材料力学公式大全
- 格式:doc
- 大小:1.42 MB
- 文档页数:19
材料力学公式汇总一、应力与强度条件 1、拉压σmax N=A≤[σ]max4、平面弯曲①σmax=②σtmax=σcmaxMWz≤[σ]max2、剪切τmax=Q≤[τ] A挤压σ挤压=P挤压A≤σ挤压[]Mmaxytmax≤[σtmax] IzM=maxycmax≤[σcnax]IzIz⋅b*③τmax=QmaxSz max≤[τ]3、圆轴扭转τmax=5、斜弯曲σmax= T≤[τ] Wt≤[σ]maxMzMy+WzWy6、拉(压)弯组合σmax=σtmax=NM+AWz≤[σ]maxMzNMzN+ytmax≤[σt] σcmax=ycmax-≤[σc] AIzIzA注意:“5”与“6”两式仅供参考 7、圆轴弯扭组合:①第三强度理论σr3=②第四强度理论σr4=二、变形及刚度条件 NL1、拉压∆L==EANiLi=EAN(x)dxEA2w2+4τn==22Mw+MnWzWz≤[σ]≤[σ]2w2+3τn22Mw+0.75Mn∑⎰LTiLiT(x)dxTLΦT1800=∑=⋅2、扭转Φ= φ== ( /m)GIpGIpGIpLGIpπ⎰3、弯曲(1)积分法:EIy''(x)=M(x) EIy'(x)=EIθ(x)=⎰M(x)dx+C EIy(x)=[M(x)dx]dx+Cx+D (2)叠加法:f(P1,P2)…=f(P1)+f(P2)+…,θ(P1,P2)=θ(P1)+θ(P2)+…(3)基本变形表(注意:以下各公式均指绝对值,使用时要根据具体情况赋予正负号)MALq⎰⎰PALBBALBMLPL2qL3θB= θB= θB=EI2EI6EIqL4ML2PL3fB= fB= fB=8EI3EI2EIMLMLqL3PL2,θA= θB=θA= θB=θA= θB=6EI3EI24EI16EIqL4ML2PL3fc= fc= fc= 16EI48EI384EI(4)弹性变形能(注:以下只给出弯曲构件的变形能,并忽略剪力影响,其他变形与此相似,不予写出)Mi2LiM2LM2(x)dx=∑= U=2EIi2EI2EI⎰(5)卡氏第二定理(注:只给出线性弹性弯曲梁的公式)∆i=M(x)∂M(x)∂U=∑dx EI∂Pi∂Pi⎰三、应力状态与强度理论1、二向应力状态斜截面应力σx+σyσx-σyσx-σyσα=+cos2α-τxysin2α τα=sin2α+τxyco2sα 2222、二向应力状态极值正应力及所在截面方位角σx-σy2-2τxyσmaxσx+σy2=±()+τxy tg2α0= σminσx-σy223、二向应力状态的极值剪应力τmax=(σx-σy22)2+τxy0注:极值正应力所在截面与极值剪应力所在截面夹角为454、三向应力状态的主应力:σ1≥σ2≥σ3σ-σ3最大剪应力:τmax=1 25、二向应力状态的广义胡克定律(1)、表达形式之一(用应力表示应变)τxy11μεx=(σx-μσy) εy=(σy-μσx) εz=-(σx+σy) γxy= EEEG(2)、表达形式之二(用应变表示应力)σx=E1-μ2(εx+μεy) σy=E1-μ2(εy+μεx) σz=0 τxy=Gγxy6、三向应力状态的广义胡克定律εx=τxy1σx-μσy+σz (x,y,z) γxy= (xy,yz,zx) EG[()]27、强度理论(1)σr1=σ1≤[σ1] σr2=σ1-μ(σ2+σ3)≤[σ] [σ]=(2)σr3=σ1-σ3≤[σ] σr4=σbnb1(σ1-σ2)2+(σ2-σ3)2+(σ3-σ1)2≤[σ] [σ]=σsns28、平面应力状态下的应变分析εx+εyεx-εy⎛γxy⎫⎪sin2α (1)εα=+cos2α- - ⎪22222⎛εx-εy⎫⎛γxy⎫εmaxεx+εy⎪+ ⎪ =±(2)⎪⎪εmin2⎝2⎭⎝2⎭⎛γxy⎛γα⎫εx-εysin2α+ -⎪= -22⎝2⎭⎝⎫⎪co2sα ⎪⎭γxytg2α0=εx-εy四、压杆稳定1、临界压力与临界应力公式(若把直杆分为三类)π2EIminπ2E①细长受压杆λ≥λp Pcr= σcr=2 2λ(μL)②中长受压杆λp≥λ≥λs σcr=a-bλ ③短粗受压杆λ≤λs “σcr”=σs 或σba-σsπ2E2、关于柔度的几个公式λ= λp= λs=iσpbμL3、惯性半径公式i=Izd(圆截面 iz=,矩形截面iminA4=b(b为短边长度))五、动载荷(只给出冲击问题的有关公式)能量方程∆T+∆V=∆U 2h冲击系数 Kd=1++(自由落体冲击) Kd=∆st2v0(水平冲击)g∆st六、截面几何性质1、惯性矩(以下只给出公式,不注明截面的形状)dπd4πD42IP=ρdA= 1-α4 α=D3232⎰()bh3hb3Iz=ydA=1-α 64641212Izπd3πD3hb2bh24Wz== 1-αymax326326⎰2πd4πD4((4))2、惯性矩平移轴公式Iz=Izc+a2A。
材料力学公式完全版材料力学是研究材料在外力作用下的力学性质和变形行为的一门学科。
在材料力学中,有很多的公式被广泛应用于计算和分析材料的力学行为。
下面是一些常见的材料力学公式:1. 应力(Stress):应力是单位面积上的力,通常用σ 表示,计算公式为:σ = F / A,其中 F 是力的大小,A 是面积。
2. 应变(Strain):应变是物体在受力作用下发生变形的程度,通常用ε 表示,计算公式为:ε = ΔL / L,其中ΔL 是长度的变化量,L 是初始长度。
3. 弹性模量(Young's modulus):弹性模量是衡量材料抵抗变形的能力的物理量,通常用 E 表示,计算公式为:E = σ / ε。
4. 剪切应力(Shear stress):剪切应力是垂直方向上的切应力,通常用τ 表示,计算公式为:τ = F / A,其中 F 是切力的大小,A 是垂直于切力方向的面积。
5. 剪切应变(Shear strain):剪切应变是物体在受剪切力作用下的变形程度,通常用γ 表示,计算公式为:γ = tanθ,其中θ 是切变角度。
6. 泊松比(Poisson's ratio):泊松比是衡量材料横向收缩相对于纵向伸长的程度的物理量,通常用ν 表示,计算公式为:ν = -ε横 /ε纵。
7. 屈服强度(Yield strength):屈服强度是材料开始产生塑性变形的临界点,通常用σy 表示。
8. 极限强度(Ultimate strength):极限强度是材料在破坏前能承受的最大应力,通常用σu 表示。
9. 可延性(Elonagation):可延性是材料在断裂前的拉伸变形量,通常用δ 表示,计算公式为:δ = (L - L0) / L0。
10. 硬度(Hardness):硬度是材料抵抗划伤或压痕的能力,常用的硬度测量方法有布氏硬度、维氏硬度等。
11. 柯尔摩根关系(Hooke's law):柯尔摩根关系是描述弹性固体在小应变下的力学行为的线性关系,计算公式为:σ = Eε,其中 E 是杨氏模量,σ 是应力,ε 是应变。
