全国普通话等级考试试题及说话全集
- 格式:docx
- 大小:74.21 KB
- 文档页数:59
全国普通话等级考试试题及说话全集精编W O R D版IBM system office room 【A0816H-A0912AAAHH-GX8Q8-GNTHHJ8】普通话考试试题一一、读单音节字词100个偶ǒu 铡zhá红hóng 我wǒ姨yí秋qiū次cì剜wān 逮dài 平píng 翁wēng 挠náo 氧yǎng 食shí判pàn 镖biāo 佣yōng 涩sè糖táng 野yě敏mǐn 痣zhì丢diū遍biàn 捐juān 而ér 仍réng 接jiē水shuǐ日rì音yīn 劣liè奖jiǎng 花huā邹zōu 源yuán 兄xiōng 咱zán 润rùn 发fā旬xún 线xiàn 扯chě拐guǎi 虐nüè品pǐn 爱ài 尚shàng 约yuē劝quàn 梦mèng 留liú共gòng 撕sī否fǒu/pǐ案àn 框kuàng 旅lǚ搓cuō瘫tān 踹chuài 蛙wā踩cǎi 纫rèn 怀huái 襄xiāng 瓜guā俩liǎng 主zhǔ撒sā/sǎ鸣míng 准zhǔn 击jī穿chuān 嘣bēng 迟chí肥féi 均jūn 窜cuàn 混hùn 销xiāo 偏pi ān 苔tái 醉zuì你nǐ擂léi 阔kuò缺quē克kè胞bāo 裆dāng 女nǚ苏sū子zǐ氢qīng 申shēn 门mén 光guāng 掐qiā度dù二、读双音节词语50个选举鹌鹑用力军事豆芽儿赌博运输原则恳请全面草包约会女子旅馆死扣儿光明海洋痛快遵守暖气推动挂号抓紧恐怖牛奶支持描写灯笼穷人群岛略微削弱荒唐装配旦角儿损坏着想柠檬硫酸藕节儿夹杂篡改怪癖耍滑飘洒帮厨搀扶非分惨然恶心三、朗读那时候刚好下着雨, 柏油路面湿冷冷的, 还闪烁着青、黄、红颜色的灯光。
普通话测试说话范文11号《我喜爱的体育运动》我喜爱的体育运动是什么呢?在为数甚众的体育运动中,我选择的是篮球。
个头不高的我喜欢上篮球是在一个偶然的机会中碰上的。
那是初中二年级时,同学们打球因缺少一个队员,便邀请我参加,我答应了。
在这之前我连篮球是圆的、扁的都不知道。
不过,说也奇怪,那次打篮球我连连投中,我和同学们玩得非常高兴!由那次的投球开始,我就真正的喜欢上了篮球这项体育运动。
在以后的日子中,我渐渐地知道了有关篮球这项体育运动的知识。
比如说,篮球运动是以投篮为中心,以得分多少决定胜负的集体竞赛性的运动。
还有什么是三步上篮啊、打手犯规啊、三分球啊,投篮最好用压腕的方法等等一些有关篮球方面的知识。
另外,我还知道篮球是在1891年由美国的一名体育教师根据民间流传的“投进篮子的球”的游戏中发明的。
因为我对篮球运动的喜爱,使我又懂了许多以前我从未知道,从未体验过的事情。
另外有一点最重要的,我知道:人要心胸开阔,与人相处要学会忍耐,学会关心他人,因为人是生活在集体中的。
普通话测试说话范文12号《最难忘的一件事》经过一周的试教之后,今天早上,我真正走上了为人师表的讲台,开始了我一生从教的第一节课。
我细心地把教案反复地翻了不知多少遍,在确认为准确无误的情况下,刚想让自己放松一下,紧张的情绪又涌上心头。
胸中好像有一只大鼓在咚咚地敲,我在心底无数次为自己打气。
别无选择,只有背水一战了。
铃声响了,我快步走上讲台,响亮地喊了一声“上课”,全班同学一齐站起来,行了课礼后,课堂上出现了暂时的安静。
我努力使自己平静下来。
正当我不知所措的时候,科任指导老师和同组的同学投来鼓励的目光。
我心里一下子有了底。
开始了我的这节课的导入语。
我任的是四年级⑶班数学课,内容是乘法各部分间的关系。
在讲例1的时候,准备在硬皮纸上的题目用透明胶粘着,由于我在准备教具时不小心让透明胶粘在一起了,在短时间内很难把它拉开。
当时我很难堪,我的手抖动起来,脸上烫得像火烧。
国家普通话水平测试题( 1) 一、读单音节字词( 100 个音节,共 10 分,限时 3.5 分钟) 亏(ku?) 阅 (yua) 典 (di ǎn) 儿 (?r) 馨 (x?n) 寡(ɡu ǎ) 裙(q ún) 黑(hyi) 藤 (t?n ɡ) 佩(pai) 陵(l ín ɡ) 字(z ì) 层 (c?n ɡ) 日(r ì) 忙(m án ɡ) 软(ru ǎn) 抠(k ōu) 腐(f ǔ) 囚(qi ú) 她(t ü) 醒(x ǐn ɡ) 凑 (c?u) 除(ch ú) 钵(b ō)防(fán ɡ) 摸(m ō) 扭 (ni ǔ) 毛(m áo) 俊(j ùn) 投 (t?u) 象(xi àn ɡ) 拖(tu ō) 洒(s ǎ) 膘(bi üo) 告 (ɡào) 沦(l ún) 袋(d ài) 丙(b ǐn ɡ) 锐 (ru ì) 耍(shu ǎ) 环 (hu án) 筛(sh üi) 捧(pt n ɡ) 碎 (su ì) 癖(p ǐ) 腔(qi ün ɡ) 选(xu ǎn)农(n?n ɡ) 居(j ū) 砸(z á) 吃(ch?) 甲 (ji ǎ) 四(s ì) 迎(y ín ɡ) 费(fai) 淤 (y ū) 我 (w ǒ) 歌(ɡy )拣(ji ǎn)淮(hu ái) 某 (m ǒu) 棕(z ōn ɡ) 违 (w?i) 爽 (shu ǎn ɡ) 瞥(piy) 旺 (w àn ɡ) 僧 (syn ɡ) 磷(l ín) 炯 (ji ǒn ɡ) 摔(shu üi) 道 (d ào) 杯(byi) 决(ju?) 帐(zh àn ɡ) 鼓(ɡǔ)债 (zh ài) 粗 (c ū) 但 (d àn) 女 (n ǚ) 延 (y án) 问 (wan) 离 (lí)钓(di ào) 犬(qu ǎn) 闹(n ào) 苗(mi áo) 诊 (zht n) 猎(li a) 染(r ǎn) 澈(cha) 肯(kt n) 塘(t án ɡ) 沾(zh ün)癌(ái) 洽 (qi à) 庵(ün) 笨(ban) 胸(xi ōn ɡ) 准(zh ǔn) 光(ɡu ün ɡ) 二、读多音节词语( 100 个音节,共 20 分,限时 2.5 分钟) 快(ku ài) 乐(l a) 丢 (di ū)人(r ?n) 小(xi ǎo) 瓮 (wan ɡ) 儿( ?r) 含 (h án) 量(li àn ɡ) 村(c ūn) 庄 (zhu ün ɡ) 开(k üi) 花 (hu ü) 灯 (d yn ɡ) 泡 (p ào) 儿 ( ?r) 红 (h ?n ɡ) 娘(ni án ɡ) 特(t a) 色(s a) 荒 (hu ün ɡ) 谬 (mi ù) 而( ?r) 且 (qi t ) 定(d ìn ɡ) 额 ( ?) 观 ( ɡu ün) 赏 (sh ǎn ɡ) 部 (b ù) 分 (fen) 侵(q ?n) 略 (l ?a) 捐(ju ün) 税(shu ì) 收(sh ōu) 缩 (su ō)鬼( ɡu í) 脸 (li ǎn) 趋 (q ū) 势 (shì) 拐( ɡu ǎi) 弯(w ün) 儿( ?r) 内 (n ai) 容 (r ?n ɡ) 若 (ru ?) 