序(由小到大,括号内表示的是混合比例)溶剂极性顺序表液氨 -33.35℃ 特殊溶解性:能溶解碱金属和碱土金属剧毒性、腐蚀性液态二氧化硫 -10.08 溶解胺、醚、醇苯酚、有机酸、芳香烃、溴、二硫化碳,多数饱和烃不溶剧毒甲胺 -6.3 是多数有机物和无机物的优良溶剂,液态甲胺与水、醚、苯、丙酮、低级醇混溶,其盐酸盐易溶于水,不溶于醇、醚、酮、氯仿、乙酸乙酯中等毒性,易燃二甲胺 7.4 是有机物和无机物的优良溶剂,溶于水、低级醇、醚、低极性溶剂强烈刺激性石油醚不溶于水,与丙酮、乙醚、乙酸乙酯、苯、氯仿及甲醇以上高级醇混溶与低级烷相似乙醚 34.6 微溶于水,易溶与盐酸.与醇、醚、石油醚、苯、氯仿等多数有机溶剂混溶麻醉性戊烷 36.1 与乙醇、乙醚等多数有机溶剂混溶低毒性二氯甲烷 39.75 与醇、醚、氯仿、苯、二硫化碳等有机溶剂混溶低毒,麻醉性强二硫化碳 46.23 微溶与水,与多种有机溶剂混溶麻醉性,强刺激性溶剂石油脑与乙醇、丙酮、戊醇混溶较其他石油系溶剂大丙酮 56.12 与水、醇、醚、烃混溶低毒,类乙醇,但较大1,1-二氯乙烷 57.28 与醇、醚等大多数有机溶剂混溶低毒、局部刺激性氯仿 61.15 与乙醇、乙醚、石油醚、卤代烃、四氯化碳、二硫化碳等混溶中等毒性,强麻醉性甲醇 64.5 与水、乙醚、醇、酯、卤代烃、苯、酮混溶中等毒性,麻醉性,四氢呋喃 66 优良溶剂,与水混溶,很好的溶解乙醇、乙醚、脂肪烃、芳香烃、氯化烃吸入微毒,经口低毒己烷 68.7 甲醇部分溶解,比乙醇高的醇、醚丙酮、氯仿混溶低毒。
常见有机溶剂极性表(总3页) --本页仅作为文档封面,使用时请直接删除即可----内页可以根据需求调整合适字体及大小--有机溶剂是能溶解一些不溶于水的物质的一类有机化合物,其特点是在常温常压下呈液态,具有较大的挥发性,在溶解过程中,溶质与溶剂的性质均无改变。
有机溶剂的种类较多,按其化学结构可分为10大类:①芳香烃类:苯、甲苯、二甲苯等;②脂肪烃类:戊烷、己烷、辛烷等;③脂环烃类:环己烷、环己酮、甲苯环己酮等;④卤化烃类:氯苯、二氯苯、二氯甲烷等;⑤醇类:甲醇、乙醇、异丙醇等;⑥醚类:乙醚、环氧丙烷等;⑦酯类:醋酸甲酯、醋酸乙酯、醋酸丙酯等;⑧酮类:丙酮、甲基丁酮、甲基异丁酮等;⑨二醇衍生物:乙二醇单甲醚、乙二醇单乙醚、乙二醇单丁醚等;⑩其他:乙腈、吡啶、苯酚等。
有机溶剂具有脂溶性,因此除经呼吸道和消化道进入机体内外,尚可经完整的皮肤迅速吸收,有机溶剂吸收入人体后,将作用于富含脂类物质的神经、血液系统,以及肝肾等实质脏器,同时对皮肤和粘膜也有一定的刺激性。
不同有机溶剂其作用的主要靶器官和作用的强弱也不同,这决定于每一种有机溶剂的化学结构、溶解度、接触浓度和时间,以及机体的敏感性。
常用溶剂的极性顺序: 水(极性最大) > 甲酰胺 > 乙腈 > 甲醇 > 乙醇 > 丙醇 > 丙酮 > 二氧六环 > 四氢呋喃 > 甲乙酮 > 正丁醇 > 醋酸乙酯 > 乙醚 > 异丙醚 > 二氯甲烷 > 氯仿 > 溴乙烷 > 苯 > 氯丙烷 > 甲苯 > 四氯化碳 > 二硫化碳 > 环己烷 > 己烷 > 庚烷 > 煤油(极性最小)有机溶剂的极性根据官能团和对称性可初步判断,具体的需参照极性参数,如下23表示有机溶剂的极性,关系到其物理化学性质、如介电常数、偶极矩或折射率。
这种表示方法把所有的溶剂看作是连续作用的介质,而不是看作由各个分子组成的非连续统一体,并且未考虑到溶剂和溶质之间的特殊的相互作用。
