2017年复旦大学研究生入学教育考试资料(部分题库)
- 格式:docx
- 大小:2.45 MB
- 文档页数:34
【最新整理,下载后即可编辑】2.0/ 2.0 得分题目1 of 45复旦大学的校名出自()中的“卿云烂兮,纠缦缦兮;日月光华,旦复旦兮”,本义是追求光明,含有自主办学、复兴中华的意味。
A. 《春秋》B. 《诗经》C. 《尚书大传》D. 《尚书》题目2 of 45 2.0/ 2.0 得分复旦大学校训是(),出自《论语•子张》。
A. 自强不息,厚德载物B. 博学而笃志,切问而近思C. 励学敦行,诚朴雄伟D. 求是,创新题目3 of 45 2.0/ 2.0 得分1949年之前和之后的两个阶段中,复旦大学任职时间最长的两位校长分别是()和()。
A. 李登辉,陈望道B. 李登辉,苏步青C. 马相伯,陈望道D. 马相伯,谢希德题目4 of 45 2.0/ 2.0 得分复旦大学上海医学院(原上海医科大学)创建于()年,是中国创办的第一所国立大学医学院,严福庆出任首任院长。
()年,上海医科大学和复旦大学合并,组建成为新的复旦大学。
A. 1927,2000B. 1905,2000C. 1905,1999D. 1927,1999题目5 of 45 2.0/ 2.0 得分我校经过多年的建设和发展,形成了“一体两翼”的校园格局,即以()为一体,以()为两翼。
A. 邯郸校区、江湾校区,枫林校区、张江校区B. 枫林校区、张江校区,邯郸校区、江湾校区C. 邯郸校区、枫林校区,江湾校区、张江校区D. 邯郸校区、张江校区,江湾校区、枫林校区题目6 of 45 2.0/ 2.0 得分研究生新生入学()内,经全面复查合格者,在学校规定时间内统一正式注册,取得研究生学籍。
A. 两周B. 半年C. 三个月D. 一个月题目7 of 45 2.0/ 2.0 得分患有疾病的研究生新生,经学校指定的二级甲等以上医院诊断不宜在校学习的,可保留入学资格()。
A. 一年B. 半年题目8 of 45 2.0/ 2.0 得分每学期开学时,研究生应当在学校规定的日期内到()办理注册。
2013级复旦大学研究生入学教育考核试卷(开卷)院系:学号:姓名:____第一部分1、1905年,震旦学院学生为反抗外籍传教士阴谋夺取校权而集体离校,拥戴老校长马相伯创立了复旦公学。
校名取自《尚书大传·虞夏传》中《卿云歌》的“日月光华,旦复旦兮”。
1917年改名复旦大学,系私立性质。
1941年底改为国立。
2、1914年,复旦师生共同设计校徽图案,商定校训,校训出自《论语·子张》,为“博学而笃志,切问而近思”。
1925年制定校歌,由刘大白作词,丰子恺作曲。
3、1919年5月6日,复旦教员、《民国日报》主编邵力子到校敲响校钟,报告北京学生运动情况,复旦学生成为上海五四运动的先锋,何葆仁被选为上海学生联合会会长。
4、1937年8月13日,侵华日军进攻上海,我校多处校舍被炸毁,校园随后被占。
我校师生一部分西迁内地,几经周折后在重庆北碚立校。
部分滞留上海的师生在老校长李登辉先生的主持下坚持办学,以“复旦大学补习部”名义在重庆国民政府教育部备案,实行不向敌伪注册、不受敌伪津贴、不受敌伪干涉的“三不”方针,维护了民族气节和复旦声誉;他致力复旦大学的建设凡四十年,曾提出“服务、牺牲、团结”的复旦精神。
学校的大礼堂——“相辉堂”就是为了纪念马相伯和他而命名的。
5、1949年 5月 27日,上海全部解放。
次年,学校决定该日为复旦校庆节。
6、1952年至1977年,著名修辞学家陈望道教授任复旦校长,他是中国共产党上海发起组成员,曾翻译出版马克思主义经典著作《共产党宣言》第一个中文全译本。
继他之后先后担任复旦校长的是著名数学家苏步青和物理学家谢希德。
7、2000年4月,经国务院决定,复旦大学与上海医科大学合并组建新的复旦大学。
上海医科大学创始于 1927年,首任院长为医学界前辈颜福庆先生。
第二部分8、根据《普通高等学校学生管理规定》:1)新生入学后,学校在 3 个月内按照国家招生规定对其进行复查。
复查合格者予以注册,取得学籍。
2017年复旦大学金融硕士(MF金融学综合真题试卷(总分:44.00 ,做题时间:90 分钟)一、单项选择题(总题数:5,分数:10.00)1. 若目前无风险资产收益率为5%,整个股票市场的平均收益率为15%, B公司的股票预期收益率与整个市场平均收益率之间的协方差为250,整个股票市场平均收益率的标准差为20,则B公司股票必要收益率为()。
(分数: 2.00 )A. 15%B. 12%C. 11 . 25% VD. 8%解析:解析:B =Cov(R i , R m)/b m 2 =250/ 20 2 =0. 625,根据CAPM模型,R=R f +B (R m 一R f )=5 % +0. 625X (15%—5%)=11 . 25%。
故选C。
2. 根据杜邦分析框架,A企业去年净资产收益率(ROE)下降,可能是由()引起的。
(分数: 2.00 )A. 销售利润率上升B. 总资产周转率下降VC. 权益乘数上升D. 股东权益下降解析:解析:由杜邦关系式可知,ROE销售利润率X总资产周转率X权益乘数,若ROE下降,可能是由于总资产周转率下降引起的。
故选B。
3. 若甲公司股值从10 元上升到25元,乙公司结构、竞争能力等与甲公司相同。
现在估计乙公司明年股票价值上升150%以上,请问这是什么经济学行为?()(分数: 2.00 )A. 心理账户B. 历史相关性C. 代表性启发性思维D. 锚定效应V 解析:解析:锚定效应是指在缺乏更准确信息的情况下,以往价格或者类似产品的价格更容易成为确定当前价格的参照。
故选D。
4. 根据“巴拉萨一萨缪尔森效应”,下列说法正确的是()。
(分数: 2.00 )A. 贸易部门劳动生产率较低的国家,实际货币升值B. 贸易部门劳动生产率较高的国家,物价较低C. 贸易部门劳动生产率提高相对较快的国家。
名义货币升值VD. 贸易部门劳动生产率提高相对较慢的国家,名义货币升值解析:解析:巴拉萨一萨缪尔森效应是指在经济增长率越高的国家,工资实际增长率也越高,实际汇率的上升也越快,就会存在货币高估现象。
复旦大学2017年金融学综合试题一、名词解释(每小题5分,共25分)1.风险价值2.通货膨胀目标制3.泰勒规则4.货币替代5.回购协议二、选择题(每小题4分,共20分1.若目前无风险收益率为5%,整个股票市场的平均收益率为15%,B公司的股票预期收益率与整个市场平均收益率的协方差为250,整个股票市场平均收益率的标准差为20,则B 公司股票必要收益率为()。
A.15%B.12%C.11.25%D.8%2.根据杜邦分析框架,A公司去年净资产收益率(ROE)下降,可能是由于()引起的。
A.销售利润率上升B.总资产周转率下降C.权益乘数上升D.股东权益下降3.若甲公司股值从10元上升到25元,乙公司结构、竞争能力等与甲公司相同。
现在估计乙公司明年股票价值上升150%以上,请问这是什么经济学行为?()A.心理账户B.历史相关性C.启发性思维D.锚定效应4.根据巴拉萨—萨缪尔森效应,下列说法正确的是()。
A.贸易部门劳动生产率较低的国家,实际货币升值B.贸易部门劳动生产率较高的国家,物价较低C.贸易部门劳动生产率提高相对较快的国家,实际汇率上升D.贸易部门劳动生产率提高相对较慢的国家,实际汇率上升5.下列描述中,正确的是()。
A.央行可以通过增加贷款发行货币,通过购买国债不能增发货币B.如果央行提高存款准备金率,商业银行在央行的存款增多C.如果流动性降低,通货存款比降低D.随着信用卡的广泛使用,货币流通速度增加三、计算题(每小题20分,共40分)1.假设无风险收益R f=5%,投资人最优风险资产组合的预期收益E(R t)=15%,标准差为25%,试求:(1)投资人承担一单位风险所要增加的预期收益率是多少?(2)假设投资人需要构造标准差为10%的投资组合,则投资最优风险组合的比例是多少?构造的投资组合预期收益率是多少?(3)假设投资人将40%的资产投资于无风险证券,则该投资组合的预期收益率和标准差是多少?(4)假设投资人需要构造预期收益率为19%的投资组合,则如何分配最优风险资产组合和无风险证券比例?(5)假设投资人资产总额为1000万,需要借入多少无风险证券以构造预期收益率为19%的投资组合?2.中国的一家人想去美国旅游,去银行看到牌价:银行现金买入现汇买入现汇卖出A银行608.02611.39613.84B银行606.90606.90611.80C银行606.77611.67614.13(1)如果你有5万元人民币要兑换成美元,你会兑换哪个银行?最后能换到多少美元?(2)旅游回来,你要把剩余的1000美元换成人民币,你会选择哪个银行?能换到多少人民币?(3)是否有套利机会?如果存在,请说明存在操作方法。
研究生院
2017年研究生入学考试试题
招生专业或研究方向:思想政治教育
考试科目:马克思主义思想政治教育原著宣读
考生须知
1.所有试题均在答题纸上写清题号作答,在试题上答题不给分。
2.将答题纸和试题一起交回,否则以零分。
3.考生必须按照选题要求回答下列各题,即按照要求完成必答题和选答题。
一、简答题
1.简述毛泽东思想其在马克思主义发展史上的地位和意义。
2.社会主义在20 世纪发展的历史贡献及在新世纪面临的挑战
3.试论加强党的执政能力建设与构建和谐社会的相互关系
4.简述列宁关于新经济政策的基本思想
5.论斯大林对于马克思主义的主要贡献
二、论述题
1.在评述马克思主义史上对待马克思主义的各种态度的基础上,试阐述坚持和发展马克思主义理论对于马克思主义中国化的意义
2.基于马克思主义经典作家关于科学社会主义的主要论述,试阐述中国特色社会主义理论对我国全面建成小康社会的意义。
复旦大学2017年硕士研究生入学考试(808古代文学与现代文学)真题Ⅰ、古代文学部分(75分)
一、名词解释
1、前四史
2、浙西词派
3、《唐宋八大家文钞》
4、元和体
5、江湖诗派
6、(抱歉,想不起来了)
二、标点、简答(共15分)。
唐兴官学大振历世之文能者互出而又沈宋之流研练精切稳顺声势谓之为律诗由是而后文变之体极焉然而莫不好古者遗近务华者去实效齐梁则不逮于魏晋工乐府则力屈于五言律切则骨格不存闲暇则纤秾莫备至於子美盖所谓上薄《风》《骚》下该沈宋古傍苏李气夺曹刘掩颜谢之孤高杂徐庾之流丽尽得古人之体势而兼今人之所独专矣
1、加标点。
(5分)
2、简述上述文字的文学史意义。
(10分)
三、论述(共30分,二选一)
1、钱钟书说:“唐诗、宋诗,亦非仅朝代之别,乃体格性分之殊,天下有两种人,斯分两种诗。
唐诗多以丰神情韵擅长,宋诗多以筋骨思理见胜。
”请谈谈如何理解这段话的文学史意义。
(大概是这样,可能会稍有出入)
2、新文化运动提出“桐城谬种,选学妖孽”,谈谈如何理解。
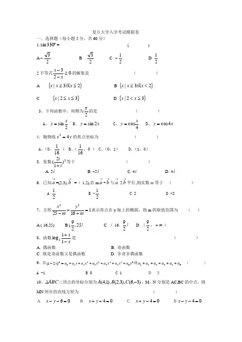
