指数、对数及幂函数知识点小结及习题
- 格式:doc
- 大小:1.10 MB
- 文档页数:13
指数与对数函数幂函数知识点总结指数函数、对数函数和幂函数是高中数学中的重要内容,是数学中常见的数学函数类型。
下面将对这三种函数进行详细介绍和总结。
1.指数函数指数函数是以底数为常数,指数为自变量的函数。
通常表示为f(x)=a^x,其中a>0且不等于1、指数函数的特点有:-当a>1时,函数为增函数,曲线向上开口。
-当0<a<1时,函数为减函数,曲线向下开口。
-当x=0时,f(0)=1,即指数为0时,函数值等于1-当x为正无穷大时,函数趋于正无穷大;当x为负无穷大时,函数趋于0。
指数函数的应用广泛,例如在金融领域中的复利计算、生物学中的生长模型、物理学中的放射性衰变等都可以使用指数函数模型来描述。
2.对数函数对数函数是指输出的指数与给定的底数相等的函数,常用的对数函数有以e为底的自然对数函数ln(x)和以10为底的通用对数函数log(x)。
对数函数的特点有:-对数函数的定义域为正实数。
- 对数函数的基本性质是函数值等于对应的指数值,即log_a(a^x) = x。
- 自然对数函数ln(x)与指数函数e^x互为反函数。
-对数函数可以帮助解决指数方程和指数不等式等问题。
对数函数在数学中广泛应用,例如在科学计算、数据压缩、信号传输和信息论等领域都有应用。
3.幂函数幂函数是形如f(x)=a^x的函数,其中a是常数且大于0。
幂函数的特点有:-当a>1时,函数为增函数,曲线向上开口。
-当0<a<1时,函数为减函数,曲线向下开口。
-当x=0时,f(0)=1,即幂为0时,函数值等于1-当x为正无穷大时,函数趋于正无穷大;当x为负无穷大时,函数趋于0。
幂函数与指数函数相似,但是幂函数的底数是常数。
幂函数在自然科学领域中经常出现,例如在物理学中的速度、加速度和质量等计算中经常使用幂函数模型。
指数函数、对数函数和幂函数是数学中的基本函数类型,它们在实际问题中有着广泛的应用。
在学习指数函数、对数函数和幂函数时,需要熟练掌握其定义、性质和应用。
指数、对数、幂函数知识归纳知识要点梳理知识点一:指数及指数幂的运算1.根式的概念的次方根的定义:一般地,如果,那么叫做的次方根,其中;当为奇数时,正数的次方根为正数,负数的次方根是负数,表示为;当为偶数时,正数的次方根有两个,这两个数互为相反数可以表示为.负数没有偶次方根,0的任何次方根都是0.式子叫做根式,叫做根指数,叫做被开方数.2.n次方根的性质:(1)当为奇数时,;(2)当为偶数时,3.分数指数幂的意义:;注意:0的正分数指数幂等与0,负分数指数幂没有意义.4.有理数指数幂的运算性质:(1)(2)(3)知点二:指数函数及其性质1.指数函数概念:一般地,函数叫做指数函数,其中是自变量,函数的定义域为.且,即当.在变化对图象的1.(2013·北京高考理科·T5)函数f(x)的图象向右平移1个单位长度,所得图象与曲线y=e x 关于y 轴对称,则f(x)= ( )A.e x+1B.e x-1C.e -x+1D.e -x-12.(2013·上海高考文科·T8)方程x31139x=+-的实数解为 .3.(2013·湖南高考理科·T16)设函数(),0,0.x x x f x a b c c a c b =+->>>>其中(1)记集合{}(,,),,M a b c a b c a =不能构成一个三角形的三条边长,且=b ,则(,,)a b c M ∈所对应的()f x 的零点的取值集合为____.(2)若,,a b c ABC ∆是的三条边长,则下列结论正确的是 . (写出所有正确结论的序号)①()(),1,0;x f x ∀∈-∞>②三边长不能构成一个三角形的使得x x x c b a R x ,,,∈∃; ③若()()1,2,0.ABC x f x ∆∃∈=为钝角三角形,则使知识点三:对数与对数运算1.对数的定义(1)若,则叫做以为底的对数,记作,叫做底数,叫做真数.(2)负数和零没有对数.(3)对数式与指数式的互化:.2.几个重要的对数恒等式:,,.3.常用对数与自然对数:常用对数:,即;自然对数:,即(其中…).4.对数的运算性质如果,那么①加法:②减法:③数乘:④⑤⑥换底公式:知识点四:对数函数及其性质1.对数函数定义一般地,函数叫做对数函数,其中是自变量,函数的定义域.2.对数函数性质:时,上是增函数上是减函数变化对图逐渐增大;在第四象限内,从顺4.(2013·广东高考理科·T2)函数()1f x x =-的定义域是( ) A .(1,)-+∞ B .[1,)-+∞ C .(1,1)(1,)-+∞ D .[1,1)(1,)-+∞5.(2013·陕西高考文科·T3)设a, b, c 均为不等于1的正实数, 则下列等式中恒成立的是 ( ) A .·log log log a c c b a b =B. b a b c c a log log log =⋅C. c b bc a a a log log )(log ⋅=D.()log g og o l l a a a b b c c +=+6.(2013·新课标全国Ⅱ高考理科·T8)设a =log 36,b =log 510,c =log 714,则 ( )A.c>b>aB.b>c>aC.a>c>bD.a>b>c知识点五:反函数 1.反函数的概念设函数的定义域为,值域为,从式子中解出,得式子.如果对于在中的任何一个值,通过式子,在中都有唯一确定的值和它对应,那么式子表示是的函数,函数叫做函数的反函数,记作,习惯上改写成.2.反函数的性质 (1)原函数与反函数的图象关于直线对称. (2)函数的定义域、值域分别是其反函数的值域、定义域.(3)若在原函数的图象上,则在反函数的图象上.(4)一般地,函数要有反函数则它必须为单调函数.3.反函数的求法(1)确定反函数的定义域,即原函数的值域; (2)从原函数式中反解出;(3)将改写成,并注明反函数的定义域.7.(2013·大纲版全国卷高考理科·T5)函数)0)(11(log )(2>+=x xx f 的反函数()1=f x -( )A.()1021x x >- B.()1021xx ≠- C.()21x x R -∈ D.()210xx ->8.(2013·上海高考文科·T15)函数1)(f 2-=x x (x ≥0)的反函数为f -1(x),则f -1(2)的值是( )A.3B.-3C.1+2D.1-2知识点六:幂函数 1.幂函数概念形如的函数,叫做幂函数,其中为常数.2.幂函数的性质(1)图象分布:幂函数图象分布在第一、二、三象限,第四象限无图象.幂函数是偶函数时,图象分布在第一、二象限(图象关于轴对称);是奇函数时,图象分布在第一、三象限(图象关于原点对称);是非奇非偶函数时,图象只分布在第一象限. (2)过定点:所有的幂函数在都有定义,并且图象都通过点.(3)单调性:如果,则幂函数的图象过原点,并且在 上为增函数.如果,则幂函数的图象在上为减函数,在第一象限内,图象无限接近轴与轴. (4)奇偶性:当为奇数时,幂函数为奇函数,当为偶数时,幂函数为偶函数.当(其中互质,和),若为奇数为奇数时,则是奇函数,若为奇数为偶数时,则是偶函数,若为偶数为奇数时,则是非奇非偶函数.(5)图象特征:幂函数,当时,若,其图象在直线下方,若,其图象在直线上方,当时,若,其图象在直线上方,若,其图象在直线下方.作业练习1(2013·安徽高考理科·T11)函数1ln(1)y x=+的定义域为______2.(2013·浙江高考理科·T3)已知x,y 为正实数,则 ( ) A.2lgx+lgy =2lgx +2lgy B.2lg(x+y)=2lgx ·2lgy C.2lgx ·lgy =2lgx +2lgy D.2lg(xy)=2lgx ·2lgy3.(2013·新课标全国Ⅱ高考文科·T8)设3log 2a =,5log 2b =,2log 3c =,则( )A.a c b >>B.b c a >>C.c b a >>D.c a b >>4.(2013·四川高考文科·T11)+的值是____________。
指数函数幂函数对数函数知识点总结一.指数函数指数函数是一种特殊的函数形式,其中自变量位于指数的上方。
指数函数的一般形式为:$y=a^x$。
在指数函数中,底数$a$是一个正实数,且$a\ne q1$。
1.指数函数的性质指数函数的增长特性-:当底数$a$大于1时,指数函数呈现增长趋势,随着自变量$x$的增大,函数值$y$也随之增大。
当底数$a$在0和1之间时,指数函数则呈现递减趋势。
指数函数的定义域和值域-:指数函数的定义域为所有实数,即$(-\i nf ty,+\i nf ty)$。
根据底数$a$的不同,指数函数的值域也有所不同。
若底数$a>1$,则值域为$(0,+\in ft y)$;若底数$0<a<1$,则值域为$(-\in ft y,+\in fty)$。
指数函数的奇偶性-:当底数$a>0$且$a\n eq1$时,指数函数为奇数函数。
2.指数函数的图像指数函数的图像特点也与底数$a$的取值有关:-当底数$a>1$时,指数函数的图像呈现增长趋势,在原点左侧逐渐接近$y=0$轴,右侧逐渐趋近于正无穷。
-当底数$0<a<1$时,指数函数的图像呈现递减趋势,在原点左侧呈现正无穷,右侧逐渐接近$y=0$轴。
二.幂函数幂函数是指数函数的一种特殊形式,其中底数固定为正整数。
幂函数的一般形式为:$y=x^n$。
1.幂函数的性质幂函数的增长特性-:当指数$n$为正整数时,幂函数呈现增长趋势。
若$n$为奇数,则幂函数随自变量$x$的增大而增加;若$n$为偶数,则幂函数随着自变量$x$的增大或减小而增加。
幂函数的定义域和值域-:幂函数的定义域为所有实数,即$(-\i nf ty,+\i nf ty)$。
幂函数的值域则根据指数$n$的奇偶性而定。
若$n$为奇数,则值域为$(-\i nf ty,+\i nf t y)$;若$n$为偶数,则值域为$[0,+\in ft y)$。