有机溶剂极性表化合物名称极性粘度沸点吸收波长i-pentane(异戊烷) 0 - 30 - n-pentane(正戊烷) 0 0.23 36 210 Petroleum ether(石油醚) 0.01 0.3 30~60 210 Hexane(己烷) 0.06 0.33 69 210 Cyclohexane(环己烷) 0.1 1 81 210 Isooctane(异辛烷) 0.1 0.53 99 210 Trifluoroacetic acid(三氟乙酸) 0.1 - 72 - Trimethylpentane(三甲基戊烷) 0.1 0.47 99 215 Cyclopentane(环戊烷)0.2 0.47 49 210 n-heptane(庚烷) 0.2 0.41 98 200 Butyl chloride(丁基氯; 丁酰氯) 1 0.46 78 220 Trichloroethylene(三氯乙烯; 乙炔化三氯) 1 0.57 87 273 Carbon tetrachloride(四氯化碳) 1.6 0.97 77 265 Trichlorotrifluoroethane(三氯三氟代乙烷) 1.9 0.71 48 231 i-propyl ether(丙基醚; 丙醚) 2.4 0.37 68 220 Toluene(甲苯) 2.4 0.59 111 285 p-xylene(对二甲苯) 2.5 0.65 138 290 Chlorobenzene(氯苯) 2.7 0.8 132 - o-dichlorobenzene(邻二氯苯) 2.7 1.33 180 295 Ethyl ether(二乙醚; 醚) 2.9 0.23 35 220 Benzene(苯) 3 0.65 80 280 Isobutyl alcohol(异丁醇) 3 4.7 108 220Methylene chloride(二氯甲烷) 3.4 0.44 40 245Ethylene dichloride(二氯化乙烯) 3.5 0.78 84 228n-butanol(正丁醇) 3.7 2.95 117 210n-butyl acetate(醋酸丁酯;乙酸丁酯) 4 - 126 254n-propanol(丙醇) 4 2.27 98 210Methyl isobutyl ketone(甲基异丁酮) 4.2 - 119 330Tetrahydrofuran(四氢呋喃) 4.2 0.55 66 220Ethyl acetate(乙酸乙酯) 4.30 0.45 77 260i-propanol(异丙醇) 4.3 2.37 82 210Chloroform(氯仿) 4.4 0.57 61 245Methyl ethyl ketone(甲基乙基酮) 4.5 0.43 80 330Dioxane(二恶烷; 二氧六环; 二氧杂环己4.8 1.54 102 220 烷)Pyridine(吡啶) 5.3 0.97 115 305Acetone(丙酮) 5.4 0.32 57 330Nitromethane(硝基甲烷) 6 0.67 101 330Acetic acid(乙酸) 6.2 1.28 118 230Acetonitrile(乙腈) 6.2 0.37 82 210Aniline(苯胺) 6.3 4.4 184 -Dimethyl formamide(二甲基甲酰胺) 6.4 0.92 153 270Methanol(甲醇) 6.6 0.6 65 210Ethylene glycol(乙二醇 ) 6.9 19.9 197 210Dimethyl sulfoxide(二甲亚砜 DMSO) 7.2 2.24 189 268Water(水)10.2 1 100 268常用溶剂的沸点、溶解性和毒性溶剂名称沸点溶解性毒性甲醇64.5与水、乙醚、醇、酯、卤代烃、苯、酮混溶中等毒性,麻醉性乙酸乙酯77.112与醇、醚、氯仿、丙酮、苯等大多数有机溶剂溶解,能溶解某些金属盐低毒,麻醉性乙醇78.3与水、乙醚、氯仿、酯、烃类衍生物等有机溶剂混溶微毒类,麻醉性氯仿61.15与乙醇、乙醚、石油醚、卤代烃、四氯化碳、二硫化碳等混溶中等毒性,强麻醉性乙睛81.60与水、甲醇、乙酸甲酯、乙酸乙酯、丙酮、醚、氯仿、四氯化碳、氯乙烯及各种不饱和烃混溶,但是不与饱和烃混溶中等毒性,大量吸入蒸气,引起急性中毒二氯甲烷39.75与醇、醚、氯仿、苯、二硫化碳等有机溶剂混溶低毒,麻醉性强丙酮56.12与水、醇、醚、烃混溶低毒低毒,类乙醇,但较大乙醚34.6微溶于水,易溶与盐酸.与醇、醚、石油醚、苯、氯仿等多数有机溶剂混溶麻醉性三乙胺89.6水:18.7以下混溶,以上微溶。