材料⼒学公式⼤全材料⼒学常⽤公式1.外⼒偶矩计算公式(P功率,n转速)2.弯矩、剪⼒和荷载集度之间的关系式3.轴向拉压杆横截⾯上正应⼒的计算公式(杆件横截⾯轴⼒F N,横截⾯⾯积A,拉应⼒为正)4.轴向拉压杆斜截⾯上的正应⼒与切应⼒计算公式(夹⾓a 从x 轴正⽅向逆时针转⾄外法线的⽅位⾓为正)5.纵向变形和横向变形(拉伸前试样标距l,拉伸后试样标距l1;拉伸前试样直径d,拉伸后试样直径d1)6.纵向线应变和横向线应变7.泊松⽐8.胡克定律9.受多个⼒作⽤的杆件纵向变形计算公式?10.承受轴向分布⼒或变截⾯的杆件,纵向变形计算公式11.轴向拉压杆的强度计算公式12.许⽤应⼒,脆性材料,塑性材料13.延伸率14.截⾯收缩率15.剪切胡克定律(切变模量G,切应变g )16.拉压弹性模量E、泊松⽐和切变模量G之间关系式17.圆截⾯对圆⼼的极惯性矩(a)实⼼圆(b)空⼼圆18.圆轴扭转时横截⾯上任⼀点切应⼒计算公式(扭矩T,所求点到圆⼼距离r)19.圆截⾯周边各点处最⼤切应⼒计算公式20.扭转截⾯系数,(a)实⼼圆(b)空⼼圆21.薄壁圆管(壁厚δ≤ R0 /10 ,R0为圆管的平均半径)扭转切应⼒计算公式22.圆轴扭转⾓与扭矩T、杆长l、扭转刚度GH p的关系式23.同⼀材料制成的圆轴各段内的扭矩不同或各段的直径不同(如阶梯轴)时或24.等直圆轴强度条件25.塑性材料;脆性材料26.扭转圆轴的刚度条件? 或27.受内压圆筒形薄壁容器横截⾯和纵截⾯上的应⼒计算公式,28.平⾯应⼒状态下斜截⾯应⼒的⼀般公式,29.平⾯应⼒状态的三个主应⼒,,30.主平⾯⽅位的计算公式31.⾯内最⼤切应⼒32.受扭圆轴表⾯某点的三个主应⼒,,33.三向应⼒状态最⼤与最⼩正应⼒ ,34.三向应⼒状态最⼤切应⼒35.⼴义胡克定律36.四种强度理论的相当应⼒37.⼀种常见的应⼒状态的强度条件,38.组合图形的形⼼坐标计算公式,39.任意截⾯图形对⼀点的极惯性矩与以该点为原点的任意两正交坐标轴的惯性矩之和的关系式40.截⾯图形对轴z和轴y的惯性半径? ,41.平⾏移轴公式(形⼼轴z c与平⾏轴z1的距离为a,图形⾯积为A)42.纯弯曲梁的正应⼒计算公式43.横⼒弯曲最⼤正应⼒计算公式44.矩形、圆形、空⼼圆形的弯曲截⾯系数? ,,45.⼏种常见截⾯的最⼤弯曲切应⼒计算公式(为中性轴⼀侧的横截⾯对中性轴z的静矩,b为横截⾯在中性轴处的宽度)46.矩形截⾯梁最⼤弯曲切应⼒发⽣在中性轴处47.⼯字形截⾯梁腹板上的弯曲切应⼒近似公式48.轧制⼯字钢梁最⼤弯曲切应⼒计算公式49.圆形截⾯梁最⼤弯曲切应⼒发⽣在中性轴处50.圆环形薄壁截⾯梁最⼤弯曲切应⼒发⽣在中性轴处51.弯曲正应⼒强度条件52.⼏种常见截⾯梁的弯曲切应⼒强度条件53.弯曲梁危险点上既有正应⼒σ⼜有切应⼒τ作⽤时的强度条件或,54.梁的挠曲线近似微分⽅程55.梁的转⾓⽅程56.梁的挠曲线⽅程?57.轴向荷载与横向均布荷载联合作⽤时杆件截⾯底部边缘和顶部边缘处的正应⼒计算公式58.偏⼼拉伸(压缩)59.弯扭组合变形时圆截⾯杆按第三和第四强度理论建⽴的强度条件表达式,60.圆截⾯杆横截⾯上有两个弯矩和同时作⽤时,合成弯矩为61.圆截⾯杆横截⾯上有两个弯矩和同时作⽤时强度计算公式62.63.弯拉扭或弯压扭组合作⽤时强度计算公式64.剪切实⽤计算的强度条件65.挤压实⽤计算的强度条件66.等截⾯细长压杆在四种杆端约束情况下的临界⼒计算公式67.压杆的约束条件:(a)两端铰⽀µ=l(b)⼀端固定、⼀端⾃由µ=2(c)⼀端固定、⼀端铰⽀µ=(d)两端固定µ=68. 压杆的长细⽐或柔度计算公式,69. 细长压杆临界应⼒的欧拉公式70. 欧拉公式的适⽤范围传动轴所受的外⼒偶矩通常不是直接给出,⽽是根据轴的转速n 与传递的功率P 来计算。
材料力学公式大全材料力学是研究材料在外力作用下的力学性能和变形规律的学科,是材料科学的重要组成部分。
在工程实践中,材料力学公式是工程师们设计和分析结构、零部件等工程问题时必不可少的工具。
本文将为大家介绍一些常用的材料力学公式,希望能对大家的工程实践有所帮助。
1. 应力公式。
在材料力学中,应力是指单位面积上的力的大小,通常用σ表示,其公式为:\[ \sigma = \frac{F}{A} \]其中,F为受力,A为受力面积。
2. 应变公式。
应变是指材料在受力作用下产生的变形程度,通常用ε表示,其公式为:\[ \varepsilon = \frac{\Delta L}{L} \]其中,ΔL为长度变化量,L为原始长度。
3. 弹性模量公式。
弹性模量是材料抵抗形变的能力,通常用E表示,其公式为:\[ E = \frac{\sigma}{\varepsilon} \]4. 剪切应力公式。
在材料力学中,剪切应力是指垂直于受力方向的力,通常用τ表示,其公式为:\[ \tau = \frac{F}{A} \]其中,F为受力,A为受力面积。
5. 剪切应变公式。
剪切应变是指材料在受剪切力作用下产生的变形程度,通常用γ表示,其公式为:\[ \gamma = \frac{\Delta x}{h} \]其中,Δx为位移,h为原始长度。
6. 泊松比公式。
泊松比是材料在拉伸或压缩时,在垂直方向上的收缩或膨胀程度的比值,通常用ν表示,其公式为:\[ \nu = -\frac{\varepsilon_{y}}{\varepsilon_{x}} \]其中,εy为垂直方向的应变,εx为拉伸或压缩方向的应变。
7. 弯曲应力公式。
在材料力学中,弯曲应力是指材料在受弯曲力作用下的应力,其公式为:\[ \sigma = \frac{M \cdot c}{I} \]其中,M为弯矩,c为截面到中性轴的距离,I为惯性矩。
8. 弯曲应变公式。
弯曲应变是指材料在受弯曲力作用下产生的变形程度,其公式为:\[ \varepsilon = \frac{M \cdot c}{E \cdot I} \]其中,M为弯矩,c为截面到中性轴的距离,E为弹性模量,I为惯性矩。
材料力学常用公式材料力学是研究材料在受力下的力学性质和变形行为的学科,它在工程领域中有着广泛的应用。
常用的材料力学公式包括应力、应变、热应变、应力-应变关系等。
下面是一些常用的材料力学公式的介绍:1. 应力(Stress)公式:应力定义为单位面积上的力,常用公式为:σ=F/A其中,σ为应力,F为受力,A为受力面积。
2. 应变(Strain)公式:应变定义为材料单位长度的变化,常用公式为:ε=ΔL/L其中,ε为应变,ΔL为长度变化,L为原始长度。
3. 霍克定律(Hooke's Law):霍克定律描述了弹性固体在小应变下应力和应变的线性关系,常用公式为:σ=Eε其中,σ为应力,ε为应变,E为材料的弹性模量。
4. 应力-应变关系(Stress-Strain Relationship):应力-应变关系用来描述材料在受力下的变形行为,通常用应力与应变的曲线来表示。
其中弹性阶段遵循霍克定律,塑性阶段存在应力和应变不再线性相关的情况。
5.等效应力(von Mises Stress):等效应力是衡量材料在多轴载荷作用下发生破坏的临界值,常用公式为:σ_eq = √(σ_x^2 + σ_y^2 + σ_z^2 - σ_xσ_y - σ_yσ_z -σ_zσ_x + 3τ^2)其中,σ_eq为等效应力,σ_x、σ_y、σ_z为主应力,τ为主应力间的剪应力。
6. 拉伸强度(Tensile Strength):拉伸强度是材料在拉伸状态下破坏前的最大抗拉应力,常用公式为:σ_u = P_max / A_0其中,σ_u为拉伸强度,P_max为最大拉伸力,A_0为原始横截面积。
7. 弯曲应力(Bending Stress):当材料受弯曲作用时,所产生的应力称为弯曲应力,常用公式为:σ_b=(M*y)/I其中,σ_b为弯曲应力,M为弯矩,y为材料中点位置,I为截面惯性矩。
