电子科大随机信号分析随机信号分析试题A卷答案
- 格式:docx
- 大小:221.62 KB
- 文档页数:5
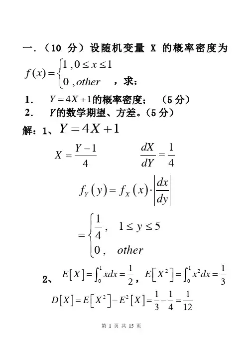
一.(10分)设随机变量X 的概率密度为1,01()0,x f x other ≤≤⎧=⎨⎩,求:1. 41Y X =+的概率密度; (5分)2. Y 的数学期望、方差。
(5分)解:1、41Y X =+14Y X -= 14dX dY =()()Y X dx f y f x dy =⋅1,1540,y other ⎧≤≤⎪=⎨⎪⎩2、 []1012E X xdx ==⎰,122013E X x dx ⎡⎤==⎣⎦⎰[][]221113412D X E X E X ⎡⎤=-=-=⎣⎦[][]1414132E Y E X =+=⨯+= [][][]441163D Y D X D X =+==二、 (10分)若随机变量X 的概率特性如下,求其相应的特征函数:(1)X 为常数c ,即{}1P X c ==;(3分)(2)(-3,3)伯努利分布:()0.4(3)0.6(3)f x x x δδ=-++(3分)(3)指数分布:303(),0xx e f x -≥⎧=⎨⎩其他(4分) 解:(1)()jvX jvc jvc X v E e E e e φ⎡⎤⎡⎤===⎣⎦⎣⎦(2)()0.4(3)0.6(3)f x x x δδ=-++()3333()0.40.60.40.6jv jvX jv X j v j v v E e e e e e φ--⎡⎤⎢⎥⎣⎦==⨯+⨯=+(3)303(),0xx e f x -≥⎧=⎨⎩其他33(),()33X X v v jv jv φφ-==+-三、(15分)设有随机过程()cos X t A t π=,其中A 是均值为零,方差是2的正态随机变量,求:(1) X(t)的均值函数和自相关函数;(4分)(2) X(1)和14X ⎛⎫ ⎪⎝⎭的概率密度函数;(8分)(3) X(t)是否为广义平稳随机过程?(3分)解:(1)[()][cos ][]cos 0E X t E A t E A t ππ=== 2(,)[cos ()cos ][]cos ()cos 2cos ()cos cos (2)cos X R t t E A t A t E A t tt tt τπτππτππτππτπτ+=+=+=+=++与t 有关(2 ) 注意正态随机变量的线性变换仍然是正态随机变量。
2.12.22.3 掷一枚硬币定义一个随机过程:cos t 出现正面X(t)2t 出现反面设“出现正面” 和“出现反面” 的概率相等。
试求:( 1 ) X(t) 的一维分布函数F X (x,12) ,F X (x,1);(2) X(t)的二维分布函数F X ( x1, x2 ;1 2,1) ;(3)画出上述分布函数的图形。
2.3 解:1)一维分布为:F X (x;0.5) 0.5u x 0.5u x 1F X (x;1) 0.5u x 1 0.5u x 2X (0.5) 0, X (1) 1 , 依概率 0.5发生X (0.5) 1, X (1) 2 ,依概率 0.5发生 二维分布函数为F ( x 1, x 2 ;0.5,1) 0.5u x 1,x 2 1 0.5u x 1 1,x 2 22.4 假定二进制数据序列 {B(n), n=1, 2, 3, , .} 是伯努利随机序列, 其每一位数据对 应随机变量 B(n) ,并有概率 P[B(n)=0]=0.2 和P[B(n)=1]=0.8 。
试问,( 1)连续 4 位构成的串为 {1011}的概率是 多少?(2)连续 4 位构成的串的平均串是什么?( 3)连续 4 位构成的串中,概率最大的 是(2) cos X(t) c 2o t s 出现正面出现反面什么?( 4 )该序列是可预测的吗?如果见到10111后,下一位可能是什么?2.4 解:解:(1)P 1011P B n 1 P B n 1 0 P B n 2 1 P B n 3 10.8 0.2 0.8 0.8 0.10242)设连续 4 位数据构成的串为B(n) ,B(n+1) ,B(n+2) ,B(n+3) ,n=1, 2, 3,⋯.其中B(n) 为离散随机变量,由题意可知,它们是相互独立,而且同分布的。
所以有:3k串(4bit 数据)为:X (n) 2k B(n k),k0其矩特性为:因为随机变量B(n) 的矩为:均值: E[B(n)] 0 0.2 1 0.8 0.802 0.2 12 0.8 0.8220.8 0.82 0.16 所以随机变量 X(n) 的矩为:均值:3E[X(n)] E k0332k E B(n k) 2k 0.8 12k 0 k 0方差:3k D[X(n)] D 2k B(n k) k03 2 3 2k 2 D B(n k) 4k 0.16 13.6k 0 k 0如果将 4bit 串看作是一个随机向量 , 则随机向量的均值和方差为: 串平均 :B n ,B n 1 ,B n 2 ,B n 3 0.8,0.8,0.8,0.8方差:Var B(n) Bn 2Bn 2k B(n k)串方差:Var B n ,B n 1 ,B n 2 ,B n 30.16,0.16,0.16,0.163) 概率达到最大的串为1,1,1,14) 该序列是不可预测的,因为此数据序列各个数据之间相互独立,下一位数据是0 或1,与前面的序列没有任何关系。
