Lecture5 Phonology
- 格式:ppt
- 大小:1.31 MB
- 文档页数:62
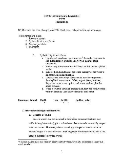
24.900 Introduction to Linguistics4/6/05PhonologyNB: Quiz date has been changed to 4/20/05. It will cover only phonetics and phonology. Topics for today’s class:1.Review of vowels2.Syllabic Liquids and Nasals3.Suprasegmentals4.PhonemesI.Syllabic Liquid and Nasalsa.Liquids and nasals are more sonorous1 than other consonantsand in this respect are more like vowels than the otherconsonants.b.In fact, they are so sonorous that they can function as syllabicnuclei.c.Syllabic liquids and nasals are found in many of the world’slanguages, including English.d.Linguists are not always consistent in how they representthese syllabic consonants. Often, as you already noticed,they use a broad transcription and insert a schwa plus theliquid or nasal.e.When a syllabic liquid or nasal is used, they are often writtenwith the diacritic short line beneath the consonantExamples: funnel [f√nl] her [hr] [h®] button [b√tn]»»»»II. Prosodic suprasegmental features:a.Length: a:, k:, kkSpeech sounds that are identical in their place or manner features may differ in length (duration), pitch or loudness. Tense vowels are usually longerthan lax vowels. However, when a vowel is prolonged to around twice itsnormal length, it is considered in some languages a different vowel, and it canmake a difference between words.1 Sonorous: Characterized by a relatively open vocal tract with relatively little obstruction of airflow as a sound is made.Japanese: biru buildingbi:ru (biiru) beerA long vowel is also called a geminate vowel.Japanese, Finnish and Italian, for example, also have geminate consonants that make a difference in words. When a consonant is long, either the closure or obstruction is prolonged.Japanese short “k” saki aheadlong “k” sakki beforeEnglish does not use vowel or consonant length to change a word.No NOOOOOOO NOO all mean NOb.Pitch: depends on how fast the vocal cords vibrate; the faster theyvibrate, the higher the pitch. If the larynx is small, as in children and women, the shorter vocal cords vibrate faster and the pitch is higher, all else being equal.c.Stress: In many languages, certain syllables in a word are louder, slightlyhigher in pitch, and somewhat longer in duration (but not geminate) that other syllables in a word. They are stressed syllables.Di gest (noun) di gest (verb)English is a stress language. In general, at least one syllable is stressed in an English word. French is not a stressed language. The syllables have approximately the same loudness, length and pitch.d.Tone and Intonation: Speakers have the ability to control the level ofpitch in their speech. This is accomplished by controlling the tension of the vocal folds and the amount of air that passes through the glottis. The combination of tensed vocal folds and greater air pressure results in higher pitch on vowels and sonorant consonants, while less tense vocal folds andlower air pressure result in lower pressure. Two kinds of controlled pitch are tone and intonation.•Tone: A language is a tone language when differences in word meaning are signaled by differences in pitch. Pitch on forms in tone languagesfunction very differently from the movement of pitch in a non-tonelanguage.Compare: a car. A car?Chinese: ma (five tones) (all signal different meanings; we will see that in some languages tone is phonemic)•Intonation is pitch movement in spoken utterances that is not related to differences in word meaning. However, intonation often does serve to convey information of a broadly meaningful nature. For example, thefalling pitch we hear at the end of statement in English such as Susanblasted the flames. Signals that the utterance is complete.•Terminal intonation contour•Nonterminal intonation contour: a rising or level intonation contour that signals incompleteness.Length, pitch and stress are prosodic or suprasegmental features.III.Differences between Phonetics and Phonology.o Distinction between the two is not always made in a consistent manner within linguistics.o In general, phonetics is more specifically the study of how speech sounds are produced, what their physical properties are, and how they areinterpreted.o Phonology investigates the organization of speech sounds in a particular language.•The shift involves one from more units to fewest units.•From huge variety to relative invariance•From absolutely concrete to relatively abstracto….In linguistic terms, it’s not just that I say tomahto, andyou say tomayto. It’s that I say tomahto, and tomahto, andtomahto, and the three utterances are subtly different butwe both think that I said the same thing three times(McMahon 2002: p. 3).•Focuses on language specific selection and organization ofsounds to signal difference (in spite of individual variationof at least two forms).•While we might find the same sounds in two or morelanguages, no two languages organize their soundinventories in the same way.PhonemesIV.-In every language, certain sounds are considered to be the same sound, even though they may be phonetically distinct.l ay (voiced) versus p l ay (voiceless)p in (aspirated) versus s p in (unaspirated)-Consider the [t] sound in each of the following words:t op s t op li tt le ki tt en hun ter-What differences exist among these [t]s?-To a native speaker, in spite of the differences, all of the words have a /t/ in them, at least at some psychological level.-A speaker of Hindi, however, could not ignore the differences in aspiration in the stops of English.