椭圆双曲线抛物线经典求法及历年真题
- 格式:docx
- 大小:390.76 KB
- 文档页数:18
圆锥曲线(椭圆、双曲线、抛物线)(精选20题)保持做题的“手感”。
临近高考,考生仍要保持做数学题的手感,勤于动笔,勤于练习。
考前很多考生心态波动较大,比如看到考试成绩下降,就会非常焦虑。
实际上成绩有波动很正常,因为试卷的难度不一样,考生的发挥也不一样,试卷考查的知识点和考生掌握的情况也不一样。
考生不要因为一次考试而让自己过于焦虑,要辩证地去看待考试成绩。
在考试过程中,如果遇到新题或难题,一定要稳住心态。
考生要想到的是:我觉得难,别人也一样。
当然我们也不能因为题目简单就疏忽大意,要把自己的水平发挥出来,保证自己会做的题都不出错,难题尽可能多拿分。
圆锥曲线解题技巧尽量做出第一问,第二问多套模板拿步骤分1.利用韦达定理法解决直线与圆锥曲线相交问题的基本步骤:(1)设直线方程,设交点坐标为x 1,y 1 、x 2,y 2 ;(2)联立直线与圆锥曲线的方程,得到关于x (或y )的一元二次方程,必要时计算Δ;(3)列出韦达定理;(4)将所求问题或题中的关系转化为x 1+x 2、x 1x 2(或y 1+y 2、y 1y 2)的形式;(5)代入韦达定理求解2.若直线l :y =kx +b 与圆雉曲线相交于A (x 1,y 1),B (x 2,y 2)两点,由直线与圆锥曲线联立,消元得到Ax 2+Bx +C =0(Δ>0)则:x 1+x 2=-B A ,x 1x 2=CA则:弦长AB =x 1-x 2 2+y 1-y 2 2=x 1-x 2 2+kx 1-kx 2 2=1+k 2x 1-x 2 =1+k 2x 1+x 2 2-4x 1x 2=1+k 2-B A 2-4C A=1+k 2B 2-4ACA 2=1+k 2⋅ΔA或|AB |=1+1k2⋅y 1-y 22=1+1k2⋅y 1-y 2一、解答题1(2024·浙江温州·模拟预测)已知椭圆C :x 2a 2+y 2b2=1a >b >0 ,左右顶点分别是A -2,0 ,B 2,0 ,椭圆的离心率是22.点P 是直线x =32上的点,直线PA 与PB 分别交椭圆C 于另外两点M ,N .(1)求椭圆的方程.(2)若k AM =λk BN ,求出λ的值.(3)试证明:直线MN 过定点.【答案】(1)x 22+y ²=1(2)12(3)证明见解析【分析】(1)由题意结合a 2=b 2+c 2计算即可得;(2)设出点P 坐标,借助斜率公式计算即可得;(3)设出直线MN 方程,联立曲线方程,借助韦达定理与(2)中所得λ计算即可得.【详解】(1)由题意可得a =2,c a =22,即a 2=2c 2=b 2+c 2=2,所以b =c =1,则椭圆C :x22+y 2=1;(2)设P 32,n ,由于k AM =λk BN ,则λ=k PA k PB =n32+2n 32-2=2242=12;(3)显然MN 斜率不为0,设l MN :x =ty +m ,M x 1,y 1 ,N x 2,y 2 ,联立方程x =ty +mx 22+y 2=1,则有t 2+2 y 2+2tmy +m 2-2=0,Δ=4t 2m 2-4t 2+2 m 2-2 =8t 2-m 2+2 >0,则有y 1+y 2=-2tm t 2+2,y 1y 2=m 2-2t 2+2,由于k AM =λk BN ,则λ=kMA k BN =y 1x 2-2 y 2x 1+2 =y 1x 2-2 x 2+2 y 2x 1+2 x 2+2 =y 1x 22-2y 2x 1+2 x 2+2,因为x 222+y 22=1,故λ=-2y 1y 2x 1+2 x 2+2 =-2y 1y 2ty 1+m +2 ty 2+m +2 =4-2m 22m 2+42m +4=12,即3m 2+22m =2,解得m =-2或m =23,当m =-2时,2m 2+42m +4=0,故舍去,即m =23,适合题意,故MN :x =ty +23,则直线MN 过定点23,0.2(2024·辽宁·模拟预测)在直角坐标系xOy 中,点P 到点(0,1)距离与点P 到直线y =-2距离的差为-1,记动点P 的轨迹为W .(1)求W 的方程;(2)设点P 的横坐标为x 0(x 0<0).(i )求W 在点P 处的切线的斜率(用x 0表示);(ii )直线l 与W 分别交于点A ,B .若PA =PB ,求直线l 的斜率的取值范围(用x 0表示).【答案】(1)x 2=4y(2)(i )x 02,(ii )答案见解析【分析】(1)设点P 的坐标为(x ,y ),利用距离公式列式化简求解即可;(2)(i )利用导数的几何意义求得切线斜率;(ii )分析直线l 斜率存在设为y =kx +m ,与抛物线方程联立,韦达定理,表示出线段AB 中点M 的坐标,利用斜率关系得x 024=-1k x 0-x M +y M ,从而m =x 204+x 0k-2k 2-2,根据Δ>0,得k k -x 02 k 2+x02k +2 <0,分类讨论解不等式即可.【详解】(1)设点P 的坐标为(x ,y ),由题意得(x -0)2+(y -1)2-|y -(-2)|=-1,即x 2+(y -1)2=|y +2|-1,所以y +2≥0,x 2+(y -1)2=y +1. 或y +2<0,x 2+(y -1)2=-y -3.整理得y +2≥0,x 2=4y .或y +2<0,x 2=8y +8.故W 的方程为x 2=4y .(2)(i )因为W 为y =x 24,所以y =x2.所以W 在点P 处的切线的斜率为:x 02;(ii )设直线l 为y =kx +m ,点M 为线段AB 的中点,当k =0时,不合题意,所以k ≠0;因为点A ,B 满足x 2=4y ,y =kx +m . 所以x A ,x B 满足x 2-4kx -4m =0,从而Δ=16k 2+16m >0,x M =x A +xB 2=2k ,y M =kx M +m =2k 2+m .因为直线PM 的方程为y =-1k x -x M +y M ,所以x 024=-1kx 0-x M +y M ,即x 204=-1k x 0-2k +2k 2+m ,从而m =x 204+x 0k -2k 2-2.因为Δ=16k 2+16m >0,所以k 2+x 204+x0k -2k 2-2>0,即k -x 02 k 2+x 02k +2k<0,等价于k k -x 02 k 2+x02k +2 <0(其中x 0<0).①当x 204-8<0时,即x 0∈(-42,0)时,有k 2+x 02k +2>0,此时x 02<k <0,②当x 204-8=0时,即x 0=-42时,有k k -x 02 k +x 04 2<0,此时x 02<k <0,③当x 024-8>0时,即x 0∈(-∞,-42)时,有k k -x 02 k --x 0-x 20-324 k --x 0+x 20-324<0,其中x 02<0<-x 0-x 20-324<-x 0+x 20-324,所以k ∈x 02,0 ∪-x 0-x 20-324,-x 0+x 20-324.综上,当x 0∈[-42,0)时,k ∈x02,0 ;当x 0∈(-∞,-42)时,k ∈x 02,0 ∪-x 0-x 20-324,-x 0+x 20-324.3(2024·山西太原·三模)已知双曲线C :x 2a 2-y 2b2=1a >0,b >0 的左、右顶点分别为A 与B ,点D 3,2 在C 上,且直线AD 与BD 的斜率之和为2 .(1)求双曲线C 的方程;(2)过点P 3,0 的直线与C 交于M ,N 两点(均异于点A ,B ),直线MA 与直线x =1交于点Q ,求证:B ,N ,Q 三点共线.【答案】(1)x 23-y 2=1(2)证明见解析【分析】(1)由题意点D 3,2 在C 上,且直线AD 与BD 的斜率之和为2,建立方程组求解即可;(2)B ,N ,Q 三点共线,即证BN ⎳BQ,设出直线的方程联立双曲线的方程,由韦达定理,求出M ,N 的坐标,由坐标判断BN ⎳BQ,证明即可.【详解】(1)由题意得A -a ,0 ,B a ,0 ,且9a 2-2b2=123+a +23-a=2∴a 2=3b 2=1∴x 23-y 2=1(2)由(1)得A -3,0 ,B 3,0 ,设直线MN 的方程为x =ty +3t ≠±3 ,M x 1,y 1 ,N x 2,y 2 ,则BN=x 2-3,y 2 ,由x =ty +3x23-y 2=1 得t 2-3y 2+6ty +6=0,∴y 1+y 2=-6t t 2-3,y 1y 2=6t 2-3,直线AM 的方程为y =y 1x 1+3x +3 ,令x =1,则y =y 1x 1+31+3 ,∴Q 1,1+3 y 1x 1+3 ,∴BQ =1-3,1+3 y 1x 1+3,∵x 2-3 ⋅1+3 y 1x 1+3-1-3 y 2=1x 1+3x 2-3 ⋅1+3 y 1-1-3 x 1+3 y 2=1x 1+3ty 2+3-3 ⋅1+3 y 1-1-3 ty 1+3+3 y 2 =1x 1+3ty 2+3-3 ⋅1+3 y 1+3-1 ty 1+3+3 y 2 =23x 1+3ty 1y 2+y 1+y 2 =23x 1+36t t 2-3-6tt 2-3=0,∴BN ⎳BQ, 所以B ,N ,Q 三点共线.4(2024·重庆·模拟预测)如图,DM ⊥x 轴,垂足为D ,点P 在线段DM 上,且|DP ||DM |=12.(1)点M 在圆x 2+y 2=4上运动时,求点P 的轨迹方程;(2)记(1)中所求点P 的轨迹为Γ,A (0,1),过点0,12作一条直线与Γ相交于B ,C 两点,与直线y =2交于点Q .记AB ,AC ,AQ 的斜率分别为k 1,k 2,k 3,证明:k 1+k2k 3是定值.【答案】(1)x 24+y 2=1(2)证明见解析【分析】(1)设P x ,y ,则有M x ,2y ,根据M 在圆x 2+y 2=4上运动,即可求解x 、y 的关系式即为点P 的轨迹方程;(2)设出直线方程,直曲联立利用韦达定理求出x 1+x 2=-4k1+4k2x 1x 2=-31+4k2,求出k 1+k 2=4k 3,对y =kx +12,令y =2,得Q 32k ,2,求出k 3=2k3,即可求出k 1+k 2k 3是定值.【详解】(1)设P x ,y ,根据题意有M x ,2y ,又因为M 在圆x 2+y 2=4上运动,所以x 2+2y 2=4,即x 24+y 2=1,所以点P 的轨迹方程为:x 24+y 2=1.(2)根据已知条件可知,若直线BC 的斜率不存在,不合题意,若直线BC 斜率为0,直线BC 与直线y =2平行无交点也不合题意,所以直线BC 的斜率存在设为k ,直线BC 的方程为y =kx +12,联立x 24+y 2=1y =kx +12,则有1+4k 2x 2+4kx -3=0,且Δ>0,设B x 1,y 1 ,C x 2,y 2 ,则x 1+x 2=-4k1+4k2x 1x 2=-31+4k2,k 1=y 1-1x 1,k 2=y 2-1x 2,所以k 1+k 2=y 1-1x 1+y 2-1x 2=x 2kx 1-12 +x 1kx 2-12x 1x 2=2kx 1x 2-12x 1+x 2x 1x 2=2k -31+4k2-12-4k1+4k 2-31+4k 2=4k 3,对y =kx +12,令y =2,得x Q =32k ,所以Q 32k,2 ,所以k 3=2-132k=2k 3,所以k 1+k 2k 3=4k332k=2为定值.5(2024·湖北武汉·模拟预测)己知圆E :(x +6)2+y 2=32,动圆C 与圆E 相内切,且经过定点F 6,0(1)求动圆圆心C 的轨迹方程;(2)若直线l :y =x +t 与(1)中轨迹交于不同的两点A ,B ,记△OAB 外接圆的圆心为M (O 为坐标原点),平面上是否存在两定点C ,D ,使得MC -MD 为定值,若存在,求出定点坐标和定值,若不存在,请说明理由.【答案】(1)x 28+y 22=1(2)存在定点C -465,0 ,D 465,0 ,使得MC -MD =853(定值)【分析】(1)根据椭圆的定义得到动圆圆心的轨迹焦点在x 轴上的椭圆,进而求得椭圆的方程;(2)联立l :y =x +t 与椭圆方程,根据韦达定理得x 1+x 2=-8t 5,x 1x 2=4t 2-85,进而得出OA 和OB 的中垂线方程,联立方程求出交点即为圆心坐标的关系为x 2-y 2=4825,根据双曲线定义可得C -465,0 ,D 465,0 及MC -MD =853,方法二,设△OAB 外接圆方程为x 2+y 2+d x +ey =0,联立直线和与圆的方程,利用韦达定理和参数方程消去参数得圆心的坐标关系为x 2-y 2=4825,根据双曲线定义可得C -465,0 ,D 465,0 及MC -MD =853【详解】(1)设圆E 的半径为r ,圆E 与动圆C 内切于点Q .