随机信号分析课后习题答案随机信号分析课后习题答案随机信号分析是现代通信系统设计和信号处理领域中的重要基础知识。
通过对随机信号的分析,我们可以更好地理解和处理噪声、干扰等随机性因素对通信系统性能的影响。
下面是一些关于随机信号分析的课后习题及其答案,希望对大家的学习有所帮助。
1. 什么是随机信号?随机信号是在时间域上具有随机性质的信号。
与确定性信号不同,随机信号的每个样本值都是随机变量,其取值不是确定的。
随机信号可以用统计特性来描述,如均值、方差、功率谱密度等。
2. 什么是平稳随机信号?平稳随机信号是指在统计性质上不随时间变化的随机信号。
具体来说,平稳随机信号的均值和自相关函数不随时间变化。
平稳随机信号在实际应用中较为常见,因为它们具有一些方便的数学性质,可以简化信号处理的分析和设计。
3. 如何计算随机信号的均值?随机信号的均值可以通过对信号样本值的求平均来计算。
对于离散时间随机信号,均值可以表示为:E[x[n]] = (1/N) * Σ(x[n])其中,E[x[n]]表示信号x[n]的均值,N表示信号的样本数,Σ表示求和运算。
4. 如何计算随机信号的方差?随机信号的方差可以用均方差来表示。
对于离散时间随机信号,方差可以表示为:Var[x[n]] = E[(x[n] - E[x[n]])^2]其中,Var[x[n]]表示信号x[n]的方差,E[x[n]]表示信号的均值。
5. 什么是自相关函数?自相关函数是用来描述随机信号与其自身在不同时间延迟下的相似性的函数。
自相关函数可以用来分析信号的周期性、相关性等特性。
对于离散时间随机信号,自相关函数可以表示为:Rxx[m] = E[x[n] * x[n-m]]其中,Rxx[m]表示信号x[n]的自相关函数,E[ ]表示期望运算。
6. 如何计算随机信号的自相关函数?随机信号的自相关函数可以通过对信号样本值的乘积进行求平均来计算。
对于离散时间随机信号,自相关函数可以表示为:Rxx[m] = (1/N) * Σ(x[n] * x[n-m])其中,Rxx[m]表示信号x[n]的自相关函数,N表示信号的样本数,Σ表示求和运算。
随机信号分析习题一1. 设函数⎩⎨⎧≤>-=-0 ,0 ,1)(x x e x F x ,试证明)(x F 是某个随机变量ξ的分布函数.并求下列概率:)1(<ξP ,)21(≤≤ξP 。
2. 设),(Y X 的联合密度函数为(), 0, 0(,)0 , otherx y XY e x y f x y -+⎧≥≥=⎨⎩, 求{}10,10<<<<Y X P 。
3. 设二维随机变量),(Y X 的联合密度函数为⎥⎦⎤⎢⎣⎡++-=)52(21exp 1),(22y xy x y x f XY π 求:(1)边沿密度)(x f X ,)(y f Y(2)条件概率密度|(|)Y X f y x ,|(|)X Y f x y4. 设离散型随机变量X 的可能取值为{}2,1,0,1-,取每个值的概率都为4/1,又设随机变量3()Y g X X X ==-。
(1)求Y 的可能取值 (2)确定Y 的分布. (3)求][Y E 。
5. 设两个离散随机变量X ,Y 的联合概率密度为:)()(31)1()3(31)1()2(31),(A y A x y x y x y x f XY --+--+--=δδδδδδ试求:(1)X 与Y 不相关时的所有A 值。
(2)X 与Y 统计独立时所有A 值。
6. 二维随机变量(X ,Y )满足:ϕϕsin cos ==Y Xϕ为在[0,2π]上均匀分布的随机变量,讨论X ,Y 的独立性与相关性。
7. 已知随机变量X 的概率密度为)(x f ,求2bX Y =的概率密度)(y f .8. 两个随机变量1X ,2X ,已知其联合概率密度为12(,)f x x ,求12X X +的概率密度?9. 设X 是零均值,单位方差的高斯随机变量,()y g x =如图,求()y g x =的概率密度()Y f y\10. 设随机变量W 和Z 是另两个随机变量X 和Y 的函数222W X Y Z X⎧=+⎨=⎩ 设X ,Y 是相互独立的高斯变量。
C = *第0章1/1;1/ 2;1/ 3;1/4;1/ 5;1/ 6;2 /1;2 / 2;2 / 3;2 /4;2 / 5;2/6;3/l;3/2;3/3;3/4;3/5;3/6;4/l;4/2;4/3;4/4;4/5;4/6;5/l;5/2;5/3;5/4;5/5;5/6;6/l;6/2;6/3;6/4;6/5;6/64 = {l/l;2/2;3/3;4/4;5/5;6/6}1/5;!