有机溶剂极性表化合物名称极性粘度沸点吸收波长i-pentane(异戊烷)0-30-n-pentane(正戊烷)00.2336210Petroleum ether(石油醚)0.010.330~60210Hexane(己烷)0.060.3369210 Cyclohexane(环己烷)0.1181210 Isooctane(异辛烷)0.10.5399210 Trifluoroacetic acid(三氟乙酸)0.1-72-Trimethylpentane(三甲基戊烷)0.10.4799215 Cyclopentane(环戊烷) 0.20.4749210 n-heptane(庚烷)0.20.4198200 Butyl chloride(丁基氯; 丁酰氯)10.4678220 Trichloroethylene(三氯乙烯; 乙炔化三氯)10.5787273 Carbon tetrachloride(四氯化碳) 1.60.9777265 Trichlorotrifluoroethane(三氯三氟代乙烷)1.90.7148231i-propyl ether(丙基醚; 丙醚) 2.40.3768220 Toluene(甲苯) 2.40.59111285 p-xylene(对二甲苯) 2.50.65138290 Chlorobenzene(氯苯) 2.70.8132-o-dichlorobenzene(邻二氯苯) 2.7 1.33180295 Ethyl ether(二乙醚; 醚) 2.90.2335220 Benzene(苯)30.6580280 Isobutyl alcohol(异丁醇)3 4.7108220 Methylene chloride(二氯甲烷) 3.40.4440245 Ethylene dichloride(二氯化乙烯) 3.50.7884228 n-butanol(正丁醇) 3.7 2.95117210 n-butyl acetate(醋酸丁酯;乙酸丁酯)4-126254 n-propanol(丙醇)4 2.2798210 Methyl isobutyl ketone(甲基异丁酮) 4.2-119330 Tetrahydrofuran(四氢呋喃) 4.20.5566220 Ethyl acetate(乙酸乙酯) 4.300.4577260 i-propanol(异丙醇) 4.3 2.3782210 Chloroform(氯仿) 4.40.5761245 Methyl ethyl ketone(甲基乙基酮) 4.50.4380330Dioxane(二恶烷; 二氧六环; 二氧杂环4.8 1.54102220己烷)Pyridine(吡啶) 5.30.97115305Acetone(丙酮) 5.40.3257330Nitromethane(硝基甲烷) 60.67101330Acetic acid(乙酸) 6.2 1.28118230Acetonitrile(乙腈) 6.20.3782210Aniline(苯胺) 6.3 4.4184-Dimethyl formamide(二甲基甲酰胺) 6.40.92153270Methanol(甲醇) 6.60.665210Ethylene glycol(乙二醇) 6.919.9197210Dimethyl sulfoxide(二甲亚砜DMSO)7.2 