8. 剪切应力(Shear Stress):剪切应力是材料在剪切载荷作用下的应力,常用公式为:τ=F/A其中,τ为剪切应力,F为剪切力,A为剪切面积。
材料力学公式大全引言材料力学是材料学和力学的交叉学科,研究材料在外部力作用下的力学行为。
材料力学公式是描述材料力学行为的数学方程式,通过使用这些公式,可以预测和解释材料的力学性能。
本文将介绍一些常见的材料力学公式,帮助读者更好地理解材料的力学行为。
弹性力学霍克定律弹性材料的应力与应变之间的关系可以通过霍克定律来描述。
霍克定律表示为:σ = Eε其中,σ是应力,E是弹性模量,ε是应变。
杨氏模量是一种衡量材料刚度的物理量,表示为:E = σ / ε其中,E是杨氏模量,σ是应力,ε是应变。
泊松比泊松比是一种描述材料压缩应变与正交方向上的伸长应变比例关系的参数。
泊松比的定义如下:ν = -ε_2 / ε_1其中,ν是泊松比,ε_1是材料在一个方向上的伸长应变,ε_2是材料在与该方向正交的方向上的压缩应变。
屈服强度材料的屈服强度是指在材料发生塑性变形之前所能承受的最大应力。
屈服强度可以通过应力-应变曲线中的屈服点来确定。
硬化指数硬化指数是衡量材料抵抗塑性变形的能力的物理量,表示材料在塑性变形过程中的硬度增加速率。
硬化指数可以通过屈服应力与屈服应变之间的关系来计算。
应力松弛应力松弛是指材料在恒定应变条件下,应力随时间逐渐减小的现象。
应力松弛可以通过材料应力与时间之间的关系来描述。
强度理论强度理论是一种预测材料破坏的理论模型。
常用的强度理论包括最大剪应力理论、最大正应力理论和最大能量释放率理论。
裂纹扩展速率裂纹扩展速率是描述材料中裂纹扩展过程的物理量,表示裂纹边缘的扩展速度。
裂纹扩展速率可以通过材料裂纹长度与时间之间的关系来计算。
疲劳力学疲劳寿命疲劳寿命是指材料在循环加载下能够承受的次数或时间。
疲劳寿命可以通过应力与循环次数或时间之间的关系来计算。
疲劳强度是指材料在循环加载下能够承受的最大应力。
疲劳强度可以通过应力循环试验来确定。
结论本文介绍了一些常见的材料力学公式,包括弹性力学、塑性力学、破坏力学和疲劳力学方面的公式。
材料力学公式汇总一、轴向拉压。
1. 轴力计算。
- 截面法:F_N=∑ F_i(F_N为轴力,F_i为截面一侧外力的代数和,拉力为正,压力为负)2. 正应力计算。
- σ=(F_N)/(A)(σ为正应力,A为横截面面积)3. 胡克定律。
- Δ L=(F_NL)/(EA)(Δ L为轴向变形量,L为杆件原长,E为弹性模量)4. 泊松比。
- ν =-(varepsilon')/(varepsilon)(ν为泊松比,varepsilon为轴向线应变,varepsilon'为横向线应变)二、扭转。
1. 扭矩计算。
- 截面法:T=∑ M_i(T为扭矩,M_i为截面一侧外力偶矩的代数和,右手螺旋法则确定正负,拇指指向截面外法线方向时,扭矩为正)2. 切应力计算(圆轴扭转)- τ=(Tρ)/(I_p)(τ为切应力,ρ为所求点到圆心的距离,I_p为极惯性矩)- 对于圆轴最大切应力:τ_max=(T)/(W_t)(W_t=(I_p)/(R),R为圆轴半径)- 对于实心圆轴:I_p=(π D^4)/(32),W_t=(π D^3)/(16)(D为圆轴直径)- 对于空心圆轴:I_p=(π)/(32)(D^4 - d^4),W_t=(π)/(16D)(D^4 - d^4)(d为空心圆轴内径)3. 扭转角计算(圆轴扭转)- φ=(TL)/(GI_p)(φ为扭转角,L为轴长,G为切变模量)三、弯曲内力。
1. 剪力和弯矩计算。
- 截面法:F_Q=∑ F_i(F_Q为剪力,截面左侧向上的外力或右侧向下的外力为正)- M=∑ M_i(M为弯矩,使梁下侧受拉的弯矩为正)2. 剪力图和弯矩图绘制。
- 利用载荷、剪力、弯矩之间的微分关系:(dF_Q)/(dx)=q(x),(dM)/(dx)=F_Q,frac{d^2M}{dx^2} = q(x)(q(x)为分布载荷集度)四、弯曲应力。
1. 正应力计算(梁的纯弯曲)- σ=(My)/(I_z)(σ为正应力,M为弯矩,y为所求点到中性轴的距离,I_z为截面对中性轴的惯性矩)- 最大正应力:σ_max=(M)/(W_z)(W_z=(I_z)/(y_max))- 对于矩形截面:I_z=frac{bh^3}{12},W_z=frac{bh^2}{6}(b为截面宽度,h 为截面高度)- 对于圆形截面:I_z=(π D^4)/(64),W_z=(π D^3)/(32)2. 切应力计算(矩形截面梁)- τ=frac{F_QS_z^*}{bI_z}(S_z^*为所求点以上(或以下)部分截面对中性轴的静矩,b为截面宽度)- 最大切应力(矩形截面):τ_max=(3F_Q)/(2bh)(发生在中性轴上)五、弯曲变形。
材料力学公式大全pdf
材料力学公式大全pdf
本文主要介绍材料力学中的相关公式,方便学习和应用。
以下是材料力学公式大全pdf:
1. 应力公式:
应力(σ)=受力(F)/截面积(A)
2. 应变公式:
应变(ε)=变形(ΔL)/初始长度(L)
3. 餘弦定理:
c² = a² + b² - 2ab cosC
4. 正弦定理:
a / sinA =
b / sinB =
c / sinC
其中A,B,C为三角形的内角。
5. 费马原理:
任何在保持稳定的条件下遵循最短路线的点在路线最短。
6. 钢材强度公式:
σs = Fs / A
其中,σs表示钢材的强度,Fs表示钢材的极限拉力,A表示截面积。
7. 钢材弹性模量公式:
Es = σs / εs
其中,Es表示钢材的弹性模量,σs表示钢材的强度,εs表示钢材的应变。
8. 抗弯公式:
M = σ x I / y
其中,M表示悬臂梁的弯矩,σ表示应力,I表示截面惯性矩,y 为距截面中性轴的距离。
9. 泊松比公式:
ν = -ε₂ / ε₁
其中,ν为泊松比,ε₁为轴向应变,ε₂为横向应变。
10. 拉力公式:
F = A x ε x E
其中,F表示拉力,A表示截面积,ε表示应变,E为材料的弹性模量。
以上就是材料力学公式大全pdf。
希望能对大家学习和应用材料力学有所帮助。
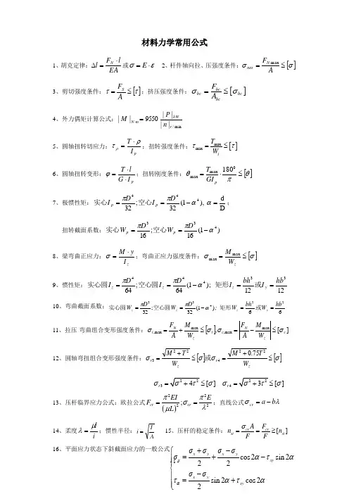
- 1 - 材料力学常用公式1、胡克定律:EA l F l N ⋅=∆或εσ⋅=E 2、杆件轴向拉、压强度条件:[]σσ≤=⋅AFN nax max 3、剪切强度条件:[]ττ≤=AF S;挤压强度条件:[]bc bc bc bc F A σσ=≤4、外力偶矩计算公式:min/||||9550||r kWm N n P M =⋅5、圆轴扭转切应力:pI T ρτρ⋅=;扭转强度条件:[]max max t T W ττ=≤6、圆轴扭转变形:p I G lT ⋅⋅=ϕ;扭转刚度条件:[]θπθ≤⋅=0max max 180p GI T7、极惯性矩:Dd,)1(32;32444=-==ααππD I D I p p 空心实心; 扭转截面系数:)1(16;16433αππ-==D W D W p p 空心实心8、梁弯曲正应力:z I yM ⋅=σ;弯曲正应力强度条件:[]σσ≤=zW M max max 9、惯性矩:1212;)1(64;6433444hb I bh I D I D I y z z z ==-==或矩形空心圆实心圆αππ 10、弯曲截面系数:66)1(32;3222433hb W bh W ;D W D W y z z z ==-==或矩形空心圆实心圆αππ11、拉压-弯曲组合变形强度条件:[]][,max max ,max max ,c zN c t z N t W M A F W M A F σσσσ≤-=≤+=12、圆轴弯扭组合变形强度条件:[][]σσσσ≤+=≤+=zr z r W T M W T M 22422375.0或13、压杆临界应力公式:欧拉公式()2222;cr cr EI EF L ππσλμ==;直线公式λσb a cr -= 14、柔度i l μλ=;惯性半径:AI i = 15、压杆的稳定条件:[]cr cr st st A Fn n F F σ==≥ 16、平面应力状态下斜截面应力的一般公式 cos 2sin 222sin 2cos 22x y x yαxy x y xy σσσσσσσαατατατα+-⎧=+-⎪⎪⎨-⎪=+⎪⎩- 2 -17、最大最小正应力:18、主平面方位计算公式:19、面内最大切应力: 20、20、三向应力状态最大切应力:21、胡克定律:21四大强度理论:max 13()2τσσ=-max min 2x y σσσσ+⎫=±⎬⎭132σσσ⎫=±⎬⎭()11231E εσμσσ=-+⎡⎤⎣⎦()22311E εσμσσ=-+⎡⎤⎣⎦()33121Eεσμσσ=-+⎡⎤⎣⎦,11[]r σσσ=≤,313[]r σσσσ=-≤,2123()[]r σσμσσσ=-+≤,4[]r σσ=≤。
材料力学公式完全版材料力学是研究材料内部力学性能的一门学科。
它是工程学中的一个重要分支,广泛应用于机械、土木、航空航天等领域。
在材料力学中,有一些重要的公式和方程式,下面是材料力学公式的完全版,共包含了应力、应变、变形、强度和刚度等方面的内容。
1.应力方面应力(σ):表示单位面积上的内力。
常用的单位是Pa(帕斯卡)。
σ=F/A其中,F为受力,A为受力面积。
2.应变方面线性弹性应变(ε):表示材料由于受力而发生的形变。
ε=ΔL/L其中,ΔL为长度变化,L为初始长度。
3.变形方面胀缩变形(ΔL):表示材料由于受热导致的体积变化。
ΔL=α×L×ΔT其中,α为热膨胀系数,ΔT为温度变化。
4.应力-应变关系钢材的Hooke定律:描述材料的线性弹性行为。
σ=E×ε其中,E为弹性模量。
5.弯曲方面梁的弯曲应变(ε):表示材料在弯曲时发生的形变。
ε=M/(E×I)其中,M为弯矩,E为弹性模量,I为截面转动惯量。
6.胀缩方面热膨胀(ΔL):表示材料在受热时的线膨胀。
ΔL=α×L×ΔT其中,α为热膨胀系数,L为初始长度,ΔT为温度变化。
7.强度方面拉伸强度(σt):表示材料在拉伸过程中能承受的最大应力。
σt=F/A其中,F为拉伸力,A为受力面积。
8.刚度方面弹性模量(E):表示材料在受力后发生弹性变形的能力。
E=σ/ε其中,σ为应力,ε为应变。
9.复合材料方面拉伸强度(σt):表示复合材料在拉伸过程中能承受的最大应力。
σt=F/A其中,F为拉伸力,A为受力面积。
10.断裂方面断裂强度(σf):表示材料在断裂前能承受的最大应力。
σf=F/A其中,F为断裂力,A为受力面积。
11.龙骨方面龙骨截面面积(A):表示材料的截面面积。
A=b×h其中,b为龙骨宽度,h为龙骨高度。
12.塑性方面屈服强度(σy):表示材料开始产生塑性变形的最大应力。
σy=F/A其中,F为受力,A为受力面积。
材料力学公式大全1. 应力(stress)公式:应力是单位面积上的力,常用符号表示为σ。
在一维情况下,应力公式可以表示为:σ=F/A其中,σ是应力,F是作用力,A是力作用的面积。
2. 应变(strain)公式:应变是用于描述物体形变的量,常用符号表示为ε。
在一维情况下,应变公式可以表示为:ε=ΔL/L0其中,ε是应变,ΔL是变形长度,L0是原始长度。
3. 弹性模量(elastic modulus)公式:弹性模量是衡量材料对外力作用下变形能力的指标,常用符号表示为E。
在一维情况下,弹性模量公式可以表示为:E=σ/ε其中,E是弹性模量,σ是应力,ε是应变。
4. 屈服强度(yield strength)公式:屈服强度是材料在变形过程中开始发生塑性变形的临界应力,常用符号表示为σy。
屈服强度公式可以表示为:σy=Fy/A其中,σy是屈服强度,Fy是屈服点的作用力,A是力作用的面积。
5. 拉伸强度(tensile strength)公式:拉伸强度是材料在拉伸过程中最大的抗拉应力,常用符号表示为σts。
拉伸强度公式可以表示为:σts = Fmax / A其中,σts是拉伸强度,Fmax是最大作用力,A是力作用的面积。
6. 断裂强度(fracture strength)公式:断裂强度是材料在破坏前的最大抗拉应力,常用符号表示为σf。
断裂强度公式可以表示为:σf=Ff/A其中,σf是断裂强度,Ff是破坏点的作用力,A是力作用的面积。
以上是一些常用的材料力学公式,这些公式在材料力学的研究和实际应用中有着重要的作用。
通过对这些公式的使用和理解,我们可以更好地了解材料在受力下的性能和行为,对于材料的设计和实际应用有着重要的指导意义。
1.外力偶矩计算公式(P功率,n转速)2.弯矩、剪力和荷载集度之间的关系式3.轴向拉压杆横截面上正应力的计算公式(杆件横截面轴力F N,横截面面积A,拉应力为正)4.轴向拉压杆斜截面上的正应力与切应力计算公式(夹角a 从x轴正方向逆时针转至外法线的方位角为正)5.6.纵向变形和横向变形(拉伸前试样标距l,拉伸后试样标距l1;拉伸前试样直径d,拉伸后试样直径d1)7.8.纵向线应变和横向线应变9.10.泊松比11.胡克定律12.受多个力作用的杆件纵向变形计算公式?13.承受轴向分布力或变截面的杆件,纵向变形计算公式14.轴向拉压杆的强度计算公式15.许用应力,脆性材料,塑性材料16.延伸率17.截面收缩率18.剪切胡克定律(切变模量G,切应变g )19.拉压弹性模量E、泊松比和切变模量G之间关系式20.圆截面对圆心的极惯性矩(a)实心圆21.(b)空心圆22.圆轴扭转时横截面上任一点切应力计算公式(扭矩T,所求点到圆心距离r)23.圆截面周边各点处最大切应力计算公式24.扭转截面系数,(a)实心圆25.(b)空心圆26.薄壁圆管(壁厚δ≤ R0 /10 ,R0为圆管的平均半径)扭转切应力计算公式27.圆轴扭转角与扭矩T、杆长l、扭转刚度GH p的关系式28.同一材料制成的圆轴各段内的扭矩不同或各段的直径不同(如阶梯轴)时或29.等直圆轴强度条件30.塑性材料;脆性材料31.扭转圆轴的刚度条件? 或32.受内压圆筒形薄壁容器横截面和纵截面上的应力计算公式,33.平面应力状态下斜截面应力的一般公式,34.平面应力状态的三个主应力,,35.主平面方位的计算公式36.面内最大切应力37.受扭圆轴表面某点的三个主应力,,38.三向应力状态最大与最小正应力 ,39.三向应力状态最大切应力40.广义胡克定律41.42.43.四种强度理论的相当应力44.一种常见的应力状态的强度条件,45.组合图形的形心坐标计算公式,46.任意截面图形对一点的极惯性矩与以该点为原点的任意两正交坐标轴的惯性矩之和的关系式47.截面图形对轴z和轴y的惯性半径? ,48.平行移轴公式(形心轴z c与平行轴z1的距离为a,图形面积为A)49.纯弯曲梁的正应力计算公式50.横力弯曲最大正应力计算公式51.矩形、圆形、空心圆形的弯曲截面系数? ,,52.