指数函数、对数函数及幂函数知识总结一、知识框图二、知识要点梳理指数函数函数名称指数函数定义函数且叫做指数函数图象定义域值域过定点图象过定点,即当时,.奇偶性非奇非偶单调性在上是增函数在上是减函数函数值的变化情况变化对图象的影响在第一象限内,从逆时针方向看图象,逐渐增大;在第二象限内,从逆时针方向看图象,逐渐减小.常见性质n次方根的性质:<1>当为奇数时,;当为偶数时,<2>分数指数幂的意义:;注意:0的正分数指数幂等与0,负分数指数幂没有意义.有理数指数幂的运算性质:<1><2> <3>对数函数函数名称对数函数定义函数且叫做对数函数图象定义域值域过定点图象过定点,即当时,.奇偶性非奇非偶单调性在上是增函数在上是减函数函数值的变化情况变化对图象的影响在第一象限内,从顺时针方向看图象,逐渐增大;在第四象限内,从顺时针方向看图象,逐渐减小.常见性质几个重要的对数恒等式,,.常用对数与自然对数常用对数:,即;自然对数:,即<其中…>.对数的运算性质如果,那么①加法:②减法:③数乘:④⑤⑥换底公式:幂函数 形如的函数,叫做幂函数,其中为常数.三、考题训练1.〔2012·新课标全国高考文科·T11〕当0<x ≤错误!时,4x<log a x,则a 的取值范围是〔 〕 〔A 〕<0,错误!> 〔B 〕<错误!,1> 〔C 〕<1,错误!> 〔D 〕<错误!,2>2.〔2012·安徽高考文科·T3〕〔2log 9〕·〔3log 4〕=〔 〕〔A 〕14 〔B 〕12〔C 〕2 〔D 〕4 3.〔2012·天津高考文科·T6〕下列函数中,既是偶函数,又在区间〔1,2〕内是增函数的为〔 〕4.〔2012·北京高考文科·T12〕已知函数f 〔x 〕=lgx,若f 〔ab 〕=1,则f 〔a 2〕+f 〔b 2〕=___________.5.〔2012·江苏高考·T5〕函数6()12log f x x=-.6.〔2012·山东高考文科·T15〕若函数()(0,1)x f x a a a =>≠在[-1,2]上的最大值为4,最小值为m ,且函数()(14)g x m x =-在[0,)+∞上是增函数,则a =.7.函数y=<31>x -2x 在区间[-1, 1]上的最大值为.8.记函数13x y -=+的反函数为()y g x =,则(10)g = A . 2 B . 2-C . 3 D . 1-9.若函数f 〔x 〕=log x a 在[2,4]上的最大值与最小值之差为2,则a=___10.函数12log (32)y x =-的定义域是____________10.f 〔x 〕=⎪⎩⎪⎨⎧〉〈-)1(log )1(281x x xx 则满足f 〔x 〕=41的x 的值是_______________3 11.设)(1x f-是函数)1(log )(2+=x x f 的反函数,若8)](1)][(1[11=++--b fa f,则f <a +b >的值为A. 1B. 2C. 3D. 3log 2 12.函数)(log )(2x ax x f a -=在]4,2[∈x 上是增函数,则a 的取值范围是〔 〕 A. 1>a B. 1,0≠>a a C. 10<<a D. φ∈a .13.方程lg()lg lg 4223x x +=+的解是___________________14.21-=a 是函数ax e x f x ++=)1ln()(为偶函数的c(A ) 充分不必要条件 〔B 〕必要不充分条件〔C 〕 充分必要条件 〔D 〕既不充分也不必要条件15.已知函数)(log )(221a ax x x f --=的值域为R,且f <x >在〔)31,-∞-上是增函数,则a的范围是 .16.函数y=log 2<1-x>的图象是〔A 〕 〔B 〕 〔C 〕 〔D 〕16.已知9x -10.3x +9≤0,求函数y=〔41〕x-1-4·〔21〕x +2的最大值和最小值 17.设函数,241)(+=xx f 〔1〕求证:对一切)1()(,x f x f R x -+∈为定值;〔2〕记*),()1()1()2()1()0(N n f nn f n f n f f a n ∈+-++++= 求数列}{n a 的通项公式及前n 项和.。
(一)指数与指数函数1.根式(1)根式的概念根式的It念3符号表示a备注3如果x n=a,那么x叫做a的〃次方根a n > lfin e AT P 当«为奇数时,正数的«次方根是一个正数,负数的川次方根是一个负数3零的兀次方根是零3当n为偶数时,正数的n次方根有两个,它们互为相反数"土嚅(° >0)3负数没有偶次方根卩(2).两个重要公式*a①> 0)\a\=<[-a{ci < 0)②=a (注意a必须使砺有意义)。
2.有理数指数幕(1)幕的有关概念①正数的正分数指数幕:a"= 奸(d > (),m. n w AT,且〃〉1);豐 1 1②正数的负分数指数幕:a n = —=-=(^7>0,/?K /?G N\JBL H>1)a n③0的正分数指数幕等于0,0的负分数指数幕没有意义.注:分数指数幕与根式可以互化,通常利用分数指数幕进行根式的运算。
(2)有理数指数幕的性质①a I a'=a H'"(a>0,r、s G Q);②(a r)s=a re(a>0,r> sEQ);③(ab)'=a r b s(a>0,b>0,r E Q);.3.指数函数的图象与性质y=a x a>l 0<a<l图象~d 1 *定义域 R 值域 (0, +oo) 性质(1)过定点(0, 1)(2)当 x>0 时,y>l; x<0 时,0<y<l(2)当 x>0 时,0<y<l; x<0 时,y>l(3)在(-oo, +oo)上是增函数(3)在 (-00 , 4-00 )上是减函数注:如图所示,是指数函数(1) y=a x , (2) y=b x ' (3) ,y=c x (4) ,y=d x 的图象,如何确 定底数a,b,c,d 与1之间的大小关系?提示:在图屮作直线x=l,与它们图象交点的纵坐标即为它们各自底数的值,即 ci>』>l>ai>bi,・・・c>d>l>a>b 。
指数函数与对数函数总结与练习一、指数的性质(一)整数指数幂n 1.整数指数幂概念:a =a ⋅Λ⋅a (n ∈N )a 0=1(a ≠0)1⋅4a 243*n 个aa-n=1a ≠0,n ∈N *)n(a 2.整数指数幂的运算性质:(1)a m ⋅a n =a m +n (m ,n ∈Z )(2)a (3)(ab )=a ⋅b n n n ()mn=a mn(m ,n ∈Z )(n ∈Z )其中a ÷a =a ⋅a m n m -n =a m -n a n ⎛a ⎫-1nn -n , ⎪=(a ⋅b)=a ⋅b =n .b ⎝b ⎭n 3.a 的n 次方根的概念即:若x n 一般地,如果一个数的n 次方等于a n >1,n ∈N ),那么这个数叫做a 的n 次方根,=a ,则x 叫做a 的n 次方根,(n >1,n ∈N )**(说明:①若n 是奇数,则a 的n 次方根记作n a ;若a >0则n a >0,若a <o 则n a <0;②若n 是偶数,且a >0则a 的正的n 次方根记作n a ,a 的负的n 次方根,记作:-n a ;(例如:8的平方根±8=±2216的4次方根±416=±2)③若n 是偶数,且a <0则n a 没意义,即负数没有偶次方根;④Θ0=0n >1,n ∈N nn (*)∴n 0=0;⑤式子a 叫根式,n 叫根指数,a 叫被开方数。
∴(a )nn=a ..4.a 的n 次方根的性质一般地,若n 是奇数,则n a n =a ;若n 是偶数,则n a n =a =⎨5.例题分析:例1.求下列各式的值:(1)3-8⎧a⎩-aa ≥0a <0.(3)(2)(-10)*2(3)4(3-π)(4)4例2.已知a <b <0,n >1,n ∈N ,化简:n (a -b )+n (a +b ).n n (二)分数指数幂1051231.分数指数幂:5a =a =a102(a >0)3a =a =a124(a >0)即当根式的被开方数能被根指数整除时,根式可以写成分数指数幂的形式;如果幂的运算性质(2)a 3()kn=akn 对分数指数幂也适用,442255⨯3⨯4⎛2⎫⎛⎫2532例如:若a >0,则 a 3⎪=a 3=a , a 4⎪=a 4=a ,∴a =a 3⎝⎭⎝⎭a =a .545即当根式的被开方数不能被根指数整除时,根式也可以写成分数指数幂的形式。
一、幂函数1、幂的有关概念正整数指数幂:...()nna a a a n N=∈零指数幂:01(0)a a=≠负整数指数幂:1(0,)ppa a p Na-=≠∈分数指数幂:正分数指数幂的意义是:(0,,,1)mn mna a a m n N n=>∈>且负分数指数幂的意义是:11(0,,,1) mnm n mna a m n N naa-==>∈>且2、幂函数的定义一般地,函数ay x=叫做幂函数,其中x是自变量,a是常数(我们只讨论a是有理数的情况).3、幂函数的图象幂函数ay x=当11,,1,2,332a=时的图象见左图;当12,1,2a=---时的图象见上图:由图象可知,对于幂函数而言,它们都具有下列性质:a y x =有下列性质: (1)0a >时:①图象都通过点(0,0),(1,1);②在第一象限内,函数值随x 的增大而增大,即在(0,)+∞上是增函数. (2)0a <时:①图象都通过点(1,1);②在第一象限内,函数值随x 的增大而减小,即在(0,)+∞上是减函数; ③在第一象限内,图象向上与y 轴无限地接近,向右与x 轴无限地接近. (3)任何幂函数的图象与坐标轴至多只有一个交点; (4)任何幂函数图象都不经过第四象限; (5)任何两个幂函数的图象最多有三个交点.二、指数函数①定义:函数)1,0(≠>=a a a y x且称指数函数, 1)函数的定义域为R ; 2)函数的值域为),0(+∞;3)当10<<a 时函数为减函数,当1>a 时函数为增函数. 4)有两个特殊点:零点(0,1),不变点(1,)a .5)抽象性质: ()()(),()()/()f x y f x f y f x y f x f y +=⋅-=三、对数函数如果b a N =(0a >,1a ≠),那么b 叫做以a 为底N 的对数,记作log a N b =log b a a N N b =⇔=(0a >,1a ≠,0N >). 1.对数的性质()log log log a a a MN M N =+. log log log aa a MM N N=-.log log n a a M n M =.(00M N >>,,0a >,1a ≠)( a, b > 0且均不为1)2.换底公式:log log log m a m NN a=( a > 0 , a ≠ 1 ;0,1m m >≠) 常用的推论:(1)log log 1a b b a ⨯= ; .(2)log log m na a nb b m=(a 、0b >且均不为1).1log log 1N N a a mn n m==. (3), (4)对数恒等式.一、对数函数的图像及性质① 函数log a y x =(0a >,1a ≠)叫做对数函数② 对数函数的性质:定义域:(0,)+∞; 值域:R ; 过点(1,0),即当1x =时,0y =.当0a >时,在(0,+∞)上是增函数;当01a <<时,在(0,+∞)上是减函数.二、对数函数与指数函数的关系对数函数log a y x =与指数函数x y a =图像关于直线y x =对称. 指数方程和对数方程主要有以下几种类型:()()log ,log ()()f x b a a a b f x b f x b f x a =⇔==⇔=(定义法)b mnb a n am log log =1log log log =⋅⋅a c b c b a 01log =a 1log =a a N a N a =log()()()(),log ()log ()()()0f x g x a a a a f x g x f x g x f x g x =⇔==⇔=>(转化法) ()()()log ()log f x g x m m a b f x a g x b =⇔= (取对数法)。