[k h əl] wicked person[kəl] yesterday, tomorrow[kаp] cup[kap h] phlegm[p həl] fruit[pəl] moment-A native speaker of English can overlook the differences in aspiration of these stops because they do not signal meaning differences. We just heardifferent pronunciations of the same word.-However, differences in aspiration signal differences in meaning for Hindi.-Thus, aspirated and unaspirated stops have different values in the phonological systems of English and Hindi.Definitions:A class of speech sounds that are identified by a native speaker as the Phoneme:same sound.Allophone: The members of these classes (of phonemes) which are actual phonetic segments produced by a speaker. Thus, an allophone is a phone that has been classified as belonging to some class or phoneme. (aspirated [t] vs. unaspirated [t] in English. )V.Distribution of Speech Sounds:a.An important concept in phonology: whether the sounds arecontrastive or not.b.If two sounds are separate phonemes, then the two speechsounds are contrastive. Interchanging the two sounds canchange the meaning of a word.c.If the two phones are allophones of the same phoneme, thenthey are nonconstrastive. The alternation of the two soundsdoes not result in a change of meaning.d.To determine which sounds are thought of by a native speakeras the same sound and which sounds are distinctive relative toone another, it is important to look at where these sounds occurin a language. In other words, linguists try to discover what thephonemes of a language are by examining the distribution ofthat language’s phones.e.The distribution of a phone is the set of phoneticenvironments in which it occurs. For example, nasalizedvowels appear in English in the environment of a nasalconsonant [n Q zl].f.In general, speakers will attend to phonetic differences betweentwo or more sounds only when the choice between the soundscan change the meaning of a word- that is, can cause adistinction in meaning.g.Such sounds are said to be distinctive with respect to oneanother.h.One way to determine whether two sounds in a language aredistinctive is to identify a minimal pair. A minimal pair isdefined as a pair of words with different meanings which arepronounced exactly the same way except that one sound thatdiffers. When you find a minimal pair, you know that thesound that varies from one word to another is contrastive.Leaf vs. reefLack vs. rackTeam vs. deemTeam vs. teenVI.Some Exercises:a. Consider the following data for Spanish:(The sound [γ] is a voiced, velar fricative, [ñ] is a palatal nasal, and [r] is a voiced, alveolar trill.Spanish Gloss[paγo] I pay[laγo]lake[kara]face each[ka∂a][gato]cat duck[pato]pipe[kaña]cane[kana][pero]dog but[pero]What are the minimal pairs in Spanish in the data above? What are the distinct phonemes, if any?VII.More terms for Distribution:•Overlapping Distribution: When two sounds occur in sets of phonetic environments that are partially or completely identical. For example, consider the environments in which [b] and [d] can occur in English:Bait [bet][det]dateload[lod]Lobe [lob][nadz]nods[nabz]Knobs*[dlit]----Bleat [blit]o The set of environments for [b] and [d] is partially similar:Both occur word initially before a vowel and between [a] and[z].Both also occur in environments that are not identical [bl…]vs. [[dl..].Nonethelss, we say that their sets of possible phoneticenvironments overlap and thus we say that they are inoverlapping distribution in English.-Complementary Distribution: This is just the opposite ofoverlapping distribution. The situation in which phones neveroccur in the same phonetic environment, e.g., [t] and [t h] in are incomplementary distribution. (cf. allophones). Together theenvironments in which these allophones occur make up a wholeclass; thus, we say that they are complementary.[t h çp] vs. [stçp]The appearance of one allophone or another is predictable whenthose allophones are in complementary distribution.Free Variation: Other phones that are in overlapping distribution are in free variation. As an example, consider the following words containing [p] and [p¬];[p¬] represents an unreleased voiceless bilabial stop:Leap [lip] leap[lip¬][sop¬]Soap [sop] soap[trup¬]Troop [trup] troopHappy [hæpi] ---- *[hæp¬ i]It should be clear that these sounds are also in overlapping distribution because they share some of the same environments: they can both appear at the ends ofwords. Unlike the [b] vs. [d] examples, however, there are no minimalpairs in these data. Although there are pairs of words containing the samesounds but one, these words do not contrast in meaning. To a nativespeaker, sounds like [p] and [p¬] that are in free variation are perceived asbeing the “same” sound, and so we conclude that they are allophones ofthe same phoneme.XIII. Pronunciation of Morphemes:English plurals: The DataA B C DchildbusCabcapoxbushCadcatbuzzmousebackBaggarage criterioncuffLovesheepmatchLathefaithbadgeCamCanBangCallBarSpaBoyWhat generalizations can you generate for the formation of the plurals in each of the above columns for English? That is, what are the environments for the plural allomorphs in English?