2.24189268Water(水)10.21100268常用溶剂的沸点、溶解性与毒性溶剂名称沸点溶解性毒性甲醇 64.5 与水、乙醚、醇、酯、卤代烃、苯、酮混溶中等毒性,麻醉性乙酸乙酯 77.112 与醇、醚、氯仿、丙酮、苯等大多数有机溶剂溶解,能溶解某些金属盐低毒,麻醉性乙醇 78.3 与水、乙醚、氯仿、酯、烃类衍生物等有机溶剂混溶微毒类,麻醉性氯仿 61.15 与乙醇、乙醚、石油醚、卤代烃、四氯化碳、二硫化碳等混溶中等毒性,强麻醉性乙睛 81.60 与水、甲醇、乙酸甲酯、乙酸乙酯、丙酮、醚、氯仿、四氯化碳、氯乙烯及各种不饱与烃混溶,但是不与饱与烃混溶中等毒性,大量吸入蒸气,引起急性中毒二氯甲烷 39.75 与醇、醚、氯仿、苯、二硫化碳等有机溶剂混溶低毒,麻醉性强丙酮 56.12 与水、醇、醚、烃混溶低毒低毒,类乙醇,但较大乙醚 34.6 微溶于水,易溶与盐酸.与醇、醚、石油醚、苯、氯仿等多数有机溶剂混溶麻醉性三乙胺 89.6 水:18.7以下混溶,以上微溶。
有机溶剂极性表化合物名称极性粘度沸点吸收波长i-pentane(异戊烷)0-30-n-pentane(正戊烷)00.2336210 Petroleum ether(石油醚)0.010.330~60210 Hexane(己烷)0.060.3369210 Cyclohexane(环己烷)0.1181210 Isooctane(异辛烷)0.10.5399210 Trifluoroacetic acid(三氟乙酸)0.1-72-Trimethylpentane(三甲基戊烷)0.10.4799215 Cyclopentane(环戊烷) 0.20.4749210 n-heptane(庚烷)0.20.4198200 Butyl chloride(丁基氯; 丁酰氯)10.4678220 Trichloroethylene(三氯乙烯; 乙炔化三氯)10.5787273 Carbon tetrachloride(四氯化碳) 1.60.9777265 Trichlorotrifluoroethane(三氯三氟代乙烷) 1.90.7148231 i-propyl ether(丙基醚; 丙醚) 2.40.3768220 Toluene(甲苯) 2.40.59111285 p-xylene(对二甲苯) 2.50.65138290Chlorobenzene(氯苯) 2.70.8132-o-dichlorobenzene(邻二氯苯) 2.7 1.33180295 Ethyl ether(二乙醚; 醚) 2.90.2335220 Benzene(苯)30.6580280 Isobutyl alcohol(异丁醇)3 4.7108220 Methylene chloride(二氯甲烷) 3.40.4440245 Ethylene dichloride(二氯化乙烯) 3.50.7884228 n-butanol(正丁醇) 3.7 2.95117210 n-butyl acetate(醋酸丁酯;乙酸丁酯)4-126254 n-propanol(丙醇)4 2.2798210 Methyl isobutyl ketone(甲基异丁酮) 4.2-119330 Tetrahydrofuran(四氢呋喃) 4.20.5566220 Ethyl acetate(乙酸乙酯) 4.300.4577260 i-propanol(异丙醇) 4.3 2.3782210 Chloroform(氯仿) 4.40.5761245 Methyl ethyl ketone(甲基乙基酮) 4.50.4380330 Dioxane(二恶烷; 二氧六环; 二氧杂环己烷) 4.8 1.54102220 Pyridine(吡啶) 5.30.97115305 Acetone(丙酮) 5.40.3257330Nitromethane(硝基甲烷) 60.67101330 Acetic