指数、对数、幂函数知识归纳知识要点梳理知识点一:指数及指数幂的运算1.根式的概念的次方根的定义:一般地,如果,那么叫做的次方根,其中当为奇数时,正数的次方根为正数,负数的次方根是负数,表示为;当为偶数时,正数的次方根有两个,这两个数互为相反数可以表示为.负数没有偶次方根,0的任何次方根都是0.式子叫做根式,叫做根指数,叫做被开方数.2.n次方根的性质:(1)当为奇数时,;当为偶数时, (2)3.分数指数幂的意义:;注意:0的正分数指数幂等与0,负分数指数幂没有意义.4.有理数指数幂的运算性质:(1) (2) (3)知识点二:指数函数及其性质1.指数函数概念:一般地,函数叫做指数函数,其中是自变量,函数的定义域为.2.函数名称指数函数定义函数且叫做指数函数图象定义域值域过定点图象过定点,即当时,.奇偶性非奇非偶单调性在上是增函数在上是减函数函数值的变化情况变化对图象的影响在第一象限内,从逆时针方向看图象,逐渐增大;在第二象限内,从逆时针方向看图象,逐渐减小.知识点三:对数与对数运算1.对数的定义(1)若,则叫做以为底的对数,记作,叫做底数,叫做真数.(2)负数和零没有对数. (3)对数式与指数式的互化:.2.几个重要的对数恒等式:,,.3.常用对数与自然对数:常用对数:,即;自然对数:,即(其中…).4.对数的运算性质如果,那么①加法:②减法:③数乘:④⑤⑥换底公式:知识点四:对数函数及其性质1.对数函数定义一般地,函数叫做对数函数,其中是自变量,函数的定义域.2.函数名称对数函数定义函数且叫做对数函数图象定义域值域过定点图象过定点,即当时,.奇偶性非奇非偶单调性在上是增函数在上是减函数函数值的变化情况变化对图象的影响在第一象限内,从顺时针方向看图象,逐渐增大;在第四象限内,从顺时针方向看图象,逐渐减小.1.反函数的概念设函数的定义域为,值域为,从式子中解出,得式子.如果对于在中的任何一个值,通过式子,在中都有唯一确定的值和它对应,那么式子表示是的函数,函数叫做函数的反函数,记作,习惯上改写成.2.反函数的性质(1)原函数与反函数的图象关于直线对称.(2)函数的定义域、值域分别是其反函数的值域、定义域.(3)若在原函数的图象上,则在反函数的图象上.(4)一般地,函数要有反函数则它必须为单调函数.3.反函数的求法(1)确定反函数的定义域,即原函数的值域;(2)从原函数式中反解出;(3)将改写成,并注明反函数的定义域.知识点六:幂函数1.幂函数概念形如的函数,叫做幂函数,其中为常数.2.幂函数的性质(1)图象分布:幂函数图象分布在第一、二、三象限,第四象限无图象.幂函数是偶函数时,图象分布在第一、二象限(图象关于轴对称);是奇函数时,图象分布在第一、三象限(图象关于原点对称);是非奇非偶函数时,图象只分布在第一象限.(2)过定点:所有的幂函数在都有定义,并且图象都通过点.(3)单调性:如果,则幂函数的图象过原点,并且在上为增函数.如果,则幂函数的图象在上为减函数,在第一象限内,图象无限接近轴与轴.(4)奇偶性:当为奇数时,幂函数为奇函数,当为偶数时,幂函数为偶函数.当(其中互质,和),若为奇数为奇数时,则是奇函数,若为奇数为偶数时,则是偶函数,若为偶数为奇数时,则是非奇非偶函数.(5)图象特征:幂函数,当时,若,其图象在直线下方,若,其图象在直线上方,当时,若,其图象在直线上方,若,其图象在直线下方.综合训练一、选择题1.若函数在区间上的最大值是最小值的倍,则的值为( )A.B.C.D.2.若函数的图象过两点和,则( )A.B.C.D.3.已知,那么等于( )A.B.8C.18 D.4.函数( )A.是偶函数,在区间上单调递增B.是偶函数,在区间上单调递减C.是奇函数,在区间上单调递增D.是奇函数,在区间上单调递减5.(2011 辽宁理9)设函数f(x)=则满足的的取值范围是()A.B.C.D.6.函数在上递减,那么在上( )A.递增且无最大值B.递减且无最小值C.递增且有最大值D.递减且有最小值二、填空题7.若是奇函数,则实数=_________.8.函数的值域是__________.9.已知则用表示____________.10.设, ,且,则____________;____________.11.计算:____________.12.函数的值域是__________.三、解答题13.比较下列各组数值的大小:(1)和;(2)和;(3).14.解方程:(1);(2).15.已知当其值域为时,求的取值范围.16.已知函数,求的定义域和值域.能力提升一、选择题1.函数上的最大值和最小值之和为,则的值为( ) A.B.C.2D.42.已知在上是的减函数,则的取值范围是( )A. B. C. D.3.对于,给出下列四个不等式①②③④其中成立的是( )A.①与③B.①与④C.②与③D.②与④4.设函数,则的值为( )A.1B.-1C.10 D.5.定义在上的任意函数都可以表示成一个奇函数与一个偶函数之和,如果,那么( )A.,B.,C.,D.,6.若,则( )A.B.C.D.二、填空题7.若函数的定义域为,则的范围为__________.8.若函数的值域为,则的范围为__________.9.函数的定义域是______;值域是______.10.若函数是奇函数,则为__________.11.求值:__________.三、解答题12.解方程:(1)(2) 13.求函数在上的值域.14.已知,,试比较与的大小.15.已知,⑴判断的奇偶性;⑵证明.。
1.幂函数知识点总结一、幂函数(power function ):函数y x α= (x 是自变量,α是常数)二、幂函数的性质对于幂函数,我们只研究 11,2,3,,12α=- 时的图象与性质.1232,,,y x y x y x y x ==== 和 1y x -=共同性质:图像都过点(1,1)不同性质:α为奇数时幂函数为奇函数;α为偶数时幂函数为偶函数。
2.指数函数知识点总结本节知识点(1)指数函数的概念 (2)指数函数的图象和性质 (3)指数函数的定义域和值域 (4)指数函数的单调性及其应用 (5)指数函数的图象变换知识点一 指数函数的概念一般地,函数x a y =(0>a 且1≠a )叫做指数函数,其中x 是自变量,函数的定义域是R .1.为什么规定“0>a 且1≠a ”?答:若0=a ,则当0>x 时,0=x a ,当x ≤0时,x a 无意义;若0<a ,则对于x 的某些值,x a 无意义,如函数()xy 2-=,当 41,21=x 时,函数无意义;若1=a ,则对任意的∈x R ,都有1=x a ,没有研究的必要.基于上面的原因,在指数函数的定义中,规定0>a 且1≠a .上面的定义,是形式定义.2.为什么指数函数的定义域是R ?答:对于指数幂来说,当底数大于0时,指数已经由整数指数推广到了实数指数,所以在指数函数的定义里面,自变量的取值范围是全体实数,即函数的定义域为R .3.指数函数的结构特征指数函数的定义是形式上的定义,其函数解析式的结构具有非常明显的特征,如下:(1)指数中只有一个自变量x ,而不是含自变量的多项式; (2)x a 的系数必须为1,不能是其它的数字,也不能含有自变量; (3)底数a 必须满足0>a 且1≠a 的一个常数.根据上面的三个特征,可以判断一个函数是否为指数函数,也可以在已知指数函数的前提下,求参数的值或参数的取值范围.知识点二 指数函数的图象和性质一般地,指数函数x a y =(0>a 且1≠a )的图象和性质如下表所示:(1)当10<<a 时,若0<x ,则恒有1>y ;若0>x ,则恒有10<<y ; (2)当1>a 时,若0<x ,则恒有10<<y ;若0>x ,则恒有1>y . 1. 指数函数图象的画法对于指数函数x a y =(0>a 且1≠a ),当0=x 时,1=y ;当1=x 时,a y =;当1-=x 时,a y 1=.所以指数函数的图象经过三个关键点:()1,0,()a ,1和⎪⎭⎫ ⎝⎛-a 1,1.在画指数函数图象的草图时,应抓住以上三个关键点作图.(1)由于指数函数x a y =(0>a 且1≠a )的图象经过点()a ,1,所以指数函数的图象与直线1=x 的交点的纵坐标等于函数的底数.交点的位置越高,底数a 就越大.(2)由于指数函数x a y =(0>a 且1≠a )的图象经过点⎪⎭⎫ ⎝⎛-a 1,1,所以指数函数的图象与直线1-=x 的交点的纵坐标等于底数的倒数.交点的位置越高,a1越大,底数就越小.2. 函数x a y =(0>a 且1≠a )与函数xa y ⎪⎭⎫⎝⎛=1(0>a 且1≠a )的图象的关系在同一平面直角坐标系中,函数xa y =(0>a 且1≠a )与函数xa y ⎪⎭⎫⎝⎛=1(0>a 且1≠a )的图象关于y 轴对称.即两个指数函数底数互为倒数,图象关于y 轴对称.如下图所示,指数函数xy 2=与xy ⎪⎭⎫ ⎝⎛=21的图象关于y 轴对称.(1)指数函数x a y =(0>a 且1≠a )与函数x a y -=(0>a 且1≠a )的图象关于x 轴对称.如上右图所示,指数函数x y 2=与函数x y 2-=的图象关于x 轴对称.(2)指数函数x a y =(0>a 且1≠a )与函数x a y --=(0>a 且1≠a )(即xa y ⎪⎭⎫⎝⎛-=1)的图象关于原点对称(成中心对称).如下图所示,指数函数x y 2=与函数x y --=2(即xy ⎪⎭⎫⎝⎛-=21)的图象关于原点对称.3.与指数函数有关的恒过定点问题由于指数函数x a y =(0>a 且1≠a )的图象恒过定点()1,0,因此我们讨论与指数函数有关的函数的图象过定点的问题时,只需令指数等于0,解出相应的y x ,,即为定点坐标.4.指数函数x a y =(0>a 且1≠a )的底数a 对函数图象的影响 底数a 与1的大小关系决定了指数函数图象的“升”与“降”:(1)当1>a 时,指数函数的图象是上升的,函数是R 上的增函数.底数越大,函数图象在y 轴右侧部分越接近于y 轴,即图象越陡,说明函数值增长得越快; (2)当10<<a 时,指数函数的图象是下降的,函数为R 上的减函数.底数越小,函数图象在y 轴左侧部分越接近于y 轴,即函数图象越陡,说明函数值减小得越快.根据上面的介绍,在上图中,各个指数函数的底数之间的大小关系为:01>>>>>>>f e d c b a .前面已经提到,因为指数函数x a y =(0>a ,且1≠a )的图象经过三个关键点:()1,0,()a ,1和⎪⎭⎫ ⎝⎛-a 1,1,所以直线1=x 与指数函数图象的交点即为点()a ,1,交点的纵坐标等于指数函数的底数,故底数越大,交点的位置越高.于是有下面的结论:结论 底数a 的大小决定了指数函数图象相对位置的高低:不论是1>a 还是10<<a ,在第一象限内底数越大,函数图象越靠上.简记为:在y 轴右侧,底大图y = 1高.另外,直线1-=x 与指数函数图象的交点为⎪⎭⎫ ⎝⎛-a 1,1(即()1,1--a ),交点的纵坐标等于底数的倒数,故底数越小,倒数越大,交点的位置越高.简记为:在y 轴左侧,底大图低.5.指数函数x a y =(0>a 且1≠a )与x b y =(0>b 且1≠b )的图象特点 (1)若1>>b a ,则当0<x 时,总有10<<<x x b a ;当0=x 时,总有1==x x b a ;当0>x 时,总有1>>x x b a ;(2)若10<<<a b ,则当0<x 时,总有1>>x x a b ;当0=x 时,总有1==x x b a ;当0>x 时,总有10<<<x x a b .综上所述,当0>x ,0>>b a ,且1≠a ,1≠b 时,总有x x b a >;当0<x ,0>>b a ,且1≠a ,1≠b 时,总有x x b a <.6. 指数函数x a y =(0>a 且1≠a )的图象和性质再说明 指数函数x a y =(0>a 且1≠a )的定义域是R ,值域是()+∞,0. 图象:(1)若1>a ,当-∞→x 时,0→y ,即x 的值越小,函数的图象越接近于x 轴,但不相交;(2)若10<<a ,当+∞→x 时,0→y .即x 的值越大,函数的图象越接近于x 轴,但不相交.因此,x 轴(即直线0=y )是指数函数x a y =(0>a 且1≠a )的图象的一条渐近线. 性质:(1)若1>a ,则当0>x 时,总有1>y ,即函数图象y 轴右侧的部分在直线1=y 的上方;当0<x 时,总有10<<y ,即函数图象y 轴左侧的部分在直线1=y 和x 轴之间.(2)若10<<a ,则当0>x 时,总有10<<y ,即函数图象y 轴右侧的部分在直线1=y 和x 轴之间;当0<x 时,总有1>y ,即函数图象y 轴左侧的部分在直线1=y 的上方.