干( ɡün) 爆(b ào) 发(f ü)原(yu án) 材(c ái) 料 (li ào) 创 (chu àn ɡ)办(b àn) 抓 (zhu ü) 紧(j ǐn) 盛(sh an ɡ)怒 (n ù) 运 (y ùn) 用(y ?n ɡ)美(mt i) 景(j ǐn ɡ) 面(mi àn) 子 (zi) 压(y ü)迫 (p ?) 必(b ì) 需(x ū) 品(p ǐn) 佛 (f ?) 学(xu ?) 一 (y ì) 直 (zh í)启(q ǐ) 程(ch ?n ɡ) 棒(b àn ɡ) 槌 (chui) 山 (sh ün) 峰(f yn ɡ) 罪(zu ì) 孽 (ni a) 刺 (c ì) 激(j ?) 无 (w ú) 穷(qi ?n ɡ) 打 (d ǎ) 听(tin ɡ) 通 (t ōn ɡ) 讯(x ùn) 木(m ù) 偶( ǒu) 昆(k ūn) 虫 (ch ?n ɡ) 天 (ti ün) 下 (xi à) 做(zu ?) 活(hu?) 儿( ?r) 跨 (ku à)度(d ù) 就(ji ù)算(su àn) 构( ɡ?u) 造(z ào) 三、朗读短文( 400 个音节,共 30 分,限时 4 分钟) 作品 4 号 在达瑞八岁的时候,有一天他想去看电影。
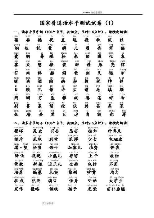
国家普通话水平测试试卷(1)一、读单音节字词(100个音节,共10分,限时3.5分钟)。
请横向朗读!蹦b èng 耍shu ǎ 德d é 扰r ǎo 直zh í 返f ǎn 凝n íng 秋qi ū 淡d àn 丝s ī炯ji ǒng 粗c ū 袄ǎo 瓮w èng 癣xu ǎn 儿ér 履l ǚ 告g ào 筒t ǒng 猫m āo囊n áng 驯x ùn 辱r ǔ 碟di é 栓shu ān 来l ái 顶d ǐng 墩d ūn 忙m áng 哀āi霎sh à 果gu ǒ 憋bi ē 捺n à 装zhu āng 群q ún 精j īng 唇ch ún 亮li àng 馆gu ǎn符f ú 肉r òu 梯t ī 船chu án 溺n ì 北b ěi 剖p ōu 民m ín 邀y āo 旷ku àng暖nu ǎn 快ku ài 酒ji ǔ 除ch ú 缺qu ē 杂z á 搜s ōu 税shu ì 脾p í 锋f ēng日r ì 贼z éi 孔k ǒng 哲zh é 许x ǔ 尘ch én 谓w èi 忍r ěn 填ti án 颇p ō残c án 涧ji àn 穷qi óng 歪w āi 雅y ǎ 捉zhu ō 凑c òu 怎z ěn 虾xi ā 冷l ěng躬g ōng 莫m ò 虽su ī 绢ju àn 挖w ā 伙hu ǒ 聘p ìn 英y īng 条ti áo 笨b èn敛li ǎn 墙qi áng 岳yu è 黑h ēi 巨j ù 访f ǎng 自z ì 毁hu ǐ 郑zh èng 浑h ún二、读多音节词语(100个音节,共20分,限时2.5分钟)。
11、我的业余生活(15、我的假日生活)(当假期来临时),在忙碌的学习生活过后,我通常会选一件我喜欢的事来放松自己。
我喜欢做的事情很多,例如找朋友聊聊天,给朋友写写信,看看书,听听音乐,练练字,但我最喜欢的还是看电视。
由于受到条件的限制,我不可能像别人一样去别处游玩,但我并不伤心,因为我可以从电视上看到很多地方的风景。
所以我特别喜欢看一些介绍旅游景点的节目,我仿佛身临其境般,让主持人带我游遍祖国的大江南北。
或者看看卡通片,让自己的心变得单纯些,再过一把当小孩子的瘾。
或者也会看看教人煮菜的节目,学着点手艺,有空的时候做几个菜让家人尝尝。
偶尔,我也会看看新闻,关心关心国家大事,只是这样的时候很少。
对于别人来说,也许会觉得我这样的生活很枯燥,但子非鱼焉知鱼之乐?我很喜欢看电视,所以我很享受我这样的生活,如果可以的话,我还想一天二十四小时都守在电视机前,不错过播出的每一个节目。
也有的人也许会认为我这样做是浪费时间,一点意义都没有。
但是,我却从电视节目中学到了很多东西,无论做人还是处世,我觉得意义非常大。
我喜欢我这样的生活方式,很轻松,也很愉快,只是,该学习的时候我是一定会学习的。
14、谈谈服饰人们常说“三分长相,七分打扮”可见,打扮是必然的,也没什么不好,打扮得漂亮,能给人美丽的感觉,否则,就适得其反,反而惹来别人的笑话,那么该如何打扮呢,又该怎样选择合适的服饰呢?这是一个很值得考虑的问题。
下面我就谈谈我的观点:首先,服饰要大方得体。
我所说的大方得体并不是指一定要穿清一色的大西装或者其它古板保守的衣服,而是说人要根据自己的年龄、身份或者场合来选择服饰。
如果年轻的模仿年老的穿衣,不但显得老气,那种年轻的蓬勃朝气也被淹没了,如果年老的模仿年轻的穿衣,就会被别人说人都老还来扮嫩;如果是参加朋友的结婚典礼却穿着一身轻快简便的恤衫配上短裤,这将会给人什么感觉呢?未免太轻率了吧。
第二就是穿着打扮要展示个性。
有些人化妆过于浓艳,衣服过于花俏,那样会让人觉得太俗气;有些人脸上长了几颗青春痘,就用粉底涂上厚厚的一层,这样看起来多么的不自然,让人觉得这个人怎么这样的不自信呢?服饰随便自然,充分展现自己独有的风格,这就是个性美。
国家普通话水平测试题(1)一、读单音节字词(100个音节,共10分,限时3.5分钟)蹦(bèng) 耍(shuǎ) 德(dé) 扰(rǎo) 直(zhí) 返(fǎn) 凝(níng) 秋(qiū) 淡(dàn) 丝(sī) 炯(jiǒng) 粗(cū) 袄(ǎo) 瓮(wèng) 癣(xuǎn) 儿(ér) 履(lǚ) 告(gào) 筒(tǒng) 猫(māo)囊(náng) 驯(xùn) 辱(rǔ) 碟(dié) 栓(shuān) 来(lái) 顶(dǐng) 墩(dūn) 忙(máng) 哀(āi) 霎(shà) 果(guǒ) 憋(biē) 捺(nà) 装(zhuāng) 群(qún) 精(jīng) 唇(chún) 亮(liàng) 馆(guǎn) 符(fú) 肉(ròu) 梯(tī) 船(chuán) 溺(nì) 北(běi) 剖(pōu) 民(mín) 邀(yāo) 旷(kuàng) 暖(nuǎn) 快(kuài) 酒(jiǔ) 除(chú) 缺(quē) 杂(zá) 搜(sōu) 税(shuì) 脾(pí) 锋(fēng) 日(rì) 贼(zéi) 孔(kǒng) 哲(zhé) 许(xǔ) 尘(chén) 谓(wèi)忍(rěn) 填(tián) 颇(pō) 残(cán) 涧(jiàn) 穷(qióng) 歪(wāi) 雅(yǎ) 捉(zhuō) 凑(còu) 怎(zěn) 虾(xiā) 冷(lěng) 躬(gōng) 莫(mò)虽(suī) 绢(juàn) 挖(wā) 伙(huǒ) 聘(pìn) 英(yīng) 条(tiáo) 笨(bèn) 敛(liǎn) 墙(qiáng) 岳(yuè) 黑(hēi) 巨(jù) 访(fǎng) 自(zì) 毁(huǐ) 郑(zhèng) 浑(hùn)二、读多音节词语(100个音节,共20分,限时2.5分钟)损坏(sǔnhuài)昆虫(kūnchóng)兴奋(xīngfèn) 恶劣(èliè) 挂帅(guàshuài) 针鼻儿(zhēnbíer) 