-Start with simple lists then extract the generalization from the members.Allomorph Environment[k hæb],[z] After:VIII.Phonological Rules: (similar to rules of syntax and morphology) -A more concise way of stating the same information that we just noted above, is in terms of phonological rules.i.We will assume that the regular, productive pluralmorpheme has the phonological form /z/. This is theform of the plural that is pronounced if no phonologicalrules apply to it.ii.Given this basic form, the variation in pronunciation ofthe regular plural morpheme follows two rules:1. Insert a [ə] before the plural morpheme when a regular nounends in a sibilant /s, ∫, z, Z , t∫, d Z / giving [əz]2. Change the plural morpheme to a voiceless [s] when avoiceless sound precedes it.IX.Lots more to say about Phonological Rules:An underlying assumption we are making:I. Derivations and underlying representations:a. A systematic modification of stored representations assembled into largerconstituents undergoes systematic modification via a class of mental operationsb.An underlying or phonological representation will contain all and only theunpredictable (distinctive feature) information for each lexical item.c.Predictable features of pronunciation are added to the underlying phonologicalrepresentation by grammatical rules and principles.d.These rules operate on the basis of the information in the lexical item’sphonological representation on an underlying form and the context in which it islocated.II. Phonological Rules are of two types:Allophonic rules: fill in qualities of pronunciation that are absent in the lexical forms of morphemes but are required by their circumstances in speech, like theaspiration of word-initial /k/ in coats and the rounding of the word-initial /r/ ofrules.-English stop aspiration:Rule 1: Voiceless stops are aspirated when in initial stressed syllablesRule 2: Nouns, main verbs, adjectives and adverbs have at least one stressedvowel.Morphemic rules: also known as morphonemic rules and morphophonological rules change or choose between meaningful qualities given as part of the lexical entries of morphemes, as where voicing of the /z/ of the plural suffix is replaced by voiclessness, giving /s/, in words like /kots/ coats and /saks/ socks.-English plural rule above .。
phonology英语定义
Phonology 是语言学的一个分支,主要研究语言的发音和音系结构。
更具
体地说,它研究的是音素(即语音的最小单位)如何在特定语言中组合、分布和替换,以及这些组合如何形成有意义的词和短语。
例如,在英语中,“cat” 和“hat” 虽然发音相同,但在音系结构上却有不同的音素组合。
在“cat” 中,音素是/k/, /æ/, 和 /t/;而在“hat” 中,音素是/h/, /æ/, 和 /t/。
虽然两个词的音素在某些位置上是相同的(例如
/æ/ 和 /t/),但它们在关键位置上的音素不同(即 /k/ 和 /h/),这使得
两个词在音系结构上有所不同。
Phonology 的研究还包括音位的对立关系(即哪些音素在特定语言中是不
同的)、音位的互补关系(即哪些音素在特定语言中是互相补充的,不会出现在同一个位置或组合中)以及音位的分布和替换规则等。
语言学笔记陈银2014/4/5Lecture 5Chapter 2 Speech Sounds (Lecture 2)2.3.1 From Phonetics to PhonologyPretest⏹Q1. Define phonology⏹Q2. Explain the relation between phonetics and phonology.A1: Phonology is the study of the sound patterns and sound systems of languages.A2: Relation between Phonetics and Phonology:•Similarity: both studying speech sounds;⏹Dissimilarity:•Phonetics --- sounds‟ classification & description;•Phonology --- rules of sound system.Q3: why does “a” in “map” has a nasal quality?A: If a nasal consonant (such as [m]) precedes an oral vowel (such as [æ] in map) , some of the nasality will carry forward so that the vowel [æ] will begin with a somewhat nasal quality. This is because in producing a nasal the soft palate is lowered to allow airflow through the nasal tract. To produce the course it takes time for the soft palate to move from its lowered position to the raised position. This process is still in progress when the articulation of [æ] has begun.Coarticulation⏹When simultaneous or overlapping articulations are involved, we call the processcoarticulation.⏹If the sound becomes more like the following sound, it is known asanticipatory coarticulation.⏹lamb⏹s eat / s oup⏹If the sound shows the influence of the preceding sound, it is perseverativecoarticulation. mapPhonetic transcription⏹Nasalization•l a mb [ æ ]⏹(with a diacritic ~ to indicate the vocal [æ] has been nasalized.)⏹Aspiration•p eak[ph]⏹(with a diacritic h to indicate the voiceless bilabial stop [p] isaspirated.)•[p] is aspirated in peak and unaspirated in speak.⏹Phonetic transcription⏹When we use a simple set of symbols in our transcription, it is called a broadtranscription.⏹The use of more specific symbols to show more phonetic detail is referred to as a narrowtranscription.⏹Diacritics: the set of symbols in IPA, which are added to the letter-symbols to bring outfiner distinctions than the letters alone may possibly do.pit [phit]⏹ Broad transcription with letter-symbols only spit [spit]⏹Narrow transcription with letter-symbols together with the diacritics. pit [p h it]e.g.clear [ l ] as in let, play ( before a vowel: clear)[ l ]dark [ ɫ ] as in tell, feel (after a vowel: dark)aspirated [ ph] as in pit, peak[ p]unaspirated [ p] as in spit, speed1. The space between the two vocal cords is called ______.2.The most flexible speech organ in articulation is the ______.3. When produced with somewhat obstruction of the airflow somewhere in the mouth, thesounds must be ______.4. Phoneticians apply two standards to classify consonants: one is _____________________,i.e. the part of the vocal tract at which the constriction, obstruction or block is formed; theother is____________________, i.e. the way that the airstream is blocked, constricted, or obstructed.5. The consonants that are produced by closing the two lips first and let them open with theburst of the airflow are called_________.6. The two interdentals in English are the voiceless ___ and the voiced ___ respectively.7. The English consonants are either ______ or ______ depending on whether thevelum is raised or lowered.2.3.2 Phonemes⏹Phonology is not specifically concerned with the physical properties of the speechproduction system.