知识点三 指数函数的定义域和值域1 定义域(1)指数函数x a y =(0>a 且1≠a )的定义域为R .(2)函数()x f a y =(0>a 且1≠a )的定义域与函数()x f 的定义域相同. (3)函数()x a f y =的定义域与函数()x f 的定义域不一定相同. 例如,函数()x x f =的定义域为[)+∞,0,而函数x a y =的定义域为R. 注意:求指数型复合函数的定义域时,先观察函数是()x a f y =型还是()x f a y =型. 2 值域(1)指数函数x a y =(0>a 且1≠a )的值域为()+∞,0.(2)求形如()x f a y =的函数的值域时,设()x f t =,先求出()x f 的值域(即t 的范围),然后根据函数t a y =的单调性,即可求出函数()x f a y =的值域.(3)求形如()x a f y =的函数的值域时,转化为求()+∞∈=,0x a t 时,函数()t f y =的值域.知识点四 指数函数的单调性及其应用1 单调性当1>a 时,函数x a y =在R 上为增函数;当10<<a 时,函数x a y =在R 上为减函数.利用这一性质,可以判断复合函数()x f a y =的单调性,判断的依据是:同增异减.如下表:结合底数a 的范围来确定函数()x f a y =的单调性.确定的依据是:同增异减. 2 单调性的应用 (1)应用于比较大小类型一 比较同底数不同指数的幂的大小,利用指数函数的单调性进行比较; 类型二 比较不同底数同指数的幂的大小,借助于函数的图象比较大小,或者借助于口诀:在y 轴右侧(即0>x )底大图高(函数值大),在y 轴左侧,底小图高; 类型三 比较不同底数不同指数的幂的大小,利用中间量(如0和1)并结合函数的单调性比较大小. (2)应用于解简单不等式不等式可化为()()x g x f a a <的形式,利用指数函数的单调性,将不等式转化为()()x g x f <(当1>a 时)或()()x g x f >(当10<<a 时),然后进行求解.3.对数函数及其性质知识点总结本节知识点(1)对数函数的概念; (2)对数函数的图象及其性质; (3)与对数函数有关的函数的定义域; (4)与对数函数有关的函数的值域;(5)与对数函数有关的函数的单调性及其应用; (6)与对数函数有关的函数的奇偶性; (7)反函数.知识点一 对数函数的概念一般地,函数x y a log =(0>a 且1≠a )叫做对数函数,其中x 是自变量,函数的定义域是()+∞,0. 对数函数概念的理解 (1)形如x y a log =;(2)底数a 满足0>a 且1≠a ; (3)真数是x ,而不是含x 的表达式; (4)函数的定义域为()+∞,0. 两种特殊的对数函数特别地,以10为底的对数函数x y lg =叫做常用对数函数;以无理数e 为底的对数函数x y ln =叫做自然对数函数.知识点二 对数函数的图象及其性质一般地,对数函数x y a log =(0>a 且1≠a )的图象和性质如下表所示:(+∞,0对数函数x y a log =(0>a 且1≠a )的图象经过三个关键点:()0,1,()1,a 和⎪⎭⎫⎝⎛-1,1a .利用对数函数图象的三个关键点,可以快速地作出对数函数图象的简图. 特别提醒指数函数x a y =(0>a 且1≠a )的图象经过三个关键点:()1,0,()a ,1和⎪⎭⎫ ⎝⎛-a 1,1.根据这三个关键点,可以快速地作出指数函数图象的简图.不难得出:在同一平面直角坐标系中,对数函数x y a log =(0>a 且1≠a )图象的三个关键点与指数函数x a y =(0>a 且1≠a )图象的三个关键点关于直线x y =对称.底数对对数函数图象的影响 (1)对数函数的对称性结论 函数x y a log =(0>a 且1≠a )的图象与函数x y a1log =(0>a 且1≠a )的图象关于x 轴对称.事实上,x x x y a a alog log log 111-===-,因为函数()x f y =与函数()x f y -=的图象关于x 轴对称,所以函数x y a log =与函数x y a1log =的图象关于x 轴对称.观察在同一平面直角坐标系在,分别画出函数x y 2log =,x y 3log =,x y 21log =和x y 31log =的图象,如图所示,体会对数函数图象的对称性.(2)底数a 决定对数函数的单调性 当1>a 时,对数函数的图象从左到右是上升的,函数在()∞+0上为增函数;当10<<a 时,对数函数的图象从左到右是下降的,函数在()∞+0上为减函数.(3)底数a 的大小决定对数函数图象相对位置的高低不论是1>a ,还是10<<a ,在第一象限内,取相同的函数值时,图象所对应的对数函数的底数从左到右逐渐变大.(1)上下比较 在直线1=x 的右侧,a 越大,图象越靠近x 轴;当10<<a 时,a 越小,图象越靠近x 轴.(2)左右比较 比较图象与直线1=y 的交点,交点的横坐标越大,对应的函数的底数越大.注意 若比较图象与直线1-=y 的交点,交点的横坐标越大,对应的函数的底数越小.说明 在平面直角坐标系中,对数函数x y a log =的图象与直线1=y 的交点为()1,a ,即交点的横坐标等于对数函数的底数,故在第一象限内,交点的横坐标越大,对数函数的底数就越大;对数函数x y a log =与直线1-=y 的交点为⎪⎭⎫⎝⎛-1,1a ,故在= log 13x12x3x2x第四象限内,交点的横坐标越大(即a1越大),对数函数的底数反而越小. 关于对数函数函数值正负的判断根据对数函数的图象,当1>a ,1>x ,或10<<a ,10<<x 时,函数值0>y ,简记为同区间为正;当1>a ,10<<x ,或10<<a ,1>x 时,函数值0<y ,简记为异区间为负.即同区间为正,异区间为负.特别地,当1=x 时,0=y ,即对数函数的图象恒过点()0,1. 指数函数与对数函数的关系指数函数与对数函数的性质的比较如下表所示:知识点三 与对数函数有关的函数的定义域(1)对数函数x y a log =的定义域为()+∞,0. (2)形如()()x f y x g log =的函数,其定义域由()()()⎪⎩⎪⎨⎧≠>>100x g x g x f 确定.(3)形如()x f y a log =的函数的定义域,必须保证每一部分都有意义. 知识点四 对数型函数的值域(1)对数函数x y a log =(0>a 且1≠a )的值域利用函数的单调性求解; (2)求形如()x f y a log =的复合函数的值域,先求出()x f 的值域,然后结合对数函数的单调性求出函数()x f y a log =的值域;(3)求形如()x f y a log =的复合函数的值域,其中复合函数()x f y a log =一般是关于x a log 的二次函数,故可以采用换元法求解,注意新元的取值范围. 知识点五 与对数函数有关的函数的单调性及其应用 1.对数值大小的比较(1)同底数的利用函数的单调性; (2)同真数的利用函数的图象;(3)底数与真数都不同的,利用中间数0和1(介值法). 2.解简单的对数不等式(1)底数确定时,利用对数函数的单调性求解; (2)当底数不确定时,注意对底数进行分类讨论.注意 求解时注意“定义域优先”的原则,要保证每个真数都大于0.点评 简单的对数不等式经过适当的变形一般都可化为()()x g x f a a log log <的形式,当1>a 时,不等式可转化为()()()()⎪⎩⎪⎨⎧<>>x g x f x g x f 00;当10<<a 时,不等式可转化为()()()()⎪⎩⎪⎨⎧>>>x g x f x g x f 0. 3.对数型复合函数的单调性对数型复合函数一般分为两类:()x f y a log =型和()x f y a log =型.(1)研究()x f y a log =型复合函数的单调性,令x t a log =,则只需研究x t a log =及()t f y =的单调性即可;(2)研究()x f y a log =型复合函数的单调性,首先由()0>x f 确定函数的定义域,然后判断()x f t =在定义域上的单调性,再结合对数函数的单调性,判断函数()x f y a log =的单调性,其核心是:同增异减.4.三角函数知识点总结一、基础概念 1、正角、负角和零角正角:按逆时针方向旋转形成的角 负角:按顺时针方向旋转形成的角 零角:不作任何旋转形成的角正角 负角 零角2、象限角、轴线角象限角:点O 与坐标原点重合,OA 与x 轴正半轴重合,当终边OB 落在第几象限就说这个角是第几象限角.轴线角:点O 与坐标原点重合,OA 与x 轴正半轴重合,当终边OB 落在坐标轴上就说这个角是轴线角,这个角不属于任何项限3、角的集合:与任意角α终边相同的角构成一个集合 {}Z k k ∈⋅+=,360 αββ常见结论:(1)第一象限角的集合为{}36036090,k k k αα⋅<<⋅+∈Z第二象限角的集合为{}Z k k k ∈+<<+⋅,36018090360αα第三象限角的集合为{}360180360270,k k k αα⋅+<<⋅+∈Z 第四象限角的集合为{}360270360360,k k k αα⋅+<<⋅+∈Z(2)终边在x 轴上的角的集合为{}180,k k αα=⋅∈Z终边在y 轴上的角的集合为{}18090,k k αα=⋅+∈Z终边在坐标轴上的角的集合为{}90,k k αα=⋅∈Z 终边在x y =上的角的集合为{}Z k k ∈⋅+=,18045 αα 终边在x y -=上的角的集合为{}Z k k ∈⋅+=,180135 αα(3)任何一个象限角有可能是正角,也有可能是负角;任何轴线角有可能是正角、负角、零角; 小于 90的角不一定是锐角; 大于 90的角不一定是钝角; 终边相同的角不一定相等4、已知α是第几象限角,确定nα)(Z n ∈所在象限的方法:先把各象限均分n 等份,再从x 轴的正半轴的上方起,依次将各区域标上一、二、三、四,则α原来是第几象限对应的标号即为nα终边所落在的区域。
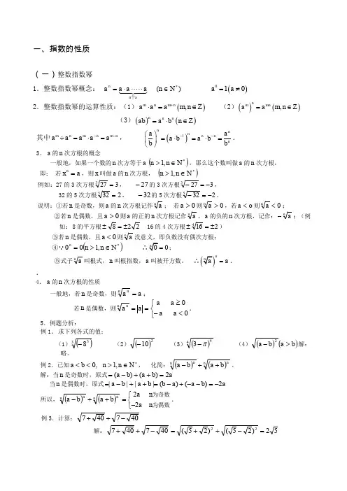
一、指数的性质 (一)整数指数幂1.整数指数幂概念:an n a a a a 个⋅⋅⋅= )(*∈N n ()010a a =≠ 2.整数指数幂的运算性质:(1)(),m n m n a a a m n Z +⋅=∈ (2)()(),nm mn a a m n Z =∈(3)()()nn n ab a b n Z =⋅∈其中m n m nm n a a a a a --÷=⋅=, ()1nn n n nn a a a b a b b b --⎛⎫=⋅=⋅= ⎪⎝⎭.3.a 的n 次方根的概念 一般地,如果一个数的n 次方等于a ()*∈>Nn n ,1,那么这个数叫做a 的n 次方根,即: 若a xn=,则x 叫做a 的n 次方根, ()*∈>N n n ,1例如:27的3次方根3273=, 27-的3次方根3273-=-,32的5次方根2325=, 32-的5次方根2325-=-.说明:①若n 是奇数,则a 的n 次方根记作n a ; 若0>a 则0>n a ,若o a <则0<n a ;②若n 是偶数,且0>a 则a 的正的n 次方根记作n a ,a 的负的n 次方根,记作:n a -;(例如:8的平方根228±=± 16的4次方根2164±=±)③若n 是偶数,且0a <则n a 没意义,即负数没有偶次方根;④()*∈>=Nn n n,100 0=;⑤式子n a 叫根式,n 叫根指数,a 叫被开方数。