排斥(páichì)采取(cǎiqǔ) 利索(lìsuǒ) 荒谬(huāngmiù) 少女(shàonǚ) 电磁波(diàncíbō)愿望(yuànwàng) 恰当(qiàdàng) 若干(ruògān) 加塞儿(jiāsāier) 浪费(làngfèi) 苦衷(kǔzhōng) 降(jiàng)低(dī) 夜(yè)晚(wǎn) 小(xiǎo)熊(xióng)儿(ér)存(cún)留(liú) 上(shàng)午(wǔ) 按(àn)钮(niǔ) 佛教(fójiào) 新娘(xīnniáng) 逗乐儿(dòulèer) 全面(quánmiàn)包括(bāokuò) 不用(búyòng) 培养(péiyǎng) 编纂(biānzuǎn) 扎实(zhāshi) 推测(tuīcè) 吵嘴(chǎozuǐ)均匀(jūnyún)收成(shōuchéng)然而(ránér)满口(mǎnkǒu)怪异(guàiyì)听话(tīnghuà)大学生(dàxuéshēng)发作(fāzuò) 侵略(qīn luè)钢铁(gāngtiě)孩子(háizi)光荣(guāngróng)前仆后继(qiánpūhòujì)三、朗读短文(400个音节,共30分,限时4分钟)作品37号一位访美中国女作家,在纽约遇到一位卖花的老太太(lǎotàitɑi)。
国家普通话水平测试题(1)一、读单音节字词(100个音节,共10分,限时3.5分钟)蹦(bâng)耍(shuǎ)德(dã)扰(rǎo) 直(zhí) 返(fǎn) 凝(níng) 秋(qiū)淡(dàn)丝(sÿ)炯(jiǒng)粗(cū)袄(ǎo)瓮(wâng)癣(xuǎn)儿(ãr)履(lǚ) 告(gào) 筒(tǒng) 猫(müo)囊(náng)驯(xùn)辱(rǔ)碟(diã)栓(shuün)来(lái)顶(dǐng)墩(dūn)忙(máng) 哀(üi)霎(shà)果(guǒ)憋(biý)捺(nà)装(zhuüng)群(qún)精(jÿng)唇(chún)亮(liàng)馆(guǎn)符(fú)肉(rîu)梯(tÿ)船(chuán)溺(nì)北(bþi)剖(pōu)民(mín)邀(yüo) 旷(kuàng)暖(nuǎn)快(kuài) 酒(jiǔ)除(chú)缺(quý)杂(zá)搜(sōu)税(shuì)脾(pí)锋(fýng)日(rì)贼(zãi)孔(kǒng)哲(zhã)许(xǔ)尘(chãn)谓(wâi) 忍(rþn) 填(tián) 颇(pō)残(cán)涧(jiàn)穷(qiïng)歪(wüi)雅(yǎ)捉(zhuō)凑(cîu)怎(zþn)虾(xiü)冷(lþng)躬(gōng)莫(mî)虽(suÿ)绢(juàn)挖(wü)伙(huǒ)聘(pìn)英(yÿng)条(tiáo) 笨(bân)敛(liǎn)墙(qiáng)岳(yuâ)黑(hýi)巨(jù)访(fǎng)自(zì)毁(huǐ) 郑(zhâng) 浑(hùn)二、读多音节词语(100个音节,共20分,限时2.5分钟)损坏(sǔnhuài) 昆虫(kūnchïng) 兴奋(xÿngfân) 恶劣(âliâ) 挂帅(guàshuài) 针鼻儿(zhýnbíer) 排斥(páichì) 采取(cǎiqǔ) 利索(lìsuǒ) 荒谬(huüngmiù) 少女(shàonǚ) 电磁波(diàncíbō) 愿望(yu ànwàng) 恰当(qiàdàng) 若干(ruîgün) 加塞儿(jiüsüier) 浪费(làngfâi) 苦衷(kǔzhōng) 降(jiàng)低(dÿ) 夜(yâ)晚(wǎn) 小(xiǎo)熊(xiïng)儿(ãr)存(cún)留(liú) 上(shàng)午(wǔ) 按(àn)钮(niǔ) 佛教(fïjiào) 新娘(xÿnniáng) 逗乐儿(dîulâer) 全面(quánmiàn)包括(büokuî) 不用(búyîng) 培养(pãiyǎng) 编纂(biünzuǎn) 扎实(zhüshi) 推测(tuÿcâ) 吵嘴(chǎozuǐ) 均匀(jūnyún)收成(shōuchãng) 然而(ránãr) 满口(mǎnkǒu) 怪异(gu àiyì) 听话(tÿnghuà) 大学生(dàxuãshýng) 发(fü)作(zuî)侵(qÿn)略(luâ) 钢(güng)铁(tiþ) 孩(hái)子(zi) 光(guüng)荣(rïng) 前(qián)仆(pū)后(h îu)继(jì)三、朗读短文(400个音节,共30分,限时4分钟)作品37号四、命题说话(请在下列话题中任选一个,共40分,限时3分钟)1.难忘的旅行 72.谈谈卫生与健康10作为一个普通中学的普通教师,我的旅游机会是少而又少的。
国家普通话水平测试试卷(1)一、读单音节字词( 100个音节,共 10分,限时 3.5 分钟)。
请横向朗读!bang shu ǎd?r ǎo zhí f ǎn níng qi ūdàn s ī蹦耍德扰直返凝秋淡丝ji ǒng c ūǎo wang xuǎn?r l ǚgào t ǒng māo 炯粗袄瓮癣儿履告筒猫náng xùn r ǔdi ?shuān l ái dǐng dūn mángāi 囊驯辱碟栓来顶墩忙哀shàguǒbi ēnàzhuāng qún j īng chún li àng guǎn 霎果憋捺装群精唇亮馆f úr ?u t īchuán nìběi pōu mín yāo kuàng 符肉梯船溺北剖民邀旷nuǎn kuài ji ǔchúquēzás ōu shuìpí f ēng 暖快酒除缺杂搜税脾锋r ìz?i k ǒng zh?xǔch?n wai r ěn ti án pō日贼孔哲许尘谓忍填颇cán ji àn qi ?ng wāi y ǎzhuōc?u zěn xi āl ěng 残涧穷歪雅捉凑怎虾冷gōng m?suīju àn wāhuǒpìn yīng ti áo ban 躬莫虽绢挖伙聘英条笨li ǎn qi áng yua hēi j ù f ǎng zìhuǐzhang hún 敛墙岳黑巨访自毁郑浑二、读多音节词语( 100个音节,共 20分,限时 2.5 分钟)。
请横向朗读!sǔn huài k ūn ch?ng xīng f an a li a guàshuài zhēnbír损坏昆虫兴奋恶劣挂帅针鼻儿pái chì c ǎi qǔl ì suo huāng miùsh ào nǚdi àn cí bō排斥采取利索荒谬少女电磁波yuànwàng qi àdàng ru ? gān ji āsāir l àng f ai k ǔzhōng 愿·望恰当若干加塞儿浪费苦衷ji àng dīya wǎn xi ǎoxi ?ngr cún li úshàng wǔàn niǔ降低夜晚小熊儿存留上午按钮f ? ji ào x īn ni áng d?ul ar quánmiàn bāo ku?búy?ng佛教新娘逗乐儿全面包括不用p?i yǎng bi ānzuǎn zhā shi tu ī ca chǎo zuǐj ūn y ún培养编纂扎实推测吵嘴均匀shōucheng r án ?r mǎn kǒu guài y ìt īng huàdà xu? shēng 收成然而满口怪异听话大学生f ā zu?qīn lu a gāng ti ěhái zi guāngr ?ng qi án pū h?u j ì发作侵略钢铁孩子光荣前仆后继三、朗读短文( 400个音节,共 30分,限时 4分钟)Y íwai f ǎnɡMěi Zh ōnɡɡu? n ǚzu?ji āz ài Niǔyuēy ùdào y íwai 一位访美中国女作家,在纽约遇到一位mài hu āde lǎot àit ɑi Lǎot àitɑi chuānzhu? p ?ji ù sh ēnt ǐx ūru ?卖花的老太太。