•Phoneticians are concerned with how sounds differ in the way they are pronounced while phonologists are interested in the patterning of such soundsand the rules that underlie such variations.⏹Crystal: …Phonological analysis relies on the principle that certain sounds cause changesin the meaning of a word or phrase, whereas other sounds do not‟.•Minimal pairs test•PhonemesMinimal pairs(最小对立体):Phonological analysis relies on the principle that certain sounds cause changes in the meaning of a word.e.g. [t] and [d]: tin/din, tie/die[i:] and [i]: beat/bit, bead/bidThese important units are called phonemes2.2.1 Minimal PairDefinition:• A minimal pair refers to two different words which are identical in every way in pronunciation except one sound that takes place at the same position.Examples:•[pit] vs. [bit]•[bet] vs. [bæt]Minimal pairs最小对立对⏹Three requirements for identifying minimal pairs:•1) different in meaning;•2) only one phoneme different;•3) the different phonemes occur in the same phonetic environment.⏹ e.g. p at vs. fat⏹Minimal set: pat, mat, bat, fat, cat, hat, etc.The phoneme theoryPhoneme: units of explicit sound contrast, built on the idea of contrastLanguages differ in the selection of contrastive sounds.In English, the distinction between aspirated [ph] and unaspirated [p] is not phonemicBy convention, phonemic transcriptions are placed between slant lines (//), while phonetic transcriptions are placed between square brackets ([ ]).In phonetic terms, phonemic transcriptions represent the “broad” transcriptionPhone /phonemebead bean pit spit[bi:d] [b ĩ:n] [phit] [spit]⏹/b/ /i:/ /d/ /n/ /p//i/ /s/ /t/—phonemes⏹[b] [i:] [d] [ ĩ:] [n] [ph ] [p] [ i ] [t] [s]—phonesPhoneDefinition:A phone refers to the smallest perceptible discrete segment of sound in a stream of speechExamples:•[p], [e], [n] in [pen]•[b], [u], [l], [i], [t] in ['bulit];Phoneme音位⏹Any speech sound segments that can distinguish or contrast words in sound andmeaning are called phonemes.⏹ A phoneme is the minimal or smallest distinctive linguistic unit in a language.⏹Languages differ in the selection of contrastive sounds.⏹In English, the distinction between aspirated [ph]and unaspirated [p]is notphonemic. [fəuˈni:mik]⏹In Chinese, however, the distinction between /p/ and /ph/ is phonemic.Phone vs. phonemePhone:phonetic unit A phone refers to the smallest perceptible discrete segment of sound in a stream of speech.physical as heard or produced marked with [ ]Phoneme: phonological unit Any speech sound segments that can distinguish or contrast wordsin sound and meaning are called phonemes. /A phoneme is the minimal or smallest distinctive linguistic unit in a language. Abstract marked with / /2.3.3 Phoneme & Allophones⏹Definitions:A phoneme is the minimal or smallest distinctive linguistic unit in a language.Allophones are phonic variants of a phoneme, which share more phonetic features in common and which are phonetically conditioned each.Allophones are possible variants or realization of a phoneme in different phonetic environment. allophone 音位变体⏹allophone: phonic variants/realizations of a phoneme⏹ A phoneme is realized as allophone1+allophone2+….• e.g. /p/=[ ph ] + [ p]⏹In this case the allophones are said to be in complementary distribution because theynever occur in the same context:⏹ALLOPHONES (音位变体): the variants of a phoneme⏹ALLOPHONY/ALLOPHONIC V ARIATION: the phenomenon of variation in thepronunciation of phonemes in different position⏹COMPLMENTARY DISTRIBUTION(互补分布): the allophones never occur in thesame context(1) /p/ [p=] / [s] __________[ph] elsewhere(2) /l/ [l] / _______ V[ł]/ V _______●Q: Are all the phones in complementary distribution allophones?⏹PHONETIC SIMILARITY (语音相近): allophones of a phoneme must bear somephonetic resemblanceE.g. [l, ł] lateral approximants only differing in places of articulation●NOTE: Allophy: complementary distribution + phonetic similarity⏹FREE V ARIANTS: the pronunciation difference may be caused by dialect, habit, region,or individual preference, instead of by any distribution ruleIndividual differenceE.g., cup: [khΛph], [khΛp┐]┐: no audible releaseDialectical differenceE.g., either: [i:ðə], [aiðə]2.4 Phonological processes and phonological rules2.4.1 AssimilationNasalization, dentalization, and velarization are all instances of assimilation, a process by which one sound takes on some or all the characteristics of a neighboring sound.1.If a following sound is influencing a preceding sound, we call it regressiveassimilation.2.If a preceding sound is influencing a following sound, it is known as progressiveassimilation.⏹These changes exhibit PHONOLOGICAL PROCESSES in which a TARGET orAFFECTED SEGMENT undergoes a structural change in certain ENVIRONMENTS or CONTEXTS.⏹In each process the change is conditioned or triggered by a following sound.⏹Any phonological process must have three aspects to it:⏹A) a set of sounds to undergo the process⏹B) a set of sounds produced by the process⏹C) a set of situations in which the process applies⏹/v/ ◊ [f] /z/ ◊ [s] etc.⏹voiced fricative ◊ voiceless / ____ voiceless⏹This is a PHONOLOGICAL RULE.⏹ A voiced fricative is transformed into the corresponding voiceless sound when itappears before a voiceless sound.⏹Nasalization rule:[-nasal] ◊ [+nasal] / ____ [+nasal]⏹Dentalization rule:[-dental] ◊ [dental] / ____ [dental]⏹Velarization rule:[-velar] ◊ [+velar] / ____ [+velar]⏹DEVOICING(清音化): a process by which voiced sounds become voiceless, in suchcontexts does not occur with other sounds (such as stop and vowels)E.g., [f, v; θ, ð; s, z; ʃ; ʒ; t ʃ; dʒ]●/v/ [f]V oiced fricatives are transformed into voiceless fricatives before voiceless segments.