∵点F 在圆E 内部,∴点C 在圆E 内部.∴CE +CF =CE +CQ =r =42>EF =26,∴点C 的轨迹是焦点在x 轴上的椭圆,其方程为x 28+y 22=1.(2)(方法一)联立l :y =x +t 与椭圆方程,消y 得5x 2+8tx +4t 2-8=0,设A x 1,y 1 ,B x 2,y 2 ,则x 1+x 2=-8t 5,x 1x 2=4t 2-85,OA 的中垂线方程为:y -y 12=-x 1y 1x -x 12 ,即y =-x 1y 1x +x 212y 1+y 12①OB 的中垂线方程为:y =-x 2y2x +x 222y 2+y 22②由①②两式可得-x 1y 1x +x 212y 1+y 12=-x 2y 2x +x 222y 2+y 22,∴△OAB 外接圆圆心M 的横坐标x M =x 22y 1-x 21y 2+y 2-y 1 y 1y 22x 2y 1-x 1y 2 ,其中x 2y 1-x 1y 2=x 2x 1+t -x 1x 2+t =t x 2-x 1x 22y 1-x 21y 2+y 2-y 1 y 1y 2=x 22x 1+t -x 21x 2+t +x 2-x 1 x 1+t x 2+t =x 22x 1-x 12x 2 +t x 22-x 12 +x 2-x 1 x 1+t x 2+t=x 2-x 1 x 1x 2+t x 2+x 1 +x 1+t x 2+t =x 2-x 1 2x 1x 2+2t x 2+x 1 +t 2 ∴x M =x 2-x 1 2x 1x 2+2t x 2+x 1 +t 22t x 2-x 1=2x 1x 2+2t x 2+x 1 +t 22t =x 1x 2t +x 2+x 1+t 2=-3t 10-85t,又∵AB 的中垂线方程为y -y 1+y 22=-x -x 1+x 22 ,即y =-x -3t5,∴圆心M 的纵坐标为y M =--3t 10-85t -35t =-3t 10+85t,∴x M 2-y M 2=-3t 10-85t 2--3t 10+85t 2=4825,∴圆心M 在双曲线x 2-y 2=4825上,∴存在定点C -465,0 ,D 465,0 ,使得MC -MD =853(定值),(方法二)设△OAB 外接圆方程为x 2+y 2+d x +ey =0,联立l :y =x +t 与圆的方程,消y 得2x 2+2t +d +e x +t 2+et =0,则x 1+x 2=-2t +d +e 2=-8t 5,x 1x 2=t 2+et 2=4t 2-85∴2t +d +e =16t 5,t 2+et =8t 2-165,解得d =3t 5+165t ,e =3t 5-165t,设圆心坐标为M x ,y ,则x =-d 2=-3t 10-85t ,y =-3t 10+85t,∴x 2-y 2=-3t 10-85t 2--3t 10+85t 2=4825,∴圆心M 在双曲线x 2-y 2=4825上,∴存在定点C -465,0 ,D 465,0 ,使得MC -MD =853(定值),6(2024·山西·三模)已知抛物线E :y 2=2px p >0 的焦点F 到准线的距离为2,O 为坐标原点.(1)求E 的方程;(2)已知点T t ,0 ,若E 上存在一点P ,使得PO ⋅PT=-1,求t 的取值范围;(3)过M -4,0 的直线交E 于A ,B 两点,过N -4,43 的直线交E 于A ,C 两点,B ,C 位于x 轴的同侧,证明:∠BOC 为定值.【答案】(1)y 2=4x (2)6,+∞ (3)证明见详解【分析】(1)根据题意可知焦点F 到准线的距离为p =2,即可得方程;(2)设P x ,y ,利用平面向量数量积可得t -4=x +1x,结合基本不等式运算求解;(3)设A y 214,y 1 ,B y 224,y 2 ,C y 234,y 3,求直线AB ,AC 的方程,结合题意可得-16+y 1y 2=0-16-43y 1+y 3 +y 1y 3=0 ,结合夹角公式分析求解.【详解】(1)由题意可知:焦点F 到准线的距离为p =2,所以抛物线E 的方程为y 2=4x .(2)设P x ,y ,可知y 2=4x ,x ≥0,则PO =-x ,-y ,PT =t -x ,-y ,可得PO ⋅PT=-x t -x +y 2=x 2-tx +4x =x 2+4-t x =-1,显然x =0不满足上式,则x >0,可得t -4=x +1x,又因为x +1x ≥2x ⋅1x =2,当且仅当x =1x,即x =1时,等号成立,则t -4≥2,即t ≥6,所以t 的取值范围为6,+∞.(3)设Ay214,y1,B y224,y2,C y234,y3,则直线AB的斜率k AB=y1-y2y214-y224=4y1+y2,可得直线AB的方程y-y1=4y1+y2x-y214,整理得4x-y1+y2y+y1y2=0,同理可得:直线AC的方程4x-y1+y3y+y1y3=0,由题意可得:-16+y1y2=0-16-43y1+y3+y1y3=0,整理得y1=16y24y3-y2=3y1y3+16,又因为直线OB,OC的斜率分别为k OB=y2y224=4y2,k OC=y3y234=4y3,显然∠BOC为锐角,则tan∠BOC=k OB-k OC1+k OB⋅k OC=4y2-4y31+4y2⋅4y3=4y2-y3y2⋅y3+16=3y2⋅y3+16y2⋅y3+16=3,所以∠BOC=π3为定值.【点睛】方法点睛:求解定值问题的三个步骤(1)由特例得出一个值,此值一般就是定值;(2)证明定值,有时可直接证明定值,有时将问题转化为代数式,可证明该代数式与参数(某些变量)无关;也可令系数等于零,得出定值;(3)得出结论.7(2024·湖北·模拟预测)平面直角坐标系xOy中,动点P(x,y)满足(x+2)2+y2-(x-2)2+y2 =22,点P的轨迹为C,过点F(2,0)作直线l,与轨迹C相交于A,B两点.(1)求轨迹C的方程;(2)求△OAB面积的取值范围;(3)若直线l与直线x=1交于点M,过点M作y轴的垂线,垂足为N,直线NA,NB分别与x轴交于点S,T,证明:|SF||FT|为定值.【答案】(1)x22-y22=1(x≥2)(2)S△OAB∈[22,+∞)(3)证明见解析【分析】(1)根据双曲线的定义求解即可;(2)设直线l的方程为:x=my+2,与双曲线联立,利用面积分割法计算出S△OAB,在利用复合函数单调性求出S△OAB的范围;(3)首先计算出M,N的坐标,再计算出S,T的坐标即可证明|SF||FT|为定值。
第08讲直线与椭圆、双曲线、抛物线(精讲)-2第08讲直线与椭圆、双曲线、抛物线(精讲)角度2:由中点弦确定曲线方程典型例题例题1.(2022·四川南充·高二期末(文))1.过椭圆C :()222210x y a b a b+=>>右焦点F 的直线l :20x y --=交C 于A ,B 两点,P 为AB 的中点,且OP 的斜率为12-,则椭圆C 的方程为()A .22184x y +=B .22195x y +=C .22173x y +=D .221106x y +=例题2.(2022·全国·高二课时练习)2.已知双曲线的中心在原点且一个焦点为F ,直线1y x =-与其相交于M ,N 两点,若MN 中点的横坐标为23-,则此双曲线的方程是A .22134x y -=B .22143x y -=C .22152x y -=D .22125x y -=例题3.(2022·江苏南京·模拟预测)3.已知椭圆C :22221x y a b +=(0a b >>)过点1,2⎛ ⎝⎭,直线l :y x m =+与椭圆C 交于,A B 两点,且线段AB 的中点为M ,O 为坐标原点,直线OM 的斜率为0.5-,求椭圆C 的标准方程;例题4.(2022·安徽省亳州市第一中学高二开学考试)4.斜率为1的直线交抛物线()2:20C y px p =>于A ,B 两点,且弦AB 中点的纵坐标为2.求抛物线C 的标准方程;同类题型归类练(2022·四川南充·二模(文))5.已知椭圆2222:1(0)x y C a b a b+=>>的左焦点为F ,过点F 的直线0x y -与椭圆C相交于不同的两点,A B ,若P 为线段AB 的中点,O 为坐标原点,直线OP 的斜率为12-,则椭圆C 的方程为()A .2213x y +=B .22142x y +=C .22153x y +=D .22163x y +=(2022·全国·高三专题练习(理))6.已知椭圆C :22221(>0)>x y a b a b +=的左、右焦点分别为1F ,2F ,离心率为2,过点1F 的直线l 交椭圆C 于,A B 两点,AB 的中点坐标为21(,)33-.求椭圆C 的标准方程;(2022·重庆巴蜀中学高三阶段练习)7.已知椭圆C ∶22221(0)x y a b a b+=>>经过点3)2P ,O 为坐标原点,若直线l 与椭圆C 交于A ,B 两点,线段AB 的中点为M ,直线l 与直线OM 的斜率乘积为14-.求椭圆C的标准方程;(2022·全国·高三专题练习)8.已知抛物线2:2(0)C y px p =>的焦点为F ,过F 且斜率为1的直线与抛物线C 交于A ,B 两点,且AB 的中点的纵坐标为2.求C 的方程.题型三:弦长问题典型例题例题1.(2022·海南·琼海市嘉积第二中学高二期中)9.已知椭圆22:143x y C +=的左、右焦点分别为1F 、2F ,过2F 且斜率为1的直线l 交椭圆C 于A 、B 两点,则AB 等于()A .247B .127C .7D .7例题2.(2022·全国·高三专题练习)10.经过双曲线2213y x -=的左焦点F 1作倾斜角为6π的直线AB ,分别交双曲线的左、右支为点A 、B .求弦长|AB |=_____例题3.(2022·贵州遵义·高二期末(理))11.椭圆C :()222210x y a b a b +=>>左右焦点为1F ,2F 2M ⎛ ⎝⎭在椭圆C 上.(1)求椭圆C 的标准方程;(2)经过点()2,3A ,倾斜角为π4直线l 与椭圆交于B ,C 两点,求BC .例题4.(2022·云南·丽江市教育科学研究所高二期末)12.已知椭圆2222:1(0)x y C a b a b +=>>的离心率为2,且过点(2,1)P -.(1)求C 的方程;(2)若,A B 是C 上两点,直线AB 与圆222x y +=相切,求AB 的取值范围.例题5.(2022·内蒙古赤峰·高二期末)13.已知动圆C 过定点()0,1F ,且与直线1:1l y =-相切,圆心C 的轨迹为E .(1)求动点C 的轨迹方程;(2)已知直线2l 交轨迹E 于两点P ,Q ,且PQ 中点的纵坐标为2,则PQ 的最大值为多少?同类题型归类练(2022·重庆市青木关中学校高二阶段练习)14.已知双曲线C :22221(0,0)x y a b a b-=>>的一条渐近线方程是y =,过其左焦点(F 作斜率为2的直线l 交双曲线C 于A ,B 两点,则截得的弦长||AB =()A .7B .8C .9D .10(2022·四川·遂宁中学高二期中(文))15.已知椭圆的中心在原点,焦点在x12P ⎛⎫ ⎪⎝⎭,(1)求椭圆的标准方程;(2)倾斜角为45°的直线l 过椭圆的右焦点F 交椭圆于A 、B 两点,求AB (2022·河北·衡水市第二中学高二期中)16.(1)已知A ,B 两点的坐标分别是()6,0-,()6,0,直线AM ,BM 相交于点M ,且它们的斜率之积是29.求点M 的轨迹方程,并判断轨迹的形状:(2)已知过双曲线22136x y -=上的右焦点2F ,倾斜角为30 的直线交双曲线于A ,B 两点,求AB .(2022·安徽·六安一中高二开学考试)17.已知点()2,0A -,()2,0B ,动点(),M x y 满足直线AM 与BM 的斜率之积为12,记M的轨迹为曲线C .(1)求C 的方程;(2)若直线l :3y x =-和曲线C 相交于E ,F 两点,求EF .(2022·黑龙江·鸡西市第四中学三模(理))18.已知抛物线C :()220x py p =>,圆O :221x y +=.(1)若抛物线C 的焦点F 在圆O 上,且A 为C 和圆O 的一个交点,求AF ;(2)若直线l 与抛物线C 和圆O 分别相切于点M ,N ,求MN 的最小值及相应p 的值.