/ 6;2 /4;2 / 5;2 / 6;3 / 3;3 / 4;3 / 5;3 / 6;4 / 2;4 / 3;4 / 4;4 / 5;'4/6;5/l;5/2;5/3;5/4;5/5;5/6;6/l;6/2;6/3;6/4;6/5;6/6 /1 /1;1 / 2;1 / 3;1 / 4;1 / 5;1 / 6;2 /1;2 / 2;2 / 3;2 / 4;2 / 5;2 / 6;3 /1;3 / 2;'3/3;3/4;3/5;3/6;4/l;4/2;4/3;5/l;5/2;5/3;6/l;6/2;6/3B =0.2(2)'0用)=x < 00<x<30x 2/12 2x -3-x 2/4,3<x <41 x>4P (l<x<7/2)=f^v +⑴⑶0.3E (X )= L 2<T :t/r = £ ~^y %dy =E (X2)=「Ji 奇dx = 了241a\^e~y 晶尸dy = 2a 2r (2)= 2a 2o(x)=£(/)-(研x))2=2尸_m S=04292S 0.4⑴£(Jf)=(-1)x03+0x0.44-1x03=0£(K)=1x0.4+2x0.2+3x0.4=2(2)由于存在X=0的情况,所以研Z)不存在(3)E(Z)=(-1-1)2x0.2+(-1-2)2xO.l+(O-l)2xO.l+(0-3)2x0.3+(l-l)2xO.1+0-2)2x0.1+(1-3)2x0.1=5 0.5X=ln*,当\dy\=^M=^e(Iny-mf2/”00.6t2+勺血s=£0<x<l,0<.y<2f32\X x~.—+—s as=(363-)7X*i X丁-312=诉号>=2尸号间=fp+导=土名/(x)0.7££be~^x+y^dxdy=[/>(1-e~'\~y dy=/>(1-e-,)= 1,/>=(!—e~x尸/(x)=he~x Ve-y dy=—^e~x fi<x<\f(y)=be~y^e~x dx—e~y,y>00.8(1)x,v不独立⑵F(z)=££~'|(X+yY{x+y}dxdy=£|/『(xe~x +ye~x}ixdy =g按(1一(1+Z一*片5+*(]_e-(z-y)肱,=]_]+z+/2\2f(z)=F'(z)=\+z+—e~:-(1+z)e~z=—e-2,z>0、2)20.9。
1.设随机过程21)(cos )(2-Θ+=t t X ω,Θ 是随机变量,其特征函数为)(υφΘ。
证明:)(t X 是广义平稳随机过程的充要条件是0)4()2(==ΘΘφφ。
证明:(1))(t X 的均值为:()21()[()][cos ()]2111[1cos 2()][cos(22)]22211cos(2)[cos(2)]sin(2)[sin(2)]22X m t E X t E t E t E t t E t E ωωωωω==+Θ-=++Θ-=+Θ=Θ-Θ由上式可知,当且仅当0)]2sin()2[cos(][)2(2=Θ+Θ==ΘΘj E e E j φ时,()0X m t =,才与t 无关。
(2))(t X 的相关函数为:22(,)[()()]11[(cos ())(cos ())]2211[cos(222)cos(22)]22[cos(2)][cos(424)]811cos(2)cos(42)[cos(4)]881sin(42)][sin(4)]8X R t t E X t X t E t t E t t E E t t E t E ττωωτωωωτωωτωωτωτωωτωωτ+=+=++Θ-+Θ-=++Θ⨯+Θ+++Θ==++Θ-+Θ同理可得,当且仅当0)]4sin()4[cos(][)4(4=Θ+Θ==ΘΘj E eE j φ时,)cos(21),(ωττ=+t t R X 与t 无关。
2.设随机过程)sin()(0Θ+Ω=t A t X ,其中0A 为常数,ΘΩ和为相互独立的随机变量,Ω在]2010[ππ内均匀分布,Θ在]20[π内均匀分布。
证明:(1) )(t X 是广义平稳随机信号;(2) )(t X 的均值是各态历经的。
解: (1)00000[()][sin()][sin()cos()cos()sin())][sin()][cos()][cos()][sin())]0E X t E A t E A t A t A E t E A E t E =Ω+Θ=ΩΘ+ΩΘ=ΩΘ+ΩΘ= 202020(,)[()()][sin()sin()]cos()cos(22)2cos()2X R t t E X t X t A E t t t A E A E ττττττ+=+=Ω+Ω+ΘΩ+ΘΩ-Ω+Ω+Θ⎡⎤=⎢⎥⎣⎦Ω⎡⎤=⎢⎥⎣⎦所以)(t X 是广义平稳随机信号 (2)[]00000001[()][sin()]lim sin()lim sin()lim cos()|0TT T T T T A X t A A t A t dtT A A t d t t T T →+∞→+∞→+∞=Ω+Θ=Ω+Θ=Ω+ΘΩ=-Ω+Θ=ΩΩ⎰⎰时间平均等于统计平均,所以)(t X 的均值是各态历经的。
电子科技大学2014-2015学年第 2 学期期 末 考试 A 卷一、设有正弦随机信号()cos X t V t ω=,其中0t ≤<∞,ω为常数,V 是[0,1)均匀分布的随机变量。
( 共10分)1.画出该过程两条样本函数。
(2分)2.确定02t πω=,134t πω=时随机信号()X t 的一维概率密度函数,并画出其图形。
