概率统计习题课四
- 格式:ppt
- 大小:335.00 KB
- 文档页数:10
经济数学基础——概率统计课后习题答案1⽬录习题⼀ (1)习题⼆ (16)习题三 (44)习题四 (73)习题五 (97)习题六 (113)习题七 (133)1习题⼀写出下列事件的样本空间:(1) 把⼀枚硬币抛掷⼀次;(2) 把⼀枚硬币连续抛掷两次;(3) 掷⼀枚硬币,直到⾸次出现正⾯为⽌;(4) ⼀个库房在某⼀个时刻的库存量(假定最⼤容量为M ).解 (1) Ω={正⾯,反⾯} △ {正,反}(2) Ω={(正、正),(正、反),(反、正),(反、反)}(3) Ω={(正),(反,正),(反,反,正),…}(4) Ω={x ;0 ≤x ≤ m }掷⼀颗骰⼦的试验,观察其出现的点数,事件A =“偶数点”,B =“奇数点”,C =“点数⼩于5”,D =“⼩于5的偶数点”,讨论上述各事件间的关系.解 {}{}{}{}{}.4,2,4,3,2,1,5,3,1,6,4,2,6,5,4,3,2,1=====D C B A ΩA 与B 为对⽴事件,即B =A ;B 与D 互不相容;A ?D ,C ?D.3. 事件A i 表⽰某个⽣产单位第i 车间完成⽣产任务,i =1,2,3,B 表⽰⾄少有两个车间完成⽣产任务,C 表⽰最多只有两个车间完成⽣产任务,说明事件B 及B -C 的含义,并且⽤A i (i =1,2,3)表⽰出来. 解 B 表⽰最多有⼀个车间完成⽣产任务,即⾄少有两个车间没有完成⽣产任务.313221A A A A A A B ++=B -C 表⽰三个车间都完成⽣产任务321321321321+++A A A A A A A A A A A A B =321321321321321321321A A A A A A A A A A A A A A A A A A A A A C ++++++= 321A A A C B =-4. 如图1-1,事件A 、B 、C 都相容,即ABC ≠Φ,把事件A +B ,A +B +C ,AC +B ,C -AB ⽤⼀些互不相容事件的和表⽰出来.解 B A A B A +=+C B A B A A C B A ++=++C B A B B AC +=+BC A C B A C B A AB C ++=- 5.两个事件互不相容与两个事件对⽴的区别何在,举例说明.解两个对⽴的事件⼀定互不相容,它们不可能同时发⽣,也不可能同时不发⽣;两个互不相容的事件不⼀定是对⽴事件,它们只是不可能同时发⽣,但不⼀定同时不发⽣. 在本书第6页例2中A 与D 是对⽴事件,C 与D 是互不相容事件. 6.三个事件A 、B 、C 的积是不可能事件,即ABC =Φ,问这三个事件是否⼀定互不相容?画图说明.解不⼀定. A 、B 、C 三个事件互不相容是指它们中任何两个事件均互不相容,即两两互不相容.如图1-2,事件ABC =Φ,但是A 与B 相容.7. 事件A 与B 相容,记C =AB ,D =A+B ,F =A -B. 说明事件A 、C 、D 、F 的关系.解由于AB ?A ?A+B ,A -B ?A ?A+B ,AB 与A -B 互不相容,且A =AB +(A -B).因此有A =C +F ,C 与F 互不相容,D ?A ?F ,A ?C.8. 袋内装有5个⽩球,3个⿊球,从中⼀次任取两个,求取到的两个球颜⾊不同的概率.解记事件A 表⽰“取到的两个球颜⾊不同”. 则有利于事件A 的样本点数⽬#A =1315C C .⽽组成试验的样本点总数为#Ω=235+C ,由古典概率公式有图1-1 图1-22P (A )==Ω##A 2815281315=C C C (其中#A ,#Ω分别表⽰有利于A 的样本点数⽬与样本空间的样本点总数,余下同)9. 计算上题中取到的两个球中有⿊球的概率.解设事件B 表⽰“取到的两个球中有⿊球”则有利于事件B 的样本点数为#25C B =.1491)(1)(2825=-==C C B P B P - 10. 抛掷⼀枚硬币,连续3次,求既有正⾯⼜有反⾯出现的概率.解设事件A 表⽰“三次中既有正⾯⼜有反⾯出现”, 则A 表⽰三次均为正⾯或三次均为反⾯出现. ⽽抛掷三次硬币共有8种不同的等可能结果,即#Ω=8,因此43821#1)(1)(=-=Ω-=-=A A P A P # 11. 10把钥匙中有3把能打开⼀个门锁,今任取两把,求能打开门锁的概率.解设事件A 表⽰“门锁能被打开”. 则事件A 发⽣就是取的两把钥匙都不能打开门锁.15811)(1)(21027==Ω-=-=C C A A P A P -##从9题-11题解中可以看到,有些时候计算所求事件的对⽴事件概率⽐较⽅便.12. ⼀副扑克牌有52张,不放回抽样,每次⼀张,连续抽取4张,计算下列事件的概率:(1)四张花⾊各异;(2)四张中只有两种花⾊.解设事件A 表⽰“四张花⾊各异”;B 表⽰“四张中只有两种花⾊”.,113113113113452##C C C C A , C Ω==)+#2132131133131224C C C C C C B (= 105013##)(4524.C ΩA A P === 30006048+74366##)(452 )(.C ΩB B P === 13. ⼝袋内装有2个伍分、3个贰分,5个壹分的硬币共10枚,从中任取5枚,求总值超过壹⾓的概率. 解设事件A 表⽰“取出的5枚硬币总值超过壹⾓”.)+(+C =##25231533123822510C C C C C C A C Ω , = 50252126)(.ΩA A P ==##= 14. 袋中有红、黄、⿊⾊球各⼀个,每次任取⼀球,有放回地抽取三次,求下列事件的概率:A =“三次都是红球” △ “全红”,B =“全⽩”,C =“全⿊”,D =“⽆红”,E =“⽆⽩”,F =“⽆⿊”,G =“三次颜⾊全相同”,H =“颜⾊全不相同”,I =“颜⾊不全相同”.解#Ω=33=27,#A =#B =#C =1,#D =#E =#F =23=8,#G =#A +#B +#C =3,#H =3!=6,#I =#Ω-#G =243271)()()(===C P B P A P 278)()()(===F P E P D P 982724)(,92276)(,91273)(======I P H P G P 15. ⼀间宿舍内住有6位同学,求他们中有4个⼈的⽣⽇在同⼀个⽉份的概率.解设事件A 表⽰“有4个⼈的⽣⽇在同⼀个⽉份”.#Ω=126,#A =21124611C C 0073.01221780##)(6==ΩA A P = 16. 事件A 与B 互不相容,计算P )(B A +.解由于A 与B 互不相容,有AB =Φ,P (AB )=0.1)(1)()(=-==+AB P AB P B A P17. 设事件B ?A ,求证P (B )≥P (A ).证∵B ?A∴P (B -A )=P (B ) - P (A )∵P (B -A )≥0∴P (B )≥P (A )18. 已知P (A )=a ,P (B )=b ,ab ≠0 (b >0.3a ),P (A -B )=0.7a ,求P (B +A ),P (B -A ),P (B +A ).解由于A -B 与AB 互不相容,且A =(A -B )+AB ,因此有P (AB )=P (A )-P (A -B )=0.3aP (A +B )=P (A )+P (B )-P (AB )=0.7a +bP (B -A )=P (B )-P (AB )=b -0.3a P(B +A )=1-P (AB )=1-0.3a19. 50个产品中有46个合格品与4个废品,从中⼀次抽取三个,计算取到废品的概率.解设事件A 表⽰“取到废品”,则A 表⽰没有取到废品,有利于事件A 的样本点数⽬为#A =346C ,因此P (A )=1-P (A )=1-3503461C C ΩA -=##=0.225520. 已知事件B ?A ,P (A )=ln b ≠ 0,P (B )=ln a ,求a 的取值范围.解因B ?A ,故P (B )≥P (A ),即ln a ≥ln b ,?a ≥b ,⼜因P (A )>0,P (B )≤1,可得b >1,a ≤e ,综上分析a 的取值范围是:1<b ≤a ≤e21. 设事件A 与B 的概率都⼤于0,⽐较概率P (A ),P (AB ),P (A +B ),P (A )+P (B )的⼤⼩(⽤不等号把它们连接起来).解由于对任何事件A ,B ,均有AB ?A ?A +B且P (A +B )=P (A )+P (B )-P (AB ),P (AB )≥0,因此有P (AB )≤P (A )≤P (A +B )≤P (A )+P (B )22. ⼀个教室中有100名学⽣,求其中⾄少有⼀⼈的⽣⽇是在元旦的概率(设⼀年以365天计算).解设事件A 表⽰“100名学⽣的⽣⽇都不在元旦”,则有利于A 的样本点数⽬为#A =364100,⽽样本空间中样本点总数为#Ω=365100,所求概率为1001003653641##1)(1)(-=Ω-=-=A A P A P = 0.239923. 从5副不同⼿套中任取4只⼿套,求其中⾄少有两只⼿套配成⼀副的概率.解设事件A 表⽰“取出的四只⼿套⾄少有两只配成⼀副”,则A 表⽰“四只⼿套中任何两只均不能配成⼀副”.21080##)(4101212121245===C C C C C C ΩA A P 62.0)(1)(=-=A P A P24. 某单位有92%的职⼯订阅报纸,93%的⼈订阅杂志,在不订阅报纸的⼈中仍有85%的职⼯订阅杂志,从单位中任找⼀名职⼯求下列事件的概率:(1)该职⼯⾄少订阅⼀种报纸或期刊;(2)该职⼯不订阅杂志,但是订阅报纸.解设事件A 表⽰“任找的⼀名职⼯订阅报纸”,B 表⽰“订阅杂志”,依题意P (A )=0.92,P (B )=0.93,P (B |A )=0.85P (A +B )=P (A )+P (A B )=P (A )+P (A )P (B |A )=0.92+0.08×0.85=0.988P (A B )=P (A +B )-P (B )=0.988-0.93=0.05825. 分析学⽣们的数学与外语两科考试成绩,抽查⼀名学⽣,记事件A 表⽰数学成绩优秀,B 表⽰外语成绩优秀,若P (A )=P (B )=0.4,P (AB )=0.28,求P(A |B ),P (B |A ),P (A +B ).解 P (A |B )=7.04.028.0)()(==B P AB P P (B |A)=7.0)()(=A P AB P P (A +B )=P (A )+P (B )-P (AB )=0.5226. 设A 、B 是两个随机事件. 0<P (A )<1,0<P (B )<1,P (A |B )+P (A |B )=1. 求证P (AB )=P (A )P (B ).证∵P ( A |B )+P (A |B )=1且P ( A |B )+P (A |B )=1∴P ( A |B )=P (A |B ))(1)()()()()()(B P AB P A P B P B A P B P AB P --== P (AB )[1-P (B )]=P ( B )[P ( A )-P ( AB )]整理可得P (AB )=P ( A ) P ( B )27. 设A 与B 独⽴,P ( A )=0.4,P ( A +B )=0.7,求概率P (B ).解 P ( A +B )=P (A )+P (A B )=P ( A )+P (A ) P ( B ) ? 0.7=0.4+0.6P ( B )P ( B )=0.528. 设事件A 与B 的概率都⼤于0,如果A 与B 独⽴,问它们是否互不相容,为什么?解因P ( A ),P ( B )均⼤于0,⼜因A 与B 独⽴,因此P ( AB )=P ( A ) P ( B )>0,故A 与B 不可能互不相容.29. 某种电⼦元件的寿命在1000⼩时以上的概率为0.8,求3个这种元件使⽤1000⼩时后,最多只坏了⼀个的概率.解设事件A i 表⽰“使⽤1000⼩时后第i 个元件没有坏”, i =1,2,3,显然A 1,A 2,A 3相互独⽴,事件A 表⽰“三个元件中最多只坏了⼀个”,则A =A 1A 2A 3+1A A 2A 3+A 12A A 3+A 1A 23A ,上⾯等式右边是四个两两互不相容事件的和,且P (A 1)=P (A 2)=P (A 3)=0.8P ( A )=[][])()(3)(12131A P A P A P +=0.83+3×0.82×0.2=0.89630. 加⼯某种零件,需经过三道⼯序,假定第⼀、⼆、三道⼯序的废品率分别为0.3,0.2,0.2,并且任何⼀道⼯序是否出现废品与其他各道⼯序⽆关,求零件的合格率.解设事件A 表⽰“任取⼀个零件为合格品”,依题意A 表⽰三道⼯序都合格.P (A )=(1-0.3)(1-0.2)(1-0.2)=0.44831. 某单位电话总机的占线率为0.4,其中某车间分机的占线率为0.3,假定⼆者独⽴,现在从外部打电话给该车间,求⼀次能打通的概率;第⼆次才能打通的概率以及第m 次才能打通的概率(m 为任何正整数). 解设事件A i 表⽰“第i 次能打通”,i =1,2,…,m ,则P (A 1)=(1-0.4)(1-0.3)=0.42P (A 2)=0.58 × 0.42=0.2436P (A m )=0.58m -1 × 0.4232. ⼀间宿舍中有4位同学的眼镜都放在书架上,去上课时,每⼈任取⼀副眼镜,求每个⼈都没有拿到⾃⼰眼镜的概率.解设A i 表⽰“第i ⼈拿到⾃⼰眼镜”,i =1,2,3,4. P ( A i )=41,设事件B 表⽰“每个⼈都没有拿到⾃⼰的眼镜”. 显然B 则表⽰“⾄少有⼀⼈拿到⾃⼰的眼镜”. 且B =A 1+A 2+A 3+A 4.P (B )=P (A 1+A 2+A 3+A 4)=∑∑∑-+-=≤≤≤≤4141414321)()()()(i j i k j i k j i i i i A A A A P A A A P A A P A p <<<P (A i A j )=P (A i )P (A j |A i ) =)41(1213141≤≤=?j i < P (A i A j A k )=P (A i )P (A j |A i )P (A k |A i A j ) =41×31×21=241(1≤i <j <k ≤4) P (A 1A 2A 3A 4) =P (A 1)P (A 2|A 1)P (A 3|A 1A 2)×P (A 4|A 1A 2A 3) =2411213141= 85241241121414)(3424=-?+?-?=C C B P 83)(1)(=-=B P B P 33. 在1,2,…,3000这3000个数中任取⼀个数,设A m =“该数可以被m 整除”,m =2,3,求概率P (A2A 3),P (A 2+A 3),P (A 2-A 3).解依题意P (A 2)=21,P (A 3)=31 P (A 2A 3)=P (A 6)=61 P (A 2+A 3)=P (A 2)+P (A 3)-P (A 2A 3) =32613121=-+ P (A 2-A 3)=P (A 2)-P (A 2A 3)=316121=- 34. 甲、⼄、丙三⼈进⾏投篮练习,每⼈⼀次,如果他们的命中率分别为0.8,0.7,0.6,计算下列事件的概率:(1)只有⼀⼈投中;(2)最多有⼀⼈投中;(3)最少有⼀⼈投中.解设事件A 、B 、C 分别表⽰“甲投中”、“⼄投中”、“丙投中”,显然A 、B 、C 相互独⽴.设A i 表⽰“三⼈中有i ⼈投中”,i =0,1,2,3,依题意,)()()() ()(0C P B P A P C B A P A P ===0.2×0.3×0.4×=0.024P ( A 3 )=P ( ABC )=P ( A ) P ( B ) P ( C )=0.8×0.7×0.6=0.336P (A 2)=P (AB C )+P (A B C )+P (A BC )=0.8×0.7×0.4+0.8×0.3×0.6+0.2×0.7×0.6=0.452(1) P (A 1)=1-P (A 0)-P (A 2)-P (A 3)=1-0.024-0.452-0.336=0.188(2) P (A 0+A 1)=P (A 0)+P (A 1)=0.024+0.188=0.212(3) P (A +B +C )=P (0A )=1-P (A 0)=0.97635. 甲、⼄⼆⼈轮流投篮,甲先开始,假定他们的命中率分别为0.4及0.5,问谁先投中的概率较⼤,为什么?解设事件A 2n -1B 2n 分别表⽰“甲在第2n -1次投中”与“⼄在第2n 次投中”,显然A 1,B 2,A 3,B 4,…相互独⽴.设事件A 表⽰“甲先投中”.+++=)()()()(543213211A B A B A P A B A P A P A P=+++0.40.5)(0.60.40.50.60.42743.014.0=-= 计算得知P (A )>0.5,P (A )<0.5,因此甲先投中的概率较⼤.36. 某⾼校新⽣中,北京考⽣占30%,京外其他各地考⽣占70%,已知在北京学⽣中,以英语为第⼀外语的占80%,⽽京外学⽣以英语为第⼀外语的占95%,今从全校新⽣中任选⼀名学⽣,求该⽣以英语为第⼀外语的概率.解设事件A 表⽰“任选⼀名学⽣为北京考⽣”,B 表⽰“任选⼀名学⽣,以英语为第⼀外语”. 依题意P (A )=0.3,P (A )=0.7,P (B |A)=0.8,P (B |A )=0.95. 由全概率公式有P (B )=P (A )P (B |A )+P (A )P (B |A )=0.3×0.8+0.7×0.95=0.90537. A 地为甲种疾病多发区,该地共有南、北、中三个⾏政⼩区,其⼈⼝⽐为9 : 7 : 4,据统计资料,甲种疾病在该地三个⼩区内的发病率依次为4‰,2‰,5‰,求A 地的甲种疾病的发病率.解设事件A 1,A 2,A 3分别表⽰从A 地任选⼀名居民其为南、北、中⾏政⼩区,易见A 1,A 2,A 3两两互不相容,其和为Ω.设事件B 表⽰“任选⼀名居民其患有甲种疾病”,依题意:P (A 1)=0.45,P (A 2)=0.35,P (A 3)=0.2,P (B |A 1)=0.004,P (B |A 2)=0.002,P (B |A 3)=0.005=∑=31)|()(i i i A B P A P= 0.45 × 0.004 + 0.35 × 0.002 + 0.2 × 0.005=0.003538. ⼀个机床有三分之⼀的时间加⼯零件A ,其余时间加⼯零件B ,加⼯零件A 时,停机的概率为0.3,加⼯零件B 时停机的概率为0.4,求这个机床停机的概率.解设事件A 表⽰“机床加⼯零件A ”,则A 表⽰“机床加⼯零件B ”,设事件B 表⽰“机床停⼯”.)|()()|()()(A B P A P A B P A P B P +=37.0324.0313.0=?+?= 39. 有编号为Ⅰ、Ⅱ、Ⅲ的3个⼝袋,其中Ⅰ号袋内装有两个1号球,1个2号球与1个3号球,Ⅱ号袋内装有两个1号球和1个3号球,Ⅲ号袋内装有3个1号球与两个2号球,现在先从Ⅰ号袋内随机地抽取⼀个球,放⼊与球上号数相同的⼝袋中,第⼆次从该⼝袋中任取⼀个球,计算第⼆次取到⼏号球的概率最⼤,为什么?解设事件A i 表⽰“第⼀次取到i 号球”,B i 表⽰第⼆次取到i 号球,i =1,2,3.依题意,A 1,A 2,A 3构成⼀个完全事件组.41)()(,21)(321===A P A P A P 41)|()|(,21)|(131211===A B P A B P A B P 41)|()|(,21)|(232221===A B P A B P A B P 61)|(,31)|(,21)|(333231===A B P A B P A B P 应⽤全概率公式∑==31)|()()(i i j i j A B P A P B P 可以依次计算出4811)(,4813)(,21)(321===B P B P B P . 因此第⼆次取到1号球的概率最⼤.40. 接37题,⽤⼀种检验⽅法,其效果是:对甲种疾病的漏查率为5%(即⼀个甲种疾病患者,经此检验法未查出的概率为5%);对⽆甲种疾病的⼈⽤此检验法误诊为甲种疾病患者的概率为1%,在⼀次健康普查中,某⼈经此检验法查为患有甲种疾病,计算该⼈确实患有此病的概率.解设事件A 表⽰“受检⼈患有甲种疾病”,B 表⽰“受检⼈被查有甲种疾病”,由37题计算可知P (A )=0.0035,应⽤贝叶斯公式)|()()|()()|()()|(A B P A P A B P A P A B P A P B A P += 01.09965.095.00035.095.00035.0=+ 25.0=41. 甲、⼄、丙三个机床加⼯⼀批同⼀种零件,其各机床加⼯的零件数量之⽐为5 : 3 : 2,各机床所加⼯的零件合格率,依次为94%,90%,95%,现在从加⼯好的整批零件中检查出⼀个废品,判断它不是甲机床加⼯的概率.解设事件A 1,A 2,A 3分别表⽰“受检零件为甲机床加⼯”,“⼄机床加⼯”,“丙机床加⼯”,B 表⽰“废品”,应⽤贝叶斯公式有∑==31111)|()()|()()|(i i i A B P A P A B P A P B A P 7305020+1030+06.05.006.05.0== (7)4)|(1)|(11=-=B A P B A P 42. 某⼈外出可以乘坐飞机、⽕车、轮船、汽车4种交通⼯具,其概率分别为5%,15%,30%,50%,乘坐这⼏种交通⼯具能如期到达的概率依次为100%,70%,60%与90%,已知该旅⾏者误期到达,求他是乘坐⽕车的概率.解设事件A 1,A 2,A 3,A 4分别表⽰外出⼈“乘坐飞机”,“乘坐⽕车”,“乘坐轮船”,“乘坐汽车”,B 表⽰“外出⼈如期到达”.