●voiced fricative voiceless/ ________ voiceless“A voiced fricative is transformed into the corresponding voiceless sound when it appears before a voiceless sound.”⏹PHONOLOGICAL PROCESSES :a process in which a TARGET or AFFECTED SEGMENT undergoes a structural change in certain ENVIRONMENTS or CONTEXTS⏹Three aspects of phonological processa set of sounds to undergo the process;a set of sounds produced by the process;a set of situations in which the process applies.⏹PHONOLOGICAL RULE“/” : to specify the environment in which the change takes placeFocus bar (焦点横线): to indicate the position of the target segmentE.g., Nasalization rule[- nasal] [+nasal]/_____[+ nasal]Dentalization, velarization rule2.4.2 Epenthesis, Rule Ordering and Elsewhere ConditionEx.a. a hotel, a boy, a white houseb. an apple, an honour, an old lady●NOTE: It is the lack of a consonant that requires the nasal [n] to be added to the article“a”.⏹EPENTHESIS : the process of inserting a nasal soundØ [n] / [ə] ________ V●NOTE: The regular plural and past tense forms also exhibit similar rules.Ex.a. desk [dεsk] desks [dεsks]b. chair [tʃeə] chairs [tʃeəz]c. bus [bΛs] buses [bΛsəz]⏹-(e)s: [s], [z], [əz] (See pp. 45)⏹/s/ is found after /t, k/ (the preceding sound is a voiceless consonant other than / s, ʃ, tʃ/)⏹/z/ appears after: /l, ə, n, b, d, g, əu/ (the preceding sound is a vowel or a voiced consonant)other than /z, ʒ, dʒ /⏹/əz/ occurs after /s, z, ʃ, ʒ, tʃ, dʒ /SIBILANTS(咝擦音): a speech sound (consonant) which is produced with friction and which has an s-like quality, e.g., /s, z, ʃ, ʒ, tʃ, dʒ /For the plural forms:⏹The /s/ appears after voiceless sounds.⏹The /z/ appears after voiced sounds.⏹The /əz/ appears after sibilants.UNDERLYING FORM / UNDERLYING REPRESENTATION (UR): the basic form (or the form which appears in most cases), e.g., /z/SURFACE FORM / SURFACE REPRESENTATION (SR):the derived form, e.g., /s, əz/⏹z s/[-voiced, C]________⏹Ø [ə]/sibilant _____ [z]a. //si:t + z//b. //bε d + z//c. //keIs + z//s N/A *s Devoicing N/A N/A N/A Epenthesissi:ts bεdz *keIss Outputa. //si:t + z//b. //bε d + z//c. //keIs + z//N/A N/A ə Epenthesiss N/A N/A Devoicingsi:ts bεdz keIsəz OutputConclusion:Epenthesis is applied before devoicing.⏹Rule ordering⏹Elsewhere Condition: The more specific rule applies first.2.4.3 Distinctive features⏹The idea of Distinctive Features was first developed by Roman Jacobson (1896-1982) inthe 1940s as a means of working out a set of phonological contrasts or oppositions to capture particular aspects of language sounds.Distinctive Feature Theory⏹Distinctive feature theory was proposed by Roman Jakobson in the1950s.⏹The core of it is binary opposite.⏹The purpose of it to reduce the number of phonemic features to the minimum so thatsome main features can be used to explain all the oppositions of phonemes in all the languages in the world.⏹For example, aspiration is a distinctive feature in Chinese . While voicing is a distinctivefeature in English.⏹Distinctive features⏹phonetic features :contrast meanings of words / distinguish onephoneme from another.Distinctive featurese.g. [±voiced]Examples:•[b it]vs.[p it]•[d ip]vs.[t ip]•[g id]vs.[k id]Nondistinctive featurese.g [ ±aspirated ]; [ ±nasal ]Examples:•[spit] [phit];•[stik] [sthik];•[skip] [skhip];•[b i:n] [sbĩ:n]Distinctive features⏹Some of the major distinctions include [consonantal], [sonorant], [nasal] and [voiced].•[consonantal] : consonants [+consonantal]vowels [–consonantal]•[sonorant] : obstruents [–sonorant]•others [+sonorant]⏹[sonorant] distinguishes between obstruents (stops, fricatives andaffricates) and sonorants (all other consonants and vowels)⏹These are known as binary features denoted by ‘ + ’ and ‘–’.ReviewDistinctive features Exercises⏹Specify the difference between each pair of sounds using features.⏹l.[l] [ɫ] 2.[ph] [p] 3.[ tʃ] [d3] 4.[k] [g] 5.[i] [u]2.5 Suprasegmentals⏹Suprasegmental features are those aspects of speech that involve more than singlesound segments.⏹The principal suprasegmentals are:2.5.1 The syllable structurec.f. Chinese and English syllable structure⏹Chinese: MONOSYLLABIC (with one syllable)⏹English: MONOSYLLABIC or POLYSYLLABIC (with more than one syllable)⏹NUCLEUS/PEAK (核心/峰): vowel or consonant, e.g., table [teibl]:[tei], [bl]⏹RHYME (or RIME) (韵基), ONSET (节首)⏹NUCLEUS (核心): the vowel within the rhyme⏹CODA (节尾): the consonant(s) after the nucleus⏹Open syllable: bar, tie⏹Closed syllable: bard, tied⏹Maximal Onset Principle (MOP)•When there is a choice as to where to place a consonant, it is put into the onset rather than the coda.•This explains the question of why /l/ in telling is pronounced as the clear [l].2.5.2 Stress⏹Stress refers to the degree of force used in producing a syllable. In transcription, araised vertical line [│] is often used just before the syllable it relates to.• A basic distinction i s made between stressed and unstressed syllables, the former being more prominent than the latter, which means that stress is a relativenotion.⏹At the word level, it only applies to words with at least two syllables.⏹At the sentence level, a monosyllabic word may be said to be stressed relative to otherwords in the sentence.