复旦大学入学考试模拟卷一.选择题(每小题5分,共60分)1.︒330sin = ( ) A 23- B 23 C 21- D 21 2不等式023≥--xx 的解集是 ( ) A {}23|≤≥x x x 或 B {}23|<≥x x x 或C {}32|≤≤x xD {}32|≤<x x3、下列函数中,周期为2π的是 ( ) A 、2sin x y = B 、x y 2sin = C 、4cos x y = D 、x y 4cos = 4.抛物线y x 42=的焦点坐标为 ( ) A 、(0,161 ) B 、(161,0 ) C 、(0,1) D 、(1,0) 5.复数2)12(ii +等于 ( ) A. 2i B. –2i C. 4i D.-4i 6.已知→a =(2,3),→b =(-1,2),若m →a +→b 与→a -2→b 平行,则实数m 等于 ( ) A 21 B -21 C2 D -2 7、方程1162522=++-my m x 表示焦点在y 轴上的椭圆,则m 的取值范围为 ( ) A (-16,25) B (),2529 C (-16. )29 D (29,∞+) 8、函数xx -+11log 2是 ( ) A. 偶函数 B. 奇函数C. 既是奇函数又是偶函数D. 非奇非偶函数9、若6655443322106)21(x a x a x a x a x a x a a x ++++++=-则654321a a a a a a +++++ ( )A -1B 0C 1 D 210、ABC ∆三顶点的坐标分别为)3,6(),3,2(),1,4(-C B A ,M ,N 分别是AC,BC 的中点,则MN 所在的直线方程为 ( )A 06=--y x B 04=++y x C 04=-+y x D04=--y x11、若函数)56(log )(221+-=x x x f 在区间),(+∞a 上是减函数,则a 的取值范围为( )A)1,(-∞ B ),3(+∞ C )3,(-∞ D ),5[+∞12、双曲线116922=-y x 有共同的渐近线,且经过点(-3,23)的双曲线方程为 ( ) A194422=-y x B 194422=-x y C 149422=-x y D 149422=-y x 二、填空题( 每小题4分,共32分)13、直线013=++y x 的倾斜角为14、︒︒-︒︒68cos 67cos 22cos 23cos15、函数1sin 2-=x y 的定义域为16、已知⎩⎨⎧≤>=)0(2)0(log )(3x x x x f x 则))91((f f = 17、圆心为(1,2),且与直线07125=--y x 相切的圆的方程为18、函数x x y cos sin 3-=的值域为 19、方程4254-•=x x 的解集为20、已知等比数列}{n a 中8321=++a a a ,7654321=+++++a a a a a a ,记n S 为数列}{n a 的前n 项和,则n n S ∞→lim = 三、解答题(本大题有6个小题,共58分,写出解题步骤)21、(9分)设集合A=},2{<-a x x 集合B=,A B },03{⊆<-x x x 求实数a 的取值范围。
2017年复旦大学研究生入学教育考试资料(部分题库)D外校研究生要求转入我校的,应向我校研究生院提出申请,经过考核并征得拟转入院系导师和主管领导同意及研究生院审核批准后,办理相关的转学手续。
第十七条研究生有下列情形之一,不得转学:(一)入学未满一学期的;(二)由低学历层次转为高学历层次的;(三)招生时确定为定向、委托培养的;(四)应予退学的;(五)其他无正当理由的。
第十八条研究生入学后如因学科、专业调整或导师变动等原因须转专业、更换导师的,须由研究生本人申请,经原导师和所在院系同意,接受院系及导师同意,研究生院批准。
若原导师或所在院系不同意,可向校研究生教育指导委员会提出申诉,由该委员会仲裁解决。
跨学科转专业、更换导师后应重新调整培养计划,补修相应学科所规定课程,并相应延长修业期。
毕业班研究生一般不得转专业、更换导师。
第四章休学与复学第十九条研究生可以分阶段完成学业。
研究生各专业的基础修业期以研究生院有关规定为准。
研究生可申请提前毕业或延长修业期,延长修业期(含休学)以一学期为单位,最长为2年,在延长修业期内应办理注册。
第二十条研究生在学期中因病等原因休假超过三分之一以上,或患有在短时间内较难康复的疾病,经校医疗保健医疗中心认为应当休学者,由本人提出申请,导师、院系主管领导同意,报研究生管理部门批准后办理休学。
第二十一条研究生休学一般以一学期为休学单位,期满后仍不能复学者,可继续申请休学。
第二十二条休学研究生应在休学前一周内办理休学手续离校,可保留学籍一年。
休学期间无须注册,但不享受在校学习研究生权利。
享受公费医疗的在读学生,连续因病休学第二年或第二次休学期间不享受公费医疗。
具体操作依照《复旦大学公费医疗管理办法》实施。
有“住院医疗保险”者,按保险规定办理。
除因病外,其他原因休学期间一律不享受公费医疗,休学学生可自行购买医疗保险。
第二十三条休学的研究生,应当在休学期满开学前一周向所在院系提出复学申请,由研究生院审核合格后,方可办理复学手续。
复旦大学20XX年博士研究生入学考试英语试题附参考答案和解析Part ⅠVocabulary and Structure (15 points)Directions:There are 30 incomplete sentences in this part. For each sentence there are four choices marked A, B, C and D. Choose the one that best completes the sentence. Then mark the corresponding letter on ANSWER SHEET Ⅰ with a single line through center.1.Official figures show that unemployment ______ in November and then fell slowly over the next two months.A.plodded B.peeped C.plunged D.peaked2.The old lady was immediately sent to a nearby hospital when she ______ from heat stroke.A.passed away B.passed off C.passed out D.passed by 3.Her spirits ______ at the thought of all the work she had to do that morning.A.sagged B.sacked C.saddled D.scored4.Jack would rather his younger sister ______ in the same hospital as he does.A.worked B.works C.to work D.work5.Jane was badly taken in when she paid $ 300 for that second-hand bicycle; it was not worth ______.A.that all much B.all that much C.much all that D.that much all6.A patient crowd had ______ around the entrance to the theatre, hoping to catch a glimpse of the stars of the show.A.contracted B.consulted C.contemplated D.congregated 7.UN diplomats are suspicious that the country's ______ weapons programme may be broader than reported.A.flail B.clandestine C.temperate D.fake8.Fortunately the acting and photography are so good that they somehow manage to ______ the limitations of the film plot.A.trace B.transcend C.tranquilize D.trail9.When the report was published, various environmental groups criticized it for being too ______.A.alert B.zealous C.meek D.gregarious10.Her friends helped her ______ after her sister was killed in a car crash.A.pull off B.pull out C.pull through D.pull on11.Nell's father said to him that he was ______ dog to learn new tricks.A.so old a B.a too old C.too old a D.a so old12.The skipper was not willing to risk ______ his ship through the straits until he could see where he was going.A.taking B.to take C.having taken D.being taken13.We were running out of money and things were looking ______.A.grim B.glossy C.gorgeous D.gracious14.If law and order ______ not maintained, neither the citizens nor their properties are safe.A.were B.are C.is D.was15.He saw writers and artists as being important to the state for they could ______.credibility on the regime.A.bestow B.embrace C.disperse D.undertake16.When import taxes on goods are high, there is a greater chance that they will be ______.A.bartered B.counterfeited C.manufactured D.smuggled 17.There's been so little rain, the forest is ______ to go up in flames at any moment.A.precarious B.feeble C.convenient D.liable18.The school's development committee has deliberated the question ______ great length.A.on B.along C.at