acid(乙酸) 6.2 1.28118230 Acetonitrile(乙腈) 6.20.3782210 Aniline(苯胺) 6.3 4.4184-Dimethyl formamide(二甲基甲酰胺) 6.40.92153270 Methanol(甲醇) 6.60.665210 Ethylene glycol(乙二醇) 6.919.9197210 Dimethyl sulfoxide(二甲亚砜DMSO)7.2 2.24189268 Water(水)10.21100268常用溶剂的沸点、溶解性和毒性溶剂名称沸点溶解性毒性甲醇 64.5 与水、乙醚、醇、酯、卤代烃、苯、酮混溶中等毒性,麻醉性乙酸乙酯 77.112 与醇、醚、氯仿、丙酮、苯等大多数有机溶剂溶解,能溶解某些金属盐低毒,麻醉性乙醇 78.3 与水、乙醚、氯仿、酯、烃类衍生物等有机溶剂混溶微毒类,麻醉性氯仿 61.15 与乙醇、乙醚、石油醚、卤代烃、四氯化碳、二硫化碳等混溶中等毒性,强麻醉性乙睛 81.60 与水、甲醇、乙酸甲酯、乙酸乙酯、丙酮、醚、氯仿、四氯化碳、氯乙烯及各种不饱和烃混溶,但是不与饱和烃混溶中等毒性,大量吸入蒸气,引起急性中毒二氯甲烷 39.75 与醇、醚、氯仿、苯、二硫化碳等有机溶剂混溶低毒,麻醉性强丙酮 56.12 与水、醇、醚、烃混溶低毒低毒,类乙醇,但较大乙醚 34.6 微溶于水,易溶与盐酸.与醇、醚、石油醚、苯、氯仿等多数有机溶剂混溶麻醉性三乙胺 89.6 水:18.7以下混溶,以上微溶。
有机溶剂是能溶解一些不溶于水的物质的一类有机化合物,其特点是在常温常压下呈液态,具有较大的挥发性,在溶解过程中,溶质与溶剂的性质均无改变。
有机溶剂的种类较多,按其化学结构可分为10大类:①芳香烃类:苯、甲苯、二甲苯等;②脂肪烃类:戊烷、己烷、辛烷等;③脂环烃类:环己烷、环己酮、甲苯环己酮等;④卤化烃类:氯苯、二氯苯、二氯甲烷等;⑤醇类:甲醇、乙醇、异丙醇等;⑥醚类:乙醚、环氧丙烷等;⑦酯类:醋酸甲酯、醋酸乙酯、醋酸丙酯等;⑧酮类:丙酮、甲基丁酮、甲基异丁酮等;⑨二醇衍生物:乙二醇单甲醚、乙二醇单乙醚、乙二醇单丁醚等;⑩其他:乙腈、吡啶、苯酚等。
有机溶剂具有脂溶性,因此除经呼吸道和消化道进入机体内外,尚可经完整的皮肤迅速吸收,有机溶剂吸收入人体后,将作用于富含脂类物质的神经、血液系统,以及肝肾等实质脏器,同时对皮肤和粘膜也有一定的刺激性。
不同有机溶剂其作用的主要靶器官和作用的强弱也不同,这决定于每一种有机溶剂的化学结构、溶解度、接触浓度和时间,以及机体的敏感性。
常用溶剂的极性顺序: 水(极性最大) > 甲酰胺 > 乙腈 > 甲醇 >乙醇 > 丙醇 > 丙酮 > 二氧六环 > 四氢呋喃 > 甲乙酮 > 正丁醇 > 醋酸乙酯 > 乙醚 > 异丙醚 > 二氯甲烷 > 氯仿 > 溴乙烷 > 苯 > 氯丙烷 > 甲苯 > 四氯化碳 > 二硫化碳 > 环己烷 > 己烷 > 庚烷 > 煤油(极性最小)有机溶剂的极性根据官能团和对称性可初步判断,具体的需参照极性参数,如下表示有机溶剂的极性,关系到其物理化学性质、如介电常数、偶极矩或折射率。
这种表示方法把所有的溶剂看作是连续作用的介质,而不是看作由各个分子组成的非连续统一体,并且未考虑到溶剂和溶质之间的特殊的相互作用。
有机溶剂是能溶解一些不溶于水的物质的一类有机化合物,其特点是在常温常压下呈液态,具有较大的挥发性,在溶解过程中,溶质与溶剂的性质均无改变。
有机溶剂的种类较多,按其化学结构可分为10大类:①芳香烃类:苯、甲苯、二甲苯等;②脂肪烃类:戊烷、己烷、辛烷等;③脂环烃类:环己烷、环己酮、甲苯环己酮等;④卤化烃类:氯苯、二氯苯、二氯甲烷等;⑤醇类:甲醇、乙醇、异丙醇等;⑥醚类:乙醚、环氧丙烷等;⑦酯类:醋酸甲酯、醋酸乙酯、醋酸丙酯等;⑧酮类:丙酮、甲基丁酮、甲基异丁酮等;⑨二醇衍生物:乙二醇单甲醚、乙二醇单乙醚、乙二醇单丁醚等;⑩其他:乙腈、吡啶、苯酚等。