(5分)3.随机信号()X t 是否广义平稳和严格平稳?(3分)解:1.随机信号()X t 的任意两条样本函数如题解图2.1(a)所示:t2.当02t πω=时,()02X πω=,()012P X πω⎡⎤==⎢⎥⎣⎦,此时概率密度函数为:(;)()2X f x x πδω= 当34t πω=时,32()42X V πω=-,随机过程的一维概率密度函数为:232,0(;)240,X x f x others πω⎧-<<⎪=⎨⎪⎩3. ()[]1cos cos 2E X t E V t t ωω==⎡⎤⎣⎦ 均值不平稳,所以()X t 非广义平稳,非严格平稳。
二、设随机信号()()sin 2X n n πφ=+与()()cos 2Y n n πφ=+,其中φ为0~π上均匀分布随机变量。
( 共10分)1.求两个随机信号的互相关函数12(,)XY R n n 。
(2分)2.讨论两个随机信号的正交性、互不相关性与统计独立性。
(4分)3.两个随机信号联合平稳吗?(4分) 解:1.两个随机信号的互相关函数()()()()()()()121212121212(,)sin 2cos 21sin 222sin 2221sin 2202XY R n n E X n Y n E n n E n n n n n n πφπφππφππππ=⎡⎤⎣⎦=++⎡⎤⎣⎦=+++-⎡⎤⎣⎦=-=其中()12sin 2220E n n ππφ++=⎡⎤⎣⎦2. 对任意的n 1、n 2 ,都有12(,)0XY R n n =,故两个随机信号正交。
15秋《随机信号与系统》在线作业2一、单选题(共10 道试题,共40 分。
)1. 已知一随机信号X(t)是平稳的,则其均值可能是()。
A. 2tB. t+2C. 2D. 以上都不可能正确答案:C2. 随机变量X~N(0,a),那么Y=2X+2的均值为()。
A. aB. 0C. 2D. 不确定正确答案:C3. A与B是两个独立的随机变量,且A~N(0,a),B~N(0,b),则信号X=Asinwt+Bsinwt的均值为()。
A. asin(wt)B. 0C. bsin(wt)D. a+b正确答案:B4. 随机变量X~N(0,a),那么Y=2X的均值为()。
A. aB. 0C. 4aD. 不确定正确答案:B5. 已知伯努利序列{Xn,n=1,2...},其中,各个Xn是取值为(0,1)的独立分布随机变量,且取1的概率为p,则该伯努利序列的均值为()。
A. pB. 1-pC. p/2D. 2p正确答案:A6. 均值为零的白噪声通过LTI 系统后的输出噪声的均值为()。
A. 2B. 0C. 1D. 不确定正确答案:B7. 随机信号X(t)通过一个LTI 系统H(jw)=2/(jw+2),已知输出Y(t)的均值为2,则X(t)的均值为()。
A. 2B. 1C. 1/2D. 4正确答案:A8. 下列哪个函数可能是实平稳信号的相关函数()其中t=t2-t1()。
A. R(t)=2tB. R(t)=2+tC. R(t)=t2D. R(t)=4-t2正确答案:D9. 已知一个随机信号的自相关函数R(t1,t2)=2(t1-t2),则该随机信号的均方差为()。
A. 0B. t1C. t1-t2D. t2正确答案:A10. 随机变量X服从均匀分布[a,b],则X的均值为()。
A. a/2B. b/2C. (a+b)/2D. (b-a)/2正确答案:C15秋《随机信号与系统》在线作业2二、多选题(共 5 道试题,共30 分。
一、已知随机变量X 服从11,22⎡⎤-⎢⎥⎣⎦区间的均匀分布,Y 是取值为(-1,1)的二值随机变量,且满足1[1][1]2P Y P Y =-===。
若X 和Y 彼此统计独立,求随机变量Z X Y =+的: 1、概率密度函数()Z f z 。
2、特征函数()Z v Φ。
解:1、随机变量X 均服从11,22⎡⎤-⎢⎥⎣⎦区间的均匀分布,111,()()220,X x f x rect x otherwise ⎧-≤≤⎪==⎨⎪⎩11()(1)(1)22Y f y x x δδ=++-由于X 和Y 彼此统计独立,所以11()()()(1)22Z X Y f z f z f z rect z rect=*=++131/2,220,z otherwise ⎧≤≤⎪=⎨⎪⎩2、()2rect z Sa ω⎛⎫⇔ ⎪⎝⎭且 ()()FTz z f z v Φ-所以()1()cos 222j j z v Sa e e Sa ωωωωω-⎛⎫⎛⎫Φ=+= ⎪ ⎪⎝⎭⎝⎭二、取值()0,1,等概分布的独立半随机二进制传输信号()X t ,时隙长度为0T ,问:1、信号的均值函数()E X t ⎡⎤⎣⎦。
2、信号的自相关函数(),X R t t τ+。
3、()X t 的一维概率分布函数();X F x t 和二维概率分布函数()1212,;,X F x x t t 。
解:1、()00.510.50.5X t E =⨯+⨯=⎡⎤⎣⎦2、当,t t τ+在同一个时隙时:[]222(,)()()[()]00.510.50.5X R t t E X t X t E X t ττ+=+==⨯+⨯=当,t t τ+不在同一个时隙时:[][][](,)()()()()0.50.50.25X R t t E X t X t E X t E X t τττ+=+=+=⨯= 1、 一维分布:()()();0.50.51X F x t u x u x =+-二维分布:当12,t t 在同一个时隙时 ()[][12121212,;,0.5,0.51,X F x x t t u x x u x x =+--当12,t t 不在同一个时隙时:()121211221112,;,[(),()][()][()]X F x x t t P X t x X t x P X t x P X t x =≤≤=≤≤()()()1212120.25,0.251,0.25,10u x x u x x u x x =+-+-+三、广义平稳高斯随机信号X (t )、Y(t )具有均值各态历经性,其功率谱如下图所示。