⏹The stress pattern in English is no easy matter. In principle, the stress may fall on antsyllable. They also change over history and exhibit regional or dialectal differences. Changing English Stress PatternBecoming norm⏹inTEGral⏹coMMUNal⏹forMIDable⏹conTROVersy⏹INtegral⏹COMMunal⏹FORmidable⏹CONtroversyRP vs. GARP⏹laBORatory⏹DEBris⏹GARage GA⏹LABoratory⏹deBRIS⏹gaRAGEV vs. NVerb⏹conVICT⏹inSULT⏹proDUCE⏹reBEL Noun⏹CONvict⏹INsult⏹PROduce⏹REbelCompound vs. PhraseCompound Phrase⏹BLACKboard ⏹BLACKbird ⏹black BOARD ⏹black BIRDPrimary vs. Secondary StressepiphenomenalunsatisfactorydiscriminationstandardizationcommunicationindustrializationSentence Stress⏹Sentence stress is much more interesting. In general situations, notional words arenormally stressed while structural words are unstressed.⏹Sentence stress is often used to express emphasis, surprise, etc. so that in principle stressmay fall on any word or any syllable.e.g.John bought a red car.JOHN bought a red car.John BOUGHT a red car.John bought a RED car.John bought a red CAR.2.5.3 Intonation⏹Intonation involves the occurrence of recurring fall-rise patterns, each of which isused with a set of relatively consistent meanings, either on single words or on groups of words of varying length.For example, the fall-rise tone in English typically involves the meaning of a contrast within a limited set of items stated explicitly or implicitly.(Isn’t her name Mary?) No / ∨ Jenny⏹The old man didn‟t come / whereas the ∨young man / did come and actually enjoyedhimself⏹∨I didn‟t do it2.5.4 ToneChinese tone changes are used in a different way, affecting the meanings of individual words.Languages like Chinese are known as tone languages.Study Questions1. Define the following terms:coarticulation phonemeallophone assimilationstress intonation2. What is the difference between an allophone and a phoneme?3. Which of the following words would be treated as minimal pairs?ban, fat, pit, bell, tape, heat, meal, more, pat, pen, chain, vote, bet, far, bun, goat, heel,sane, tale4. What is assimilation and what is a phonological rule?5. What is the difference between an open and a closed syllable?6. Individual sounds are described as segments. What are suprasegmentals? Group WorkGroup 5 Chapter 3 3.1。
Lecture FiveLong Sentence (I)Main Contents Of This Lecture♦I. Two Stages and Six Steps in Translating Long Sentences♦II. Methods Of Translation English Long SentencesI.Two Stages and Six Steps in Translating Long Sentences♦Stage 1♦Comprehension♦Stage 2♦Presentation♦英语长句在翻译时所涉及的基本问题,一是汉英语序上的差异,二是汉英表达方法上的差异。
前者主要表现为定状修饰语在语言转换中究竟取前置式(pre-position)、后置式(post-position)抑或插入式(insertion or parenthesis)。
♦表达方法上的差异涉及的问题比较复杂,主要表现为论理逻辑或叙述逻辑(logic in reasoning and narration)的习惯性与倾向性,因为语言中没有一成不变的表达方法。
所谓论理逻辑或叙述逻辑,主要指:行文层次及主次(包括句子重心,先说原因还是先说结果,先说条件或前提还是先说结论,先说施事者还是先说受事者等等)。
♦表达此外,表达方法还涉及修辞学范畴中的一些修辞格问题(如反复、排比、递进等),翻译中都应加以注意。
♦英语长句之所以很长,一般由三个原因构成:♦A、修饰语多♦B、联合(并列)成分多♦C、结构复杂,层次叠出♦英语长句可以严密细致地表达多重而又密切相关的概念,这种复杂组合的概念在口语语体中毫无例外是以分切、并列、递进、重复等方式化整为零地表达出来的。
此外我们在翻译英语长句时,还应体会到长句的表意特点和交际功能,尽量做到既能从汉英差异出发处理好长句翻译在结构形式上的问题,又要尽力做到不忽视原文的文体特征,保留英语长句所表达的多重致密的思维的特色,不要使译句产生松散和脱节感,妥善处理译句的内在联接问题。
语音学是语言研究中最根本的学科,讨论语言研究中基本的组成部分,语言的发音系统,语音学也被称为声音研究。
它探索语言表达方式,
如发音、音节、句子语法、语音的变化等。
此外,语音学还考虑语言
标记系统,诸如单词,音素,音节,发音节等。
语音学主要由声学学,语言学和音乐学三类研究构成,主要用于研究音标及声音,确定音节
系统,研究音节和语词的变换以及调整,并研究发音语法,以及音乐
理论。
基本上,语音学主要研究语言的三个主要特性:声音(节奏,音调,
声调,及其他特征),句子构建(词序,结构,及其他),以及语义
和语用(习语、省略语、低调、限制),以及其他语言学家和语言学
家所研究的话语解读领域。
另外,语音学也涉及其他的方面,如普通
话研究,外语发音研究,儿童语音学,以及动态识别研究。
语音学包括了发音规律,发音角色,发音机制和发音特性,以及发音
性别等。
它要求听等功能,能正确识别和掌握声音。
发音机制包括了
发声器件和机构,以及语言文本合成,回声室效应,暂态音频信号,
路径特性和持续声音处理,以及信号处理,另外还有各类模式。
发音
特征包括了特征空间的建立,特征的表示,特征特征和特征特性之间
的关联性,以及特征
从上述讨论可以看出,语音学是一门涉及多方面的学科,语音学家在
研究声学,语言学,音乐学等方面提出了很多问题,例如如何正确掌
握发音、语法、语义等,根据上述内容可知语音学的研究非常复杂,
牵涉诸多方面,对了解语言和发音系统是非常重要的研究工作。
虽然
语音学的研究和探索是一个不断发展的过程,但是它的重要性无可否认,因为它从根。
phonology的名词解释Phonology: Exploring the Sound Patterns of LanguageIntroductionLanguage is a sophisticated system that enables humans to communicate effectively. While grammar and vocabulary are important components of a language, another crucial aspect is its sound structure. Phonology, a branch of linguistics, is devoted to studying the sound patterns in languages. In this article, we will delve into the intricacies of phonology, examining its definition, key concepts, and significance in understanding how languages work.Defining PhonologyPhonology is the study of the organization and systematic patterns of sounds in language. It focuses on the relationships between the sounds and the underlying rules that govern their usage. By investigating phonology, linguists aim to understand how sounds are organized and contrasted in different languages, as well as how these sounds function within the larger system of the language.Phonemes and AllophonesAt the core of phonology lies the notion of phonemes, which are the smallest discrete units of sound that can change the meaning of a word. For example, in English, the difference between the words "pat" and "bat" lies in the phoneme /p/ and /b/. Changing one phoneme to another can alter the meaning of a word entirely.While phonemes represent abstract units, languages also have different ways of realizing these sounds in speech. These variants of phonemes are called allophones. Allophones are the different manifestations of a phoneme, which may vary depending on the context or environment in which they occur. For instance, the /k/ sound in English can be pronounced as a hard /k/ sound as in "cat," or as a softer /k/ sound as in "school."Phonological Rules and ProcessesTo comprehend the sound patterns in a language, phonologists identify and describe various phonological rules and processes. These rules govern how sounds change or interact with each other in speech. For example, assimilation is a process where a sound becomes similar to a neighboring sound. In English, the word "prefix" is often pronounced as "pree-fix" due to assimilation, where