几种常见截面的最大弯曲切应力计算公式(为中性轴一侧的横截面对中性轴z的静矩,b为横截面在中性轴处的宽度)53.矩形截面梁最大弯曲切应力发生在中性轴处54.工字形截面梁腹板上的弯曲切应力近似公式55.轧制工字钢梁最大弯曲切应力计算公式56.圆形截面梁最大弯曲切应力发生在中性轴处57.圆环形薄壁截面梁最大弯曲切应力发生在中性轴处58.弯曲正应力强度条件59.几种常见截面梁的弯曲切应力强度条件60.弯曲梁危险点上既有正应力σ又有切应力τ作用时的强度条件或,61.梁的挠曲线近似微分方程62.梁的转角方程63.梁的挠曲线方程?64.轴向荷载与横向均布荷载联合作用时杆件截面底部边缘和顶部边缘处的正应力计算公式65.偏心拉伸(压缩)66.弯扭组合变形时圆截面杆按第三和第四强度理论建立的强度条件表达式,67.圆截面杆横截面上有两个弯矩和同时作用时,合成弯矩为68.圆截面杆横截面上有两个弯矩和同时作用时强度计算公式69.70.弯拉扭或弯压扭组合作用时强度计算公式71.剪切实用计算的强度条件72.挤压实用计算的强度条件73.等截面细长压杆在四种杆端约束情况下的临界力计算公式74.压杆的约束条件:(a)两端铰支μ=l75.(b)一端固定、一端自由μ=276.(c)一端固定、一端铰支μ=0.777.(d)两端固定μ=0.578.压杆的长细比或柔度计算公式,79.细长压杆临界应力的欧拉公式80.欧拉公式的适用范围81.压杆稳定性计算的安全系数法82.压杆稳定性计算的折减系数法83.关系需查表求得3 截面的几何参数4 应力和应变5 应力状态分析6 内力和内力图7 强度计算8 刚度校核9 压杆稳定性校核10 动荷载11 能量法和简单超静定问题材料力学公式汇总一、应力与强度条件 1、 拉压 []σσ≤=maxmax AN2、 剪切 []ττ≤=AQmax 挤压 []挤压挤压挤压σσ≤=AP3、 圆轴扭转 []ττ≤=W tTmax 4、平面弯曲 ①[]σσ≤=maxz max W M②[]max t max t max max σσ≤=y I M zt③[]ττ≤⋅=bI S Q z *max z max max 5、斜弯曲 []σσ≤+=maxyyz z max W M W M6、拉(压)弯组合 []σσ≤+=maxmax zW M A N注意:“5”与“6”两式仅供参考 7、圆轴弯扭组合:①第三强度理论 []στσσ≤+=+=z 2n2w 2n2wr34W M M②第四强度理论 []στσσ≤+=+=z2n2w 2n2w r475.03W M M二、变形及刚度条件1、 拉压 ∑⎰===∆LEAxx N EALN EANL L d )(ii2、 扭转 ()⎰=∑==Φpp i i p GI dx x T GI L T GI TL πφ0180⋅=Φ=p GI T L (m / )3、 弯曲(1)积分法:)()(''x M x EIy = C x x M x EI x EIy +==⎰d )()()('θ D Cx x x x M x EIy ++=⎰⎰d ]d )([)((2)叠加法:()21,P P f …=()()21P f P f ++…, ()21,P P θ=()()++21P P θθ…(3)基本变形表(注意:以下各公式均指绝对值,使用时要根据具体情况赋予正负号)EI ML B 3=θ,EI ML A 6=θ EI PL A B 162==θθ EIqL A B 243==θθ(4)弹性变形能(注:以下只给出弯曲构件的变形能,并忽略剪力影响,其他变形与此相似,不予写出)EIL M U 22==ii i EI L M 22∑=()⎰EIdx x M 22 (5)卡氏第二定理(注:只给出线性弹性弯曲梁的公式) 三、应力状态与强度理论 1、 二向应力状态斜截面应力2、 二向应力状态极值正应力及所在截面方位角 3、 二向应力状态的极值剪应力注:极值正应力所在截面与极值剪应力所在截面夹角为450 4、 三向应力状态的主应力:321σσσ≥≥最大剪应力:231max σστ-=5、二向应力状态的广义胡克定律(1)、表达形式之一(用应力表示应变)(2)、表达形式之二(用应变表示应力) 6、三向应力状态的广义胡克定律 7、强度理论 (1)[]111σσσ≤=r ()3212σσμσσ+-=r []σ≤[]bb n σσ=(2)[]σσσσ≤-=313r()()()[]213232221421σσσσσσσ-+-+-=r []σ≤ []ss n σσ=8、平面应力状态下的应变分析(1)αγαεεεεεα2sin 22cos 22⎪⎪⎭⎫⎝⎛---++=xyyx yx+-=⎪⎭⎫ ⎝⎛-αεεγα2s i n 22yx αγ2c o s 2⎪⎪⎭⎫⎝⎛-xy(2)22min max 222⎪⎪⎭⎫⎝⎛+⎪⎪⎭⎫ ⎝⎛-±+=xy y x y x γεεεεεεyx xyεεγα-=02tg 四、压杆稳定1、临界压力与临界应力公式(若把直杆分为三类)①细长受压杆 p λλ≥ ()2min 2cr L EI P μπ= 22cr λπσE= ②中长受压杆 s p λλλ≥≥ λσb a -=cr③短粗受压杆s λλ≤ “cr σ”=s σ或 b σ2、关于柔度的几个公式 i Lμλ= p2p σπλE=ba s s σλ-=3、惯性半径公式AI i z= (圆截面4di z =,矩形截面12min b i =(b 为短边长度))五、动载荷(只给出冲击问题的有关公式) 能量方程 U V T ∆=∆+∆冲击系数std 211∆++=hK (自由落体冲击)st20d ∆=g v K (水平冲击)六、截面几何性质1、 惯性矩(以下只给出公式,不注明截面的形状)⎰=dA I P 2ρ=324d π()44132απ-D Dd=α 2、惯性矩平移轴公式。
材料力学公式大全材料力学是研究材料在各种外力作用下产生的应变、应力、强度、刚度和稳定性的学科。
在工程设计和分析中,材料力学公式起着至关重要的作用。
下面为大家详细介绍一些常见的材料力学公式。
一、应力与应变1、正应力公式:轴向拉伸与压缩时,正应力$\sigma =\frac{F}{A}$,其中$F$ 是轴力,$A$ 是横截面面积。
圆轴扭转时,横截面上的切应力$\tau =\frac{T}{Ip}$,$T$ 是扭矩,$Ip$ 是极惯性矩。
2、线应变公式:轴向拉伸与压缩时,线应变$\epsilon =\frac{\Delta L}{L}$,$\Delta L$ 是长度的改变量,$L$ 是原长。
3、切应变公式:圆轴扭转时,切应变$\gamma =\frac{r\theta}{L}$,$r$ 是半径,$\theta$ 是扭转角,$L$ 是轴的长度。
二、胡克定律1、轴向拉伸与压缩时:$\sigma = E\epsilon$ ,其中$E$ 是弹性模量。
2、剪切胡克定律:$\tau = G\gamma$ ,$G$ 是剪切模量。
三、杆件的内力1、轴力$F_N$ :通过截面法求解,沿杆件轴线方向的内力。
2、扭矩$T$ :外力偶矩对杆件产生的内力。
3、剪力$F_Q$ 和弯矩$M$ :在梁的弯曲分析中,通过截面法求解。
四、梁的弯曲应力1、纯弯曲时的正应力:$\sigma =\frac{M y}{I_z}$,$y$ 是所求应力点到中性轴的距离,$I_z$ 是横截面对于中性轴的惯性矩。
2、横力弯曲时的正应力:需要考虑切应力的影响,进行修正。
五、梁的弯曲变形1、挠度$y$ 和转角$\theta$ 的计算公式:通过积分法或叠加法求解。