(2022·安徽省舒城中学三模(文))19.已知抛物线C :22y px =(p >0),抛物线C 的焦点为F ,点P 在抛物线上,且PF 的最小值为1.(1)求p ;(2)设O 为坐标原点,A ,B 为抛物线C 上不同的两点,直线OA ,OB 的斜率分别为1k ,2k ,且满足123k k OA OB <⋅=-,求|AB |的取值范围.参考答案:1.A【分析】由l 与x 轴交点横坐标可得半焦距c ,设出点A ,B 坐标,利用点差法求出22,a b 的关系即可计算作答.【详解】依题意,焦点(2,0)F ,即椭圆C 的半焦距2c =,设1122(,),(,)A x y B x y ,00(,)P x y ,则有2222221122222222b x a y a b b x a y a b ⎧+=⎨+=⎩,两式相减得:2212121212()()a ()()0b x x x x y y y y +-++-=,而1201202,2x x x y y y +=+=,且0012y x =-,即有2212122()()0b x x a y y --+-=,又直线l 的斜率12121y y x x -=-,因此有222a b =,而2224a b c -==,解得228,4a b ==,经验证符合题意,所以椭圆C 的方程为22184x y +=.故选:A 2.D【分析】根据点差法得2225a b=,再根据焦点坐标得227a b +=,解方程组得22a =,25b =,即得结果.【详解】设双曲线的方程为22221(0,0)x y a b a b-=>>,由题意可得227a b +=,设()11,M x y ,()22,N x y ,则MN 的中点为25,33⎛⎫-- ⎪⎝⎭,由2211221x y a b -=且2222221x y a b-=,得()()12122x x x x a +-=()()12122y y y y b +-,2223a ⨯-=()2523b ⨯-(),即2225a b=,联立227a b +=,解得22a =,25b =,故所求双曲线的方程为22125x y -=.故选D .【点睛】本题主要考查利用点差法求双曲线标准方程,考查基本求解能力,属于中档题.3.22142x y +=【分析】由离心率得,a b 的一个关系式,设()()1122,,,A x y B x y ,代入椭圆方程,相减后利用斜率关系得关于,a b 的另一等式,联立可求得22,a b 得椭圆标准方程.【详解】设()11,A x y ,()22,B x y ,则1212,22x x y y M ++⎛⎫ ⎪⎝⎭,即121212OM y y k x x +==-+.因为A ,B 在椭圆C 上,所以2211221x y a b +=,2222221x y a b+=,两式相减得()()()()12121212220x x x x y y y y a b +-+-+=,即()()()()121222121210y y y y a b x x x x +-+=+-,又12121AB y y k x x -==-,所以221102a b-=,即222a b =.又因为椭圆C过点⎛ ⎝⎭,所以221123a b +=,解得24a =,22b =,所以椭圆C 的标准方程为22142x y +=;4.24y x=【分析】设()()1122,,,A x y B x y ,代入抛物线方程相减,利用弦中点坐标,直线斜率求得p ,得抛物线方程.【详解】设()()1122,,,A x y B x y ,12122,42y y y y +=+=,21122222y px y px ⎧=⎨=⎩,两式相减并化简得1212122y y p x x y y -=-+,21,24pp ==,所以抛物线方程为24y x =.5.B【分析】先求得焦点,也即求得c ,然后利用点差法求得22ba,从而求得,a b ,也即求得椭圆C 的方程.【详解】直线0x y -=过点()F,所以c =设()()1122,,,A x y B x y ,由2222112222221,1x y x y a b a b +=+=两式相减并化简得2121221212y y y y b a x x x x +--=⋅+-,即22222222111,,222b b a b bc a a ⎛⎫-=-⋅===+ ⎪⎝⎭,所以2b c a ===,所以椭圆C 的方程为22142x y +=.故选:B 6.2212x y +=【分析】设()()1122,,,A x y B x y ,代入椭圆方程,相减后利用中点坐标、离心率求得直线AB 的斜率得直线方程,从而求得焦点坐标,求出,,c a b 得椭圆标准方程.【详解】设1(A x ,1)y ,2(B x ,2)y ,可得2211221x y a b +=,2222221x y a b+=,两式相减得22221212221x x y y a b--+=,2221222212y y b x x a -=--,2121221212()()()()y y y y b x x x x a -+=--+,将1243x x +=-,1223y y +=代入上式,得2221(12AB b k e a ⋅-=-=-,又2=e ,∴=1AB k ,∴直线l 的方程为1233y x -=+,即1y x =+,即()11,0F -,∴1c =,1a b ==,∴椭圆C 的标准方程2212x y +=;7.221123x y +=【分析】已知点的坐标代入得,a b 的一个关系式,设()()1122,,,A x y B x y ,代入椭圆方程,相减后利用斜率关系得,a b 的另一等式,联立可求得22,a b 得椭圆标准方程.【详解】解:因为椭圆经过点3)2P ,所以223914a b +=(1),设()()1122,,,A x y B x y ,因为直线l 与椭圆C 交于A ,B 两点,所以22112222222211x y a b x y a b ⎧+=⎪⎪⎨⎪+=⎪⎩,两式相减得2121221212y y x x b x x a y y -+=-⋅-+,因为线段AB 的中点为M ,且直线l 与直线OM 的斜率乘积为-14,所以2214b a -=-(2),由(1)(2)解得223,12b a ==,所以椭圆方程为:221123x y +=;8.24y x =.【分析】中点弦问题利用点差法进行处理.【详解】解:设点()()1122,,A x y B x y ,,则12+22y y =,所以12+4y y =,又因为直线AB 的斜率为1,所以21211y y x x -=-,将A 、B 两点代入抛物线方程中得:21122222y px y px ⎧=⎨=⎩,将上述两式相减得,()2212122y y p x x -=-,即()()()121212+2y y y y p x x -=-,所以12121221+y y p y y x x -==-,即214p=,所以2p =,因此,抛物线的方程为24y x =.9.A【分析】利用弦长公式求解即可.【详解】设直线AB 方程为1y x =-,联立椭圆方程22143x y+=整理可得:27880x x --=,设()()1122,,,A x y B x y ,则1287x x +=,1287x x ⋅=-,根据弦长公式有:AB =247.故B ,C ,D 错误.故选:A.10.3【分析】直线AB的方程可设为2)y x =+,联立方程,利用弦长公式可得结果.【详解】∵双曲线的左焦点为F 1(﹣2,0),设A (x 1,y 1),B (x 2,y 2),直线AB的方程可设为2)y x =+,代入方程2213y x -=得,8x 2﹣4x ﹣13=0,∴1212113,28x x x x +==-,∴12||||3AB x x =-==.故答案为:3.11.(1)2214x y +=(2)5BC =【分析】(1)利用椭圆的离心率,过点1,2M ⎛ ⎝⎭,及222a b c =+,列方程解出,a b 即可得椭圆方程;(2)由已知可得直线l 的方程,与椭圆方程联立,利用根与系数的关系及弦长公式求解.【详解】(1)解:由题意得222c e a a b c ⎧==⎪⎨⎪=+⎩,解得224a b =,又因为点1,2M ⎛⎫⎪ ⎪⎝⎭在椭圆C 上,带入222214x y b b+=得21b =,所以椭圆的标准方程为2214x y +=.(2)解:易得直线l 的解析式为1y x =+,设()11,B x y ,()22,C x y 联立椭圆的方程22441x y y x ⎧+=⎨=+⎩得2580x x +=1285x x +=,120x x =12BC x=-=所以5BC =.12.(1)22163x y+=(2)【分析】(1)根据已知条件求得,,a b c ,由此可求得椭圆的方程.(2)对直线AB 斜率分成不存在、直线AB 的斜率为0、直线AB 的斜率不为0三种情况进行分类讨论,结合弦长公式、基本不等式求得AB 的取值范围.【详解】(1)由题意得,222222411c aa b a b c ⎧=⎪⎪⎪+=⎨⎪=+⎪⎪⎩,解得a b c ===,所以C 的方程为22163x y +=.(2)圆222x y +=的圆心为(0,0),半径圆r =①当直线AB的斜率不存在时,方程为x =x =于是有22163x x y ⎧⎪⎨+=⎪⎩或22163x x y ⎧=⎪⎨+=⎪⎩解得y =所以AB =②当直线AB 的斜率为0时,方程为y =或y =,于是有22163y x y ⎧⎪⎨+=⎪⎩或22163y x y ⎧=⎪⎨+=⎪⎩解得x =所以AB =③当直线AB 的斜率不为0时,设斜率为k ,方程为y kx t =+,0kx y t -+=因为直线AB 与圆222x y +==222(1)t k =+建立方程组22163y kx t x y =+⎧⎪⎨+=⎪⎩,消y 并化简得222(21)4260k x ktx t +++-=,2222222Δ164(21)(26)488243280k t k t k t k =-+-=-+=+>.设11(,)A x y ,22(,)B x y ,则122421kt x x k +=-+,21222621t x x k -⋅=+,所以AB ===>而2214448kk++≥+=,当且仅当2214kk=,即22k=时,等号成立.所以3AB=,所以3AB<≤.综上所述,AB的取值范围是.13.(1)24x y=(2)6【分析】(1)利用抛物线的定义直接可得轨迹方程;(2)设直线方程,联立方程组,结合根与系数关系可得PQ,再根据二次函数的性质可得最值.(1)由题设点C到点F的距离等于它到1l的距离,∴点C的轨迹是以F为焦点,1l为准线的抛物线,∴所求轨迹的方程为24x y=;(2)由题意易知直线2l的斜率存在,设PQ中点为(),2t,直线2l的方程为()2y k x t-=-,联立直线与抛物线()242x yy k x t⎧=⎪⎨-=-⎪⎩,得24480x kx kt-+-=,()()()2244481620k kt k kt ∆=---=-+>,且124x x k +=,1248x x kt =-,又PQ 中点为(),2t ,即1242x x k t +==,2t k =,故()24280t t ∆=-+>恒成立,122x x t +=,21228x x t =-,所以PQ ,当22t =时,PQ 取最大值为6.【点睛】(1)直线与抛物线的位置关系和直线与椭圆、双曲线的位置关系类似,一般要用到根与系数的关系;(2)有关直线与抛物线的弦长问题,要注意直线是否过抛物线的焦点,若过抛物线的焦点,可直接使用公式|AB |=x 1+x 2+p ,若不过焦点,则必须用一般弦长公式.14.D【分析】根据渐近线方程和焦点坐标可解得22,a b ,再将直线方程代入双曲线方程消元,由韦达定理和弦长公式可得.【详解】 双曲线C :22221(0,0)x y a b a b -=>>的一条渐近线方程是y =,b a∴,即.b =左焦点()F,c ∴=222233c a b a ∴=+==,21a ∴=,22b =,∴双曲线C 的方程为22 1.2y x -=易知直线l 的方程为(2=y x ,设11(,)A x y ,22(,)Bx y ,由(22212y x y x ⎧=+⎪⎨⎪-=⎩,消去y 可得270++=x,12x x ∴+=-127.10.x x AB =∴==故选:D15.(1)2214x y +=;(2)85.【分析】(1)根据椭圆的离心率公式,结合代入法、椭圆中的,,a b c 关系进行求解即可;(2)根据椭圆弦长公式进行求解即可.