D.for19.On a Summer evening it is ______ to hear the joyful sound of the shepherd's flute floating across the valley.A.treacherous B.enchanting C.rash D.furtive20.Let's ______ the arrangements with the others before we make a decision.A.talk over B.talk into C.talk down D.talk round21.He'll have to ______ the music when his parents find out he's been missing school.A.listen to B.compose C.face D.play22.Her eyes were shining brightly and her face was suffused ______ color.A.with B.in C.by D.of23.In my opinion Elizabeth and Henry are not ______ friends as lovers.A.too much B.as much C.very much D.so much24.Yesterday my brother ______ with his girlfriend over where to go on holiday.A.fell off B.fell out C.fell away D.fell apart25.The writer ______ the newspaper readers against buying shares without getting good advice first.A.spurred B.menaced C.cautioned D.induced26.Some of his colleagues say he's loud and ______ and that everyone hates him.A.obnoxious B.straightforward C.considerate D.genial 27.She claims that the pressure on public hospitals could be ______ by combining medical resources in the public and private sectors.A.relieved B.replaced C.retrieved D.resurrected28.Please ______ it that the door is locked before you leave.A.see through B.see to C.see into D.see after29.I will ______ you personally responsible if anything goes wrong in this project.A.get B.hold C.let D.have30.The burglars ______ the house but found nothing valuable.A.ransacked B.besieged C.mortgaged D.renovatedPart ⅡReading Comprehension (40 points)Directions:There are 4 reading passages in this part. Each passage is followed by some questions or unfinished statements. For each of them there are four choices marked A, B, C and D. Choose the best answer and mark the corresponding letter on ANSWER SHEET Ⅰ with a single line through the center.Passage OneNowadays, with plentiful ice and electric churning, few people recall the shared excitement of the era when making ice cream was a rarely scheduled event. Then the iceman brought to the back door, on special order, a handsome 2-foot-square cube of cold crystal and everyone in the family took a turn at the crank. The critical question among us children was, of course, who might lick the dasher. A century or so ago the novelist Stendhal knew only hand-churned ice cream and, when he first tasted it, exclaimed, “What a pity this isn't a sin!”Hand-churning is still tops for perfectionists for no power-driven machine has yet been invented that can achieve a comparable texture. Even French Pot, the very best commercial method for making ice cream, calls for finishing by hand.Ice creams are based on carefully cooked well-chilled syrups and heavy custards, added to unwhipped cream. No form of vanilla flavoring can surpass that of vanilla sugar or of the bean itself, steeped in a hot syrup. If sweetened frozen fruits are incorporated into the cream mixture instead of flesh fruits, be sure to adjust sugar content accordingly.Make up mixtures for chum-frozen ice creams the day before you freeze, to increase fill the container only 3/4 full to permit expansion. To pack the freezer, allow 3 to 6 quarts of chipped or cracked ice to 1 cup of coarse rock salt. Pack about 1/3 of the freezer with ice and add layers of salt and ice around the container until the freezer is full. Allow the pack to stand about 3 minutes before you start turning. Turn slowly at first, about 40 revolutions a minute, until a slight pull is felt. Then triple speed for 5 to 6 minutes. If any additions, such as finely cut candied or flesh fruits or nuts are to be made, do so at this point. Then repack and taper off the churning to about 80 revolutions a minute for a few minutes more. The cream should be ready in 10 to 20 minutes, depending on the quality.If the ice cream or ice is to be used at once, it should be frozen harder than if you plan to serve it later. Should the interval be 2 hours or more, packing will firm it. To pack, pour off the salt water in the freezer and wipe off the lid. Remove the dasher carefully, making sure that no salt or water gets into the cream container. Scrape the cream down from the sides of the container. Place a cork in the lid and replace the lid. Repack the container in the freezer with additional ice and salt, using the same proportions as before. Cover the freezer with newspapers, a piece of carpet or other heavy material.The cream should be smooth when served. If it proves granular, you used too much salt in the packing mixture, overfilled the inner container with the ice cream mixture or turned too rapidly. If you are making a large quantity with the idea of storing some in the deep-freeze, package in sizes you plan on serving. Should ice cream be allowed to melt even slightly and is then refrozen, it loses in volume and even more in good texture.31.In the first paragraph, “took a turn at the crank” could be paraphrased ______.A.