2017年中考数学专题练习6《不等式(组)》
- 格式:docx
- 大小:157.30 KB
- 文档页数:15
一、选择题1..(2017浙江金华,9,3分)若关于x的一元一次不等式组⎩⎨⎧<->-mxxx,)2(312的解是x<5,则m的取值范围是A.m≥5 B.m>5 C.m≤5 D.m<5答案:A,解析:解不等式2x-1>3(x-2),得x<5,又x<m,且不等式组的解是x<5,根据解不等式组口诀“同小取小”,所以m的取值范围是m≥5 .2.(2017安徽中考·5.4分)不等式42x->0的解集在数轴上表示为()答案:D.解析:先解不等式42x->0的解集是x<2,在数轴上表示为,故选D.3.(2017山东威海,5,3分)不等式组21321,3232x xx++⎧->⎪⎨⎪-≥⎩的解集在数轴上表示正确的是()答案:B,解析:2132323-2x xx++⎧-⎪⎨⎪⎩>1①≥②解①得x<-2,解②得x≤1,所以不等式组解集是在数轴上表示为B.4.(2017四川自贡,4,3分)不等式组12,342xx+>-≤⎧⎨⎩的解集表示在数轴上正确的是()A.B.C.D.答案:C,解析:解不等式x+1>2,得x>1;解不等式3x-4≤2,得x≤2,∴不等式组的解集为1<x≤2,在数轴上表示这个解集为选项C.5.(2017重庆B ,12,4分)若a 使关于x 的不等式组⎪⎩⎪⎨⎧->++-≤-ax x x 4722122有且仅有四个整数解,且使关于y 的分式方程2222=-+-yy a 有非负数解,则所有满足条件的整数a 的值之和是 A .3B . 1C . 0D .-3答案:B ,解析:解不等式①得x ≤3,解不等式②得34+->a x ,∵仅有四个整数解,∴整数解是3,2,1,0,∴-4<a ≤3,∵分式方程有非负数解,∴a ≥-2且a ≠2,∴所有满足条件的整数a 有-2,-1,0,1,3,其和为1,故答案为B .6. (2017年四川内江,10,3分)不等式组⎩⎨⎧<-≥+192,273x x 的非负整数解是A .4B .5C .6D .7答案:C ,解析:先求出不等式组的解集,再求出不等式组的整数解. 解不等式①,得x ≥-35. 解不等式②,得x <5. ∴不等式组的解集为-35<x <5. ∴不等式组的整数解为-1,0,1,2,3,4,共6个.7. (2017山东临沂,4,3分)不等式组21,512x x ->⎧⎪⎨+≥⎪⎩中,不等式①和②的解集在数轴上表示正确的是( )答案:B解析:解不等式2-x >1,得x <1,解不等式512x +≥,得x ≥-3.所以原不等式组的解集为-3≤x <1,而x ≥-3在数轴上表示应该从-3向右画,并且用实心圆点,x <1在数轴上表示应该从1向左画,并且用空心圆圈,所以其解集在数轴上表示正确的应为选项B .8. (2017山东泰安,9,3分)不等式组29611x x x k ++⎧⎨-⎩><的解集为x <2.则k 的取值范围为A .k >1B .k <1C .k ≥1D .k ≤1答案:C ,解析:由92+x >16+x 得x <2,由k x -<1得x <1+k .因不等式组的解集为x <2,所以21≥+k ,即1≥k9.10.,11.12.13. 5.(2017江苏常州,5,3分)若3x>-3y ,则下列不等式中一定成立的是( ) A .x+y>0 B .x -y>0 C .x+y<0 D .x -y<0 【答案】A【解析】由3x>-3y ,得x+y>0.14.(2017青海西宁,5,3分)不等式组⎩⎨⎧≤+-1312xx<的解集在数轴上表示正确的是A.B.C.D.答案:B,解析:解不等式组,得到解集:-1<x≤1.15.(2017黑龙江大庆,3,3分)下列说法中,正确的是()A.若ba≠,则22ba≠B.若||ba>,则ba>C.若||||ba=,则ba=D.若||||ba>,则ba>答案:B,解析:考查绝对值的相关概念,B正确.16.(2017黑龙江大庆,9,3分)若实数3是不等式022<--ax的一个解,则a可取的最小正整数为()A. 2 B.3 C.4 D.5答案:D,解析:由题意解不等式得:x<22+a,∵3是不等式的一个解,∴22+a>3,∴a>4,即a的最小正整数解为5.17. 8.(2017湖北恩施中考·5分)关于x的不等式组⎩⎨⎧->-<-)1(213xxmx无解,那么m的取值范围是()A.m≤-1 B.m<-1 C.-1<m≤0 D.-1≤m<08.A.解析:解不等式x-m<0,得x<m;解不等式3x-1>2(x-1)得x>-1,由于这个不等式组无解,所以m≤-1,故选A.18.(2017贵州六盘水,6,4分)不等式3x+6≥9的解集在数轴上表示正确的是A.B.C.D.答案:C,解析:解不等式:3x+6≥9,3x≥9-6,3x≥3,x≥1,表示解集时实心点向右,∴本题选C选项.19.(2017贵州遵义)不等式6-4x≥3x-8的非负整数....解为()A.2个B.3个 C.4个D.5个答案:B,解析:不等式6-4x≥3x-8的解集为x≤2,所以它的非负整数解为2,1,0,共3个.20.不等式组10251xx-≤⎧⎨-<⎩的解集为C.4,二、填空题1.(2017山东滨州,14,4分)不等式组3(2)4,21152x xx x-->⎧⎪-+⎨⎪⎩≤的解集为___________.答案:-7≤x<1,解析:解不等式①得x<1;解不等式②得x≥-7,所以不等式组的解集为-7≤x<1.2. .(2017四川广安,14,3分)不等式组3(2)4,1213x x x x --<⎧⎪+⎨-≤⎪⎩的解集为______.答案:1<x ≤4,解析:⎪⎩⎪⎨⎧+≤---②①<32114)2(33x x x x ,解不等式①,得x >1,解不等式②,得x ≤4,所以这个不等式组的解集为1<x ≤4.15.(2017四川广安,15,3分)已知点P (1,2)关于x 轴的对称点为P ′,且P ′在直线y =kx +3上,把直线y =kx +3的图象向上平移2个单位,所得的直线解析式为______. 答案:y =-5x +5,解析:∵点P (1,2)关于x 轴的对称点为P ',∴点P '的坐标为(1,-2),∵点P '在直线y =kx +3上,∴k +3= -2,即y = -5x +3,∵直线y = -5x +3向上平移2个单位,∴所得直线解析式是:y = -5x +3+2,即y =-5x +5.3. 2017湖南岳阳,13,4分)不等式组()()303129x x x -≥⎧⎪⎨->+⎪⎩的解集是 .答案:x <-5,解析:由第一个不等式解得x ≤3,由第二个不等式解得x <-5;则解集为x <-5.4. (2017山东烟台,15,3分)运行程序如图所示,从“输入实数x ”到“结果是否<18”为一次程序操作,若输入x 后程序操作仅进行了一次就停止,则x 的取值范围是 .答案:x <8,解析:【思路分析】由题意,得3x -6<18. 解得x <8.5. 9. (2017湖南张家界,3分)不等式组⎩⎨⎧->≥21x x 的解集是____________.答案:x ≥1,解析:根据“大大取较大”知,x ≥1.6. (2017河南,12,3分)不等式组⎪⎩⎪⎨⎧<-≤-x x x 2102的解集是答案:21≤<-x ,解析:解不等式①,得:2≤x ;解不等式②,得:1->x ,∴不等式组的解集是21≤<-x .7. 12.(2017湖南永州,4分)满足不等式组⎩⎨⎧>+≤-01012x x 的整数解是________________.答案:0,解析:解不等式①得x≤21,解不等式②得x>-1,所以这个不等式组的解集是-1<x≤21,其整数解是0.8. 15.(2017海南,15,4分)不等式2x+1>0的解错误!未定义书签。
中考数学一轮复习《不等式(组)的解法及不等式的应用》练习题(含答案)(建议答题时间:60分钟)基础过关1. (2017株洲)己知实数a 、b 满足a +1>b +1,则下列选项可能错误的是( ) A. a >b B. a +2>b +2 C. -a <-b D. 2a >3b2. (2017眉山)不等式-2x >12的解集是( ) A. x <-14 B. x <-1 C. x >-14 D. x >-13. (2017安徽)不等式4-2x >0的解集在数轴上表示为( )4. (2017益阳)如图表示下列四个不等式组中其中一个的解集,这个不等式组是( )第4题图A. ⎩⎨⎧x ≥2x >-3B. ⎩⎨⎧x ≤2x <-3C. ⎩⎨⎧x ≥2x <-3D. ⎩⎨⎧x ≤2x >-35. (2017湖州)一元一次不等式组⎩⎪⎨⎪⎧2x >x -112x ≤1的解是( )A. x >-1B. x ≤2C. -1<x ≤2D. x >-1或x ≤26. (2017山西)将不等式组⎩⎨⎧2x -6≤0x +4>0的解集表示在数轴上,下面表示正确的是( )7. (2017遵义)不等式6-4x ≥3x -8的非负整数解有( ) A. 2个 B. 3个 C. 4个 D. 5个8. (2017金华)若关于x 的一元一次不等式组⎩⎨⎧2x -1>3(x -2)x <m 的解是x <5,则m的取值范围是( )A. m ≥5B. m >5C. m ≤5D. m <59. (2017百色)关于x 的不等式组⎩⎨⎧x -a ≤02x +3a >0的解集中至少有5个整数解,则正数a 的最小值是( )A. 3B. 2C. 1D. 23 10. (2017上海)不等式组⎩⎨⎧2x >6x -2>0的解集是________.11. (2017龙东)若关于x 的一元一次不等式组⎩⎨⎧x -a >01-x >x -1无解,则a 的取值范围是________.12. (2017通辽)不等式组⎩⎪⎨⎪⎧2x +1>-12x -13≥x -1的整数解是________.13. (2017牡丹江)某种商品的进价为每件100元,商场按进价提高50%后标价,为增加销量,准备打折销售,但要保证利润率不低于20%,则至多可以打________折.14. (2017烟台)运行程序如图所示,从“输入实数x ”到“结果是否<18”为一次程序操作,第14题图若输入x 后程序操作仅进行了一次就停止,则x 的取值范围是________. 15. (2017宜宾)若关于x 、y 的二元一次方程组⎩⎨⎧x -y =2m +1x +3y =3的解满足x +y >0,则m 的取值范围是________.16. (2017绍兴)解不等式:4x +5≤2(x +1).17. (2017黄冈)解不等式组:⎩⎪⎨⎪⎧3x -5<-2x3x +22≥1.18. (2017北京)解不等式组:⎩⎪⎨⎪⎧2(x +1)>5x -7x +103>2x .19. (2017宁夏)解不等式组:⎩⎪⎨⎪⎧3x +6≥5(x -2)x -52-4x -33<1.20. (2017甘肃)解不等式组⎩⎪⎨⎪⎧12(x -1)≤11-x <2,并写出该不等式组的最大整数解.21. (2017长沙)解不等式组⎩⎨⎧2x ≥-9-x ,5x -1>3(x +1),并把它的解集在数轴上表示出来.第21题图22. (2017呼和浩特)已知关于x 的不等式2m -mx 2>12x -1.(1)当m =1时,求该不等式的解集;(2)m 取何值时,该不等式有解,并求出解集.23. 关注国家政策(2017广西四市联考)为响应国家全民阅读的号召,某社区鼓励居民到社区阅览室借阅图书,并统计每年的借阅人数和图书借阅总量(单位:本),该阅览室在2014年图书借阅总量是7500本,2016年图书借阅总量是10800本.(1)求该社区的图书借阅总量从2014年至2016年的年平均增长率;(2)已知2016年该社区居民借阅图书人数有1350人,预计2017年达到1440人,如果2016年至2017年图书借阅总量的增长率不低于2014年至2016年的年平均增长率,那么2017年的人均借阅量比2016年增长a%,求a的值至少是多少?24. (2017绥化)甲、乙两个工程队计划修建一条长15千米的乡村公路,已知甲工程队每天比乙工程队每天多修路0.5千米,乙工程队单独完成修路任务所需天数是甲工程队单独完成修路任务所需天数的1.5倍.(1)求甲、乙两个工程队每天各修路多少千米?(2)若甲工程队每天的修路费用为0.5万元,乙工程队每天的修路费用为0.4万元,要使两个工程队修路总费用不超过5.2万元,甲工程队至少修路多少天?25. (2017泰安)某水果商从批发市场用8000元购进了大樱桃和小樱桃各200千克,大樱桃的进价比小樱桃的进价每千克多20元,大樱桃售价为每千克40元,小樱桃售价为每千克16元.(1)大樱桃和小樱桃的进价分别是每千克多少元?销售完后,该水果商共赚了多少元钱?(2)该水果商第二次仍用8000元钱从批发市场购进了大樱桃和小樱桃各200千克,进价不变,但在运输过程中小樱桃损耗了20%.若小樱桃的售价不变,要想让第二次赚的钱不少于第一次所赚钱的90%,大樱桃的售价最少应为多少?满分冲关1. 