第1页 共7页2009年 考试时间 120 分钟一.填空题(共15分,每题3分)1.平稳随机过程X(t)的自相关函数2()52X R eττ-=+,则方差()D X t ⎡⎤⎣⎦= 。
2. 已知()()()0exp 2z t j f t π=+ψ,f 0为载波频率常数,随机相位ψ为[],ππ-区间均匀分布的随机变量,则Z(t)的自相关()z R τ= 。
3.自相关函数为()X R τ的平稳随机信号X(t)通过冲激响应h(t)的线性系统后,输出信号Y(t)的自相关函数为表示为 。
4. 平稳随机过程的功率谱为28()4X S w w=+,[],w ∈-∞∞,该过程的平均功率为 。
5. X(t)和Y(t)为不相关的平稳随机过程,设E[X(t)]=m X ,E[Y(t)]=m Y 。
则互谱密度()XY S w = 。
二.回答题(共10分,每题2分)1. 随机过程的连续和确定性函数连续的区别是什么?2. 为什么要研究随机过程的遍历性?3.为什么均值函数和协方差函数就可以完整描述正态随机过程?4.功率谱密度如图2所示(见本试卷第7题上方,第6页)的高斯噪声信号,对应的自相关函数如下图,对这个噪声进行采样,在什么条件下,采样样本是相互独立的?5. 马氏链状态的周期性和非周期性如何定义?三.(15分)设随机过程()0()cos X t w t =H +Φ,其中0w 为常数,H 为服从均值为1、方差为4的正态随机变量,Φ在()0,2π上均匀分布,且和H 统计独立,试讨论X(t)的均值、自相关函数、遍历性?第2页 共7页四.(15分)设{}0,>n X n 是一个具有三个状态1, 2, 3的齐次马氏链,其一步转移概率矩阵为1/21/41/41/201/2010P ⎡⎤⎢⎥=⎢⎥⎢⎥⎣⎦(1) 画出状态转移图,并判断状态类型; (2) 求3步转移概率()213p ;(3) 求()()11112,3f f 以及状态1的平均返回时间1u ;(提示:()1i iin u nf n ∞==∑)五.(20分)输入宽平稳随机信号X(t )的功率谱密度为()22416X w S w w +=+,系统传递函数可以近似为图1所示的低通FIR 滤波器,计算(1)低通滤波器输出信号Y(t )的功率谱密度; (2)计算系统的等效噪声带宽;(3)设计针对上述输入X(t )的白化滤波器。
电子科技大学2014-2015学年第 2 学期期 末 考试 A 卷一、设有正弦随机信号()cos X t V t ω=,其中0t ≤<∞,ω为常数,V 是[0,1)均匀分布的随机变量。
( 共10分)1.画出该过程两条样本函数。
(2分)2.确定02t πω=,134t πω=时随机信号()X t 的一维概率密度函数,并画出其图形。
(5分)3.随机信号()X t 是否广义平稳和严格平稳?(3分)解:1.随机信号()X t 的任意两条样本函数如题解图2.1(a)所示:t2.当02tπω=时,()02Xπω=,()012P Xπω⎡⎤==⎢⎥⎣⎦,此时概率密度函数为:(;)()2Xf x xπδω=当34tπω=时,32()42X Vπω=-,随机过程的一维概率密度函数为:232,0(;)240,Xxf xothersπω⎧-<<⎪=⎨⎪⎩3. ()[]1cos cos2E X t E V t tωω==⎡⎤⎣⎦均值不平稳,所以()X t非广义平稳,非严格平稳。
二、设随机信号()()sin 2X n n πφ=+与()()cos 2Y n n πφ=+,其中φ为0~π上均匀分布随机变量。
( 共10分)1.求两个随机信号的互相关函数12(,)XY R n n 。
(2分)2.讨论两个随机信号的正交性、互不相关性与统计独立性。
(4分)3.两个随机信号联合平稳吗?(4分)解:1.两个随机信号的互相关函数()()()()()()()121212121212(,)sin 2cos 21sin 222sin 2221sin 2202XY R n n E X n Y n E n n E n n n n n n πφπφππφππππ=⎡⎤⎣⎦=++⎡⎤⎣⎦=+++-⎡⎤⎣⎦=-=其中()12sin 2220E n n ππφ++=⎡⎤⎣⎦2. 对任意的n 1、n 2 ,都有12(,)0XY R n n =,故两个随机信号正交。
《随机信号分析》试题1.考试形式:闭卷;2.考试日期:2011年11月23日;3.本试卷共8大题,满分100分。
一.填空与简答题(共30分,每小题3分)1.设()X t 为平稳过程,其自相关函数是以T 为周期的函数,即()()ττ+=X X R T R ,则有2{[()()]}-+=E X t X t T 。