the /r/ sound is assimilated to the following /f/ sound.Another significant phonological process is vowel harmony, which occurs in languages such as Turkish and Hungarian. In these languages, certain vowels within a word must agree with each other in terms of specific phonetic properties, such as tongue position or lip rounding.Syllable Structure and PhonotacticsPhonology also investigates the structure of syllables and the constraints on sound combinations within and across syllables, known as phonotactics. Syllables serve as building blocks of words and have a predictable structure in most languages. For instance, English syllables usually consist of an optional initial consonant, a vowel, and an optional final consonant.Phonotactics, on the other hand, examine the permissible and forbidden sound sequences in a language. These constraints can vary across languages, reflecting the specific sound patterns speakers are accustomed to. For example, the syllable "tl" in English is rare and often borrowed from other languages, while it is a common consonant cluster in Nahuatl, an indigenous language of Mexico.The Significance of PhonologyUnderstanding phonology is crucial for multiple reasons. Firstly, it helps in deciphering the sound system of a particular language, allowing linguists to analyze the linguistic patterns and variations that exist. Additionally, phonological knowledge aids in identifying dialectal differences and accents within a language.Moreover, phonology plays a vital role in language acquisition. Children rely on phonological cues to recognize and differentiate sounds, which in turn helps them acquireand produce the sounds of their native language. By understanding phonological rules, educators can design effective teaching strategies to support language development in early childhood.ConclusionPhonology, as a fundamental component of linguistics, aims to unravel the intricacies of sound patterns in languages. By studying phonemes, allophones, rules, and processes within a language, phonologists gain insights into how sounds interact and contribute to the overall linguistic system. The significance of phonology extends beyond theoretical linguistics, playing a crucial role in language acquisition and cross-cultural communication. In essence, phonology provides a fascinating perspective on how humans harness sounds to convey meaning and connect with one another through the medium of language.。
英语的世界性分布Geographical distribution Countries which regard English as a primary language or mother tongueEnglish phonology is the study of the sound system (phonology) of the English language. Like many languages, English has wide variation in pronunciation, both historically and from dialect to dialect. In general, however, the major regional dialects of English are mutually intelligible.英语并没有决定性和国际承认的标准,所以不同国家的英语有时可能妨碍沟通。
虽然如此,不同地区的英语口音仍能互相理解。
Although there are many dialects of English, the following are usually used as prestige or standard accents: Received Pronunciation for the United Kingdom, General American for the United States, and General Australian for Australia.1)received adj.被一般承认的,被认为标准的RP Received Pronunciation (RP), also called the Queen's (or King's) English,[1] Oxford English[2] or BBC English, is the accent of Standard English in England, with a relationship to regional accents similar to the relationship in other European languages between their standard varieties and their regional forms.[3] RP is defined in the Concise Oxford Dictionary as "the standard accent of English as spoken in the south of England",[4] but some have argued that it can be heard from native speakers throughout England and Wales.[5][6] Although there is nothing intrinsic about RP that marks it as superior to any other variety, sociolinguistic factors have given Received Pronunciation particular prestige in parts of Britain.[7] It has thus been the accent of those with power, money and influence since the early to mid 20th century, though it has more recently been criticised as a symbol of undeserved privilege.[8] However, since the 1960s, a greater permissiveness towards allowing regional English varieties has taken hold in education[9] and the media in Britain; in some contexts conservative RP is now perceived negatively.[10]StatusTraditionally, Received Pronunciation was the "everyday speech in the families of Southern English persons whose men-folk [had] been educated at the great public boarding-schools"[27] and which conveyed no information about that speaker's region of origin prior to attending the school.It is the business of educated people to speak so that no-one may be able to tell in what county their childhood was passed.A. Burrell, Recitation. A Handbook for Teachers in Public Elementary School,1891.In the 19th century, there were still British prime ministers who spoke with some regional features, such as William Ewart Gladstone.[28] From the 1970s onwards, attitudes towards Received Pronunciation have been changing slowly. The BBC's use of announcers with strong regional accents, such as Yorkshire-born Wilfred Pickles, during World War II (in order to distinguish BBC broadcasts from German propaganda) is an earlier example of the use of non-RP accents.[29]Although admired in some circles, RP is disliked in others. It is common in parts of Britain to regard it as a south-eastern English accent rather than a non-regional one and as a symbol of the south-east's political power in Britain.[8] A 2007 survey found that residents of Scotland and Northern Ireland tend to dislike RP.