如果关于x 的方程x 2-(2m -1)x +m 2-3m =0有实数根,且关于x 的不等式组⎩⎨⎧2x +3>9x -m <0无解,那么符合条件的所有整数m 的个数为( ). A. 2 B. 3 C. 4 D. 52. (2017重庆九龙坡区适应考试)已知关于x 的不等式组⎩⎨⎧5x -a <7-2-x <0只有2个非负整数解,且关于x 的分式方程a -6x -1+a =2有整数解,则所有满足条件的整数a的值的个数为( )A. 5B. 4C. 3D. 23. (2017重庆一中一模)从1,2,3,4,5,6这6个数中,随机抽取一个数,记为a ,若数a 使关于x 的不等式组⎩⎨⎧x +1<a 3x +4≤4x 无解,且使关于x 的分式方程2x -ax -2=12的解为非负数,那么这6个数中所有满足条件的a 的值之积是( ) A. 6 B. 24 C. 30 D. 1204. (2017重庆育才三模)2018年俄罗斯世界杯亚洲区12强赛A 组第8轮比赛于2017年6月13日进行,中国国家队将客场挑战叙利亚队,“爱我中华”球迷协会准备到现场为中国队加油助威,并计划购买A 、B 两种球票共600张. (1)若A 种票的数量不少于B 种票的4倍,求至少购买多少张A 种票; (2)“爱我中华”球迷协会从销售处得知,由于团体购票有一定优惠,本场比赛的球票以统一价格(m +80)元出售给该协会,由于路途遥远,部分球迷放弃现场看球的计划,协会最后购买的票数在原计划的基础上减少(m +5)%,购票总共用去45600元,求m 的值(m >0).5. (2017重庆南开阶段测试一)1月份,A 型汽油均价为5.7元/升,B 型汽油均价为6元/升,某汽车租赁公司购买这两种型号的汽油共支付40800元;2月份,这两种型号的汽油均价都上调了0.6元/升,该公司要购买与1月份A 型汽油和B 型汽油数量都相同的汽油就需多支付费用.(1)若多支付的费用不超过4200元,那么该公司1月或2月最多可购买A 型汽油多少升?(2)3月份,该公司A 型汽油的购买量在(1)小题中2月份最多购买量的基础上减少了m %,但A 型汽油的均价在2月份的基础上上调了m10元,因此3月份支付A 种型号汽油的费用与(1)小题中2月份支付最多数量A 型汽油的费用相同,求m 的值.6. (2017重庆大渡口区二模)某文具店分别以每本5元和6元的价格一次性购进了A、B两种笔记本各若干本,共用去了1960元,A种笔记本按每本获利60%的价格销售,B种笔记本每本售价是A种笔记本每本售价的54倍,经过一段时间后,这两种笔记本都销售完毕,经统计,销售这两种笔记本共获利1240元.(1)该文具店此次购进的A、B两种笔记本各多少本?(2)调查市场需求后,该文具店又以上次相同的价格购进了相同数量的A、B两种笔记本.由于市场原因,该文具店调整了这两种笔记本的销售单价,A种笔记本每本售价下调了a%,B种笔记本售价上调了34a%,若要求销售完这些笔记本后的利润不低于1200元,求a的最大值.7. (2017重庆西大附中月考)手机下载一个APP、缴纳一定数额的押金,就能以每小时0.5到1元的价格解锁一辆自行车任意骑行…,最近的网红非“共享单车”莫属,共享单车为解决市民出行的“最后一公里”难题帮了大忙,人们在享受科技进步,共享经济带来的便利的同时,随意停放、加装私锁、推车下河、大卸八块等毁坏共享单车的行为也层出不穷,某共享单车公司一月投入部分自行车进入市场,一月底发现损坏率不低于10%,二月初又投入1200辆进入市场,使可使用的自行车达到7500辆.(1)一月份该公司投入市场的自行车至少有多少辆?(2)二月份的损坏率为20%,进入三月份,该公司新投入市场的自行车比二月份增长4a%,由于媒体的关注,毁坏共享单车的行为点燃了国民素质的大讨论,三1月份的损坏率下降为4a%,三月底可使用的自行车达到7752辆,求a的值.答案基础过关1. D2. A3. D4. D5. C 【解析】不等式组⎩⎪⎨⎪⎧2x>x -1 ①12x ≤1 ②,解不等式①得x >-1,解不等式②得x ≤2,所以不等式组的解集为-1<x ≤2.6. A 【解析】解不等式2x -6≤0,得x ≤3,解不等式x +4>0,得x >-4,∴不等式组的解集为-4<x ≤3,解集在数轴上表示为选项A .7. B 【解析】解不等式得x ≤2,则非负整数解有0,1,2,共3个. 8. A 【解析】解不等式2x -1>3(x -2),得x <5,根据不等式组的解集为x <5,利用同小取小可知m ≥5.9. B 【解析】∵不等式组的解集为-3a2<x ≤a ,该解集中至少有5个整数解,所以a 比-3a 2至少大5,即 a ≥-3a2+5,解得a ≥2,所以a 的最小值是2. 10. x >311. a ≥1 【解析】由x -a >0得x >a ,由1-x >x -1得x <1,∴要使不等式组无解,则a ≥1.12. 0,1,2 【解析】⎩⎨⎧2x +1>-1 ①2x -13≥x -1②解不等式①得,x >-1,解不等式②得,x ≤2,∴不等式组的解集为-1<x ≤2,∴不等式组的整数解为0,1,2. 13. 8 【解析】设至多可以打x 折,由题意得,100(1+50%)x -100≥100×20%,化简得,150x ≥120,x ≥80%.则至多可以打8折.14. x <8 【解析】根据程序,可得不等式3x -6<18,解得x <8.15. m >-2 【解析】将两方程等号两边分别相加,得2x +2y =2m +4,∴x +y =m +2,∵x +y >0,∴m +2>0,∴m >-2.16. 解:去括号得4x +5≤2x +2,移项,合并同类项,得2x ≤-3, 解得x ≤-32.17. 解:解不等式3x -5<-2x ,移项得3x +2x <5,合并同类项得5x <5,解得x <1,解不等式3x +22≥1,不等式两边同乘以2得3x +2≥2,合并同类项得3x ≥0,解得x ≥0,∴原不等式组的解集为0≤x <1.18. 解:解不等式2(x +1)>5x -7,去括号得2x +2>5x -7,移项、合并同类项得-3x >-9,解得x <3.解不等式x +103>2x ,去分母得x +10>6x .移项、合并同类项得10>5x ,解得x <2.∴不等式组的解集为x <2.19. 解:令⎩⎪⎨⎪⎧3x +6≥5(x -2) ①x -52-4x -33<1 ②, 由①得x ≤8,由②得x >-3,∴不等式组的解集为-3<x ≤8.20. 解:解不等式12(x -1)≤1.得x ≤3,解不等式1-x <2,得x >-1,则不等式组的解集是-1<x ≤3,∴该不等式组的最大整数解为x =3.21. 解:解不等式2x ≥-9-x ,得x ≥-3,解不等式5x -1>3(x +1),得x >2,∴不等式组的解集为x>2.其解集在数轴上表示如解图:第21题解图22. 解:(1)当m=1时,原不等式可变形为2-x2>x2-1,去分母得2-x>x-2,移项、合并同类项得2x<4,∴x<2.(2)解不等式2m-mx2>12x-1,移项、合并同类项2m-mx>x-2,(m+1)x<2(m+1)当m≠-1时,原不等式有解;当m>-1时,原不等式的解集为x<2;当m<-1时,原不等式的解集为x>2.23. 解:(1)设该社区的图书借阅总量从2014年至2016年的年平均增长率为x. 根据题意得,7500(1+x)2=10800,解得x=0.2=20%或x=-2.2(舍去).答:该社区的图书借阅总量从2014年至2016年的年平均增长率为20%.(2)2016年的人均借阅量为:10800÷1350=8(本).根据题意得,8(1+a%)×1440-1080010800≥20%,解得a≥12.5.答:a的值至少是12.5.24. 解:(1)设乙工程队每天修路x千米,则甲工程队每天修路(x+0.5)千米,根据题意列方程15x=1.5×15x+0.5,解得x=1,答:甲工程队每天修路1.5 千米,乙工程队每天修路1千米.(2)设甲工程队修m 天,余下的工程由乙工程队修,由两个工程队修路总费用不超过5.2万元,可列不等式为0.5m +15-1.5m 1×0.4≤5.2,化简得0.5m +6-0.6m ≤5.2,解得m ≥8, 答:甲工程队至少修8天,这样总费用不超过5.2万元.25. 解:(1)设小樱桃的进价为每千克x 元,大樱桃的进价为每千克y 元, 则⎩⎨⎧200x +200y =8000y -x =20,解得⎩⎨⎧x =10y =30. ∴大樱桃进价为30元/千克,小樱桃进价为10元/千克,200×[(40-30)+(16-10)]=3200(元),答:大樱桃和小樱桃的进价分别是每千克30元和每千克10元,销售完后,该水果商共赚了3200元.(2)设大樱桃的售价为a 元/千克,由题意可得,(1-20%)×200×16+200a -8000≥3200×90%,解得a ≥41.6,答:大樱桃的售价最少应为41.6元/千克.满分冲关1. C 【解析】∵关于x 的方程x 2-(2m -1)x +m 2-3m =0有实数根,∴[-(2m-1)]2-4(m 2-3m )=8m +1≥0,∴m ≥-18;解不等式组⎩⎨⎧2x +3>9x -m <0得x <m 且x >3,又∵关于x 的不等式组无解,∴m ≤3.则m 的取值范围是-18≤m ≤3,满足条件的整数有0,1,2,3共4个.2. C 【解析】解不等式组⎩⎨⎧5x -a <7-2-x <0得-2<x <a +75,∵该不等式组只有2个非负整数解,∴1<a +75≤2,即-2<a ≤3,解分式方程a -6x -1+a =2,得x =4a -2,∵分式方程的解为整数,∴a 可取0,1,3,共3个数.3. C 【解析】解不等式组⎩⎨⎧x +1<a 3x +4≤4x得,4≤x <a -1,要使其无解,则a -1≤4,即a ≤5;解分式方程2x -a x -2=12,得x =2a -23,∵x 为非负数,∴2a -2≥0,解得a ≥1,又∵x ≠2,解得a ≠4,综上1≤a ≤5且a ≠4,∴这6个数中,满足条件的a 值有1,2,3,5,它们之积为1×2×3×5=30.4. 解:(1)设购买x 张A 种票,则购买B 种票(600-x )张,由题意得,x ≥4(600-x ),解得x ≥480,∴至少购买480张A 种票.(2)由题意得(m +80)×[1-(m +5)%]×600=45600,解得m 1=15,m 2=0(舍去),∴m 的值为15.答:m 的值为15.5. 解:(1)设1月份可购买A 型汽油x 升,则1月份购买B 型汽油的升数为:40800-5.7x 6=(6800-0.95x )升, 由题意得,0.6x +0.6(6800-0.95x )≤4200,解得,x ≤4000,答:该公司1月或2月最多可购买A 型汽油4000升.(2)由题意可列方程,4000(1-m %)×(5.7+0.6+m 10)=4000×(5.7+0.6),即4000(1-m %)×(6.3+m 10)=4000×6.3,解得m 1=37,m 2=0(舍去),∴m 的值为37.答:m 的值为37.6. 解:(1)设购买A 种笔记本x 本,B 种笔记本y 本,由题意得,⎩⎪⎨⎪⎧5x +6y =1960,5×60%x +[5×(1+60%)× 54-6]y =1240. 解得⎩⎨⎧x =200y =160. 答:购买A 种笔记本200本,B 种笔记本160本.(2)A 原售价为5(1+60%)=8(元),B 原售价为8×54=10(元),由题意得,200×8(1-a %)+160×10(1+34a %)-1960≥1200.解得a ≤10.答:a 的最大值为10.7. 解:(1)设一月份该公司投入市场的自行车有x 辆, 则7500-1200x≤1-10%, 解得x ≥7000,答:一月份该公司投入市场的自行车至少有7000辆.(2)由题意得[7500(1-20%)+1200×(1+4a %)]⎝ ⎛⎭⎪⎫1-14a%=7752, 设a %=x ,原方程可化为50x 2-125x +23=0,解得x 1=2.3(舍去),x 2=0.2,由a %=0.2,得a =20.答:a 的值为20.。