2.已知{} ,2,1,=n X n 为仅取0或1的齐次马氏链,且{}6.0011===-N N X X P ,{}3.0111===-N N X X P ,则{}100N N P X X -=== ,{}=====00,1,11432X X X X P 。
3.设随机过程()X t 的数学期望为2[()]35E X t t =+,则随机过程2()()dX t Y t t t dt =+的数学期望为 。
4.某电话交换台在时间[0,]t 上受理的呼叫次数()X t 是泊松过程,其平均呼叫次数2λ=次/分钟,则在5分钟内电话呼叫次数为3次的概率为 ;泊松增量过程()()()X t t X t Y t t+∆-=∆的均值为 。
5.若输入信号()X t 是正态的,具有零均值的随机过程,其自相关函数为)(τX R ,经过某系统后,输出信号为2()()Y t bX t a =+,其中a 、b 为常数,则输出随机过程()Y t 的自相关函数()Y R τ= 。
6.线性系统输入为高斯过程,输出也是高斯过程。
若输入为非高斯过程,在什么条件下,系统的输出近似为高斯过程?7.一个均值具有遍历性的随机过程()X t 通过RC 低通滤波器的输出信号为()Y t ,问()Y t 的均值是否具有遍历性,并说明理由。
8.说明齐次马氏链平稳性的物理意义。
试问平稳的马氏链一定是遍历的吗?9.判断图1中的两条函数曲线是否为平稳过程的正确的自相关函数曲线,并说明理由。
()a ()b图110.简述随机过程的定义。
用什么来完整描述随机过程的统计特性?二.计算题(共70分,第1小题10分,其余五个小题各12分)1.已知随机过程()2sin X t V t =,其中V 是均值为3,方差为1的随机变量,求随机过程201()()Y t X d t πλλ=⎰的均值、相关函数、协方差函数和方差。
电子科技大学二零零 六 至二零零 七 学年第 2 学期期 末 考试《 随机信号分析 》 课程考试题 A 卷 ( 120 分钟) 考试形式:一页纸开卷 考试日期 200 7 年 7 月 5 日课程成绩构成:平时 20 分, 期中 10 分, 实验 0 分, 期末 70 分1. 设两个平稳随机过程()()cos U t t =+Θ和()()sin V t t =+Θ,其中Θ是在[],ππ-上均匀分布的随机变量。
问: 1) 这两个过程是否联合平稳?2) 这两个过程是否正交、互不相关和统计独立?(10分) 解:1)()()()()()()12121212,cos sin 11sin 2sin sin 22UV R t t E t t E t t t t τ=+Θ+Θ⎡⎤⎣⎦=++Θ--=-⎡⎤⎣⎦ 所以,这两个过程是联合平稳的 2)()()121,sin 2UV R t t τ=-不恒为零,所以()()U t V t 和不正交 又 ()()0E U t E V t ==⎡⎤⎡⎤⎣⎦⎣⎦ 所以()()()1sin 2UV UV C R τττ==-不恒为零,所以()()U t V t 和相关 ()()22U t V t +=1,()()U t V t 和不统计独立2、设{(),},{(),}X t t T Y t t T ∈∈是零均值的实联合广义平稳随机信号,它们的相关函数分别为(),()X Y R R ττ,互相关函数为()XY R τ,如果()(), ()()X Y XY YX R R R R ττττ==--若(),()X t Y t 的谱密度为(),()X Y S S ωω,互谱密度为()X Y S ω,试求00()()cos()()sin()Z t X t t Y t t ωω=+的功率谱密度,其中0ω为常数。
(10分)解:00()()cos()()sin()Z t X t t Y t t ωω=+[][]{}000000(,)()cos()()sin()()cos()()sin()Z R t t E X t t Y t t X t t Y t t ττωωττωωτωω∴+=++++++000000000000000000[()()cos()cos()()()cos()sin() ()()sin()cos()()()sin()sin()]()cos()cos()()cos()sin() X XY E X t X t t t X t Y t t t Y t X t t t Y t Y t t t R t t R t t τωτωωτωωτωτωωτωτωωτωτωωτωτωωτω=++++++++++=+++000000()sin()cos()()sin()sin()YX Y R t t R t t τωωτωτωωτω++++由于(),()X t Y t 联合广义平稳,所以()()XY YX R R ττ=-,加之()(), ()()X Y XY YX R R R R ττττ==--, 所以()()0XY YX R R ττ==,即(),()X t Y t 正交。
电子科技大学电子科大16秋《随机信号与系统》在线作业3一、单选题(共10 道试题,共40 分。
)1. 随机信号X(t,w)当时间变量t固定是,此函数为()。
A. 随机信号B. 随机变量C. 样本函数D. 随机过程正确答案:2. 连续投两次硬币,两次的结果是一样的概率是()。