“helped to mix the ice cream”B.“ate some ice cream”C.“helped break up the ice with a hammer”D.“protected the ice cream from children”32.According to the writer truly perfect ice cream ______.A.is now common and inexpensive at most storesB.is only possible with hand laborC.should be melted and then refrozenD.needs to be a sin33.When ice cream is being hand-churned it is surrounded by a mixture of ______.A.syrup and cream B.syrup and iceC.salt and ice D.flesh fruit and ice34.In paragraph 4, “taper off” means ______.A.cut up B.stop C.speed up D.slow down35.This passage reflects an era when ______.A.people liked a little salt in their ice creamB.making ice cream was an occasional form of family entertainmentC.ice cream was not popularD.people did not knew now to make cheese with their creamPassage TwoFood and drink play a major role in Christmas celebrations in most countries, but in few more so than in Mexico. Many families over the festive season will do little more than cook and ingest a seemingly constant cycle of tortillas, fried beans, meat both roasted and stewed, and sticky desserts for days on end.Thus does the extended family keep on extending—further and further over their collective waistlines.Lucky them, you might think. Except that Mexico's bad eating habits are leading to a health crisis that most Mexicans seem blissfully unaware of. Obesity and its related disorder, diabetes, are now major health concerns in a country where large rural regions are still concerned more with under- than with over-nourishment. In its perennial rivalry with the United States, Mexico has at last found an area in which it can match its northern neighbor—mouthful for mouthful.The statistics are impressive, and alarming. According to the OECD, Mexico is now thesecond fattest nation in that group of 30 countries A health poll in 1999 found that 35% of women were overweight, and another 24% technically obese. Juan Rivera,an official at the National Institute of Public Health, says that the combined figure for men would be about 55%, and that a similar poll to be carried out next year will show the fat quotient rising. Only the United States, with combined figures of over 60%, is a head.That situation also varies geographically. Although Mexicans populate the north of their country more sparsely than the south, they make up for it weight-wise. A study published by the Pan-American Health Organization a month ago showed that in the mostly Hispanic population that lives on either side of the American-Mexican border, fully 74%of men and 70%of women are either over weight or obese.Moreover, even experts have been surprised by how rapidly the nation has swollen. Whereas the 1999 poll showed 59%of women overweight or obese, only 11 years previously that figure was just 33 %. Nowhere is the transformation more noticeable than in the prevalence of diabetes, closely linked to over-eating and obesity. In 1968, says Joel Rodriguez of the Mexican Diabetes Federation, the disease was in 35th place as a direct cause of mortality in Mexico, but now it occupies first place, above both cancer and heart disease. With about 6.5m diabetics out of a population of 100m, Mexico now has a higher rate than any other large country in the world. Not surprisingly, Mr. Rodriguez argues that Mexi co is in the grip of an “epidemic”.Nor does it tax the brain much to work out that the causes of these explosions in obesity and diabetes are the Mexican diet and a lack of exercise. For most Mexicans, food consumption, not just at Christmas but all year round, is an unvarying combination of refried beans, tortillas, meat and refrescos, or fizzy drinks; they consume 101 liters of cola drinks per person per year, just a little less than Americans and three times as much as Brazilians.Meanwhile, the lack of exercise, Mr. Rivera argues, is a symptom of rapid urbanization over the past 30 years. Obesity and diabetes rates remain slightly lower in rural areas, indicating that manual labor endures as an effective way to stave off weight gain. In Mexico City, though, pollution and crime have progressively driven people out of the parks and the streets, so most now walk as little as possible—preferably no further than from the valet-parking service to the restaurant. To combat the fat, health professionals say that the country must first realize that it is indeed in the grip of an epidemic.Other diseases, such as AIDS and cancer, have captured mostof the publicity in recent years; obesity and diabetes have been comparatively neglected.But these are also, as in other developing countries, mainly problems of the urban poor. It is a symptom