∴na =..4.a 的n 次方根的性质一般地,若n 是奇数,则a a n n =; 若n 是偶数,则⎩⎨⎧<-≥==00a aa a a a n n .5.例题分析:例1.求下列各式的值: (1)()338- (2)()210- (3)()443π- (4)()()b a b a >-2解:略。
指数函数、对数函数、幂函数知识要点梳理知识点一:指数及指数幂的运算1.根式的概念的次方根的定义:一般地,如果,那么叫做的次方根,其中当为奇数时,正数的次方根为正数,负数的次方根是负数,表示为;当为偶数时,正数的次方根有两个,这两个数互为相反数可以表示为.负数没有偶次方根,0的任何次方根都是0.式子叫做根式,叫做根指数,叫做被开方数.2.n次方根的性质:(1)当为奇数时,;当为偶数时,(2)3.分数指数幂的意义:;注意:0的正分数指数幂等与0,负分数指数幂没有意义.4.有理数指数幂的运算性质:(1) (2) (3)知识点二:指数函数及其性质1.指数函数概念一般地,函数叫做指数函数,其中是自变量,函数的定义域为.2.指数函数函数性质:且图象过定点,即当.在在变化对图在第一象限内,从逆时针方向看图象,看图象,知识点三:对数与对数运算1.对数的定义(1)若,则叫做以为底的对数,记作,其中叫做底数,叫做真数. (2)负数和零没有对数. (3)对数式与指数式的互化:.2.几个重要的对数恒等式,,.3.常用对数与自然对数常用对数:,即;自然对数:,即(其中…).4.对数的运算性质如果,那么①加法:②减法:③数乘:④⑤⑥换底公式知识点四:对数函数及其性质1.对数函数定义一般地,函数叫做对数函数,其中是自变量,函数的定义域.且图象过定点,即当时,上是增函数上是减函数变化对图在第一象限内,从顺时针方向看图象,看图象,1.幂函数概念形如的函数,叫做幂函数,其中为常数.2.幂函数的性质(1)图象分布:幂函数图象分布在第一、二、三象限,第四象限无图象.幂函数是偶函数时,图象分布在第一、二象限(图象关于轴对称);是奇函数时,图象分布在第一、三象限(图象关于原点对称);是非奇非偶函数时,图象只分布在第一象限.(2)过定点:所有的幂函数在都有定义,并且图象都通过点.(3)单调性:如果,则幂函数的图象过原点,并且在上为增函数.如果,则幂函数的图象在上为减函数,在第一象限内,图象无限接近轴与轴.(4)奇偶性:当为奇数时,幂函数为奇函数,当为偶数时,幂函数为偶函数.当(其中互质,和),若为奇数为奇数时,则是奇函数,若为奇数为偶数时,则是偶函数,若为偶数为奇数时,则是非奇非偶函数.(5)图象特征:幂函数,当时,若,其图象在直线下方,若,其图象在直线上方,当时,若,其图象在直线上方,若,其图象在直线下方.。
指数函数、对数函数、幂函数综合【要点梳理】要点一、指数及指数幂的运算 1.根式的概念a 的n 次方根的定义:一般地,如果n x a =,那么x 叫做a 的n 次方根,其中*1,n n N >∈当n 为奇数时,正数的n 次方根为正数,负数的nn 为偶数时,正数的n次方根有两个,这两个数互为相反数可以表示为负数没有偶次方根,0的任何次方根都是0.n 叫做根指数,a 叫做被开方数. 2.n 次方根的性质:(1)当na =;当n,0,,0;a a a a a ≥⎧==⎨-<⎩(2)na =3.分数指数幂的意义:)0,,,1m na a m n N n =>∈>;()10,,,1mnm naa m n N n a-=>∈>要点诠释:0的正分数指数幂等于0,负分数指数幂没有意义. 4.有理数指数幂的运算性质:()0,0,,a b r s Q >>∈(1)rsr sa a a+= (2)()r s rsa a = (3)()rr rab a b =要点二、指数函数及其性质 1.指数函数概念 一般地,函数()0,1xy a a a =>≠且叫做指数函数,其中x 是自变量,函数的定义域为R .2.指数函数函数性质:要点三、对数与对数运算 1.对数的定义(1)若(0,1)xa N a a =>≠且,则x 叫做以a 为底N 的对数,记作log a x N =,其中a 叫做底数,N 叫做真数.(2)负数和零没有对数.(3)对数式与指数式的互化:log (0,1,0)xa x N a N a a N =⇔=>≠>. 2.几个重要的对数恒等式log 10a =,log 1a a =,log b a a b =.3.常用对数与自然对数常用对数:lg N ,即10log N ;自然对数:ln N ,即log e N (其中 2.71828e =…).4.对数的运算性质如果0,1,0,0a a M N >≠>>,那么①加法:log log log ()a a a M N MN += ②减法:log log log a a a M M N N-= ③数乘:log log ()na a n M M n R =∈ ④log a Na N =⑤log log (0,)b n a a nM M b n R b=≠∈ ⑥换底公式:log log (0,1)log b a b N N b b a =>≠且 要点四、对数函数及其性质1.对数函数定义一般地,函数()log 0,1a y x a a =>≠且叫做对数函数,其中x 是自变量,函数的定义域()0,+∞. 2.要点五、反函数 1.反函数的概念设函数()y f x =的定义域为A ,值域为C ,从式子()y f x =中解出x ,得式子()x y ϕ=.如果对于y 在C 中的任何一个值,通过式子()x y ϕ=,x 在A 中都有唯一确定的值和它对应,那么式子()x y ϕ=表示x 是y 的函数,函数()x y ϕ=叫做函数()y f x =的反函数,记作1()x fy -=,习惯上改写成1()y f x -=.2.反函数的性质(1)原函数()y f x =与反函数1()y fx -=的图象关于直线y x =对称.(2)函数()y f x =的定义域、值域分别是其反函数1()y fx -=的值域、定义域.(3)若(,)P a b 在原函数()y f x =的图象上,则'(,)P b a 在反函数1()y f x -=的图象上.(4)一般地,函数()y f x =要有反函数则它必须为单调函数. 要点六、幂函数 1.幂函数概念形如()y x R αα=∈的函数,叫做幂函数,其中α为常数. 2.幂函数的性质(1)图象分布:幂函数图象分布在第一、二、三象限,第四象限无图象.幂函数是偶函数时,图象分布在第一、二象限(图象关于y 轴对称);是奇函数时,图象分布在第一、三象限(图象关于原点对称);是非奇非偶函数时,图象只分布在第一象限.(2)过定点:所有的幂函数在(0,)+∞都有定义,并且图象都通过点(1,1).(3)单调性:如果0α>,则幂函数的图象过原点,并且在[0,)+∞上为增函数.如果0α<,则幂函数的图象在(0,)+∞上为减函数,在第一象限内,图象无限接近x 轴与y 轴. 【典型例题】类型一:指数、对数运算 例1.化简与计算下列各式 (1)10220.531222(0.01)54--⎛⎫⎛⎫+⨯- ⎪ ⎪⎝⎭⎝⎭;(2)()20.53207103720.12392748π--⎛⎫⎛⎫++-+⎪⎪⎝⎭⎝⎭;(3)5332332323323134)2(248aa a a ab aaab b b a a ⋅⋅⨯-÷++--.【思路点拨】运算时尽量把根式转化为分数指数幂,而小数也要化为分数为好. 【答案】(1)1615;(2)100;(3)2a . 【解析】 (1)原式=1122141149100⎛⎫⎛⎫+⨯- ⎪ ⎪⎝⎭⎝⎭ =1+11610-=1615;(2)原式=122322516437390.12748-⎛⎫⎛⎫++-+ ⎪ ⎪⎝⎭⎝⎭ =5937100331648++-+=100(3) 原式=51312121323131231313123133133131)()(2)2()2()(])2()[(a a a a ab a b b a a b a a ⋅⋅⨯-÷+⋅+- 23231616531313131312)2(a a a a aa ba ab a a =⨯⨯=⨯-⨯-=.【总结升华】化简要求同初中要求,注意结果形式的统一,结果不能同时含有根式和分数指数,也不能既有分母又含有负指数;一般地,进行指数幂运算时,化负指数为正指数,化根式为分数指数幂,化小数位分数等,便于进行乘、除、乘方、开方运算,以达到化繁为简的目的;举一反三:【变式一】化简下列各式:(1)133241116()()8()100481----+⋅;. 【答案】(1)-27;(2【解析】(1)1313332424111681()()8()10048()10048116----+⋅=-+⨯ 344310648()106427272⎛⎫=-+⨯=-+=- ⎪⎝⎭;133⎫=1)1)=-=-=例2. 已知:4x =,求:111244311422111x x xx x xx -+⋅⋅+++的值.【思路点拨】先化简再求值是解决此类问题的一般方法. 【答案】2 【解析】111244311422111x x xx x xx -+⋅⋅+++11441411122411111x x x x x x x ⎛⎫+ ⎪-⎝⎭=⋅⋅+⎛⎫++ ⎪⎝⎭1111442211122211111111x xx x x x xx x --=⋅⋅+=+=-+=++∴ 当4x =时,111112442231142211421x x xx x x xx -+⋅⋅+===++.【总结升华】解题时观察已知与所求之间的关系,同时乘法公式要熟练,直接代入条件求解繁琐,故应先化简变形,创造条件简化运算. 解题时,要注意运用下列各式.11112222a b a b a b ⎛⎫⎛⎫+-=- ⎪⎪⎝⎭⎝⎭,2111122222a b a a b b ⎛⎫±=±+ ⎪⎝⎭;112112333333a b a a b b a b ⎛⎫⎛⎫±+=± ⎪⎪⎝⎭⎝⎭例3.计算(1) 2221log log 12log 422-; (2)33lg 2lg 53lg 2lg5++; (3)222lg5lg8lg5lg 20lg 23+++. 【答案】(1)12-;(2)1;(3)3;(4)14.【解析】(1)原式=122221log 12log log 22-⎫===-; (2)原式=()()22lg 2lg 5lg 2lg 2lg 5lg 53lg 2lg 5+-++=()2lg10lg5lg 23lg 2lg53lg 2lg5⎡⎤⋅+-+⎣⎦=1-3lg 2lg5+3lg 2lg5=1(3)原式=()22lg52lg 2lg51lg 2lg 2++++=()2lg5lg 2lg5lg 2(lg 2lg5)++++=2+lg5lg 2+=3;【总结升华】这是一组很基本的对数运算的练习题,虽然在考试中这些运算要求并不高,但是数式运算是学习数学的基本功,通过这样的运算练习熟练掌握运算公式、法则,以及学习数式变换的各种技巧. 【变式1】552log 10log 0.25+=( )A.0B.1C.2D.4 【答案】C【解析】552log 10log 0.25+=25555log 10log 0.25log (1000.25)log 252+=⨯==. 【变式2】(1)2(lg 2)lg 2lg50lg 25+⋅+;(2)3948(log 2log 2)(log 3log 3)+⋅+. 【答案】(1)2;(2)54. 