2014中国两岸四地大学星级排名
- 格式:doc
- 大小:160.00 KB
- 文档页数:7
中国两岸四地大学百强排名出炉据《解放日报》报道,昨天凌晨,上海交通大学世界一流大学研究中心正式发布2014年“中国两岸四地大学百强排名”,这是该排名自2011年问世以来第四次发布。
综合排名前十中,清华大学第四年蝉联榜首,清华大学(新竹)和台湾大学分列二三。
香港科技大学取代香港大学,继2012年后重新回到第四名,北京大学维持去年第五名位置不变。
位列第六至第十名的分别是香港大学、香港中文大学、中国科学技术大学、交通大学(新竹)、浙江大学。
澳门地区排名最高的是澳门大学,位列第54名;澳门科技大学排名第57。
今年排名整体格局较之去年无太大变化,四地的百强高校数分别为:大陆64所,台湾27所,香港7所,澳门2所。
中央财政已于日前提前下达2015年城乡义务教育补助经费部分预算697.2亿元财政部19日宣布,中央财政已于日前提前下达2015年城乡义务教育补助经费部分预算697.2亿元,此举旨在提高地方预算完整性,保证城乡义务教育阶段学校春季开学后正常运转和“两免一补”政策落实到位。
据介绍,此次下拨资金包括农村义务教育经费保障机制资金605.9亿元、城市义务教育补助经费91.3亿元。
财政部表示,待2015年中央转移支付预算确定后,中央财政将再次核定各省2015年中央财政应承担的城乡义务教育补助经费预算,并按多退少补的原则据实调整经费预算。
从2006年起,国家逐步将农村义务教育全面纳入公共财政保障范围,建立起中央和地方分项目、按比例分担的农村义务教育经费保障机制。
近年来,各级财政不断加大投入力度,农村义务经费保障水平逐年提高。
数据显示,2006年至2014年,中央财政共安排农村义务教育经费保障机制资金约5929亿元。
此外,2008年起,国家又启动实施免除城市义务教育阶段学生学杂费政策,并切实保障进城务工农民工随迁子女接受义务教育的权利。
数据显示,2008年至2014年,中央财政共安排城市义务教育补助资金约567亿元。
2014年高考报考指南:2014年中国大学星级排名榜2014年中国大学星级排名揭晓北大清华连续12年雄霸中国大学排行榜冠亚军,高端指标排名北大清华国科大三足鼎立2014年3月26日,中国校友会网最新编制完成《2014中国大学评价研究报告》,报告公布最新一期2014中国大学排行榜、2014中国两岸四地大学星级排名、2014中国各类型大学排行榜、2014中国大学杰出校友排行榜和2014中国大学科学贡献排行榜等榜单,这是中国校友会网大学研究团队连续第12年发布中国大学排行榜。
报告显示,北京大学问鼎2014中国大学排行榜600强榜首,连续7年蝉联中国大学排行榜第一;清华大学名列第二,北大清华综合实力得分均在97分以上,连续12年雄霸中国大学排行榜冠亚军宝座,综合实力傲视雄。
上海交通大学升至第三,复旦大学屈居第四,武汉大学跃居第五,创历史最高排名。
专家指出,现今世界高校选择内涵式发展道路,办学特色决定大学核心竞争力;评价大学关键要看其办学质量,不再单纯追求办学规模和数量,比拼高端指标已成当今全球大学评价的主流趋势。
最新2014中国两岸四地大学星级排名显示,中国人民大学和香港科技大学首次荣膺2014中国六星级大学()美誉,与北京大学、清华大学、中国科学院大学、香港大学、香港中文大学和台湾大学等两岸四地六星级大学共同跻身2014中国顶尖大学队列,进入世界高水平大学集团。
中央音乐学院、中国戏剧学院、北京体育学院和台湾艺术大学等特色专业型院校入选2014中国六星级大学。
上海交通大学、复旦大学、武汉大学、浙江大学、南京大学、吉林大学、中山大学、北京师范大学、国防科学技术大学、台湾成功大学、台湾中央大学、台湾交通大学和澳门大学等院校跻身2014中国五星级大学(),跻身中国一流大学队列。
香港演艺学院和台北艺术大学等首次入选2014中国五星级大学;澳门理工学院首次入选2014中国四星级大学(),跻身中国高水平大学名单。
报告公布最新2014中国大学高端指标数据排名,北京大学、清华大学和中国科学院大学三足鼎立,校友、师资、学科、科研和声誉等核心指标前3名基本被三校包揽,拥有绝对优势无校能敌。
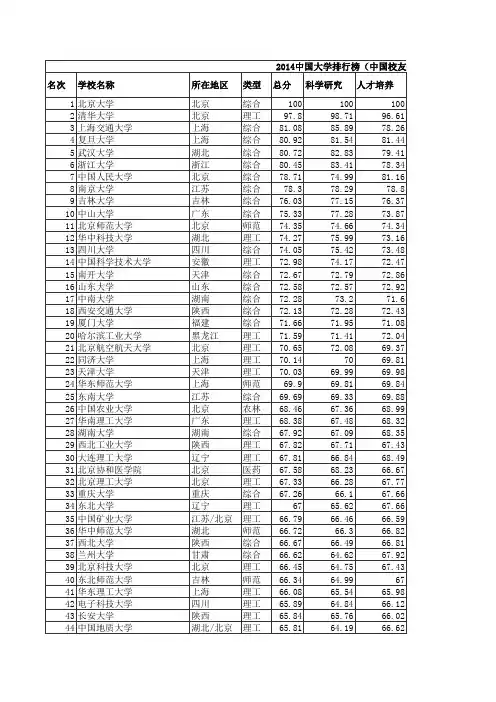
2014中国大学排行榜700强2014中国大学排行榜100强名次学校名称所在地区类型总分科学研究人才培养综合声誉办学类型、等级和层次办学类型星级排名办学层次1北京大学北京综合100 100 100 100中国研究型6星级中国顶尖大学2清华大学北京理工97.80 98.71 96.61 99.26中国研究型6星级中国顶尖大学3上海交通大学上海综合81.08 85.89 78.26 73.66中国研究型5星级中国一流大学4复旦大学上海综合80.92 81.54 81.44 76.23中国研究型5星级中国一流大学5武汉大学湖北综合80.72 82.83 79.41 77.86中国研究型5星级中国一流大学6浙江大学浙江综合80.45 83.41 78.34 77.54中国研究型5星级中国一流大学7中国人民大学北京综合78.71 74.99 81.16 83.38中国研究型6星级中国顶尖大学8南京大学江苏综合78.30 78.29 78.80 76.14中国研究型5星级中国一流大学9吉林大学吉林综合76.03 77.15 76.37 69.97中国研究型5星级中国一流大学10中山大学广东综合75.33 77.28 73.87 73.72中国研究型5星级中国一流大学11北京师范大学北京师范74.35 74.66 74.34 73.11中国研究型5星级中国一流大学12 华湖理74.27 75.99 73.16 72.01 中5中中科技大学北工国研究型星级国一流大学13四川大学四川综合74.05 75.42 73.48 70.92中国研究型5星级中国一流大学14中国科学技术大学安徽理工72.98 74.17 72.47 70.41中国研究型5星级中国一流大学15南开大学天津综合72.67 72.79 72.86 71.35中国研究型5星级中国一流大学16山东大学山东综合72.58 72.57 72.92 71.14中国研究型5星级中国一流大学17中南大学湖南综合72.28 73.20 71.60 71.53中国研究型5星级中国一流大学18西安交通大学陕西综合72.13 72.28 72.43 70.25中国研究型5星级中国一流大学19厦门大学福建综合71.66 71.95 71.08 73.01中国研究型5星级中国一流大学20哈尔滨工业大学黑龙江理工71.59 71.41 72.04 70.41中国研究型5星级中国一流大学21北京航空航天大学北京理工70.65 72.08 69.37 70.38中国研究型5星级中国一流大学22同济大学上海理工70.14 70.00 69.81 