《不等式与不等式组》真题汇编一.选择题1.(2017•常州)若3x>﹣3y,则下列不等式中一定成立的是()A.x+y>0 B.x﹣y>0 C.x+y<0 D.x﹣y<02.(2017•毕节市)关于x的一元一次不等式≤﹣2的解集为x≥4,则m的值为()A.14 B.7 C.﹣2 D.23.(2017•益阳)如图表示下列四个不等式组中其中一个的解集,这个不等式组是()A.B.C.D.4.(2017•六盘水)不等式3x+6≥9的解集在数轴上表示正确的是()A.B.C.D.5.(2017•大庆)若实数3是不等式2x﹣a﹣2<0的一个解,则a可取的最小正整数为()A.2 B.3 C.4 D.56.(2017•齐齐哈尔)为有效开展“阳光体育”活动,某校计划购买篮球和足球共50个,购买资金不超过3000元.若每个篮球80元,每个足球50元,则篮球最多可购买()A.16个B.17个C.33个D.34个7.(2017•山西)将不等式组的解集表示在数轴上,下面表示正确的是()A.B.C.D.8.(2017•内江)不等式组的非负整数解的个数是()A.4 B.5 C.6 D.7二.填空题9.(2017•永州)满足不等式组的整数解是.10.(2017•台州)商家花费760元购进某种水果80千克,销售中有5%的水果正常损耗.为了避免亏本,售价至少应定为元/千克.11.(2017•宜宾)若关于x、y的二元一次方程组的解满足x+y>0,则m的取值范围是.三.解答题12.(2017•仙桃)解不等式组,并把它的解集在数轴上表示出来.13.(2017•恩施州)为积极响应政府提出的“绿色发展•低碳出行”号召,某社区决定购置一批共享单车.经市场调查得知,购买3辆男式单车与4辆女式单车费用相同,购买5辆男式单车与4辆女式单车共需16000元.(1)求男式单车和女式单车的单价;(2)该社区要求男式单车比女式单车多4辆,两种单车至少需要22辆,购置两种单车的费用不超过50000元,该社区有几种购置方案?怎样购置才能使所需总费用最低,最低费用是多少?14.(2017•天水)天水某公交公司将淘汰某一条线路上“冒黑烟”较严重的公交车,计划购买A型和B型两行环保节能公交车共10辆,若购买A型公交车1辆,B 型公交车2辆,共需400万元;若购买A型公交车2辆,B型公交车1辆,共需350万元,(1)求购买A型和B型公交车每辆各需多少万元?(2)预计在该条线路上A型和B型公交车每辆年均载客量分别为60万人次和100万人次.若该公司购买A型和B型公交车的总费用不超过1220万元,且确保这10辆公交车在该线路的年均载客量总和不少于650万人次,则该公司有哪几种购车方案?哪种购车方案总费用最少?最少总费用是多少?15.(2017•温州)小黄准备给长8m,宽6m的长方形客厅铺设瓷砖,现将其划分成一个长方形ABCD区域Ⅰ(阴影部分)和一个环形区域Ⅱ(空白部分),其中区域Ⅰ用甲、乙、丙三种瓷砖铺设,且满足PQ∥AD,如图所示.(1)若区域Ⅰ的三种瓷砖均价为300元/m2,面积为S(m2),区域Ⅱ的瓷砖均价为200元/m2,且两区域的瓷砖总价为不超过12000元,求S的最大值;(2)若区域Ⅰ满足AB:BC=2:3,区域Ⅱ四周宽度相等①求AB,BC的长;②若甲、丙两瓷砖单价之和为300元/m2,乙、丙瓷砖单价之比为5:3,且区域Ⅰ的三种瓷砖总价为4800元,求丙瓷砖单价的取值范围.参考答案与试题解析一.选择题1.(2017•常州)若3x>﹣3y,则下列不等式中一定成立的是()A.x+y>0 B.x﹣y>0 C.x+y<0 D.x﹣y<0【分析】根据不等式的性质,可得答案.【解答】解:两边都除以3,得x>﹣y,两边都加y,得x+y>0,故选:A.【点评】本题考查了不等式的性质,熟记不等式的性质并根据不等式的性质求解是解题关键.2.(2017•毕节市)关于x的一元一次不等式≤﹣2的解集为x≥4,则m的值为()A.14 B.7 C.﹣2 D.2【分析】本题是关于x的不等式,应先只把x看成未知数,求得不等式的解集,再根据x≥4,求得m的值.【解答】解:≤﹣2,m﹣2x≤﹣6,﹣2x≤﹣m﹣6,x≥m+3,∵关于x的一元一次不等式≤﹣2的解集为x≥4,∴m+3=4,解得m=2.故选:D.【点评】考查了不等式的解集,当题中有两个未知字母时,应把关于某个字母的不等式中的字母当成未知数,求得解集,再根据解集进行判断,求得另一个字母的值.3.(2017•益阳)如图表示下列四个不等式组中其中一个的解集,这个不等式组是()A.B.C.D.【分析】根据在数轴上表示不等式解集的方法即可得出答案.【解答】解:∵﹣3处是空心圆点,且折线向右,2处是实心圆点,且折线向左,∴这个不等式组的解集是﹣3<x≤2.故选:D.【点评】本题考查的是在数轴上表示不等式的解集,熟知“小于向左,大于向右”是解答此题的关键.4.(2017•六盘水)不等式3x+6≥9的解集在数轴上表示正确的是()A.B.C.D.【分析】根据解一元一次不等式基本步骤:移项、合并同类项、系数化为1可得.【解答】解:移项,得:3x≥9﹣6,合并同类项,得:3x≥3,系数化为1,得:x≥1,故选:C.【点评】本题主要考查解一元一次不等式的基本能力,严格遵循解不等式的基本步骤是关键,尤其需要注意不等式两边都乘以或除以同一个负数不等号方向要改变.5.(2017•大庆)若实数3是不等式2x﹣a﹣2<0的一个解,则a可取的最小正整数为()A.2 B.3 C.4 D.5【分析】将x=3代入不等式得到关于a的不等式,解之求得a的范围即可.【解答】解:根据题意,x=3是不等式的一个解,∴将x=3代入不等式,得:6﹣a﹣2<0,解得:a>4,则a可取的最小正整数为5,故选:D.【点评】本题主要考查不等式的整数解,熟练掌握不等式解的定义及解不等式的能力是解题的关键.6.(2017•齐齐哈尔)为有效开展“阳光体育”活动,某校计划购买篮球和足球共50个,购买资金不超过3000元.若每个篮球80元,每个足球50元,则篮球最多可购买()A.16个B.17个C.33个D.34个【分析】设买篮球m个,则买足球(50﹣m)个,根据购买足球和篮球的总费用不超过3000元建立不等式求出其解即可.【解答】解:设买篮球m个,则买足球(50﹣m)个,根据题意得:80m+50(50﹣m)≤3000,解得:m≤16,∵m为整数,∴m最大取16,∴最多可以买16个篮球.故选:A.【点评】本题考查了列一元一次不等式解实际问题的运用,解答本题时找到建立不等式的不等关系是解答本题的关键.7.(2017•山西)将不等式组的解集表示在数轴上,下面表示正确的是()A.B.C.D.【分析】首先解出两个不等式的解集;根据在数轴上表示不等式解集的方法分别把每个不等式的解集在数轴上表示出来即可.【解答】解:解不等式①得,x≤3解不等式②得,x>﹣4在数轴上表示为:故选:A.【点评】本题考查的是在数轴上表示不等式组的解集,把每个不等式的解集在数轴上表示出来(>,≥向右画;<,≤向左画),数轴上的点把数轴分成若干段,如果数轴的某一段上面表示解集的线的条数与不等式的个数一样,那么这段就是不等式组的解集.有几个就要几个.在表示解集时“≥”,“≤”要用实心圆点表示;“<”,“>”要用空心圆点表示.8.(2017•内江)不等式组的非负整数解的个数是()A.4 B.5 C.6 D.7【分析】先求出不等式组的解集,再求出不等式组的非负整数解,即可得出答案.【解答】解:∵解不等式①得:x≥﹣,解不等式②得:x<5,∴不等式组的解集为﹣≤x<5,∴不等式组的非负整数解为0,1,2,3,4,共5个,故选:B.【点评】本题考查了解一元一次不等式组和一元一次不等式组的整数解,能求出不等式组的解集是解此题的关键.二.填空题9.(2017•永州)满足不等式组的整数解是0.【分析】先求出不等式的解集,再求出不等式组的解集,找出不等式组的整数解即可.【解答】解:∵解不等式2x﹣1≤0得:x≤,解不等式x+1>0得:x>﹣1,∴不等式组的解集是﹣1<x≤,∴整数解为0,故答案为0.【点评】本题考查了解一元一次不等式,解一元一次不等式组的应用,解此题的关键是求出不等式组的解集.10.(2017•台州)商家花费760元购进某种水果80千克,销售中有5%的水果正常损耗.为了避免亏本,售价至少应定为10元/千克.【分析】设商家把售价应该定为每千克x元,因为销售中有5%的水果正常损耗,故每千克水果损耗后的价格为x(1﹣5%),根据题意列出不等式即可.【解答】解:设商家把售价应该定为每千克x元,根据题意得:x(1﹣5%)≥,解得,x≥10,故为避免亏本,商家把售价应该至少定为每千克10元.故答案为:10.【点评】本题考查一元一次不等式的应用,将现实生活中的事件与数学思想联系起来,读懂题意,根据“去掉损耗后的售价≥进价”列出不等式即可求解.11.(2017•宜宾)若关于x、y的二元一次方程组的解满足x+y>0,则m的取值范围是m>﹣2.【分析】首先解关于x和y的方程组,利用m表示出x+y,代入x+y>0即可得到关于m的不等式,求得m的范围.【解答】解:,①+②得2x+2y=2m+4,则x+y=m+2,根据题意得m+2>0,解得m>﹣2.故答案是:m>﹣2.【点评】本题考查的是解二元一次方程组和解一元一次不等式,解答此题的关键是把m当作已知数表示出x+y的值,再得到关于m的不等式.三.解答题12.(2017•仙桃)解不等式组,并把它的解集在数轴上表示出来.【分析】分别求出每一个不等式的解集,根据口诀:同大取大、同小取小、大小小大中间找、大大小小无解了确定不等式组的解集.【解答】解:解不等式5x+1>3(x﹣1),得:x>﹣2,解不等式x﹣1≤7﹣x,得:x≤4,则不等式组的解集为﹣2<x≤4,将解集表示在数轴上如下:【点评】本题考查的是解一元一次不等式组,正确求出每一个不等式解集是基础,熟知“同大取大;同小取小;大小小大中间找;大大小小找不到”的原则是解答此题的关键.13.(2017•恩施州)为积极响应政府提出的“绿色发展•低碳出行”号召,某社区决定购置一批共享单车.经市场调查得知,购买3辆男式单车与4辆女式单车费用相同,购买5辆男式单车与4辆女式单车共需16000元.(1)求男式单车和女式单车的单价;(2)该社区要求男式单车比女式单车多4辆,两种单车至少需要22辆,购置两种单车的费用不超过50000元,该社区有几种购置方案?怎样购置才能使所需总费用最低,最低费用是多少?【分析】(1)设男式单车x元/辆,女式单车y元/辆,根据“购买3辆男式单车与4辆女式单车费用相同,购买5辆男式单车与4辆女式单车共需16000元”列方程组求解可得;(2)设购置女式单车m辆,则购置男式单车(m+4)辆,根据“两种单车至少需要22辆、购置两种单车的费用不超过50000元”列不等式组求解,得出m的范围,即可确定购置方案;再列出购置总费用关于m的函数解析式,利用一次函数性质结合m的范围可得其最值情况.【解答】解:(1)设男式单车x元/辆,女式单车y元/辆,根据题意,得:,解得:,答:男式单车2000元/辆,女式单车1500元/辆;(2)设购置女式单车m辆,则购置男式单车(m+4)辆,根据题意,得:,解得:9≤m≤12,∵m为整数,∴m的值可以是9、10、11、12,即该社区有四种购置方案;设购置总费用为W,则W=2000(m+4)+1500m=3500m+8000,∵W随m的增大而增大,∴当m=9时,W取得最小值,最小值为39500,答:该社区共有4种购置方案,其中购置男式单车13辆、女式单车9辆时所需总费用最低,最低费用为39500元.【点评】本题主要考查二元一次方程组、一元一次不等式组及一次函数的应用,理解题意找到题目蕴含的相等关系或不等关系列出方程组或不等式组是解题的关键.14.(2017•天水)天水某公交公司将淘汰某一条线路上“冒黑烟”较严重的公交车,计划购买A型和B型两行环保节能公交车共10辆,若购买A型公交车1辆,B 型公交车2辆,共需400万元;若购买A型公交车2辆,B型公交车1辆,共需350万元,(1)求购买A型和B型公交车每辆各需多少万元?(2)预计在该条线路上A型和B型公交车每辆年均载客量分别为60万人次和100万人次.若该公司购买A型和B型公交车的总费用不超过1220万元,且确保这10辆公交车在该线路的年均载客量总和不少于650万人次,则该公司有哪几种购车方案?哪种购车方案总费用最少?最少总费用是多少?【分析】(1)设购买A型公交车每辆需x万元,购买B型公交车每辆需y万元,根据“A型公交车1辆,B型公交车2辆,共需400万元;A型公交车2辆,B型公交车1辆,共需350万元”列出方程组解决问题;(2)设购买A型公交车a辆,则B型公交车(10﹣a)辆,由“购买A型和B型公交车的总费用不超过1220万元”和“10辆公交车在该线路的年均载客总和不少于650万人次”列出不等式组探讨得出答案即可.【解答】解:(1)设购买A型公交车每辆需x万元,购买B型公交车每辆需y 万元,由题意得,解得,答:购买A型公交车每辆需100万元,购买B型公交车每辆需150万元.(2)设购买A型公交车a辆,则B型公交车(10﹣a)辆,由题意得,解得:≤a≤,因为a是整数,所以a=6,7,8;则(10﹣a)=4,3,2;三种方案:①购买A型公交车6辆,则B型公交车4辆:100×6+150×4=1200万元;②购买A型公交车7辆,则B型公交车3辆:100×7+150×3=1150万元;③购买A型公交车8辆,则B型公交车2辆:100×8+150×2=1100万元;购买A型公交车8辆,则B型公交车2辆费用最少,最少总费用为1100万元.【点评】此题考查二元一次方程组和一元一次不等式组的应用,注意理解题意,找出题目蕴含的数量关系,列出方程组或不等式组解决问题.15.(2017•温州)小黄准备给长8m,宽6m的长方形客厅铺设瓷砖,现将其划分成一个长方形ABCD区域Ⅰ(阴影部分)和一个环形区域Ⅱ(空白部分),其中区域Ⅰ用甲、乙、丙三种瓷砖铺设,且满足PQ∥AD,如图所示.(1)若区域Ⅰ的三种瓷砖均价为300元/m2,面积为S(m2),区域Ⅱ的瓷砖均价为200元/m2,且两区域的瓷砖总价为不超过12000元,求S的最大值;(2)若区域Ⅰ满足AB:BC=2:3,区域Ⅱ四周宽度相等①求AB,BC的长;②若甲、丙两瓷砖单价之和为300元/m2,乙、丙瓷砖单价之比为5:3,且区域Ⅰ的三种瓷砖总价为4800元,求丙瓷砖单价的取值范围.【分析】(1)根据题意可得300S+(48﹣S)200≤12000,解不等式即可;(2)①设区域Ⅱ四周宽度为a,则由题意(6﹣2a):(8﹣2a)=2:3,解得a=1,由此即可解决问题;②设乙、丙瓷砖单价分别为5x元/m2和3x元/m2,则甲的单价为(300﹣3x)元/m2,由PQ∥AD,可得甲的面积=矩形ABCD的面积的一半=12,设乙的面积为s,则丙的面积为(12﹣s),由题意12(300﹣3x)+5x•s+3x•(12﹣s)=4800,解得s=,由0<s<12,可得0<<12,解不等式即可;【解答】解:(1)由题意300S+(48﹣S)200≤12000,解得S≤24.∴S的最大值为24.(2)①设区域Ⅱ四周宽度为a,则由题意(6﹣2a):(8﹣2a)=2:3,解得a=1,∴AB=6﹣2a=4,CB=8﹣2a=6.②设乙、丙瓷砖单价分别为5x元/m2和3x元/m2,则甲的单价为(300﹣3x)元/m2,∵PQ∥AD,∴甲的面积=矩形ABCD的面积的一半=12,设乙的面积为s,则丙的面积为(12﹣s),由题意12(300﹣3x)+5x•s+3x•(12﹣s)=4800,解得s=,∵0<s<12,∴0<<12,又∵300﹣3x>0,综上所述,50<x<100,150<3x<300,∴丙瓷砖单价3x的范围为150<3x<300元/m2.【点评】本题考查不等式的应用、矩形的性质等知识,解题的关键是理解题意,学会构建方程或不等式解决实际问题,属于中考常考题型.。