【解析】(1) 原式22(lg 2)(1lg5)lg 2lg5(lg 2lg51)lg 22lg5=+++=+++ (11)lg 22lg52(lg 2lg5)2=++=+=;(2) 原式lg 2lg 2lg3lg3lg 2lg 2lg3lg3()()()()lg3lg9lg 4lg8lg32lg32lg 23lg 2=+⋅+=+⋅+ 3lg 25lg352lg36lg 24=⋅=.类型二:指数函数、对数函数、幂函数的图象与性质例4.已知函数3log ,0,()2,0,x x x f x x >⎧=⎨≤⎩ 则1(())9f f =( )A.4B.14C.-4D.-14【答案】B【解析】1)12(log )2(23=-=f ,0((2))22f f e ==. 【总结升华】利用指数函数、对数函数的概念,求解函数的值.举一反三:【变式一】已知函数221,1,(),1,x x f x x ax x ⎧+<⎪=⎨+≥⎪⎩若((0))4f f a =,则实数a 等于( ).A.12B. 45 C. 2 D. 9 【答案】C .【解析】1,()21,(0)2x x f x f <=+∴= ,由((0)f f a=,则有(2)4f a =.21,(),442x f x x ax a a ≥=+∴=+ ,2a ∴=,选C .例5.函数1()f x x=的定义域( ) . A.(][),42,-∞-+∞ B.()()4,00,1- C.[)(]4,00,1- D. [)()4,00,1- 【答案】D【解析】220,320,340,0.x x x x x ≠⎧⎪-+≥⎪⎨--+≥>【总结升华】以对数函数、幂函数为背景的函数定义域问题,一直是高考命题的热点.解答这类问题关键是紧扣真数大于零、底数大于零且不等于1,偶次根号大于等于零、分母不为零. 例12-xA .B .C .D .【答案】B【解析】先作出2(0)x y x =≥的图象,然后作出这个图象关于y 轴对称的图象,得到||2x y =的图象,再把||2x y =的图象右移一个单位,得到12-=x y 的图象,故选B例7. 函数)86(log 231+-=x x y 的单调递增区间是( )A .(3,+∞)B .(-∞,3)C .(4,+∞)D .(-∞,2)【思路点拨】这是一个内层函数是二次函数,外层函数是对数函数的复合函数,其单调性由这两个函数的单调性共同决定,即“同增异减”。
指数与指数幂的运算【学习目标】1.理解有理指数幂的含义,掌握幂的运算.2.理解指数函数的概念和意义,理解指数函数的单调性与特殊点. 3.理解对数的概念及其运算性质.4.重点理解指数函数、对数函数、幂函数的性质,熟练掌握指数、对数运算法则,明确算理,能对常见的指 数型函数、对数型函数进行变形处理.5.会求以指数函数、对数函数、幂函数为载体的复合函数的定义域、单调性及值域等性质. 6.知道指数函数与对数函数互为反函数(a >0,a ≠1).【要点梳理】要点一、幂的概念及运算性质1.整数指数幂的概念及运算性质2.分数指数幂的概念及运算性质为避免讨论,我们约定a>0,n ,m ∈N *,且mn为既约分数,分数指数幂可如下定义: 1na =m m na ==-1m nm naa=3.运算法则当a >0,b >0时有:(1)nm nma a a +=⋅;(2)()mn nma a =;(3)()0≠>=-a n m a aa nm n m ,;(4)()mm m b a ab =.要点诠释:(1)根式问题常利用指数幂的意义与运算性质,将根式转化为分数指数幂运算;(2)根式运算中常出现乘方与开方并存,要注意两者的顺序何时可以交换、何时不能交换.如2442)4()4(-≠-;(3)幂指数不能随便约分.如2142)4()4(-≠-.要点二、根式的概念和运算法则1.n 次方根的定义:若x n=y(n ∈N *,n>1,y ∈R),则x 称为y 的n 次方根,即x=n y .n 为奇数时, y 的奇次方根有一个,是负数,记为n y ;零的奇次方根为零,记为00=n ;n 为偶数时,正数y 的偶次方根有两个,记为负数没有偶次方根;零的偶次方根为零,0=. 2.两个等式(1)当1n >且*n N ∈时,na =;(2)⎩⎨⎧=)(||)(,为偶数为奇数n a n a a nn要点诠释:①计算根式的结果关键取决于根指数n 的取值,尤其当根指数取偶数时,开方后的结果必为非负数,可先写成||a 的形式,这样能避免出现错误.②指数幂的一般运算步骤有括号先算括号里的;无括号先做指数运算.负指数幂化为正指数幂的倒数.底数是负数,先确定符号,底数是小数,先要化成分数,底数是带分数(如),先要化成假分数(如15/4),然后要尽可能用幂的形式表示,便于用指数运算性质.在化简运算中,也要注意公式: a 2-b 2=(a -b )(a +b ),a 3-b 3=(a -b )(a 2+ab +b 2),a 3+b 3=(a +b )(a 2-ab +b 2),(a ±b )2=a 2±2ab +b 2,(a ±b )3=a 3±3a 2b +3ab 2±b 3,的运用,能够简化运算.指数函数及其性质【要点梳理】要点一、指数函数的概念:函数y=a x(a>0且a ≠1)叫做指数函数,其中x 是自变量,a 为常数,函数定义域为R. 要点诠释:(1)形式上的严格性:只有形如y=a x(a>0且a ≠1)的函数才是指数函数.像23xy =⋅,12xy =,31xy =+等函数都不是指数函数.(2)为什么规定底数a 大于零且不等于1:①如果0a <,则对于一些函数,比如(4)xy =-,当11,,24x x ==⋅⋅⋅时,在实数范围内函数值不存在. ②如果1a =,则11xy ==是个常量,就没研究的必要了。
指数函数和对数函数复习(有详细知识点和习题详解)一、指数的性质一)整数指数幂整数指数幂的概念是指:a的n次方等于a乘以a的n-1次方,其中a不等于0,n为正整数。
另外,a的-n次方等于1除以a的n次方,其中a不等于0,n为正整数。
整数指数幂的运算性质包括:(1)a的m次方乘以a的n次方等于a的m+n次方;(2)a的n次方的m次方等于a的mn次方;(3)a乘以b的n次方等于a的n次方乘以b的n次方。
其中,a除以a的n次方等于a的n-1次方,a的m-n次方等于a的m除以a的n次方,an次方根的概念是指,如果一个数的n次方等于a,那么这个数叫做a的n次方根,记作x=√a。
例如,27的3次方根等于3,-27的3次方根等于-3,32的5次方根等于2,-32的5次方根等于-2.a的n次方根的性质包括:如果n是奇数,则a的n次方根等于a;如果n是偶数且a大于等于0,则a的正的n次方根等于a,a的负的n次方根等于负的a;如果n是偶数且a小于0,则a的n次方根没有意义,即负数没有偶次方根。
二)例题分析例1:求下列各式的值:(1)3的-8次方;(2)(-10)的2次方;(3)4的(3-π)次方;(4)(a-b)的2次方,其中a大于b。
例2:已知a小于b且n大于1,n为正整数,化简n[(a-b)/(a+b)]。
例3:计算:7+40+7-40.例4:求值:(59/24)+(59-45)/24 + 25×(5-2)/24.解:略。
二)分数指数幂1.分数指数幂当根式的被开方数能被根指数整除时,根式可以写成分数指数幂的形式,例如:$5\sqrt[10]{a^5}=a^{\frac{1}{2}}$,$3\sqrt[12]{a^3}=a^{\frac{1}{4}}$。
当根式的被开方数不能被根指数整除时,根式也可以写成分数指数幂的形式,例如:$\sqrt[4]{a^5}=a^{\frac{5}{4}}$。
规定:1)正数的正分数指数幂的意义是$a^{\frac{p}{q}}=\sqrt[q]{a^p}$。
最全的高中幂-指数-对数-三角函数知识点总结-CAL-FENGHAI-(2020YEAR-YICAI)_JINGBIAN一.幂 函 数一、幂函数定义:形如)(R x y ∈=αα的函数称为幂函数,其中x 是自变量,α是常数。
注意:幂函数与指数函数有何不同?【思考·提示】 本质区别在于自变量的位置不同,幂函数的自变量在底数位置,而指数函数的自变量在指数位置. 观察图:归纳:幂函数图像在第一象限的分布情况如下:二、幂函数的性质归纳:幂函数在第一象限的性质:0>α,图像过定点(0,0)(1,1),在区间(+∞,0)上单调递增。
0<α,图像过定点(1,1),在区间(+∞,0)上单调递减。
探究:整数m,n 的奇偶与幂函数nm x y =),,,(互质且n m Z n m ∈的定义域以及奇偶性有什么关系?结果:形如nmx y =),,,(互质且n m Z n m ∈的幂函数的奇偶性(1)当m ,n 都为奇数时,f (x )为奇函数,图象关于原点对称; (2)当m 为奇数n 为偶数时,f (x )为偶函数,图象关于y 轴对称; (3)当m 为偶数n 为奇数时,f (x )是非奇非偶函数,图象只在第一象限内.三、幂函数的图像画法:关键先画第一象限,然后根据奇偶性和定义域画其它象限。
指数大于1,在第一象限为抛物线型(凹); 指数等于1,在第一象限为上升的射线;指数大于0小于1,在第一象限为抛物线型(凸); 指数等于0,在第一象限为水平的射线; 指数小于0,在第一象限为双曲线型; 四、规律方法总结:1、幂函数)1,0(==ααx y 的图像:2、幂函数),,,,(互质q p Z q p p qx y ∈==αα的图像:3、比较幂形式的两个数的大小,一般的思路是: (1)若能化为同指数,则用幂函数的单调性; (2)若能化为同底数,则用指数函数的单调性;(3)若既不能化为同指数,也不能化为同底数,则需寻找一个恰当的数作为桥梁来比较大小.二.指数与指数幂的运算1.根式的概念:一般地,如果a x n =,那么x 叫做a 的n 次方根,其中n >1,且n ∈N *.负数没有偶次方根;0的任何次方根都是0,记作00=n。
一、 幂函数1、幂的有关概念正整数指数幂:...()n na a a a n N =∈ 零指数幂:01(0)a a =≠负整数指数幂:1(0,)p p a a p N a -=≠∈分数指数幂:正分数指数幂的意义是:(0,,,1)mn mna a a m n N n =>∈>且 负分数指数幂的意义是:11(0,,,1)mnm nmnaa m n N n aa-==>∈>且2、幂函数的定义一般地,函数ay x =叫做幂函数,其中x 是自变量,a 是常数(我们只讨论a 是有理数的情况). 3、幂函数的图象幂函数a y x =当11,,1,2,332a =时的图象见左图;当12,1,2a =---时的图象见上图: 由图象可知,对于幂函数而言,它们都具有下列性质:a y x =有下列性质:(1)0a >时:①图象都通过点(0,0),(1,1);②在第一象限内,函数值随x 的增大而增大,即在(0,)+∞上是增函数. (2)0a <时:①图象都通过点(1,1);②在第一象限内,函数值随x 的增大而减小,即在(0,)+∞上是减函数; ③在第一象限内,图象向上与y 轴无限地接近,向右与x 轴无限地接近. (3)任何幂函数的图象与坐标轴至多只有一个交点; (4)任何幂函数图象都不经过第四象限; (5)任何两个幂函数的图象最多有三个交点.二、指数函数①定义:函数)1,0(≠>=a a a y x 且称指数函数, 1)函数的定义域为R ; 2)函数的值域为),0(+∞;3)当10<<a 时函数为减函数,当1>a 时函数为增函数。