有机溶剂具有脂溶性,因此除经呼吸道和消化道进入机体内外,尚可经完整的皮肤迅速吸收,有机溶剂吸收入人体后,将作用于富含脂类物质的神经、血液系统,以及肝肾等实质脏器,同时对皮肤和粘膜也有一定的刺激性。
不同有机溶剂其作用的主要靶器官和作用的强弱也不同,这决定于每一种有机溶剂的化学结构、溶解度、接触浓度和时间,以及机体的敏感性。
常用溶剂的极性顺序: 水(极性最大) > 甲酰胺> 乙腈> 甲醇> 乙醇> 丙醇> 丙酮> 二氧六环> 四氢呋喃> 甲乙酮> 正丁醇> 醋酸乙酯> 乙醚> 异丙醚> 二氯甲烷> 氯仿> 溴乙烷> 苯> 氯丙烷> 甲苯> 四氯化碳> 二硫化碳> 环己烷> 己烷> 庚烷> 煤油(极性最小)有机溶剂的极性根据官能团和对称性可初步判断,具体的需参照极性参数,如下表示有机溶剂的极性,关系到其物理化学性质、如介电常数、偶极矩或折射率。
这种表示方法把所有的溶剂看作是连续作用的介质,而不是看作由各个分子组成的非连续统一体,并且未考虑到溶剂和溶质之间的特殊的相互作用。
有机溶剂是能溶解一些不溶于水的物质的一类有机化合物,其特点是在常温常压下呈液态,具有较年夜的挥发性,在溶解过程中,溶质与溶剂的性质均无改变.之答禄夫天创作有机溶剂的种类较多,按其化学结构可分为10年夜类:①芳香烃类:苯、甲苯、二甲苯等;②脂肪烃类:戊烷、己烷、辛烷等;③脂环烃类:环己烷、环己酮、甲苯环己酮等;④卤化烃类:氯苯、二氯苯、二氯甲烷等;⑤醇类:甲醇、乙醇、异丙醇等;⑥醚类:乙醚、环氧丙烷等;⑦酯类:醋酸甲酯、醋酸乙酯、醋酸丙酯等;⑧酮类:丙酮、甲基丁酮、甲基异丁酮等;⑨二醇衍生物:乙二醇单甲醚、乙二醇单乙醚、乙二醇单丁醚等;⑩其他:乙腈、吡啶、苯酚等.有机溶剂具有脂溶性,因此除经呼吸道和消化道进入机体内外,尚可经完整的皮肤迅速吸收,有机溶剂吸收入人体后,将作用于富含脂类物质的神经、血液系统,以及肝肾等实质脏器,同时对皮肤和粘膜也有一定的安慰性.分歧有机溶剂其作用的主要靶器官和作用的强弱也分歧,这决定于每一种有机溶剂的化学结构、溶解度、接触浓度和时间,以及机体的敏感性.经常使用溶剂的极性顺序: 水(极性最年夜) > 甲酰胺 > 乙腈 > 甲醇 > 乙醇 > 丙醇 > 丙酮 > 二氧六环 > 四氢呋喃 > 甲乙酮 > 正丁醇 > 醋酸乙酯 > 乙醚 > 异丙醚 > 二氯甲烷 > 氯仿 > 溴乙烷 > 苯 > 氯丙烷 > 甲苯 > 四氯化碳 > 二硫化碳 > 环己烷 > 己烷 > 庚烷 > 煤油(极性最小)有机溶剂的极性根据官能团和对称性可初步判断,具体的需参照极性参数,如下暗示有机溶剂的极性,关系到其物理化学性质、如介电常数、偶极矩或折射率.这种暗示方法把所有的溶剂看作是连续作用的介质,而不是看作由各个分子组成的非连续统一体,而且未考虑到溶剂和溶质之间的特殊的相互作用.。
有机溶剂极性表[整理]有机溶剂极性表吸收波化合物名称极性粘度沸点长 i-pentane(异戊烷) 0 - 30 - n-pentane(正戊烷) 0 0.23 36 210 Petroleum ether(石油醚) 0.01 0.3 30,60 210 Hexane(己烷) 0.06 0.33 69 210 Cyclohexane(环己烷) 0.1 1 81 210 Isooctane(异辛烷) 0.1 0.53 99 210 Trifluoroacetic acid(三氟乙酸) 0.1 - 72 - Trimethylpentane(三甲基戊烷) 0.1 0.47 99 215 Cyclopentane(环戊烷) 0.2 0.47 49 210 n-heptane(庚烷) 0.2 0.41 98 200 Butyl chloride(丁基氯; 丁酰氯) 1 0.46 78 220 