初中数学中考专项练习《不等式与不等式组》50道填空题包含答案与解析(中考冲刺)(时间:60分钟满分:100分)班级:_________ 姓名:_________ 分数:_________一、填空题(共50题)1、关于的不等式的解集如图所示,则的值是________.2、用不等式表示“x 与 5 的差不大于1”:________.3、不等式组的解集是________。
4、关于x的分式方程的解为正数,则m的取值范围是________.5、已知不等式≥3,那么这个不等式的解集是________6、若关于x的不等式的解集在数轴上表示如图,请写出此解集为________.7、不等式组的正整数解的乘积为________.8、若关于x的一元二次方程没有实数解,则关于x的不等式的的解集为________.(用含的式子表示)9、不等式组的解集是________.10、已知关于x的不等式>x-1,当m=1时,该不等式的解集为________;若该不等式的解集中的每一个x都能使关于x的不等式x>a成立,则此时m的取值范围为________,a的取值范围是________.11、不等式的解集是________.12、不等式组的解集是________ .13、不等式组的解集是________.14、“a的2倍减去b不小于2”用不等式表示是________.15、不等式组的解集是________.16、点 P(1,a﹣3)在第四象限,则a的取值范围是________.17、将不等式“ ”化为“ ”的形式为:________.18、若x>y,且(m-5)x <(m-5)y ,则m的取值范围是________.19、不等式组的解集是________.20、已知关于x的一元一次不等式与2﹣x<0的解集相同,则m=________.21、抛物线y=kx2﹣7x﹣7的图象和x轴有交点,则k的取值范围是________.22、若式子在实数范围内有意义,则x的取值范围是________.23、关于、的二元一次方程组的解满足,则的取值范围是________.24、不等式3x-6≤9的解是________.25、某种型号汽车每行驶100km耗油10L,其油箱容量为40L.为了有效延长汽车使用寿命,厂家建议每次加油时油箱内剩余油量不低于油箱容量的,按此建议,一辆加满油的该型号汽车最多行驶的路程是________km.26、不等式组的解集是________.27、关于的不等式的解集是写出一组满足条件的的值________.28、苹果的进价为每千克3.8元,销售中估计有5%的苹果正常损耗,为避免亏本,商家把售价应该至少定为每千克________元.29、x与y的平方和一定是非负数,用不等式表示为________30、若m<n,则不等式组的解集是________.31、一元二次方程x2+2x+a=0有实根,则a的取值范围是________.32、某次知识竞赛共有20道题,每一题答对得10分,答错或不答都扣 5 分.小明得分要超过90分,他至少要答对________道题.33、已知不等式x﹣1≥0,此不等式的解集在数轴上表示为________34、若不等式组的解集是,则m的取值范围是________.35、我们定义,例如,若均为整数,且满足,则的值是________.36、不等式组的解集是________.37、已知关于x的方程=m的解满足(0<n<3),若y>1,则m的取值范围是________.38、若关于x的一元二次方程有实数根,则n的取值范围是________.39、若关于x的不等式组无解,则a的取值范围为________.40、关于x的不等式组只有4个整数解,则a的取值范围是________.41、要使式子在实数范围内有意义,则实数a的取值范围是________.42、已知关于x的不等式组无解,则实数a的取值范围是________43、如图,周长为a的圆上有且仅有一点A在数轴上,点A所表示的数为1,若该圆沿着数轴向右滚动两周后点A对应的点为B,此时,A、B两点之间恰好有三个表示正整数的点(不包括点A、B),则该圆的周长a的取值范围为________44、用不等号连接下列各组数:(1)π________ 3.14;(2)(x﹣1)2________ 0;(3)﹣________ ﹣45、若不等式(m-2)x>2的解集是,则m的取值范围是________.46、不等式-3x+2≥5的解集是________。
中考数学总复习《不等式与不等式组》专项测试卷-附参考答案(测试时间60分钟 满分100分)学校:___________姓名:___________班级:___________考号:___________一、选择题(共8题,共40分)1.若 x >y ,则下列式子中错误的是 ( )A . x −3>y −3B . x 3>y 3C . x +3>y +3D . −3x >−3y2.“数 x 不大于 3”可以表示为 ( )A . x ≤3B . x <3C . x =3D . x ≥33.把不等式组 {x +1≤0,−x >0 的解集表示在数轴上,正确的是 ( ) A . B .C .D .4.关于 x 的不等式组 {x−13≤1,a −x <2 恰好只有四个整数解,则 a 的取值范围是 ( ) A . a <3 B . 2<a ≤3 C . 2≤a <3 D . 2<a <35.已知关于 x 的不等式组 {x −1<0,x −a ≥0有以下说法: ①如果 a =−2,那么不等式组的解集是 −2≤x <1;②如果不等式组的解集是 −3≤x <1,那么 a =−3;③如果不等式组的整数解只有-2,-1,0,那么 a =−2;④如果不等式组无解,那么 a ≥1.其中所有正确说法的序号是 ( )A .①②③B .①②④C .①③④D .②③④6.如图,要使输出 y 的值大于 100,则输入的最小正整数 x 的值是 ( )A . 22B . 21C . 20D .以上答案都不对7.不等式 3(1−x )>2−4x 的解集在数轴上表示正确的是 ( ) A .B .C .D .8.下列不等式中,是一元一次不等式的是 ( )A . 4x −5y <1B . 4y +2≤0C . −1<2D . x 2−3>5二、填空题(共5题,共15分)9.据某气象台发布信息,2020 年 6 月 12 日该地最高气温是 32∘C ,最低气温是 25∘C ,则当天气温 t(℃)的变化范围是 .10.不等式组 {2−x ≥0,2x >x −1的最小整数解是 .11.若代数式y+15−y−12 的值不小于 −3,则 y 的取值范围是 .12.若关于 x 的不等式 x−m 2≥−1 的解集如图所示,则 m 的值为 .13.有一个两位数,它的十位数比个位数大 1,并且这个两位数大于 30 且小于 42,则这个两位数是 .三、解答题(共3题,共45分)14.解不等式组:{x −3(x −1)<7,x −2x ≤2x−33.并把解集在数轴上表示出来.15.某花农培育甲种花木 10 株,乙种花木 8 株,共需成本 6400 元;培育甲种花木 4 株,乙种花木 5 株,共需成本 3100 元.(1) 求甲乙两种花木成本分别是多少元?(2) 若 1 株甲种花木售价为 700 元,一株乙种花木售价为 500 元.该花农决定在成本不超过 29000 元的情况下培育甲乙两种花木,若培育乙种花木的株数是甲种花木的 3 倍还多 10 株,那么要是总利润不少于 18200 元,花农有哪几种具体的培育方案?16.某商场计划购进一批甲、乙两种玩具,已知一件甲种玩具的进价与一件乙种玩具的进价的和为 40 元,用 90 元购进甲种玩具的件数与用 150 元购进乙种玩具的件数相同.(1) 求每件甲种、乙种玩具的进价分别是多少元?(2) 商场计划购进甲、乙两种玩具共 48 件,其中甲种玩具的件数少于乙种玩具的件数,商场决定此次进货的总资金不超过 1000 元,求商场共有几种进货方案?参考答案1. 【答案】D2. 【答案】A3. 【答案】A4. 【答案】C5. 【答案】B6. 【答案】B7. 【答案】A8. 【答案】B9. 【答案】 25≤t ≤3210. 【答案】 011. 【答案】 y ≤37312. 【答案】 413. 【答案】 3214. 【答案】{x −3(x −1)<7, ⋯⋯①x −2x ≤2x−33. ⋯⋯②由①得,x >−2.由②得,x ≥35.故此不等式组的解集为:x ≥35.在数轴上表示为:15. 【答案】(1) 设甲种花木的成本价是 x 元,乙种花木的成本价为 y 元.由题意得:{10x +8y =6400,4x +5y =3100,解得:{x =400,y =300. (2) 设种植甲种花木为 a 株,则种植乙种花木为 (3a +10) 株.{400a +300(3a +10)≤29000,(700−400)a +(500−300)(3a +10)≥18200,解得:18≤a ≤20因为 a 为整数所以 a 可取 18 或 19 或 20.所以有三种具体方案:①植甲种花木 18 株,种植乙种花木 3a +10=64 株;②种植甲种花木 19 株,种植乙种花木 3a +10=67 株;③种植甲种花木 20 株,种植乙种花木 3a +10=70 株.16. 【答案】(1) 设甲种玩具进价 x 元/件,则乙种玩具进价为 (40−x ) 元/件90x =15040−x x =15经检验 x =15 是原方程的解.∴40−x =25甲、乙两种玩具分别是 15 元/件,25 元/件;(2) 设购进甲种玩具 y 件,则购进乙种玩具 (48−y ) 件{y <48−y,15y +25(48−y )≤1000,解得20≤y <24∵y 是整数,甲种玩具的件数少于乙种玩具的件数∴y 取 20,21,22,23共有 4 种方案.。
中考数学《不等式组》专题训练(附答案解析)一、单选题(共10小题 每小题3分 共计30分)1.不等式组23112(2)x x x -≥-⎧⎨-≥-+⎩的解集为( ) A .无解 B .1x ≤ C .1x ≥- D .11x -≤≤【答案】D 分别求出每一个不等式的解集 根据口诀:同大取大、同小取小、大小小大中间找、大大小小无解了确定不等式组的解集.【详解】解:解不等式2−3x≥−1 得:x≤1解不等式x−1≥−2(x +2) 得:x≥−1则不等式组的解集为−1≤x≤1故选:D .【点睛】本题考查的是解一元一次不等式组 正确求出每一个不等式解集是基础 熟知“同大取大;同小取小;大小小大中间找;大大小小找不到”的原则是解答此题的关键.2.不等式组()2222323x x x x ⎧-≤-⎪⎨++>⎪⎩的解集是( )A .0x 2<≤B . 0x 6<≤C . x 0>D .x 2≤【答案】A 分别解不等式组中的两个不等式 再取解集的公共部分即可.【详解】解:()2222323x x x x ⎧-≤-⎪⎨++>⎪⎩①② 由①得:242x x -≤-36,x ∴≤2,x ∴≤由②得:3(2)2(3)x x ++>x ∴>0,∴ 不等式组的解集是0 2.x ≤<故选A .【点睛】本题考查的是解不等式组 掌握解不等式组的方法是解题的关键.3.(贵州贵阳市·)已知a b < 下列式子不一定成立的是( )A .11a b -<-B .22a b ->-C .111122a b +<+D .ma mb > 【答案】D 根据不等式的性质解答.【详解】解:A 、不等式a <b 的两边同时减去1 不等式仍成立 即a−1<b−1 故本选项不符合题意; B 、不等式a <b 的两边同时乘以-2 不等号方向改变 即22a b ->- 故本选项不符合题意; C 、不等式a <b 的两边同时乘以12 不等式仍成立 即:1122a b < 再在两边同时加上1 不等式仍成立 即111122a b +<+ 故本选项不符合题意; D 、不等式a <b 的两边同时乘以m 当m>0 不等式仍成立 即ma mb <;当m<0 不等号方向改变 即ma mb >;当m=0时 ma mb =;故ma mb >不一定成立 故本选项符合题意故选:D .【点睛】本题考查了不等式的性质.应用不等式的性质应注意的问题:在不等式的两边都乘以(或除以)同一个负数时 一定要改变不等号的方向;当不等式的两边要乘以(或除以)含有字母的数时 一定要对字母是否大于0进行分类讨论.4.不等式213x -≤的解集在数轴上表示正确的是( )A .B .C .D .【答案】C 先求出不等式的解集 再在数轴上表示出来即可.【详解】解:移项得 2x ≤3+1合并同类项得 2x ≤4系数化为1得 x ≤2在数轴上表示为:故选:C .【点睛】 本题考查的是在数轴上表示不等式的解集 熟知“小于向左 大于向右 在表示解集时≥ ≤要用实心圆点表示;< >要用空心圆点表示”是解答此题的关键.5.关于x 的不等式0721x m x ->⎧⎨->⎩的整数解只有4个 则m 的取值范围是( ) A .21m -<≤- B .21m -≤≤- C .21m -≤<- D .32m -<≤-【答案】C 不等式组整理后 表示出不等式组的解集 根据整数解共有4个 确定出m 的范围即可.【详解】解:不等式组整理得:3x m x >⎧⎨<⎩ 解集为m <x <3由不等式组的整数解只有4个 得到整数解为2 1 0 -1∴-2≤m<-1故选:C .