[30]It is shunned by some with left-wing political views, who may be proud of having an accent more typical of the working-classes.[31]The left-wing British band Chumbawamba recorded asong protesting against the accent: "R.I.P. RP" from their album The Boy Bands Have Won.2)GAGeneral American (GA), also known as Standard American English (SAE), is a major accent of American English. The accent is not restricted to the United States. Within American English, General American and accents approximating it are contrasted with Southern American English, several Northeastern accents, and other distinct regional accents and social group accents like African American Vernacular English.What Kind of English Do You Speak?1 Mar, 2008 My ArticlesHere’s a pleasant diversion for your weekend. Take a simple 3 minute test to determine which type of American English you speak.Click Here to take the test. Feel free to comment below your results.My Linguistic Profile:55% General American English25% Yankee15% Dixie0% Midwestern0% Upper MidwesternWhich makes sense. I’ve never lived in the Midwest and grew up for part of my childhood in Texas, but have lived in Pennsylvania most of my life (sadly).General American in the mediaGeneral American, like British Received Pronunciation (RP) and most standard language varieties of many other societies, has never been the accent of the entire nation. However, it has become widely spoken in many American films, TV series, national news, commercial ads, and American radio broadcasts[citation needed].The General American accent is most closely related to a generalized Midwestern accent and is spoken particularly by many newscasters. The famous news anchor Walter Cronkite is a good example of a broadcaster using this accent.[citation needed] This has led the accent to sometimes be referred to as a "newscaster accent" or "television English". General American is sometimes promoted as preferable to other, regional accents.[citation needed]In the United States, classes promising "accent reduction”, “accent modification" and "accent neutralization" generally attempt to teach speech patterns similar to this accent. The well-known television journalist Linda Ellerbee, who worked hard early in her career to eliminate a Texas accent, stated, "in television you are not supposed to sound like you're from anywhere"[citation needed]; political comedian Stephen Colbert worked hard as a child to reduce his South Carolina accent because of the common portrayal of Southerners as stupid on American television.[1][2] General American is also the accent typically taught to people learning English as a second language in the United States, as well as outside the country to anyone who wishes to learn "American English," although in much of Asia and some other places ESL teachers are strongly encouraged to teach American English no matter their own origins or accents.[citation needed].Regional home of General AmericanIt is commonly believed that General American English evolved as a result of an aggregation of rural and suburban Midwestern dialects, though the English of the Upper Midwest can deviate quite dramatically from what would be considered a "regular" American Accent.[citation needed] The local accent often gets more distinct the farther north one goes within the Midwest, and the more rural the area, with the Northern Midwest featuring its own dialect North Central American English.[citationneeded] The fact that a Midwestern dialect became the basis of what is General American English is often attributed to the mass migration of Midwestern farmers to California and the Pacific Northwest from where it spread.The area of the United States where the local accent is most similar to General AmericanThe Telsur Project[3] (of William Labov and others) examines a number of phonetic properties by which regional accents of the U.S. may be identified. The area with Midwestern regional properties is indicated on the map: eastern Nebraska (including Omaha and Lincoln), southern and central Iowa (including Des Moines), and western Illinois (including Peoria and the Quad Cities but not the Chicago area).Since the 1960s, northeastern Ohio and much of the rest of the Inland North have been affected by the Northern Cities Vowel Shift (abbreviated "NCS").[4]The fact that the NCS is well established in Michigan is particularly interesting in light of the dominant beliefs about local speech. As research by Dennis Preston has shown, Michiganders believe they are “blessed” with a high degree of linguistic security; when surveyed, they rate their own speech as more correct and more pleasant than that of even their fellow Mid-westerners. By contrast Indianans tend to rate the speech of their state on par with that of Illinois, Ohio, and Michigan. Indeed, it is not uncommon to find Michiganders who will claim that the speech of national broadcasters is modeled on their dialect. Even a cursory comparison of the speech of the network news anchors with that of the local news anchors in Detroit will reveal the fallacy of such claims. Nevertheless, the Michiganders' faith that they speak an accentless variety is just an extreme version of the general stereotype of Midwestern English.[5]Particularly important in setting standards was John Kenyon, the pronunciation editor of the second edition of Webster's New International Dictionary.[6]Vowel D.J.:'vaʊəl][K.K.:'vaʊəl]n.元音, 元音字母consonant [D.J.:'kɔnsənənt][K.K.:'kɑnsənənt]n.辅音, 子音;辅音字母英语属于印欧语系中日耳曼语族下的西日耳曼语支,并通过英国的殖民活动传播到世界各地。