A. 1/4B. 1/8C. 1/2D. 1正确答案:3. 若N(t)是方差为a的零均值独立高斯过程,则它在不同的两个时刻的相关函数是()。
A. 0B. aC. 不确定正确答案:4. 已知X(t)=Acos(wt+θ),其中θ在[0,2*pi]上均匀分布,A为常数,则X(t)的均值为()。
A. 1B. AC. 0D. w正确答案:5. 随机变量X~N(0,a),那么Y=2X的均值为()。
A. aB. 0C. 4aD. 不确定正确答案:6. 均值为零的白噪声通过LTI系统后的输出噪声的均值为()。
A. 2B. 0C. 1D. 不确定正确答案:7. 已知X(t)=Acos(wt+θ),其中θ在[0,2*pi上均匀分布,A服从均值为0的高斯分布,A与θ相互独立,则X(t)的均值为()。
A. 0B. AC. 1D. w正确答案:8. 高斯信号X(t)的均值为u,方差d2,Y(t)=3X(t),Y(t)的方差为()。
A. uB. d2C. 3uD. 9d2正确答案:9. 随机信号X(t)均值为2,通过一个LTI系统H(jw)=1/(jw+2),则输出Y(t)的均值为()。
A. 2B. 1C. 1/2D. 0正确答案:10. 已知一随机信号X(t)是平稳的,则其均值可能是()。
A. 2tB. t+2C. 2D. 以上都不可能正确答案:16秋《随机信号与系统》在线作业3二、多选题(共5 道试题,共30 分。
)1. 以下哪个信号不是随机信号?A. sin(2t)B. cos(2t+θ),θ~U[0,2*pi)C. t+a,a是常数D. 2t正确答案:2. 随机变量X1和X2都是服从均值为0,方差为1的高斯分布的且它们相互独立,Y=X1+X2,对于随机变量Y,下列说法正确的是()。
电子科技大学20 -20 学年第 学期期 考试 卷 课程名称:_________ 考试形式: 考试日期: 20 年 月 日 考试时长:____ 分钟课程成绩构成:平时 %, 期中 %, 实验 %, 期末 % 本试卷试题由_____部分构成,共_____页。
计算、简答、论述、证明、写作等试题模板如下一、若信号00()cos()X t X t ω=++Θ输入到如下图所示的RC 电路网络上,其中0X 为[0,1]上均匀分布的随机变量,Θ为[0,2]π上均匀分布的随机变量,并且0X 与Θ彼此独立,Y (t )为网络的输出。
( 共10分)(1)求Y (t )的均值函数。
(3分)(2)求Y (t )的功率谱密度和自相关函数。
(4分) (3)求Y (t )的平均功率。
(3分)图 RC 电路网路(1)RC 电路的传输函数为()1(1)H j j RC ωω=+()X t 的均值函数为∴ Y (t )的均值函数为 (2)∴()X t 是广义平稳的。
∴()X t 的功率谱为: 功率谱传递函数:221|()|H j RC ωω=1+()根据系统输入与输出信号功率谱的关系可得: 求()Y S ω的傅立叶反变换,可得:(3)2222011(0)328Y Y P R f R C ==++π二、若自相关函数为()5()X R τδτ=的平稳白噪声X (t )作用于冲激响应为()e ()bt h t u t -=的系统,得到输出信号Y (t )。
( 共10分)(1)求X (t )和Y (t )的互功率谱()YX S ω和()XY S ω。
(5分) (2)求Y (t )的矩形等效带宽。
(5分)(1)1()() ()bt h t e u t H j b j ωω-=↔=+ (2) 22222552() ()()2Y X bS S H j b b bωωωωω=⋅==⋅++,25(0)Y S b = 求()Y S ω的傅里叶反变换,得到()Y t 的自相关函数为:5()2b Y R e bττ-=,5(0)2Y R b =∴ ()()()()20015/2202025/4Y eq Y Y Y R b bB S d S S b ωωπ∞====⋅⎰ 三、设有正弦随机信号()cos X t V t ω=,其中0t ≤<∞,ω为常数,V 是[0,1)均匀分布的随机变量。
(共10分)(1)确定4t πω=时随机变量()X t 的概率密度函数,并画出其图形;(4分) (2)当2t πω=时,求()X t 的概率密度函数。
(3分)(3)该信号是否严格平稳?(3分)解:(1)随机信号()X t 的任意两条样本函数如题解图(a)所示:随机过程在不同时刻是不同的随机变量,一般具有不同的概率密度函数:当4t πω=时,()4X πω=,0(;)240,X x f x others πω<<=⎪⎩(2分)在,4i t ππωω=各时刻,随机变量()i X t 的概率密度函数图形如题解图(b) 所示:1103ππ0-1(2分)(2)当02t πω=时,()02X πω=,()012P X πω⎡⎤==⎢⎥⎣⎦,此时概率密度函数为:(;)()2X f x x πδω=(3分) (3)由前面两个小问可知,该信号的一维概率密度与t 有关,故非严格平稳。
(3分) 四. 随机信号()cos X t A t ω=与()()1cos Y t B t ω=-,其中A 与B 同为均值2、方差2σ的高斯随机变量,A 、B 统计独立,ω为非零常数。