【点睛】本题主要考查对解一元一次不等式 不等式的性质 解一元一次不等式组 一元一次不等式组的整数解等知识点的理解和掌握 能根据不等式组的解集得到-2≤m<-1是解此题的关键. 6.若关于x 的不等式组35128x x a -⎧⎨-<⎩有且只有3个整数解 则a 的取值范围是( ) A .02a ≤≤ B .02a ≤< C .02a <≤ D .02a <<【答案】C 先求出不等式组的解集(含有字母a ) 利用不等式组有三个整数解 逆推出a 的取值范围即可.【详解】解:解不等式351x -得:2x ≥解不等式28x a -<得:82a x +<∴不等式组的解集为:822a x +≤<∵不等式组35128x x a -⎧⎨-<⎩有三个整数解 ∴三个整数解为:2 3 4 ∴8452a +<≤ 解得:02a <≤故选:C .【点睛】本题考查了解一元一次不等式组 一元一次不等式组的整数解的应用 解此题的关键就是根据整数解的个数得出关于a 的不等式组.7.某单位为响应政府号召 需要购买分类垃圾桶6个 市场上有A 型和B 型两种分类垃圾桶 A 型分类垃圾桶500元/个 B 型分类垃圾桶550元/个 总费用不超过3100元 则不同的购买方式有( ) A .2种 B .3种 C .4种 D .5种【答案】B 设购买A 型分类垃圾桶x 个 则购买B 型垃圾桶(6-x ) 然后根据题意列出不等式组 确定不等式组整数解的个数即可.【详解】解:设购买A 型分类垃圾桶x 个 则购买B 型垃圾桶(6-x )个由题意得:500550631006x x x +-≤⎧⎨≤⎩() 解得4≤x ≤6 则x 可取4、5、6 即有三种不同的购买方式.故答案为B .【点睛】本题考查了一元一次方程组的应用 弄清题意、列出不等式组并确定不等式组的整数解是解答本题的关键.8.不等式组1051x x ->⎧⎨-≥⎩的整数解共有( ) A .1个 B .2个 C .3个 D .4个【答案】C 分别求出每一个不等式的解集 根据口诀:同大取大、同小取小、大小小大中间找、大大小小无解了确定不等式组的解集 从而得出答案.【详解】解:解不等式x ﹣1>0 得:x >1解不等式5﹣x ≥1 得:x ≤4则不等式组的解集为1<x ≤4所以不等式组的整数解有2、3、4这3个故选:C .【点睛】此题考查求不等式组的整数解 正确求出每个不等式的解集得到不等式组的解集是解题的关键.9.(山东聊城市·)若不等式组11324x x x m+⎧<-⎪⎨⎪<⎩无解 则m 的取值范围为( )A .2m ≤B .2m <C .2m ≥D .2m >【答案】A 求出第一个不等式的解集 根据口诀:大大小小无解了可得关于m 的不等式 解之可得.【详解】 解不等式1132x x +<- 得:x >8 ∵不等式组无解∴4m≤8解得m≤2故选A .【点睛】本题考查的是解一元一次不等式组 正确求出每一个不等式解集是基础 熟知“同大取大;同小取小;大小小大中间找;大大小小找不到”的原则是解答此题的关键.10.(四川广安市·)若m n > 下列不等式不一定成立的是( )A .33m n ++>B .33m n ﹣<﹣C .33m n >D .22m n >【答案】D 根据不等式的性质:不等式两边加(或减)同一个数(或式子) 不等号的方向不变;不等式两边乘(或除以)同一个正数 不等号的方向不变;不等式两边乘(或除以)同一个负数 不等号的方向改变 即可得到答案.【详解】解:A 、不等式的两边都加3 不等号的方向不变 故A 错误;B 、不等式的两边都乘以﹣3 不等号的方向改变 故B 错误;C 、不等式的两边都除以3 不等号的方向不变 故C 错误;D 、如2223m n m n m n =,=﹣,>,<;故D 正确;故选D .【点睛】主要考查了不等式的基本性质 “0”是很特殊的一个数 因此 解答不等式的问题时 应密切关注“0”存在与否 以防掉进“0”的陷阱.二、填空题(共5小题 每小题4分 共计20分)11.关于x 的不等式组23(3)1324x x x x a <-+⎧⎪⎨+>+⎪⎩有四个整数解 则a 的取值范围是________________. 【答案】-114≤a <-52解不等式组求得不等式组的解集 根据不等式组有四个整数解 进而求出a 的范围.【详解】 ()2331324x x x x a ①②⎧<-+⎪⎨+>+⎪⎩解不等式①得 x >8;解不等式②得 x <2-4a ;∴不等式组的解集为8<x <2-4a.∵不等式组有4个整数解∴12<2-4a ≤13∴-114≤a <-5212.若关于x 的不等式组214322x x x m x--⎧<⎪⎨⎪-≤-⎩有且只有三个整数解 则m 的取值范围是______. 【答案】1≤m <4解不等式组得出其解集为﹣2<x ≤23m + 根据不等式组有且只有三个整数解得出1≤23m +<2 解之可得答案. 【详解】解不等式2143x x--<得:x>﹣2解不等式2x﹣m≤2﹣x得:x≤2 3 m+则不等式组的解集为﹣2<x≤2 3 m+∵不等式组有且只有三个整数解∴1≤23m+<2解得:1≤m<4故答案为:1≤m<4.13.若不等式52x+>﹣x﹣72的解都能使不等式(m﹣6)x<2m+1成立则实数m的取值范围是_______.【答案】236≤m≤6解不等式52x+>﹣x﹣72得x>﹣4据此知x>﹣4都能使不等式(m﹣6)x<2m+1成立再分m﹣6=0和m﹣6≠0两种情况分别求解.【详解】解:解不等式52x+>﹣x﹣72得x>﹣4∵x>﹣4都能使不等式(m﹣6)x<2m+1成立①当m﹣6=0即m=6时则x>﹣4都能使0•x<13恒成立;②当m﹣6≠0则不等式(m﹣6)x<2m+1的解要改变方向∴m﹣6<0即m<6∴不等式(m﹣6)x<2m+1的解集为x>216 mm+-∵x>﹣4都能使x>216mm+-成立∴﹣4≥216 mm+-∴﹣4m+24≤2m+1∴m≥23 6综上所述m的取值范围是236≤m≤6.故答案为:236≤m≤6.14.世纪公园的门票是每人5元一次购门票满40张每张门票可少1元.若少于40人时一个团队至少要有________人进公园买40张门反而合算.【答案】33先求出购买40张票 优惠后需要多少钱 然后再利用5x >160时 求出买到的张数的取值范围再加上1即可.【详解】解:设x 人进公园若购满40张票则需要:40×(5-1)=40×4=160(元) 故5x >160时解得:x >32∴当有32人时 购买32张票和40张票的价格相同则再多1人时买40张票较合算;∴32+1=33(人);则至少要有33人去世纪公园 买40张票反而合算.故答案为:33.15.《西游记》、《三国演义》、《水浒传》和《红楼梦》是中国古典文学瑰宝 并称为中国古典小说四大名著某兴趣小组阅读四大名著的人数 同时满足以下三个条件:(1)阅读过《西游记》的人数多于阅读过《水浒传》的人数;(2)阅读过《水浒传》的人数多于阅读过《三国演义》的人数;(3)阅读过《三国演义》的人数的2倍多于阅读过《西游记》的人数.若阅读过《三国演义》的人数为4 则阅读过《水浒传》的人数的最大值为_____.【答案】6根据题中给出阅读过《三国演义》的人数 则先代入条件(3)可得出阅读过《西游记》的人数的取值范围 然后再根据条件(1)和(2)再列出两个不等式 得出阅读过《水浒传》的人数的取值范围 即可得出答案.【详解】解:设阅读过《西游记》的人数是a 阅读过《水浒传》的人数是b (,a b 均为整数)依题意可得:48a b b a >⎧⎪>⎨⎪<⎩且,a b 均为整数可得:47b <<b ∴最大可以取6;故答案为6.三、解答题(共5小题 每小题10分 共计50分)16.如图 “开心”农场准备用50m 的护栏围成一块靠墙的矩形花园 设矩形花园的长为()a m 宽为()b m .(1)当20a =时 求b 的值;(2)受场地条件的限制 a 的取值范围为1826a ≤≤ 求b 的取值范围.【答案】(1)b=15;(2)1216b ≤≤(1)根据等量关系“围栏的长度为50”可以列出代数式 再将a=20代入所列式子中求出b 的值;(2)由(1)可得a,b 之间的关系式 用含有b 的式子表示a,再结合1826a ≤≤ 列出关于b 的不等式组 接着不等式组即可求出b 的取值范围.【详解】解:(1)由题意 得250a b +=当20a =时 20250b +=.解得15b =.(2)∵1826a ≤≤ 502a b =-∴5021850226b b -≥⎧⎨-≤⎩解这个不等式组 得1216b ≤≤.答:矩形花园宽的取值范围为1216b ≤≤.【点睛】此题主要考查了列代数式 正确理解题意得出关系式是解题关键.还考查了解不等式组 难度不大.17.解不等式组:3512(21)34x x x x -<+⎧⎨--⎩ 并把它的解集在数轴上表示出来.【答案】-2≤x<3 解集在数轴上表示见解析.先求出两个不等式的解集 再求其公共解.【详解】解:3512(21)34x x x x -<+⎧⎨--⎩①② 解不等式① 得x<3.解不等式② 得x ≥-2.所以原不等式组的解集为-2≤x<3.在数轴上表示如下:【点睛】本题主要考查了一元一次不等式组解集的求法 其简便求法就是用口诀求解.求不等式组解集的口诀:同大取大 同小取小 大小小大中间找 大大小小找不到(无解).18.第33个国际禁毒日到来之际 贵阳市策划了以“健康人生绿色无毒”为主题的禁毒宣传月活动 某班开展了此项活动的知识竞赛.学习委员为班级购买奖品后与生活委员对话如下:(1)请用方程的知识帮助学习委员计算一下 为什么说学习委员搞错了;(2)学习委员连忙拿出发票 发现的确错了 因为他还买了一本笔记本 但笔记本的单价已模糊不清 只能辨认出单价是小于10元的整数 那么笔记本的单价可能是多少元?【答案】(1)方程见解析 因为钢笔的数量不可能是小数 所以学习委员搞错了;(2)可能是2元或者6元(1)根据题意列出方程解出答案判断即可;(2)根据题意列出方程得出x 与a 的关系,再由题意中a 的条件即可判断x 的范围,从而得出单价.【详解】解:(1)设单价为6元的钢笔买了x 支 则单价为10元的钢笔买了(100x -)支根据题意 得610(100)1300378x x +-=-解得:19.5x =.因为钢笔的数量不可能是小数 所以学习委员搞错了(2)设笔记本的单价为a 元 根据题意 得610(100)1300378x x a +-+=-整理 得13942x a =+ 因为010a << x 随a 的增大而增大 所以19.522x << ∵x 取整数∴20,21x =.当20x 时 420782a =⨯-=当21x =时 421786a =⨯-=所以笔记本的单价可能是2元或者6元.【点睛】本题考查方程及不等式的列式和计算,关键在于理解题意找到等量关系.19.解不等式31212x x -->. 解:去分母 得2(21)31x x ->-.……(1)请完成上述解不等式的余下步骤:(2)解题回顾:本题“去分母”这一步的变形依据是 (填“A ”或“B ”)A .不等式两边都乘(或除以)同一个正数 不等号的方向不变;B .不等式两边都乘(或除以)同一个负数 不等号的方向改变.【答案】(1)余下步骤见解析;(2)A .(1)按照去括号、移项、合并同类项的步骤进行补充即可; (2)根据不等式的性质即可得.【详解】(1)31212x x --> 去分母 得2(21)31x x ->-去括号 得4231x x ->-移项 得4312x x ->-+合并同类项 得1x >;(2)不等式的性质:不等式两边都乘(或除以)同一个正数 不等号的方向不变31212x x -->两边同乘以正数2 不等号的方向不变 即可得到2(21)31x x ->- 故选:A .【点睛】本题考查了解一元一次不等式、不等式的性质 熟练掌握一元一次不等式的解法是解题关键. 20.某水果店销售苹果和梨 购买1千克苹果和3千克梨共需26元 购买2千克苹果和1千克梨共需22元.(1)求每千克苹果和每千克梨的售价;(2)如果购买苹果和梨共15千克 且总价不超过100元 那么最多购买多少千克苹果?【答案】(1)每千克苹果售价8元 每千克梨6千克;(2)最多购买5千克苹果(1)设每千克苹果售价x 元 每千克梨y 千克 由题意列出x 、y 的方程组 解之即可;(2)设购买苹果a 千克 则购买梨(15-a )千克 由题意列出a 的不等式 解之即可解答.【详解】(1)设每千克苹果售价x 元 每千克梨y 千克 由题意得:326222x y x y +=⎧⎨+=⎩解得:86x y =⎧⎨=⎩ 答:每千克苹果售价8元 每千克梨6千克(2)设购买苹果a 千克 则购买梨(15-a )千克 由题意得:8a+6(15-a)≤100解得:a ≤5∴a 最大值为5答:最多购买5千克苹果.【点睛】本题考查了二元一次方程组的应用、一元一次不等式的应用 解答的关键是认真审题 分析相关信息 正确列出方程组和不等式.。