4)有两个特殊点:零点(0,1),不变点(1,)a .5)抽象性质: ()()(),()()/()f x y f x f y f x y f x f y +=⋅-=三、对数函数如果b a N =(0a >,1a ≠),那么b 叫做以a 为底N 的对数,记作log a N b =log b a a N N b =⇔=(0a >,1a ≠,0N >).1.对数的性质()log log log a a a MN M N =+. log log log aa a MM N N=-. log log n a a M n M =.(00M N >>,,0a >,1a ≠)b mnb a n am log log =( a, b 〉 0且均不为1) 2.换底公式:log log log m a m NN a = ( a 〉 0 , a ¹ 1 ;0,1m m >≠)常用的推论:(1)log log 1a b b a ⨯= ;1log log log =⋅⋅a c b c b a .(2)log log m na a nb b m=(a 、0b >且均不为1).1log log 1N N a a mn n m==. (3)01log =a ,1log =a a (4)对数恒等式N a N a =log .一、对数函数的图像及性质① 函数log a y x =(0a >,1a ≠)叫做对数函数② 对数函数的性质:定义域:(0,)+∞; 值域:R; 过点(1,0),即当1x =时,0y =.当0a >时,在(0,+∞)上是增函数;当01a <<时,在(0,+∞)上是减函数.二、对数函数与指数函数的关系对数函数log a y x =与指数函数x y a =图像关于直线y x =对称. 指数方程和对数方程主要有以下几种类型:()()log ,log ()()f x b a a a b f x b f x b f x a =⇔==⇔=(定义法)()()()(),log ()log ()()()0f x g x a a a a f x g x f x g x f x g x =⇔==⇔=>(转化法) ()()()log ()log f x g x m m a b f x a g x b =⇔= (取对数法)。
指数对数幂函数知识点总结精选篇一:指数、对数、幂函数知识点指数、对数、幂函数知识归纳知识要点梳理知识点一:指数及指数幂的运算 1.根式的概念的次方根的定义:一般地,如果;当为奇数时,正数的次方根为正数,负数的次方根是负数,表示为当为偶数时,正数的次方根有两个,这两个数互为相反数可以表示为.负数没有偶次方根,0的任何次方根都是0.式子叫做根式,叫做根指数,叫做被开方数.;,那么叫做的次方根,其中次方根的性质: (1)当为奇数时,;(2)当为偶数时,3.分数指数幂的意义:;注意:0的正分数指数幂等与0,负分数指数幂没有意义. 4.有理数指数幂的运算性质:(1)(2)(3)知点二:指数函数及其性质 1.指数函数概念:一般地,函数变量,函数的定义域为.叫做指数函数,其中是自1.(2013·北京高考理科·T5)函数f(x)的图象向右平移1个单位长度,所得图象与曲线y=ex关于y轴对称,则f(x)= ( ) +1 +12.(2013·上海高考文科·T8)方程3.(2013·湖南高考理科·T16)设函数f(x)?ax?bx?cx,其中c?a?0,c?b?0.9x的实数解为 . ?1?3x3?1且a=b?,(1)记集合M??(a,b,c)a,b,c不能构成一个三角形的三条边长,则(a,b,c)?M所对应的f(x)的零点的取值集合为____.(2)若a,b,c是?ABC的三条边长,则下列结论正确的是. (写出所有正确结论的序号)①?x,1?,f?x??0;②?x?R,使得ax,bx,cx不能构成一个三角形的三边长;③若?ABC为钝角三角形,则?x??1,2?,使f?x??0.知识点三:对数与对数运算 1.对数的定义(1)若叫做底数,叫做真数.,则叫做以为底的对数,记作,(2)负数和零没有对数.(3)对数式与指数式的互化:2.几个重要的对数恒等式:,,..3.常用对数与自然对数:常用对数:,即;自然对数:,即(其中…).4.对数的运算性质如果①加法:,那么②减法:③数乘:④⑤⑥换底公式:知识点四:对数函数及其性质 1.对数函数定义一般地,函数数的定义域.叫做对数函数,其中是自变量,函2.对数函数性质:4.(2013·广东高考理科·T2)函数f(x)?的定义域是() x?1A.(?1,??) B.[?1,??) C.(?1,1)(1,??) D.[?1,1)(1,??)5.(2013·陕西高考文科·T3)设a, b, c均为不等于1的正实数, 则下列等式中恒成立的是 A.logab·logcb?logcaB. logab?logca?logcb篇二:指数_对数_幂函数必备知识点几种特殊的函数知识点一:指数及指数幂的运算1.根式的概念的次方根的定义:一般地,如果,那么叫做的次方根,其中当为奇数时,正数的次方根为正数,负数的次方根是负数,表示为;当为偶数时,正数的次方根有两个,这两个数互为相反数可以表示为.负数没有偶次方根,0的任何次方根都是0.式子叫做根式,叫做根指数,叫做被开方数.次方根的性质:(1)当为奇数时,;当为偶数时,(2)3.分数指数幂的意义:;注意:0的正分数指数幂等于0,负分数指数幂没有意义.4.有理数指数幂的运算性质:(1) (2) (3)知识点二:指数函数及其性质1.指数函数概念一般地,函数叫做指数函数,其中是自变量,函数的定义域为.2.指数函数函数性质:函数名称指数函数定义函数且叫做指数函数图象定义域值域过定点图象过定点,即当时,.奇偶性非奇非偶单调性在上是增函数在上是减函数函数值的变化情况变化对图象的影响在第一象限内,从逆时针方向看图象,逐渐增大;在第二象限内,从逆时针方向看图象,逐渐减小.知识点三:对数与对数运算1.对数的定义(1)若,则叫做以为底的对数,记作,其中叫做底数,叫做真数.(2)负数和零没有对数.(3)对数式与指数式的互化:.2.几个重要的对数恒等式,,.3.常用对数与自然对数常用对数:,即;自然对数:,即(其中…).4.对数的运算性质如果,那么①加法:②减法:③数乘:④⑤⑥换底公式:知识点四:对数函数及其性质1.对数函数定义一般地,函数叫做对数函数,其中是自变量,函数的定义域.2.对数函数性质:函数名称对数函数定义函数且叫做对数函数图象定义域值域过定点图象过定点,即当时,.奇偶性非奇非偶单调性在上是增函数在上是减函数函数值的变化情况变化对图象的影响在第一象限内,从顺时针方向看图象,逐渐增大;在第四象限内,从顺时针方向看图象,逐渐减小.知识点五:反函数1.反函数的概念设函数的定义域为,值域为,从式子中解出,得式子.如果对于在中的任何一个值,通过式子,在中都有唯一确定的值和它对应,那么式子表示是的函数,函数叫做函数的反函数,记作,习惯上改写成.2.反函数的性质(1)原函数与反函数的图象关于直线对称.(2)函数的定义域、值域分别是其反函数的值域、定义域.(3)若在原函数的图象上,则在反函数的图象上.(4)一般地,函数要有反函数则它必须为单调函数.3.反函数的求法(1)确定反函数的定义域,即原函数的值域;(2)从原函数式中反解出;(3)将改写成,并注明反函数的定义域.知识点六:幂函数1.幂函数概念形如的函数,叫做幂函数,其中为常数.2.幂函数的性质(1)图象分布:幂函数图象分布在第一、二、三象限,第四象限无图象.幂函数是偶函数时,图象分布在第一、二象限(图象关于轴对称);是奇函数时,图象分布在第一、三象限(图象关于原点对称);是非奇非偶函数时,图象只分布在第一象限.(2)过定点:所有的幂函数在都有定义,并且图象都通过点.(3)单调性:如果,则幂函数的图象过原点,并且在上为增函数.如果,则幂函数的图象在上为减函数,在第一象限内,图象无限接近轴与轴.(4)奇偶性:当为奇数时,幂函数为奇函数,当为偶数时,幂函数为偶函数.当(其中互质,和),若为奇数为奇数时,则是奇函数,若为奇数为偶数时,则是偶函数,若为偶数为奇数时,则是非奇非偶函数.(5)图象特征:幂函数,当时,若,其图象在直线下方,若,其图象在直线上方,当时,若,其图象在直线上方,若,其图象在直线下方.篇三:指数对数幂函数知识点汇总知识点一:根式、指数幂的运算1、根式的概念:若x?a,则x叫做a的次方根, n?1,n?Nn???(1)当n为奇数时,正数的n次方根为正,负数的n次方根为负,记作na;(2)当n为偶数时,正数的n次方根有两个(互为相反数),记作(3)负数没有偶次方根,0的任何次方根都是0. 2、n次方根的性质:(1)n?an为奇数. ?a;(2???|a|n为偶数3、分数指数幂的意义:(1)a?;(2)amnm?n?1amn?a?0,m,n?N?,n?1?.注意:0的正指数幂等于0,负指数幂没有意义. 4、指数幂的运算性质:?a?0,b?0,r,s?R?rrs)ras?a? (1a;(2)a??s?ars; (3)?ab??arbrr知识点二:对数与对数运算b1、指数式与对数式的互化:a?N?logaN?b(a?0,a?1,N?0)2、几个重要的对数恒等式(1)负数和0没有对数;(2)loga1?0(a?1)(3)logaa?1(a?a);(4)对数恒等式:a3、对数的运算性质(1)loga(MN)?logaM?logaN;(2)logan1logaN?NM?logaM-logaN; NlogmN;logma(3)logaM?nlogaM(n?R);(4)换底公式:logaN?(5)logab?logba?1 ;(6)logab?logbc?logac ;(7)logab?logbc?logcd?logad ;(8)logambn?nlogab;m知识点四:对数函数及其性质x注:指数函数y?a与对数函数y?logax互为反函数(1)互为反函数的两函数图象关于y?x对称,即(a,b)在原函数图象上,则(b,a)在其反函数图象上;(2)互为反函数的两函数在各自的定义域上单调性相同。
指数函数、对数函数及幂函数Ⅰ.指数与指数函数1.指数运算法则:(1)r s r sa a a+=; (2)()sr rs aa =; (3)()rr r ab a b =;(4)mn mna a =;(5)m nnmaa-=(6),||,n n a n a a n ⎧=⎨⎩奇偶2. 