∑==41222)|()()|()()|(i i i A B P A P A B P A P B A P 1.05.04.03.03.015.0005.03.015.0?+?+?+??==0.20943. 接39题,若第⼆次取到的是1号球,计算它恰好取⾃Ⅰ号袋的概率.解 39题计算知P (B 1)=21,应⽤贝叶斯公式 21212121)()|()()|(111111=?==B P A B P A P B A P 44. ⼀箱产品100件,其次品个数从0到2是等可能的,开箱检验时,从中随机地抽取10件,如果发现有次品,则认为该箱产品不合要求⽽拒收,若已知该箱产品已通过验收,求其中确实没有次品的概率. 解设事件A i 表⽰⼀箱中有i 件次品,i =0, 1, 2. B 表⽰“抽取的10件中⽆次品”,先计算P ( B )∑++?===20101001098101001099)1(31)|()()(i i i C C C C A B P A P B P 37.0)(31)|(0==B P B A P 45. 设⼀条昆⾍⽣产n 个卵的概率为λλ-=e !n p nn n =0, 1, 2, … 其中λ>0,⼜设⼀个⾍卵能孵化为昆⾍的概率等于p (0<p <1). 如果卵的孵化是相互独⽴的,问此⾍的下⼀代有k 条⾍的概率是多少?解设事件A n =“⼀个⾍产下⼏个卵”,n =0,1,2….B R =“该⾍下⼀代有k 条⾍”,k =0,1,….依题意λλ-==e !)(n p A P nn n ≤≤=-n k q p C n k A B P k n k k nn k 00)|(>其中q =1-p . 应⽤全概率公式有∑∑∞=∞===k n n k n n n k n k A B P A P A B P A P B P )|()()|()()(0∑∞=-λ--λ=l n k n k n q p k n k n n !)(!!e !∑∞=-λ--λλk n k n k k n q k p !)()(e !)( 由于q k n kn k n k n k n q k n q λ∞=--∞=-∑∑=-λ=-λe !)()(!)()(0,所以有,2,1,0e )(e e !)()(===--k k p k p B P p pq kk λλλλλ习题⼆1. 已知随机变量X 服从0-1分布,并且P {X ≤0}=0.2,求X 的概率分布.解 X 只取0与1两个值,P {X =0}=P {X ≤0}-P {X <0}=0.2,P {X =1}=1-P {X =0}=0.8.2. ⼀箱产品20件,其中有5件优质品,不放回地抽取,每次⼀件,共抽取两次,求取到的优质品件数X的概率分布.解 X 可以取0, 1, 2三个值. 由古典概型公式可知{})2,1,0(2202155===-m C C C m X P m m 依次计算得X 的概率分布如下表所⽰:3. 上题中若采⽤重复抽取,其他条件不变,设抽取的两件产品中,优质品为X 件,求随机变量X 的概率分布.解 X 的取值仍是0, 1, 2.每次抽取⼀件取到优质品的概率是1/4,取到⾮优质品的概率是3/4,且各次抽取结果互不影响,应⽤伯努利公式有{}1694302=??? ??==X P {}1664341112=??==C X P {}1614122=??? ??==X P 4. 第2题中若改为重复抽取,每次⼀件,直到取得优质品为⽌,求抽取次数X 的概率分布.解 X 可以取1, 2, …可列个值. 且事件{X = n }表⽰抽取n 次,前n -1次均未取到优质品且第n 次取到优质品,其概率为41431???? ??-n .因此X 的概率分布为{}?=??==-,2,143411n n X P n 5. 盒内有12个乒乓球,其中9个是新球,3个为旧球,采取不放回抽取,每次⼀个直到取得新球为⽌,求下列随机变量的概率分布.(1)抽取次数X ; (2)取到的旧球个数Y .解 (1)X 可以取1, 2, 3, 4各值.{}{}4491191232431=?====X P X P {}22091091121233=??==X P {}2201991011121234===X P (2) Y 可以取0, 1, 2, 3各值 .{}{}4310====X P Y P{}{}44921====X P Y P {}{}220932====X P Y P {}{}220143====X P Y P 6. 上题盒中球的组成不变,若⼀次取出3个,求取到的新球数⽬X 的概率分布.解 X 可以取0, 1, 2, 3各值.{}2201031233===C C X P {}2202713122319===C C C X P {}22010823121329===C C C X P {}22084331239===C C X P 7. 已知P {X =n }=p n ,n =1, 2, 3, …, 求p 的值.解根据{}∑=∞=11n n X P =, 有 ∑-==∞=111n n pp P 解上⾯关于p 的⽅程,得p =0.5.8. 已知P {X =n }=p n , n =2, 4, 6, …,求p 的值.解 1122642=-=?+++p p p p p 解⽅程,得p =2±/29. 已知P {X =n }=cn , n =1, 2, …, 100, 求c 的值.解 ∑=+?++==10015050)10021(1n cc cn =解得 c =1/5050 .10. 如果p n =cn _2,n =1, 2, …, 问它是否能成为⼀个离散型概率分布,为什么?解 ,1121∑=∑∞=∞=n n n n c p 由于级数∑∞=121n n 收敛, 若记∑∞=121n n =a ,只要取ac 1=, 则有∑∞=1n n p =1, 且p n >0. 所以它可以是⼀个离散型概率分布.11. 随机变量X 只取1, 2, 3共三个值,其取各个值的概率均⼤于零且不相等并⼜组成等差数列,求X 的概率分布. 解设P {X =2}=a ,P {X =1}=a -d , P {X =3}=a +d . 由概率函数的和为1,可知a =31, 但是a -d 与a +d 均需⼤于零,因此|d |<31, X 的概率分布为其中d 应满⾜条件:0<|d |<312. 已知{}λ-==e !m c λm X P m ,m =1, 2, …, 且λ>0, 求常数c .解 {}∑∑∞=-∞====11e !1m mm m c m X p λλ由于∑∑∞=∞==+=10e !1!m mm m m m λλλ, 所以有∑∞=---=-=-=11)e 1(e )1e (e !m m c c m c λλλλλ解得λ--=e 11c 13. 甲、⼄⼆⼈轮流投篮,甲先开始,直到有⼀⼈投中为⽌,假定甲、⼄⼆⼈投篮的命中率分别为0.4及0.5,求:(1)⼆⼈投篮总次数Z 的概率分布;(2)甲投篮次数X 的概率分布;(3)⼄投篮次数Y 的概率分布.解设事件A i 表⽰在第i 次投篮中甲投中,j 表⽰在第j 次投篮中⼄投中,i =1, 3, 5, …, j =2, 4, 6,…,且A 1, B 2, A 3, B 4,…相互独⽴.(1){}{}1222321112---=-=k k k A B A B A p k Z P = (0.6×0.5)1-k ·0.4= 0.4(0.3)1-k k=1, 2, …{})(2212223211k k k k B A B A B A p k Z P ---===0.5×0.6×(0.6×0.5)1-k =0.3kk=1, 2, …(2) {}{}12223211---==n n n A B A B A p n X P{}n n n n B A B A B A p 212223211---+)5.06.04.0()5.06.0(1?+?=-n,2,13.07.01=?=-n n (3) {}4.0)(01===A P Y P{}{}{}122121121211+--+==n n n n n A B A B A P B A B A P n Y P)4.05.05.0(6.0)5.06.0(1?+=-n,2,13.042.01=?=-n n 14. ⼀条公共汽车路线的两个站之间,有四个路⼝处设有信号灯,假定汽车经过每个路⼝时遇到绿灯可顺利通过,其概率为0.6,遇到红灯或黄灯则停⽌前进,其概率为0.4,求汽车开出站后,在第⼀次停车之前已通过的路⼝信号灯数⽬X 的概率分布(不计其他因素停车).解 X 可以取0, 1, 2, 3, 4 .P { X =0 } =0.4 P { X =1 }=0.6×0.4=0.24P { X =2 } =0.62×0.4=0.144P { X =3 } =0.63×0.4=0.0864P { X =4 } =0.64=0.1296 15. ∈=.,0],[,sin )(其他,b a x x x f 问f (x )是否为⼀个概率密度函数,为什么?如果 (1).π23 ,)3( ;π,0)2( ;2π,0======b a b a b a π解在[0, 2π]与[0, π]上,sin x ≥0,但是,1d sin π0≠?x x ,1d sin 2π0=?x x ⽽在??π23,π上,sin x ≤0.因此只有(1)中的a , b 可以使f (x )是⼀个概率密度函数.16. ≤=-.0,00e )(,22x x c x x f c x ,>其中c >0,问f (x )是否为密度函数,为什么?解易见对任何x ∈(-∞ , +∞) , f ( x ) ≥ 0,⼜1d e 202=?-∞+x c x c x f (x )是⼀个密度函数 .17. +=.0.2<<,2)(其他,a x a x x f 问f ( x )是否为密度函数,若是,确定a 的值;若不是,说明理由.解如果f ( x )是密度函数,则f ( x )≥0,因此a ≥0,但是,当a ≥0时,444|d 2222≥+==??++a x x a a a a由于x x f d )(?+∞∞-不是1,因此f ( x )不是密度函数.18. 设随机变量X ~f ( x )∞++=.,0,,)1(π2)(2其他<<x a x x f 确定常数a 的值,如果P { a < x < b } =0.5,求b 的值.解 )arctan 2π(2arctan π2d )1(π22a x x x a a -π==+??+∞+∞ 解⽅程π2??a arctan - 2π=1 得 a = 0{}b x x x f b x P b b arctan π2|arctan π2d )(000==?=<<解关于b 的⽅程:π2arctan b =0.5 得 b =1.19. 某种电⼦元件的寿命X 是随机变量,概率密度为≥=.100,0,100100)(2<x x x x f 3个这种元件串联在⼀个线路中,计算这3个元件使⽤了150⼩时后仍能使线路正常⼯作的概率. 解串联线路正常⼯作的充分必要条件是3个元件都能正常⼯作. ⽽三个元件的寿命是三个相互独⽴同分布的随机变量,因此若⽤事件A 表⽰“线路正常⼯作”,则3])150([)(>X P A P ={}32d 1001502150=?∞+x x X P => 278)(=A P 20. 设随机变量X ~f ( x ),f ( x )=A e -|x|,确定系数A ;计算P { |X | ≤1 }.解 A x A x A x x 2d e 2d e 10||=?=?=∞+-∞+∞--解得 A =21 {}??---==≤10||11d e d e 211||x x X P x x632.0e 11≈-=-21. 设随机变量Y 服从[0, 5]上的均匀分布,求关于x 的⼆次⽅程4x 2+4xY +Y +2=0有实数根的概率. 解 4x 2+4xY +Y +2=0.有实根的充分必要条件是△=b 2-4ac =16Y 2-16(Y +2)=16Y 2-16Y -32≥0设事件P (A )为所求概率.则{}{}{}120321616)(2-≤+≥=≥--=Y P Y P Y Y P A P=0.622. 设随机变量X ~ f ( x ),-=.,01||,1)(2其他,<x x cx f确定常数c ,计算.21||≤X P解π|arcsin d 1111211c x c x x c==-?=--c =π131arcsin 2d 1121||0212121 2=π=-π=≤?-x x x X P23. 设随机变量X 的分布函数F ( x )为≥=.1,1,10,0,0)(x x x A x x F <<,<确定系数A ,计算{}25.00≤≤X P ,求概率密度f ( x ).解连续型随机变量X 的分布函数是连续函数,F (1)= F (1-0),有A =1. =.,0,10,21)(其他<<x x x f{}5.0)0()25.0(25.00=-=≤≤F F X P24. 求第20题中X 的分布函数F ( x ) .解 {}t x X P x F t x d e 21)(||-∞-?=≤=当t ≤ 0时,x t x t x F e 21d e 21)(=?=∞-当t >0时,t t t x F tx t t x d e 21d e 21d e 21)(-00||?+?=?=-∞--∞-x x ---=-+=e 211)e 1(212125. 函数(1+x 2)-1可否为连续型随机变量的分布函数,为什么?解不能是分布函数,因F (-∞)= 1 ≠ 0.26. 随机变量X ~f ( x ),并且)1(π)(2x ax f +=,确定a 的值;求分布函数F ( x );计算{}1||<X P .解 a x a x x a ==?+=∞+∞-∞+∞-arctan πd )1(π12 因此a =1x x t t t x F ∞-∞-=?+=arctan π1d )1(π1)(2 x arctan π121+= {}?+=?+=-102112d )1(π12d )1(π11||x x x x X P < 21arctan π210==x 27. 随机变量X 的分布函数F ( x ) 为:≤-=.2,02,1)(2x x x A x F ,>确定常数A 的值,计算{}40≤≤X P .解由F ( 2+0 )=F ( 2 ),可得4,041==-A A {}{})0()4(4X 040F F P X P -=≤=≤≤<28. 随机变量X ~f ( x ),f ( x )=,ee x x A -+确定A 的值;求分布函数F ( x ) . 解 ?+=?+=∞∞-∞∞--x A x A x x x x d e 1e d e e 12 A A x 2πe a r c t a n ==∞∞- 因此 A =π2, xtx t t t x F ∞-∞--=+=?e arctan π2d )e e (π2)(x e arctan π2= 29. 随机变量X ~f ( x ),=.,00,π2)(2其他<<a x x x f确定a 的值并求分布函数F ( x ) .解 220222ππd π21a x x x a a ==?= 因此,a = π当0<x <π时,=x x t t x F 0222πd π2)( 其他≥≤=π1,π0,π0,0)(22x x xx x F <<30. 随机变量X 的分布函数为)0(0,e 22210,0)(22>>a x ax x a x x F ax ++-≤=-求X 的概率密度并计算a X P 10<<.解当x ≤ 0时,X 的概率密度f ( x ) =0;当x > 0时,f ( x ) =F′ ( x )≤=-.0,e 2,0,0)(23> x x a x x f ax(1010F a F a x P a x P -=≤=?<<<08.0e 2511≈-=-31. 随机变量X 服从参数为0.7的0-1分布,求X 2,X 2-2X 的概率分布.解 X 2仍服从0-1分布,且P { X 2=0 } =P { X =0 } =0.3,P {X 2=1}=P {X =1}=0.7X 2-2X 的取值为-1与0 , P {X 2-2X =0}=P { X =0 } =0.3P { X 2-2X =-1 } =1-P { X =0 } =0.732. 已知P { X =10n } =P { X =10-n }=,,2,1,31=n nY =l gX ,求Y 的概率分布.解 Y 的取值为±1, ±2 , …P { Y =n } =P { l gX =n } =P { X =10n } =31P { Y =-n } =P { l gX =-n } =P { x =10-n } =31n =1 , 2 , …33. X 服从[a , b ]上的均匀分布,Y =ax +b (a ≠0),求证Y 也服从均匀分布.证设Y 的概率密度为f Y ( y ) ,X 的概率密度为f X ( x ),只要a ≠ 0,y = ax + b 都是x 的单调函数. 当a >0时,Y 的取值为[a 2+b , ab +b ],a x y hb y a y h x y 1)(,)(1)(='='-==],,[,)(1])([)()(2b ab b a y a b a y h f y h y f X Y ++∈-='=当],[2b ab b a y ++∈时,f Y ( y ) =0.类似地,若a <0,则Y 的取值为[ ab +b , a 2+b ]+≤≤+--=.,0,,)(1)(2其他b a y b ab a b a y f Y因此,⽆论a >0还是a <0,ax +b 均服从均匀分布.34. 随机变量X 服从[0 ,2π]上的均匀分布Y =cos X , 求Y 的概率密度f Y ( y ). 解 y =cos x 在[0, 2π]上单调,在(0 , 1)上,h ( y ) = x =arccos y h′ ( y ) = 211y -- , f x ( x ) = π2 , 0 ≤ x ≤ 2π . 因此 -=.0,10,1π2)(2其他,<<y yy f Y35. 随机变量X 服从(0 , 1)上的均匀分布,Y =e x , Z =|ln X |,分别求随机变量Y 与Z 的概率密度f Y ( y ) 及f Z ( z ) .解 y = e x 在(0 , 1)内单调 , x =ln y 可导,且x′y = y1 , f X ( x ) =1 0 < x < 1 , 因此有.,0,e 1,1)(其他 <<y y y f Y在(0 , 1)内ln x < 0|ln x |=-ln x 单调,且x = e z -,x′z =-e z -,因此有∞+=-.,0,0e )(其他<<,z z f z z 36. 随机变量X ~f ( x ) ,≤=-0,00,e )(x x x f x > Y = X , Z = X 2 , 分别计算随机变量Y 与Z 的概率密度f y ( y ) 与f Z ( z ) .解当x > 0时,y =x 单调,其反函数为x = y 2 , x′y = 2y≤=-.0,0,0,e 2)(2y y y y f y Y >当x > 0时z =x 2也是单调函数,其反函数为x =z , x′ z =z 21 ≤=-.0,00e 21)(z ,z z z f z z > 37.随机变量X ~f ( x ),当x ≥ 0时,)1(2)(2x x f +=π, Y =arctan X , Z = X1,分别计算随机变量Y 与Z 的概率密度f Y ( y ) 与fz ( z ) . 解由于y = arctan x 是单调函数,其反函数x =tan y , x′ y =sec 2y 在?? -2π,0内恒不为零,因此,当0 < y <π2时,π2)tan 1(π2sec )(22=+=y yy f Y 即Y 服从区间(0 , 2π)上的均匀分布. z = x 1在x >0时也是x 的单调函数,其反函数x =z 1, x′ z =21z-. 因此当z >0时, )1(π2])1(1[π21)(222z zz z fz +=+-= ??≤+=0,00,)1(π2)(2z z z z f z >即Z = X1 与X 同分布. 38. ⼀个质点在半径为R ,圆⼼在原点的圆的上半圆周上随机游动. 求该质点横坐标X 的密度函数f X ( x ) . 解如图,设质点在圆周位置为M ,弧MA 的长记为L ,显然L 是⼀个连续型随机变量,L 服从[0,πR ]上的均匀分布.≤≤=.,0π0,π1)(其他,R l R l f L M 点的横坐标X 也是⼀个随机变量,它是弧长L 的函数,且 X = R cos θ= R cos RL 函数x = R cos l / R 是l 的单调函数 ( 0< l <πR ) ,其反函数为 l = R arccos Rx 22xR R l x --=' 当-R < x < R 时,L′x ≠ 0,此时有2222π1π1)(xR R x R R x f X -=?--= 当x ≤ -R 或x ≥ R 时,f X ( x ) =0 .39. 计算第2 , 3 , 5 , 6 , 11各题中的随机变量的期望.解根据第2题中所求出的X 概率分布,有2138223815138210=?+?+?=EX 亦可从X 服从超⼏何分布,直接计算2120521=?==N N n EX 在第3题中21161216611690=?+?+?=EX 亦可从X 服从⼆项分布(2,41),直接⽤期望公式计算: 21412=?==np EX 在第5题中图2-1(1) 3.122014220934492431=?+?+?+?=EX (2) 3.022013220924491430=?+?+?+?=EY 在第6题中,25.2220843220108222027122010=?+?+?+?=EX 在第11题中,??+++ -=d 313312d 311EX 31 |<d <|0 d 22+= 40. P { X = n } =nc , n =1, 2, 3, 4, 5, 确定C 的值并计算EX . 解 160137543251==++++=∑=c c c c c c n c n13760=C 137300551==∑?==C n c n EX n 41. 随机变量X 只取-1, 0, 1三个值,且相应概率的⽐为1 : 2 : 3,计算EX . 解设P { X =-1 } = a ,则P { X =0 } =2a , P { X =1 }=3a ( a >0 ) ,因a + 2a + 3a = 1 , 故a =1/631631620611=?+?+?-=EX 42. 随机变量X 服从参数为0.8的0-1分布,通过计算说明EX 2是否等于( EX )2 ? 解 EX =P { X =1 } =0.8,( EX )2 =0.64EX 2=1×0.8=0.8>( EX )243. 随机变量X ~f ( x ) ,f ( x ) =0.5e - | x |,计算EX n ,n 为正整数. 解当n 为奇数时,)(x f x n 是奇函数,且积分x x x n d e 0-∞?收敛,因此0d e 5.0||=?=-∞+∞-x x EX x n n 当n 为偶数时,x x x x EX x n x n n d e 5.02d e 5.00||-∞+-∞+∞-?=?=!)1(d e 0n n x x x n =+Γ=?=-∞+44. 随机变量X ~f ( x ) ,-≤≤=.,0,21,2,10,)(<<x x x x x f计算EX n (n 为正整数) .解 x x x x x x x f x EX n n n n d )2(d d )(21101?-+?=?=+∞+∞-1)2(21)12(122121-+--+++=++n n n n n )2()1(222++-=+n n n 45. 随机变量X ~f ( x ) ,≤≤=.,0,10,)(其他x cx x f b b ,c 均⼤于0,问EX 可否等于1,为什么?其他其他。