第六讲不等式与不等式组一、单选题(共15题;共30分)1.(2017•眉山)不等式﹣2x>的解集是()A. x<﹣B. x<﹣1C. x>﹣D. x>﹣12.(2015•潍坊)不等式组的所有整数解的和是()A. 2B. 3C. 5D. 63.(2015•河池)不等式组的解集是()A. ﹣1<x<2B. 1<x≤2C. ﹣1<x≤2D. ﹣1<x≤34.(2017•湖州)一元一次不等式组的解是()A. B. C. D. 或5.(2017•益阳)如图表示下列四个不等式组中其中一个的解集,这个不等式组是()A. B. C. D.6.(2017•贺州)不等式组的解集在数轴上表示正确的是()A. B.C. D.7.(2017•吉林)不等式x+1≥2的解集在数轴上表示正确的是()A. B. C. D.8.(2017•临沂)不等式组中,不等式①和②的解集在数轴上表示正确的是()A. B.C. D.9.(2017•自贡)不等式组的解集表示在数轴上正确的是()A. B. C. D.10.(2011•茂名)不等式组的解集在数轴上正确表示的是()A. B.C. D.11.(2013•丽水)若关于x的不等式组的解表示在数轴上如图所示,则这个不等式组的解集是()A. x≤2B. x>1C. 1≤x<2D. 1<x≤212.(2015•丽水)如图,数轴上所表示关于x的不等式组的解集是()A. x≥2B. x>2C. x>﹣1D. ﹣1<x≤213.(2015•新疆)不等式组的解在数轴上表示为()A. B. C. D.14.(2015•巴彦淖尔)不等式组的解集在数轴上表示正确的是()A. B.C. D.15.(2016•西宁)某经销商销售一批电话手表,第一个月以550元/块的价格售出60块,第二个月起降价,以500元/块的价格将这批电话手表全部售出,销售总额超过了5.5万元.这批电话手表至少有()A. 103块B. 104块C. 105块D. 106块二、填空题(共3题;共3分)16.(2017•上海)不等式组的解集是________.17.(2015•鄂尔多斯)不等式组的所有整数解的和是 ________.18.(2017•烟台)运行程序如图所示,从“输入实数x”到“结果是否<18”为一次程序操作,若输入x后程序操作仅进行了一次就停止,则x的取值范围是________.三、计算题(共5题;共30分)19.(2017•盐城)解不等式组:.20.(2017•连云港)解不等式组.21.(2017•新疆)解不等式组.22.(2017•成都)(1)计算:| ﹣1|﹣+2sin45°+()﹣2;(2)解不等式组:.23.(2015•通辽)(1)计算:(π﹣)0+()﹣1﹣﹣tan30°;(2)解方程:+=1;(3)解不等式组,并把解集在数轴上表示出来.四、解答题(共5题;共25分)24.(2017·衢州)解下列一元一次不等式组:25.(2017•怀化)解不等式组,并把它的解集在数轴上表示出来.26.(2017•巴中)解不等式组,并把解集在数轴上表示出来.27.(2017•黔东南州)解不等式组,并把解集在数轴上表示出来.28.(2016•西宁)化简:,然后在不等式x≤2的非负整数解中选择一个适当的数代入求值.五、综合题(共2题;共18分)29.(2015•随州)解不等式组请结合题意,完成本题解答.(1)解不等式①,得________ ;(2)解不等式②,得________ ;(3)把不等式①和②的解集在数轴上表示出来:;(4)原不等式组的解集为________ .30.(2015•潍坊)为提高饮水质量,越来越多的居民选购家用净水器.一商场抓住商机,从厂家购进了A、B两种型号家用净水器共160台,A型号家用净水器进价是150元/台,B型号家用净水器进价是350元/台,购进两种型号的家用净水器共用去36000元.(1)求A、B两种型号家用净水器各购进了多少台(2)为使每台B型号家用净水器的毛利润是A型号的2倍,且保证售完这160台家用净水器的毛利润不低于11000元,求每台A型号家用净水器的售价至少是多少元.(注:毛利润=售价﹣进价)答案解析部分一、单选题1.【答案】A【解析】【解答】解:两边都除以﹣2可得:x<﹣,故选:A.【分析】根据不等式的基本性质两边都除以﹣2可得.2.【答案】D【解析】【解答】解:∵解不等式①得;x>﹣,解不等式②得;x≤3,∴不等式组的解集为﹣<x≤3,∴不等式组的整数解为0,1,2,3,0+1+2+3=6,故选D.3.【答案】C【解析】【解答】解:,∵由①得,x≤2;由②得,x>﹣1,∴此不等式组的解集为:﹣1<x≤2.故选C.【分析】分别求出各不等式的解集,再求出其公共解集即可.4.【答案】C【解析】【解答】解:解第一个不等式得:x>-1;解第二个不等式得:x≤2;∴不等式组的解集为:-1<x≤2.故答案为C.【分析】根据不等式组的解集取法“大小小大取中间”可得不等式组的答案.5.【答案】D【解析】【解答】解:∵﹣3处是空心圆点,且折线向右,2处是实心圆点,且折线向左,∴这个不等式组的解集是﹣3<x≤2.故选D.【分析】根据在数轴上表示不等式解集的方法即可得出答案.6.【答案】D【解析】【解答】解不等式3x+4≤13,得:x≤3,解不等式﹣x<1,得:x>﹣1,则不等式组的解集为﹣1<x≤3,故答案为:D.【分析】先根据一元一次不等式的解法,求出不等式的解集,再在数轴上表示出来即可.7.【答案】A【解析】【解答】∵x+1≥2,∴x≥1.故答案为:A.【分析】≥表示在数轴上就是开口向右,且端点为实心.8.【答案】B【解析】【解答】解:解不等式①,得:x<1,解不等式②,得:x≥﹣3,则不等式组的解集为﹣3≤x<1,故选:B.【分析】分别求出每一个不等式的解集,根据口诀:同大取大、同小取小、大小小大中间找、大大小小无解了确定不等式组的解集.9.【答案】C【解析】【解答】解:,解①得:x>1,解②得:x≤2,不等式组的解集为:1<x≤2,在数轴上表示为,故选:C.【分析】首先分别解出两个不等式的解集,然后根据大小小大中间找确定解集,再利用数轴画出解集即可.10.【答案】D【解析】【解答】解:,由①得,x<2,由②得,x≥﹣3,在数轴上表示为:故选D.【分析】分别求出各不等式的解集,再求出其公共解集,在数轴上表示出来,找出符合条件的选项即可.11.【答案】D【解析】【解答】解:根据题意得:不等式组的解集为1<x≤2.故选D【分析】根据数轴表示出解集即可.12.【答案】A【解析】【解答】解:由数轴可得:关于x的不等式组的解集是:x≥2.故选:A.【分析】根据在数轴上表示不等式组解集的方法进行解答即可.13.【答案】C【解析】【解答】解:由x+1>2,得x>1;由3﹣x≥1,得x≤2,不等式组的解集是1<x≤2,故选:C.【分析】分析:先求出不等式组中每一个不等式的解集,再求出它们的公共部分,然后把不等式的解集表示在数轴上即可.解不等式组得:,再分别表示在数轴上即可得解.14.【答案】D【解析】【解答】解第一个不等式得:x>﹣2,解第二个不等式得:x≤3则不等式组的解集是:﹣2<x≤3,故选D.【分析】首先解不等式组中的每个不等式,然后确定两个不等式的解集的公共部分,即可确定不等式组的解集.15.【答案】C【解析】【解答】解:设这批手表有x块,550×60+(x﹣60)×500>55000解得,x>104∴这批电话手表至少有105块,故选C.【分析】根据题意设出未知数,列出相应的不等式,从而可以解答本题.本题考查一元一次不等式的应用,解题的关键是明确题意,列出相应的不等式.二、填空题16.【答案】x>3【解析】【解答】解:解不等式2x>6,得:x>3,解不等式x﹣2>0,得:x>2,则不等式组的解集为x>3,故答案为:x>3.【分析】分别求出每一个不等式的解集,根据口诀:同大取大、同小取小、大小小大中间找、大大小小无解了确定不等式组的解集.17.【答案】3【解析】【解答】解:,由①得:x≤3,由②得:x,不等式组的解集为:﹣<x≤3,则不等式组的整数解为:﹣2,﹣1,0,1,2,3,所有整数解的和:﹣2﹣1+0+1+2+3=3.故答案为:3.【分析】首先分别计算出两个不等式的解集,再根据不等式组解集的确定规律可得x的解集,再在解集的范围内找出符合条件的整数,算出答案即可.18.【答案】x<8【解析】【解答】解:依题意得:3x﹣6<18,解得x<8.故答案是:x<8.【分析】根据运算程序,列出算式:3x﹣6,由于运行了一次就停止,所以列出不等式3x﹣6<18,通过解该不等式得到x的取值范围.三、计算题19.【答案】解:解不等式3x﹣1≥x+1,得:x≥1,解不等式x+4<4x﹣2,得:x>2,∴不等式组的解集为x>2【解析】【分析】分别求出每一个不等式的解集,根据口诀:同大取大、同小取小、大小小大中间找、大大小小无解了确定不等式组的解集.20.【答案】解:解不等式﹣3x+1<4,得:x>﹣1,解不等式3x﹣2(x﹣1)≤6,得:x≤4,∴不等式组的解集为﹣1<x≤4.【解析】【分析】分别求出每一个不等式的解集,根据口诀:同大取大、同小取小、大小小大中间找、大大小小无解了确定不等式组的解集.21.【答案】解:解不等式①,得:x≤1,解不等式②,得:x<4,则不等式组的解集为x≤1【解析】【分析】分别求出每一个不等式的解集,根据口诀:同大取大、同小取小、大小小大中间找、大大小小无解了确定不等式组的解集.22.【答案】(1)解:原式= ﹣1﹣2 +2× +4 = ﹣1﹣2 + +4=3(2)解:,①可化简为2x﹣7<3x﹣3,﹣x<4,x>﹣4,②可化简为2x≤1﹣3,则x≤﹣1.不等式的解集是﹣4<x≤﹣1【解析】【分析】(1)原式利用二次根式性质,特殊角的三角函数值,以及负整数指数幂法则计算即可得到结果.(2)分别求得两个不等式的解集,然后取其公共部分即可.23.【答案】解:(1)原式=1+2﹣﹣=3﹣;(2)方程两边同时乘以(x+3)(x﹣3)得,3+x(x+3)=x2﹣9,解得x=-4,代入(x+3)(x﹣3)得,(-4+3)(-4﹣3)≠0,故x=-4是原分式方程的解;(3),由①得,y≥1,由②得,y<2,故不等式组的解集为:1≤y<2.【解析】【分析】(1)分别根据0指数幂及负整数指数幂的计算法则、数的开方法则及特殊角的三角函数值计算出各数,再根据实数混合运算的法则进行计算即可;(2)先把分式方程化为整式方程,求出x的值,在进行检验即可;(3)分别求出各不等式的解集,再求出其公共解集即可.四、解答题24.【答案】【解答】解:解第一个不等式得:x≤4,解第二个不等式得:x>-1,所以原不等式组的解集为:-1<x≤4;【解析】【分析】根据不等式组的解法与口诀即可得到答案。
2017年中考数学专题练习不等式与不等式组(无答案)编辑整理:尊敬的读者朋友们:这里是精品文档编辑中心,本文档内容是由我和我的同事精心编辑整理后发布的,发布之前我们对文中内容进行仔细校对,但是难免会有疏漏的地方,但是任然希望(2017年中考数学专题练习不等式与不等式组(无答案))的内容能够给您的工作和学习带来便利。
同时也真诚的希望收到您的建议和反馈,这将是我们进步的源泉,前进的动力。
本文可编辑可修改,如果觉得对您有帮助请收藏以便随时查阅,最后祝您生活愉快业绩进步,以下为2017年中考数学专题练习不等式与不等式组(无答案)的全部内容。
不等式及不等式组一、选择题(每小题3分,共36分)1。
某市4月5日的气温是20 ℃±3 ℃,用不等式表示该市4月5日的气温T 的范围是( ) A.17 ℃<T 〈20 ℃ B.17 ℃≤T≤20 ℃ C 。
20 ℃〈T 〈23 ℃ﻩD.17 ℃≤T≤23 ℃ 2.若a <b ,那么下列各式中不正确的是( )A.a -1<b-1 ﻩB .-3a <-3b C.7a <7b ﻩD .4a<4b3。
不等式7x -2(10-x )≥7(2x -5)的非负整数解是( )(A)0、1、2ﻩ (B)0、1、2、3 (C)0、1、2、3、4 (D )0、1、2、3、4、5 4.已知不等式组其解集在数轴上表示正确的是( )5。
一元一次不等式组的解集中,整数的个数是( )(A)4(B)5 (C )6(D)76.关于x 的不等式21-≤a x 的解集如图所示,则a 的取值是( )A .-1 B.-3 ﻩ C.-2 D .07.如果-1<x <0,则下列不等式成立的是( )A .x 2>x1>x B.x1>x 2>xC.x >x 1>x 2 ﻩD .x 2>x >x18在平面直角坐标系中,若点P (m -3,m+1)在第二象限,则m 的取值范围是( ) A.-1〈m 〈3 B 。
不等式(组)1.当0<x <1时,x 2、x 、的大小顺序是( )A .x 2B .<x <x 2C .<xD .x <x 2<2.不等式组的解集是( )A .x≤1B .x≥2C .1≤x≤2D .1<x <23. 不等式组的解集在数轴上表示正确的是( )A .B .C .D .4.不等式组的所有整数解是 20210x x +>⎧⎨-≤⎩、 、 、 、、()A 1-0()B 2-1-()C 01()D 2-1-0 5.不等式组的整数解的个数为( )A .0个B .2个C .3个D .无数个6.不等式组的解集是( )A .x >3B .x <3C .x <2D .x >27.不等式组的解集在数轴上表示正确的是( )A .B .C .D .8.不等式组的解集在数轴上表示为( ) A . B . C . D .9.反比例函数y=的图象与直线y=﹣x+2有两个交点,且两交点横坐标的积为负数,则t 的取值范围是( )A .t <B .t >C .t≤D .t≥10.不等式组的解集是( ) ⎩⎨⎧<>+6205x x A .x >5 B .x <3 C .-5<x <3 D .x <5参考答案1.【考点】不等式的性质.【分析】先在不等式0<x <1的两边都乘上x ,再在不等式0<x <1的两边都除以x ,根据所得结果进行判断即可.【解答】解:当0<x <1时,在不等式0<x <1的两边都乘上x ,可得0<x 2<x ,在不等式0<x <1的两边都除以x ,可得0<1<,又∵x<1,∴x 2、x 、的大小顺序是:x 2<x <.故选(A )【点评】本题主要考查了不等式,解决问题的根据是掌握不等式的基本性质.不等式的两边同时乘以(或除以)同一个正数,不等号的方向不变,即:若a >b ,且m >0,那么am >bm 或>.2.【考点】解一元一次不等式组.【专题】计算题.【分析】分别解两个不等式得到x≥1和x≤2,然后利用大小小大中间找确定不等式组的解集. 【解答】解:,解①得x≥1,解②得x≤2,所以不等式组的解集为1≤x≤2.故选C .【点评】本题考查了解一元一次不等式组:解一元一次不等式组时,一般先求出其中各不等式的解集,再求出这些解集的公共部分,利用数轴可以直观地表示不等式组的解集.解集的规律:同大取大;同小取小;大小小大中间找;大大小小找不到.3.【考点】解一元一次不等式组;在数轴上表示不等式的解集.【分析】分别解两个不等式,然后求它们的公共部分即可得到原不等式组的解集.【解答】解:由①得,x≤3;由②得,x >﹣; 所以,不等式组的解集为﹣<x≤3.故选A .4.答案:A解析:考查不等式组的解法。