2023年全国普通话等级考试试题带答案2023年全国普通话等级考试试题带答案(精选篇1)一、读单音节字词(100个音节,共10分,限时3.5分钟)yǎ zhù rǎn tínɡ hòu wǎn jìnɡ chuānɡ yóu ɡuāi zhònɡ jūn còu wěn qi ā jiànɡ yē哑铸染亭后挽敬疮游乖仲君凑稳掐酱椰Bó fēnɡ zhànɡ铂峰账jiāo pènɡ nuǎn pū lónɡài lí niǎo qué mì chénɡ bīn hé zhuān cǐ sōu xuě féi xūn焦碰暖扑龙碍离鸟瘸密承滨盒专此艘雪肥薰liú硫xuān biǎo dí qiān tào diān qì zǎo shuā huài suīɡǔn zá juàn kěn q ū suǒɡuàn宣表嫡迁套滇砌藻刷坏虽滚杂倦垦屈所惯shí chě实扯zāi é lǚɡōnɡ ná wù fěn kuí tǎnɡ ròu tiě rì fān ménɡɡuǎ māo jiǒn ɡ nèi栽额屡弓拿物粉葵躺肉铁日帆萌寡猫窘内xiónɡ sǎn雄伞wā zànɡ kuā dài luó bìnɡ cuī kuánɡ bǎo pòér shěn xián rùn má yǎn ɡ pán zì nín 蛙葬夸戴罗并摧狂饱魄而沈贤润麻养盘自您hǔ虎二、读多音节词语(100个音节,共20分,限时2.5分钟)ɡōu huàɡānɡ cái sōnɡ ruǎn bàn jié qiónɡ rén chǎo zuǐ pīnɡ pānɡ qi ú勾画刚才松软半截穷人吵嘴乒乓球shǎo nǚ cuàn duó niú dùn少女篡夺牛顿chén mò fù wēnɡ shǎ zǐ chí xù fó xiànɡ bèi wōér quán bù rǔ zhī du ì zhào jiā沉默富翁傻子持续佛像被窝儿全部乳汁对照家 huo miè wánɡ lián mián伙灭亡连绵xiǎo tuǐ yuán zé wài ɡuó xì fǎér qīn lüè yǒnɡ tàn diào yú kuài s ā huǎnɡ小腿原则外国戏法儿侵略咏叹调愉快撒谎xià lái kūn chónɡ下来昆虫yì sī shēnɡ mínɡ huàn zhě wèi cénɡɡǎn kǎi lǎo tóu ér qún tǐ hónɡ ni ánɡ jué dé意思声明患者未曾感慨老头儿群体红娘觉得pái yǎn zàn měi排演赞美yùn shū zhuā jǐn ér tónɡ zhènɡ zhuànɡ jī lnɡánɡ shǒu运输抓紧儿童症状机灵昂首三、朗读短文(400个音节,共30分,限时4分钟)作品46号高兴,这是一种具体的被看得到摸得着(mōdezháo)的事物所唤起的情绪。
国家普通话水平测试题(1)一、读单音节字词(100个音节,共10分,限时3.5分钟)蹦(bèng) 耍(shuǎ) 德(dé) 扰(rǎo) 直(zhí) 返(fǎn) 凝(níng) 秋(qiū) 淡(dàn) 丝(sī) 炯(jiǒng) 粗(cū) 袄(ǎo) 瓮(wèng) 癣(xuǎn) 儿(ér) 履(lǚ) 告(gào) 筒(tǒng) 猫(māo)囊(náng) 驯(xùn) 辱(rǔ) 碟(dié) 栓(shuān) 来(lái) 顶(dǐng) 墩(dūn) 忙(máng) 哀(āi) 霎(shà) 果(guǒ) 憋(biē) 捺(nà) 装(zhuāng) 群(qún) 精(jīng) 唇(chún) 亮(liàng) 馆(guǎn) 符(fú) 肉(ròu) 梯(tī) 船(chuán) 溺(nì) 北(běi) 剖(pōu) 民(mín) 邀(yāo) 旷(kuàng) 暖(nuǎn) 快(kuài) 酒(jiǔ) 除(chú) 缺(quē) 杂(zá) 搜(sōu) 税(shuì) 脾(pí) 锋(fēng) 日(rì) 贼(zéi) 孔(kǒng) 哲(zhé) 许(xǔ) 尘(chén) 谓(wèi)忍(rěn) 填(tián) 颇(pō) 残(cán) 涧(jiàn) 穷(qióng) 歪(wāi) 雅(yǎ) 捉(zhuō) 凑(còu) 怎(zěn) 虾(xiā) 冷(lěng) 躬(gōng) 莫(mò)虽(suī) 绢(juàn) 挖(wā) 伙(huǒ) 聘(pìn) 英(yīng) 条(tiáo) 笨(bèn) 敛(liǎn) 墙(qiáng) 岳(yuè) 黑(hēi) 巨(jù) 访(fǎng) 自(zì) 毁(huǐ) 郑(zhèng) 浑(hùn)二、读多音节词语(100个音节,共20分,限时2.5分钟)损坏(sǔnhuài)昆虫(kūnchóng)兴奋(xīngfèn) 恶劣(èliè) 挂帅(guàshuài) 针鼻儿(zhēnbíer) 排斥(páichì) 采取(cǎiqǔ) 利索(lìsuǒ) 荒谬(huāngmiù) 少女(shàonǚ) 电磁波(diàncíbō) 愿望(yuànwàng) 恰当(qiàdàng) 若干(ruògān) 加塞儿(jiāsāier) 浪费(làngfèi) 苦衷(kǔzhōng) 降(jiàng)低(dī) 夜(yè)晚(wǎn) 小(xiǎo)熊(xióng)儿(ér)存(cún)留(liú) 上(shàng)午(wǔ) 按(àn)钮(niǔ) 佛教(fójiào) 新娘(xīnniáng) 逗乐儿(dòulèer) 全面(quánmiàn)包括(bāokuò) 不用(búyòng) 培养(péiyǎng) 编纂(biānzuǎn) 扎实(zhāshi) 推测(tuīcè) 吵嘴(chǎozuǐ) 均匀(jūnyún)收成(shōuchéng)然而(ránér)满口(mǎnkǒu)怪异(guàiyì)听话(tīnghuà)大学生(dàxuéshēng)发(fā)作(zuò) 侵(qīn)略(luè)钢(gāng)铁(tiě)孩(hái)子(zi)光(guāng)荣(róng)前(qián)仆(pū)后(hòu)继(jì)三、朗读短文(400个音节,共30分,限时4分钟)作品37号一位访美中国女作家,在纽约遇到一位卖花的老太太(lǎotàitɑi)。