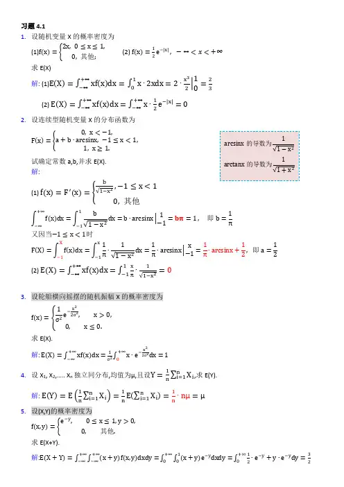
习题4.11.设10个零件中有3个不合格. 现任取一个使用,若取到不合格品,则丢弃重新抽取一个,试求取到合格品之前取出的不合格品数X 的数学期望.解 可得X 的概率分布为0123~77711030120120X ⎡⎤⎢⎥⎢⎥⎣⎦于是X 的数学期望为7771()012310301201204531208E X =⨯+⨯+⨯+⨯==2..某人有n 把外形相似的钥匙,其中只有1把能打开房门,但他不知道是哪一把,只好逐把试开.求此人直至将门打开所需的试开次数X 的数学期望.解 可得X 的概率分布为12~111n X nn n ⎡⎤⎢⎥⎢⎥⎣⎦于是X 的数学期望为111()121(1)122E X n n n nn n n n =⨯+⨯++⨯++==3.设5次重复独立试验中每次试验的成功率为0.9,若记失败次数为X ,求X 的数学期望。
解 由题意~(5,0.1)X B ,则X 的数学期望为 ()50.10.E X =⨯= 4.设某地每年因交通事故死亡的人数服从泊松分布.据统计,在一年中因交通事故死亡一人的概率是死亡两人的概率的21,求该地每年因交通事故死亡的平均人数。
解 设该地每年因交通事故死亡的人数为X ,由题意X 服从泊松分布() (0)P λλ>.因1{1}{2}2P X P X === 即121 41!22!ee λλλλλ--=⇒= 于是X 的数学期望为()4E X λ== 所以地每年因交通事故死亡的平均人数为4人。
5.设随机变量X 在区间(1,7)上服从均匀分布,求2{()}P X E X <. 解 因X 在区间(1,7)上服从均匀分布,故X 的数学期望为17()42E X +== 于是22{()}{4}1 {22}6P X E X P X P X <=<=<-<<=6.设连续型随机变量X 的概率密度为01() (,0)0 b ax x p x a b ⎧<<=>⎨⎩其它又知()0.75E X =,求,a b 的值解 由密度函数的性质可得()1p x dx +∞-∞=⎰即1111b aax dx b =⇒=+⎰又由()0.75E X =,可得1()0.75b xp x dx x ax dx +∞-∞=⋅=⎰⎰即0.752ab =+ 求解110.752ab a b ⎧=⎪⎪+⎨⎪=⎪+⎩可得 3,2a b ==.7.设随机变量X 的概率密度为0<1()2 120 x x p x x x <⎧⎪=-≤<⎨⎪⎩其它求数学期望()E X解1201331221()() (2) ()133E X xp x dxx xdx x x dx x x x +∞-∞==⋅+⋅-=+-=⎰⎰⎰8.设随机变量X 的概率分布为X -2 -1 0 1 P 0.2 0.3 0.1 0.4 求 (1)(21)E X -;(2)2()E X .解 (1) (21)2()1E X E X -=- 其中()20.210.3010.40.3E X =-⨯-⨯++⨯=-则(21)2()12(0.3)1 1.6E X E X -=-=⨯--=-(2)22222()0.2(2)0.3(1)0.100.41 1.5E X =⨯-+⨯-+⨯+⨯=9.假设一部机器在一天内发生故障的概率为0.2,机器发生故障时全天停止工作。
概率论与数理统计复旦大学此答案非常详细非常全,可供大家在平时作业或考试前使用,预祝大家考试成功习题一1.略.见教材习题参考答案.2.设A,B,C为三个事件,试用A,B,C的运算关系式表示下列事件:(1)A发生,B,C都不发生;(2)A与B发生,C不发生;(3)A,B,C都发生;(4)A,B,C至少有一个发生;(5)A,B,C都不发生;(6)A,B,C不都发生;(7)A,B,C至多有2个发生;(8)A,B,C至少有2个发生.【解】(1)A BC(2)AB C(3)ABC(4)A∪B∪C=AB C∪A B C∪A BC∪A BC∪A B C∪AB C∪ABC=ABC(5) ABC=A B C(6) ABC(7) A BC∪A B C∪AB C∪AB C∪A BC∪A B C∪ABC=ABC=A∪B∪C(8) AB∪BC∪CA=AB C∪A B C∪A BC∪ABC3.略.见教材习题参考答案4.设A,B为随机事件,且P(A)=0.7,P(A-B)=0.3,求P(AB).【解】P(AB)=1-P(AB)=1-[P(A)-P(A-B)]=1-[0.7-0.3]=0.65.设A,B是两事件,且P(A)=0.6,P(B)=0.7,求:(1)在什么条件下P(AB)取到最大值?(2)在什么条件下P(AB)取到最小值?【解】(1) 当AB =A 时,P (AB )取到最大值为0.6.(2) 当A ∪B =Ω时,P (AB )取到最小值为0.3.6.设A ,B ,C 为三事件,且P (A )=P (B )=1/4,P (C )=1/3且P (AB )=P (BC )=0,P (AC )=1/12,求A ,B ,C 至少有一事件发生的概率.【解】 P (A ∪B ∪C )=P (A )+P (B )+P (C )-P (AB )-P (BC )-P (AC )+P (ABC ) =14+14+13-112=347.从52张扑克牌中任意取出13张,问有5张黑桃,3张红心,3张方块,2张梅花的概率是多少?【解】 p =5332131313131352C C C C /C8.对一个五人学习小组考虑生日问题:(1) 求五个人的生日都在星期日的概率; (2) 求五个人的生日都不在星期日的概率;(3) 求五个人的生日不都在星期日的概率.【解】(1) 设A 1={五个人的生日都在星期日},基本事件总数为75,有利事件仅1个,故 P (A 1)=517=(17)5 (亦可用独立性求解,下同) (2) 设A 2={五个人生日都不在星期日},有利事件数为65,故P (A 2)=5567=(67)5 (3) 设A 3={五个人的生日不都在星期日}P (A 3)=1-P (A 1)=1-(17)5 9.略.见教材习题参考答案.10.一批产品共N 件,其中M 件正品.从中随机地取出n 件(n <N ).试求其中恰有m 件(m ≤M )正品(记为A )的概率.如果:(1) n 件是同时取出的;(2) n 件是无放回逐件取出的;(3) n 件是有放回逐件取出的.【解】(1) P (A )=C C /C mn m n M N M N --(2) 由于是无放回逐件取出,可用排列法计算.样本点总数有P n N 种,n 次抽取中有m次为正品的组合数为C mn 种.对于固定的一种正品与次品的抽取次序,从M 件正品中取m 件的排列数有P m M 种,从N -M 件次品中取n -m 件的排列数为P n m N M --种,故P (A )=C P P P mm n m n M N M n N-- 由于无放回逐渐抽取也可以看成一次取出,故上述概率也可写成P (A )=C C C m n m M N M n N-- 可以看出,用第二种方法简便得多.(3) 由于是有放回的抽取,每次都有N 种取法,故所有可能的取法总数为N n 种,n次抽取中有m 次为正品的组合数为C m n 种,对于固定的一种正、次品的抽取次序,m 次取得正品,都有M 种取法,共有M m 种取法,n -m 次取得次品,每次都有N -M 种取法,共有(N -M )n -m 种取法,故()C ()/m m n m n nP A M N M N -=- 此题也可用贝努里概型,共做了n 重贝努里试验,每次取得正品的概率为M N,则取得m 件正品的概率为 ()C 1m n m mn M M P A N N -⎛⎫⎛⎫=- ⎪ ⎪⎝⎭⎝⎭11.略.见教材习题参考答案.12. 50只铆钉随机地取来用在10个部件上,其中有3个铆钉强度太弱.每个部件用3只铆钉.若将3只强度太弱的铆钉都装在一个部件上,则这个部件强度就太弱.求发生一个部件强度太弱的概率是多少?【解】设A ={发生一个部件强度太弱}133103501()C C /C 1960P A == 【解】 设A i ={甲进i 球},i =0,1,2,3,B i ={乙进i 球},i =0,1,2,3,则33312123330()(0.3)(0.4)C 0.7(0.3)C 0.6(0.4)i i i P A B ==+⨯⨯+22223333C (0.7)0.3C (0.6)0.4+(0.7)(0.6)⨯=0.3207617.从5双不同的鞋子中任取4只,求这4只鞋子中至少有两只鞋子配成一双的概率.【解】 4111152222410C C C C C 131C 21p =-= 18.某地某天下雪的概率为0.3,下雨的概率为0.5,既下雪又下雨的概率为0.1,求:(1) 在下雨条件下下雪的概率;(2) 这天下雨或下雪的概率.【解】 设A ={下雨},B ={下雪}.(1) ()0.1()0.2()0.5P AB p B A P A === (2) ()()()()0.30.50.10.7p A B P A P B P AB =+-=+-=19.已知一个家庭有3个小孩,且其中一个为女孩,求至少有一个男孩的概率(小孩为男为女是等可能的).【解】 设A ={其中一个为女孩},B ={至少有一个男孩},样本点总数为23=8,故 ()6/86()()7/87P AB P B A P A === 或在缩减样本空间中求,此时样本点总数为7. 6()7P B A =20.已知5%的男人和0.25%的女人是色盲,现随机地挑选一人,此人恰为色盲,问此人是男人的概率(假设男人和女人各占人数的一半).【解】 设A ={此人是男人},B ={此人是色盲},则由贝叶斯公式()()()()()()()()()P A P B A P AB P A B P B P A P B A P A P B A ==+ 0.50.05200.50.050.50.002521⨯==⨯+⨯ 21.两人约定上午9∶00~10∶00在公园会面,求一人要等另一人半小时以上的概率.题21图 题22图【解】设两人到达时刻为x,y ,则0≤x ,y ≤60.事件“一人要等另一人半小时以上”等价于|x -y |>30.如图阴影部分所示.22301604P == 22.从(0,1)中随机地取两个数,求:(1) 两个数之和小于65的概率; (2) 两个数之积小于14的概率. 【解】 设两数为x ,y ,则0<x ,y <1.(1) x +y <65. 11441725510.68125p =-== (2) xy =<14. 1111244111d d ln 242x p x y ⎛⎫=-=+ ⎪⎝⎭⎰⎰ 23.设P (A )=0.3,P (B )=0.4,P (A B )=0.5,求P (B |A ∪B )【解】 ()()()()()()()()P AB P A P AB P B A B P A B P A P B P AB -==+- 0.70.510.70.60.54-==+- 24.在一个盒中装有15个乒乓球,其中有9个新球,在第一次比赛中任意取出3个球,比赛后放回原盒中;第二次比赛同样任意取出3个球,求第二次取出的3个球均为新球的概率.【解】 设A i ={第一次取出的3个球中有i 个新球},i =0,1,2,3.B ={第二次取出的3球均为新球}由全概率公式,有30()()()i i i P B P B A P A ==∑33123213336996896796333333331515151515151515C C C C C C C C C C C C C C C C C C =•+•+•+•0.089=25. 按以往概率论考试结果分析,努力学习的学生有90%的可能考试及格,不努力学习的学生有90%的可能考试不及格.据调查,学生中有80%的人是努力学习的,试问:(1)考试及格的学生有多大可能是不努力学习的人?(2)考试不及格的学生有多大可能是努力学习的人?【解】设A ={被调查学生是努力学习的},则A ={被调查学生是不努力学习的}.由题意知P(A )=0.8,P (A )=0.2,又设B ={被调查学生考试及格}.由题意知P (B |A )=0.9,P (B |A )=0.9,故由贝叶斯公式知(1)()()()()()()()()()P A P B A P AB P A B P B P A P B A P A P B A ==+0.20.110.027020.80.90.20.137⨯===⨯+⨯ 即考试及格的学生中不努力学习的学生仅占2.702% (2) ()()()()()()()()()P A P B A P AB P A B P B P A P B A P A P B A ==+ 0.80.140.30770.80.10.20.913⨯===⨯+⨯ 即考试不及格的学生中努力学习的学生占30.77%.26. 将两信息分别编码为A 和B 传递出来,接收站收到时,A 被误收作B 的概率为0.02,而B 被误收作A 的概率为0.01.信息A 与B 传递的频繁程度为2∶1.若接收站收到的信息是A ,试问原发信息是A 的概率是多少?【解】 设A ={原发信息是A },则={原发信息是B }C ={收到信息是A },则={收到信息是B }由贝叶斯公式,得()()()()()()()P A P C A P A C P A P C A P A P C A =+ 2/30.980.994922/30.981/30.01⨯==⨯+⨯ 27.在已有两个球的箱子中再放一白球,然后任意取出一球,若发现这球为白球,试求箱子中原有一白球的概率(箱中原有什么球是等可能的颜色只有黑、白两种)【解】设A i ={箱中原有i 个白球}(i =0,1,2),由题设条件知P (A i )=13,i =0,1,2.又设B ={抽出一球为白球}.由贝叶斯公式知 111120()()()()()()()i i i P B A P A P A B P A B P B P B A P A ===∑ 2/31/311/31/32/31/311/33⨯==⨯+⨯+⨯ 28.某工厂生产的产品中96%是合格品,检查产品时,一个合格品被误认为是次品的概率为0.02,一个次品被误认为是合格品的概率为0.05,求在被检查后认为是合格品产品确是合格品的概率.【解】 设A ={产品确为合格品},B ={产品被认为是合格品}由贝叶斯公式得()()()()()()()()()P A P B A P AB P A B P B P A P B A P A P B A ==+ 0.960.980.9980.960.980.040.05⨯==⨯+⨯ 29.某保险公司把被保险人分为三类:“谨慎的”,“一般的”,“冒失的”.统计资料表明,上述三种人在一年内发生事故的概率依次为0.05,0.15和0.30;如果“谨慎的”被保险人占20%,“一般的”占50%,“冒失的”占30%,现知某被保险人在一年内出了事故,则他是“谨慎的”的概率是多少?【解】 设A ={该客户是“谨慎的”},B ={该客户是“一般的”},C ={该客户是“冒失的”},D ={该客户在一年内出了事故}则由贝叶斯公式得 ()()(|)(|)()()(|)()(|)()(|)P AD P A P D A P A D P D P A P D A P B P D B P C P D C ==++ 0.20.050.0570.20.050.50.150.30.3⨯==⨯+⨯+⨯ 30.加工某一零件需要经过四道工序,设第一、二、三、四道工序的次品率分别为0.02,0.03,0.05,0.03,假定各道工序是相互独立的,求加工出来的零件的次品率.【解】设A i ={第i 道工序出次品}(i =1,2,3,4).412341()1()i i P A P A A A A ==- 12341()()()()P A P A P A P A =-10.980.970.950.970.124=-⨯⨯⨯=31.设每次射击的命中率为0.2,问至少必须进行多少次独立射击才能使至少击中一次的概率不小于0.9?【解】设必须进行n 次独立射击.1(0.8)0.9n -≥即为 (0.8)0.1n ≤故 n ≥11至少必须进行11次独立射击.32.证明:若P (A |B )=P (A |B ),则A ,B 相互独立.【证】 (|)(|)P A B P A B =即()()()()P AB P AB P B P B = 亦即 ()()()()P AB P B P AB P B =()[1()][()()]()P AB P B P A P AB P B -=-因此 ()()()P AB P A P B =故A 与B 相互独立.33.三人独立地破译一个密码,他们能破译的概率分别为15,13,14,求将此密码破译出的概率.【解】 设A i ={第i 人能破译}(i =1,2,3),则 31231231()1()1()()()i i P A P A A A P A P A P A ==-=-42310.6534=-⨯⨯= 34.甲、乙、丙三人独立地向同一飞机射击,设击中的概率分别是0.4,0.5,0.7,若只有一人击中,则飞机被击落的概率为0.2;若有两人击中,则飞机被击落的概率为0.6;若三人都击中,则飞机一定被击落,求:飞机被击落的概率.【解】设A ={飞机被击落},B i ={恰有i 人击中飞机},i =0,1,2,3由全概率公式,得30()(|)()i i i P A P A B P B ==∑=(0.4×0.5×0.3+0.6×0.5×0.3+0.6×0.5×0.7)0.2+(0.4×0.5×0.3+0.4×0.5×0.7+0.6×0.5×0.7)0.6+0.4×0.5×0.7=0.45835.已知某种疾病患者的痊愈率为25%,为试验一种新药是否有效,把它给10个病人服用,且规定若10个病人中至少有四人治好则认为这种药有效,反之则认为无效,求:(1) 虽然新药有效,且把治愈率提高到35%,但通过试验被否定的概率.(2) 新药完全无效,但通过试验被认为有效的概率.【解】(1) 3101100C(0.35)(0.65)0.5138k k k k p -===∑ (2) 10102104C(0.25)(0.75)0.2241kk k k p -===∑36.一架升降机开始时有6位乘客,并等可能地停于十层楼的每一层.试求下列事件的概率:(1) A =“某指定的一层有两位乘客离开”;(2) B =“没有两位及两位以上的乘客在同一层离开”;(3) C =“恰有两位乘客在同一层离开”;(4) D =“至少有两位乘客在同一层离开”.【解】 由于每位乘客均可在10层楼中的任一层离开,故所有可能结果为106种.(1) 2466C 9()10P A =,也可由6重贝努里模型: 224619()C ()()1010P A = (2) 6个人在十层中任意六层离开,故6106P ()10P B = (3) 由于没有规定在哪一层离开,故可在十层中的任一层离开,有110C 种可能结果,再从六人中选二人在该层离开,有26C 种离开方式.其余4人中不能再有两人同时离开的情况,因此可包含以下三种离开方式:①4人中有3个人在同一层离开,另一人在其余8层中任一层离开,共有131948C C C 种可能结果;②4人同时离开,有19C 种可能结果;③4个人都不在同一层离开,有49P 种可能结果,故1213114610694899()C C (C C C C P )/10P C =++ (4) D=B .故 6106P ()1()110P D P B =-=- 37. n 个朋友随机地围绕圆桌而坐,求下列事件的概率:(1) 甲、乙两人坐在一起,且乙坐在甲的左边的概率;(2) 甲、乙、丙三人坐在一起的概率;(3) 如果n 个人并排坐在长桌的一边,求上述事件的概率.【解】 (1) 111p n =- (2) 23!(3)!,3(1)!n p n n -=>- (3) 12(1)!13!(2)!;,3!!n n p p n n n n --''===≥ 38.将线段[0,a ]任意折成三折,试求这三折线段能构成三角形的概率【解】 设这三段长分别为x ,y ,a -x -y .