72.16中国研究型5星级中国一流大学23天津大学天津理工70.03 69.99 69.98 70.45中国研究型5星级中国一流大学24华东师范大学上海师范69.90 69.81 69.84 70.58中国研究型5星级中国一流大学25东南大学江苏综合69.69 69.33 69.88 70.32中国研究型5星级中国一流大学26中国农业大北京农林68.46 67.36 68.99 70.64行业特色研5星级中国一流大学究型学27华南理工大学广东理工68.38 67.48 68.32 72.34中国研究型4星级中国高水平大学28湖南大学湖南综合67.92 67.09 68.35 69.48中国研究型4星级中国高水平大学29西北工业大学陕西理工67.82 67.71 67.43 69.95中国研究型4星级中国高水平大学30大连理工大学辽宁理工67.81 66.84 68.49 68.87中国研究型4星级中国高水平大学31北京协和医学院北京医药67.58 68.23 66.67 68.87行业特色研究型5星级中国一流大学32北京理工大学北京理工67.33 66.28 67.77 69.76中国研究型4星级中国高水平大学33重庆大学重庆综合67.26 66.10 67.66 70.27中国研究型4星级中国高水平大学34东北大学辽宁理工67.00 65.62 67.66 69.79中国研究型4星级中国高水平大学35中国矿业大学江苏/北京理工66.79 66.46 66.59 68.99行业特色研究型4星级中国高水平大学36华中师范大学湖北师范66.72 66.30 66.82 68.05行业特色研究型4星级中国高水平大学37西北大学陕西综合66.67 66.49 66.81 66.85区域研究型4星级中国高水平大学38兰州大学甘肃综合66.62 64.62 67.92 69.20中国研究型4星级中国高水平大学39北京科技大学北京理工66.45 64.75 67.43 69.15行业特色研究型4星级中国高水平大学40东北师范大学吉林师范66.34 64.99 67.00 69.03行业特色研究型4星级中国高水平大学41华东理工大学上海理工66.08 65.54 65.98 68.71行业特色研究型4星级中国高水平大学42电子科技大学四川理工65.89 64.84 66.12 69.20行业特色研究型4星级中国高水平大学43长安大学陕西理工65.84 65.76 66.02 65.36行业特色研究型4星级中国高水平大学44中国地质大学湖北/北京理工65.81 64.19 66.62 68.99行业特色研究型4星级中国高水平大学44华中农业大学湖北农林65.81 65.09 66.16 67.23行业特色研究型4星级中国高水平大学46北京交通大学北京理工65.44 64.11 65.76 69.48行业特色研究型4星级中国高水平大学47南京农业大学江苏农林65.37 63.65 66.21 68.71行业特色研究型4星级中国高水平大学48中国海洋大学山东综合65.24 64.07 65.88 67.23行业特色研究型4星级中国高水平大学49南京理工大学江苏理工65.22 64.10 65.46 68.71行业特色研究型4星级中国高水平大学50武汉理工大学湖北理工65.15 64.13 65.64 67.23行业特色研究型4星级中国高水平大学50西南大学重庆综合65.15 63.15 66.45 67.72区域研究型4星级中国高水平大学52苏州大学江苏综合65.14 64.71 65.56 65.09区域研究型3星级中国知名大学52西北农林科技大学陕西农林65.14 64.01 65.79 66.90行业特色研究型4星级中国高水平大学54南京师范大学江苏师范65.10 63.66 66.44 65.21区域特色研究型4星级中国高水平大学54 中山理65.10 63.43 65.80 68.87 行4中国石油大学东/北京工业特色研究型星级国高水平大学56云南大学云南综合65.06 63.69 65.82 67.34区域研究型4星级中国高水平大学57哈尔滨工程大学黑龙江理工64.90 64.33 64.60 68.54行业特色研究型4星级中国高水平大学58南京航空航天大学江苏理工64.85 63.16 65.44 69.22行业特色研究型4星级中国高水平大学58河海大学江苏理工64.85 63.45 65.27 68.71行业特色研究型4星级中国高水平大学60湖南师范大学湖南师范64.75 62.99 65.99 66.57区域研究型3星级中国知名大学61西南交通大学四川理工64.73 62.40 66.02 68.71行业特色研究型4星级中国高水平大学62暨南大学广东综合64.67 63.64 65.34 66.00区域研究型3星级中国知名大学63北京化工大学北京理工64.57 63.86 64.71 66.90行业特色研究型4星级中国高水平大学64郑州大学河南综合64.55 62.46 66.21 65.91区域研究型3星级中国知名大学65西安电子科技大学陕西理工64.50 63.28 65.26 66.19行业特色研究型4星级中国高水平大学66北京林业大学北京林业64.48 62.66 65.14 69.05行业特色研究型4星级中国高水平大学67中国政法大学北京政法64.35 61.76 65.48 70.04行业特色研究型5星级中国一流大学68合肥工业大学安徽理工64.31 62.59 65.28 67.18行业特色研究型3星级中国知名大学69北京邮电大北京理工64.26 63.55 64.36 66.74行业特色研4星级中国高水平学究型大学70华南师范大学广东师范64.09 62.42 65.40 65.21区域特色研究型3星级中国知名大学71陕西师范大学陕西师范64.06 62.67 65.56 63.24区域特色研究型3星级中国知名大学72中南财经政法大学湖北财经64.04 62.22 65.48 65.21行业特色研究型5星级中国一流大学73上海大学上海综合64.03 62.43 65.27 65.26区域研究型3星级中国知名大学74上海财经大学上海财经64.02 62.29 64.75 67.89行业特色研究型5星级中国一流大学75山西大学山西综合64.01 62.96 65.25 62.96区域研究型3星级中国知名大学76北京工业大学北京理工63.97 62.86 64.83 64.76区域研究型3星级中国知名大学77福州大学福建理工63.96 62.54 64.62 66.90区域研究型3星级中国知名大学78南昌大学江西综合63.94 62.39 64.66 67.13区域研究型3星级中国知名大学79首都医科大学北京医药63.93 64.10 64.52 60.66区域特色研究型4星级中国高水平大学80中央民族大学北京民族63.87 61.78 65.08 