of their growing prosperity that these parts of the population have, probably for the first time, almost unlimited access to the greatest amount of calories for the smallest amount of money. But with little knowledge of nutritional values, their diets are now unbalanced and unhealthy.Low-carb products and other dietary imports from the United States have already made an appearance on the posher Mexican supermarket shelves. They may go into be shopping baskets of the rake-thin and utterly unrepresentative models who dominate the country's advertising hoardings. But they are still comparatively expensive. For the heaving mass of the population, things may have to get worse before the government, doctors and consumers realize that things have got to start getting better.36.The phrase “on end” in the first paragraph can be replaced by ______.A.until all been consumed B.uprightC.continuously D.until the last day37.Which of the following sentences is TRUE according to the passage?A.Mexicans are eating a lot because of the country's affluence.B.Mexicans can match Americans in the nourishment of their diet.C.Mexicans only overeat during festive seasons.D.Mexico is now the second fattest nation in this world.38.Judging by the context, the word “perennial” in the second paragraph most probably means ______.A.perpetual B.recurring C.transient D.perilous39.Which is the most significant cause of mortality in Mexico?A.Cancer. B.Heart disease. C.Diabetes. D.Epidemic.40.It is known from the passage that from 1988 to 1999 the figure of women overweight or obese in Mexico rose by ______.A.30% B.26% C.35% D.55%Passage ThreeWhen you are small, all ambitions fall into one grand category:when I'm grown up. When I'm grown up, you say, I'll go up in space. I'm going to be an author. I'll kill them all and thenthey'll be sorry. I'll be married in a cathedral with sixteen bridesmaids in pink lace. I'll have a puppy of my own and no one will be able to take him away.None of it ever happens, of course—or dam little, but the fantasies give you the idea that there is something to grow up for. Indeed one of the saddest things about gilded adolescence is the feeling that from eighteen on, it's all downhill; I read with horror of an American hippie wedding where someone said to the groom (age twenty), “You seem so kind a grown up somehow”, and the lad had to go around seeking reassurance that he wasn't, no, really he wasn't. A determination to be better adults than the present incumbents is fine, but to refuse to grow up at all is just plain unrealism.Right, so then you get some of what you want, or something like it, or something that will do all right; and for years you are too busy to do more than live in the present and put one foot in front of the other; your goals stretching little beyond the day when the boss has a stroke or the moment when the children can bring you tea in bed—and the later moment when they actually bring you hot tea, not mostly slopped in the saucer. However, I have now discovered an even sweeter category of ambition. When my children are grown up …When my children are grown up I'll learn to fly an aer o plane. I will career round the sky, knowing that if I do “go pop” there will be no little ones to suffer shock and maladjustment; that even if the worst does come to the worst I will at least dodge the geriatric ward and all that looking for your glasses in order to see where you've left your teeth. When my children are grown up I'll have fragile, lovely things on low tables; I'll have a white carpet; I'll go to the pictures in the afternoon. When the children are grown up I'll actually be able to do a day's work in day, instead of spread over three, and go away for a weekend without planning as if for a trip to the Moon. When I'm grown up—I mean when they're grown up—I'll be free.Of course, I know it's got to get worse before it gets better. Twelve-year-olds, I'm told, don't go to tend at seven, so you don't even get your evenings; once they're past ten you have to start worrying about their friends instead of simply shooting the intruders off the doorstep, and to settle down to a steady ten years of criticism of everything you've ever thought or done or worn. Boys, it seems, may be less of a trial then girls, since they can't get pregnant and they don't borrow your clothes—if they do borrow your clothes, of course, you've got even more to worry about.The young don't respect their parents any more, that's what. Goodness, how sad,still, likeeating snails, it might be all right once you've got over the idea: it might let us off having to bother quite so much with them when the time comes. But one is simply not going to be able to drone away one’s days, toothless by the fire, brooding on the past.41.What interests the