则基本事件集为由0<x <a ,0<y <a ,0<a -x -y <a 所构成的图形,有利事件集为由()()x y a x y x a x y y y a x y x+>--⎡⎢+-->⎢⎢+-->⎣ 构成的图形,即02022a x a y a x y a ⎡<<⎢⎢⎢<<⎢⎢⎢<+<⎢⎣ 如图阴影部分所示,故所求概率为14p =. 39. 某人有n 把钥匙,其中只有一把能开他的门.他逐个将它们去试开(抽样是无放回的).证明试开k 次(k =1,2,…,n )才能把门打开的概率与k 无关.【证】 11P 1,1,2,,P k n k n p k n n --===40.把一个表面涂有颜色的立方体等分为一千个小立方体,在这些小立方体中,随机地取出一个,试求它有i 面涂有颜色的概率P (A i )(i =0,1,2,3).【解】 设A i ={小立方体有i 面涂有颜色},i =0,1,2,3.在1千个小立方体中,只有位于原立方体的角上的小立方体是三面有色的,这样的小立方体共有8个.只有位于原立方体的棱上(除去八个角外)的小立方体是两面涂色的,这样的小立方体共有12×8=96个.同理,原立方体的六个面上(除去棱)的小立方体是一面涂色的,共有8×8×6=384个.其余1000-(8+96+384)=512个内部的小立方体是无色的,故所求概率为01512384()0.512,()0.38410001000P A P A ====, 24968()0.096,()0.00810001000P A P A ====. 41.对任意的随机事件A ,B ,C ,试证P (AB )+P (AC )-P (BC )≤P (A ).【证】 ()[()]()P A P A B C P AB AC ≥=()()()P AB P AC P ABC =+-()()()P AB P AC P BC ≥+-42.将3个球随机地放入4个杯子中去,求杯中球的最大个数分别为1,2,3的概率.【解】 设i A ={杯中球的最大个数为i },i =1,2,3.将3个球随机放入4个杯子中,全部可能放法有43种,杯中球的最大个数为1时,每个杯中最多放一球,故3413C 3!3()48P A == 而杯中球的最大个数为3,即三个球全放入一个杯中,故1433C 1()416P A == 因此 213319()1()()181616P A P A P A =--=--= 或 12143323C C C 9()416P A == 43.将一枚均匀硬币掷2n 次,求出现正面次数多于反面次数的概率.【解】掷2n 次硬币,可能出现:A ={正面次数多于反面次数},B ={正面次数少于反面次数},C ={正面次数等于反面次数},A ,B ,C 两两互斥.可用对称性来解决.由于硬币是均匀的,故P (A )=P (B ).所以1()()2P C P A -= 由2n 重贝努里试验中正面出现n 次的概率为211()()()22n n n n P C C =故 2211()[1C ]22n n n P A =- 44.掷n 次均匀硬币,求出现正面次数多于反面次数的概率.【解】设A ={出现正面次数多于反面次数},B ={出现反面次数多于正面次数},由对称性知P (A )=P (B )(1) 当n 为奇数时,正、反面次数不会相等.由P (A )+P (B )=1得P (A )=P (B )=0.5(2) 当n 为偶数时,由上题知211()[1C ()]22nn n P A =-45.设甲掷均匀硬币n +1次,乙掷n 次,求甲掷出正面次数多于乙掷出正面次数的概率.【解】 令甲正=甲掷出的正面次数,甲反=甲掷出的反面次数.乙正=乙掷出的正面次数,乙反=乙掷出的反面次数. 显然有>正正(甲乙)=(甲正≤乙正)=(n +1-甲反≤n -乙反) =(甲反≥1+乙反)=(甲反>乙反)由对称性知P (甲正>乙正)=P (甲反>乙反) 因此P (甲正>乙正)=1246.证明“确定的原则”(Sure -thing ):若P (A |C )≥P (B |C ),P (A |C )≥P (B |C ),则P (A )≥P (B ).【证】由P (A |C )≥P (B |C ),得()(),()()P AC P BC P C P C ≥即有 ()()P AC P BC ≥ 同理由 (|)(|),P A C P B C ≥ 得 ()(),P AC P BC ≥故 ()()()()()()P A P AC P AC P BC P BC P B =+≥+= 47.一列火车共有n 节车厢,有k (k ≥n )个旅客上火车并随意地选择车厢.求每一节车厢内至少有一个旅客的概率.【解】 设A i ={第i 节车厢是空的},(i =1,…,n ),则121(1)1()(1)2()(1)1()(1)n k ki kki j ki i i n P A n nP A A n n P A A A n--==-=--=-其中i 1,i 2,…,i n -1是1,2,…,n 中的任n -1个. 显然n 节车厢全空的概率是零,于是2112111122111111123111()(1)C (1)2()C (1)1()C (1)0()(1)n n nk ki ni ki j n i j nn kn i i i n i i i nn nn i ni S P A n n n S P A A n n S P A A A nS P A S S S S --=≤<≤--≤<<≤+===-=-==--==-==-+-+-∑∑∑121121C (1)C (1)(1)C (1)kkn n kn n n n nnn--=---++--故所求概率为121121()1C (1)C (1)nk i i n ni P A n n=-=--+--+111(1)C (1)n n kn n n+----48.设随机试验中,某一事件A 出现的概率为ε>0.试证明:不论ε>0如何小,只要不断地独立地重复做此试验,则A 迟早会出现的概率为1. 【证】在前n 次试验中,A 至少出现一次的概率为1(1)1()n n ε--→→∞49.袋中装有m 只正品硬币,n 只次品硬币(次品硬币的两面均印有国徽).在袋中任取一只,将它投掷r 次,已知每次都得到国徽.试问这只硬币是正品的概率是多少? 【解】设A ={投掷硬币r 次都得到国徽}B ={这只硬币为正品} 由题知 (),()m nP B P B m n m n==++ 1(|),(|)12r P A B P A B ==则由贝叶斯公式知()()(|)(|)()()(|)()(|)P AB P B P A B P B A P A P B P A B P B P A B ==+121212rrrm m m n m nm n m n m n+==++++ 50.巴拿赫(Banach )火柴盒问题:某数学家有甲、乙两盒火柴,每盒有N 根火柴,每次用火柴时他在两盒中任取一盒并从中任取一根.试求他首次发现一盒空时另一盒恰有r 根的概率是多少?第一次用完一盒火柴时(不是发现空)而另一盒恰有r 根的概率又有多少? 【解】以B 1、B 2记火柴取自不同两盒的事件,则有121()()2P B P B ==.(1)发现一盒已空,另一盒恰剩r 根,说明已取了2n -r 次,设n 次取自B 1盒(已空),n -r 次取自B 2盒,第2n -r +1次拿起B 1,发现已空。
第四章 大数定律与中心极限定理习题4.11. 如果X X Pn →,且Y X Pn →.试证:P {X = Y } = 1.证:因 | X − Y | = | −(X n − X ) + (X n − Y )| ≤ | X n − X | + | X n − Y |,对任意的ε > 0,有⎭⎬⎫⎩⎨⎧≥−+⎭⎬⎫⎩⎨⎧≥−≤≥−≤2||2||}|{|0εεεY X P X X P Y X P n n ,又因X X Pn →,且Y X Pn →,有02||lim =⎭⎬⎫⎩⎨⎧≥−+∞→εX X P n n ,02||lim =⎭⎫⎩⎨⎧≥−+∞→εY X P n n ,则P {| X − Y | ≥ ε} = 0,取k 1=ε,有01||=⎭⎬⎫⎩⎨⎧≥−k Y X P ,即11||=⎭⎬⎫⎩⎨⎧<−k Y X P , 故11||lim1||}{1=⎭⎬⎫⎩⎨⎧<−=⎭⎬⎫⎩⎨⎧⎭⎬⎫⎩⎨⎧<−==+∞→+∞=k Y X P k Y X P Y X P k k I . 2. 如果X X Pn →,Y Y Pn →.试证:(1)Y X Y X Pn n +→+; (2)XY Y X Pn n →.证:(1)因 | (X n + Y n ) − (X + Y ) | = | (X n − X ) + (Y n − Y )| ≤ | X n − X | + | Y n − Y |,对任意的ε > 0,有⎭⎫⎩⎨⎧≥−+⎭⎬⎫⎩⎨⎧≥−≤≥+−+≤2||2||}|)()({|0εεεY Y P X X P Y X Y X P n n n n ,又因X X P n →,Y Y P n →,有02||lim =⎭⎫⎩⎨⎧≥−+∞→εX X P n n ,02||lim =⎭⎬⎫⎩⎨⎧≥−+∞→εY Y P n n ,故0}|)()({|lim =≥+−++∞→εY X Y X P n n n ,即Y X Y X Pn n +→+;(2)因 | X n Y n − XY | = | (X n − X )Y n + X (Y n − Y ) | ≤ | X n − X | ⋅ | Y n | + | X | ⋅ | Y n − Y |,对任意的ε > 0,有⎭⎬⎫⎩⎨⎧≥−⋅+⎭⎬⎫⎩⎨⎧≥⋅−≤≥−≤2||||2||||}|{|0εεεY Y X P Y X X P XY Y X P n n n n n ,对任意的h > 0,存在M 1 > 0,使得4}|{|1h M X P <≥,存在M 2 > 0,使得8}|{|2hM Y P <≥, 存在N 1 > 0,当n > N 1时,8}1|{|h Y Y P n <≥−, 因| Y n | = | (Y n − Y ) + Y | ≤ | Y n − Y | + | Y |,有4}|{|}1|{|}1|{|22h M Y Y Y P M Y P n n <≥+≥−≤+≥, 存在N 2 > 0,当n > N 2时,4)1(2||2h M X X P n <⎭⎬⎫⎩⎨⎧+≥−ε,当n > max{N 1, N 2}时,有244}1|{|)1(2||2||||22h h h M Y P M X X P Y X X P n n n n =+<+≥+⎭⎬⎫⎩⎨⎧+≥−≤⎭⎬⎫⎩⎨⎧≥⋅−εε,存在N 3 > 0,当n > N 3时,42||1hM Y Y P n <⎭⎬⎫⎩⎨⎧≥−ε,有244}|{|2||2||||11h h h M X P M Y Y P X Y Y P n n =+<≥+⎭⎬⎫⎩⎨⎧≥−≤⎭⎬⎫⎩⎨⎧≥⋅−εε,则对任意的h > 0,当n > max{N 1, N 2, N 3} 时,有h h h Y Y X P Y X X P XY Y X P n n n n n =+<⎭⎬⎫⎩⎨⎧≥−⋅+⎭⎬⎫⎩⎨⎧≥⋅−≤≥−≤222||||2||||}|{|0εεε,故0}|{|lim =≥−+∞→εXY Y X P n n n ,即XY Y X Pn n →.3. 如果X X Pn →,g (x )是直线上的连续函数,试证:)()(X g X g Pn →. 证:对任意的h > 0,存在M > 0,使得4}|{|h M X P <≥, 存在N 1 > 0,当n > N 1时,4}1|{|h X X P n <≥−, 因| X n | = | (X n − X ) + X | ≤ | X n − X | + | X |,则244}|{|}1|{|}1|{|h h h M X P X X P M X P n n =+<≥+≥−≤+≥, 因g (x ) 是直线上的连续函数,有g (x ) 在闭区间 [− (M + 1), M + 1] 上连续,必一致连续, 对任意的ε > 0,存在δ > 0,当 | x − y | < δ 时,有 | g (x ) − g ( y ) | < ε ,存在N 2 > 0,当n > N 2时,4}|{|hX X P n <≥−δ,则对任意的h > 0,当n > max{N 1, N 2} 时,有{}}|{|}1|{|}|{|}|)()({|0M X M X X X P X g X g P n n n ≥+≥≥−≤≥−≤U U δεh hh h M X P M X P X X P n n =++<≥++≥+≥−≤424}|{|}1|{|}|{|δ, 故0}|)()({|lim =≥−+∞→εX g X g P n n ,即)()(X g X g Pn →.4. 如果a X P n →,则对任意常数c ,有ca cX Pn →. 证:当c = 0时,有c X n = 0,ca = 0,显然ca cX Pn →;当c ≠ 0时,对任意的ε > 0,有0||||lim =⎭⎬⎫⎩⎨⎧≥−+∞→c a X P n n ε, 故0}|{|lim =≥−+∞→εca cX P n n ,即ca cX Pn →.5. 试证:X X P n →的充要条件为:n → +∞ 时,有0||1||→⎟⎟⎠⎞⎜⎜⎝⎛−+−XX X X E n n .证:以连续随机变量为例进行证明,设X n − X 的密度函数为p ( y ),必要性:设X X Pn →,对任意的ε > 0,都有0}|{|lim =≥−+∞→εX X P n n ,对012>+εε,存在N > 0,当n > N 时,εεε+<≥−1}|{|2X X P n , 则∫∫∫≥<∞+∞−+++=+=⎟⎟⎠⎞⎜⎜⎝⎛−+−εε||||)(||1||)(||1||)(||1||||1||y y n n dy y p y y dy y p y y dy y p y y XX X X E εεεεεεεεεεεεε=+++<≥−+<−+=++≤∫∫≥<11}|{|}|{|1)()(12||||X X P X X P dy y p dy y p n n y y ,故n → +∞ 时,有0||1||→⎟⎟⎠⎞⎜⎜⎝⎛−+−XX X X E n n ; 充分性:设n → +∞ 时,有0||1||→⎟⎟⎠⎞⎜⎜⎝⎛−+−XX X X E n n , 因∫∫∫≥≥≥++≤++==≥−εεεεεεεεεε||||||)(||1||1)(11)(}|{|y y y n dy y p y y dy y p dy y p X X P ⎟⎟⎠⎞⎜⎜⎝⎛−+−+=++≤∫∞+∞−||1||1)(||1||1X X X X E dy y p y y n n εεεε, 故0}|{|lim =≥−+∞→εX X P n n ,即X X Pn →.6. 设D (x )为退化分布:⎩⎨⎧≥<=.0,1;0,0)(x x x D试问下列分布函数列的极限函数是否仍是分布函数?(其中n = 1, 2, ….)(1){D (x + n )}; (2){D (x + 1/n )}; (3){D (x − 1/n )}.解:(1)对任意实数x ,当n > −x 时,有x + n > 0,D (x + n ) = 1,即1)(lim =++∞→n x D n ,则 {D (x + n )} 的极限函数是常量函数f (x ) = 1,有f (−∞) = 1 ≠ 0,故 {D (x + n )} 的极限函数不是分布函数; (2)若x ≥ 0,有01>+n x ,11=⎟⎠⎞⎜⎝⎛+n x D ,即11lim =⎟⎠⎞⎜⎝⎛++∞→n x D n ,若x < 0,当x n 1−>时,有01<+n x ,01=⎟⎠⎞⎜⎝⎛+n x D ,即01lim =⎟⎠⎞⎜⎝⎛++∞→n x D n ,则⎩⎨⎧≥<=⎟⎠⎞⎜⎝⎛++∞→.0,1;0,01lim x x n x D n 这是在0点处单点分布的分布函数,满足分布函数的基本性质,故⎭⎬⎫⎩⎨⎧⎟⎠⎞⎜⎝⎛+n x D 1的极限函数是分布函数;(3)若x ≤ 0,有01<−n x ,01=⎟⎠⎞⎜⎝⎛−n x D ,即01lim =⎟⎠⎞⎜⎝⎛−+∞→n x D n ,若x > 0,当x n 1>时,有01>−n x ,11=⎟⎠⎞⎜⎝⎛−n x D ,即11lim =⎟⎠⎞⎜⎝⎛−+∞→n x D n ,则⎩⎨⎧>≤=⎟⎠⎞⎜⎝⎛−+∞→.0,1;0,01lim x x n x D n 在x = 0处不是右连续,故⎭⎬⎫⎩⎨⎧⎟⎠⎞⎜⎝⎛−n x D 1的极限函数不是分布函数.7. 设分布函数列 {F n (x )} 弱收敛于连续的分布函数F (x ),试证:{F n (x )} 在 (−∞, +∞) 上一致收敛于分布函数F (x ). 证:因F (x ) 为连续的分布函数,有F (−∞) = 0,F (+∞) = 1,对任意的ε > 0,取正整数ε2>k ,则存在分点x 1 < x 2 < … < x k −1,使得1,,2,1,)(−==k i kix F i L ,并取x 0 = −∞,x k = +∞, 可得k k i k x F x F i i ,1,,2,1,21)()(1−=<=−−L ε, 因 {F n (x )} 弱收敛于F (x ),且F (x ) 连续,有 {F n (x )} 在每一点处都收敛于F (x ),则存在N > 0,当n > N 时,1,,2,1,2|)()(|−=<−k i x F x F i i n L ε,且显然有20|)()(|00ε<=−x F x F n ,20|)()(|ε<=−k k n x F x F ,对任意实数x ,必存在j ,1 ≤ j ≤ k ,有x j −1 ≤ x < x j ,因2)()()()(2)(11εε+<≤≤<−−−j j n n j n j x F x F x F x F x F ,则εεεε−=−−>−−>−−222)()()()(1x F x F x F x F j n ,且εεεε=+<+−<−222)()()()(x F x F x F x F j n ,即对任意的ε > 0和任意实数x ,总存在N > 0,当n > N 时,都有 | F n (x ) − F (x ) | < ε , 故 {F n (x )} 在 (−∞, +∞) 上一致收敛于分布函数F (x ).8. 如果X X Ln →,且数列a n → a ,b n → b .试证:b aX b X a Ln n n +→+. 证:设y 0是F aX + b ( y ) 的任一连续点,则对任意的ε > 0,存在h > 0,当 | y − y 0 | < h 时,4|)()(|0ε<−++y F y F b aX b aX ,又设y 是满足 | y − y 0 | < h 的F aX + b ( y ) 的任一连续点,因⎟⎠⎞⎜⎝⎛−=⎭⎬⎫⎩⎨⎧−≤=≤+=+a b y F a b y X P y b aX P y F X b aX }{)(,有a b y x −=是F X (x )的连续点,且X X L n→, 有)()(lim x F x F X X n n =+∞→,存在N 1,当n > N 1时,4|)()(|ε<−x F x F X X n ,即4|)()(|ε<−++y F y F b aX b aX n ,则当n > N 1且 | y − y 0 | < h 时,2|)()(||)()(||)()(|00ε<−+−≤−++++++y F y F y F y F y F y F b aX b aX b aX b aX b aX b aX n n , 因X 的分布函数F X (x ) 满足F X (−∞) = 0,F X (+∞) = 1,F X (x ) 单调不减且几乎处处连续, 存在M ,使得F X (x ) 在x = ± M 处连续,且41)(ε−>M F X ,4)(ε<−M F X ,因X X Ln →,有41)()(lim ε−>=+∞→M F M F X X n n ,4)()(lim ε<−=−+∞→M F M F X X n n ,则存在N 2,当n > N 2时,41)(ε−>M F n X ,4)(ε<−M F n X ,可得2)(1)(}|{|ε<−+−=>M F M F M X P n n X X n ,因数列a n → a ,b n → b ,存在N 3,当n > N 3时,M h a a n 4||<−,4||h b b n <−, 可得当n > max{N 2, N 3}时,⎭⎫⎩⎨⎧>−+−=⎭⎬⎫⎩⎨⎧>+−+2|)()(|2|)()(|h b b X a a P h b aX b X a P n n n n n n n2}|{|24||42||||||ε<>=⎭⎬⎫⎩⎨⎧>+⋅≤⎭⎬⎫⎩⎨⎧>−+⋅−≤M X P h h X M hP h b b X a a P nn n n n , 则⎭⎬⎫⎩⎨⎧⎭⎬⎫⎩⎨⎧>+−+⎭⎬⎫⎩⎨⎧+≤+≤≤+=+2|)()(|2}{)(000h b aX b X a h y b aX P y b X a P y F n n n n n n n n b X a n n n U222|)()(|200ε+⎟⎠⎞⎜⎝⎛+<⎭⎬⎫⎩⎨⎧>+−++⎭⎬⎫⎩⎨⎧+≤+≤+h y F h b aX b X a P h y b aX P b aX n n n n n n , 且⎭⎬⎫⎩⎨⎧⎭⎬⎫⎩⎨⎧>+−+≤+≤⎭⎬⎫⎩⎨⎧−≤+=⎟⎠⎞⎜⎝⎛−+2|)()(|}{22000h b aX b X a y b X a P h y b aX P h y F n n n n n n n n b aX n U2)(2|)()(|}{00ε+<⎭⎬⎫⎩⎨⎧>+−++≤+≤+y F h b aX b X a P y b X a P n n n b X a n n n n n n n , 即22)(22000εε+⎟⎠⎞⎜⎝⎛+<<−⎟⎠⎞⎜⎝⎛−+++h y F y F h y F b aX b X a b aX n n n n n ,因当n > N 1且 | y − y 0 | < h 时,2)()(2)(00εε+<<−+++y F y F y F b aX b aX b aX n ,在区间⎟⎠⎞⎜⎝⎛++h y h y 00,2取F aX + b ( y ) 的任一连续点y 1,满足 | y 1 − y 0 | < h ,当n > max{N 1, N 2, N 3}时,εεε+<+≤+⎟⎠⎞⎜⎝⎛+<++++)(2)(22)(0100y F y F h y F y F b aX b aX b aX b X a n n n n n ,在区间⎟⎠⎞⎜⎝⎛−−2,00h y h y 取F aX + b ( y ) 的任一连续点y 2,满足 | y 2 − y 0 | < h ,当n > max{N 1, N 2, N 3}时,εεε−>−≥−⎟⎠⎞⎜⎝⎛−>++++)(2)(22)(0200y F y F h y F y F b aX b aX b aX b X a n n n n n ,即对于F aX + b ( y ) 的任一连续点y 0,当n > max{N 1, N 2, N 3}时,ε<−++|)()(|00y F y F b aX b X a n n n , 故)()(y F y F b aX Wb X a n n n ++→,b aX b X a Ln n n +→+. 