67.23行业特色研究型4星级中国高水平大学81江南大学江苏综合63.78 62.38 64.34 67.06区域特色研究型3星级中国知名大学82东华大学上海理工63.71 62.22 64.84 64.88行业特色研究型4星级中国高水平大学83辽宁大学辽宁综合63.61 61.75 65.14 64.60区域研究型3星级中国知名大学84华南农业大学广东农林63.52 62.87 64.81 60.66区域特色研究型3星级中国知名大学85太原理工大学山西理工63.48 62.19 64.39 64.78区域研究型3星级中国知名大学86首都师范大学北京师范63.47 62.44 65.06 60.82区域特色研究型3星级中国知名大学86新疆大学新疆综合63.47 61.53 64.52 66.90区域研究型3星级中国知名大学88安徽大学安徽综合63.46 61.84 64.68 64.76区域研究型3星级中国知名大学89河南大学河南综合63.44 62.12 65.01 62.04区域研究型3星级中国知名大学89海南大学海南综合63.44 62.32 63.62 67.23区域研究型3星级中国知名大学91华北电力大学北京理工63.43 62.45 64.13 64.44专业型3星级中国知名大学92东北林业大学黑龙江林业63.42 61.90 64.67 64.27区域特色研究型3星级中国知名大学93浙江工业大学浙江理工63.41 63.11 64.29 60.84专业型3星级中国知名大学93福建师范大学福建师范63.41 62.60 64.81 60.66区域特色研究型3星级中国知名大学95内蒙古大学内蒙古综合63.40 61.87 64.41 65.26区域研究型3星级中国知名大学95中央财经大学北京财经63.40 60.88 64.26 69.99专业型4星级中国高水平大学97西南财经大学四川财经63.39 61.30 64.97 65.04区域特色研究型4星级中国高水平大学98 深广综63.37 62.49 64.15 63.63 专3中圳大学东合业型星级国知名大学99广西大学广西综合63.35 61.77 64.36 65.42区域研究型3星级中国知名大学100贵州大学贵州综合63.34 61.88 64.23 65.42区域研究型3星级中国知名大学2014中国大学排行榜(101~200)名次学校名称所在地区类型总分科学研究人才培养综合声誉办学类型、等级和层次办学类型星级排名办学层次101北京中医药大学北京医药63.31 62.46 63.81 64.60行业特色研究型4星级中国高水平大学102湘潭大学湖南综合63.28 62.36 64.46 61.97区域研究型3星级中国知名大学103哈尔滨医科大学黑龙江医药63.25 62.49 64.23 62.14区域特色研究型3星级中国知名大学104黑龙江大学黑龙江综合63.23 61.82 64.86 61.97区域研究型3星级中国知名大学104南方医科大学广东医药63.23 62.70 64.36 60.49区域特色研究型4星级中国高水平大学106宁夏大学宁夏综合63.20 61.96 63.56 66.74区域研究型3星级中国知名大学107河北大学河北综合63.19 61.80 64.55 62.96区域研究型3星级中国知名大学107南京医科大学江苏医药63.19 62.78 64.24 60.33专业型3星级中国知名大学109昆明理工大学云南理工63.18 62.34 64.26 61.97区域研究型3星级中国知名大学110南京工业大学江苏理工63.14 62.61 64.29 60.33专业型3星级中国知名大学111扬州大学江苏综合63.12 62.15 64.64 60.49专业型3星级中国知名大学112燕山大学河北理工63.09 62.18 64.26 61.81区域研究型3星级中国知名大学112对外经济贸易大学北京财经63.09 61.46 64.17 65.04专业型4星级中国高水平大学114中国医科大学辽宁医药63.04 62.30 64.38 60.33区域特色研究型3星级中国知名大学115浙江师范大学浙江师范63.01 62.17 64.36 60.61专业型3星级中国知名大学116河北工业大学河北理工62.98 61.40 63.77 66.03专业型3星级中国知名大学117江苏大学江苏综合62.96 62.18 64.32 60.33专业型3星级中国知名大学117四川农业大学四川农林62.96 61.53 63.96 64.44区域特色研究型3星级中国知名大学119东北农业大学黑龙江农林62.94 61.16 63.94 65.91专业型3星级中国知名大学120山东师范大学山东师范62.93 61.63 64.69 60.66专业型3星级中国知名大学121天津医科大学天津医药62.91 61.37 64.05 64.27专业型3星级中国知名大学122西南政法大学重庆政法62.90 61.40 64.82 60.77行业特色研究型4星级中国高水平大学123上海理工大学上海理工62.83 61.39 64.72 60.56专业型3星级中国知名大学124山东农业大学山东农林62.82 61.85 64.31 60.33专业型3星级中国知名大学125中国药科大学江苏医药62.81 61.36 63.85 64.27行业特色研究型4星级中国高水平大学126重庆医科大学重庆医药62.80 61.87 63.86 61.97专业型3星级中国知名大学127上海师范大学上海师范62.79 61.51 64.49 60.66专业型3星级中国知名大学128北京外国语大学北京语言62.77 60.73 64.16 65.04专业型5星级中国一流大学129西北师范大学甘肃师范62.74 61.18 64.40 61.97专业型3星级中国知名大学130东北财经大学辽宁财经62.69 61.06 64.77 60.33专业型4星级中国高水平大学131安徽师范大学安徽师范62.68 61.12 64.30 62.09专业型3星级中国知名大学131湖北大学湖北综合62.68 60.95 64.22 63.07专业型3星级中国知名大学133西安建筑科技大学陕西理工62.64 61.47 63.95 61.81专业型3星级中国知名大学134 延边吉综62.62 60.58 63.79 65.91 区域3星中国大学林合研究型级知名大学135湖南农业大学湖南农林62.61 61.38 63.93 61.97区域特色研究型3星级中国知名大学136广州中医药大学广东医药62.59 61.09 63.55 64.55专业型3星级中国知名大学137上海中医药大学上海医药62.57 61.80 63.86 60.16专业型4星级中国高水平大学138天津师范大学天津师范62.56 61.34 64.20 60.49专业型3星级中国知名大学139江西师范大学江西师范62.54 