2020年10月上海市格致中学高一上学期月考数学试卷及答案
- 格式:pdf
- 大小:512.10 KB
- 文档页数:4
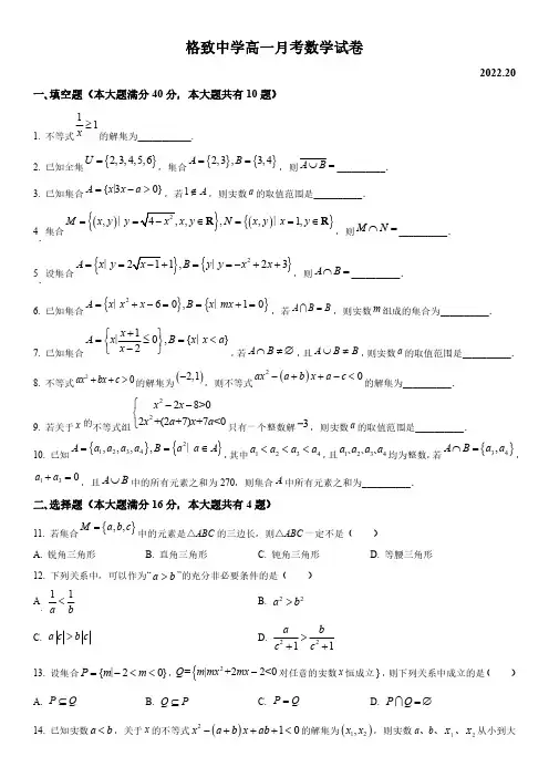
格致中学高一月考数学试卷2022.20一、填空题(本大题满分40分,本大题共有10题)1.不等式11x ≥的解集为___________.2.已知全集{}2,3,4,5,6U =,集合{}{}2,3,3,4A B ==,则A B ⋃=__________.3.已知集合{30}A xx a =->∣,若1A ∉,则实数a 的取值范围是__________.4.集合(){}(){},,,,1,M x y y x y N x y x y ==∈==∈R R ∣∣,则M N ⋂=__________.5.设集合{}{}21,23A x yB y y x x ==+==-++∣∣,则A B ⋂=__________.6.已知集合{}{}260,10A x x x B x mx =+-==+=∣∣,若A B B = ,则实数m 组成的集合为__________.7.已知集合10,{}2x A x B x x a x +⎧⎫=≤=<⎨⎬-⎩⎭∣∣,若A B ⋂≠∅,且A B B ⋃≠,则实数a 的取值范围是__________.8.不等式20ax bx c ++>的解集为()2,1-,则不等式()20ax a b x a c -++-<的解集为__________.9.若关于x 的不等式组2228>02+(2+7)+7<0x x x a x a ⎧--⎨⎩只有一个整数解3-,则实数a 的取值范围是__________.10.已知{}{}21234,,,,A a a a a B a a A ==∈∣,其中1234a a a a <<<,且1234a a a a 、、、均为整数,若{}34,A B a a ⋂=,130a a +=,且A B ⋃中的所有元素之和为270,则集合A 中所有元素之和为__________.二、选择题(本大题满分16分,本大题共有4题)11.若集合{},,M a b c =中的元素是△ABC 的三边长,则△ABC 一定不是()A.锐角三角形 B.直角三角形 C.钝角三角形D.等腰三角形12.下列关系中,可以作为“a b >”的充分非必要条件的是()A .11a b < B.22a b >C.a c b c > D.2211a b c c >++13.设集合{20}P m m =-<<∣,{2=|+22<0Q m mx mx -对任意的实数x 恒成立},则下列关系中成立的是()A.P Q ⊆ B.Q P⊆ C.P Q = D.P Q =∅ 14.已知实数a b <,关于x 的不等式()210x a b x ab -+++<的解集为()12,x x ,则实数a 、b 、1x 、2x 从小到大的排列是()A.12a x x b <<<B.12x a b x <<<C.12a xb x <<< D.12x a x b <<<三、解答题(本大题满分64分,本大题共有5题)15.“关于x 的方程()200ax bx c a ++=≠有实数根”是“0ac <”的什么条件?请证明你的结论.16.已知a 、b 、c ∈R ,若实数x 、y 、z 满足条件221x a b =-+,221y b c =-+,221z c a =-+,用反证法证明:x 、y 、z 中至少有一个数不小于0.17.设集合{}{}225,1,,21,3,1A a a B a a a =--=+--,若{}5A B ⋂=-,试求a 与A B ⋃.18.已知关于x 的不等式()()()2223310k k x k x k +-++->∈R 的解集为M .(1)若M =∅,求实数k 的取值范围;(2)若存在两个不相等的正实数a b 、,使得(),M a b =,求实数k 的取值范围.19.