浙江省2017年中考数学真题分类汇编:不等式(组)(解析版)一、单选题(共3题;共6分)1、(2017•杭州)若x+5>0,则()A、x+1<0B、x﹣1<0C、<﹣1D、﹣2x<122、(2017·金华)若关于x的一元一次不等式组的解是x<5,则m的取值范围是( )A、m≥5B、m>5C、m≤5D、m<53、(2017•湖州)一元一次不等式组的解是()A、B、C、D、或二、填空题(共1题;共1分)4、(2017·台州)商家花费760元购进某种水果80千克,销售中有5%的水果正常损耗,为了避免亏本,售价至少应定为________元/千克三、解答题(共4题;共30分)5、(2017·衢州)解下列一元一次不等式组:6、(2017·嘉兴)小明解不等式的过程如图.请指出他解答过程中错误步骤的序号,并写出正确的解答过程.7、(2017•湖州)对于任意实数,,定义关于“ ”的一种运算如下:.例如:,.(1)若,求的值;(2)若,求的取值范围.8、(2017•绍兴)计算题。
(1)计算:.(2)解不等式:4x+5≤2(x+1).答案解析部分一、单选题1、【答案】D【考点】不等式的性质【解析】【解答】解:∵x+5>0,∴x>﹣5,A、根据x+1<0得出x<﹣1,故本选项不符合题意;B、根据x﹣1<0得出x<1,故本选项不符合题意;C、根据<﹣1得出x<5,故本选项不符合题意;D、根据﹣2x<12得出x>﹣6,故本选项符合题意;故选D.【分析】求出已知不等式的解集,再求出每个选项中不等式的解集,即得出选项.2、【答案】A【考点】解一元一次不等式组,一元一次不等式组的应用【解析】【解答】解:解第一个不等式得:x<5;解第二个不等式得:x<m;∵不等式组的解是x<5∴m≥5;故选A.【分析】分别解每一个不等式的解集范围,根据不等式组的解,结合所得两个不等式的解集对m的值进行分析判断即可。
不等式组及其应用一、选择题1.把某不等式组中两个不等式的解集表示在数轴上,如图所示,则这个不等式组可能是()A.B.C.D.2.把不等式组的解集表示在数轴上,正确的是()A.B.C.D.3.把不等式组:的解集表示在数轴上,正确的是()A.B.C.D.4.不等式组的解集为()A.x>﹣1 B.x<3 C.﹣1<x<3 D.无解5.不等式组的解集是()A.x>﹣1 B.x≤1 C.x<﹣1 D.﹣1<x≤16.不等式组的解集在数轴上可表示为()A.B.C.D.7.若不等式组有实数解,则实数m的取值范围是()A.m≤B.m<C.m>D.m≥二、填空题8.不等式组的解集是.9.不等式组的解集是.三、解答题10.解不等式组,并将解集在数轴上表示出来.11.解不等式组12.解不等式组:13.解不等式组,并把解集在数轴上表示出来.14.解不等式组不等式组及其应用参考答案与试题解析一、选择题1.把某不等式组中两个不等式的解集表示在数轴上,如图所示,则这个不等式组可能是()A.B.C.D.【考点】在数轴上表示不等式的解集.【分析】本题根据数轴可知x的取值为:﹣1≤x<4,将不等式变形,即可得出关于x的不等式组.把各个选项的解的集合写出,进行比较就可以得到.【解答】解:依题意得这个不等式组的解集是:﹣1≤x<4.A、无解,故A错误;B、解集是:﹣1≤x<4,故B正确;C、解集是:x>4,故C错误;D、解集是:﹣1<x≤4,故D错误;故选:B.【点评】考查不等式组解集的表示方法.实心圆点包括该点,空心圆圈不包括该点,>向右、<向左.2.把不等式组的解集表示在数轴上,正确的是()A.B.C.D.【考点】解一元一次不等式组;在数轴上表示不等式的解集.【分析】分别求出各个不等式的解集,再求出这些解集的公共部分即可.【解答】解:解不等式①,得x<2,解不等式②,得x>﹣1,所以不等式组的解集是﹣1<x<2,故选C.【点评】此题主要考查不等式组的解法及在数轴上表示不等式组的解集.不等式组的解集在数轴上表示的方法:把每个不等式的解集在数轴上表示出来(>,≥向右画;<,≤向左画),数轴上的点把数轴分成若干段,如果数轴的某一段上面表示解集的线的条数与不等式的个数一样,那么这段就是不等式组的解集.3.把不等式组:的解集表示在数轴上,正确的是()A.B.C.D.【考点】解一元一次不等式组;在数轴上表示不等式的解集.【专题】压轴题.【分析】分别求出各个不等式的解集,再求出这些解集的公共部分即可.【解答】解:解不等式①,得x>﹣1,解不等式②,得x≤1,所以不等式组的解集是﹣1<x≤1.故选:B.【点评】不等式组的解集在数轴上表示的方法:把每个不等式的解集在数轴上表示出来(>,≥向右画.<,≤向左画).在表示解集时“≥”,“≤”要用实心圆点表示.“<”,“>”要用空心圆圈表示.4.不等式组的解集为()A.x>﹣1 B.x<3 C.﹣1<x<3 D.无解【考点】解一元一次不等式组.【分析】分别解出两不等式的解集再求其公共解.【解答】解:根据小大大小中间找,故﹣1<x<3.故选C.【点评】求不等式的解集须遵循以下原则:同大取较大,同小取较小,小大大小中间找,大大小小解不了.5.不等式组的解集是()A.x>﹣1 B.x≤1 C.x<﹣1 D.﹣1<x≤1【考点】解一元一次不等式组.【分析】利用“大小小大中间取”即可解决问题.【解答】解:因为不等式组的解集是﹣1<x≤1,故选D.【点评】本题考查不等式组的解集的确定方法.6.不等式组的解集在数轴上可表示为()A.B.C.D.【考点】解一元一次不等式组;在数轴上表示不等式的解集.【专题】计算题.【分析】先解不等式组中的每一个不等式,然后求它们的交集即可.【解答】解:由(1)得:x<﹣1由(2)得:x≥﹣2.所以解集为﹣2≤x<﹣1.故选D.【点评】不等式组的解集在数轴上表示的方法:把每个不等式的解集在数轴上表示出来(>,≥向右画;<,≤向左画),数轴上的点把数轴分成若干段,如果数轴的某一段上面表示解集的线的条数与不等式的个数一样,那么这段就是不等式组的解集.有几个就要几个.在表示解集时“≥”,“≤”要用实心圆点表示;“<”,“>”要用空心圆点表示.7.若不等式组有实数解,则实数m的取值范围是()A.m≤B.m<C.m>D.m≥【考点】解一元一次不等式组.【专题】压轴题.【分析】解出不等式组的解集,根据不等式组有实数解,可以求出实数m的取值范围.【解答】解:解5﹣3x≥0,得x≤;解x﹣m≥0,得x≥m,∵不等式组有实数解,∴m≤.故选A.【点评】本题是反向考查不等式组的解集,也就是在不等式组有实数解的情况下确定不等式中字母的取值范围,解答本题时,易忽略m=,当m=时,不等式组的解集是x=.二、填空题8.不等式组的解集是﹣2<x<3 .【考点】解一元一次不等式组.【分析】先解不等式组中的每一个不等式的解集,再利用求不等式组解集的口诀“大小小大中间找”来求不等式组的解集.【解答】解:解这个不等式组得,即为﹣2<x<3故答案为﹣2<x<3.【点评】主要考查了一元一次不等式解集的求法,其简便求法就是用口诀求解.求不等式组解集的口诀:同大取大,同小取小,大小小大中间找,大大小小找不到(无解).9.不等式组的解集是x>3 .【考点】解一元一次不等式组.【专题】压轴题.【分析】首先把两条不等式的解集分别解出来,再根据大大取大,小小取小,比大的小比小的大取中间,比大的大比小的小无解的原则,把不等式的解集用一条式子表示出来.【解答】解:由(1)式得x>3,由(2)得x≥2,所以x≥4.故填x>3.【点评】本题考查不等式组的解法,一定要把每条不等式的解集正确解出来,然后用一条不等式表示出解集.三、解答题10.解不等式组,并将解集在数轴上表示出来.【考点】解一元一次不等式组;在数轴上表示不等式的解集.【分析】分别解出两不等式的解集再求其公共解.【解答】解:由①得x>﹣1,由②得x<2,(4分)∴原不等式组的解集是﹣1<x<2.(6分)在数轴上表示为:(8分)【点评】求不等式的解集须遵循以下原则:同大取较大,同小取较小.小大大小中间找,大大小小解不了.11.解不等式组【考点】解一元一次不等式组.【分析】本题分别求出不等式组x的取值,然后求出公共部分.【解答】解:由①式得:x﹣3≥4x﹣24,x≤7,由②式得:4﹣5x+10<8﹣2x,x>2,∴原不等式组的解集为2<x≤7.【点评】本题主要考查解一元一次不等式组,关键正确解出x的取值范围,然后求出公共部分.12.解不等式组:【考点】解一元一次不等式组.【专题】计算题.【分析】分别解出两不等式的解集,再求其公共解.【解答】解:由①得2x﹣x<4﹣3∴x<1由②得x﹣3>2x∴﹣x>3即x<﹣3∴不等式组的解集为x<﹣3.【点评】求不等式组的解集应遵循以下原则:同大取较大,同小取较小,小大大小中间找,大大小小解不了.13.解不等式组,并把解集在数轴上表示出来.【考点】解一元一次不等式组;在数轴上表示不等式的解集.【分析】先求出各不等式的解集,再求出其公共解集即可.【解答】解:,解不等式①,得x≥﹣1,解不等式②,得x<3,∴原不等式组的解集为﹣1≤x<3.不等式①、②的解集在数轴上表示如下:【点评】求不等式的公共解,要遵循以下原则:同大取较大,同小取较小,小大大小中间找,大大小小解不了.14.解不等式组【考点】解一元一次不等式组.【专题】计算题.【分析】先解不等式组中的每一个不等式,再求出它们的公共解即可.【解答】解:由不等式(1)得:x<5由不等式(2)得:x≥3不等式组的解集为:3≤x<5【点评】解不等式组应遵循的原则:同大取较大,同小取较小,小大大小中间找,大大小小解不了.。
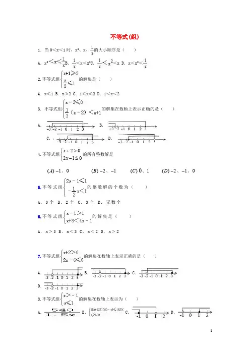
2017年中考数学专题练习6《不等式(组)》【知识归纳】1.不等式的有关概念:用 连接起来的式子叫不等式;使不等式成立的 的值叫做不等式的解;一个含有 的不等式的解的 叫做不等式的解集.求一个不等式的 的过程或证明不等式无解的过程叫做解不等式.2.不等式的基本性质:(1)若a <b ,则a +c c b +;(2)若a >b ,c >0则ac bc (或c a cb ); (3)若a >b ,c <0则ac bc (或c a c b )。
3.一元一次不等式:只含有 未知数,且未知数的次数是 ,且不等式的两边都是 ,称为一元一次不等式;一元一次不等式的一般形式为 或ax b <;解一元一次不等式的一般步骤:去分母、 、移项、 、系数化为1。
4.一元一次不等式组:几个 合在一起就组成一个一元一次不等式组. 一般地,几个不等式的解集的 ,叫做由它们组成的不等式组的解集。
5.由两个一元一次不等式组成的不等式组的解集有四种情况:(已知a b <) x a x b <⎧⎨<⎩的解集是 ,即“小小取小";x a x b>⎧⎨>⎩的解集是 ,即“大大取大”; x a x b >⎧⎨<⎩的解集是 ,即“大小小大中间找”;x a x b <⎧⎨>⎩的解集是 ,即“大大小小取不了”。
6.列不等式(组)解应用题的一般步骤:①审: ;②找: ;③设: ;④列: ;⑤解: ;⑥答: .【基础检测】1.(2016·内蒙古包头)不等式﹣≤1的解集是( )A.x≤4 B.x≥4 C.x≤﹣1 D.x≥﹣12.(2016·云南昆明)不等式组的解集为()A.x≤2 B.x<4 C.2≤x<4 D.x≥23。
(2016·四川南充)不等式>﹣1的正整数解的个数是()A.1个B.2个C.3个D.4个4. (2016·浙江绍兴)不等式>+2的解是.5。