61.24 63.89 61.97专业型-139武汉科技大学湖北综合62.54 61.19 63.85 62.41专业型3星级中国知名大学139西安理工大学陕西理工62.54 61.28 63.89 61.81专业型3星级中国知名大学142大连海事大学辽宁理工62.53 60.63 63.85 64.55专业型3星级中国知名大学142西藏大学西藏综合62.53 60.91 63.07 66.74区域研究型-144石河子大学新疆综合62.52 61.52 63.44 62.63专业型-145福建农林大学福建农林62.50 61.41 64.03 60.33专业型-146中北大学山西理工62.49 61.52 63.53 61.92专业型3星级中国知名大学146青海大学青海综合62.49 60.81 63.10 66.74区域研究型-148山东科技大学山东理工62.46 61.49 63.87 60.33专业型3星级中国知名大学148河北师范大学河北师范62.46 60.72 64.22 61.97专业型3星级中国知名大学150上海外国语大学上海语言62.44 60.58 63.70 64.60专业型4星级中国高水平大学151南京林业大学江苏林业62.41 61.25 63.99 60.33专业型3星级中国知名大学152长沙理工大学湖南理工62.39 61.45 63.42 61.81专业型3星级中国知名大学153青岛大学山东综合62.38 61.26 63.83 60.66专业型-154成都理工大学四川理工62.37 61.17 63.60 61.97专业型3星级中国知名大学155 河北河农62.36 61.03 63.74 61.81 专业-农业大学北林型156沈阳农业大学辽宁农林62.35 60.65 64.02 62.04专业型-156河南农业大学河南农林62.35 61.21 63.55 61.76专业型3星级中国知名大学158西南石油大学四川理工62.34 61.06 63.66 61.81专业型-159长春理工大学吉林理工62.33 61.01 63.67 61.92专业型-159哈尔滨理工大学黑龙江理工62.33 61.10 63.61 61.81专业型-161宁波大学浙江综合62.30 61.68 63.29 60.56专业型-162河北医科大学河北医药62.28 60.76 63.83 61.81专业型3星级中国知名大学163河南理工大学河南理工62.26 61.03 63.56 61.64专业型-163兰州理工大学甘肃理工62.26 61.14 63.43 61.81专业型-163河南师范大学河南师范62.26 60.93 63.65 61.64专业型-166浙江理工大学浙江理工62.25 61.64 63.25 60.44专业型-166内蒙古农业大学内蒙古农林62.25 60.48 64.02 61.81专业型-168广西师范大学广西师范62.24 60.83 63.59 62.14专业型-168江西财经大学江西财经62.24 60.63 63.76 62.20专业型3星级中国知名大学168安徽医科大学安徽医药62.24 61.08 63.43 61.81专业型3星级中国知名大学168天津中医药大学天津医药62.24 61.18 63.72 60.16专业型4星级中国高水平大学172兰州交通大学甘肃理工62.22 60.84 63.62 61.81专业型-172天津工业大学天津理工62.22 61.39 63.45 60.33专业型-174青岛科技大学山东理工62.21 61.36 63.45 60.33专业型-174云南师范大学云南师范62.21 60.85 63.51 62.14专业型-176 杭州浙师62.18 61.43 63.28 60.49 专业-师范大学江范型177首都经济贸易大学北京财经62.17 60.81 63.85 60.49专业型3星级中国知名大学178华侨大学福建综合62.16 60.93 63.59 61.00专业型-178安徽农业大学安徽农林62.16 60.68 63.64 61.81专业型-178四川师范大学四川师范62.16 60.66 63.57 62.14专业型-181中南林业科技大学湖南林业62.15 60.76 63.54 61.81专业型-181吉林农业大学吉林农林62.15 60.78 63.53 61.81专业型-183内蒙古师范大学内蒙古师范62.14 60.45 63.80 61.81专业型-184温州医科大学浙江医药62.13 61.47 63.18 60.33专业型3星级中国知名大学185南京邮电大学江苏理工62.12 61.20 63.43 60.16专业型-185辽宁工程技术大学辽宁理工62.12 60.62 63.65 61.64专业型-187辽宁师范大学辽宁师范62.11 60.64 63.96 60.16专业型-188沈阳工业大学辽宁理工62.10 61.17 63.42 60.16专业型-189华东政法大学上海政法62.09 60.65 63.81 60.49专业型3星级中国知名大学189哈尔滨师范大学黑龙江师范62.09 60.72 63.80 60.33专业型-191广州大学广东综合62.08 61.11 63.25 60.99专业型-191南京中医药大学江苏医药62.08 60.81 63.73 60.16专业型3星级中国知名大学193江西农业大学江西农林62.07 60.56 63.56 61.81专业型-194汕头大学广东综合62.05 60.93 63.52 60.33专业型-194浙江工商大学浙江财经62.05 61.08 63.33 60.44专业型3星级中国知名大学196贵州师范大学贵州师范62.02 60.83 63.20 61.81专业型-197山西师范大学山西师范62.01 60.53 63.45 61.81专业型-197成都中医药大学四川医药62.01 60.83 63.56 60.16专业型3星级中国知名大学199长江大学湖北综合62.00 60.63 63.33 61.81应用型-199西安科技大学陕西理工62.00 60.55 63.42 61.81专业型-2014中国大学排行榜(201-300强)名次学校名称所在地区类型总分科学研究人才培养综合声誉办学类型、等级和层次办学类型星级排名办学层次201云南农业大学云南农林61.99 61.07 63.28 60.16应用型- -202安徽理工大学安徽理工61.98 60.54 63.38 61.81应用型- -202广东工业大学广东理工61.98 60.76 63.52 60.33应用型- -202甘肃农业大学甘肃农林61.98 60.42 63.50 61.81应用型- -202北京语言大学北京语言61.98 60.74 63.50 