(共10分)(1)讨论两个随机信号的正交性、互不相关性、统计独立性;(6分)(2)求22(,;,)XY f x y ππωω。
(4分)解:(1)两个随机信号的均值分别为:()()[]()()(1)cos 1cos cos E Y t E B t E B t t ωωω=-=-⋅=-⎡⎤⎡⎤⎣⎦⎣⎦(1分)互相关函数为: ()()()()()[][]()()()()1212121212,cos (1)cos 1cos cos 2cos cos XY R t t E X t Y t E A t B t E A E B t t t t ωωωωωω==⨯-⎡⎤⎡⎤⎣⎦⎣⎦=⨯-⨯⨯=-⨯(2分)互协方差函数为:()()()()121212,,0XY XY C t t R t t E X t E Y t =-=⎡⎤⎡⎤⎣⎦⎣⎦(1分)()12,XY R t t 不恒为零,故()X t 与()Y t 不正交 ;但()12,0XY C t t =,故()X t 与()Y t 互不相关,又因为()X t 与()Y t 是高斯随机信号,故两者相互独立。
(2分)(2)2X A πω⎛⎫=⎪⎝⎭与21Y B πω⎛⎫=- ⎪⎝⎭, 于是,根据独立性,可得:2222222(2)(1)(2)(1)2222221(,;,)2x y x y XY f x y e σσσππωωπσ-+-++---==(4分)五、设随机变量Z(t)=Xcost+Ysint, -∞<t<∞,其中X 和Y 为相互独立的随机变量,且都以概率3/4和1/4取值2和-6。
讨论随机过程Z(t)的广义平稳性和严格平稳性。
(是否广义平稳和严格平稳各5分,共10分) 解:(1)首先讨论Z(t)的广义平稳性。
因为Z(t)的均值为其中0)6(41243)]([)]([=-⨯+⨯==t Y E t X E ,故0)]([=t Z E ,为常数。
又因为Z(t)的相关函数为因为[][]12)6(412432222=-⨯+⨯==Y E X E故τcos 12)(=t R z由于Z(t)的均值为常数,相关函数为τ的函数,故Z(t)满足广义平稳。
(2)再分析Z(t)的严格平稳性。
因为即Z(t)的三阶矩与时间t 有关,故Z(t)不是严格平稳过程。
六、对于广义平稳随机过程X(t),已知均值0=x m ,方差42=Xσ,问下述函数可否作为自相关函数,为什么?(每小题2分,共10分) (1))(4)(τδτ=X R ; (2))4cos(42)(ττ+=X R ; (3)()12323)(-+=ττX R ;(4)ττ--=e R X 4)(;(5)2sin 4)(⎥⎦⎤⎢⎣⎡=τττX R 。
解:根据平稳随机信号相关函数的性质,(1)否,4)0(≠∞=X R ,和题意不符合; (2)否,6)0(2==X X R σ,和题意不符合;(3) 否,223)0(X X R σ≠=,不符合题意; (4) 否,1)0(-=X R ,不满足非负性;(5)是,符合相关性质。
七、随机过程()t D t C t X cos sin +=,式中,C 和D 为零均值相互独立的随机变量。
讨论()t X 的均值各态历经性与均方值各态历经性。
解:由题意,首先,()[][][]0cos sin =+=t D E t C E t X E ,()[][][]0][cos sin cos sin =+=+=t DA t CA t D t C A t X A ,()[]()[]t X A t X E =,所以()t X 是均值各态历经的, ()[]()[]t X A t X E 22≠,所以()t X 不是均方值各态历经的。
八、已知零均值平稳高斯噪声000()()cos ()sin ,210X t i t t q t t ωωωπ=-=,其功率谱密度如下图所示,试求:1. 同相与正交分量的自相关函数;(4分)2. 同相与正交分量相同时刻的联合密度函数;(4分)S X (ω)2 0-220π -200π200π 220πω3. X(t)的解析信号ˆ()()()Z t X t jXt =+的功率谱密度,并画出它.(2分) 解:1. 因为X (t )是零均值平稳随机信号,所以有:2. 式中202=Xσ同相与正交分量在同一时刻独立,其联合概率密度函数为: 3. X(t)的解析信号的功率谱密度为:S Z (?)=4S X (?)u(?),图形如下九、对于零均值窄带平稳高斯随机过程00()()cos ()sin X t i t t q t t ωω=-,功率谱密度如下图所示,试求:( 共10分)1.()X t 的一维概率密度; (3分) 2.画出()i t 的功率谱密度的图形; (4分) 3.()i t 与()q t 是否正交或不相关?(设0f =100MHz ) (3分) 解:1.()X t 的平均功率一维概率密度为:2.()i t 的功率谱密度,因为X(t)是零均值平稳窄带随机信号,所以, 其图形如下:3. 由于(),()i t q t 的互相关函数()0iq R τ≠,所以他们不正交,相关。
十 、若随机变量X 和Y 有联合概率密度函数(此题不要求,2016年5月25日注解) 试求:(1)边缘概率密度函数)(x f X ,)(y f Y ; (2)条件概率密度函数)(x y f X Y ,条件均值[]x X Y E =。
解:10π-10π。