【详解】(1)因为椭圆的中心在原点,焦点在x 轴上,所以设椭圆的标准方程为:22221(0)x y a b a b+=>>,因为椭圆的离心率为2且过点12P ⎛⎫ ⎪⎝⎭,所以2222222231144123a b a c b a c a b c ⎧+=⎪⎧⎪=⎪⎪=⇒=⎨⎨⎪⎪=⎩=+⎪⎪⎩,所以椭圆的标准方程为:2214x y +=;(2)由(1)可知:F ,所以直线l的方程为:0tan 45(y x y x ︒-=⇒=2224(40580x x x +--=⇒-+=,设1122(,),(,)A x y B x y ,所以121285x x x x +==,因此85AB =.16.(1)轨迹方程为()2216368x y x -=≠±,轨迹为焦点在x 轴上的双曲线,不含左右顶点;(2)5AB =.【分析】(1)设(),M x y ,根据题意列出等式,化简即可得轨迹方程,判断轨迹形状,即得答案;(2)求出直线方程,并和双曲线方程联立,得到根与系数的关系式,根据弦长公式求出弦长即得答案.【详解】(1)设(),M x y ,因为()6,0A -,()6,0B ,所以()2,6669AM BM y y k k x x x ⋅=⋅=≠±+-,整理得()2216368x y x -=≠±,故点M 的轨迹方程为()2216368x y x -=≠±,轨迹为焦点在x 轴上的双曲线,不含左右顶点.(2)由22136x y -=得,23a =,26b =,所以2229c a b =+=,即3c =,所以右焦点()23,0F ,因为直线AB 的倾斜角是30 ,且直线经过右焦点()23,0F ,所以直线AB的方程为)3y x =-,由)223136y x x y ⎧=-⎪⎪⎨⎪-=⎪⎩可得:256270x x +-=,所以1265x x +=-,12275x x =-,所以245AB ====17.(1)22142x y -=(2x ≠±)(2)【分析】(1)设(),M x y ,用坐标表示AM ,BM 的斜率,由已知可得曲线方程,注意斜率有意义;(2)直线方程与曲线方程联立,消元后应用韦达定理,由弦长公式计算弦长.(1)设(),M x y ,则AM ,BM 的斜率分别为12y k x =+,22y k x =-,由已知得1222y y x x ⋅=+-,化简得22142x y -=(2x ≠±),即曲线C 的方程为22142x y -=(2x ≠±);(2)联立221423x y y x ⎧-=⎪⎨⎪=-⎩消去y 整理得212220x x -+=,设()11,E x y ,()22,F x y ,则1212x x +=,1222x x =,12EF x -===18.1(2)最小值为p =【分析】(1)由()0,1F 得出抛物线方程,并与圆方程联立,求出A y ,最后由抛物线定义得出AF ;(2)由导数的几何意义得出切线l 的方程,由点O 到切线l 的距离等于1结合勾股定理得出2MN =20204411y y ++--,再由基本不等式得出MN 的最小值及相应p 的值.(1)由题意,得()0,1F ,从而C :24x y =.解方程组22241x y x y ⎧=⎨+=⎩,整理得,2410y y +-=,解得2A y所以11A AF y +==.(2)设()00,M x y ,由212y x p =得 x y p '=,故切线l 的方程为()000x y x x y p=-+,注意到2002x py =,故整理得000x x py py --=由1ON =且ON l ⊥,即点O 到切线l 的距离等于11=所以0py ==,整理,得02021y p y =-且201y ->0,所以2222200001121MN OM x y py y =-=+-=+-22200022004414142811y y y y y =+-=++-≥+--,当且仅当0y =.所以MN 的最小值为p ==19.(1)2(2)4AB ≥【分析】(1)由于2p PF ≥,即可求得12p =,从而得2p =;(2)设221212,,,44y y A y B y ⎛⎫⎛⎫ ⎪ ⎪⎝⎭⎝⎭,由123k k OA OB <⋅=- 得124y y =-,设AB 直线方程为y kx b =+,代入抛物线方程结合韦达定理得出b k =-,从而y kx b =+过焦点()1,0,即可求解AB 的取值范围.【详解】(1)因为2p PF ≥,则12p =,所以2p =;(2)由(1)得24y x =,设221212,,,44y y A y B y ⎛⎫⎛⎫ ⎪ ⎪⎝⎭⎝⎭,则221212,,,44y y OA y OB y ⎛⎫⎛⎫== ⎪ ⎪⎝⎭⎝⎭ 则121244,k k y y ==,由123k k OA OB <⋅=- 得()212121216316y y y y y y <+=-,所以124y y =-,设AB 直线方程为y kx b=+联立方程组24y kx b y x =+⎧⎨=⎩得204k y y b -+=,所以1244b y y k ==-则b k =-故()1y kx b kx k k x =+=-=-过焦点()1,0所以24AB p ≥=.。
高中数学高考几何解析(椭圆双曲线抛物线)课本知识讲解及练习(含答案)第五节椭圆一、必记3个知识点1.椭圆的定义(1)设椭圆x2a2+y2b2=1(a>b>0)上任意一点P(x,y),则当x=0时,|OP|有最小值b,这时,P在短轴端点处;当x=±a时,|OP|有最大值a,这时,P在长轴端点处.(2)椭圆的一个焦点、中心和短轴的一个端点构成直角三角形,其中a是斜边长,a2=b2+c2.(3)已知过焦点F1的弦AB,则△ABF2的周长为4a.(4)若P为椭圆上任一点,F为其焦点,则a-c≤|PF|≤a+c.二、必明3个易误点1.椭圆的定义中易忽视2a>|F1F2|这一条件,当2a=|F1F2|其轨迹为线段F1F2,当2a<|F1F2|不存在轨迹.2.求椭圆的标准方程时易忽视判断焦点的位置,而直接设方程为x2a2+y2b2=1(a>b>0).3.注意椭圆的范围,在设椭圆x2a2+y2b2=1(a>b>0)上点的坐标为P(x,y)时,则|x|≤a,这往往在求与点P有关的最值问题中特别有用,也是容易被忽略而导致求最值错误的原因.三、技法1.求椭圆标准方程的2种常用方法(1)直接求出a,c来求解e.通过已知条件列方程组,解出a,c的值.(2)构造a,c的齐次式,解出e.由已知条件得出关于a,c的二元齐次方程,然后转化为关于离心率e的一元二次方程求解.(3)通过取特殊值或特殊位置,求出离心率.提醒:在解关于离心率e的二次方程时,要注意利用椭圆的离心率e∈(0,1)进行根的取舍,否则将产生增根.3.求解最值、取值范围问题的技巧(1)与椭圆几何性质有关的问题要结合图形进行分析,即使画不出图形,思考时也要联想到一个图形.(2)椭圆的范围或最值问题常常涉及一些不等式.例如,-a≤x≤a,-b≤y≤b,0<e<1,在求椭圆的相关量的范围时,要注意应用这些不等关系.(3)最值问题,将所求列出表达式,构造基本不等式或利用函数单调性求解.4.判断直线与椭圆位置关系的四个步骤第一步:确定直线与椭圆的方程.第二步:联立直线方程与椭圆方程.第三步:消元得出关于x(或y)的一元二次方程.第四步:当Δ>0时,直线与椭圆相交;当Δ=0时,直线与椭圆相切;当Δ<0时,直线与椭圆相离.5.直线被椭圆截得的弦长公式设直线与椭圆的交点坐标为A(x1,y1),B(x2,y2),则|AB|=(1+k2)[(x1+x2)2-4x1x2])=(y1+y2)2-4y1y2])(k为直线斜率).参考答案①F1,F2②|F1F2|③x轴,y轴④坐标原点⑤(-a,0)⑥(a,0)⑦(0,-b)⑧(0,b)⑨(0,-a)⑩(0,a)⑪(-b,0)⑫(b,0)⑬2a⑭2b⑮2c⑯(0,1)⑰c2=a2-b2第六节双曲线一、必记3个知识点1.双曲线的定义(1)平面内与两个定点F1、F2(|F1F2|=2c>0)的距离①________________为非零常数2a(2a<2c)的点的轨迹叫做双曲线.这两个定点叫做双曲线的②________,两焦点间的距离叫做③________.(2)集合P={M|||MF1|-|MF2||=2a},|F1F2|=2c,其中a,c为常数且a>0,c>0.(ⅰ)当④________________时,M点的轨迹是双曲线;(ⅱ)当⑤________________时,M点的轨迹是两条射线;(ⅲ)当⑥________________时,M点不存在.2.双曲线的标准方程和几何性质⑧________x ∈对称轴:⑪________对称中心:⑫________顶点坐标:A 1⑮______,A 2⑯________⑱____________c =⑳________|=21________;线段________;a 叫做双曲线的虚半轴长>b >0)(1)双曲线为等轴双曲线⇔双曲线的离心率e =2⇔双曲线的两条渐近线互相垂直.(2)渐近线的斜率与双曲线的焦点位置的关系:当焦点在x 轴上时,渐近线斜率为±ba,当焦点在y 轴上时,渐近线斜率为±ab.(3)渐近线与离心率.x2a2-y2b2=1(a >0,b >0)的一条渐近线的斜率为ba=e2-1.(4)若P 为双曲线上一点,F 为其对应焦点,则|PF |≥c -a .二、必明4个易误点1.双曲线的定义中易忽视2a <|F 1F 2|这一条件.若2a =|F 1F 2|,则轨迹是以F 1,F 2为端点的两条射线,若2a >|F 1F 2|则轨迹不存在.2.双曲线的标准方程中对a ,b 的要求只是a >0,b >0,易误认为与椭圆标准方程中a ,b 的要求相同.若a >b >0,则双曲线的离心率e ∈(1,2);若a =b >0,则双曲线的离心率e =2;若0<a <b ,则双曲线的离心率e >2.3.注意区分双曲线中的a ,b ,c 大小关系与椭圆a ,b ,c 关系,在椭圆中a 2=b 2+c 2,而在双曲线中c2=a2+b2.4.易忽视渐近线的斜率与双曲线的焦点位置关系.当焦点在x轴上,渐近线斜率为±ba,当焦点在y轴上,渐近线斜率为±ab.三、技法1.双曲线定义的应用(1)判定满足某条件的平面内动点的轨迹是否为双曲线,进而根据要求可求出曲线方程;(2)在“焦点三角形”中,常利用正弦定理、余弦定理,经常结合||PF1|-|PF2||=2a,运用平方的方法,建立|PF1|与|PF2|的关系.[注意]在应用双曲线定义时,要注意定义中的条件,搞清所求轨迹是双曲线,还是双曲线的一支,若是双曲线的一支,则需确定是哪一支.2.求双曲线标准方程的一般方法(1)待定系数法:设出双曲线方程的标准形式,根据已知条件,列出参数a,b,c的方程并求出a,b,c的值.与双曲线x2a2-y2b2=1有相同渐近线时,可设所求双曲线方程为:x2a2-y2b2=λ(λ≠0).(2)定义法:依定义得出距离之差的等量关系式,求出a的值,由定点位置确定c的值.3.求双曲线离心率或其范围的方法(1)求a,b,c的值,由c2a2=a2+b2a2=1+b2a2直接求e.(2)列出含有a,b,c的齐次方程(或不等式),借助于b2=c2-a2消去b,然后转化成关于e的方程(或不等式)求解.4.求双曲线的渐近线方程的方法求双曲线x2a2-y2b2=1(a>0,b>0)的渐近线的方法是令x2a2-y2b2=0,即得两渐近线方程为:xa±yb=0.参考答案①之差的绝对值②焦点③焦距④2a<|F1F2|⑤2a=|F1F2|⑥2a>|F1F2|⑦x≥a或x≤-a⑧y≥a或y≤-a⑨x轴,y轴⑩坐标原点⑪x轴,y轴⑫坐标原点⑬(-a,0)⑭(a,0)⑮(0,-a)⑯(0,a)⑰y=±ba x⑱y=±ab x⑲ca⑳a2+b2212a222b23a2+b2第七节抛物线一、必记2个知识点1.抛物线定义、标准方程及几何性质x轴⑤________y轴⑥________O(0,0)O(0,0)O(0,0)O(0,0)F⑦________⑧________⑨________设AB是过抛物线y2=2px(p>0)的焦点F的弦,若A(x1,y1),B(x2,y2),则(1)x1x2=p24,y1y2=-p2.(2)弦长|AB|=x1+x2+p=2psin2α(α为弦AB的倾斜角).(3)以弦AB为直径的圆与准线相切.(4)通径:过焦点且垂直于对称轴的弦,长等于2p.二、必明2个易误点1.抛物线的定义中易忽视“定点不在定直线上”这一条件,当定点在定直线上时,动点的轨迹是过定点且与直线垂直的直线.2.抛物线标准方程中参数p易忽视,只有p>0,才能证明其几何意义是焦点F到准线l 的距离,否则无几何意义.三、技法1.应用抛物线定义的2个关键点(1)由抛物线定义,把抛物线上点到焦点距离与到准线距离相互转化.(2)注意灵活运用抛物线上一点P(x,y)到焦点F的距离|PF|=|x|+p2或|PF|=|y|+p2.2.求抛物线的标准方程的方法(1)求抛物线的标准方程常用待定系数法,因为未知数只有p,所以只需一个条件确定p值即可.(2)因为抛物线方程有四种标准形式,因此求抛物线方程时,需先定位,再定量.3.确定及应用抛物线性质的技巧(1)利用抛物线方程确定及应用其焦点、准线等性质时,关键是将抛物线方程化为标准方程.(2)要结合图形分析,灵活运用平面几何的性质以图助解.4.解决直线与抛物线位置关系问题的常用方法(1)直线与抛物线的位置关系和直线与椭圆、双曲线的位置关系类似,一般要用到根与系数的关系.(2)有关直线与抛物线的弦长问题,要注意直线是否过抛物线的焦点,若过抛物线的焦点,可直接使用公式|AB|=x1+x2+p,若不过焦点,则必须用一般弦长公式.(3)涉及抛物线的弦长、中点、距离等相关问题时,一般利用根与系数的关系采用“设而不求”“整体代入”等解法.提醒:涉及弦的中点、斜率时,一般用“点差法”求解.参考答案①相等②y2=-2px(p>0)③x2=-2py(p>0)④x2=2py(p>0)⑤x轴⑥y轴⑦F(-p2,0)⑧F(0,-p2)⑨F(0,p2)⑩e=1⑪x=-p2⑫y=-p2⑬-y0+p2⑭y0+p2⑮y≤0⑯y≥0。