60.49专业型4星级中国高水平大学206大连医科大学辽宁医药61.97 60.54 63.36 61.81应用型- -206河南工业大学河南理工61.97 60.75 63.20 61.64应用型- -206广东外语外贸大学广东语言61.97 60.72 63.49 60.49专业型3星级中国知名大学206曲阜师范大学山东师范61.97 60.59 63.69 60.16应用型- -206天津财经大学天津财经61.97 60.58 63.70 60.16应用型- -211重庆邮电大学重庆理工61.96 60.80 63.09 61.81应用型- -211新疆农业大学新疆农林61.96 60.53 63.34 61.81应用型- -211湖南科技大学湖南综合61.96 60.97 63.32 60.16应用型- -211东北石油大学黑龙江理工61.96 60.73 63.58 60.00应用型- -211南京信息工程大学江苏理工61.96 60.93 63.36 60.16应用型- -216江苏师范大学江苏师范61.95 60.85 63.36 60.33应用型- -217沈阳药科大学辽宁医药61.94 60.50 63.70 60.16专业型4星级中国高水平大学218重庆交通大学重庆理工61.93 61.07 63.16 60.16应用型- -219济南大学山东综合61.92 60.88 63.28 60.33应用型- -219安徽工业大学安徽理工61.92 60.68 63.15 61.64应用型- -221东北电力大学吉林理工61.91 60.60 63.22 61.64应用型- -221广州医科大学广东医药61.91 60.99 63.16 60.33应用型- -223武汉纺织大学湖北理工61.90 60.71 63.04 61.81应用型- -224重庆工商大学重庆财经61.89 60.70 62.99 61.97应用型- -224北京工商大学北京财经61.89 60.71 63.30 60.66应用型- -226杭州电子科技大学浙江理工61.88 60.85 63.23 60.28应用型- -227中南民族大学湖北民族61.87 60.84 63.23 60.16应用型- -227广西医科大学广西医药61.87 60.30 63.36 61.81应用型- -229烟台大学山东综合61.86 60.79 63.26 60.16应用型- -229南通大学江苏综合61.86 60.83 63.22 60.16应用型- -231上海海洋大学上海农林61.84 60.79 63.22 60.16应用型- -231陕西科技大学陕西理工61.84 60.29 63.31 61.81应用型- -233青岛理工大学山东理工61.83 60.78 63.20 60.16应用型- -233黑龙江中医药大学黑龙江医药61.83 60.56 63.47 60.00专业型3星级中国知名大学233新疆医科大学新疆医药61.83 60.60 63.38 60.16应用型- -236天津科技大学天津理工61.82 60.60 63.36 60.16应用型- -236西南科技大学四川理工61.82 60.86 63.10 60.16应用型- -236新疆师范大学新疆师范61.82 60.39 63.18 61.81应用型- -239湖北工业大学湖北理工61.81 60.46 63.08 61.81应用型- -239山西医科大学山西医药61.81 60.50 63.44 60.16应用型- -239青海民族大学青海民族61.81 60.37 63.22 61.64应用型- -239石家庄铁道大学河北理工61.81 60.72 63.26 60.00应用型- -243广西民族大学广西民族61.80 60.32 63.20 61.81应用型- -243上海海事大学上海理工61.80 60.55 63.36 60.16应用型- -243湖南中医药大学湖南医药61.80 60.68 63.23 60.16应用型- -246浙江农林大学浙江林业61.79 60.88 63.02 60.16应用型- -246武汉工程大学湖北理工61.79 60.38 63.12 61.81应用型- -248温州大学浙江综合61.78 60.59 63.16 60.67应用型- -248南华大学湖南综合61.78 60.57 63.29 60.16应用型- -248江西理工大学江西理工61.78 60.56 63.32 60.16应用型- -248贵阳医学院贵州医药61.78 60.35 63.12 61.81应用型- -248哈尔滨商业大学黑龙江财经61.78 60.31 63.17 61.81应用型- -253 三峡湖综61.77 60.74 63.12 60.16 应- -大学北合用型253重庆师范大学重庆师范61.77 60.56 63.25 60.33应用型- -253福建医科大学福建医药61.77 60.50 63.34 60.16应用型- -253山西财经大学山西财经61.77 60.29 63.16 61.81应用型- -253大连工业大学辽宁理工61.77 60.73 63.12 60.16应用型- -258西华大学四川综合61.76 60.17 63.22 61.92应用型- -258沈阳建筑大学辽宁理工61.76 60.27 63.17 61.81应用型- -258山东财经大学山东财经61.76 60.68 63.11 60.33应用型- -258沈阳师范大学辽宁师范61.76 60.50 63.33 60.16应用型- -258山东理工大学山东理工61.76 60.60 63.23 60.16应用型- -263景德镇陶瓷学院江西理工61.75 60.75 63.06 60.16应用型- -264东华理工大学江西理工61.74 60.63 63.14 60.16应用型- -264安徽财经大学安徽财经61.74 60.24 63.14 61.81应用型- -264常州大学江苏理工61.74 60.67 62.99 60.66应用型- -264山东中医药大学山东医药61.74 60.42 63.37 60.16应用型- -268中国民航大学天津理工61.73 60.62 63.10 60.33应用型- -268重庆理工大学重庆理工61.73 60.68 63.00 60.49应用型- -268桂林理工大学广西理工61.73 60.70 63.11 60.00应用型- -268长春中医药大学吉林医药61.73 60.29 63.11 61.64应用型- -272中国计量学院浙江理工61.72 60.76 62.99 60.16应用型- -272太原科技大学山西理工61.72 60.57 63.20 60.00应用型- -274 桂林广理61.71 60.59 63.14 60.16 应- -电子科技大学西工用型274聊城大学山东综合61.71 