定义区间()[]][(),,,,m n m n m n m n 、、、的长度均为n m -,其中n m >.(1)不等式组2212133++3-4<0x x tx t ≤≤⎧⎪⎨⎪⎩的解集中各区间的长度和等于8,求实数t 的取值范围;(2)已知常数a b 、,满足a b >,求满足不等式111x a x b+≥--的解集中各区间长度之和.格致中学高一月考数学试卷2022.20一、填空题(本大题满分40分,本大题共有10题)1.不等式11x ≥的解集为___________.【答案】{}01x x <≤【分析】将不等式变形为10x x-≤,利用分式不等式的解法解此不等式即可得解.【详解】原不等式即为1110x x x --=≤,等价于()100x x x ⎧-≤⎨≠⎩,解得01x <≤,因此,原不等式的解集为{}01x x <≤.故答案为:{}01x x <≤.2.已知全集{}2,3,4,5,6U =,集合{}{}2,3,3,4A B ==,则A B ⋃=__________.【答案】{}5,6##{}6,5【分析】根据并集、补集的定义计算可得.【详解】解:因为{}2,3A =,{}3,4B =,所以{}=2,3,4A B ⋃,又{}2,3,4,5,6U =,所以{}=5,6A B ⋃;故答案为:{}5,63.已知集合{30}A xx a =->∣,若1A ∉,则实数a 的取值范围是__________.【答案】[)3,∞+【分析】由1A ∉,所以310a ⨯-≤,解不等式即可得出答案.【详解】因为1A ∉,所以310a ⨯-≤,所以3a ≥.所以实数a 的取值范围是[)3,∞+.故答案为:[)3,∞+.4.集合(){}(){},,,,1,M x y y x y N x y x y ==∈==∈R R ∣∣,则M N ⋂=__________.【答案】({}【分析】求出两函数的交点坐标,即可得解.【详解】解:由=1y x ⎧⎪⎨⎪⎩,解得=1x y ⎧⎪⎨⎪⎩,即(,所以({}M N =;故答案为:({}5.设集合{}{}21,23A xy B y y x x ==+==-++∣∣,则A B ⋂=__________.【答案】[]1,4【分析】分别求出集合,A B ,再由交集的定义即可得出答案.【详解】{}}{==1,A xy x x ≥∣{}{}2234B y y x x y y ==-++=≤∣∣,所以A B ⋂=[]1,4.故答案为:[]1,4.6.已知集合{}{}260,10A xx x B x mx =+-==+=∣∣,若A B B = ,则实数m 组成的集合为__________.【答案】110,,23⎧⎫-⎨⎬⎩⎭【分析】解方程求得集合A ;分别在0m =和0m ≠两种情况下,根据交集结果构造方程,从而求得结果.【详解】解:因为{}()(){}{}2=+6=0=2+3=0=2,3A x x x x x x ---∣,当0m =时,B =∅,满足A B B = ,当0m ≠时,{}011B mx m x ⎧⎫=-⎨+⎭=⎩=⎬∣,A B B = ,12m∴-=或13m -=-,解得:12m =-或13,∴实数m 组成的集合为110,,23⎧⎫-⎨⎬⎩⎭,故答案为:110,,23⎧⎫-⎨⎬⎩⎭7.已知集合10,{}2x A x B x x a x +⎧⎫=≤=<⎨⎬-⎩⎭∣∣,若A B ⋂≠∅,且A B B ⋃≠,则实数a 的取值范围是__________.【答案】()1,2-【分析】先解分式不等式,即可得出集合A ,再由A B ⋂≠∅,且A B B ⋃≠,即可求出实数a 的取值范围.【详解】由102x x +≤-可得:()()+1202x x x -≤≠⎧⎨⎩,解得:12x -≤<,所以}{=1<2A x x -≤,因为A B ⋂≠∅,且A B B ⋃≠,所以()1,2a ∈-.