国家普通话水平测试题(1)一、读单音节字词(100个音节,共10分,限时3.5分钟)蹦(bèng) 耍(shuǎ) 德(dé) 扰(rǎo) 直(zhí) 返(fǎn) 凝(níng) 秋(qiū) 淡(dàn) 丝(sī)炯(jiǒng) 粗(cū) 袄(ǎo) 瓮(wèng) 癣(xuǎn) 儿(ér) 履(lǚ) 告(gào) 筒(t ǒng) 猫(māo)囊(náng) 驯(xùn) 辱(rǔ) 碟(dié) 栓(shuān) 来(lái) 顶(dǐng) 墩(dūn) 忙(máng) 哀(āi)霎(shà) 果(guǒ) 憋(biē) 捺(nà) 装(zhuāng) 群(qún) 精(jīng) 唇(chún) 亮(liàng) 馆(guǎn)符(fú) 肉(ròu) 梯(tī) 船(chuán) 溺(nì) 北(běi) 剖(pōu) 民(mín) 邀(y āo) 旷(kuàng)暖(nuǎn) 快(kuài) 酒(jiǔ) 除(chú) 缺(quē) 杂(zá) 搜(sōu) 税(shuì) 脾(pí) 锋(fēng)日(rì) 贼(zéi) 孔(kǒng) 哲(zhé) 许(hǔ) 尘(chén) 谓(wèi) 忍(rěn) 填(tián) 颇(pō)残(cán) 涧(jiàn) 穷(qióng) 歪(wāi) 雅(yǎ) 捉(zhuō) 凑(còu) 怎(zěn) 虾(xiā) 冷(lěng)躬(gōng) 莫(mò) 虽(suī) 绢(juàn) 挖(wā) 伙(huǒ) 聘(pìn) 英(yīng) 条(tiáo) 笨(bèn)敛(liǎn) 墙(qiáng) 岳(yuè) 黑(hēi) 巨(jù) 访(fǎng) 自(zì) 毁(huǐ) 郑(zhèng) 浑(hùn)二、读多音节词语(100个音节,共20分,限时2.5分钟)损坏(sǔnhuài) 昆虫(kūnchóng) 兴奋(xīngfèn) 恶劣(èliè) 挂帅(guàshuài) 针鼻儿(zhēnbíer) 排斥(páichì)采取(cǎiqǔ) 利索(lìsuǒ) 荒谬(huāngmiù) 少女(shàonǚ) 电磁波(diàncíbō) 愿望(yuànwàng) 恰当(qiàdàng)若干(ruògān) 加塞儿(jiāsāier) 浪费(làngfèi) 苦衷(kǔzhōng) 降(jiàng)低(dī) 夜(yè)晚(wǎn) 小(xiǎo)熊(xióng)儿(ér)存(cún)留(liú) 上(shàng)午(wǔ) 按(àn)钮(niǔ) 佛教(fójiào) 新娘(xīnniáng) 逗乐儿(dòulèer) 全面(quánmiàn)包括(bāokuò) 不用(búyòng) 培养(péiyǎng) 编纂(biānzuǎn) 扎实(zhāshi) 推测(tuīcè) 吵嘴(chǎozuǐ) 均匀(jūnyún)收成(shōuchéng) 然而(ránér) 满口(mǎnkǒu) 怪异(guàiyì) 听话(tīnghuà)大学生(dàxuéshēng) 发(fā)作(zuò)侵(qīn)略(luè) 钢(gāng)铁(tiě) 孩(hái)子(zi) 光(guāng)荣(róng) 前(qián)仆(pū)后(hòu)继(jì)三、朗读短文(400个音节,共30分,限时4分钟)作品37号yí wèi fǎnɡ měi zhōnɡɡuó nǚ zuò jiā, zài niǔ yuē yù dào yí wèi mài huā de lǎo tài tɑi 。
普通话试题及答案全套# 普通话水平测试试题及答案## 一、普通话语音知识测试### 1. 单音节字词- 正确发音下列字词:(10分)- 春(chūn)、夏(xià)、秋(qiū)、冬(dōng)- 红(hóng)、黄(huáng)、蓝(lán)、绿(lǜ)- 书(shū)、包(bāo)、笔(bǐ)、本(běn)### 2. 多音节词语- 正确发音下列词语:(10分)- 长城(Chángchéng)、黄河(Huánghé)- 故宫(Gùgōng)、天安门广场(Tiān'ānmén guǎngchǎng)### 3. 朗读短文- 朗读以下短文,并注意语音、语调、停顿等:(20分)- 春天来了,万物复苏。
小草从地里探出头来,花儿也竞相开放。
小朋友们在公园里放风筝,享受着温暖的阳光。
## 二、普通话语法知识测试### 1. 词性辨析- 判断下列词语的词性:(10分)- 学习(xuéxí):动词- 书籍(shūjí):名词- 快乐(kuàilè):形容词### 2. 句子成分分析- 分析下列句子的主语、谓语、宾语:(10分)- 我(wǒ)喜欢(xǐhuān)阅读(yuèdú)。
### 3. 句型转换- 将下列句子转换成被动句:(10分)- 学生们(Xuéshēngmen)正在(zhèngzài)讨论(tàolùn)问题(wèntí)。
## 三、普通话听力理解测试### 1. 听写句子- 听录音,写下听到的句子:(20分)### 2. 听力选择题- 听录音,选择正确的答案:(20分)- 问题:录音中提到了哪些节日?- 选项:A. 春节 B. 中秋节 C. 端午节## 四、普通话口语表达测试### 1. 描述图片- 观察图片,描述图片内容:(10分)### 2. 话题讨论- 就给定话题进行讨论,并表达自己的观点:(20分)- 话题:如何看待网络对青少年的影响?## 参考答案### 一、普通话语音知识测试- 单音节字词:正确发音即可。
国家普通话水平测试试卷(1)一、读单音节字词(100个音节,共10分,限时分钟)。
请横向朗读!蹦b èng 耍shu ǎ 德d é 扰r ǎo 直zh í 返f ǎn 凝n íng 秋qi ū 淡d àn 丝s ī 炯ji ǒng 粗c ū 袄ǎo 瓮w èng 癣xu ǎn 儿ér 履l ǚ 告g ào 筒t ǒng 猫m āo 囊n áng 驯x ùn 辱r ǔ 碟di é 栓shu ān 来l ái 顶d ǐng 墩d ūn 忙m áng 哀āi 霎sh à 果gu ǒ 憋bi ē 捺n à 装zhu āng 群q ún 精j īng 唇ch ún 亮li àng 馆gu ǎn 符f ú 肉r òu 梯t ī 船chu án 溺n ì 北b ěi 剖p ōu 民m ín 邀y āo 旷ku àng 暖nu ǎn 快ku ài 酒ji ǔ 除ch ú 缺qu ē 杂z á 搜s ōu 税shu ì 脾p í 锋f ēng 日r ì 贼z éi 孔k ǒng 哲zh é 许x ǔ 尘ch én 谓w èi 忍r ěn 填ti án 颇p ō 残c án 涧ji àn 穷qi óng 歪w āi 雅y ǎ 捉zhu ō 凑c òu 怎z ěn 虾xi ā 冷l ěng 躬g ōng 莫m ò 虽su ī 绢ju àn 挖w ā 伙hu ǒ 聘p ìn 英y īng 条ti áo 笨b èn 敛li ǎn 墙qi áng 岳yu è 黑h ēi 巨j ù 访f ǎng 自z ì 毁hu ǐ 郑zh èng 浑h ún二、读多音节词语(100个音节,共20分,限时分钟)。