60.44 63.26 60.16应用型- -276华北水利水电大学河南理工61.70 60.15 63.18 61.64应用型- -276华东交通大学江西理工61.70 60.45 63.23 60.16应用型- -276天津理工大学天津理工61.70 60.52 63.17 60.16应用型- -276北京建筑大学北京理工61.70 60.66 63.07 60.00应用型- -276浙江中医药大学浙江医药61.70 60.50 63.18 60.16应用型- -281河南科技大学河南理工61.69 60.41 63.30 60.00应用型- -281河北科技大学河北理工61.69 60.32 63.33 60.16应用型- -283河北联合大学河北理工61.68 60.40 63.25 60.16应用型- -284海南师范大学海南师范61.67 60.56 63.02 60.33应用型- -284大连大学辽宁综合61.67 60.53 63.10 60.16应用型- -284河南中医学院河南医药61.67 60.14 63.09 61.81应用型- -284云南民族大学云南民族61.67 60.42 63.21 60.16应用型- -284吉首大学湖南综合61.67 60.16 63.05 61.81应用型- -284西北政法大学陕西政法61.67 60.22 63.40 60.16专业型- -290辽宁中医药大学辽宁医药61.66 60.42 63.18 60.16应用型- -290昆明医科大学云南医药61.66 60.08 63.11 61.81应用型- -290大连交通大学辽宁理工61.66 60.60 63.06 60.00应用型- -293山东建筑大学山东理工61.65 60.48 63.09 60.16应用型- -293 宁夏宁医61.65 60.50 63.07 60.16 应- -。
2014年中国大学排行榜名单来源:中国校友会网2013-12-30 17:04:26[标签:大学排行榜][当前16339家长在线讨论]2013年12月30日,中国校友会网最新发布《2014中国大学评价研究报告》,这是中国校友会网大学研究团队连续第12年发布中国大学排行榜。
报告显示,北京大学连续7年蝉联中国第一,问鼎2014中国大学排行榜100强榜首;清华大学位居第二,上海交通大学居第三,复旦大学列第四,武汉大学排名第五,创历史最高排名。
华中科技大学武昌分校、华中科技大学文华学院、吉林大学珠海学院、河南科技大学万方科技学院和四川大学锦江学院位居2014中国独立学院排行榜前五强;湖南涉外经济学院、北京城市学院、山东英才学院、西安欧亚学院和三亚学院名列2014中国民办大学排行榜前五强。
最新发布2014中国大学校友捐赠排行榜,清华大学校友捐赠13.23亿元,创中国大学校友捐赠最高纪录,跃居中国第一;北京大学12.93亿,屈居第二,中国人民大学7.07亿,列第三,武汉大学校友捐赠5.43亿,跃居全国五强。
值得关注的是,研究团队提出2014中国大学分类新标准,率先将“毕业生质量”纳入大学分类,35所大学入围2014中国研究型大学。
中国科学院大学、中国人民大学凭借在自然科学和人文社会科学领域的超常表现,入选2014中国顶尖大学,荣膺“中国六星级大学”美誉;上海交通大学、复旦大学和武汉大学等23所大学入选2013中国一流大学,荣膺“中国五星级大学”美誉。
在中国校友会网最新公布的2014中国大学毕业生质量排行榜、2014中国大学教师水平排行榜和2014中国最具媒体影响大学排行榜中,北京大学和清华大学蝉联三榜冠亚军。
首次发布2014中国大学学科水平排行榜,清华大学排名第一,北京大学名列第二,中国人民大学位居第三。
2014年中国大学排行榜名单
来源:中国校友会网
[标签:大学排行榜]
2013年12月30日,中国校友会网最新发布《2014中国大学评价研究报告》,这是中国校友会网大学研究团队连续第12年发布中国大学排行榜。
报告显示,北京大学连续7年蝉联中国第一,问鼎2014中国大学排行榜100强榜首;清华大学位居第二,上海交通大学居第三,复旦大学列第四,武汉大学排名第五,创历史最高排名。
华中科技大学武昌分校、华中科技大学文华学院、吉林大学珠海学院、河南科技大学万方科技学院和四川大学锦江学院位居2014中国独立学院排行榜前五强;湖南涉外经济学院、北京城市学院、山东英才学院、西安欧亚学院和三亚学院名列2014中国民办大学排行榜前五强。
最新发布2014中国大学校友捐赠排行榜,清华大学校友捐赠13.23亿元,创中国大学校友捐赠最高纪录,跃居中国第一;北京大学12.93亿,屈居第二,中国人民大学7.07亿,列第三,武汉大学校友捐赠5.43亿,跃居全国五强。
值得关注的是,研究团队提出2014中国大学分类新标准,率先将“毕业生质量”纳入大学分类,35所大学入围2014中国研究型大学。
中国科学院大学、中国人民大学凭借在自然科学和人文社会科学领域的超常表现,入选2014中国顶尖大学,荣膺“中国六星级大学”美誉;上海交通大学、复旦大学和武汉大学等23所大学入选2013中国一流大学,荣膺“中国五星级大学”美誉。
在中国校友会网最新公布的2014中国大学毕业生质量排行榜、2014中国大学教师水平排行榜和2014中国最具媒体影响大学排行榜中,北京大学和清华大学蝉联三榜冠亚军。
首次发布2014中国大学学科水平排行榜,清华大学排名第一,北京大学名列第二,中国人民大学位居第三。
中国校友会2014年中国大学排行榜(1-100名)2014年中国大学排行榜(1-100名)中国校友会网发布《2014中国大学评价研究报告》,这是中国校友会网大学研究团队连续第12年发布中国大学排行榜。
报告显示,北京大学连续7年蝉联中国第一,问鼎2014中国大学排行榜100强榜首;清华大学位居第二,上海交通大学居第三,复旦大学列第四,武汉大学排名第五,创历史最高排名。
华中科技大学武昌分校、华中科技大学文华学院、吉林大学珠海学院、河南理工大学万方科技学院和四川大学锦江学院位居2014中国独立学院排行榜前五强;湖南涉外经济学院、北京城市学院、山东英才学院、西安欧亚学院和三亚学院名列2014中国民办大学排行榜前五强。
最新发布2014中国大学校友捐赠排行榜,清华大学校友捐赠13.23亿元,创中国大学校友捐赠最高纪录,跃居中国第一;北京大学12.93亿,屈居第二,中国人民大学7.07亿,列第三,武汉大学校友捐赠5.43亿,跃居全国五强。
值得的是,研究团队提出2014中国大学分类新标准,率先将毕业生质量纳入大学分类,35所大学入围2014中国研究型大学。
中国科学院大学、中国人民大学凭借在自然科学和人文社会科学领域的超常表现,入选2014中国顶尖大学,荣膺中国六星级大学美誉;上海交通大学、复旦大学和武汉大学等23所大学入选2013中国一流大学,荣膺中国五星级大学美誉。