9. 如果X X Ln →,a Y Pn →,试证:a X Y X Ln n +→+. 证:设y 0是F X + a ( y ) 的任一连续点,则对任意的ε > 0,存在h > 0,当 | y − y 0 | < h 时,4|)()(|0ε<−++y F y F a X a X ,又设y 是满足 | y − y 0 | < h 的F X + a ( y )的任一连续点,因F X + a ( y ) = P {X + a ≤ y } = P {X ≤ y − a } = F X ( y − a ),有x = y − a 是F X (x )的连续点,且X X Ln →, 有)()(lim x F x F X X n n =+∞→,存在N 1,当n > N 1时,4|)()(|ε<−x F x F X X n ,即4|)()(|ε<−++y F y F a X a X n , 则当n > N 1且 | y − y 0 | < h 时,2|)()(||)()(||)()(|00ε<−+−≤−++++++y F y F y F y F y F y F a X a X a X a X a X a X n n ,因a Y Pn →,有02||lim =⎭⎫⎩⎨⎧>−+∞→h a Y P n n ,存在N 2,当n > N 2时,22||ε<⎭⎬⎫⎩⎨⎧>−h a Y P n , 则⎭⎬⎫⎩⎨⎧⎭⎫⎩⎨⎧>−⎭⎬⎫⎩⎨⎧+≤+≤≤+=+2||2}{)(000h a Y h y a X P y Y X P y F n n n n Y X n n U222||200ε+⎟⎠⎞⎜⎝⎛+<⎭⎬⎫⎩⎨⎧>−+⎭⎬⎫⎩⎨⎧+≤+≤+h y F h a Y P h y a X P a X n n n , 且⎭⎬⎫⎩⎨⎧⎭⎫⎩⎨⎧>−≤+≤⎭⎬⎫⎩⎨⎧−≤+=⎟⎠⎞⎜⎝⎛−+2||}{22000h a Y y Y X P h y a X P h y F n n n n a X n U2)(2||}{00ε+<⎭⎬⎫⎩⎨⎧>−+≤+≤+y F h a Y P y Y X P n n Y X n n n , 即22)(22000εε+⎟⎠⎞⎜⎝⎛+<<−⎟⎠⎞⎜⎝⎛−+++h y F y F h y F a X Y X a X n n n n ,因当n > N 1且 | y − y 0 | < h 时,2)()(2)(00εε+<<−+++y F y F y F a X a X a X n ,在区间⎟⎠⎞⎜⎝⎛++h y h y 00,2取F X + a ( y ) 的任一连续点y 1,满足 | y 1 − y 0 | < h ,当n > max{N 1, N 2}时,εεε+<+≤+⎟⎠⎞⎜⎝⎛+<++++)(2)(22)(0100y F y F h y F y F a X a X a X Y X n n n n ,在区间⎟⎠⎞⎜⎝⎛−−2,00h y h y 取F X + a ( y ) 的任一连续点y 2,满足 | y 2 − y 0 | < h ,当n > max{N 1, N 2}时,εεε−>−≥−⎟⎠⎞⎜⎝⎛−>++++)(2)(22)(0200y F y F h y F y F a X a X a X Y X n n n n ,即对于F X + a ( y ) 的任一连续点y 0,当n > max{N 1, N 2}时,ε<−++|)()(|00y F y F a X Y X n n , 故)()(y F y F a X WY X n n ++→,a X Y X Ln n +→+. 10.如果X X Ln →,0Pn Y →,试证:0Pn n Y X →.证:因X 的分布函数F X (x ) 满足F X (−∞) = 0,F X (+∞) = 1,F X (x ) 单调不减且几乎处处连续,则对任意的h > 0,存在M ,使得F X (x ) 在x = ± M 处连续,且41)(h M F X −>,4)(hM F X <−, 因X X L n →,有41)()(lim h M F M F X X n n −>=+∞→,4)()(lim h M F M F X X n n <−=−+∞→,则存在N 1,当n > N 1时,41)(h M F n X −>,4)(hM F n X <−,可得2)(1)(}|{|hM F M F M X P n n X X n <−+−=>,因0Pn Y →,对任意的ε > 0,有0||lim =⎭⎬⎫⎩⎨⎧>+∞→M Y P n n ε,存在N 2,当n > N 2时,2||h M Y P n <⎭⎬⎫⎩⎨⎧>ε, 则当n > max{N 1, N 2}时,有h M Y P M X P M Y M X P Y X P n n n n n n <⎭⎬⎫⎩⎨⎧>+>≤⎭⎬⎫⎩⎨⎧⎭⎬⎫⎩⎨⎧>>≤>εεε||}|{|||}|{|}|{|U ,故0}|{|lim =>+∞→εn n n Y X P ,即0Pn n Y X →.11.如果X X Ln →,a Y Pn →,且Y n ≠ 0,常数a ≠ 0,试证:aXY X L n n →. 证:设y 0是F X / a ( y ) 的任一连续点,则对任意的ε > 0,存在h > 0,当 | y − y 0 | < h 时,4|)()(|0//ε<−y F y F a X a X ,又设y 是满足 | y − y 0 | < h 的F X / a ( y ) 的任一连续点,因)(}{)(/ay F ay X P y a X P y F X a X =≤=⎭⎬⎫⎩⎨⎧≤=,有x = ay 是F X (x )的连续点,且X X Ln →,有)()(lim x F x F X X n n =+∞→,存在N 1,当n > N 1时,4|)()(|ε<−x F x F X X n ,即4|)()(|//ε<−y F y F a X a X n ,则当n > N 1且 | y − y 0 | < h 时,2|)()(||)()(||)()(|0////0//ε<−+−≤−y F y F y F y F y F y F a X a X a X a X a X a X n n ,因X 的分布函数F X (x )满足F X (−∞) = 0,F X (+∞) = 1,F X (x )单调不减且几乎处处连续,存在M ,使得F X (x ) 在x = ± M 处连续,且121)(ε−>M F X ,12)(ε<−M F X ,因X X Ln →,有121)()(lim ε−>=+∞→M F M F X X n n ,12)()(lim ε<−=−+∞→M F M F X X n n ,则存在N 2,当n > N 2时,121)(ε−>M F n X ,12)(ε<−M F n X ,可得6)(1)(}|{|ε<−+−=>M F M F M X P n n X X n ,因0≠→a Y Pn ,有02||lim =⎭⎬⎫⎩⎨⎧>−+∞→h a Y P n n ,存在N 3 > 0,当n > N 3时,62||||ε<⎭⎬⎫⎩⎨⎧>−a a Y P n ,有62||||ε<⎭⎬⎫⎩⎨⎧<a Y P n ,且64||2ε<⎭⎬⎫⎩⎨⎧>−M h a a Y P n , 可得当n > max{N 1, N 2, N 3}时,⎭⎬⎫⎩⎨⎧>⋅−⋅=⎪⎭⎪⎬⎫⎪⎩⎪⎨⎧>−=⎪⎭⎪⎬⎫⎪⎩⎪⎨⎧>−2||||||||2)(2h Y a a Y X P h aY Y a X P h a X Y X P n n n n n n n n n ⎪⎭⎪⎬⎫⎪⎩⎪⎨⎧⎭⎬⎫⎩⎨⎧<⎭⎬⎫⎩⎨⎧>−>≤2||||4||}|{|2a Y M h a a Y M X P n n n U U22||||4||}|{|2ε<⎭⎬⎫⎩⎨⎧<+⎭⎬⎫⎩⎨⎧>−+>≤a Y P M h a a Y P M X P n n n ,则⎪⎭⎪⎬⎫⎪⎩⎪⎨⎧⎪⎭⎪⎫⎪⎩⎪⎨⎧>−⎭⎬⎫⎩⎨⎧+≤≤⎭⎬⎫⎩⎨⎧≤=22)(000/h a X Y X h y a XP y Y X P y F n n n n n n Y X n n U22220/0ε+⎟⎠⎞⎜⎝⎛+<⎪⎭⎪⎬⎫⎪⎩⎪⎨⎧>−+⎭⎬⎫⎩⎨⎧+≤≤h y F h a X Y X P h y a X P a X n n n n n ,且⎪⎭⎪⎬⎫⎪⎩⎪⎨⎧⎪⎭⎪⎬⎫⎪⎩⎪⎨⎧>−⎭⎬⎫⎩⎨⎧≤≤⎭⎬⎫⎩⎨⎧−≤=⎟⎠⎞⎜⎝⎛−222000/h a X Y X y Y X P h y a X P h y F n n n nn n a X n U2)(20/0ε+<⎪⎭⎪⎬⎫⎪⎩⎪⎨⎧>−+⎭⎬⎫⎩⎨⎧≤≤y F h a X Y X P y Y X P n n Y X n n n n n ,即22)(220/0/0/εε+⎟⎠⎞⎜⎝⎛+<<−⎟⎠⎞⎜⎝⎛−h y F y F h y F a X Y X a X n n n n ,因当n > N 1且 | y − y 0 | < h 时,2)()(2)(0//0/εε+<<−y F y F y F a X a X a X n ,在区间⎟⎠⎞⎜⎝⎛++h y h y 00,2取F X / a ( y ) 的任一连续点y 1,满足 | y 1 − y 0 | < h ,当n > max{N 1, N 2, N 3}时,εεε+<+≤+⎟⎠⎞⎜⎝⎛+<)(2)(22)(0/1/0/0/y F y F h y F y F a X a X a X Y X n n n n ,在区间⎟⎠⎞⎜⎝⎛−−2,00h y h y 取F X / a ( y ) 的任一连续点y 2,满足 | y 2 − y 0 | < h ,当n > max{N 1, N 2, N 3}时,εεε−>−≥−⎟⎠⎞⎜⎝⎛−>)(2)(22)(0/2/0/0/y F y F h y F y F a X a X a X Y X n n n n ,即对于F X / a ( y ) 的任一连续点y 0,当n > max{N 1, N 2, N 3}时,ε<−|)()(|0/0/y F y F a X Y X n n ,故)()(//y F y F a X WY X n n →,aX Y X L n n →. 12.设随机变量X n 服从柯西分布,其密度函数为+∞<<∞−+=x x n nx p n ,)1π()(22.试证:0Pn X →.证:对任意的ε > 0,)arctan(π2)arctan(π1)1π(}|{|22εεεεεεn nx dx x n n X P n ==+=<−−∫, 则12ππ2)arctan(lim π2}|0{|lim =⋅==<−+∞→+∞→εεn X P n n n , 故0Pn X →.13.设随机变量序列{X n }独立同分布,其密度函数为⎪⎩⎪⎨⎧<<=.,0;0,1)(其他ββx x p其中常数β > 0,令Y n = max{X 1, X 2, …, X n },试证:βPn Y →.证:对任意的ε > 0,P {| Y n − β | < ε} = P {β − ε < Y n < β + ε} = P {max{X 1, X 2, …, X n } > β − ε}= 1 − P {max{X 1, X 2, …, X n } ≤ β − ε} = 1 − P {X 1 ≤ β − ε} P {X 2 ≤ β − ε} … P {X n ≤ β − ε}n⎟⎟⎠⎞⎜⎜⎝⎛−−=βεβ1, 则11lim }|{|lim =⎥⎥⎦⎤⎢⎢⎣⎡⎟⎟⎠⎞⎜⎜⎝⎛−−=<−+∞→+∞→nn n n Y P βεβεβ, 故βPn Y →.14.设随机变量序列{X n }独立同分布,其密度函数为⎩⎨⎧<≥=−−.,0;,e )()(a x a x x p a x 其中Y n = min{X 1, X 2, …, X n },试证:a Y Pn →.证:对任意的ε > 0,P {| Y n − a | < ε} = P {a − ε < Y n < a + ε} = P {min{X 1, X 2, …, X n } < a + ε}= 1 − P {min{X 1, X 2, …, X n } ≥ a + ε} = 1 − P {X 1 ≥ a + ε} P {X 2 ≥ a + ε} … P {X n ≥ a + ε}εεεn na a x n a a x dx −∞++−−∞++−−−=⎟⎠⎞⎜⎝⎛−−=⎟⎠⎞⎜⎝⎛−=∫e 1e 1e 1)()(, 则1)e 1(lim }|{|lim =−=<−−+∞→+∞→εεn n n n a Y P ,故a Y Pn →.15.设随机变量序列{X n }独立同分布,且X i ~ U(0, 1).令nni i n X Y 11⎟⎟⎠⎞⎜⎜⎝⎛=∏=,试证明:c Y P n →,其中c 为常数,并求出c .证:设∑∏===⎟⎟⎠⎞⎜⎜⎝⎛==n i i n i i n n X n X n Y Z 11ln 1ln 1ln ,因X i ~ U (0, 1), 则1)ln (ln )(ln 101−=−==∫x x x xdx X E i ,2)2ln 2ln (ln )(ln 12122=+−==∫x x x x x xdx X E i ,1)](ln [)(ln )Var(ln 22=−=i i i X E X E X , 可得1)(ln 1)(1−==∑=n i i n X E n Z E ,n X nZ ni in 1)Var(ln 1)Var(12==∑=,由切比雪夫不等式,可得对任意的ε > 0,221)Var(}|)({|εεεn Z Z E Z P n n n =≤≥−,则01lim }|)({|lim 02=≤≥−≤+∞→+∞→εεn Z E Z P n n n n ,即0}|)({|lim =≥−+∞→εn n n Z E Z P ,1)(−=→n P n Z E Z ,因n Z n Y e =,且函数e x 是直线上的连续函数,根据本节第3题的结论,可得1e e −→=PZ n n Y , 故c Y Pn →,其中1e −=c 为常数.16.设分布函数列{F n (x )}弱收敛于分布函数F (x ),且F n (x ) 和F (x ) 都是连续、严格单调函数,又设 ξ 服从(0, 1)上的均匀分布,试证:)()(11ξξ−−→F F Pn. 证:因F (x ) 为连续的分布函数,有F (−∞) = 0,F (+∞) = 1,则对任意的h > 0,存在M > 0,使得21)(h M F −>,2)(h M F <−, 因F (x ) 是连续、严格单调函数,有F −1( y ) 也是连续、严格单调函数, 可得F −1( y ) 在区间 [F (− M − 1), F (M + 1)] 上一致连续, 对任意的ε > 0,存在δ > 0,当y , y * ∈ [F (− M − 1), F (M + 1)] 且 | y − y * | < δ 时,| F −1( y ) − F −1( y *) | < ε, 设y * 是 [F (−M ), F (M )] 中任一点,记x * = F −1( y *),有x * ∈ [−M , M ],不妨设0 < ε < 1, 则对任意的x 若满足 ε≥−|*|x x ,就有 δ≥−|*)(|y x F ,根据本节第7题的结论知,{F n (x )} 在 (−∞, +∞) 上一致收敛于分布函数F (x ), 则对δ > 0和任意实数x ,总存在N > 0,当n > N 时,都有 | F n (x ) − F (x ) | < δ, 因当n > N 时,δ<−|)()(|x F x F n 且δ≥−|*(|y x F ,有*)(y x F n ≠,即*)(1y F x n −≠, 则对任意的0 < ε < 1,当n > N 时,*)(1y F n −满足ε<−=−−−−|*)(*)(||**)(|111y F y F x y F n n , 可得对任意的0 < ε < 1,当n > N 时,h M F M F P F F P n −>−∈≥<−−−1)]}(),([{}|)()({|11ξεξξ由h 的任意性可知1}|)()({|lim 11=<−−−+∞→εξξF F P n n ,故)()(11ξξ−−→F F Pn.17.设随机变量序列{X n }独立同分布,数学期望、方差均存在,且E (X n ) = µ,试证:µP n k k X k n n →⋅+∑=1)1(2.证:令∑=⋅+=nk k n X k n n Y 1)1(2,并设Var (X n ) = σ 2, 因µµµ=+⋅+=+=∑=)1(21)1(2)1(2)(1n n n n k n n Y E nk n , 且222212222)1(324)12)(1(61)1(4)1(4)Var(σσσ++=++⋅+=+=∑=n n n n n n n n k n n Y nk n , 则由切比雪夫不等式可得,对任意的ε > 0,222)1(3241)Var(1}|{|1σεεεµ++−=−≥<−≥n n n Y Y P n n , 因1)1(3241lim 22=⎥⎦⎤⎢⎣⎡++−+∞→σεn n n n ,由夹逼准则可得1}|{|lim =<−+∞→εµn n Y P , 故µP n k kn X k n n Y →⋅+=∑=1)1(2. 18.设随机变量序列{X n }独立同分布,数学期望、方差均存在,且E (X n ) = 0,Var (X n ) = σ 2.试证:E (X n ) = 0,Var (X n ) = σ 2.试证:2121σP n k k X n →∑=. 注:此题与第19题应放在习题4.3中,需用到4.3节介绍的辛钦大数定律.证:因随机变量序列}{2n X 独立同分布,且222)]([)Var()(σ=+=n n n X E X X E 存在,故}{2nX 满足辛钦大数定律条件,}{2nX 服从大数定律,即2121σP n k k X n →∑=.19.设随机变量序列{X n }独立同分布,且Var (X n ) = σ 2存在,令∑==n i i X n X 11,∑=−=n i i n X X n S 122)(1.试证:22σPnS →.证:2122112122122121)2(1)(1X X n X n X X X n X X X X n X X n S n i i ni i n i i n i i i n i i n−=⎟⎟⎠⎞⎜⎜⎝⎛+−=+−=−=∑∑∑∑∑=====,设E(X n ) = µ,{X n }满足辛钦大数定律条件,{X n }服从大数定律,即µP nk k X n X →=∑=11,则根据本节第2题第(2)小问的结论知,22µPX →,因随机变量序列}{2n X 独立同分布,且2222)]([)Var()(µσ+=+=n n n X E X X E 存在,则}{2nX 满足辛钦大数定律条件,}{2nX 服从大数定律,即22121µσ+→∑=P n k k X n ,故根据本节第2题第(1)小问的结论知,22222122)(1σµµσ=−+→−=∑=P n i i nX X n S .20.将n 个编号为1至n 的球放入n 个编号为1至n 的盒子中,每个盒子只能放一个球,记⎩⎨⎧=.,0;,1反之的盒子的球放入编号为编号为i i X i 且∑==ni i n X S 1,试证明:0)(Pn n n S E S →−. 证:因n X P i 1}1{==,nX P i 11}0{−==,且i ≠ j 时,)1(1}1{−==n n X X P j i ,)1(11}0{−−==n n X X P j i , 则n X E i 1)(=,⎟⎠⎞⎜⎝⎛−=n n X i 111)Var(, 且i ≠ j 时,)1(1)(−=n n X X E j i ,)1(11)1(1)()()(),Cov(22−=−−=−=n n n n n X E X E X X E X X j i j i j i , 有1)()(1==∑=ni i n X E S E ,1)1(1)1(11),Cov(2)Var()Var(211=−⋅−+−=+=∑∑≤<≤=n n n n n X X X S nj i j i ni i n , 可得0)]()([1)(=−=⎥⎦⎤⎢⎣⎡−n n n n S E S E n n S E S E ,221)Var(1)(Var n S n n S E S n n n ==⎥⎦⎤⎢⎣⎡−, 由切比雪夫不等式,可得对任意的ε > 0,2221)(Var 1)()(εεεn n S E S n S E S E n S E S P n n n n n n =⎥⎦⎤⎢⎣⎡−≤⎭⎬⎫⎩⎨⎧≥⎥⎦⎤⎢⎣⎡−−−, 则01lim )()(lim 022=≤⎭⎬⎫⎩⎨⎧≥⎥⎦⎤⎢⎣⎡−−−≤+∞→+∞→εεn n S E S E n S E S P n n n n n n , 故0)(Pn n nS E S →−.