指数函数:【基础过关】类型一:指数运算的计算题此类习题应牢记指数函数的基本运算法则,注意分数指数幂与根式的互化,在根式运算或根指数函数 0<a<1a>1图 象表达式 x y a =定义域 R值 域 (0,)+∞过定点 (0,1)单调性单调递减 单调递增式与指数式混合运算时,将根式化为指数运算较为方便 1、5+的平方根是______________________ 2、 已知2=na ,16=mna,则m 的值为………………………………………………( )A .3B .4C .3a D .6a3、化简(b a b +-的结果是………………………………( )A、a -、aaD、2b a +4、已知0.001a =,求:413322338(14a a ba b-÷-+=_________________5、已知13x x -+=,求(1)1122x x -+=________________(2)3322x x -+=_________________ 6、若yyx x-+=,其中1,0x y ><,则y y x x --=______________类型二:指数函数的定义域、表达式指数函数的定义域主要涉及根式的定义域,注意到负数没有偶次方根;此外应牢记指数函数的图像及性质 函数)(x f ay =的定义域与)(x f 的定义域相同1、若集合A={113xx y -=},B={x s A B =⋂=则____________________2、如果函数()y f x =的定义域是[1,2],那么函数1(2)xy f -=的定义域是________ 3、下列函数式中,满足f(x+1)=12f(x)的是……………………………………………( )A 、()112x +B 、14x +C 、2xD 、2x -4、=则实数a 的取值范围是………………………………( ) A 、2a <B 、12a ≤C 、12a >D 、任意实数类型三:复合函数 ○1形如02=+•+c a b a x x的方程,换元法求解○2函数)(x f a y =的定义域与)(x f 的定义域相同 ○3先确定)(x f 的值域,再根据指数函数的值域,单调性,可确定)(x f a y =的值域 涉及复合函数的单调性问题,应弄清函数是由那些基本函数符合得到的,求出复合函数的定义域,然后分层逐一求解内层函数的单调区间和外层函数的单调区间,注意“同增异减”(1)外函数是二次函数,内函数是指数函数1、求函数2391x xy =++的值域 2、当10x -≤≤时,函数2234x x y +=-的最大值是______________,最小值是__________3、已知x [-3,2]∈,求f(x)=11142xx -+的最大值是______________,最小值是______________(2)外函数是指数函数,内函数是二次函数1、函数y=(13)2281x x --+ (-31x ≤≤)的值域是______________,单调递增区间是__________ 2、已知函数y=(13)225x x ++,求其单调区间_____________________及值域_______________类型四:奇偶性的判定利用奇偶性的定义,注意计算过程中将根式化为分式指数幂后通分1、函数xx a a x f -⋅+=2)1()(是……………………………………………( )A 、奇函数B 、偶函数C 、非奇非偶函数D 、既奇且偶函数2、已知函数f(x)=1(1)1x xa a a ->+(1)判断函数的奇偶性;(2)求该函数的值域;(3)证明f(x)是R 上的增函数。
3、设a ∈R,f(x)= 22()21x xa a x R ⋅+-∈+,试确定a 的值,使f(x)为奇函数类型五:分类讨论思想在指数函数中的应用1、已知0a >,且1a ≠,解不等式265xx a a ->2、已知f(x)=2231x x a -+,g(x)=225x x a+- (a >0且a ≠1),确定x 的取值范围,1x ≠使得f(x)>g(x).Ⅱ.对数与对数函数1、对数的运算:1、互化:N b N a a b log =⇔=2、恒等:N a N a =log3、换底:ab bc c a log log log =推论1 ab b a log 1log =推论2 log log log a b a b c c •=推论3 log log m na an b b m=)0(≠m 4、N M MN a a a log log log += log log log a a a M M N N=-5、M n M a n a log log ⋅=2对数函数:【基础过关】类型一:对数的基本运算此类习题应牢记对数函数的基本运算法则,注意○1常用对数:将以10为底的对数叫常用对数,记为N lg ○2自然对数:以e=2.71828…为底的对数叫自然对数,记为N ln ○3零和负数没有对数,且1log ,01log a ==a a 1、(1)、 9lg 2lg 008.0lg 3181.0lg 212+++ (2)、()20lg 5lg 2lg 2⋅+对数函数0<a<1 a>1图 象表达式 log a y x=定义域 (0,)+∞值 域 R过定点 (1,0)单调性单调递减单调递增(3)、())2log 2(log )5log 5(log 3log 3log 2559384+⋅+⋅+2、已知2log =x a ,3log =x b ,6log =x c 求 x abc log 的值.类型二:指数,对数的混合运算指数函数)1,0(≠>=a a a y x与对数函数)1,0(log ≠>=a a xy a 的图象与性质1、若log 2,log 3,a a m n ==则32m n a -=_________2、若1a >且01b <<,则不等式log (3)1b x a->的解集为________3、已知35,a b A ==且112a b+=,则A 的值是________4、已知32a =,那么33log 82log 6-用a 表示是…………………………( ) A 、2a - B 、52a - C 、23(1)a a -+ D 、 23a a - 【能力提升】类型三:对数函数的定义域与解析式注意复合函数的定义域的求法,形如[])(x g f y =的复合函数可分解为基本初等函数)(),(x g u u f y ==,分别确定这两个函数的定义域。
1、函数y =____________2、已知235(log ())22x f x ++=,则(0)f =___________3、已知62()log f x x =,那么(8)f =____________ 类型四:对数函数的值域注意复合函数的值域的求法,形如[])(x g f y =的复合函数可分解为基本初等函数)(),(x g u u f y ==,分别确定这两个函数的定义域和值域。
1. 函数212log (617)y x x =-+的值域是________2. 设1a >,函数()log a f x x=在区间[,2]a a 上的最大值与最小值之差为12,则a =___________3. 函数()log (1)xa f x a x =++在[0,1]上最大值和最小值之和为a ,则a 的值为_______________类型五:对数函数的单调性、奇偶性1、函数lg y x=的单调递增区间是_______ ; 函数212log (32)y x x =-+的递增区间是_______________2、下列各函数中在(0,1)上为增函数的是……………………………………………( )A.12log (1)y x =+B.2log y = C.31log y x = D.213log (43)y x x =-+3、函数2lg 11y x ⎛⎫=- ⎪+⎝⎭的图像关于………………………………………………………( ) A 、x 轴对称 B 、y 轴对称 C 、原点对称 D 、直线y x =对称 4、函数)()lgf x x=是 (奇、偶)函数。
5、已知函数1010()1010x x xx f x ---=+,判断()f x 的奇偶性和单调性。
类型六:对数中的不等关系比较同底数的两个对数值的大小;比较两个同真数的对数值的大小1、设0.724log 0.8log 0.9log 5a b c ===,则,,a b c 的大小关系是_______2、设2lg ,(lg ),a e b e c ===,,a b c 的大小关系是_______ 3、如果3log15m <,那么m 的取值范围是______4、如果log 3log 30a b >>,那么,a b 的关系是…………………………………………( )A. 01a b <<<B. 1a b <<C. 01b a <<<D. 1b a << 5、已知2log (1)log (24)0a a x x +<+<,则不等式解集为_______6、若()log a f x x=在[2,)+∞上恒有()1f x >,则实数a 的取值范围是________类型七:其它题型(奇偶性,对数方程,抽象函数)1、设2()lg()1f x a x =+-是奇函数,则使()0f x <的x 的取值范围是________2、已知集合{}2log 2,(,)A x xB a =≤=-∞,若A B ⊆则实数a 的取值范围是(,)c +∞,其中c = ______.3、若1x 满足2x+2x =5, 2x 满足2x+2)1(log 2-x =5, 1x +2x =………………………( )A.52B.3C. 72 D.4幂函数一、幂函数图象的作法:根据幂函数kx y =的定义域、奇偶性,先作出其在第一象限的图象,再根据其奇偶性作出其他象限的图形.如果幂函数的解析式为mn x y =或mn xy -=(m 、*∈N n ,2≥m ,m 、n 互质)的形式,先化为m n x y =,或mnxy 1=的形式,再确定函数的定义域、奇偶性、单调性等性质,从而能比较准确地作出幂函数的图象. 二、幂函数图象的类型:(共有11种情况)y=xy=x o (x ≠0)o -11yxo 非奇非偶函数m 是偶数,n 是奇数y=x-12-11y xo y=x12-11y xo y=x32-11yxo三、幂函数图象特征:(1)当0<k 时,在第一象限内,函数单调递减,图象为凹的曲线;(2)当0=k 时,图象是一条不包括点(0,1)的直线; (3)当10<<k 时,在第一象限内,图象单调递增,图象为凸的曲线;(4)当1=k 时,图象是一、三象限的角平分线;(5)当1>k 时,在第一象限内,图象单调递增,图象为凹的曲线. (6)幂函数图象不经过第四象限;(7)当0>k 时,幂函数kx y =的图象一定经过点(0,0)和点(1,1) (8)如果幂函数kx y =的图象与坐标轴没有交点,则0≤k ;(9)如果幂函数mnpxy )1(-=(m 、n 、p 都是正整数,且m 、n 互质)的图象不经过第三象限,则p 可取任意正整数,m 、n 中一个为奇数,另一个为偶数. 四、幂函数典型问题: 1.概念问题:【例1】1.已知幂函数,当时为减函数,则幂函数__________.【变式】当m 为何值时,幂函数y=(m 2-5m+6)的图象同时通过点(0,0)和(1,1).2.定义域问题:【例2】函数05321)2(--+=-x x x y 的定义域为【变式】.求函数y=的定义域.3.单调性问题:【例3】已知5353)21()3(--+<-a a ,求实数a 的取值范围.【变式1】讨论函数的单调性.【变式2】讨论函数的定义域、奇偶性和单调性.4.图象问题:【例4】若函数)(322Z m x y m m ∈=--的图象与坐标轴没有交点,且关于y 轴对称,求函数)(x f 的解析式.【例5】利用函数的图象确定不等式的解集:(1) 不等式)1(32->x x 的解集为 (2) 不等式314x x ≥的解集为说明:先在同一坐标系中作出不等式两边函数的图象,并确定交点的坐标,从而能较容易地写出不等式的解集5.函数图象的平移、对称、翻折变换问题:说明:很多较复杂函数的图象,都是通过将下列函数的图象经过平移、对称、翻折变换而得到 x y 1=;x y 1-=;)1,0(≠>=k k x k y ;)1,0(≠>-=k k xk y 【例6】作出下列函数的大致图象,并结合图象写出函数的值域、奇偶性和单调区间.(1)12--=x x y (2)xx y --=21 (3)14-=x y ,)5,2[)1,( -∞∈x (4)112--=x x y ,),0[+∞∈x (5)xy +=11 (6)31)2(--=x y 【例7】已知幂函数)(x f y =是偶函数,且在区间),0(+∞上单调递增,若)12()1(22++<-a a f a f ,则实数a 的取值范围是 .6.比较幂函数值大小【例8】.比较,,的大小.【例9】.已知幂函数, , , 在第一象限内的图象分别是C 1,C 2,C 3,C 4,(如图),则n 1,n 2,n 3,n 4,0,1的大小关系?。