writer about young children is that they ______.A.have so many unselfish ambitions B.have such long-term ambitionsC.don't all want to be spacemen D.all long for adult pleasures42.The writer maintains that fantasies ______.A.satisfy ambition B.lessen ambitionC.stimulate ambition D.frustrate ambition43.What does the writer feel is wrong with the modern generation?A.Their wanting to grow up. B.Their not wanting to grow up.C.Their wanting to improve adults. D.Their not wanting to improve adults.44.The writer feels that as an adult one must ______.A.achieve one's ambitions at all costsB.continue to be ambitiousC.find a compromise between ambition and realityD.give up all one's earlier ambitions45.When the children leave home, the writer thinks that ______.A.there will be compensations B.she will be delightedC.she will be desolated D.there will be nothing to doPassage FourFor years, pediatricians didn't worry much about treating hypertension in their patients. After all, kids grow so fast, it's hard keeping up with their shoe size, let alone their blood pressure. Sure, hypertension in adults places them at greater risk of heart attack and stroke. But nobody likes the idea of starting youngsters on blood-pressure medicine they could wind up taking the rest of their lives. Who knows what previously unheard of side effects could crop up after five or six decades of daily use? The rationale has been: kids grow out of so many things, maybe they'll grow out of this too.Now, though, comes word that high blood pressure can be destructive even in childhood. According to a recent report in the journal Circulation, 19 of 130 children with high bloodpressure developed a dangerous thickening of the heart muscle that, in adults at least, has been linked to heart failure. “No one knows if this pattern holds true for younger patients as well,” says Dr. Stephen Daniels, a pediatric cardiologist who led the study at Children's Hospital Medical Center in Cincinnati, Ohio. “But it's worrisome.”Who's most at risk? Boys more than girls, especially boys who are overweight. Their heart works so hard to force blood through extra layers of fat that its walls grow more dense. Then, after decades of straining, it grows too big to pump blood very well. Fortunately, the abnormal thickening can be spotted by ultrasound. And in most case, getting that blood pressure under control—through weight loss and exercise or, as a last resort, drug treatment—allows the overworked muscle to shrink to normal size.How can you tell if yours are like the 670,000 American children ages 10 to 18 with high blood pressure? It's not the sort of thing you can catch by putting your child's arm in a cuff at the free monitoring station in your local grocery. You should have a test done by a doctor, who will consult special tables that indicate the normal range of blood pressure for a particular child's age, height and sex. If the doctor finds an abnormal result he will repeat the test over a period of months to make sure the reading isn't a fake. He'll also check, whether other conditions, like kidney disease, could he the source of the trouble. Because hypertension can be hard to detect, the National Heart, Lung and Blood Institute recommends annual blood pressure checks for every child over age 3.About half the cases of hypertension stem directly from kids being overweight. And the problem is likely to grow. Over the past 30 years the proportion of children in the US who are overweight has doubled, from 5 % to 11%, or 4.7 million kids.You can keep your children from joining their ranks by clearing the junk food from your pantry and hooking your kids—the earlier the better—on healthy, attractive snacks like fruits (try freezing some grapes) or carrot sticks with salsa. Not only will they lower your children's blood pressure;these foods will also boost their immune system and unclog their plumbing. Meanwhile, make sure your kids spend more time on the playground than with their Play Station. Even if they don't shed a pound, vigorous exercise will help keep their blood vessels nice and wide, lowering their blood pressure. And of course, they'll be more likely to eat right and exercise if you set a good example.46.This piece of writing is mainly addressed to ______.A.parents B.boys C.gifts D.pediatrician47.The word “unclog” in paragraph 6 can be replaced by ______.A.fix B.clear C.hinder D.dismantle48.By saying “It's not the sort of thing you can catch by putting your child's arm in a cuff at the free monitoring station in your local grocery”, the writer implies ______.A.hypertension is hard to detectB.children often refuse to have their blood pressure testedC.you'll have to pay a lot of money if you want to have your child's blood pressure checked in a groceryD.in a local