2、挠曲线近似微分方程:$EIz''= M(x)$。
六、组合变形1、拉(压)弯组合:分别计算拉伸(压缩)应力和弯曲应力,然后叠加。
2、弯扭组合:先计算弯曲应力和扭转切应力,然后根据强度理论进行强度校核。
1.外力偶矩计算公式(P功率,n转速)2.弯矩、剪力和荷载集度之间的关系式3.轴向拉压杆横截面上正应力的计算公式(杆件横截面轴力F N,横截面面积A,拉应力为正)4.轴向拉压杆斜截面上的正应力与切应力计算公式(夹角 a 从x轴正方向逆时针转至外法线的方位角为正)5.6.纵向变形和横向变形(拉伸前试样标距l,拉伸后试样标距l1;拉伸前试样直径d,拉伸后试样直径d1)7.8.纵向线应变和横向线应变9.10.泊松比11.胡克定律12.受多个力作用的杆件纵向变形计算公式?13.承受轴向分布力或变截面的杆件,纵向变形计算公式14.轴向拉压杆的强度计算公式15.许用应力,脆性材料,塑性材料16.延伸率17.截面收缩率18.剪切胡克定律(切变模量G,切应变g )19.拉压弹性模量E、泊松比和切变模量G之间关系式20.圆截面对圆心的极惯性矩(a)实心圆21.(b)空心圆22.圆轴扭转时横截面上任一点切应力计算公式(扭矩T,所求点到圆心距离r)23.圆截面周边各点处最大切应力计算公式24.扭转截面系数,(a)实心圆25.(b)空心圆26.薄壁圆管(壁厚δ≤ R0 /10 ,R0为圆管的平均半径)扭转切应力计算公式27.圆轴扭转角与扭矩T、杆长l、扭转刚度GH p的关系式28.同一材料制成的圆轴各段内的扭矩不同或各段的直径不同(如阶梯轴)时或29.等直圆轴强度条件30.塑性材料;脆性材料31.扭转圆轴的刚度条件? 或32.受内压圆筒形薄壁容器横截面和纵截面上的应力计算公式,33.平面应力状态下斜截面应力的一般公式,34.平面应力状态的三个主应力,,35.主平面方位的计算公式36.面内最大切应力37.受扭圆轴表面某点的三个主应力,,38.三向应力状态最大与最小正应力 ,39.三向应力状态最大切应力40.广义胡克定律41.42.43.四种强度理论的相当应力44.一种常见的应力状态的强度条件,45.组合图形的形心坐标计算公式,46.任意截面图形对一点的极惯性矩与以该点为原点的任意两正交坐标轴的惯性矩之和的关系式47.截面图形对轴z和轴y的惯性半径? ,48.平行移轴公式(形心轴z c与平行轴z1的距离为a,图形面积为A)49.纯弯曲梁的正应力计算公式50.横力弯曲最大正应力计算公式51.矩形、圆形、空心圆形的弯曲截面系数? ,,52.几种常见截面的最大弯曲切应力计算公式(为中性轴一侧的横截面对中性轴z的静矩,b为横截面在中性轴处的宽度)53.矩形截面梁最大弯曲切应力发生在中性轴处54.工字形截面梁腹板上的弯曲切应力近似公式55.轧制工字钢梁最大弯曲切应力计算公式56.圆形截面梁最大弯曲切应力发生在中性轴处57.圆环形薄壁截面梁最大弯曲切应力发生在中性轴处58.弯曲正应力强度条件59.几种常见截面梁的弯曲切应力强度条件60.弯曲梁危险点上既有正应力σ又有切应力τ作用时的强度条件或,61.梁的挠曲线近似微分方程62.梁的转角方程63.梁的挠曲线方程?64.轴向荷载与横向均布荷载联合作用时杆件截面底部边缘和顶部边缘处的正应力计算公式65.偏心拉伸(压缩)66.弯扭组合变形时圆截面杆按第三和第四强度理论建立的强度条件表达式,67.圆截面杆横截面上有两个弯矩和同时作用时,合成弯矩为68.圆截面杆横截面上有两个弯矩和同时作用时强度计算公式69.70.弯拉扭或弯压扭组合作用时强度计算公式71.剪切实用计算的强度条件72.挤压实用计算的强度条件73.等截面细长压杆在四种杆端约束情况下的临界力计算公式74.压杆的约束条件:(a)两端铰支μ=l75.(b)一端固定、一端自由μ=276.(c)一端固定、一端铰支μ=0.777.(d)两端固定μ=0.578.压杆的长细比或柔度计算公式,79.细长压杆临界应力的欧拉公式80.欧拉公式的适用范围81.压杆稳定性计算的安全系数法82.压杆稳定性计算的折减系数法83.关系需查表求得3 截面的几何参数序号公式名称公式符号说明(3.1)截面形心位置AzdA z Ac,A ydA y AcZ 为水平方向Y 为竖直方向(3.2)截面形心位置ii i cA A z z ,i i i cA A y y (3.3)面积矩AZydA S ,AyzdAS (3.4)面积矩i i z y A S ,ii yz A S (3.5)截面形心位置AS z y c,A S y z c(3.6)面积矩c yAz S ,czAy S (3.7)轴惯性矩dA y I Az2,dAz I Ay2(3.8)极惯必矩(3.9)极惯必矩(3.10)惯性积(3.11)轴惯性矩A i I z z 2,A i I y y 2(3.12)惯性半径(回转半径)AI i z z,A I i y y(3.13)面积矩轴惯性矩极惯性矩惯性积zi z S S ,yi y S S zi z I I ,yi y I I i I I,zyizyI I (3.14)平行移轴公式4 应力和应变序号公式名称公式符号说明(4.1)轴心拉压杆横截面上的应力(4.2)危险截面上危险点上的应力(4.3a)轴心拉压杆的纵向线应变(4.3b)轴心拉压杆的纵向绝对应变(4.4a)(4.4ab胡克定理(4.5)胡克定理(4.6)胡克定理(4.7)横向线应变(4.8)泊松比(横向变形系数)(4.9)剪力双生互等定理(4.10)剪切胡克定理(4.11)实心圆截面扭转轴横截面上的应力(4.12)实心圆截面扭转轴横截面的圆周上的应力(4.13)抗扭截面模量(扭转抵抗矩)(4.14)实心圆截面扭转轴横截面的圆周上的应力(4.15)圆截面扭转轴的变形(4.16)圆截面扭转轴的变形(4.17)单位长度的扭转角l,GIT (4.18)矩形截面扭转轴长边中点上的剪应力TW是矩形截面TW的扭转抵抗矩(4.19)矩形截面扭转轴短边中点上的剪应力(4.20)矩形截面扭转轴单位长度的扭转角TI是矩形截面的TI相当极惯性矩(4.21)矩形截面扭转轴全轴的扭转角,,与截面高宽比bh/有关的参数(4.22)平面弯曲梁上任一点上的线应变(4.23)平面弯曲梁上任一点上的线应力(4.24)平面弯曲梁的曲率(4.25)纯弯曲梁横截面上任一点的正应力(4.26)离中性轴最远的截面边缘各点上的最大正应力(4.27)抗弯截面模量(截面对弯曲的抵抗矩)(4.28)离中性轴最远的截面边缘各点上的最大正应力(4.29)横力弯曲梁横截面上的剪应力*zS被切割面积对中性轴的面积矩。