在中国校友会网最新公布的2014中国大学毕业生质量排行榜、2014中国大学教师水平排行榜和2014中国最具媒体影响大学排行榜中,北京大学和清华大学蝉联三榜冠亚军。
首次发布2014中国大学学科水平排行榜,清华大学排名第一,北京大学名列第二,中国人民大学位居第三。
2014中国大学排行榜(1~100)名次学校名称所在地区类型总分科学研究人才培养综合声誉办学类型、等级和层次办学类型星级排名办学层次1北京大学北京综合100100100100中国研究型6星级中国顶尖大学清华大学北京理工97.8098.7196.6199.26中国研究型6星级中国顶尖大学3上海交通大学上海综合81.0885.8978.2673.66中国研究型5星级中国一流大学4复旦大学上海综合80.9281.5481.4476.23中国研究型5星级中国一流大学5武汉大学湖北综合80.7282.8379.4177.86中国研究型5星级中国一流大学浙江大学浙江综合80.4583.4178.3477.54中国研究型5星级中国一流大学7中国人民大学北京综合78.7174.9981.1683.38中国研究型6星级中国顶尖大学8南京大学江苏综合78.3078.2978.8076.14中国研究型5星级中国一流大学9吉林大学吉林综合76.0377.1576.3769.97中国研究型5星级中国一流大学中山大学广东综合75.3377.2873.8773.72中国研究型5星级中国一流大学11北京师范大学北京师范74.3574.6674.3473.11中国研究型5星级中国一流大学12华中科技大学湖北理工74.2775.9973.1672.01中国研究型5星级中国一流大学13四川大学四川综合74.0575.4273.4870.92中国研究型5星级中国一流大学中国科学技术大学安徽理工72.9874.1772.4770.41中国研究型5星级中国一流大学15南开大学天津综合72.6772.7972.8671.35中国研究型5星级中国一流大学16山东大学山东综合72.5872.5772.9271.14中国研究型5星级中国一流大学17中南大学湖南综合72.2873.2071.6071.53中国研究型5星级中国一流大学西安交通大学陕西综合72.1372.2872.4370.25中国研究型5星级中国一流大学19厦门大学福建综合71.6671.9571.0873.01中国研究型5星级中国一流大学20哈尔滨工业大学黑龙江理工71.5971.4172.0470.41中国研究型5星级中国一流大学21北京航空航天大学北京理工70.6572.0869.3770.38中国研究型5星级中国一流大学同济大学上海理工70.1470.0069.8172.16中国研究型5星级中国一流大学23天津大学天津理工70.0369.9969.9870.45中国研究型5星级中国一流大学24华东师范大学上海师范69.9069.8169.8470.58中国研究型5星级中国一流大学25东南大学江苏综合69.6969.3369.8870.32中国研究型5星级中国一流大学中国农业大学北京农林68.4667.3668.9970.64行业特色研究型5星级中国一流大学27华南理工大学广东理工68.3867.4868.3272.34中国研究型4星级中国高水平大学28湖南大学湖南综合67.9267.0968.3569.48中国研究型4星级中国高水平大学29西北工业大学陕西理工67.8267.7167.4369.95中国研究型4星级中国高水平大学大连理工大学辽宁理工67.8166.8468.4968.87中国研究型4星级中国高水平大学31北京协和医学院北京医药67.5868.2366.6768.87行业特色研究型5星级中国一流大学32北京理工大学北京理工67.3366.2867.7769.76中国研究型4星级中国高水平大学33重庆大学重庆综合67.2666.1067.6670.27中国研究型4星级中国高水平大学东北大学辽宁理工67.0065.6267.6669.79中国研究型4星级中国高水平大学35中国矿业大学江苏/北京理工66.7966.4666.5968.99行业特色研究型4星级中国高水平大学36华中师范大学湖北师范66.7266.3066.8268.05行业特色研究型4星级中国高水平大学37西北大学陕西综合66.6766.4966.8166.85区域研究型4星级中国高水平大学兰州大学甘肃综合66.6264.6267.9269.20中国研究型4星级中国高水平大学39北京科技大学北京理工66.4564.7567.4369.15行业特色研究型4星级中国高水平大学40东北师范大学吉林师范66.3464.9967.0069.03行业特色研究型4星级中国高水平大学41华东理工大学上海理工66.0865.5465.9868.71行业特色研究型4星级中国高水平大学电子科技大学四川理工65.8964.8466.1269.20行业特色研究型4星级中国高水平大学43长安大学陕西理工65.8465.7666.0265.36行业特色研究型4星级中国高水平大学44中国地质大学湖北/北京理工65.8164.1966.6268.99行业特色研究型4星级中国高水平大学44华中农业大学湖北农林65.8165.0966.1667.23行业特色研究型4星级中国高水平大学北京交通大学北京理工65.4464.1165.7669.48行业特色研究型4星级中国高水平大学47南京农业大学江苏农林65.3763.6566.2168.71行业特色研究型4星级中国高水平大学48中国海洋大学山东综合65.2464.0765.8867.23行业特色研究型4星级中国高水平大学49南京理工大学江苏理工65.2264.1065.4668.71行业特色研究型4星级中国高水平大学武汉理工大学湖北理工65.1564.1365.6467.23行业特色研究型4星级中国高水平大学50西南大学重庆综合65.1563.1566.4567.72区域研究型4星级中国高水平大学52苏州大学江苏综合65.1464.7165.5665.09区域研究型3星级中国知名大学52西北农林科技大学陕西农林65.1464.0165.7966.90行业特色研究型4星级中国高水平大学南京师范大学江苏师范65.1063.6666.4465.21区域特色研究型4星级中国高水平大学54中国石油大学山东/北京理工65.1063.4365.8068.87行业特色研究型4星级中国高水平大学56云南大学云南综合65.0663.6965.8267.34区域研究型4星级中国高水平大学57哈尔滨工程大学黑龙江理工64.9064.3364.6068.54行业特色研究型4星级中国高水平大学南京航空航天大学江苏理工64.8563.1665.4469.22行业特色研究型4星级中国高水平大学58河海大学江苏理工64.8563.4565.2768.71行业特色研究型4星级中国高水平大学60湖南师范大学湖南师范64.7562.9965.9966