grocery, you are free to determine how to have your child's blood pressure examined49.Which of the following is not suggested by the writer to control hypertension?A.Drug treatments. B.Weight loss.C.Exercise. D.Overwork.50.We can conclude from the passage that ______.A.children with hypertension are unlikely to suffer from heart attack and strokeB.parent's blood pressure decides their children's blood pressureC.besides overweight, there are other factors resulting in hypertensionD.vigorous exercise sometimes will lead to heart troublePart ⅢCloze (10 points)Directions:Fill in each of the following blanks with ONE word to complete the meaning of the passage. Write your answer on ANSWER SHEET Ⅱ.Even geologist is familiar with the erosion cycle. No sooner has an area of land been raised above sea-level than it becomes subject to the erosive forces of nature. The rain beats down on the ground and washed 51 the finer particles, sweeping them into rivulets and into rivers and out to sea. The frost freezes the rain water in cracks of the rocks and breaks 52 even the hardest of the constituents of the earth's crust. Blocks of rock dislodged at high levels are brought down by the force of gravity. Alternate heating and 53 of bare rock surfaces causes their disintegration. In the dry regions of the world the wind is a powerful force in removing materialfrom one area to another. All this is natural. But nature has also provided certain defensive forces. Bare rock surfaces are in 54 course protected by soil, itself dependent initially on the weathering of the rocks. Slowly 55 surely, different types of soil with differing “profiles” evolve the main types depending primarily on the climate. The protective soil covering, once it is formed, is hold together by the growth of vegetation. Grass and herbaceous plants, 56 long, branching tenuous roots, hold firmly together the surface particles. The 57 is true with the forest cover. The heaviest tropical downpours beating on the leaves of the giant trees reach the ground only 58 spray, gently watering the surface layers and penetrating along the long passages provided by the roots to the lower levels of the soil. The soil, thus protected by grass, herb, or trees, furnishes a quiet habitat for a myriad varied organisms—earthworms that importantly modify the soil, bacteria, active in their work of converting 59 leaves and decaying vegetation into humus and food for the growing plants. Chemical action is constantly taking 60 ; soil acids attack mineral particles and salts in solution move from one layer in the soil to another.Part ⅣTranslation (20 points)Section A (10 points)Directions:Put the following passage into Chinese.Dun took a deep breath, thinking over what had been said and searching in his mind for a possible course of action. Not for the first time in his flying career, he felt himself in the grip of a cute sense of apprehension, only this time his awareness of his responsibility for the safety of a huge, complex aircraft and nearly sixty lives was tinged with a sudden icy premonition of disaster. Was this, then what it felt like? Older pilots, those who had been in combat in the war, always maintained that if you kept at the game long enough you'd buy it in the end. How was it that in the space of half an hour a normal, everyday, routing flight, carrying a crowd of happy football fans, could change into a nightmare nearly four miles above the earth, something that would shriek across the front pages of a hundred newspapers?Section B(10 points)Directions:Put the following passage into English.在美国历史上人们最津津乐道的政治问题恐怕就是法律与秩序。
复旦大学博士研究生入学考试试题《哲学综合知识》二套第一套《哲学综合知识》
一、名词解释(60分,12个):
1、感性活动
2、现实的个人
3、苏格拉底的“精神助产术
4、奥卡姆剃刀原则
5、贝克来的“存在即是被感知
6、玄学,
7、《新唯实论》
8、《判断力的批判》
9、重言式
10、推理的决定性
11、知行合一
12、vCm
二、阐述(6选2,40分):
1、分工与私有制
2、中国(CHINA)哲学的基本特征
3、从你熟悉的宗教出发,结合其教义,阐述宗教对环境保护有何意思和可借鉴之处
第二套《哲学综合知识》
一、名词解释6选4 :
1、历史与逻辑的统一
2、政治解放和人类解放
3、三表法
4、致良知
5、隐德莱西
6、本质直观
二、论述题(3个选2个)都是材料题
历史的贫困>中的一段话,主要是关于<资本论>的,还有它的副标题是什么?他是不是一本纯粹的经济学著作。
复旦入学教育考试2017总分100分,得分94分2.0 得分研究生每学期应当按照学校校历规定的注册日期,持( )到( ) 进行注册。
未经注册,研究生不得选、退课程,不得参加学校的教学、科研活动,不得享受在校研究生待遇。
A. 本人学生证、所在院系B. 一卡通、研究生院C. 一卡通、所在院系D. 本人学生证、研究生院2.0 得分研究生有特殊情况需要延期注册的,应当在注册日期前向所在院系提交延期注册申请和相关证明材料。
获得批准后,研究生可在当学期注册日期起( )内到校注册。
逾期不注册的,予以( )处理,但因不可抗力等正当事由导致无法及时提交延期注册申请的除外。
在不可抗力等事由消失后( )周内,研究生应补妥注册手续。
A. 2周、退学、2周B. 3周、退学、2周C. 2周、休学、1周D. 2周、退学、1周2.0 得分题目 3 of 46研究生入学后,如因个人兴趣转变、家庭经济状况变化等自身原因需要转专业的,应当在入学满()后、进入基本学习年限()前的期间内,按照《复旦大学研究生学籍管理实施细则(试行)》规定的程序申请转专业。
A. 一学期,最后一学期B. 一学年,最后两学期C. 半学期,最后一学期D. 一学年,最后一学期2.0 得分题目 4 of 46复旦大学的校名出自( )中的“卿云烂兮,纠缦缦兮;日月光华,旦复旦兮”,本义是追求光明,含有自主办学、复兴中华的意味。
A. 《尚书》B. 《尚书大传》C. 《诗经》D. 《春秋》2.0 得分题目 5 of 46根据《复旦大学学生纪律处分条例》第十八条:书写、张贴、展示、散发或者通过互联网发布、传播反对四项基本原则、( )和社会稳定的标语、条幅、漫画、传单、书刊、光盘等材料,散布危害国家安全、公共安全和扰乱公共秩序的言论和谣言,或者煽动闹事的,给予严重警告或者记过处分;情节严重的,给予留校察看以上处分。