材料力学公式最全总汇外力偶矩计算公式弯矩、剪力和荷载集度之间的关系式轴向拉压杆横截面上正应力的计算公式轴向拉压杆斜截面上的正应力与切应力计算公式纵向变形和横向变形纵向线应变和横向线应变泊松比胡克定律受多个力作用的杆件纵向变形计算公式? 承受轴向分布力或变截面的杆件,纵向变形计算公式 1 轴向拉压杆的强度计算公式许用应力,脆性材料,塑性材料延伸率截面收缩率剪切胡克定律拉压弹性模量E、泊松比和切变模量G之间关系式圆截面对圆心的极惯性矩实心圆空心圆圆轴扭转时横截面上任一点切应力计算公式圆截面周边各点处最大切应力计算公式扭转截面系数,实心圆空心圆薄壁圆管扭转切应力计算公式 2 圆轴扭转角与扭矩T、杆长l、扭转刚度GHp的关系式同一材料制成的圆轴各段内的扭矩不同或各段的直径不同时或等直圆轴强度条件塑性材料;脆性材料扭转圆轴的刚度条件? 或受内压圆筒形薄壁容器横截面和纵截面上的应力计算公式, 平面应力状态下斜截面应力的一般公式,平面应力状态的三个主应力, , 3 主平面方位的计算公式面内最大切应力受扭圆轴表面某点的三个主应力三向应力状态最大与最小正应力,, ,三向应力状态最大切应力广义胡克定律四种强度理论的相当应力一种常见的应力状态的强度条件,组合图形的形心坐标计算公式,任意截面图形对一点的极惯性矩与以该点为原点的任意两正交坐标轴的惯 4性矩之和的关系式截面图形对轴z和轴y的惯性半径? , 平行移轴公式纯弯曲梁的正应力计算公式横力弯曲最大正应力计算公式矩形、圆形、空心圆形的弯曲截面系数? ,,几种常见截面的最大弯曲切应力计算公式矩形截面梁最大弯曲切应力发生在中性轴处工字形截面梁腹板上的弯曲切应力近似公式轧制工字钢梁最大弯曲切应力计算公式圆形截面梁最大弯曲切应力发生在中性轴处 5圆环形薄壁截面梁最大弯曲切应力发生在中性轴处弯曲正应力强度条件几种常见截面梁的弯曲切应力强度条件弯曲梁危险点上既有正应力σ又有切应力τ作用时的强度条件或,梁的挠曲线近似微分方程梁的转角方程梁的挠曲线方程? 轴向荷载与横向均布荷载联合作用时杆件截面底部边缘和顶部边缘处的正应力计算公式偏心拉伸弯扭组合变形时圆截面杆按第三和第四强度理论建立的强度条件表达式,圆截面杆横截面上有两个弯矩圆截面杆横截面上有两个弯矩和同时作用时强度计算公式和同时作用时,合成弯矩为 6 弯拉扭或弯压扭组合作用时强度计算公式剪切实用计算的强度条件挤压实用计算的强度条件等截面细长压杆在四种杆端约束情况下的临界力计算公式压杆的约束条件:两端铰支μ=l 一端固定、一端自μ=2一端固定、一端铰支μ=两端固定μ= 压杆的长细比或柔度计算公式,细长压杆临界应力的欧拉公式欧拉公式的适用范围压杆稳定性计算的安全系数法7 压杆稳定性计算的折减系数法关系需查表求得8 3 截面的几何参数序号公式名称公式截面形心位置zc 截面形心位置zczdA?,y?AAc??ycAydAA ii符号说明Z 为水平方向Y为竖直方向zA??,A?iiiyA???Ai 面积矩面积矩截面形心位置SZ??ydA,Sy??zdA AASz??Aiyi,Sy??Aizi Szc?,yc?z AASy面积矩轴惯性矩极惯必矩极惯必矩Sy?Azc,Sz?Ayc Iz??y2dA,Iy??z2dA AAI????2dA AI??Iz?Iy 惯性积轴惯性矩Izy??zydA AIz?izA,Iy?iyA Iz,iy?A22 惯性半径iz?IyA 面积矩Sz??Szi,Sy??Syi 轴惯性矩Iz??Izi,Iy??Iyi 极惯性矩惯性积I???I?i,Izy??Izyi 平行移轴公式Iz?Izc?a2A 9 Iy?Iyc?b2A Izy?Izcyc?abA 4 应力和应变序号公式名称轴心拉压杆横截面上的应力危险截面上危险点上的应力轴心拉压杆的纵向线应变轴心拉压杆的纵向绝对应变虎克定理公式N?? AN?max? A?l?? l符号说明?l?l?l1??.l 虎克定理虎克定理??E? ??? E ?l? EANl?l???ili??ii EAi横向线应变泊松比?’??bb1?b? bb ?’?? ??’????剪力双生互等定理剪切虎克定理实心圆截面扭转轴横截面上的应力?x??y ??G? T???? I?10实心圆截面扭转轴横截面的圆周上的应力抗扭截面模量实心圆截面扭转轴横截面的圆周上的应力圆截面扭转轴的变形圆截面扭转轴的变形单位长度的扭转角矩形截面扭转轴长边中点上的剪应力?max TR ?I? WT?I?R?maxT ?WT ??GI? Tl????i??ii GI?iT??,?? lGI? ? ?max?TT?3 WT?bWT是矩形截面WT的扭转抵矩形截面扭转轴短边中点上的剪应力矩形截面扭转轴单位长度的扭转角抗矩?1???max TT ?4GITG?b ??IT是矩形截面的IT相当极惯性矩矩形截面扭转轴全轴的扭转角4G?b???.l??,?,? 与截面高宽比h/b有关的参数11 平面弯曲梁上任一点上的线应变平面弯曲梁上任一点上的线应力平面弯曲梁的曲率纯弯曲梁横截面上任一点的正应力离中性轴最远的截面边缘各点上的最大正应力抗弯截面模量离中性轴最远的截面边缘各点上的最大正应力横力弯曲梁横截面上的剪应力??y? ??1Ey? M ??EIzMy ??Iz ? ?IzIymax Wz? ?maxM ?Wz *VSz ??Izb*被切割面Sz 中性轴各点的剪应力?max*VSzmax ?Izb积对中性轴的面积矩。
材料力学常用公式1.外力偶矩计算公式(P功率,n转速)2.弯矩、剪力和荷载集度之间的关系式3.轴向拉压杆横截面上正应力的计算公式(杆件横截面轴力F N,横截面面积A,拉应力为正)4.轴向拉压杆斜截面上的正应力与切应力计算公式(夹角a 从x轴正方向逆时针转至外法线的方位角为正)5.纵向变形和横向变形(拉伸前试样标距l,拉伸后试样标距l1;拉伸前试样直径d,拉伸后试样直径d1)6.纵向线应变和横向线应变7.泊松比8.胡克定律9.受多个力作用的杆件纵向变形计算公式?10.承受轴向分布力或变截面的杆件,纵向变形计算公式11.轴向拉压杆的强度计算公式12.许用应力,脆性材料,塑性材料13.延伸率14.截面收缩率15.剪切胡克定律(切变模量G,切应变g )16.拉压弹性模量E、泊松比和切变模量G之间关系式17.圆截面对圆心的极惯性矩(a)实心圆(b)空心圆18.圆轴扭转时横截面上任一点切应力计算公式(扭矩T,所求点到圆心距离r)19.圆截面周边各点处最大切应力计算公式20.扭转截面系数,(a)实心圆(b)空心圆21.薄壁圆管(壁厚δ≤ R0 /10 ,R0为圆管的平均半径)扭转切应力计算公式22.圆轴扭转角与扭矩T、杆长l、扭转刚度GH p的关系式23.同一材料制成的圆轴各段内的扭矩不同或各段的直径不同(如阶梯轴)时或24.等直圆轴强度条件25.塑性材料;脆性材料26.扭转圆轴的刚度条件? 或27.受内压圆筒形薄壁容器横截面和纵截面上的应力计算公式,28.平面应力状态下斜截面应力的一般公式,29.平面应力状态的三个主应力,,30.主平面方位的计算公式31.面内最大切应力32.受扭圆轴表面某点的三个主应力,,33.三向应力状态最大与最小正应力 ,34.三向应力状态最大切应力35.广义胡克定律36.四种强度理论的相当应力37.一种常见的应力状态的强度条件,38.组合图形的形心坐标计算公式,39.任意截面图形对一点的极惯性矩与以该点为原点的任意两正交坐标轴的惯性矩之和的关系式40.截面图形对轴z和轴y的惯性半径? ,41.平行移轴公式(形心轴z c与平行轴z1的距离为a,图形面积为A)42.纯弯曲梁的正应力计算公式43.横力弯曲最大正应力计算公式44.矩形、圆形、空心圆形的弯曲截面系数? ,,45.几种常见截面的最大弯曲切应力计算公式(为中性轴一侧的横截面对中性轴z的静矩,b为横截面在中性轴处的宽度)46.矩形截面梁最大弯曲切应力发生在中性轴处47.工字形截面梁腹板上的弯曲切应力近似公式48.轧制工字钢梁最大弯曲切应力计算公式49.圆形截面梁最大弯曲切应力发生在中性轴处50.圆环形薄壁截面梁最大弯曲切应力发生在中性轴处51.弯曲正应力强度条件52.几种常见截面梁的弯曲切应力强度条件53.弯曲梁危险点上既有正应力σ又有切应力τ作用时的强度条件或,54.梁的挠曲线近似微分方程55.梁的转角方程56.梁的挠曲线方程?57.轴向荷载与横向均布荷载联合作用时杆件截面底部边缘和顶部边缘处的正应力计算公式58.偏心拉伸(压缩)59.弯扭组合变形时圆截面杆按第三和第四强度理论建立的强度条件表达式,60.圆截面杆横截面上有两个弯矩和同时作用时,合成弯矩为61.圆截面杆横截面上有两个弯矩和同时作用时强度计算公式62.63.弯拉扭或弯压扭组合作用时强度计算公式64.剪切实用计算的强度条件65.挤压实用计算的强度条件66.等截面细长压杆在四种杆端约束情况下的临界力计算公式67.压杆的约束条件:(a)两端铰支μ=l(b)一端固定、一端自由μ=2(c)一端固定、一端铰支μ=(d)两端固定μ=68. 压杆的长细比或柔度计算公式 ,69. 细长压杆临界应力的欧拉公式70. 欧拉公式的适用范围传动轴所受的外力偶矩通常不是直接给出,而是根据轴的转速n 与传递的功率P 来计算。