.57区域研究型3星级中国知名大学61西南交通大学四川理工64.7362.4066.0268.71行业特色研究型4星级中国高水平大学暨南大学广东综合64.6763.6465.3466.00区域研究型3星级中国知名大学63北京化工大学北京理工64.5763.8664.7166.90行业特色研究型4星级中国高水平大学64郑州大学河南综合64.5562.4666.2165.91区域研究型3星级中国知名大学65西安电子科技大学陕西理工64.5063.2865.2666.19行业特色研究型4星级中国高水平大学北京林业大学北京林业64.4862.6665.1469.05行业特色研究型4星级中国高水平大学67中国政法大学北京政法64.3561.7665.4870.04行业特色研究型5星级中国一流大学68合肥工业大学安徽理工64.3162.5965.2867.18行业特色研究型3星级中国知名大学69北京邮电大学北京理工64.2663.5564.3666.74行业特色研究型4星级中国高水平大学华南师范大学广东师范64.0962.4265.4065.21区域特色研究型3星级中国知名大学71陕西师范大学陕西师范64.0662.6765.5663.24区域特色研究型3星级中国知名大学72中南财经政法大学湖北财经64.0462.2265.4865.21行业特色研究型5星级中国一流大学73上海大学上海综合64.0362.4365.2765.26区域研究型3星级中国知名大学上海财经大学上海财经64.0262.2964.7567.89行业特色研究型5星级中国一流大学75山西大学山西综合64.0162.9665.2562.96区域研究型3星级中国知名大学76北京工业大学北京理工63.9762.8664.8364.76区域研究型3星级中国知名大学77福州大学福建理工63.9662.5464.6266.90区域研究型3星级中国知名大学南昌大学江西综合63.9462.3964.6667.13区域研究型3星级中国知名大学79首都医科大学北京医药63.9364.1064.5260.66区域特色研究型4星级中国高水平大学80中央民族大学北京民族63.8761.7865.0867.23行业特色研究型4星级中国高水平大学81江南大学江苏综合63.7862.3864.3467.06区域特色研究型3星级中国知名大学东华大学上海理工63.7162.2264.8464.88行业特色研究型4星级中国高水平大学83辽宁大学辽宁综合63.6161.7565.1464.60区域研究型3星级中国知名大学84华南农业大学广东农林63.5262.8764.8160.66区域特色研究型3星级中国知名大学85太原理工大学山西理工63.4862.1964.3964.78区域研究型3星级中国知名大学首都师范大学北京师范63.4762.4465.0660.82区域特色研究型3星级中国知名大学86新疆大学新疆综合63.4761.5364.5266.90区域研究型3星级中国知名大学88安徽大学安徽综合63.4661.8464.6864.76区域研究型3星级中国知名大学89河南大学河南综合63.4462.1265.0162.04区域研究型3星级中国知名大学海南大学海南综合63.4462.3263.6267.23区域研究型3星级中国知名大学91华北电力大学北京理工63.4362.4564.1364.44专业型3星级中国知名大学92东北林业大学黑龙江林业63.4261.9064.6764.27区域特色研究型3星级中国知名大学93浙江工业大学浙江理工63.4163.1164.2960.84专业型3星级中国知名大学福建师范大学福建师范63.4162.6064.8160.66区域特色研究型3星级中国知名大学95内蒙古大学内蒙古综合63.4061.8764.4165.26区域研究型3星级中国知名大学95中央财经大学北京财经63.4060.8864.2669.99专业型4星级中国高水平大学97西南财经大学四川财经63.3961.3064.9765.04区域特色研究型4星级中国高水平大学深圳大学广东综合63.3762.4964.1563.63专业型3星级中国知名大学99广西大学广西综合63.3561.7764.3665.42区域研究型3星级中国知名大学100贵州大学贵州综合63.3461.8864.2365.42区域研究型3星级中国知名大学。
两岸四地的17所六星级大学介绍2016两岸四地的17所六星级大学介绍中国六星级大学(★★★★★★)是世界高水平大学、中国顶尖大学,是创建世界一流大学的核心力量。
在艾瑞深中国校友会网2016中国两岸四地大学排行榜中,两岸四地共有17所高校入选2016中国六星级大学(★★★★★★)。
下面应届毕业生网店铺就来详细介绍2016两岸四地的17所六星级大学吧!1.复旦大学复旦大学(Fudan University),简称“复旦”,位于首批沿海开放城市上海市,由中华人民共和国教育部直属,中央直管副部级建制,位列“211工程”、“985工程”,入选“珠峰计划”、“111计划”、“2011计划”、“卓越医生教育培养计划”,为“九校联盟”成员、东亚研究型大学协会成员、环太平洋大学协会成员、21世纪大学协会成员,是一所综合性研究型的全国重点大学。
复旦大学由原复旦大学、原上海医科大学合并而成。
原复旦大学创建于1905年,原名复旦公学,是中国人自主创办的第一所高等院校,创始人为中国近代知名教育家马相伯,首任校董为国父孙中山先生。
校名“复旦”二字选自《尚书大传·虞夏传》中“日月光华,旦复旦兮”的名句,意在自强不息,寄托当时中国知识分子自主办学、教育强国的希望。
1917 年复旦公学改名为私立复旦大学;1937年抗战爆发后,学校内迁重庆北碚,并于1941年改为“国立”;1946年迁回上海江湾原址;1952年全国高等学校院系调整后,复旦大学成为文理科综合大学;1959年成为全国重点大学。
2000年,复旦大学与上海医科大学合并,成立新的复旦大学。
复旦师生谨记“博学而笃志,切问而近思”的校训,严守“文明、健康、团结、奋发”的校风,力行“刻苦、严谨、求实、创新”的学风,发场“爱国奉献、学术独立、海纳百川、追求卓越”的复旦精神,以服务国家为己任,以培养人才为根本,以改革开放为动力,为实现中国梦作出新贡献。
地区:上海办学类型:中国研究型办学层次:中国顶尖大学2.武汉大学武汉大学(Wuhan University),简称“武大”,位于湖北武汉,是直属于中华人民共和国教育部的副部级全国重点大学,国家首批“985工程”、“211工程”、“2011计划”重点建设高校,同时是“111计划”、“珠峰计划”、“海外高层次人才引进计划”、“卓越工程师教育培养计划”、“卓越法律人才教育培养计划”和“卓越医生教育培养计划”等重点建设的综合研究型大学,是与法国高校联系最紧密、合作最广泛的中国高校之一,是世界权威期刊《Science》列出的“中国最杰出的大学”之一。