A. 危害国家安全B. 造成重要影响C. 恶意中伤他人D. 违反公共道德2.0 得分题目 6 of 46关于研究生学位公共课(思想政治理论课程和外国语课程),下面哪种描述是不正确的?()A. 只要在正常学制内,可以自行决定修读时间B. 外国留学研究生的学位公共课包括汉语课程、中国概况课程、专业汉语课程C. 哲学、政治学一级学科各专业的外国留学研究生,其学位公共课还须包括一门政治理论课程D. 港澳台研究生的学位公共课程包括第一外国语课程、中国概况课程、专业外语课程题目7 of 46 2.0 得分研究生的学位论文应在导师指导下由本人独立完成,论文工作时间不得少于( )。
2017年复旦大学研究生入学教育考试资料(部分题库)复旦大学的校名出自()中的“卿云烂兮,纠缦缦兮;日月光华,旦复旦兮”,本义是追求光明,含有自主办学、复兴中华的意味《尚书大传》复旦大学校训是(),出自《论语•子张》。
“博学而笃志,切问而近思”1949年之前和之后的两个阶段中,复旦大学任职时间最长的两位校长分别是()和()李登辉,陈望道复旦大学上海医学院(原上海医科大学)创建于()年,是中国创办的第一所国立大学医学院,严福庆出任首任院长。
()年,上海医科大学和复旦大学合并,组建成为新的复旦大学。
1927,2000我校经过多年的建设和发展,形成了“一体两翼”的校园格局,即以()为一体,以()为两翼。
邯郸校区、江湾校区,枫林校区、张江校区(二)硕士生原则上应修满不少于35学分的课程(详见各专业培养方案)。
其中学位必修课不少于21学分、选修课不少于10学分和必修环节不少于4学分。
(三)博士生原则上应修满不少于20学分的课程(详见各专业培养方案)。
其中学位必修课不少于14学分、选修课不少于4学分和必修环节不少于2学分。
(四)硕博连读生(含直博生)原则上应修满不少于42学分的课程(详见各专业培养方案)。
其中学位必修课不少于28学分、选修课不少于10学分和必修环节不少于4学分。
(五)应修的基本课程类型及要求详见《复旦大学关于博士生和硕士生培养的基本要求》、《复旦大学关于推行硕博连读研究生培养工作的规定》。
(六)各个专业在符合上述全校研究生应修课程的最低学分数要求的前提下,可以提出各自的学分数要求或应修的基本课程要求。
第六条研究生的选课(一)各专业研究生入学后应在导师或导师小组指导下制订个人培养计划,根据本专业研究生培养方案的要求及本人培养计划的实际情况按学期选定所修读的课程,尤其对必修的学位基础课和学位专业课,原则上选定后不能更改。
(二)研究生要遵守学校研究生课程教学安排和选课的规定,进入研究生选课系统进行网上选课。
确因选课不当或不能继续听课者,务必在规定时间内退课。
未退课视为选定。
严重旷课或无故缺考,成绩按F登记。
第七条研究生的课程考核研究生学习的所有课程都必须进行考核,考核分为考试和考查两种。
必修的学位课程(包括公共学位课、学位基础课和学位专业课)和第二外国语必须进行考试;选修课可采取考试或考查。
研究生课程的考核,可根据课程教学的实际及有利于测试研究生知识和能力等方面的要求,分别采取口试、笔试,开卷考试或闭卷考试等不同的形式。
研究生课程成绩的评定,既可以以最后的考试成绩为依据,也可以综合平时的测验或作业成绩和期末考试成绩加以评定。
第八条研究生的课程成绩记载研究生课程考核成绩的评定,采用十级记分制。
百分制分数、等级与绩点的换算关百分制分数90-10085-8982-8478-8175-7771-7466-7062-6560-61补考及格59及59以下等级 A A- B+ B B- C+ C C- D D- F绩点 4.0 3.7 3.3 3.0 2.7 2.3 2.0 1.7 1.3 1.0 0注:(1)学分绩点的计算办法是:一门课的学分绩点=绩点×学分数;学期或学年的平均绩点=所学课程学分绩之和÷所学课程学分数之和。
(2)成绩以A、A-、B+、B、B-、C+、C、C-、D、D-、F形式记载,其中A和A-的成绩等级总量不超过该门课程修读人数的30%。
(3)必修环节(实践和学术活动)的成绩采用两级记分制(P、E)记载。
第九条研究生课程的免修、缓考、补考、重修(一)免修。
除政治理论课外,研究生对某些课程若有较好的基础,可以申请免修该课程,经任课教师同意,并报主管院长(系主任)批准后,方可准予免修;同意免修但不能免考,在该课程结束时,必须与学习该课程的研究生一起参加考核。
(二)缓考。
研究生因特殊原因不能按时应考,必须事先书面请假,经主管院长(系主任)及任课教师同意并报研究生院批准后,方可缓考。
(三)补考。
研究生如有课程考试成绩不及格,可在下一次该门课程考试时补考一次,如补考合格,成绩按D-记载,并注明“系补考成绩”;补考不及格者,不予毕业。
(四)重修。
硕士生或博士生在校学习期间允许只重修一门课程一次,该课成绩按重修后的实际分数登记。
补考不及格的课程不能重修。
第十条研究生违反考试纪律,按《复旦大学学生违纪处分条例》中的有关规定处理。
第十一条研究生在修完培养方案规定的所有课程和必修的培养环节,完成毕业论文答辩后,记入《复旦大学研究生成绩表》,并归入本人档案。
第十二条研究生可以根据校际间协议跨校修读课程。
在他校修读的课程成绩(学分),由研究生院按有关规定审核认定后予以记载。
第十三条研究生在学期间应参加中期考核或博士资格考试。
中期考核是依据本学科专业研究生培养方案,对研究生所完成的学业,从德智体各方面进行全面的总结、检查和考核。
考核的结果分为:A等(优秀)、B等(合格,继续攻读学位)、C等(警告,限期改正)和D等(不合格,取消学籍,作退学处理)。
要以《高等学校学生行为准则》为主要依据,采取个人小结、师生民主评议等形式对研究生进行思想品德的考核、鉴定。
第十四条研究生严重违反考核纪律或者作弊的,该课程考核成绩记为无效(作不及格处理),并由学校视其违纪或者作弊情节,给予批评教育和相应的纪律处分。
给予警告、严重警告、记过及留校察看处分的,经教育表现较好,在毕业前对该课程可以给予补考或者重修机会。
第十五条研究生不能按时参加教育教学计划规定的活动,应当事先请假并获得批准。
未经批准而缺席者,根据学校有关规定给予批评教育,情节严重的给予纪律处分。
第三章转学、转专业第十六条研究生一般应当在被录取学校完成学业。
如患病或者确有特殊原因,无法继续在本校学习的,可以申请转学。
研究生转学,需经两校同意,由转出学校报所在地省级教育行政部门确认转学理由正当,可以办理转学手续;跨省转学者由转出地省级教育行政部门商转入地省级教育行政部部门,按转学条件确认后办理转学手续。
须转户口的由转入地省级教育行政部门将有关文件抄送转入校所在地公安部门。
外校研究生要求转入我校的,应向我校研究生院提出申请,经过考核并征得拟转入院系导师和主管领导同意及研究生院审核批准后,办理相关的转学手续。
第十七条研究生有下列情形之一,不得转学:(一)入学未满一学期的;(二)由低学历层次转为高学历层次的;(三)招生时确定为定向、委托培养的;(四)应予退学的;(五)其他无正当理由的。
第十八条研究生入学后如因学科、专业调整或导师变动等原因须转专业、更换导师的,须由研究生本人申请,经原导师和所在院系同意,接受院系及导师同意,研究生院批准。
若原导师或所在院系不同意,可向校研究生教育指导委员会提出申诉,由该委员会仲裁解决。
跨学科转专业、更换导师后应重新调整培养计划,补修相应学科所规定课程,并相应延长修业期。
毕业班研究生一般不得转专业、更换导师。
第四章休学与复学第十九条研究生可以分阶段完成学业。
研究生各专业的基础修业期以研究生院有关规定为准。
研究生可申请提前毕业或延长修业期,延长修业期(含休学)以一学期为单位,最长为2年,在延长修业期内应办理注册。
第二十条研究生在学期中因病等原因休假超过三分之一以上,或患有在短时间内较难康复的疾病,经校医疗保健医疗中心认为应当休学者,由本人提出申请,导师、院系主管领导同意,报研究生管理部门批准后办理休学。
第二十一条研究生休学一般以一学期为休学单位,期满后仍不能复学者,可继续申请休学。
第二十二条休学研究生应在休学前一周内办理休学手续离校,可保留学籍一年。
休学期间无须注册,但不享受在校学习研究生权利。
享受公费医疗的在读学生,连续因病休学第二年或第二次休学期间不享受公费医疗。
具体操作依照《复旦大学公费医疗管理办法》实施。
有“住院医疗保险”者,按保险规定办理。
除因病外,其他原因休学期间一律不享受公费医疗,休学学生可自行购买医疗保险。
第二十三条休学的研究生,应当在休学期满开学前一周向所在院系提出复学申请,由研究生院审核合格后,方可办理复学手续。
第二十四条研究生应征参加中国人民解放军,学校可保留其学籍至退役后一年。
服役时间不计入修业年限。
第二十五条研究生休学期间违反校纪者,按《复旦大学学生违纪处分条例》处理。
第五章退学第二十六条研究生在学期间如有下列情况之一者,经导师提出,院系主管领导同意,报研究生院审核批准,予以退学:(一)学业成绩未达到学校要求或者在学校规定年限内(含休学)未完成学业的;(二)休学期满,在学校规定期限内未提出复学申请或者申请复学经复查不合格的;(三)经学校指定医院诊断,患有疾病或者意外伤残无法继续在校学习的;(四)未经请假离校两周未参加学校规定的教学活动的;(五)在学校规定期限内无正当理由逾期两周未注册的;(六)本人申请退学的。
第二十七条研究生因私出国留学,按国家有关规定办理离校等相关手续的同时,可申请保留学籍一年。
第二十八条经批准退学的研究生,自批准之日起不再具有复旦大学研究生身份。
第二十九条对研究生的退学处理,由校长办公会议研究决定。
学校出具退学决定书并送交本人,同时报上海市教育行政部门备案。
第三十条退学的研究生,按已有毕业学历和就业政策可以就业的,由学校报所在地毕业生就业部门办理相关手续;在办理退学后二个月内没有聘用单位的,档案、户口退回其家庭户籍所在地。
定向或委托培养的研究生,退回定向或委托培养单位。
第三十一条研究生对退学等学籍处理有异议的,可按照《复旦大学学生申诉处理条例》提出申诉。
第六章毕业、结业、肄业第三十二条研究生在学校规定的年限内按培养方案的规定,完成所有课程和必修环节,成绩合格,完成毕业论文并通过答辩,准予毕业,由学校发放毕业证书。
第三十三条研究生达到毕业要求的,应由本人在预计毕业前三个月提出申请,导师及院系主管领导同意,报研究生院审批,可以进行学位论文答辩,答辩通过者准予毕业。
第三十四条延长修业期的研究生,延长修业期内学校不发培养费及奖学金。
第三十五条研究生在规定的学习年限内完成培养计划规定的学习内容,但学业成绩和相应的环节未达到毕业要求或毕业论文未能通过者,准予结业,由学校发给结业证书。
学生结业后,学校不再受理其修读事宜。
学满一学年以上退学的研究生,学校发给肄业证书,但处于休学期的研究生不能颁发肄业证书。
第三十六条毕业、结业、肄业证书和学位证书遗失或者损坏,经本人申请,研究生院核实后出具相应的证明书。
证明书与原证书具有同等效力。
第三十七条研究生就业按国家当年的就业原则及有关政策规定办理,并在学校规定的时间内办理离校手续。
第七章附则第三十八条本规定适用于全校研究生。
研究生中的港澳台侨生、留学生的学籍管理参照本规定执行。
第三十九条本规定自2005年9月1日起生效,但本规定第二章第8条从2005级研究生开始实行。