圆锥曲线习题——双曲线1. 如果双曲线2422y x -=1上一点P 到双曲线右焦点的距离是2,那么点P 到y 轴的距离是( ) (A)364 (B)362 (C)62 (D)322. 已知双曲线C ∶22221(x y a a b-=>0,b >0),以C 的右焦点为圆心且与C 的渐近线相切的圆的半径是 (A )a(B)b(C)ab(D)22b a +3. 以双曲线221916x y -=的右焦点为圆心,且与其渐近线相切的圆的方程是( ) A .221090x y x +-+= B .2210160x y x +-+= C .2210160x y x +++=D .221090x y x +++=4. 以双曲线222x y -=的右焦点为圆心,且与其右准线相切的圆的方程是( ) A.22430x y x +--= B.22430x y x +-+= C.22450x y x ++-=D.22450x y x +++=5. 若双曲线22221x y a b -=(a >0,b >0)上横坐标为32a的点到右焦点的距离大于它到左准线的距离,则双曲线离心率的取值范围是( ) A.(1,2)B.(2,+∞)C.(1,5)D. (5,+∞)6. 若双曲线12222=-by a x 的两个焦点到一条准线的距离之比为3:2那么则双曲线的离心率是( )(A )3 (B )5 (C )3 (D )57. 过双曲线22221(0,0)x y a b a b-=>>的右顶点A 作斜率为1-的直线,该直线与双曲线的两条渐近线的交点分别为,B C .若12AB BC =,则双曲线的离心率是 ( )A 2B 35108. 已知双曲线)0(12222>=-b by x 的左、右焦点分别是1F 、2F ,其一条渐近线方程为x y =,点),3(0y P 在双曲线上.则12PF PF ⋅=( )A. -12B. -2C. 0D. 4 二、填空题9. 过双曲线221916x y -=的右顶点为A ,右焦点为F 。
椭圆、双曲线内、抛物线真题与解析A 级 基础一、选择题1.已知椭圆x 2a 2+y 2b 2=1(a >b >0)的离心率为12,则( )A .a 2=2b 2B .3a 2=4b 2C .a =2bD .3a =4b2.(2019·天一联考)设双曲线C :x 28-y 2m =1的左右焦点分别为F 1、F 2,过点F 1的直线与双曲线C 交于M ,N 两点,其中M 在左支上,点N 在右支上,若∠F 2MN =∠F 2NM ,则|MN |=( )A .8B .4C .8 2D .4 23.已知椭圆C :x 2a 2+y 2b 2=1(a >b >0)的左焦点为F ,C 与过原点的直线相交于A ,B 两点,连接AF ,BF .若|AB |=10,|BF |=8,cos ∠ABF =45,则C 的离心率为( )A.35B.57C.45D.674.(2019·长郡中学模拟)已知F 1,F 2是双曲线x 2a 2-y 2b 2=1(a >0,b>0)的左、右焦点,若点F 2关于双曲线渐近线的对称点A 满足∠F 1AO =∠AOF 1(O 为坐标原点),则双曲线的渐近线方程为( )A .y =±3xB .y =±2xC .y =±2xD .y =±x5.(2019·全国卷Ⅱ)设F为双曲线C:x2a2-y2b2=1(a>0,b>0)的右焦点,O为坐标原点,以OF为直径的圆与圆x2+y2=a2交于P,Q两点.若|PQ|=|OF|,则C的离心率为()A. 2B. 3 C.2 D. 5二、填空题6.(2019·江苏卷)在平面直角坐标系xOy中,若双曲线x2-y2 b2=1(b>0)经过点(3,4),则该双曲线的渐近线方程是________.7.(2019·珠海调研)已知直线l是抛物线y2=2px(p>0)的准线,半径为3的圆过抛物线顶点O和焦点F,且与直线l相切,则抛物线的方程为________.8.(2019·全国卷Ⅲ)设F1,F2为椭圆C:x236+y220=1的两个焦点,M为C上一点且在第一象限.若△MF1F2为等腰三角形,则M 的坐标为________.三、解答题9.(2018·全国卷Ⅱ)设抛物线C:y2=4x的焦点为F,过F且斜率为k(k>0)的直线l与C交于A,B两点,|AB|=8.(1)求l的方程;(2)求过点A,B且与C的准线相切的圆的方程.10.(2018·全国卷Ⅲ)已知斜率为k 的直线l 与椭圆C :x 24+y 23=1交于A ,B 两点,线段AB 的中点为M (1,m )(m >0).(1)证明:k <-12;(2)设F 为C 的右焦点,P 为C 上一点,且FP →+FA →+FB →=0. 证明:|FA →|,|FP →|,|FB →|成等差数列,并求该数列的公差.B 级 能力提升11.(2019·全国卷Ⅰ)已知椭圆C 的焦点为F 1(-1,0),F 2(1,0),过F 2的直线与C 交于A ,B 两点.若|AF 2|=2|F 2B |,|AB |=|BF 1|,则C 的方程为( )A.x 22+y 2=1 B.x 23+y 22=1 C.x 24+y 23=1 D.x 25+y 24=1 12.(2019·天津卷)设椭圆x 2a 2+y 2b 2=1(a >b >0)的左焦点为F ,上顶点为B .已知椭圆的短轴长为4,离心率为55. (1)求椭圆的方程;(2)设点P 在椭圆上,且异于椭圆的上、下顶点,点M 为直线PB 与x 轴的交点,点N 在y 轴的负半轴上,若|ON |=|OF |(O 为原点),且OP ⊥MN ,求直线PB 的斜率.解析:A级基础一、选择题1.解析:由e=ca=12,则a=2c.又a2=b2+c2,所以3a2=4b2.答案:B2.解析:由∠F2MN=∠F2NM,知|F2M|=|F2N|,又|MF2|-|MF1|=42,|NF1|-|NF2|=4 2.两式相加,得|NF1|-|MF1|=82,故|MN|=|NF1|-|MF1|=8 2.答案:C3.解析:如图所示,在△AFB中,|AB|=10,|BF|=8,cos ∠ABF=4 5,由余弦定理得|AF|2=|AB|2+|BF|2-2|AB||BF|cos ∠ABF=100+64-2×10×8×45=36,所以|AF|=6,∠BFA=90°,设F′为椭圆的右焦点,连接BF′,AF′.根据对称性可得四边形AFBF′是矩形.所以|BF′|=6,|FF′|=10,所以2a=8+6,2c=10,解得a=7,c=5,所以e=ca=57.答案:B4.解析:设F2A与渐近线y=ba x交于点M,且O,M分别为F1F2、F2A的中点,故OM∥F1A,则F1A⊥F2A,OA=OF1=c.又∠F1AO=∠AOF1,所以△F1OA为正三角形,所以∠MOF2=π3,故双曲线的渐近线为y=±3x. 答案:A5.解析:设双曲线C :x 2a 2-y 2b 2=1(a >0,b >0)的右焦点F 的坐标为(c ,0).由圆的对称性及条件|PQ |=|OF |可知,PQ 是以OF 为直径的圆的直径,且PQ ⊥OF .设PQ 与OF 交于点M ,连接OP ,如图所示. 则|OP |=a ,|OM |=|MP |=c2,由|OM |2+|MP |2=|OP |2,得2·⎝ ⎛⎭⎪⎫c 22=a 2, 故ca =2,离心率e = 2. 答案:A 二、填空题6.解析:因为双曲线x 2-y 2b 2=1(b >0)经过点(3,4),则9-16b2=1(b >0),解得b =2,即双曲线方程为x 2-y 22=1,因此双曲线的渐近线方程为y =±2x . 答案:y =±2x7.解析:由已知圆心在OF 的中垂线上,故圆心到准线的距离为34p ,所以34p =3,所以p =4,故抛物线的方程为y 2=8x . 答案:y 2=8x8.解析:设F 1为椭圆的左焦点,分析可知点M 在以F 1为圆心,焦距为半径的圆上,即在圆(x +4)2+y 2=64上.因为点M 在椭圆x 236+y 220=1上,所以联立方程可得⎩⎨⎧(x +4)2+y 2=64,x 236+y 220=1,解得⎩⎪⎨⎪⎧x =3,y =±15.又因为点M 在第一象限,所以点M 的坐标为(3,15). 答案:(3,15) 三、解答题9.解:(1)由题意得F (1,0),l 的方程为y =k (x -1)(k >0). 设A (x 1,y 1),B (x 2,y 2),由⎩⎪⎨⎪⎧y =k (x -1),y 2=4x得k 2x 2-(2k 2+4)x +k 2=0. Δ=16k 2+16>0,故x 1+x 2=2k 2+4k 2.所以|AB |=|AF |+|BF |=(x 1+1)+(x 2+1)=4k 2+4k 2.由题设知4k 2+4k 2=8,解得k =-1(舍去),k =1.因此l 的方程为y =x -1.(2)由(1)得AB 的中点坐标为(3,2),所以AB 的垂直平分线方程为y -2=-(x -3),即y =-x +5.设所求圆的圆心坐标为(x 0,y 0),则⎩⎨⎧y 0=-x 0+5,(x 0+1)2=(y 0-x 0+1)22+16. 解得⎩⎪⎨⎪⎧x 0=3,y 0=2或⎩⎪⎨⎪⎧x 0=11,y 0=-6.因此所求圆的方程为(x -3)2+(y -2)2=16或(x -11)2+(y +6)2=144.10.(1)证明:设A (x 1,y 1),B (x 2,y 2),则x 214+y 213=1,x 224+y 223=1. 两式相减,并由y 1-y 2x 1-x 2=k 得x 1+x 24+y 1+y 23·k =0.由题设知x 1+x 22=1,y 1+y 22=m ,于是k =-34m .①由题设得0<m <32,故k <-12.(2)解:由题意得F (1,0).设P (x 3,y 3),则 (x 3-1,y 3)+(x 1-1,y 1)+(x 2-1,y 2)=(0,0). 由(1)及题设得x 3=3-(x 1+x 2)=1, y 3=-(y 1+y 2)=-2m <0. 又点P 在C 上,所以m =34,从而P (1,-32),|FP →|=32,于是|FA →|=(x 1-1)2+y 21=(x 1-1)2+3(1-x 214)=2-x 12. 同理|FB →|=2-x 22.所以|FA →|+|FB →|=4-12(x 1+x 2)=3.故2|FP →|=|FA →|+|FB →|,即|FA →|,|FP →|,|FB →|成等差数列. 设该数列的公差为d ,则2|d |=||FB →|-|FA →||=12|x 1-x 2|=12(x 1+x 2)2-4x 1x 2 .② 将m =34代入①得k =-1,所以l 的方程为y =-x +74,代入C 的方程,并整理得7x 2-14x+14=0. 故x 1+x 2=2,x 1x 2=128,代入②解得|d |=32128.所以该数列的公差为32128或-32128.B 级 能力提升11.解析:设椭圆的标准方程为x 2a 2+y 2b 2=1(a >b >0).连接F 1A ,令|F 2B |=m ,则|AF 2|=2m ,|BF 1|=3m .由椭圆的定义知,4m =2a ,得m =a 2, 故|F 2A |=a =|F 1A |,则点A 为椭圆C 的上顶点或下顶点.如图.不妨设A (0,-b ),由F 2(1,0),AF 2→=2F 2B →,得B ⎝ ⎛⎭⎪⎫32,b 2. 由点B 在椭圆上,得94a 2+b 24b 2=1, 得a 2=3,b 2=a 2-c 2=2,椭圆C 的方程为x 23+y 22=1. 答案:B12.解:(1)设椭圆的半焦距为c ,依题意2b =4,得b =2.又e =c a =55,且a 2=b 2+c 2=4+c 2, 解之得a =5,c =1.所以椭圆的方程为x 25+y 24=1. (2)由题意,设P (x P ,y P )(x P ≠0),M (x M ,0).设直线PB 的斜率为k (k ≠0),又B (0,2),则直线PB 的方程为y =kx +2,与椭圆方程联立⎩⎨⎧y =kx +2,x 25+y 24=1,整理得(4+5k 2)x 2+20kx =0, 可得x P =-20k 4+5k 2, 代入y =kx +2得y P =8-10k 24+5k 2, 进而直线OP 的斜率为y P x P =4-5k 2-10k. 在y =kx +2中,令y =0,得x M =-2k. 由题意得N (0,-1),所以直线MN 的斜率为-k 2. 由OP ⊥MN ,得4-5k 2-10k ·⎝ ⎛⎭⎪⎫-k 2=-1,化简得k 2=245, 从而k =±2305. 所以,直线PB 的斜率为2305或-2305.。