国家普通话水平测试题(1)一、读单音节字词(100个音节,共10分,限时3.5分钟)蹦(bèng) 耍(shuǎ) 德(dé) 扰(rǎo) 直(zhí) 返(fǎn) 凝(níng) 秋(qiū) 淡(dàn) 丝(sī) 炯(jiǒng) 粗(cū) 袄(ǎo) 瓮(wèng) 癣(xuǎn) 儿(ér) 履(lǚ) 告(gào) 筒(tǒng) 猫(māo)囊(náng) 驯(xùn) 辱(rǔ) 碟(dié) 栓(shuān) 来(lái) 顶(dǐng) 墩(dūn) 忙(máng) 哀(āi) 霎(shà) 果(guǒ) 憋(biē) 捺(nà) 装(zhuāng) 群(qún) 精(jīng) 唇(chún) 亮(liàng) 馆(guǎn) 符(fú) 肉(ròu) 梯(tī) 船(chuán) 溺(nì) 北(běi) 剖(pōu) 民(mín) 邀(yāo) 旷(kuàng) 暖(nuǎn) 快(kuài) 酒(jiǔ) 除(chú) 缺(quē) 杂(zá) 搜(sōu) 税(shuì) 脾(pí) 锋(fēng) 日(rì) 贼(zéi) 孔(kǒng) 哲(zhé) 许(xǔ) 尘(chén) 谓(wèi)忍(rěn) 填(tián) 颇(pō) 残(cán) 涧(jiàn) 穷(qióng) 歪(wāi) 雅(yǎ) 捉(zhuō) 凑(còu) 怎(zěn) 虾(xiā) 冷(lěng) 躬(gōng) 莫(mò)虽(suī) 绢(juàn) 挖(wā) 伙(huǒ) 聘(pìn) 英(yīng) 条(tiáo) 笨(bèn) 敛(liǎn) 墙(qiáng) 岳(yuè) 黑(hēi) 巨(jù) 访(fǎng) 自(zì) 毁(huǐ) 郑(zhèng) 浑(hùn)二、读多音节词语(100个音节,共20分,限时2.5分钟)损坏(sǔnhuài)昆虫(kūnchóng)兴奋(xīngfèn) 恶劣(èliè) 挂帅(guàshuài) 针鼻儿(zhēnbíer) 排斥(páichì) 采取(cǎiqǔ) 利索(lìsuǒ) 荒谬(huāngmiù) 少女(shàonǚ) 电磁波(diàncíbō) 愿望(yuànwàng) 恰当(qiàdàng) 若干(ruògān) 加塞儿(jiāsāier) 浪费(làngfèi) 苦衷(kǔzhōng) 降(jiàng)低(dī) 夜(yè)晚(wǎn) 小(xiǎo)熊(xióng)儿(ér)存(cún)留(liú) 上(shàng)午(wǔ) 按(àn)钮(niǔ) 佛教(fójiào) 新娘(xīnniáng) 逗乐儿(dòulèer) 全面(quánmiàn)包括(bāokuò) 不用(búyòng) 培养(péiyǎng) 编纂(biānzuǎn) 扎实(zhāshi) 推测(tuīcè) 吵嘴(chǎozuǐ) 均匀(jūnyún)收成(shōuchéng)然而(ránér)满口(mǎnkǒu)怪异(guàiyì)听话(tīnghuà)大学生(dàxuéshēng)发(fā)作(zuò) 侵(qīn)略(luè)钢(gāng)铁(tiě)孩(hái)子(zi)光(guāng)荣(róng)前(qián)仆(pū)后(hòu)继(jì)三、朗读短文(400个音节,共30分,限时4分钟)作品37号一位访美中国女作家,在纽约遇到一位卖花的老太太(lǎotàitɑi)。
国家普通话水平测试题(1)一、读单音节字词(100个音节,共10分,限时3.5分钟)蹦(bèng) 耍(shuǎ) 德(dé) 扰(rǎo) 直(zhí) 返(fǎn) 凝(níng) 秋(qiū) 淡(dàn) 丝(sī) 炯(jiǒng) 粗(cū) 袄(ǎo) 瓮(wèng) 癣(xuǎn) 儿(ér) 履(lǚ) 告(gào) 筒(tǒng) 猫(māo)囊(náng) 驯(xùn) 辱(rǔ) 碟(dié) 栓(shuān) 来(lái) 顶(dǐng) 墩(dūn) 忙(máng) 哀(āi) 霎(shà) 果(guǒ) 憋(biē) 捺(nà) 装(zhuāng) 群(qún) 精(jīng) 唇(chún) 亮(liàng) 馆(guǎn) 符(fú) 肉(ròu) 梯(tī) 船(chuán) 溺(nì) 北(běi) 剖(pōu) 民(mín) 邀(yāo) 旷(kuàng) 暖(nuǎn) 快(kuài) 酒(jiǔ) 除(chú) 缺(quē) 杂(zá) 搜(sōu) 税(shuì) 脾(pí) 锋(fēng) 日(rì) 贼(zéi) 孔(kǒng) 哲(zhé) 许(xǔ) 尘(chén) 谓(wèi)忍(rěn) 填(tián) 颇(pō) 残(cán) 涧(jiàn) 穷(qióng) 歪(wāi) 雅(yǎ) 捉(zhuō) 凑(còu) 怎(zěn) 虾(xiā) 冷(lěng) 躬(gōng) 莫(mò)虽(suī) 绢(juàn) 挖(wā) 伙(huǒ) 聘(pìn) 英(yīng) 条(tiáo) 笨(bèn) 敛(liǎn) 墙(qiáng) 岳(yuè) 黑(hēi) 巨(jù) 访(fǎng) 自(zì) 毁(huǐ) 郑(zhèng) 浑(hùn)二、读多音节词语(100个音节,共20分,限时2.5分钟)损坏(sǔnhuài)昆虫(kūnchóng)兴奋(xīngfèn) 恶劣(èliè) 挂帅(guàshuài) 针鼻儿(zhēnbíer) 排斥(páichì) 采取(cǎiqǔ) 利索(lìsuǒ) 荒谬(huāngmiù) 少女(shàonǚ) 电磁波(diàncíbō) 愿望(yuànwàng) 恰当(qiàdàng) 若干(ruògān) 加塞儿(jiāsāier) 浪费(làngfèi) 苦衷(kǔzhōng) 降(jiàng)低(dī) 夜(yè)晚(wǎn) 小(xiǎo)熊(xióng)儿(ér)存(cún)留(liú) 上(shàng)午(wǔ) 按(àn)钮(niǔ) 佛教(fójiào) 新娘(xīnniáng) 逗乐儿(dòulèer) 全面(quánmiàn)包括(bāokuò) 不用(búyòng) 培养(péiyǎng) 编纂(biānzuǎn) 扎实(zhāshi) 推测(tuīcè) 吵嘴(chǎozuǐ) 均匀(jūnyún)收成(shōuchéng)然而(ránér)满口(mǎnkǒu)怪异(guàiyì)听话(tīnghuà)大学生(dàxuéshēng)发(fā)作(zuò) 侵(qīn)略(luè)钢(gāng)铁(tiě)孩(hái)子(zi)光(guāng)荣(róng)前(qián)仆(pū)后(hòu)继(jì)三、朗读短文(400个音节,共30分,限时4分钟)作品37号一位访美中国女作家,在纽约遇到一位卖花的老太太(lǎotàitɑi)。
全国普通话等级考试试题第一部分:听力理解1. 请听下面的对话,回答问题。
对话一:W:你觉得今天怎么样?M:挺好的,天气不错,而且我昨晚睡得很好。
问题一:这两个人在谈论什么?对话二:W:你打算明天去游泳吗?M:是的,我已经买了游泳票,准备早点到游泳池。
问题二:明天这个人打算做什么?对话三:W:你知道最近的电影院在哪里吗?M:不太清楚,你可以问问服务台的人。
问题三:这两个人在讨论什么地方?对话四:W:你想吃中餐还是西餐?M:我倒无所谓,看你喜欢吃什么。