习题4.21. 设离散随机变量X 的分布列如下,试求X 的特征函数.1.02.03.04.03210PX解:特征函数ϕ (t ) = e it ⋅ 0 × 0.4 + e it ⋅ 1 × 0.3 + e it ⋅ 2 × 0.2 + e it ⋅ 3 × 0.1 = 0.4 + 0.3 e it + 0.2 e 2it + 0.1 e 3it .2. 设离散随机变量X 服从几何分布P {X = k } = (1 − p ) k − 1 p , k = 1, 2, … .试求X 的特征函数.并以此求E (X ) 和Var (X ). 解:特征函数ititk k ititk k itk p p p p p p t e)1(1e )]1([ee)1(e )(1111−−=−=−⋅=∑∑+∞=−+∞=−ϕ; 因22]e )1(1[e ]e )1(1[]e )1([e ]e )1(1[e )(it it it it it it it p ip p i p p p i p t −−=−−⋅−−⋅−−−⋅⋅=′ϕ,有)()0(2X iE pip ip ===′ϕ,故pX E 1)(=; 因332]e )1(1[]e )1(1[e ]e )1([]e )1(1[e 2]e )1(1[e )(it it it itit itit itp p p i p p ip p i ip t −−−+−=⋅−−⋅−−−−−⋅⋅=′′−−ϕ, 有)(2)2()0(2223X E i pp p p p =−−=−−=′′ϕ,可得222)(p p X E −=, 故222112)Var(p pp p p X −=⎟⎟⎠⎞⎜⎜⎝⎛−−=. 3. 设离散随机变量X 服从巴斯卡分布rk r p p r k k X P −−⎟⎟⎠⎞⎜⎜⎝⎛−−==)1(11}{,k = r , r + 1, …试求X 的特征函数.解:特征函数∑∑+∞=−−+∞=−−+−−−=−⎟⎟⎠⎞⎜⎜⎝⎛−−⋅=r k r k it r k itr r r k r k r itkp r k k r p p p r k t )(e)1)(1()1()!1(e )1(11e )(L ϕ ∑∑+∞=−=−−−+∞=−=−−=+−−−=r k p x r k r r it rk p x r k r it ititdx x d r p x r k k r p e )1(111e )1()()!1()e ()1()1()!1()e (L itit it p x r r it p x r r r it p x k k r r r it x r r p x dx d r p x dx d r p e )1(e )1(11e )1(1111)1()!1()!1()e (11)!1()e ()!1()e (−=−=−−−=+∞=−−−−−⋅−=⎟⎠⎞⎜⎝⎛−⋅−=⎟⎟⎠⎞⎜⎜⎝⎛⋅−=∑rit itr it r it p p p p ⎥⎦⎤⎢⎣⎡−−=−−=e )1(1e ]e )1(1[)e (. 4. 求下列分布函数的特征函数,并由特征函数求其数学期望和方差.(1))0(,e 2)(||1>=∫∞−−a dt a x F x t a ; (2))0(,1π)(222>+=∫∞−a dt at a x F x . 解:(1)因密度函数||11e 2)()(x a ax F x p −=′=,故⎥⎥⎦⎤⎢⎢⎣⎡−++=⎥⎦⎤⎢⎣⎡+=⋅=+∞−∞−+∞+−∞−+∞+∞−−∫∫∫0)(0)(0)(0)(||1e e 2e e 2ee 2)(ait a it a dx dx a dx a t x a it x a it x a it x a it x a itx ϕ 222112at a a it a it a +=⎟⎠⎞⎜⎝⎛−−+=; 因222222221)(22)()(a t ta t a t a t +−=⋅+−=′ϕ,有)(0)0(1X iE ==′ϕ, 故E (X ) = 0;因32242242222222221)(26)(2)(22)(2)(a t a t a a t t a t t a a t a t +−=+⋅+⋅−+⋅−=′′ϕ, 有)(22)0(222641X E i a a a =−=−=′′ϕ,可得222)(a X E =, 故222202)Var(aa X =−=;(2)因密度函数22221π)()(ax a x F x p +⋅=′=, 则∫+∞∞−+⋅=dx a x a t itx 2221e π)(ϕ, 由第(1)小题的结论知∫∞+∞−=+=dx x p a t a t itx )(e )(12221ϕ,根据逆转公式,可得∫∫∞+∞−−∞+∞−−−+⋅===dt at a dt t a x p itx itx x a 2221||1e π21)(e π21e 2)(ϕ, 可得||||222e πe 2π21e y a y a itya a a dt a t −−−+∞∞−=⋅=+⋅∫, 故||||222e e ππ1e π)(t a t a itx a a dx ax a t −−+∞∞−=⋅=+⋅=∫ϕ; 因⎩⎨⎧>−<=′−,0,e ,0,e )(2t a t a t atat ϕ 有a a −=+′≠=−′)00()00(22ϕϕ,即)0(2ϕ′不存在, 故E (X ) 不存在,Var (X ) 也不存在.5. 设X ~ N (µ, σ 2),试用特征函数的方法求X 的3阶及4阶中心矩. 解:因X ~ N (µ, σ 2),有X 的特征函数是222e)(t t i t σµϕ−=,则)(e)(2222t i t t t i σµϕσµ−⋅=′−,)(e)(e )(222222222σσµϕσµσµ−⋅+−⋅=′′−−t t i t t i t i t ,因)()(3e)(e)(2223222222σσµσµϕσµσµ−⋅−⋅+−⋅=′′′−−t i t i t t t i t t i ,有ϕ″′(0) = e 0 ⋅ (i µ )3 + e 0 ⋅ 3i µ ⋅ (−σ 2) = − i µ 3 − 3i µσ 2 = i 3E (X 3) = − i E (X 3), 故E (X 3) = µ 3 + 3µσ 2; 又因2222222422)4()(3e)()(6e)(e)(222222σσσµσµϕσµσµσµ−⋅+−⋅−⋅+−⋅=−−−t t i t t i t t i t i t i t ,有ϕ (4)(0) = e 0 ⋅ (i µ )4 + e 0 ⋅ 6(i µ)2 ⋅ (−σ 2) + e 0 ⋅ 3σ 4 = µ 4 + 6µ 2σ 2 + 3σ 4 = i 4E (X 4) = E (X 4), 故E (X 4) = µ 4 + 6µ 2σ 2 + 3σ 4.6. 试用特征函数的方法证明二项分布的可加性:若X ~ b (n , p ),Y ~ b (m , p ),且X 与Y 独立,则X + Y ~ b (n + m , p ).证:因X ~ b (n , p ),Y ~ b (m , p ),且X 与Y 独立,有X 与Y 的特征函数分别为ϕ X (t ) = ( p e it + 1 − p ) n ,ϕ Y (t ) = ( p e it + 1 − p ) m , 则X + Y 的特征函数为ϕ X + Y (t ) = ϕ X (t ) ⋅ϕ Y (t ) = ( p e it + 1 − p ) n + m ,这是二项分布b (n + m , p )的特征函数, 故根据特征函数的唯一性定理知X + Y ~ b (n + m , p ).7. 试用特征函数的方法证明泊松分布的可加性:若X ~ P (λ1),Y ~ P (λ2),且X 与Y 独立,则X + Y ~ P (λ1 + λ2).证:因X ~ P (λ1),Y ~ P (λ2),且X 与Y 独立,有X 与Y 的特征函数分别为)1(e1e )(−=itt X λϕ,)1(e2e )(−=itt Y λϕ,则X + Y 的特征函数为)1)(e(21e )()()(−++==itt t t Y X Y X λλϕϕϕ,这是泊松分布P (λ1 + λ2)的特征函数,故根据特征函数的唯一性定理知X + Y ~ P (λ1 + λ2).8. 试用特征函数的方法证明伽马分布的可加性:若X ~ Ga (α1, λ),Y ~ Ga (α2, λ),且X 与Y 独立,则X + Y ~ Ga (α1 + α2 , λ).证:因X ~ Ga (α1, λ),Y ~ Ga (α2, λ),且X 与Y 独立,有X 与Y 的特征函数分别为11)(αλϕ−⎟⎠⎞⎜⎝⎛−=it t X ,21)(αλϕ−⎟⎠⎞⎜⎝⎛−=it t Y ,则X + Y 的特征函数为)(211)()()(ααλϕϕϕ+−+⎟⎠⎞⎜⎝⎛−==it t t t Y X Y X ,这是伽马分布Ga (α1 + α2 , λ)的特征函数,故根据特征函数的唯一性定理知X + Y ~ Ga (α1 + α2 , λ).9. 试用特征函数的方法证明χ 2分布的可加性:若X ~ χ 2 (n ),Y ~ χ 2 (m ),且X 与Y 独立,则X + Y ~ χ 2 (n + m ).证:因X ~ χ 2 (n ),Y ~ χ 2 (m ),且X 与Y 独立,有X 与Y 的特征函数分别为2)21()(n X it t −−=ϕ,2)21()(m Y it t −−=ϕ,则X + Y 的特征函数为2)21()()()(m n Y X Y X it t t t +−+−==ϕϕϕ,这是χ 2分布χ 2 (n + m )的特征函数,故根据特征函数的唯一性定理知X + Y ~ χ 2 (n + m ).10.设X i 独立同分布,且X i ~ Exp(λ),i = 1, 2, …, n .试用特征函数的方法证明:),(~1λn Ga X Y ni i n ∑==.证:因X i ~ Exp (λ),i = 1, 2, …, n ,且X i 相互独立,有X i 的特征函数为11)(−⎟⎠⎞⎜⎝⎛−=−=λλλϕit it t i X ,则∑==ni i n X Y 1的特征函数为nni X Y it t t i n −=⎟⎠⎞⎜⎝⎛−==∏λϕϕ1)()(1,这是伽马分布Ga (n , λ)的特征函数,故根据特征函数的唯一性定理知Y n ~ Ga (n , λ).11.设连续随机变量X 的密度函数如下:+∞<<∞−−+⋅=x x x p ,)(π1)(22µλλ, 其中参数λ > 0, −∞ < µ < +∞,常记为X ~ Ch (λ, µ ).(1)试证X 的特征函数为exp{i µ t − λ | t |},且利用此结果证明柯西分布的可加性; (2)当µ = 0, λ = 1时,记Y = X ,试证ϕ X + Y (t ) = ϕ X (t ) ⋅ϕ Y (t ),但是X 与Y 不独立;(3)若X 1, X 2, …, X n 相互独立,且服从同一柯西分布,试证:)(121n X X X n+++L 与X 1同分布. 证:(1)根据第4题第(2)小题的结论知:若X *的密度函数为22π1)(*xx p +⋅=λλ,即X * ~ Ch (λ, 0), 则X *的特征函数为ϕ * (t ) = e −λ | t |,且X = X * + µ 的密度函数为22)(π1)(µλλ−+⋅=x x p , 故X 的特征函数为ϕ X (t ) = e i µ t ϕ * (t ) = e i µ t ⋅ e −λ | t | = e i µ t −λ | t |; 若X 1 ~ Ch (λ1, µ1),X 2 ~ Ch (λ2, µ2),且相互独立,有X 1与X 2的特征函数分别为||111e )(t t i X t λµϕ−=,||222e )(t t i X t λµϕ−=, 则X 1 + X 2的特征函数为||)()(21212121e )()()(t t i X X X X t t t λλµµϕϕϕ+−++==,这是柯西分布Ch (λ1 + λ2, µ1 + µ2)的特征函数,故根据特征函数的唯一性定理知X 1 + X 2 ~ Ch (λ1 + λ2, µ1 + µ2); (2)当µ = 0, λ = 1时,X ~ Ch (1, 0),有X 的特征函数为ϕ X (t ) = e −| t |,又因Y = X ,有Y 的特征函数为ϕ Y (t ) = e −| t |,且X + Y = 2X ,故X + Y 的特征函数为ϕ X + Y (t ) = ϕ 2X (t ) = ϕ X (2t ) = e −| 2t | = e −| t | ⋅ e −| t | =ϕ X (t ) ⋅ϕ Y (t ); 但Y = X ,显然有X 与Y 不独立;(3)因X i ~ Ch (λ, µ ),i = 1, 2, …, n ,且X i 相互独立,有X i 的特征函数为||e )(t t i X t i λµϕ−=, 则)(121n n X X X nY +++=L 的特征函数为 )(e e )()(1||111t n t t t X t t i n t n ti n ni X ni X nY i in ϕϕϕϕλµλµ===⎟⎠⎞⎜⎝⎛==−⎟⎟⎠⎞⎜⎜⎝⎛⋅−⋅==∏∏,故根据特征函数的唯一性定理知)(121n X X X n+++L 与X 1同分布. 12.设连续随机变量X 的密度函数为p (x ),试证:p (x ) 关于原点对称的充要条件是它的特征函数是实的偶函数.证:方法一:根据随机变量X 与−X 的关系充分性:设X 的特征函数ϕ X (t )是实的偶函数,有ϕ X (t ) = ϕ X (−t ),则−X 的特征函数ϕ −X (t ) = ϕ X (−t ) = ϕ X (t ),根据特征函数的唯一性定理知−X 与X 同分布,因X 的密度函数为p (x ),有−X 的密度函数为p (−x ),故由−X 与X 同分布可知p (−x ) = p (x ),即p (x ) 关于原点对称; 必要性:设X 的密度函数p (x ) 关于原点对称,有p (−x ) = p (x ), 因−X 的密度函数为p (−x ),即−X 与X 同分布,则−X 的特征函数ϕ −X (t ) = ϕ X (−t ) = ϕ X (t ),且)(][e ][e ][e )()()(t E E E t t X itX itX X it X X ϕϕϕ=====−−−, 故X 的特征函数ϕ X (t )是实的偶函数. 方法二:根据密度函数与特征函数的关系充分性:设连续随机变量X 的特征函数ϕ X (t )是实的偶函数,有ϕ X (t ) = ϕ X (−t ),因∫+∞∞−−=dt t x p itx )(e π21)(ϕ,有∫∫+∞∞−+∞∞−−−==−dt t dt t x p itxx it )(e π21)(e π21)()(ϕϕ, 令t = −u ,有dt = −du ,且当t → −∞时,u → +∞;当t → +∞时,u → −∞,则)()(e π21)(e π21))((e π21)()(x p du u du u du u x p iuxiux x u i ==−=−−=−∫∫∫+∞∞−−+∞∞−−−∞∞+−ϕϕϕ, 故p (x ) 关于原点对称;必要性:设X 的密度函数p (x ) 关于原点对称,有p (−x ) = p (x ),因∫+∞∞−−==dx x p E t itxitX)(e )(e)(ϕ,有∫∫+∞∞−−+∞∞−−==−dx x p dx x p t itx xt i )(e )(e)()(ϕ,令x = −y ,有dx = −dy ,且当x → −∞时,y → +∞;当x → +∞时,y → −∞, 则)()(e )(e ))((e )()(t dy y p dy y p dy y p t X ity ity y it X ϕϕ==−=−−=−∫∫∫+∞∞−+∞∞−−∞∞+−−,且)(][e ][e ][e )()()(t E E E t t X itX itX X t i X X ϕϕϕ====−=−−, 故X 的特征函数ϕ X (t )是实的偶函数.13.设X 1, X 2, …, X n 独立同分布,且都服从N(µ , σ 2)分布,试求∑==ni i X n X 11的分布.证:因X i ~ N (µ , σ 2),i = 1, 2, …, n ,且X i 相互独立,有X i 的特征函数为222e)(t t i X t i σµϕ−=,则∑==n i i X n X 11的特征函数为nt t i n t n t i n ni X n i X n X n t t t i i 2211112222ee)()(σµσµϕϕϕ−⎥⎥⎦⎤⎢⎢⎣⎡⎟⎠⎞⎜⎝⎛−⋅====⎟⎠⎞⎜⎝⎛==∏∏,这是正态分布⎟⎟⎠⎞⎜⎜⎝⎛n N 2,σµ的特征函数,故根据特征函数的唯一性定理知⎟⎟⎠⎞⎜⎜⎝⎛=∑=n N X n X ni i 21,~1σµ. 14.利用特征函数方法证明如下的泊松定理:设有一列二项分布{b (k , n , p n )},若λ=→∞n n np lim ,则L ,2,1,0,e !),,(lim ==−∞→k k p n k b kn n λλ.证:二项分布b (n , p n )的特征函数为ϕ n (t ) = ( p n e it + 1 − p n ) n = [1 + p n (e it − 1)] n ,且n → ∞时,p n → 0,因)1(e)1(e )1(e 1e )]1(e 1[lim )]1(e 1[lim )(lim −−⋅−→→∞→∞=−+=−+=itit n it n n np p itn p n it n n n n p p t λϕ,。
概率论与数理统计统计课后习题答案-总主编-邹庭荣-主编- 程述汉-舒兴明-第四章第四章习题解答11 •设随机变量X〜B (30,-),则E (X)=( D ).6A.-;D.5.1E (X) = np = 30 562 •已知随机变量X和Y相互独立,且它们分别在区间[-1 , 3]和[2, 4]上服从均匀分布,则E(XY)=( A ).A. 3;B. 6;C. 10;D. 12.E(X) =1 E(Y) =3因为随机变量X和Y相互独立所以E(XY) = E(X)E(Y) = 33.设X表示10次独立重复射击命中目标的次数,每次射中目标的概率为0.4,贝U X2的数学期望E(X 2) = 1&4 .X LI B(10,0.4) E(X) =4 D(X) =2.42 2E(X ) =(E(X)) D(X) =18.44.某射手有3发子弹,射一次命中的概率为-,如果命中了就停止射击,3否则一直射到子弹用尽.设表示X耗用的子弹数.求E (X).解:X123P2/32/91/92 2 1 13E(X)=—十—:2 +3 9 9 95 .设X的概率密度函数为x, 0ExE1f (x) - x, 1 :: x 乞2[0, 其它求 E(X) , E(X2).解: E(X) = J xf(x)dx = J x2dx + J x(2-x)dx =1,0 ' 11 32 27f (x)dx x dx 亠 i x (2「x)dx .- -bo -E(X 2)「;x 2求 E(X) , E(Y),E(XY).解:X-12P 0.650.35E(X)二「0.65 0.35 2 =0.05 .Y-112P0.40.250.35E(Y) = -0.4 0.25 1 0.35 2 =0.55E(XY)=(-1) (-1) 0.25 (-1) 1 0.1 (-1) 2 0.32 (-1) 0.15 2 1 0.15 2 2 0.05 =-0.257 •设二维随机向量(X, Y)的联合概率密度为求(1)E(X Y); (2) E(XY).E(XY) = _;.;(xy)f(x,y)dxdy=讥(广(xy)「dy)dx = 38.设随机变量X与Y相互独立,且D(X)=1, D(Y)=2 , J则D(X-Y)= 3 .D(X _Y) = D(X) D(Y) =39.设正方形的边长在区间]0, 2]服从均匀分布,则正方形面积A=X2的f(x,y)二e0,1°,0 :x y其它解: y) dxdy( x x y )e y d y dx 3方差为64/45 _________ .4 1E(X)=1, D(X) ,12 3X的密度函数f(x)= 102,0乞x乞26 •设随机向量(X, Y)的联合分布律为:E(X Y)=二y)求 D(X ),D(Y ),D(X-Y ).解:由本章习题5知E(X)=1 , E(X 2)=7,于是有62 21D(X)二 E(X )-(E(X)).6221 4E (XTE (X)「D (X)n 〒.4"be 42E(X )= x f(x)dx = 01 4 16x dx =2 5D(X 2) =E(X 4)—[E(X 2)]210•设随机变量X 的分布律为X -1 0 1 2P1/5 1/2 1/5 1/10求 D(X).解:D(X) = E(X 2) -(E(X))2, E(X2 21 2 1 2E(X ) =(-1) -01- 2 551 19 224D(X)=E (X 2)-(E(X))2=5 25 2511•设随机变量X 的概率密度函数为f(x)亠1,求 D(X ).::1I解:E(X) xf (x) dxxe*dx=0, 2E(X 2)x 2f(x)dx=2 x 2e^dx = 2 ,0 212•设随机变量X , Y 相互独立,其概率密度函数分别为x,f x (x)二 2 -x,0 _x _1 1 :: x _ 2y_ 0其它16 564 45由Y LI E(1)知 E(X) =D(X) =1.由于随机变量X , Y 相互独立,所以D(X -Y)二 D(X) D(Y) =7.613•设 D(X)=1,D(Y)=4,相关系数 P XY =0.5,则 cov(X,Y)=_1 __________ covX,Y)= » D(X)D(Y) =114•设二维随机变量(X, Y )的联合密度函数为求 cov(X,Y ), ?XY •DJI nI 22。