椭圆双曲线抛物线训练题一、解答题(共21题;共195分)1.已知椭圆Γ:的左,右焦点分别为F1( ,0),F2( ,0),椭圆的左,右顶点分别为A,B,已知椭圆Γ上一异于A,B的点P,PA,PB的斜率分别为k1,k2,满足.(1)求椭圆Γ的标准方程;(2)若过椭圆Γ左顶点A作两条互相垂直的直线AM和AN,分别交椭圆Γ于M,N两点,问x轴上是否存在一定点Q,使得∠MQA=∠NQA成立,若存在,则求出该定点Q,否则说明理由.2.已知椭圆C:=1(a>b>0)的左、右焦点分别为F1,F2,点A(,)在椭圆C上,且△F1AF2的面积为。
(1)求椭圆C的方程。
(2)设直线y=kx+1和椭圆C交于B,D两点,O为坐标原点,判断在y轴上是否存在点E,使∠OEB=∠OED。
若存在,求出点E的坐标;若不存在,请说明理由。
3.已知椭圆的离心率为,点椭圆的右顶点.(1)求椭圆的方程;(2)过点的直线与椭圆交于两点,直线与直线的斜率和为,求直线l的方程.4.设椭圆的左焦点为,上顶点为.已知椭圆的短轴长为4,离心率为.(Ⅰ)求椭圆的方程;(Ⅱ)设点在椭圆上,且异于椭圆的上、下顶点,点为直线与轴的交点,点在轴的负半轴上.若(为原点),且,求直线的斜率.5.设A,B为曲线C:y= 上两点,A与B的横坐标之和为4.(12分)(1)求直线AB的斜率;(2)设M为曲线C上一点,C在M处的切线与直线AB平行,且AM⊥BM,求直线AB的方程.6.设椭圆的右焦点为,过得直线与交于两点,点的坐标为.(1)当与轴垂直时,求直线的方程;(2)设为坐标原点,证明:.7.已知椭圆C:+ =1(a>b>0),四点P1(1,1),P2(0,1),P3(﹣1,),P4(1,)中恰有三点在椭圆C上.(12分)(1)求C的方程;(2)设直线l不经过P2点且与C相交于A,B两点.若直线P2A与直线P2B的斜率的和为﹣1,证明:l过定点.8.设椭圆的左焦点为,左顶点为,顶点为B.已知(为原点).(Ⅰ)求椭圆的离心率;(Ⅱ)设经过点且斜率为的直线与椭圆在轴上方的交点为,圆同时与轴和直线相切,圆心在直线上,且,求椭圆的方程.9.已知斜率为的直线与椭圆交于两点,线段的中点为(1)证明:(2)设为的右焦点,为上一点,且,证明:10.已知抛物线C:y2=2x,过点(2,0)的直线l交C与A,B两点,圆M是以线段AB为直径的圆.(Ⅰ)证明:坐标原点O在圆M上;(Ⅱ)设圆M过点P(4,﹣2),求直线l与圆M的方程.11.设抛物线的焦点为F,过F点且斜率的直线与交于两点,. (1)求的方程。
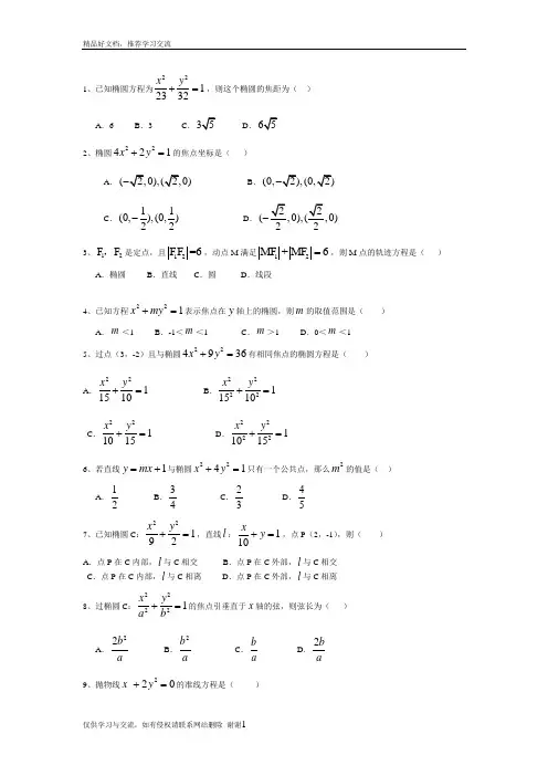
1、已知椭圆方程为2212332x y +=,则这个椭圆的焦距为( )A .6B .3C .D .2、椭圆22421xy +=的焦点坐标是( )A .(B .(0,C .11(0,),(0,)22-D .(22- 3、12F F ,是定点,且12FF =6,动点M 满足12MF +MF 6=,则M 点的轨迹方程是( )A .椭圆B .直线C .圆D .线段4、已知方程221xmy +=表示焦点在y 轴上的椭圆,则m 的取值范围是( )A .m <1B .-1<m <1C .m >1D .0<m <1 5、过点(3,-2)且与椭圆224936xy +=有相同焦点的椭圆方程是( )A .2211510x y += B .222211510x y += C .2211015x y += D .222211015x y += 6、若直线1y mx =+与椭圆2241x y +=只有一个公共点,那么2m 的值是( )A .12 B .34 C .23 D .457、已知椭圆C :22192x y +=,直线l :110xy +=,点P (2,-1),则( ) A .点P 在C 内部,l 与C 相交 B .点P 在C 外部,l 与C 相交 C .点P 在C 内部,l 与C 相离 D .点P 在C 外部,l 与C 相离8、过椭圆C :22221x y a b+=的焦点引垂直于x 轴的弦,则弦长为( )A .22b aB .2b aC .b a D .2b a9、抛物线220xy +=的准线方程是( )A .18x =B .18x =-C .14x =-D .14x = 10、抛物线22(0)y px p =>上一点M 与焦点F 的距离MF =2p ,则点M 的坐标是( )A .3()2p B .3(,)2p C .3,)2p D .3(,)2p 11、若抛物线214y x =上一点P 到焦点F 的距离为5,则P 点的坐标是( )A .(4,4)±B .(4,4)±C .79(168±, D .79()816±, 12、已知抛物线24xy =,过焦点F ,倾斜角为4π的直线交抛物线于A ,B 两点,则线段AB 的长为( )A .8B .C .6D .13、抛物线260x ay-=的准线方程是34x =-,则a 等于( ) A .2 B .-2 C .3 D .-314、以抛物线的焦点弦为直径的圆与抛物线的准线的位置关系是( )A .相离B .相切C .相交D .不能确定15、已知直线l 是抛物线C 的焦点,且与C 的对称轴垂直,l 与C 交于A ,B 两点,12AB =,P 为C准线上一点,则ABPS=( )A .18B .24C .36D .48 16、已知抛物线C :24y x =的焦点为F ,直线24y x =-与C 相交于A 、B 两点,则cos AFB ∠=( )A .115 B .35 C .45- D .35- 17、设抛物线28y x =的焦点为F ,准线为l ,P 为抛物线上一点,PA ⊥l ,A 为垂足,如果直线AF 的斜率为PF =( )A .B .8C .D .1618、设斜率为2的直线l 过抛物线2(0)y ax a =≠的焦点F ,且和y 轴交于点A ,若△OAF (O 为坐标原点)的面积为4,则抛物线方程为( ) A .24y x =± B .28y x =± C .24y x = D .28y x =19、若点O 和点F (-2,0)分别是双曲线2221(0)x y a a-=>的中心和左焦点,点P 为双曲线右支上任意一点,则OP FP ⋅的取值范围是( )A .)3⎡-+∞⎣B .)3⎡++∞⎣C .7,4⎡⎫-+∞⎪⎢⎣⎭ D .7,4⎡⎫+∞⎪⎢⎣⎭20、已知椭圆22221(0)x y a b a b+=>>倍,斜率为1的直线l 与椭圆相交,截得的弦长为正整数的直线l 恰有3条,则b 的值为( )A .2B C D 21、已知方程2213+2x y k k+=-表示椭圆,则k 的取值范围为( ) 22、22112x y m m+=--表示焦点在y 轴上的椭圆,则m 的取值范围是( )23、若椭圆2215x y m+=的离心率5e =,则m 的值是( )24、已知直线1y x =-+与椭圆22221x y a b+=(0a b >>)相交于A 、B 两点,且线段AB 的中点在直线L :20x y-=上,则此椭圆的离心率为( )25、若椭圆221369x y +=的弦被点A (4,2)平分,那么这条弦所在的直线方程是( ) 26、以椭圆上一点和椭圆两焦点为顶点的三角形的面积最大值为1时,则椭圆长轴的最小值为( ) 27、若,x y R ∈,且22326xy +=,则x y +的最大值是( ),22x y +的最小值是( )答案:1~5:ACDDA 6~10:BAAAB 11~15:BAABC 16~20:CBBBC21、11(3,)(,2)22k ∈--⋃-22、3(,1)(1,)2-∞-⋃- 23、3或25324、2 25、x+2y-8=0 26、27 2双曲线习题1、在平面直角坐标系中,已知双曲线221412x y -=上一点M 的横坐标为3,则点M 到此双曲线的右焦点距离为( )2、设12,F F 为双曲线2214x y -=的两个焦点,点P 在双曲线上,且满足12120F PF ∠=,则12F PF S △=( )3、双曲线的顶点到渐近线的距离为2,焦点到渐近线的距离为6,则该双曲线的离心率为( )4、过双曲线22221(00)x y a b a b-=>,>的右顶点A 作斜率为-1的直线,该直线与双曲线两渐近线的交点分别为B ,C ,若1AB=BC 2,则双曲线的离心率是( ) 5、已知1F :2210240xy x +++=,2F :221090x y x +-+=,动圆M 与定圆12,F F 都外切,求动圆圆心M 的轨迹方程。
【考点8】椭圆、双曲线、抛物线2009年考题1、(2009湖北高考)已知双曲线1412222222=+=-b y x y x 的准线经过椭圆(b >0)的焦点,则b=( )A.3B.5C.3D.2选C.可得双曲线的准线为21a x c=±=±,又因为椭圆焦点为2(4,0)b ±-所以有241b -=.即b 2=3故b=3. 2、(2009陕西高考)“0m n >>”是“方程221mxny +=”表示焦点在y 轴上的椭圆”的( )(A )充分而不必要条件 (B )必要而不充分条件 (C )充要条件 (D) 既不充分也不必要条件【解析】选C.将方程221mxny +=转化为22111x y m n+=, 根据椭圆的定义,要使焦点在y 轴上必须 满足110,0,m n>>且11n m >,故选C.3、(2009湖南高考)抛物线28y x =-的焦点坐标是( )A .(2,0)B .(- 2,0)C .(4,0)D .(- 4,0) 【解析】选B.由28y x =-,易知焦点坐标是(,0)(2,0)2p-=-,故选B. 4、(2009全国Ⅰ)已知椭圆22:12x C y +=的右焦点为F ,右准线为l ,点A l ∈,线段AF 交C 于点B , 若3FA FB =,则||AF =( )(A)2 (B) 23 (D) 3【解析】选A.过点B 作BM l ⊥于M,并设右准线l 与X 轴的交点为N ,易知FN=1.由题意3FA FB =,故2||3BM =.又由椭圆的第二定义,得222||233BF==||2AF ∴=5、(2009江西高考)设1F 和2F 为双曲线22221x y a b-=(0,0a b >>)的两个焦点, 若12F F ,,(0,2)P b 是正三角形的三个顶点,则双曲线的离心率为( ) A .32 B .2 C .52D .3【解析】选B.由3tan623c b π==有2222344()c b c a ==-,则2c e a==,故选B. 6、(2009江西高考)过椭圆22221x y a b+=(0a b >>)的左焦点1F 作x 轴的垂线交椭圆于点P ,2F 为右焦点,若1260F PF ∠=,则椭圆的离心率为( )A .22B .33C .12 D .13【解析】选B.因为2(,)b P c a-±,再由1260F PF ∠=有232,b a a=从而可得33c e a ==,故选B.7、(2009浙江高考)过双曲线22221(0,0)x y a b a b-=>>的右顶点A 作斜率为1-的直线,该直线与双曲线的两条渐近线的交点分别为,B C .若12AB BC =,则双曲线的离心率是 ( ) A .2 B .3 C .5 D .10【解析】选C.