问题四:这两个人在商量吃什么?对话五:W:你打算什么时候去机场接他?M:我计划在下午三点左右到达。
问题五:这两个人在讨论什么时间?2. 请听下面的独白,回答问题。
独白一:大家好,欢迎来到我校的体育馆。
我们的体育馆设有游泳池、羽毛球场、乒乓球室和健身房。
游泳池每天早上7点开放,晚上8点关闭。
羽毛球场和乒乓球室可以提前一周预约。
健身房24小时开放,请大家合理安排时间。
谢谢!问题一:体育馆提供哪些设施?独白二:大家好,我是今天的导游。
现在我们来参观我们学校的图书馆。
图书馆共有五层楼,每个楼层拥有不同的图书类别。
请各位自觉保持安静,不要在图书馆内大声喧哗。
此外,图书馆每周日不对外开放,请注意时间安排。
谢谢!问题二:学校图书馆每周几不对外开放?第二部分:阅读理解阅读一参观大妈妈茶叶店大妈妈茶叶店位于市中心的步行街上,是一家历史悠久的茶叶专卖店。
这家店创建于1950年,至今已有70年的历史。
大妈妈茶叶店以和谐的环境、高品质的茶叶和热情的服务而闻名。
在大妈妈茶叶店里,你可以品尝到来自国内各个地区的传统名茶,如龙井、碧螺春等。
所有的茶叶都是经过严格挑选和精心处理的,确保给顾客提供最好的品质。
此外,大妈妈茶叶店还提供各式各样的茶具和茶叶礼盒作为纪念品或送礼之用。
你可以在这里购买到精美的茶叶和茶具,并且得到专业的建议和指导。
如果你对茶叶文化感兴趣,大妈妈茶叶店也定期举办茶艺表演和讲座,让你更好地了解茶叶的文化与历史。
国家普通话水平测试题(1)一、读单音节字词(100个音节,共10分,限时3.5分钟)蹦(bèng) 耍(shuǎ) 德(dé) 扰(rǎo) 直(zhí) 返(fǎn) 凝(níng) 秋(qiū) 淡(dàn) 丝(sī) 炯(jiǒng) 粗(cū) 袄(ǎo) 瓮(wèng) 癣(xuǎn) 儿(ér) 履(lǚ) 告(gào) 筒(tǒng) 猫(māo)囊(náng) 驯(xùn) 辱(rǔ) 碟(dié) 栓(shuān) 来(lái) 顶(dǐng) 墩(dūn) 忙(máng) 哀(āi) 霎(shà) 果(guǒ) 憋(biē) 捺(nà) 装(zhuāng) 群(qún) 精(jīng) 唇(chún) 亮(liàng) 馆(guǎn) 符(fú) 肉(ròu) 梯(tī) 船(chuán) 溺(nì) 北(běi) 剖(pōu) 民(mín) 邀(yāo) 旷(kuàng) 暖(nuǎn) 快(kuài) 酒(jiǔ) 除(chú) 缺(quē) 杂(zá) 搜(sōu) 税(shuì) 脾(pí) 锋(fēng) 日(rì) 贼(zéi) 孔(kǒng) 哲(zhé) 许(xǔ) 尘(chén) 谓(wèi)忍(rěn) 填(tián) 颇(pō) 残(cán) 涧(jiàn) 穷(qióng) 歪(wāi) 雅(yǎ) 捉(zhuō) 凑(còu) 怎(zěn) 虾(xiā) 冷(lěng) 躬(gōng) 莫(mò)虽(suī) 绢(juàn) 挖(wā) 伙(huǒ) 聘(pìn) 英(yīng) 条(tiáo) 笨(bèn) 敛(liǎn) 墙(qiáng) 岳(yuè) 黑(hēi) 巨(jù) 访(fǎng) 自(zì) 毁(huǐ) 郑(zhèng) 浑(hùn)二、读多音节词语(100个音节,共20分,限时2.5分钟)损坏(sǔnhuài)昆虫(kūnchóng)兴奋(xīngfèn) 恶劣(èliè) 挂帅(guàshuài) 针鼻儿(zhēnbíer) 排斥(páichì)采取(cǎiqǔ) 利索(lìsuǒ) 荒谬(huāngmiù) 少女(shàonǚ) 电磁波(diàncíbō)愿望(yuànwàng) 恰当(qiàdàng) 若干(ruògān) 加塞儿(jiāsāier) 浪费(làngfèi) 苦衷(kǔzhōng) 降(jiàng)低(dī) 夜(yè)晚(wǎn) 小(xiǎo)熊(xióng)儿(ér)存(cún)留(liú) 上(shàng)午(wǔ) 按(àn)钮(niǔ) 佛教(fójiào) 新娘(xīnniáng) 逗乐儿(dòulèer) 全面(quánmiàn)包括(bāokuò) 不用(búyòng) 培养(péiyǎng) 编纂(biānzuǎn) 扎实(zhāshi) 推测(tuīcè) 吵嘴(chǎozuǐ)均匀(jūnyún)收成(shōuchéng)然而(ránér)满口(mǎnkǒu)怪异(guàiyì)听话(tīnghuà)大学生(dàxuéshēng)发作(fāzuò) 侵略(qīn luè)钢铁(gāngtiě)孩子(háizi)光荣(guāngróng)前仆后继(qiánpūhòujì)三、朗读短文(400个音节,共30分,限时4分钟)作品37号一位访美中国女作家,在纽约遇到一位卖花的老太太(lǎotàitɑi)。
普通话考试试题一一、读单音节字词100个偶ǒu 铡zhá红hóng 我wǒ姨yí秋qiū次cì剜wān 逮dài 平píng 翁wēng 挠náo 氧yǎng 食shí判pàn 镖biāo 佣yōng 涩sè糖táng 野yě敏mǐn 痣zhì丢diū遍biàn 捐ju ān 而ér 仍réng 接jiē水shuǐ日rì音yīn 劣liè奖jiǎng 花huā邹zōu 源yuán 兄xiōng 咱zán 润rùn 发fā旬xún 线xiàn 扯chě拐guǎi 虐nüè品pǐn 爱ài 尚shàng 约yuē劝quàn 梦mèng 留liú共gòng 撕sī否fǒu/pǐ案àn 框kuàng 旅lǚ搓cuō瘫tān 踹chuài 蛙wā踩cǎi 纫rèn 怀huái 襄xiāng 瓜guā俩liǎng 主zhǔ撒sā/sǎ鸣míng 准zhǔn 击jī穿chuān 嘣bēng 迟chí肥féi 均jūn 窜cuàn 混hùn 销xiāo 偏piān 苔tái 醉zuì你nǐ擂léi 阔kuò缺quē克kè胞bāo 裆dāng 女nǚ苏sū子zǐ氢qīng 申shēn 门mén 光guāng 掐qiā度dù二、读双音节词语50个选举鹌鹑用力军事豆芽儿赌博运输原则恳请全面草包约会女子旅馆死扣儿光明海洋痛快遵守暖气推动挂号抓紧恐怖牛奶支持描写灯笼穷人群岛略微削弱荒唐装配旦角儿损坏着想柠檬硫酸藕节儿夹杂篡改怪癖耍滑飘洒帮厨搀扶非分惨然恶心三、朗读那时候刚好下着雨, 柏油路面湿冷冷的, 还闪烁着青、黄、红颜色的灯光。
我们就在骑楼下躲雨, 看绿色的邮筒孤独地站在街的对面。
我白色风衣的大口袋里有一封要寄给在南部的母亲的信。
樱子说, 她可以撑伞过去帮我寄信。
我默默点头, 把信交给她。
“谁叫我们只带一把小伞哪。
”她微笑着说, 一面撑起伞, 准备过马路去帮我寄信。
从她伞骨渗下来的小雨点溅在我眼镜玻璃上。
随着一声尖厉的刹车声, 樱子的一生轻轻地飞了起来, 缓缓地, 飘落在冷湿的街面, 好像一只夜晚的蝴蝶。
虽然是春天, 好像已是深秋了。
她只是过马路去帮我寄信。
这样简单的动作, 却要叫我终生难忘了。
我缓缓睁开眼, 茫然站在骑楼下, 眼里裹着滚烫的泪水。
世上所有的车子都停了下来, 人潮涌向马路中央。