概率论课后习题答案概率论与数理统计习题及答案习题⼀4.设A ,B 为随机事件,且P (A )=0.7,P (A -B )=0.3,求P (AB ). 【解】 P (AB )=1-P (AB )=1-[P (A )-P (A -B )] =1-[0.7-0.3]=0.66.设A ,B ,C 为三事件,且P (A )=P (B )=1/4,P (C )=1/3且P (AB )=P (BC )=0,P (AC )=1/12,求A ,B ,C ⾄少有⼀事件发⽣的概率.【解】 P (A ∪B ∪C )=P (A )+P (B )+P (C )-P (AB )-P (BC )-P (AC )+P (ABC )=14+14+13-112=3413. ⼀个袋内装有⼤⼩相同的7个球,其中4个是⽩球,3个是⿊球,从中⼀次抽取3个,计算⾄少有两个是⽩球的概率. 【解】设A i ={恰有i 个⽩球}(i =2,3),显然A 2与A 3互斥.213434233377C C C 184(),()C 35C 35P A P A ====故 232322()()()35P A A P A P A =+=23. 设P (A )=0.3,P (B )=0.4,P (A B )=0.5,求P (B |A ∪B )【解】 ()()()()()()()()P AB P A P AB P B A B P A B P A P B P AB -==+- 0.70.510.70.60.54-==+-33. 三⼈独⽴地破译⼀个密码,他们能破译的概率分别为15,13,14,求将此密码破译出的概率.【解】设A i ={第i ⼈能破译}(i =1,2,3),则310.6534=-= 34. 甲、⼄、丙三⼈独⽴地向同⼀飞机射击,设击中的概率分别是0.4,0.5,0.7,若只有⼀⼈击中,则飞机被击落的概率为0.2;若有两⼈击中,则飞机被击落的概率为0.6;若三⼈都击中,则飞机⼀定被击落,求:飞机被击落的概率. 【解】设A ={飞机被击落},B i ={恰有i ⼈击中飞机},i =0,1,2,3由全概率公式,得3()(|)()i i i P A P A B P B ==∑=(0.4×0.5×0.3+0.6×0.5×0.3+0.6×0.5×0.7)0.2+(0.4×0.5×0.3+0.4×0.5×0.7+0.6×0.5×0.7)0.6+0.4×0.5×0.7 =0.458习题⼆1.⼀袋中有5只乒乓球,编号为1,2,3,4,5,在其中同时取3只,以X 表⽰取出的3只球中的最⼤号码,写出随机变量X 的分布律. 【解】353524353,4,51(3)0.1C 3(4)0.3C C (5)0.6C X P X P X P X ========== 故所求分布律为4.(1)设随机变量X 的分布律为P {X =k }=!k akλ,其中k =0,1,2,…,λ>0为常数,试确定常数a . (2)设随机变量X 的分布律为P {X =k }=a/N , k =1,2,…,N ,试确定常数a . 【解】(1)由分布律的性质知1()e !ka λ-=(2) 由分布律的性质知111()N Nk k aP X k a N======∑∑即 1a =.8.已知在五重贝努⾥试验中成功的次数X 满⾜P {X =1}=P {X =2},求概率P {X =4}. 【解】设在每次试验中成功的概率为p ,则1422355C (1)C (1)p p p p -=-故 13p =所以 4451210(4)C ()33243P X ===. 21.设X ~N (3,22),(1)求P {222X P X P ---??<≤=<≤11(1)(1)1220.841310.69150.5328ΦΦΦΦ=--=-+ ? ?=-+=433103(410)222X P X P ----??(||2)(2)(2)P X P X P X >=>+<-323323222215151122220.691510.99380.6977X X P P ΦΦΦΦ-----=>+< ? ?=--+-=+- ? ? ? ?????????=+-=333(3)()1(0)0.522X P X P Φ->=>=-=- (2) c=322.由某机器⽣产的螺栓长度(cm )X ~N (10.05,0.062),规定长度在10.05±0.12内为合格品,求⼀螺栓为不合格品的概率.【解】10.050.12(|10.05|0.12)0.060.06X P X P ?-?->=>1(2)(2)2[1(2)]0.0456ΦΦΦ=-+-=-=24.设随机变量X 分布函数为F (x )=e ,0,(0),00.xt A B x ,x λ-?+≥>?(1)求常数A ,B ;(2)求P {X ≤2},P {X >3};(3)求分布密度f (x ).【解】(1)由00lim ()1lim ()lim ()x x x F x F x F x →+∞→+→-==??得11A B =??=-?(2) 2(2)(2)1e P X F λ-≤==-33(3)1(3)1(1e )e P X F λλ-->=-=--=(3) e ,0()()0,0x x f x F x x λλ-?≥'==?44.若随机变量X 在(1,6)上服从均匀分布,则⽅程y 2+Xy +1=0有实根的概率是多少?0,x f x ?<24(40)(2)(2)(2)5P X P X P X P X -≥=≥+≤-=≥=习题三(1)求关于X 和关于Y 的边缘分布;(2) X 与Y 是否相互独⽴?【解】(1)X 和Y 的边缘分布如下表(2) 因{2}{0.4}0.20.8P X P Y ===? 0.160.15(2,0.4),P X Y =≠=== 故X 与Y 不独⽴.习题四1.设随机变量X 的分布律为求【解】(1) 11111()(1)012;82842E X =-?+?+?+?= (2) 2222211115()(1)012;82844E X =-?+?+?+?=(3) 1(23)2()32342E X E X +=+=?+=5.设随机变量X 的概率密度为f (x )=??≤≤-<≤.,0,21,2,10,其他x x x x求E (X ),D (X ). 【解】12201()()d d (2)d E X xf x x x x x x x +∞-∞=332011 1.33x x x ??=+-=?122232017()()d d (2)d 6E X x f x x x x x x x +∞-∞==+-=故 221()()[()].6D XE X E X =-=7.设随机变量X ,Y 相互独⽴,且E (X )=E (Y )=3,D (X )=12,D (Y )=16,求E (3X -2Y ),D (2X -3Y ). 【解】(1) (32)3()2()3323 3.E X Y E X E Y -=-=?-?=(2) 22(23)2()(3)412916192.D X Y D X DY -=+-=?+?=习题七2.设总体X 的密度函数f (x ,θ)=22(),0,0,.x x θθθ?-<X 1,X 2,…,X n 为其样本,试求参数θ的矩法估计. 【解】23022()()d ,233x x E X x x x θθθθθθθ??=-=-=令E (X )=A 1=X ,因此3θ=X 所以θ的矩估计量为 ^3.X θ=3.设总体X 的密度函数为f (x ,θ),X 1,X 2,…,X n 为其样本,求θ的极⼤似然估计.(1) f (x ,θ)=,0,0,0.e x x x θθ-?≥?(2) f (x ,θ)=1,01,0,.x x θθ-?<【解】(1)似然函数111(,)ee eniii n nx x nn ii i L f x θθθθθθ=---==∑===∏∏1ln ln ni i g L n x θθ===-∑i i g L n x θθθ===-=∑知 1 nii nxθ==∑所以θ的极⼤似然估计量为1 Xθ=. (2) 似然函数11,01nni i i L x x θθ-==<<∏,i =1,2,…,n.1ln ln (1)ln ni i L n x θθ==+-∏由1d ln ln 0d ni i L n x θθ==+=∏知11?ln ln nniii i n nxx θ===-=-∑∏ii nxθ==-∑10.设某种砖头的抗压强度X ~N (µ,σ2),今随机抽取20块砖头,测得数据如下(kg ·cm -2):64 69 49 92 55 97 41 84 88 99 84 66 100 98 72 74 87 84 48 81 (1)求µ的置信概率为0.95的置信区间. (2)求σ2的置信概率为0.95的置信区间. 【解】76.6,18.14,10.950.05,20,x s n α===-==/20.025222/20.0250.975(1)(19)2.093,(1)(19)32.852,(19)8.907t n t n ααχχχ-==-===(1) µ的置信度为0.95的置信区间/2(1)76.6 2.093(68.11,85.089)a x n-== ? ?????(2)2σ的置信度为0.95的置信区间222222/21/2(1)(1)1919,18.14,18.14(190.33,702.01)(1)(1)32.8528.907n s n s n n ααχχ-??--??=??= ?--其中θ(0<θ<2)是未知参数,利⽤总体的如下样本值3,1,3,0,3,1,2,3,求θ的矩估计值和极⼤似然估计值. 【解】8i x E X E X x x x θθ=-=-====∑令得⼜所以θ的矩估计值31 .44x θ-== (2)似然函数86241(,)4(1)(12).ii L P x θθθθ===--∏2ln ln 46ln 2ln(1)4ln(1),d ln 628628240,d 112(1)(12)L L θθθθθθθθθθθθ=++-+--+=--==----解2628240θθ-+=得 1,2θ=.由于71,122+>所以θ的极⼤似然估计值为 7?2θ=。
《概率论与数理统计》课程教学改革习题册班级.学号姓名浙江万里学院基础学院综合教学部《概率论与数理统计》课程教学改革小组年月007. AB 为随机事件•且ACB.P B >0,则有一、选择题 001.若事件AB 同时出现的概率为P AB =0,则B AS 是不可能事件002、某射手向同一目标独立的射击5枪,若毎次击中靶的概率为,则恰有两枪脱靶的概率A 0.6-xOA' :B 0・6'x0・4SC C^0.6'x04':D C;0.6'x0,4\ 003、进行一系列独立的试验,每次试验成功的概率为〃,则在两次成功之前已经失败了 3次的概率为A 4/?'x \ — p C Cp4 \-p' D Cy 1 — p X004.每次试验成功的概率为p.进行重复试验,直到第10次试验才取得4次成功的概率A G 加X 1-pC lO/r i-p \005、设随机事件A g 相互独立,则下面结论成立的是006、当事件AB 同时发生时,事件C 必发生,则下列结论正确的是第一章习题C AB = 0未必成立D P A >0或P B >0B 4p 1-p/I P AB A P B :B 1-P B P A = P 血:C PAPB H PBPAD P AUB = 1-P A 1-P B .A P C = P AB :B PC =P A U B : C P C >P A BD P C <P A B -loA P A < P A\B B P A <P A\B :DP A >P A\B o008、A.B为随机事件,且A Q B.P B >0 ,则有A P AUB =P A B P AB =P AC P B\A =P BD P A-B =P A -P B009、设事件AB相互独立,则P AUB =A P A +P BC 1-P APBD l-P APB010、以A表示事件“甲种产品畅销,乙种产品滞销则其对立事件A表示事件A “甲种产品滞销.乙种产品畅销I B“甲、乙两种产品均滞销JC“甲种产品滞销”:D“甲种产品滞销或乙种产品畅销”。
概率论与数理统计龙永红,第三版,高等教育出版社课后习题详细答案厦门大学 经济学院08经济 周玉龙08金融 王骁 李政宵09金融 孙士慧 许彩灵 唐艺烨联合编写2011年2月16日 第一版注意:若要打印,请不要打印34页之后的内容!只有34页之前的内容才是校对过的!2010年的时候半期考试考到3.1,即34页之前的内容。
目录前言 (3)编写任务记录 (4)练习1‐1 (5)练习1‐2 (6)练习1‐3 (7)练习1‐4 (9)练习1‐5 (12)习题一 (13)练习2‐1 (15)练习2‐2 (17)练习2‐3 (18)练习2‐4 (20)练习2‐5 (23)习题二 (26)练习3‐1 (29)练习3‐2 (35)练习3‐3 (40)练习3‐4 (43)练习3‐5 (48)练习4‐1 (49)练习4‐2 (50)练习4‐3 (51)练习4‐4 (53)练习5‐2 (54)练习5‐3 (55)练习5‐4 (56)练习5‐5 (56)练习5‐6 (58)前言各位学弟学妹们,大家好。
这份答案是我在2010年学习概率统计的时候,和几个好朋友一起编写的。
我在大二上学线性代数的时候,当时找不到习题答案,于是很多不会做的题目,我就直接放弃了,期末线性代数成绩很不理想。
大二下在学概率统计的时候,我决定要把书上的题目都做会,但当时找不到一本参考答案,于是便想到了自己来编写一本答案书。
这样我不仅可以强迫自己把书上的题目都做了,更重要的是,我还可以帮助今后很多的学弟学妹学习概率统计。
于是找到08经济系的周玉龙同学,由他撰写手写初稿答案;我又找了几个愿意加入的朋友,我们一起将手写初稿录入进电脑,他们是09金融的孙士慧、许彩灵、唐艺烨和08金融的李政宵;我再将电子版初稿打印下来,并在上面进行打印错误的校正,再由我将这些错误在电脑中改过来。
最后整理排版,这就是你眼前的这本电子书。
撰写初版答案是辛苦的,将初版手写答案录入电脑更是非常辛苦。
第四章随机变量的数字特征4.1 数学期望习题1设随机变量X服从参数为p的0-1分布,求E(X).解答:依题意,X的分布律为X01P1-p p由E(X)=∑i=1∞xipi,有E(X)=0⋅(1-p)+1⋅p=p.习题2袋中有n张卡片,记有号码1,2,…,n.现从中有放回抽出k张卡片来,求号码之和X的期望.分析:.解答:设Xi表示第i次取得的号码,则X=∑i=1kXi,且P{Xi=m}=1n,其中m=1,2,⋯,n,i=1,2,⋯,k,故E(Xi)=1n(1+2+⋯+n)=n+12,i=1,2,⋯,k,从而E(X)=∑i=1kE(Xi)=k(n+1)2.习题3某产品的次品率为0.1,检验员每天检验4次. 每次随机地抽取10件产品进行检验,如发现其中的次品数多于1,就去调整设备. 以X表示一天中调整设备的次数,试求E(X)(设诸产品是否为次品是相互独立的).解答:X的可能取值为0,1,2,3,4,且知X∼b(4,p),其中p=P{调整设备}=1-C101×0.1×0.99-0.910≈0.2639,所以E(X)=4×p=4×0.2639=1.0556.习题4据统计,一位60岁的健康(一般体检未发生病症)者,在5年之内仍然活着和自杀死亡的概率为p(0<p<1,p为已知),在5年之内非自杀死亡的概率为1-p,保险公司开办5年人寿保险,条件是参加者需交纳人寿保险费a元(a已知),若5年内非自杀死亡,公司赔偿b元(b>a),应如何确定b才能使公司可期望获益,若有m人参加保险,公司可期望从中收益多少?解答:令X=“从一个参保人身上所得的收益”,由X的概率分布为+32×0.1+22×0.0+12×0.1+42×0.0+32×0.3+22×0.1=5.也可以利用期望的性质求E(Z), 得E[(X-Y)2]=E(X2-2XY+Y2)=E(X2)-2E(XY)+E(Y2)=(12×0.4+22×0.2+32×0.4)-2[-1×0.2 +1×0.1+(-2)×0.1+2×0.1+(-3)×0.0+3×0.1] +(-1)2×0.3+12×0.3 =5.习题12设(X,Y)的概率密度为f(x,y)={12y2,0≤y≤x≤10,其它,求E(X),E(Y),E(XY),E(X2+Y2). 解答: 如右图所示.E(X)=∫-∞+∞∫-∞+∞xf(x,y)dxdy=∫01dx∫0xx ⋅12y2dy=45,E(Y)=∫-∞+∞∫-∞+∞yf(x,y)dxdy=∫01dx∫0xy ⋅12y2dy=35,E(XY)=∫-∞+∞∫-∞+∞xyf(x,y)dxdy=∫01dx∫0xxy ⋅12y2dy=12,E(X2+Y2)=∫-∞+∞∫-∞+∞(x2+y2)f(x,y)dxdy=∫01dx∫0x(x2+y2)⋅12y2dy=23+615=1615. 习题13设X 和Y 相互独立,概率密度分别为ϕ1(x)={2x,0≤x≤10,其它,ϕ2(y)={e-(y-5),y>50,其它,求E(XY). 解答:解法一 由独立性.E(XY)=E(X)⋅E(Y)=∫01x ⋅2xdx∫0+∞ye -(y-5)dy=23×6=4.解法二 令z=y-5, 则E(XY)=E(X)⋅E(Y)=∫01x ⋅2xdx ⋅E(z+5)=23×(1+5)=4.4.2 方差习题1设随机变量X 服从泊松分布,且P(X=1)=P(X=2), 求E(X),D(X). 解答:由题设知,X 的分布律为P{X=k}=λkk!e -λ(λ>0)λ=0(舍去),λ=2.所以E(X)=2,D(X)=2.习题2下列命题中错误的是().(A)若X∼p(λ),则E(X)=D(X)=λ;(B)若X服从参数为λ的指数分布,则E(X)=D(X)=1λ; Array (C)若X∼b(1,θ),则E(X)=θ,D(X)=θ(1-θ);(D)若X服从区间[a,b]上的均匀分布,则E(X2)=a2+ab+b23.解答:应选(B).E(X)=1λ,D(X)=1λ2.习题3设X1,X2,⋯,Xn是相互独立的随机变量,且都服从正态分布N(μ,σ2)(σ>0),则ξ¯=1n∑i=1nξi服从的分布是¯.解答:由多维随机变量函数的分布知:有限个相互独立的正态随机变量的线性组合仍然服从正态分布,且E(X¯)=μ,D(X¯)=σ2n.习题4若Xi∼N(μi,σi2)(i=1,2,⋯,n),且X1,X2,⋯,Xn相互独立,则Y=∑i=1n(aiXi+bi)服从的分布是 .解答:应填N(∑i=1n(aiμi+bi),∑i=1nai2σi2).由多维随机变量函数的分布知:有限个相互独立的正态随机变量的线性组合仍然服从正态分布,且E(Y)=∑i=1n(aiμi+bi),D(Y)=∑i=1nai2σi2.习题5设随机变量X服从泊松分布,且3P{X=1}+2P{X=2}=4P{X=0},求X的期望与方差.解答:X的分布律为P{X=k}=λkk!e-λ,k=0,1,2,⋯,于是由已知条件得3×λ11!e-λ+2×λ22!e-λ=4×λ00!e-λ,\becauseD(XY)=E(XY)2-E2(XY)=E(X2Y2)-E2(X)2 (Y),又\becauseE(X2Y2)=∫-∞+∞∫-∞+∞x2y2f(x,y)dxdy=∫-∞+∞x2fX(x)dx∫-∞+∞y2fY(y)dy=E(X2)E(Y2),∴D(XY)=E(X2)E(Y2)-E2(X)E2(Y)=[D(X)+E2(X)][D(Y)+E2(Y)]-E2(X)E2(Y)=D(X)D(Y)+D(X)E2(Y)+D(Y)E2(X)=2×3+2×32+3×12=27.习题9设随机变量X1,X2,X3,X4相互独立,且有E(Xi)=i,D(Xi)=5-i,i=1,2,3,4,又设Y=2X1-X2+3X3-12X4,求E(Y),D(Y).解答:E(Y)=E(2X1-X2+3X3-12X4)=2E(X1)-E(X2)+3E(X 3)-12E(X4)=2×1-2+3×3-12×4=7,D(Y)=4D(X1)+D(X2)+9D(X3)+14D(X4)=4×4+3+9×2+14×1=37.25.习题105家商店联营,它们每两周售出的某种农产品的数量(以kg计)分别为X1,X2,X3,X4,X5.已知X1∼N(200,225),X2∼N(240,240),X3∼N(180,225),X4∼N(260,265),X5∼N(320,270),X1,X2,X3,X4,X5相互独立.(1)求5家商店两周的总销售量的均值和方差;(2)商店每隔两周进货一次,为了使新的供货到达前商店不会脱销的概率大于0.99,问商店的仓库应至少储存该产品多少千克?解答:(1)设总销售量为X,由题设条件知X=X1+X2+X3+X4+X5,于是E(X)=∑i=15E(Xi)=200+240+180+260+320=1200, D(X)=∑i=15D(X i)=225+240+225+265+270=1225 .(2)设商店的仓库应至少储存y千克该产品,为使P{X≤y}>0.99,求y.由(1)易知,X∼N(1200,1225),P{X≤y}=P{X-12001225≤y-12001225=Φ(y-12001225)>0.99.查标准正态分布表得y-12001225=2.33,y=2.33×1225+1200≈1282(kg).习题11设随机变量X1,X2,⋯,Xn相互独立,且都服从数学期望为1的指数分布,求Z=min{X1,X2,⋯,Xn}的数学期望和方差.解答:Xi(i=1,2,⋯,n)的分布函数为F(x)={1-e-x,x>00,其它,Z=min{X1,X2,⋯,Xn}的分布函数为FZ(z)=1-[1-F(z)]n={1-e-nz,z>00,其它,于是E(Z)=∫0∞zne-nzdz=-ze-nz∣0∞+e-nzdz=1n,而E(Z2)=∫0∞z2ne-nzdz=2n2,于是D(Z)=E(Z2)-(E(Z))2=1n2.4.3 协方差与相关系数习题1设(X,Y)服从二维正态分布,则下列条件中不是X,Y相互独立的充分必要条件是().(A)X,Y不相关;(B)E(XY)=E(X)E(Y);(C)cov(X,Y)=0;(D)E(X)=E(Y)=0.解答:应选(D)。