对于(),0A a ,则直线方程为0x y a +-=,直线与两渐近线的交点为B ,C ,22,,(,)a ab a ab B C a b a b a b a b ⎛⎫- ⎪++--⎝⎭,则有22222222(,),,a b a b abab BC AB a b a b a b a b ⎛⎫=-=- ⎪--++⎝⎭, 因222,4,5ABBC a b e =∴=∴=.8、(2009山东高考)设双曲线12222=-by a x 的一条渐近线与抛物线y=x 2+1 只有一个公共点,则双曲线的离心率为( ).A.45B. 5C. 25D.5【解析】选D.双曲线12222=-b y a x 的一条渐近线为x a b y =,由方程组21b y xa y x ⎧=⎪⎨⎪=+⎩,消去y,得210b xx a -+=有唯一解,所以△=2()40ba-=, 所以2b a =,2221()5c a b b e a a a+===+=,故选D.9、(2009山东高考)设斜率为2的直线l 过抛物线2(0)y ax a =≠的焦点F,且和y 轴交于点A,若△OAF(O 为坐标原点)的面积为4,则抛物线方程为( ).A.24y x =± B.28y x =± C. 24y x = D. 28y x =【解析】选B.抛物线2(0)y ax a =≠的焦点F 坐标为(,0)4a ,则直线l 的方程为2()4ay x =-,它与y 轴的交点为A (0,)2a -,所以△OAF 的面积为1||||4242a a⋅=,解得8a =±.所以抛物线方程为28y x =±,故选B.10、(20096( )(A )22124x y -= (B )22142x y -= (C )22146x y -= (D )221410x y -=【解析】选B.由6e =得222222331,1,222c b b a a a =+==,选B. 11、(2009天津高考)设双曲线)0,0(12222>>=-b a by a x 的虚轴长为2,焦距为32,则双曲线的渐近线方程为( )Ax y 2±= B x y 2±= C x y 22±= D x y 21±= 【解析】选C.由已知得到2,3,122=-===b c a c b,因为双曲线的焦点在x 轴上,故渐近线方程为x x a b y 22±=±=. 12、(2009宁夏、海南高考)双曲线24x -212y =1的焦点到渐近线的距离为( )(A )3 (B )2 (C 3 (D )1【解析】选A.双曲线24x -212y =1的焦点(4,0)到渐近线3y x =的距离为34023d ⨯-==选A.13、(2009宁夏、海南高考)设已知抛物线C 的顶点在坐标原点,焦点为F(1,0),直线l 与抛物线C 相交于A ,B 两点。
高中数学圆锥曲线(椭圆、双曲线、抛物线)经典习题1.已知圆$x^2+y^2-6x-7=0$与抛物线$y^2=2px(p>0)$的准线相切,则抛物线方程为$y^2=8x$。
2.与双曲线$2x^2-2y^2=1$有公共焦点,离心率互为倒数的椭圆方程为$\dfrac{x^2}{9}+\dfrac{y^2}{16}=1$。
3.方程$k-\dfrac{35}{k}+\dfrac{x^2}{y^2}=1$表示双曲线,则$m$的取值范围是$(-\infty,-7)\cup(0,7)$。
4.经过点$M(3,-2),N(-2,3)$的椭圆的标准方程是$\dfrac{x^2}{16}+\dfrac{y^2}{9}=1$。
5.与双曲线$x^2-y^2=53$有公共渐近线且焦距为8的双曲线方程为$\dfrac{x^2}{16}-\dfrac{y^2}{9}=1$。
6.过点$P(-2,4)$的抛物线的标准方程为$y=\dfrac{1}{8}(x+2)^2$。
7.以$\dfrac{x^2}{4}-\dfrac{y^2}{12}=-1$的上焦点为顶点,下顶点为焦点的椭圆方程为$\dfrac{x^2}{16}+\dfrac{y^2}{48}=1$。
重点二:1.椭圆$16x+25y=400$的焦点为$F_1,F_2$,直线$AB$过$F_1$,则$\triangle ABF_2$的周长为$10$。
2.动圆的圆心在抛物线$y^2=8x$上,且动圆恒与直线$x+2=0$相切,则动圆必过定点$(-1,2)$。
3.椭圆$\dfrac{x^2}{25}+\dfrac{y^2}{9}=1$上的一点$M$到左焦点$F_1$的距离为$2$,$N$是$MF_1$的中点,则$ON=\dfrac{4}{3}$。
4.设椭圆$\dfrac{x^2}{a^2}+\dfrac{y^2}{b^2}=1$和双曲线$\dfrac{x^2}{a^2}-\dfrac{y^2}{b^2}=1$有公共焦点$F_1,F_2$,点$P$是两曲线的一个公共点,则$\cos\angleF_1PF_2=\dfrac{3}{5}$。
2019高考数学一轮复习专题:椭圆双曲线抛物线(含答案)椭圆、双曲线、抛物线1.椭圆的定义椭圆是平面内与两个定点F1,F2的距离的和等于常数(大于|F1F2|)的点的轨迹。
这两个定点叫做椭圆的焦点,两焦点间的距离叫做椭圆的焦距。
椭圆的集合P={M|MF1+MF2=2a},|F1F2|=2c,其中a>0,c>0,且a,c为常数。
当2a>|F1F2|时,P点的轨迹是椭圆;当2a=|F1F2|时,P点的轨迹是线段;当2a<|F1F2|时,P点不存在。
2.椭圆的标准方程和几何性质标准方程为x^2/a^2+y^2/b^2=1(a>b>0)或y^2/a^2+x^2/b^2=1(a>b>0)。
椭圆的范围为-a≤x≤a,-b≤y≤b,对称轴为坐标轴,对称中心为(0,0)。
椭圆的顶点为A1(-a,0),A2(a,0),B1(0,-b),B2(0,b)或A1(0,-a),A2(0,a),B1(-b,0),B2(b,0)。
椭圆的长轴A1A2的长为2a,短轴B1B2的长为2b,焦距为2c,离心率为e=c/a,其中c^2=a^2-b^2.3.应用题1) 2017·浙江高考题:椭圆x^2/9+y^2/4=1的离心率是5/3.解析:根据标准方程,a=3,b=2,则c=5,离心率e=c/a=5/3.2) 已知椭圆x^2/a^2+y^2/b^2=1(m>0)的焦距为8,则m的值为3或41.解析:根据椭圆的性质,c^2=a^2-b^2,焦距为2c=8,则c=4,a^2=16+b^2.代入m>0的条件,解得b=2√(m+1),a=4,代入c^2=a^2-b^2,解得m=3或41.解析:当焦点在x轴上时,椭圆方程为$\frac{x^2}{4}+\frac{y^2}{m^2}=1$,根据离心率的定义$e=\sqrt{1-\frac{b^2}{a^2}}=\sqrt{1-\frac{m^2}{4}}$,所以$\frac{m^2}{4}=1-e^2$,代入得到 $m=\sqrt{4-4e^2}$。
椭圆典型例题一、已知椭圆焦点的位置,求椭圆的标准方程。
例1:已知椭圆的焦点是F 1(0,-1)、F 2(0,1),P 是椭圆上一点,并且PF 1+PF 2=2F 1F 2,求椭圆的标准方程。
解:由PF 1+PF 2=2F 1F 2=2×2=4,得2a =4.又c =1,所以b 2=3.所以椭圆的标准方程是y 24+x 23=1.2.已知椭圆的两个焦点为F 1(-1,0),F 2(1,0),且2a =10,求椭圆的标准方程. 解:由椭圆定义知c =1,∴b =52-1=24.∴椭圆的标准方程为x 225+y 224=1.二、未知椭圆焦点的位置,求椭圆的标准方程。
例:1. 椭圆的一个顶点为()02,A ,其长轴长是短轴长的2倍,求椭圆的标准方程. 解:(1)当()02,A 为长轴端点时,2=a ,1=b , 椭圆的标准方程为:11422=+y x ; (2)当()02,A 为短轴端点时,2=b ,4=a , 椭圆的标准方程为:116422=+y x ;三、椭圆的焦点位置由其它方程间接给出,求椭圆的标准方程。
例.求过点(-3,2)且与椭圆x 29+y 24=1有相同焦点的椭圆的标准方程.解:因为c 2=9-4=5,所以设所求椭圆的标准方程为x 2a 2+y 2a 2-5=1.由点(-3,2)在椭圆上知9a 2+4a 2-5=1,所以a 2=15.所以所求椭圆的标准方程为x 215+y 210=1.四、与直线相结合的问题,求椭圆的标准方程。
例: 已知中心在原点,焦点在x 轴上的椭圆与直线01=-+y x 交于A 、B 两点,M 为AB 中点,OM 的斜率为0.25,椭圆的短轴长为2,求椭圆的方程.解:由题意,设椭圆方程为1222=+y ax ,由⎪⎩⎪⎨⎧=+=-+101222y ax y x ,得()021222=-+x a x a , ∴222112a a x x x M +=+=,2111a x y M M +=-=, 4112===ax y k M M OM ,∴42=a ,∴1422=+y x 为所求. 五、求椭圆的离心率问题。
【例】以抛物线x y 382=的焦点F 为右焦点,且两条渐近线是03=±y x 的双曲线方程为___________________.解: 抛物线x y 382=的焦点F 为)0,32(,设双曲线方程为λ=-223y x ,9)32(342=∴=∴λλ,双曲线方程为13922=-y x 【例】双曲线2224by x -=1(b ∈N)的两个焦点F 1、F 2,P 为双曲线上一点,|OP |<5,|PF 1|,|F 1F 2|,|PF 2|成等比数列,则b 2=_________。
解:设F 1(-c ,0)、F 2(c ,0)、P (x ,y ),则|PF 1|2+|PF 2|2=2(|PO |2+|F 1O |2)<2(52+c 2),即|PF 1|2+|PF 2|2<50+2c 2,又∵|PF 1|2+|PF 2|2=(|PF 1|-|PF 2|)2+2|PF 1|·|PF 2|,依双曲线定义,有|PF 1|-|PF 2|=4, 依已知条件有|PF 1|·|PF 2|=|F 1F 2|2=4c 2 ∴16+8c 2<50+2c 2,∴c 2<317, 又∵c 2=4+b 2<317,∴b 2<35,∴b 2=1。
【例】当m 取何值时,直线l :y x m =+与椭圆22916144x y +=相切,相交,相离—解:{22916144y x m x y =++=…… … … ①②①代入②得22916()144x x m ++=化简得222532161440x mx m ++-=222(32)425(16144)57614400m m m ∆=-⨯-=-+当0,∆=即5m =±时,直线l 与椭圆相切; 当0∆>,即55m -<<时,直线与椭圆相交;当0∆<,即5m <-或5m >时,直线与椭圆相离。
【例】已知椭圆的中心在坐标原点,焦点在x 轴上,它的一个焦点为F ,M 是椭圆上的任意点,|MF |的最大值和最小值的几何平均数为2,椭圆上存在着以y =x 为轴的对称点M 1和M 2,且精讲精练|M 1M 2|=3104,试求椭圆的方程。
5.2 椭圆、双曲线、抛物线一、选择题。
1. (2015高考天津)已知双曲线x 2a 2−y 2b 2=1(a >0,b >0)的一条渐近线过点(2,√3),且双曲线的一个焦点在抛物线y 2=4√7x 的准线上,则双曲线的方程为( ) A.x 24−y 23=1 B.x 23−y 24=1 C.x 221−y 228=1 D.x 228−y 221=12. 已知M (x 0,y 0)是双曲线C:x 22−y 2=1上的一点,F 1,F 2是C 上的两个焦点,若MF 1→⋅MF 2→<0,则y 0的取值范围是( ) A.(−2√33,2√33) B.(−2√23,2√23) C.(−√33,√33) D.(−√36,√36)3. (2014·全国)已知椭圆C :x 2a 2+y 2b 2=1(a >b >0)的左、右焦点为F 1,F 2,离心率为√33,过F 2的直线l 交C 于A ,B 两点.若△AF 1B 的周长为4√3,则C 的方程为( ) A.x 212+y 24=1 B.x 212+y 28=1 C.x 23+y 22=1 D.x 23+y 2=14. 已知椭圆:x 24+y 2b 2=1(0<b <2),左右焦点分别为F 1,F 2,过F 1的直线l 交椭圆于A ,B 两点,若|BF 2|+|AF 2|的最大值为5,则b 的值是( ) A.√3 B.32C.1D.√25. 已知点P 在抛物线y 2=4x 上,那么点P 到点Q (2,−3)的距离与点P 到抛物线准线距离之和取得最小值时,点P 的坐标为( ) A.(11+2√109,−2−2√103) B.(11−2√109,−2−2√103) C.(14,−1) D.(14,1)6. (2014·湖北)已知F 1,F 2是椭圆和双曲线的公共焦点,P 是它们的一个公共点,且∠F 1PF 2=π3,则椭圆和双曲线的离心率的倒数之和的最大值为( )A.2B.3C.4√33D.2√33二、填空题。