Trichloroethylene(三氯乙烯; 乙炔化三氯) 1 0.57 87 273 Carbontetrachloride(四氯化碳) 1.6 0.97 77 265 Trichlorotrifluoroethane(三氯三氟代乙烷) 1.9 0.71 48 231 i-propyl ether(丙基醚; 丙醚) 2.4 0.37 68 220 Toluene(甲苯) 2.4 0.59 111 285 p-xylene(对二甲苯) 2.5 0.65 138 290 Chlorobenzene(氯苯) 2.7 0.8 132 - o-dichlorobenzene(邻二氯苯) 2.7 1.33 180 295 Ethyl ether(二乙醚; 醚) 2.9 0.23 35 220 Benzene(苯) 3 0.65 80280 Isobutyl alcohol(异丁醇) 3 4.7 108 220 Methylene chloride(二氯甲烷) 3.4 0.44 40 245Ethylene dichloride(二氯化乙烯) 3.5 0.78 84 228 n-butanol(正丁醇)3.7 2.95 117 210 n-butyl acetate(醋酸丁酯;乙酸丁酯) 4 - 126 254 n-propanol(丙醇) 4 2.27 98 210 Methyl isobutyl ketone(甲基异丁酮)4.2 -119 330 Tetrahydrofuran(四氢呋喃) 4.2 0.55 66 220 Ethyl acetate(乙酸乙酯) 4.30 0.45 77 260 i-propanol(异丙醇) 4.3 2.37 82 210 Chloroform(氯仿) 4.4 0.57 61 245 Methyl ethyl ketone(甲基乙基酮) 4.5 0.43 80 330 Dioxane(二恶烷; 二氧六环; 二氧杂环己烷) 4.8 1.54 102 220 Pyridine(吡啶) 5.3 0.97 115 305 Acetone(丙酮) 5.4 0.32 57 330 Nitromethane(硝基甲烷) 6 0.67 101 330 Acetic acid(乙酸) 6.2 1.28 118 230 Acetonitrile(乙腈) 6.2 0.37 82 210 Aniline(苯胺) 6.3 4.4 184 - Dimethyl formamide(二甲基甲酰胺) 6.4 0.92 153 270 Methanol(甲醇) 6.6 0.6 65 210 Ethylene glycol(乙二醇 ) 6.9 19.9 197 210 Dimethyl sulfoxide(二甲亚砜 DMSO) 7.2 2.24 189 268 Water(水) 10.2 1 100 268常用溶剂的沸点、溶解性和毒性溶剂名称沸点溶解性毒性甲醇 64.5 与水、乙醚、醇、酯、卤代烃、苯、酮混溶中等毒性,麻醉性乙酸乙酯 77.112 与醇、醚、氯仿、丙酮、苯等大多数有机溶剂溶解,能溶解某些金属盐低毒,麻醉性乙醇 78.3 与水、乙醚、氯仿、酯、烃类衍生物等有机溶剂混溶微毒类,麻醉性氯仿 61.15 与乙醇、乙醚、石油醚、卤代烃、四氯化碳、二硫化碳等混溶中等毒性,强麻醉性乙睛 81.60 与水、甲醇、乙酸甲酯、乙酸乙酯、丙酮、醚、氯仿、四氯化碳、氯乙烯及各种不饱和烃混溶,但是不与饱和烃混溶中等毒性,大量吸入蒸气,引起急性中毒二氯甲烷 39.75 与醇、醚、氯仿、苯、二硫化碳等有机溶剂混溶低毒,麻醉性强丙酮 56.12 与水、醇、醚、烃混溶低毒低毒,类乙醇,但较大乙醚 34.6 微溶于水,易溶与盐酸.与醇、醚、石油醚、苯、氯仿等多数有机溶剂混溶麻醉性三乙胺 89.6 水:18.7以下混溶,以上微溶。