当功率P 单位为千瓦(kW ),转速为n (r/min )时,外力偶矩为m).(N 9549e nPM =当功率P 单位为马力(PS ),转速为n (r/min )时,外力偶矩为m).(N 7024e nPM =拉(压)杆横截面上的正应力拉压杆件横截面上只有正应力σ,且为平均分布,其计算公式为 NF Aσ= (3-1)式中N F 为该横截面的轴力,A 为横截面面积。
正负号规定 拉应力为正,压应力为负。
公式(3-1)的适用条件:(1)杆端外力的合力作用线与杆轴线重合,即只适于轴向拉(压)杆件; (2)适用于离杆件受力区域稍远处的横截面;(3)杆件上有孔洞或凹槽时,该处将产生局部应力集中现象,横截面上应力分布很不均匀;(4)截面连续变化的直杆,杆件两侧棱边的夹角020α≤时 拉压杆件任意斜截面(a 图)上的应力为平均分布,其计算公式为全应力 cos p ασα= (3-2)正应力 2cos ασσα=(3-3)切应力1sin 22ατα=(3-4) 式中σ为横截面上的应力。
正负号规定:α 由横截面外法线转至斜截面的外法线,逆时针转向为正,反之为负。
ασ 拉应力为正,压应力为负。
ατ 对脱离体内一点产生顺时针力矩的ατ为正,反之为负。
两点结论:(1)当00α=时,即横截面上,ασ达到最大值,即()max ασσ=。
当α=090时,即纵截面上,ασ=090=0。
(2)当045α=时,即与杆轴成045的斜截面上,ατ达到最大值,即max ()2αατ=1.2 拉(压)杆的应变和胡克定律 (1)变形及应变杆件受到轴向拉力时,轴向伸长,横向缩短;受到轴向压力时,轴向缩短,横向伸长。
如图3-2。
图3-2轴向变形 1l l l ∆=- 轴向线应变llε∆=横向变形 1b b b ∆=-横向线应变 bbε∆'=正负号规定 伸长为正,缩短为负。
(2)胡克定律当应力不超过材料的比例极限时,应力与应变成正比。
即 E σε= (3-5) 或用轴力及杆件的变形量表示为 N F ll EA∆=(3-6) 式中EA 称为杆件的抗拉(压)刚度,是表征杆件抵抗拉压弹性变形能力的量。
公式(3-6)的适用条件:(a)材料在线弹性范围内工作,即p σσ〈;(b)在计算l ∆时,l 长度内其N 、E 、A 均应为常量。
如杆件上各段不同,则应分段计算,求其代数和得总变形。
即1ni ii i iN l l E A =∆=∑(3-7) (3)泊松比 当应力不超过材料的比例极限时,横向应变与轴向应变之比的绝对值。
即ενε'=(3-8) 表1-1 低碳钢拉伸过程的四个阶段强度计算许用应力 材料正常工作容许采用的最高应力,由极限应力除以安全系数求得。
塑性材料 [σ]=s s n σ ; 脆性材料 [σ]=b bn σ 其中,s b n n 称为安全系数,且大于1。
强度条件:构件工作时的最大工作应力不得超过材料的许用应力。
对轴向拉伸(压缩)杆件[]NAσσ=≤ (3-9) 按式(1-4)可进行强度校核、截面设计、确定许克载荷等三类强度计算。
切应力互等定理受力构件内任意一点两个相互垂直面上,切应力总是成对产生,它们的大小相等,方向同时垂直指向或者背离两截面交线,且与截面上存在正应力与否无关。
纯剪切单元体各侧面上只有切应力而无正应力的受力状态,称为纯剪切应力状态。
切应变切应力作用下,单元体两相互垂直边的直角改变量称为切应变或切应变,用τ表示。
剪切胡克定律在材料的比例极限范围内,切应力与切应变成正比,即 G τγ= (3-10)式中G 为材料的切变模量,为材料的又一弹性常数(另两个弹性常数为弹性模量E 及泊松比ν),其数值由实验决定。
对各向同性材料,E 、 ν、G 有下列关系 2(1)EG ν=+ (3-11)2.5.2切应力计算公式横截面上某一点切应力大小为 p pT I ρτ=(3-12) 式中p I 为该截面对圆心的极惯性矩,ρ为欲求的点至圆心的距离。
圆截面周边上的切应力为 max tTW τ=(3-13) 式中p t I W R=称为扭转截面系数,R 为圆截面半径。
2.5.3 切应力公式讨论(1) 切应力公式(3-12)和式(3-13)适用于材料在线弹性范围内、小变形时的等圆截面直杆;对小锥度圆截面直杆以及阶梯形圆轴亦可近似应用,其误差在工程允许范围内。
(2) 极惯性矩p I 和扭转截面系数t W 是截面几何特征量,计算公式见表3-3。
在面积不变情况下,材料离散程度高,其值愈大;反映出轴抵抗扭转破坏和变形的能力愈强。
因此,设计空心轴比实心轴更为合理。
表3-32.5.4强度条件圆轴扭转时,全轴中最大切应力不得超过材料允许极限值,否则将发生破坏。
因此,强度条件为[]max maxt T W ττ⎛⎫=≤⎪⎝⎭ (3-14) 对等圆截面直杆 []maxmaxt T W ττ=≤ (3-15)式中[]τ为材料的许用切应力。
3.1.1中性层的曲率与弯矩的关系1zMEI ρ=(3-16) 式中,ρ是变形后梁轴线的曲率半径;E 是材料的弹性模量;E I 是横截面对中性轴Z 轴的惯性矩。
3.1.2横截面上各点弯曲正应力计算公式 ZMy I σ=(3-17) 式中,M 是横截面上的弯矩;Z I 的意义同上;y 是欲求正应力的点到中性轴的距离最大正应力出现在距中性轴最远点处 max max max max z zM My I W σ=•= (3-18)式中,max z z I W y =称为抗弯截面系数。
对于h b ⨯的矩形截面,216z W bh =;对于直径为D 的圆形截面,332z W D π=;对于内外径之比为d a D =的环形截面,34(1)32z W D a π=-。
若中性轴是横截面的对称轴,则最大拉应力与最大压应力数值相等,若不是对称轴,则最大拉应力与最大压应力数值不相等。
梁的正应力强度条件梁的最大工作应力不得超过材料的容许应力,其表达式为 []maxmax zM W σσ=≤ (3-19)对于由拉、压强度不等的材料制成的上下不对称截面梁(如T 字形截面、上下不等边的工字形截面等),其强度条件应表达为[]maxmax 1l t z M y I σσ=≤ (3-20a ) []maxmax 2y c zM y I σσ=≤ (3-20b ) 式中,[][],t c σσ分别是材料的容许拉应力和容许压应力;12,y y 分别是最大拉应力点和最大压应力点距中性轴的距离。
梁的切应力 z z QS I bτ*= (3-21)式中,Q 是横截面上的剪力;z S *是距中性轴为y 的横线与外边界所围面积对中性轴的静矩;z I 是整个横截面对中性轴的惯性矩;b 是距中性轴为y 处的横截面宽度。
3.3.1矩形截面梁切应力方向与剪力平行,大小沿截面宽度不变,沿高度呈抛物线分布。