解决圆锥曲线常用的方法1、定义法(1)椭圆有两种定义。
第一定义中,r 1+r 2=2a 。
第二定义中,r 1=ed 1 r 2=ed 2。
(2)双曲线有两种定义。
第一定义中,a r r 221=-,当r 1>r 2时,注意r 2的最小值为c-a :第二定义中,r 1=ed 1,r 2=ed 2,尤其应注意第二定义的应用,常常将 半径与“点到准线距离”互相转化。
(3)抛物线只有一种定义,而此定义的作用较椭圆、双曲线更大,很多抛物线问题用定义解决更直接简明。
2、韦达定理法因直线的方程是一次的,圆锥曲线的方程是二次的,故直线与圆锥曲线的问题常转化为方程组关系问题,最终转化为一元二次方程问题,故用韦达定理及判别式是解决圆锥曲线问题的重点方法之一,尤其是弦中点问题,弦长问题,可用韦达定理直接解决,但应注意不要忽视判别式的作用。
3、解析几何的运算中,常设一些量而并不解解出这些量,利用这些量过渡使问题得以解决,这种方法称为“设而不求法”。
设而不求法对于直线与圆锥曲线相交而产生的弦中点问题,常用“点差法”,即设弦的两个端点A(x 1,y 1),B(x 2,y 2),弦AB 中点为M(x 0,y 0),将点A 、B 坐标代入圆锥曲线方程,作差后,产生弦中点与弦斜率的关系,这是一种常见的“设而不求”法,具体有:(1))0(12222>>=+b a by a x 与直线相交于A 、B ,设弦AB 中点为M(x 0,y 0),则有02020=+k by a x 。
(2))0,0(12222>>=-b a by a x 与直线l 相交于A 、B ,设弦AB 中点为M(x 0,y 0)则有02020=-k by a x (3)y 2=2px (p>0)与直线l 相交于A 、B 设弦AB 中点为M(x 0,y 0),则有2y 0k=2p,即y 0k=p. 4、数形结合法解析几何是代数与几何的一种统一,常要将代数的运算推理与几何的论证说明结合起来考虑问题,在解题时要充分利用代数运算的严密性与几何论证的直观性,尤其是将某些代数式子利用其结构特征,想象为某些图形的几何意义而构图,用图形的性质来说明代数性质。
解决圆锥曲线常用的方法1、定义法(1)椭圆有两种定义。
第一定义中,r 1+r 2=2a 。
第二定义中,r 1=ed 1 r 2=ed 2。
(2)双曲线有两种定义。
第一定义中,a r r 221=-,当r 1>r 2时,注意r 2的最小值为c-a :第二定义中,r 1=ed 1,r 2=ed 2,尤其应注意第二定义的应用,常常将 半径与“点到准线距离”互相转化。
(3)抛物线只有一种定义,而此定义的作用较椭圆、双曲线更大,很多抛物线问题用定义解决更直接简明。
2、韦达定理法因直线的方程是一次的,圆锥曲线的方程是二次的,故直线与圆锥曲线的问题常转化为方程组关系问题,最终转化为一元二次方程问题,故用韦达定理及判别式是解决圆锥曲线问题的重点方法之一,尤其是弦中点问题,弦长问题,可用韦达定理直接解决,但应注意不要忽视判别式的作用。
3、解析几何的运算中,常设一些量而并不解解出这些量,利用这些量过渡使问题得以解决,这种方法称为“设而不求法”。
设而不求法对于直线与圆锥曲线相交而产生的弦中点问题,常用“点差法”,即设弦的两个端点A(x 1,y 1),B(x 2,y 2),弦AB 中点为M(x 0,y 0),将点A 、B 坐标代入圆锥曲线方程,作差后,产生弦中点与弦斜率的关系,这是一种常见的“设而不求”法,具体有:(1))0(12222>>=+b a by a x 与直线相交于A 、B ,设弦AB 中点为M(x 0,y 0),则有02020=+k by a x 。
(2))0,0(12222>>=-b a by a x 与直线l 相交于A 、B ,设弦AB 中点为M(x 0,y 0)则有02020=-k by a x (3)y 2=2px (p>0)与直线l 相交于A 、B 设弦AB 中点为M(x 0,y 0),则有2y 0k=2p,即y 0k=p. 4、数形结合法解析几何是代数与几何的一种统一,常要将代数的运算推理与几何的论证说明结合起来考虑问题,在解题时要充分利用代数运算的严密性与几何论证的直观性,尤其是将某些代数式子利用其结构特征,想象为某些图形的几何意义而构图,用图形的性质来说明代数性质。
如“2x+y ”,令2x+y=b ,则b 表示斜率为-2的直线在y 轴上的截距;如“x 2+y 2”,令d y x =+22,则d 表示点P (x ,y )到原点的距离;又如“23+-x y ”,令23+-x y =k ,则k 表示点P (x 、y )与点A (-2,3)这两点连线的斜率……5、参数法(1)点参数利用点在某曲线上设点(常设“主动点”),以此点为参数,依次求出其他相关量,再列式求解。
如x 轴上一动点P ,常设P (t ,0);直线x-2y+1=0上一动点P 。
除设P (x 1,y 1)外,也可直接设P (2y,-1,y 1) (2)斜率为参数当直线过某一定点P(x 0,y 0)时,常设此直线为y-y 0=k(x-x 0),即以k 为参数,再按命题要求依次列式求解等。
(3)角参数当研究有关转动的问题时,常设某一个角为参数,尤其是圆与椭圆上的动点问题。
6、代入法这里所讲的“代入法”,主要是指条件的不同顺序的代入方法,如对于命题:“已知条件P 1,P 2求(或求证)目标Q ”,方法1是将条件P 1代入条件P 2,方法2可将条件P 2代入条件P 1,方法3可将目标Q 以待定的形式进行假设,代入P 1,P 2,这就是待定法。
不同的代入方法常会影响解题的难易程度,因此要学会分析,选择简易的代入法。
例2、F 是椭圆13422=+y x 的右焦点,A(1,1)为椭圆内一定点,上一动点。
(1)PF PA +的最小值为 (2)PF PA 2+的最小值为分析:PF 为椭圆的一个焦半径,常需将另一焦半径F P '解:(1)4-5设另一焦点为F ',则F '(-1,0)连A F ',P F '542)(22-='-≥-'-='-+=+F A a PA F P a F P a PA PF PA当P 是F 'A 的延长线与椭圆的交点时, PF PA +取得最小值为4-5。
(2)作出右准线l ,作PH ⊥l 交于H ,因a 2=4,b 2=3,c 2=1, a=2,c=1,e=21, ∴PH PF PH PF ==2,21即 ∴PH PA PF PA +=+2当A 、P 、H 三点共线时,其和最小,最小值为3142=-=-A x ca 例3、动圆M 与圆C 1:(x+1)2+y 2=36内切,与圆C 2:(x-1)2+y 2=4外切,轨迹方程。
分析:作图时,要注意相切时的“图形特征”:图中的A 、M 、C 共线,B 、D 、M 共线)径”(如图中的MD MC =)。
解:如图,MD MC =,∴26-=--=-MB MA DB MB MA AC 即 ∴8=+MB MA (*)∴点M 的轨迹为椭圆,2a=8,a=4,c=1,b 2=15轨迹方程为151622+y x 点评:得到方程(*)后,应直接利用椭圆的定义写出方程,而无需再用距离公式列式求解,即列出4)1()1(2222=+-+++y x y x ,再移项,平方,…相当于将椭圆标准方程推导了一遍,较繁琐!例4、△ABC 中,B(-5,0),C(5,0),且sinC-sinB=53sinA,求点A 的轨迹方程。
分析:由于sinA 、sinB 、sinC 的关系为一次齐次式,两边乘以2R (R 为外接圆半径),可转化为边长的关系。
解:sinC-sinB=53sinA 2RsinC-2RsinB=53·2RsinA ∴BC AC AB 53=-即6=-AC AB (*)∴点A 的轨迹为双曲线的右支(去掉顶点) ∵2a=6,2c=10 ∴a=3, c=5, b=4所求轨迹方程为116922=-y x (x>3) 点评:要注意利用定义直接解题,这里由(*)式直接用定义说明了轨迹(双曲线右支) 例5、定长为3的线段AB 的两个端点在y=x 2上移动,AB 中点为M ,求点M 到x 轴的最短距离。
分析:(1)可直接利用抛物线设点,如设A(x 1,x 12),B(x 2,X 22),又设AB 中点为M(x 0y 0)用弦长公式及中点公式得出y 0关于x 0的函数表达式,再用函数思想求出最短距离。
(2)M 到x 轴的距离是一种“点线距离”,可先考虑M 到准线的距离,想到用定义法。
解法一:设A(x 1,x 12),B(x 2,x 22),AB 中点M(x 0,y 0)则⎪⎩⎪⎨⎧=+=+=-+-022212122221221229)()(y x x x x x x x x x 由①得(x 1-x 2)2[1+(x 1+x 2)2]=9即[(x 1+x 2)2-4x 1x 2]·[1+(x 1+x 2)2]=9 ④ 由②、③得2x 1x 2=(2x 0)2-2y 0=4x 02-2y 0 代入④得 [(2x 0)2-(8x 02-4y 0)]·[1+(2x 0)2]=9∴220041944x x y +=-, 1149)14(4944202020200-+++=+=x x x x y ≥,5192=- 450≥y ① ② ③当4x 02+1=3 即 220±=x 时,45)(min 0=y 此时)45,22(±M 法二:如图,222+=AA MM ∴232≥MM , 即411≥+MM ∴451≥MM , 当AB ∴M 到x 轴的最短距离为45 点评:定义与三角形中两边之和大于第三边(当三角形“压扁”时,两边之和等于第三边)的属性,简捷地求解出结果的,但此解法中有缺点,即没有验证AB 是否能经过焦点F ,而且点M 的坐标也不能直接得出。
例6、已知椭圆)52(1122≤≤=-+m m y m x 过其左焦点且斜率为1的直线与椭圆及准线从左到右依次变于A 、B 、C 、D 、设f(m)=CD AB -,(1)求f(m),(2)求f(m)的最值。
分析:此题初看很复杂,对f(m)的结构不知如何运算,因A 、B 来源于“不同系统”,A 在准线上,B 在椭圆上,同样C 在椭圆上,D “投影”到x 轴上,立即可得防()(22)(2)()(D A B C D A B x x x x x x x m f ---=---= )()(2D A C B x x x x +-+=)(2C B X x +=此时问题已明朗化,只需用韦达定理即可。
解:(1)椭圆1122=-+m y m x 中,a 2=m ,b 2=m-1,c 2=1,左焦点F 1(-1,0) 则BC:y=x+1,代入椭圆方程即(m-1)x 2+my 2-m(m-1)=0 得(m-1)x 2+m(x+1)2-m 2+m=0 ∴(2m-1)x 2+2mx+2m-m 2=0设B(x 1,y 1),C(x 2,y 2),则x 1+x 2=-)52(122≤≤-m m m12222)()(2)()(2)(2121-⋅=+=+-+=---=-=m m x x x x x x x x x x CD AB m f C A C D A B(2))1211(2121122)(-+=-+-=m m m m f∴当m=5时,9210)(min =m f 当m=2时,324)(max =m f 点评:此题因最终需求C B x x +,而BC 斜率已知为1,故可也用“点差法”设BC 中点为M(x 0,y 0),通过将B 、C 坐标代入作差,得0100=⋅-+k m ym x ,将y 0=x 0+1,k=1代入得01100=-++m x m x ,∴120--=m m x ,可见122--=+m m x x C B 当然,解本题的关键在于对CD AB m f -=)(的认识,通过线段在x 轴的“投影”发现C B x x m f +=)(是解此题的要点。
例3:直线l :ax+y+2=0平分双曲线191622=-y x 的斜率为1的弦,求a 的取值范围. 分析:由题意,直线l 恒过定点P(0,-2),平分弦即过弦中点,可先求出弦中点的轨迹,再求轨迹上的点M 与点P 的连线的斜率即-a 的范围。
解:设A(x 1,y 1),B(x 2,y 2)是双曲线上的点,且AB 的斜率为1,AB 的中点为M(x 0,y 0)则: ⎪⎪⎩⎪⎪⎨⎧=-=-1916191622222121y x y x①-②得01916,09160022122212=⋅-=---y x y y x x 即 即M(X 0,y 0)在直线9x-16y=0上。