2017年中考数学专题练习6《不等式(组)》【知识归纳】1.不等式的有关概念:用 连接起来的式子叫不等式;使不等式成立的 的值叫做不等式的解;一个含有 的不等式的解的 叫做不等式的解集.求一个不等式的 的过程或证明不等式无解的过程叫做解不等式. 2.不等式的基本性质:(1)若a <b ,则a +c c b +;(2)若a >b ,c >0则ac bc (或c a c b); (3)若a >b ,c <0则ac bc (或c a cb).3.一元一次不等式:只含有 未知数,且未知数的次数是 ,且不等式的两边都是 ,称为一元一次不等式;一元一次不等式的一般形式为 或ax b <;解一元一次不等式的一般步骤:去分母、 、移项、 、系数化为1.4.一元一次不等式组:几个 合在一起就组成一个一元一次不等式组. 一般地,几个不等式的解集的 ,叫做由它们组成的不等式组的解集. 5.由两个一元一次不等式组成的不等式组的解集有四种情况:(已知a b <)x a x b <⎧⎨<⎩的解集是 ,即“小小取小”;x ax b >⎧⎨>⎩的解集是 ,即“大大取大”; x a x b >⎧⎨<⎩的解集是 ,即“大小小大中间找”;x ax b <⎧⎨>⎩的解集是 ,即“大大小小取不了”.6.列不等式(组)解应用题的一般步骤:①审: ;②找: ;③设: ;④列: ;⑤解: ;⑥答: . 【基础检测】1.(2016·内蒙古包头)不等式﹣≤1的解集是( )A .x≤4B .x≥4C .x≤﹣1D .x≥﹣1 2.(2016·云南昆明)不等式组的解集为( )A.x≤2 B.x<4 C.2≤x<4 D.x≥23.(2016·四川南充)不等式>﹣1的正整数解的个数是()A.1个B.2个C.3个D.4个4. (2016·浙江绍兴)不等式>+2的解是.5. (2016·辽宁丹东)不等式组的解集为.6.若x满足不等式组,且x为整数时,求A的值.7. (2016·青海西宁)某经销商销售一批电话手表,第一个月以550元/块的价格售出60块,第二个月起降价,以500元/块的价格将这批电话手表全部售出,销售总额超过了5.5万元.这批电话手表至少有()A.103块 B.104块 C.105块 D.106块8. (2016·四川泸州)某商店购买60件A商品和30件B商品共用了1080元,购买50件A商品和20件B商品共用了880元.(1)A、B两种商品的单价分别是多少元?(2)已知该商店购买B商品的件数比购买A商品的件数的2倍少4件,如果需要购买A、B两种商品的总件数不少于32件,且该商店购买的A、B两种商品的总费用不超过296元,那么该商店有哪几种购买方案?【达标检测】一、选择题1.不等式组⎩⎨⎧<-≥12xx的解集在数轴上表示为().A.B.C.D.2. (2016·山东潍坊)运行程序如图所示,规定:从“输入一个值x”到“结果是否>95”为一次程序操作,如果程序操作进行了三次才停止,那么x的取值范围是()A.x≥11 B.11≤x<23 C.11<x≤23 D.x≤233.不等式23x<6的解集在数轴上表示正确的是().A B C D4.不等式的解集在数轴上表示正确的是()A. B. C.D.5. (2016·浙江省湖州市·4分)已知四个有理数a,b,x,y同时满足以下关系式:b>a,x+y=a+b,y﹣x<a﹣b.请将这四个有理数按从小到大的顺序用“<”连接起来是.6.若点P(1-m,2m-4)在第四象限内,则m的取值范围是()A.m<1 B.1<m<2 C.m<2 D.m>27.不等式4(x-2)>2(3x+5)的非负整数解的个数为()A.0个 B.1个 C.2个 D.3个8.若关于x的不等式组1240x ax+>⎧⎨-≤⎩有解,则a的取值范围是()A.a≤3 B.a<3 C.a<2 D.a≤2二、填空题9.写出一个解集为x>1的一元一次不等式:.10. (2016·黑龙江龙东·3分)不等式组有3个整数解,则m的取值范围是.11.若32527mx-->是一元一次不等式,则m= 。
x1>011x>03+-⎧⎪⎨⎪⎩12.(2015达州)对于任意实数m、n,定义一种运运算m※n=mn﹣m﹣n+3,等式的右边是通常的加减和乘法运算,例如:3※5=3×5﹣3﹣5+3=10.请根据上述定义解决问题:若a <2※x<7,且解集中有两个整数解,则a的取值范围是.三、解答题13.(2016·山东德州)解不等式组:.14.(2015•桂林)“全民阅读”深入人心,好读书,读好书,让人终身受益.为满足同学们的读书需求,学校图书馆准备到新华书店采购文学名著和动漫书两类图书.经了解,20本文学名著和40本动漫书共需1520元,20本文学名著比20本动漫书多440元(注:所采购的文学名著价格都一样,所采购的动漫书价格都一样)(1)求每本文学名著和动漫书各多少元?(2)若学校要求购买动漫书比文学名著多20本,动漫书和文学名著总数不低于72本,总费用不超过2000元,请求出所有符合条件的购书方案.15.(2015甘孜州)一水果经销商购进了A,B两种水果各10箱,分配给他的甲、乙两个零售店(分别简称甲店、乙店)销售,预计每箱水果的盈利情况如下表:(1)如果甲、乙两店各配货10箱,其中A种水果两店各5箱,B种水果两店各5箱,请你计算出经销商能盈利多少元?(2)在甲、乙两店各配货10箱(按整箱配送),且保证乙店盈利不小于100元的条件下,请你设计出使水果经销商盈利最大的配货方案,并求出最大盈利为多少?参考答案【知识归纳答案】1.不等式的有关概念:不等号、未知数、未知数、集合、解集、2.不等式的基本性质:(1)、<(2)>、>;(3)<、<>、去括号、合并同类项3.一元一次不等式:一个、1,、整式,、ax b4.一元一次不等式组:一元一次不等式、公共部分5.由两个一元一次不等式组成的不等式组的解集有四种情况:<,、x bx a<<;空集.>;a x b6.列不等式(组)解应用题的一般步骤:①审:审题,分析题中已知什么、求什么,明确各数量之间的关系;②找:找出能够表示应用题全部含义的一个不等关系;③设:设未知数(一般求什么,就设什么为x;④列:根据这个不等关系列出需要的代数式,从而列出不等式(组);⑤解:解所列出的不等式(组),写出未知数的值或范围;⑥答:检验所求解是否符合题意,写出答案(包括单位).【基础检测答案】1.(2016·内蒙古包头)不等式﹣≤1的解集是()A.x≤4 B.x≥4 C.x≤﹣1 D.x≥﹣1【考点】解一元一次不等式.【分析】根据解一元一次不等式基本步骤:去分母、去括号、移项、合并同类项可得.【解答】解:去分母,得:3x﹣2(x﹣1)≤6,去括号,得:3x﹣2x+2≤6,移项、合并,得:x≤4,故选:A.2.(2016·云南昆明)不等式组的解集为()A.x≤2 B.x<4 C.2≤x<4 D.x≥2【考点】解一元一次不等式组.【分析】先求出每个不等式的解集,再根据口诀:大小小大中间找确定不等式组的解集即可.【解答】解:解不等式x﹣3<1,得:x<4,解不等式3x+2≤4x,得:x≥2,∴不等式组的解集为:2≤x<4,故选:C.3.(2016·四川南充)不等式>﹣1的正整数解的个数是()A.1个B.2个C.3个D.4个【分析】根据解一元一次不等式基本步骤:去分母、去括号、移项、合并同类项、系数化为1可得不等式解集,即可得其正整数解.【解答】解:去分母得:3(x+1)>2(2x+2)﹣6,去括号得:3x+3>4x+4﹣6,移项得:3x﹣4x>4﹣6﹣3,合并同类项得:﹣x>﹣5,系数化为1得:x<5,故不等式的正整数解有1、2、3、4这4个,故选:D.4. (2016·浙江省绍兴市·5分)不等式>+2的解是x>﹣3 .【考点】解一元一次不等式.【分析】根据解一元一次不等式基本步骤:去分母、去括号、移项、合并同类项、系数化为1可得.【解答】解:去分母,得:3(3x+13)>4x+24,去括号,得:9x+39>4x+24,移项,得:9x﹣4x>24﹣39,合并同类项,得:5x>﹣15,系数化为1,得:x>﹣3,故答案为:x>﹣3.5. (2016·辽宁丹东)不等式组的解集为2<x<6 .【考点】解一元一次不等式组.【分析】分别求出各不等式的解集,再求出其公共解集即可.【解答】解:,由①得,x>2,由②得,x<6,故不等式组的解集为:2<x<6.故答案为:2<x<6.6.若x满足不等式组,且x为整数时,求A的值.【考点】分式的混合运算;一元一次不等式组的整数解.【分析】(1)原式第一项利用除法法则变形,约分后两项通分并利用同分母分式的减法法则计算即可得到结果;(2)分别求出不等式组中两不等式的解集,找出解集的公共部分确定出不等式组的解集,确定出整数x的值,代入计算即可求出A的值.【解答】解:(1)A=(x﹣3)•﹣1=﹣1==;(2),由①得:x<1,由②得:x>﹣1,∴不等式组的解集为﹣1<x<1,即整数x=0,则A=﹣.7. (2016·青海西宁)某经销商销售一批电话手表,第一个月以550元/块的价格售出60块,第二个月起降价,以500元/块的价格将这批电话手表全部售出,销售总额超过了5.5万元.这批电话手表至少有()A.103块 B.104块 C.105块 D.106块【考点】一元一次不等式的应用.【分析】根据题意设出未知数,列出相应的不等式,从而可以解答本题.【解答】解:设这批手表有x块,550×60+(x﹣60)×500>55000解得,x>104∴这批电话手表至少有105块,故选C.8. (2016·四川泸州)某商店购买60件A商品和30件B商品共用了1080元,购买50件A商品和20件B商品共用了880元.(1)A、B两种商品的单价分别是多少元?(2)已知该商店购买B商品的件数比购买A商品的件数的2倍少4件,如果需要购买A、B两种商品的总件数不少于32件,且该商店购买的A、B两种商品的总费用不超过296元,那么该商店有哪几种购买方案?【考点】一元一次不等式组的应用;二元一次方程组的应用.【分析】(1)设A种商品的单价为x元、B种商品的单价为y元,根据等量关系:①购买60件A商品的钱数+30件B商品的钱数=1080元,②购买50件A商品的钱数+20件B商品的钱数=880元分别列出方程,联立求解即可.(2)设购买A商品的件数为m件,则购买B商品的件数为(2m﹣4)件,根据不等关系:①购买A、B两种商品的总件数不少于32件,②购买的A、B两种商品的总费用不超过296元可分别列出不等式,联立求解可得出m的取值范围,进而讨论各方案即可.【解答】解:(1)设A种商品的单价为x元、B种商品的单价为y元,由题意得:,解得.答:A种商品的单价为16元、B种商品的单价为4元.(2)设购买A商品的件数为m件,则购买B商品的件数为(2m﹣4)件,由题意得:,解得:12≤m≤13,∵m是整数,∴m=12或13,故有如下两种方案:方案(1):m=12,2m﹣4=20 即购买A商品的件数为12件,则购买B商品的件数为20件;方案(2):m=13,2m﹣4=22 即购买A商品的件数为13件,则购买B商品的件数为22件.【达标检测答案】一、选择题1.不等式组⎩⎨⎧<-≥12xx的解集在数轴上表示为().A. B. C.D.【答案】B【解析】不等式组⎩⎨⎧<-≥12xx中,2x在数轴上,在-2的位置画实心圆点,方向向右,1x在1的位置画空心圆圈,方向向左,解集为交叉情况.故选项C正确.2. (2016·山东潍坊)运行程序如图所示,规定:从“输入一个值x”到“结果是否>95”为一次程序操作,如果程序操作进行了三次才停止,那么x的取值范围是()A .x≥11 B.11≤x<23 C .11<x≤23 D.x≤23 【考点】一元一次不等式组的应用.【分析】根据运算程序,前两次运算结果小于等于95,第三次运算结果大于95列出不等式组,然后求解即可.【解答】解:由题意得,,解不等式①得,x≤47, 解不等式②得,x≤23, 解不等式③得,x >11,所以,x 的取值范围是11<x≤23. 故选C .3.不等式23x <6的解集在数轴上表示正确的是( ).A B C D【答案】D【解析】236⨯<x9<x故选D4.不等式的解集在数轴上表示正确的是( )A .B .C .D .x 1>011x >03+-⎧⎪⎨⎪⎩【答案】A .【解析】解一元一次不等式组,先求出不等式组中每一个不等式的解集,再利用口诀求出这些解集的公共部分:同大取大,同小取小,大小小大中间找,大大小小解不了(无解).因此,. 5. (2016·浙江湖州)已知四个有理数a ,b ,x ,y 同时满足以下关系式:b >a ,x+y=a+b ,y ﹣x <a ﹣b .请将这四个有理数按从小到大的顺序用“<”连接起来是 y <a <b <x .【考点】有理数大小比较.【分析】由x+y=a+b 得出y=a+b ﹣x ,x=a+b ﹣y ,求出b <x ,y <a ,即可得出答案.【解答】解:∵x+y=a+b,∴y=a+b﹣x ,x=a+b ﹣y ,把y=a=b ﹣x 代入y ﹣x <a ﹣b 得:a+b ﹣x ﹣x <a ﹣b ,2b <2x ,b <x①,把x=a+b ﹣y 代入y ﹣x <a ﹣b 得:y ﹣(a+b ﹣y )<a ﹣b ,2y <2a ,y <a②,∵b>a③,∴由①②③得:y <a <b <x ,故答案为:y <a <b <x .6.若点P (1-m ,2m-4)在第四象限内,则m 的取值范围是( )A .m <1B .1<m <2C .m <2D .m >2【答案】A .【解析】∵点P (1-m ,2m-4)在第四象限内,∴10240m m --⎧⎨⎩>①<②,解不等式①得,m <1,解不等式②得,m <2,x 1>0x >12<x <31x <31x >03+⎧-⎧⎪⇒⇒-⎨⎨-⎩⎪⎩所以,m的取值范围是m<1.故选A.7.不等式4(x-2)>2(3x+5)的非负整数解的个数为()A.0个 B.1个 C.2个 D.3个【答案】A【解析】解:解不等式4(x-2)>2(3x+5)的解集是x<-9,因而不等式的非负整数解不存在.故选A8.若关于x的不等式组1240x ax+>⎧⎨-≤⎩有解,则a的取值范围是()A.a≤3 B.a<3 C.a<2 D.a≤2 【答案】B.【解析】解不等式组得:12x ax>-⎧⎨≤⎩因为不等式组1240x ax+>⎧⎨-≤⎩有解.所以:a-1<2即:a<3.故选B.二、填空题9.写出一个解集为x>1的一元一次不等式:.【答案】x﹣1>0(答案不唯一).【解析】解:移项,得x﹣1>0(答案不唯一).故答案为x﹣1>0.10.(2016·黑龙江龙东)不等式组有3个整数解,则m的取值范围是2<x≤3.【考点】一元一次不等式组的整数解.【分析】首先确定不等式组的整数解,然后根据只有这三个整数解即可确定.【解答】解:不等式的整数解是0,1,2.则m的取值范围是2<x≤3.故答案是:2<x≤3.11.若32527m x -->是一元一次不等式,则m= 。