概率论与数理统计第四章课后习题及参考答案1.在下列句子中随机地取一个单词,以X 表示取到的单词包含的字母的个数,试写出X 的分布律,并求)(X E .Have a good time解:本题的随机试验属于古典概型.所给句子共4个单词,其中有一个单词含一个字母,有3个单词含4个字母,则X 的所有可能取值为1,4,有41)1(==X P ,43)4(==X P ,从而413434411)(=⋅+⋅=X E .2.在上述句子的13个字母中随机地取一个字母,以Y 表示取到的字母所在的单词所含的字母数,写出Y 的分布律,并求)(Y E .解:本题的随机试验属于古典概型.Y 的所有可能取值为1,4,样本空间Ω由13个字母组成,即共有13个样本点,则131)1(==Y P ,1312)4(==Y P ,从而1349131241311)(=⋅+⋅=Y E .3.一批产品有一、二、三等品及废品4种,所占比例分别为60%,20%,10%和10%,各级产品的出厂价分别为6元、8.4元、4元和2元,求产品的平均出厂价.解:设产品的出厂价为X (元),则X 的所有可能取值为6,8.4,4,2,由题设可知X 的分布律为X 68.442P6.02.01.01.0则16.51.021.042.08.46.06)(=⨯+⨯+⨯+⨯=X E (元).4.设随机变量X 具有分布:51)(==k X P ,5,4,3,2,1=k ,求)(X E ,)(2X E 及2)2(+X E .解:3)54321(51)(=++++=X E ,11)54321(51)(222222=++++=X E ,274)(4)()44()2(222=++=++=+X E X E X X E X E .5.设离散型随机变量X 的分布列为k k kk X P 21)!2)1((=-=, ,2,1=k ,问X 是否有数学期望.解:因为∑∑∞=∞==⋅-111212)1(k k k k kkk 发散,所以X 的数学期望不存在.6.设随机变量X 具有密度函数⎪⎩⎪⎨⎧≤≤-=其他.,0,22,cos 2)(2πππx x x f 求)(X E 及)(X D .解:因为x x 2cos 在]2,2[ππ-上为奇函数,所以0d cos 2d )()(222=⋅==⎰⎰-∞+∞-πππx x x x x f x X E ,2112d cos 2d )()(2222222-=⋅==⎰⎰-∞+∞-ππππx x x x x f x X E ,故2112)]([)()(222-=-=πX E X E X D .7.设随机变量X 具有密度函数⎪⎩⎪⎨⎧<<-≤<=其他.,0,21,2,10,)(x x x x x f 求)(X E 及)(X D .解:1d )2(d d )()(2112=-+==⎰⎰⎰∞+∞-x x x x x x x f x X E ,67d )2(d d )()(2121322=-+==⎰⎰⎰∞+∞-x x x x x x x f x X E ,61)]([)()(22=-=X E X E X D .8.设随机变量X 在)21,21(-上服从均匀分布,求)sin(X Y π=的数学期望与方差.解:由题可知X 的密度函数为⎪⎩⎪⎨⎧<<-=其他.,0,2121,1)(x x f 则0d 1sin d )(sin )][sin()(2121=⋅===⎰⎰-∞+∞-x x x x f x X E Y E πππ,21d 1sin d )(sin )]([sin )(21212222=⋅===⎰⎰-∞+∞-x x x x f x X E Y E πππ,21)]([)()(22=-=Y E Y E Y D .9.某正方形场地,按照航空测量的数据,它的边长的数学期望为350m ,又知航空测量的误差随机变量X 的分布列为X (m)30-20-10-0102030P05.008.016.042.016.008.005.0而场地边长随机变量Y 等于边长的数学期望与测量误差之和,即X Y +=350,求场地面积的数学期望.解:设场地面积为S ,则2Y S =,16.01042.0016.0)10(08.0)20(05.030)(⨯+⨯+⨯-+⨯-+⨯-=X E 005.03008.020=⨯+⨯+,16.01042.0016.0)10(08.0)20(05.0)30()(222222⨯+⨯+⨯-+⨯-+⨯-=X E 18605.03008.02022=⨯+⨯+,故)350700(])350[()()(2222++=+==X X E X E Y E S E 122686350)(700)(22=++=X E X E .10.A ,B 两台机床同时加工零件,每生产一批较大的产品时,出次品的概率如下表所示:A 机床次品数X 0123概率P7.02.006.004.0B 机床次品数X 0123概率P8.006.004.010.0问哪一台机床加工质量较好.解:44.004.0306.022.017.00)(=⨯+⨯+⨯+⨯=X E ,8.004.0306.022.017.00)(22222=⨯+⨯+⨯+⨯=X E ,6064.0)]([)()(22=-=X E X E X D ,44.010.0304.0206.018.00)(=⨯+⨯+⨯+⨯=Y E ,12.110.0304.0206.018.00)(22222=⨯+⨯+⨯+⨯=Y E ,9264.0)]([)()(22=-=Y E Y E Y D ,)()(Y E X E =,但)()(Y D X D <,故A 机床加工质量较好.11.设随机变量X 与Y 相互独立,且方差存在,试证:22)]()[()()]([)()()(Y E X D Y D X E Y D X D XY D ++=,由此得出)()()(Y D X D XY D ≥.证:22)]([])[()(XY E XY E XY D -=222)]()([)(Y E X E Y X E -=2222)]([)]([)()(Y E X E Y E X E -=2222)]([)]([})]([)(}{)]([)({Y E X E Y E Y D X E X D -++=22)]()[()()]([)()(Y E X D Y D X E Y D X D ++=.因为)(X D ,)(Y D ,2)]([X E ,2)]([Y E 非负,所以)()()(Y D X D XY D ≥.12.已知随机变量X 的密度函数为⎩⎨⎧≤≤++=其他.,010,)(2x c bx x a x f又已知5.0)(=X E ,15.0)(=X D ,求a ,b ,c .解:c b a x c bx x a x x f ++=++==⎰⎰∞+∞-2131d )(d )(1102,c b a x c bx x a x x x f x X E 213141d )(d )()(5.0102++=++===⎰⎰∞+∞-,⎰⎰++-=-==∞+∞-1222d )()5.0(d )()]([)(15.0xc bx x a x x x f X E x X D 41314151-++=c b a ,解之得12=a ,12-=b ,3=c .13.设),(Y X 的分布律为(1)求)(X E 及)(Y E ;(2)设XYZ =,求)(Z E ;(3)设2)(Y X Z -=,求)(Z E .解:(1)2)13.00(3)1.001.0(2)1.01.02.0(1)(=++⨯+++⨯+++⨯=X E ,0)1.01.01.0(1)3.001.0(0)01.02.0()1()(=++⨯+++⨯+++⨯-=Y E ,(2)1.01)3.001.0(00)31(1.021(2.01)(⨯+++⨯+⨯-+⨯-+⨯-=Z E 1511.0311.021-=⨯+⨯+,(3)1.0)01(0)]1(3[1.0)]1(2[2.0)]1(1[)(2222⨯-+⨯--+⨯--+⨯--=Z E 51.0)13(1.0)12(1.0)11(3.0)03(0)02(22222=⨯-+⨯-+⨯-+⨯-+⨯-+.14.设随机变量),(Y X 的概率密度函数为⎪⎩⎪⎨⎧≤≤≤≤+=其他.,0,10,20,3),(y x yx y x f求)(X E ,)(Y E ,)(Y X E +及)(22Y X E +.解:⎰⎰∞+∞-∞+∞-=y x y x f x X E d d ),()(911d d 31020=+⋅=⎰⎰y x y x x ,⎰⎰∞+∞-∞+∞-=y x y x yf Y E d d ),()(95d d 31020=+⋅=⎰⎰y x y x y ,⎰⎰∞+∞-∞+∞-+=+y x y x f y x Y X E d d ),()()(916d d 3)(1020=+⋅+=⎰⎰y x y x y x ,⎰⎰∞+∞-∞+∞-+=+y x y x f y x Y X E d d ),()()(2222613d d 3)(102022=+⋅+=⎰⎰y x y x y x .15.),(Y X 在区域}1,0,0|),{(≤+≥≥=y x y x y x D 上服从均匀分布,求)(X E ,)23(Y X E -及)(XY E .解:由题可知),(Y X 的联合密度函数为⎩⎨⎧≤≤-≤≤=其他.,0,10,10,2),(y y x y x f ⎰⎰∞+∞-∞+∞-=y x y x f x X E d d ),()(31d d 21010==⎰⎰-yy x x ,⎰⎰∞+∞-∞+∞--=-y x y x f y x Y X E d d ),()23()23(31d d )23(21010=-=⎰⎰-yy x y x ,⎰⎰∞+∞-∞+∞-=y x y x xyf XY E d d ),()(121d d 21010==⎰⎰-y y x xy .16.设二维随机变量),(Y X 的概率密度函数为⎪⎩⎪⎨⎧>+≤+=.1,0,1,1),(2222y x y x y x f π证明:随机变量X 与Y 不相关,也不相互独立.证:⎰⎰⎰⎰⋅=⋅=∞+∞-∞+∞-πθθππ201d d cos 1d d 1)(r r r y x x X E ,同理,0)(=Y E ,⎰⎰⎰⎰⋅⋅=⋅=∞+∞-∞+∞-πθθθππ201d d sin cos 1d d 1)(r r r r y x xy XY E ,0)()()(),cov(=-=Y E X E XY E Y X ,故随机变量X 与Y 不相关.当11≤≤-x 时,ππ21112d 1d ),()(22x y y y x f x f x x X -===⎰⎰---∞+∞-,其他,0)(=x f X ,故⎪⎩⎪⎨⎧≤≤--=其他.,0,11,12)(2x x x f X π同理,⎪⎩⎪⎨⎧≤≤--=其他.,0,11,12)(2y y y f Y π易得)()(),(y f x f y x f Y X ≠,故随机变量X 与Y 不相互独立.17.设随机变量1X ,2X 的概率密度分别为⎩⎨⎧≤>=-.0,0,0,e 2)(21x x x f x ,⎩⎨⎧≤>=-.0,0,0,e 4)(42y y y f y 试用数学期望的性质求:(1))(21X X E +及)32(221X X E -;(2)又设1X ,2X 相互独立,求)(21X X E .解:由题可知1X ~)2(E ,2X ~)4(E ,则21)(1=X E ,41)(2=X E ,161)(2=X D ,81)]([)()(22222=+=X E X D X E .(1)43)()()(2121=+=+X E X E X X E ,85)(3)(2)32(221221=-=-X E X E X X E .(2)81)()()(2121==X E X E X X E .18.(1)设1X ,2X ,3X 及4X 独立同在)1,0(上服从均匀分布,求)51(41∑=k k kX D ;(2)已知随机变量X ,Y 的方差分别为25和36,相关系数为4.0,求Y X U 23+=的方差.解:(1)由题易得121)(=i X D ,)51(41∑=k k kX D )(5141∑==k kkX D )](4)(3)(2)([514321X D X D X D X D +++=21)4321(121512222=+++⋅=.(2)由已知25)(=X D ,36)(=Y D ,4.0)()(),cov(==Y D X D Y X XY ρ,得12),cov(=Y X ,)2,3cov(2)2()3()23()(Y X Y D X D Y X D U D ++=+=513),cov(232)(2)(322=⋅⋅++=Y X Y D X D .19.一民航送客车载有20位旅客自机场开出,旅客有10个车站可以下车,如果到达一个车站没有旅客下车就不停车,以X 表示停车的次数,求)(X E (设每位旅客在各个车站下车是等可能的,并设各旅客是否下车相互独立).解:引入随机变量⎩⎨⎧=站无人下车.,在第站有人下车;,在第i i X i 01,10,,2,1 =i .易知1021X X X X +++= .按题意,任一旅客在第i 站不下车的概率为9.0,因此20位旅客都不在第i 站下车的概率为209.0,在第i 站有人下车的概率为209.01-,也就是209.0)0(==i X P ,209.01)1(-==i X P ,10,,2,1 =i .由此209.01)(-=i X E ,10,,2,1 =i .进而)()()()()(10211021X E X E X E X X X E X E +++=+++= 784.8)9.01(1020=-=(次).20.将n 只球(1~n 号)随机地放进n 只盒子(1~n 号)中去,一只盒子装一只球.若一只球装入与球同号的盒子中,称为一个配对,记X 为总的配对数,求)(X E .解:引入随机变量⎩⎨⎧=号盒子.号球未放入第第号盒子号球放入第第i i i i X i ,0,,1,n i ,,2,1 =,则n X X X X +++= 21,显然n X P i 1)1(==,则nX P i 11)0(-==,n i ,,2,1 =,从而nX E i 1)(=,n i ,,2,1 =,于是1)()()()()(2121=+++=+++=n n X E X E X E X X X E X E .21.设随机变量),(Y X 的分布律为试验证X 和Y 是不相关的,但X 和Y 不是相互独立的.证:0)25.00(2)025.0(1)025.0()1()25.00(2)(=+⨯++⨯++⨯-++⨯-=X E ,5)25.00025.0(4)025.025.00(1)(=+++⨯++++⨯=Y E ,0)4(25.0)8(0225.0125.0)1(02)(⨯-+⨯-+⨯+⨯+⨯-+⨯-=XY E 025.0804=⨯+⨯+,所以0)()()(),cov(=-=Y E X E XY E Y X ,故X 与Y 不相关.易知25.025.00)2(=+=-=X P ,5.0025.025.00)1(=+++==Y P ,0)1,2(==-=Y X P ,有)1()2()1,2(=-=≠=-=Y P X P Y X P ,故X 与Y 不相互独立.22.设二维随机变量),(Y X 的概率密度为⎩⎨⎧≤≤≤≤+=其他.,0,10,10,),(y x y x y x f 求)(X E ,)(Y E ,)(X D ,)(Y D ,)(XY E ,),cov(Y X 及XY ρ.解:127d d )(d d ),()(1010=+==⎰⎰⎰⎰∞+∞-∞+∞-y x y x x y x y x f x X E ,125d d )(d d ),()(1010222=+==⎰⎰⎰⎰∞+∞-∞+∞-y x y x x y x y x f x X E ,14411)]([)()(22=-=X E X E X D ,由轮换对称性,得127)(=Y E ,14411)(=Y D ,31d d )(d d ),()(1010=+==⎰⎰⎰⎰∞+∞-∞+∞-y x y x xy y x y x xyf XY E ,1441)()()(),cov(-=-=Y E X E XY E Y X ,111)()(),cov(-==Y D X D Y X XY ρ.23.设X ~),(2σμN ,Y ~),(2σμN ,且X ,Y 相互独立.求Y X Z βα+=1和Y X Z βα-=2的相关系数(α,β是不为0的常数).解:由题可知μ==)()(Y E X E ,2)()(σ==Y D X D ,则2222)]([)()(σμ+=+=X E X D X E ,2222)]([)()(σμ+=+=Y E Y D Y E ,μβαβα)()()(1+=+=Y X E Z E ,μβαβα)()()(2-=-=Y X E Z E ,222221)()()()()(σβαβαβα+=+=+=Y D X D Y X D Z D ,222222)()()()()(σβαβαβα+=+=-=Y D X D Y X D Z D ,)()])([()(222221Y X E Y X Y X E Z Z E βαβαβα-=-+=))(()()(22222222σμβαβα+-=-=Y E X E ,222212121)()()()(),cov(σβα-=-=Z E Z E Z Z E Z Z ,22222121)()(),cov(21βαβαρ+-==Z D Z D Z Z Z Z .24.设),(Y X 的联合概率密度为⎩⎨⎧≤≤≤≤--=.,0,10,10,2),(其他y x y x y x f (1)求),cov(Y X ,XY ρ和)32(Y X D -;11(2)X 与Y 是否独立?解:(1)125d d )2(d d ),()(1010=--==⎰⎰⎰⎰∞+∞-∞+∞-y x y x x y x y x f x X E ,41d d )2(d d ),()(1010222=--==⎰⎰⎰⎰∞+∞-∞+∞-y x y x x y x y x f x X E ,61d d )2(d d ),()(1010=--==⎰⎰⎰⎰∞+∞-∞+∞-y x y x xy y x y x xyf XY E ,14411)]([)()(22=-=X E X E X D ,由轮换对称性,125)(=Y E ,14411)(=Y D ,1441)()()(),cov(-=-=Y E X E XY E Y X ,111)()(),cov(-==Y D X D Y X XY ρ,)3,2cov(2)3()2()32(Y X Y D X D Y X D -+-+=-144155),cov(12)(3)(222=-+=Y X Y D X D .(2)当10≤≤x 时,x y y x y y x f x f X -=--==⎰⎰∞+∞-23d )2(d ),()(10,其他,0)(=x f X ,故⎪⎩⎪⎨⎧≤≤-=其他.,0,10,23)(x x x f X 同理,⎪⎩⎪⎨⎧≤≤-=其他.,0,10,23)(y y y f Y 因为)()(),(y f x f y x f Y X ≠,故X 与Y 不相互独立.。
概率统计习题课⼀随机事件及其概率1. ,,A B C 为三个随机事件,事件“,,A B C 不同时发⽣”可表⽰为,事件“,,A B C 都不发⽣”可表⽰为,事件“,,A B C ⾄少发⽣两件”可表⽰为。
2.从1,2,3,4中随机取出两个数,则组成的两位数是奇数的概率是,事件“其中⼀个数是另⼀个数的两倍”的概率是。
3. 有r 个球,随机地放在n 个盒⼦中(r n ≤),则某指定的r 个盒⼦中各有⼀球的概率为_ __ __。
4.把3个球随机放⼊编号为1,2,3的三个盒⼦(每个盒⼦能容纳多个球),则三个盒⼦各放⼊⼀球的概率是___________。
5. 设,A B 为随机事件,()0.7P A =, ()0.3P A B -=,则()P A B =__ ___。
6.事件A 发⽣必然导致事件B 发⽣,且()0.1,()0.2,P A P B ==,则()P A B =____。
7. 盒中有6个⼤⼩相同的球,4个⿊球2个⽩球,甲⼄丙三⼈先后从盒中各任取⼀球,取后不放回,则⾄少有⼀⼈取到⽩球的概率为___________。
8. 甲⼄两个盒⼦,甲盒中有2个⽩球1个⿊球,⼄盒中有1个⽩球2个⿊球,从甲盒中任取⼀球放⼊⼄盒,再从⼄盒中任取⼀球,取出⽩球的概率是。
9.某球员进⾏投篮练习,设各次进球与否相互独⽴,且每次进球的概率相同,已知他三次投篮⾄少投中⼀次的概率是,则他的投篮命中率是。
10. 将⼀枚硬币抛掷3次,观察出现正⾯(记为H )还是反⾯(记为T ),事件A ={恰有⼀次出现正⾯},B ={⾄少有⼀次出现正⾯},以集合的形式写出试验的样本空间Ω和事件,A B ,并求(),(),()P A P B P A B11. 已知()0.1,()0.2P A P B ==,在下列两种情况下分别计算()P A B 和()P A B :(1) 如果事件,A B 互不相容; (2) 如果事件,A B 相互独⽴。
12. 盒中有3个⿊球7个⽩球,从中任取⼀球,不放回,再任取⼀球,(1)若第⼀次取出的是⽩球,求第⼆次取出⽩球的概率 (2)两次都取出⽩球的概率 (3) 第⼆次取出⽩球的概率 (4) 若第⼆次取出的是⽩球,求第⼀次取出⽩球的概率。