没有人知道那躺在街面的, 就是我的蝴蝶。
这时, 她只离我五公尺, 竟是那么遥远。
更大的雨点溅在我的眼镜上, 溅到我的生命里。
为什么呢只带一把伞然而我又看到樱子穿着白色的风衣, 撑着伞, 静静地过马路了。
她是要帮我寄信的。
那, 那是一封写给在南部的母亲的信, 我茫然站在骑楼下, 我又看到永远的樱子走到街心。
其实雨下得并不很大, 却是一生一世中最大的一场雨。
而那封信是这样写的, 年轻的樱子知不知道呢妈妈: 我打算在下个月和樱子结婚。
( 节选自陈启佑《永远的蝴蝶》)四、说话:( 任选一个题目说3-4 分钟)1. 环境与生存2. 我最尊敬的一个人我最尊敬的一个人生活中令我尊敬的人很多,今天我要写的是我最尊敬的一个人,她是谁呢?也许看完这篇文章你就会知道了。
博学多识的教师她是一所小学的一名普通的教师,语文课上,她声情并茂的语言总能引人入胜,无论是每堂课的导语,还是对学生每一个问题的解说,她总能引经据典,讲的让人口服心服。
我们曾问她:“老师,你怎么知道的那么多呢?”她说:“因为我是老师呀!”今年夏天,我和几个同学到老师的家里玩,我终于明白,我们的老师为什么有这么多的知识,原来在她的家里,无论是书橱里,还是床头上,甚至于客厅里的茶几上都放着各种各样的书,各种历史名着,各种优秀的期刊,无所不有。
正因为老师喜欢读书,她才有了丰富的知识,我们才从她的言谈举止中受益匪浅。
平易近人的朋友她和我们虽然属于两个不同时代的人,但是她并没有因为自己是个教师而和我们拉远距离,她仍以一个与大家平等的身份做朋友,了解大家,同学们也喜欢和她在一起,因为和她在一起总是显得那么轻松,敢于无拘无束的表现自己,她总是让人忍不住要亲近她,所以课间的十分钟,她的周围总是有许多学生在围绕着她,她会和我们一起说,一起开心的笑,她说话的口吻总是那样的和蔼可亲,让人感觉到她是那样的平易近人。
无私奉献的园丁她和每一位普通教师一样有着无私奉献的精神,她日夜操劳,忙为学生们批改作业,担心哪个学生会走向歧途,指导每个学生怎样学习怎样做人……对她的每一个学生,都像对自己的孩子一样给予关心和爱护,像园丁一样天天给花儿浇水,天天给树儿施肥,盼望着每一个孩子都有一个美好的未来。
她就是这样默默无闻的把她的爱奉献给了每一个学生,班里有个同学有智力障碍,说话结巴,她就执着的教这个孩子说话,种子教了水会发芽。
树儿施了肥会生绿叶,带着她的希望,那个学生终于能说话连成句子,能说话说的通顺。
她不求任何回报,她只求她的学生将来都能有一个美好的前程。
你或许早已猜出她是谁来了吧,是的,她就是我们的语文老师——李老师!普通话考试试题二一、读单音节字词100个??铡zhá?白bái?杀shā鹤hè痣zhì舌shé逮dài?若ruò池chí筛shāi?得dé字zì给gěi?二èr?鳃sāi?棉mián?宰zǎi?拣jiǎn?凹āo?淋lín?槽cáo?品pǐn?朝zhāo?腔qiāng?挠náo?巷xiàng?泡pào?柄bǐng?藕ǒu?另lìng?邹zōu?氢qīng?轴zhóu?腹fù岸àn?努nǔ榄lǎn?筑zhù瘫tān?哭kū判pàn?粗cū忍rěn?藏cáng?午wǔ缸gāng?震zhèn?纺fǎng?挂guà忙máng?耍shuǎ憎zēng?祸huò乘chéng?索suǒ正zhèng?踹chuài?缝féng?坏huài?梦mèng?隋suí戏xì褪tùn?溺nì霞xiá款kuǎn?颊jiá环huán?掖yè蒜suàn?谢xiè弯wān?爹diē舜sh ùn?飘piāo?损sǔn?表biǎo?闯chuǎng?修xiū撞zhuàng?玖jiǔ童tóng?约yuē胸xiōng?劝quàn?孔kǒng?徐xú绒róng?俊jùn?翁wēng?略lüè宋sòng?群qún?掘jué总zǒng?荀xún?穷qióng?旅lǚ婶shěn?卷juàn?二、读双音节字词50个?把手美妙盆地逆流铁道强盛凝níng结快速轮廓居然酗酒略微穷苦捐献雄壮法郎配合号召约会北面反映一下儿运动放心更加小孩儿普遍亲戚抓紧有点儿讲座推广问题群众原料荣辱闯荡酸楚琐碎串供催促婶婶揣测耍弄惨败傻眼死扣儿崽子使馆早产?三、朗读?雨声渐渐地住了,?窗帘后隐隐地透进清光来。
推开窗户一看,?呀!?凉云散了,?树叶上的残滴,?映着月儿,?好似萤光千点,?闪闪烁烁地动着。
——真没想到苦雨孤灯之后,?会有这么一幅清美的图画!?凭窗站了一会儿,?微微地觉着凉意浸人。
转过身来,?忽然眼花缭乱,?屋子里的别的东西,都隐在光云里,?一片幽辉,?只浸着墙上画中的安琪儿。
——这白衣的安琪儿,?抱着花儿,?扬着翅儿,?向着我微微地笑。
“这笑容仿佛在哪里看见过似的,?什么时候,?我曾……”我不知不觉地便坐在窗下想,——默默地想。
严闭的心幕,?慢慢地拉开了,?涌出五年前的一个印象。
——一条很长的古道。
驴脚下的泥,兀自滑滑的。
田沟里的水,?潺潺地流着。
近村的绿树都笼在湿烟里。
弓儿似的新月,?挂在树梢。
一边走着,?似乎道旁有一个孩子,?抱着一堆灿白的东西。
驴儿过去了,无意中回头一看。
——他抱着花,?赤着脚儿,?向着我微微地笑。
“这笑容又仿佛是哪儿见过似的”,?我仍是想——默默地想。
又现出一重心幕来,?也慢慢地地拉开了,?涌出十年前的一个印象。
——茅檐下的雨水,?一滴一滴地落到衣上来。
土阶边的水泡儿,?泛来泛去地乱转。
门前的麦垄和葡萄架子,?都灌得新黄嫩绿地非常鲜丽。
?(?节选冰心《笑》)?四、说话(?任选一个题目说3-4?分钟)??1.?对"?假日经济"?的看法?2.?我的读书生活?我的读书生活?说话(?任选一个题目说3-4?分钟)?1.?对"?假日经济"?的看法?2.?我的读书生活?我的读书生活?我的学习生活是多姿多彩的,它给我带来无穷的乐趣。
?在课堂上的学习,是有老师跟我们一起进行的。
课堂气氛非常活跃,给我的学习生活增添了色彩。
?除了课堂上的学习之外,在课外时间我的学习生活也是丰富多彩的,比如在宿舍,宿舍既是休息的地方,也是读书的好场所,尤其是午休前时间。
每天吃完午饭,同室舍友一个个像变戏法般翻出各种各样的书来读,有图书馆借来的,有书屋租来的,有自己花钱买的,可谓来源之广。
这些书中,有教人如何维护自尊的《简·爱》,有描述项羽夺权争霸的《西楚霸王》,有展现一代女皇风采的《武则天》......世界名着固然精彩,包罗万象的杂志也令人爱不释手,我们看属于自己的《女友》,看描写我们的《金色年华》。
还看已经与我们擦肩而过的《少男少女》;心情不佳时去寻觅《知音》。
与人交往受挫时找《做人与处世》,在《大众电影》中目睹心中偶像的风采,在《科幻世界》中创造未来。
?一本好书在手,一切烦恼都抛于脑后,因为有书,午休看,晚睡也看,曾无数次打手电筒躲在被窝里看,甚至不惜冒险点起蜡烛也要看,经常因此而遭到宿舍检查人员三番五次的敲门警告。
读了一本好书,总是希望有人与你分享。
每天晚上的"卧谈"时间我们谈得最多的也是书。
我们评中国四大名着的文学价值,论柯林斯的成名之作《白衣女人》,辩《黄埔将帅》,析《红与黑》在文学上的地位...?...连作品中的主人公也要评头论足一番;我们谈吴三桂、评林黛玉、薜宝钗、赞武则天,骂慈禧太后,我们各抒已见,侃侃而谈,神采飞扬。