故答案为:()1,2-.8.不等式20ax bx c ++>的解集为()2,1-,则不等式()20ax a b x a c -++-<的解集为__________.【答案】R【分析】根据根与系数关系求得,,a b c 的关系式,结合判别式求得不等式()20ax a b x a c -++-<的解集.【详解】由于不等式20ax bx c ++>的解集为()2,1-,所以<02+1=2×1=a b a c a ---⎧⎪⎪⎪⎨⎪⎪⎪⎩,<0==2a b a c a -⎧⎪⎨⎪⎩,所以不等式()20ax a b x a c -++-<可化为22+3<0ax ax a -,而0a <,所以2230x x -+>,其41280∆=-=-<,所以不等式()20ax a b x a c -++-<的解集为R .故答案为:R9.若关于x 的不等式组2228>02+(2+7)+7<0x x x a x a ⎧--⎨⎩只有一个整数解3-,则实数a 的取值范围是__________.【答案】[)5,3-【分析】由已知,先求解不等式2280x x -->的解集,然后再对不等式22(27)70x a x a ++<+进行转化,通过讨论2>7a ,72a <和72a =三种情况,分别列式作答即可.【详解】由已知,不等式2280x x -->的解集为{}|24>x x x <-或,不等式22(27)70x a x a ++<+可转化为7(+)(+)<02x a x ,当2>7a 时,不等式22(27)70x a x a ++<+的解集为7|<<2x a x --⎧⎫⎨⎬⎩⎭,由解集中整数为3-,不合题意;当72a <时,不等式22(27)70x a x a ++<+的解集为7|2x x a ⎧⎫--<⎨⎩<⎬⎭,由解集中整数为3-,得35a -<-≤,解得53a -≤<,当72a =时,不等式22(27)70x a x a ++<+的解集为∅,不满足题意,综上,实数a 的取值范围是[)5,3-.故答案为:[)5,3-.10.已知{}{}21234,,,,A a a a a B a a A ==∈∣,其中1234a a a a <<<,且1234a a a a 、、、均为整数,若{}34,A B a a ⋂=,130a a +=,且A B ⋃中的所有元素之和为270,则集合A 中所有元素之和为__________.【答案】14【分析】通过分析得到13224a a a ==,而2216256270,17289270=<=>,又4a 为某整数的平方,故4a 最大值为16,当416a =时,通过推理可得当{}4,2,4,16A =--时满足要求,当4a 取其他值时,均不合题意,从而求出A 中所有元素之和.【详解】因为130a a +=,所以1322a a =,又因为1234a a a a <<<,且1234a a a a 、、、均为整数,所以13224a a a ==,因为A B ⋃中的所有元素之和为270,而2216256270,17289270=<=>,又4a 为某整数的平方,故4a 最大值为16,当416a =时,则134,4a a =-=,因为{}34,A B a a ⋂=,故224a =,解得:22a =±,当22a =时,{}{}4,2,4,16,4,16,256A B =-=,则{}4,2,4,16,256A B =- ,A B ⋃中的所有元素之和为274,不合题意,舍去;当22a =-时,{}{}4,2,4,164,16,256,A B =--=,则{}4,2,4,16,256A B =-- ,A B ⋃中的所有元素之和为270,满足题意,此时集合A 中所有元素之和为4241614--++=;当49a =,此时33a =,但3不是某个整数的平方,故不合题意,舍去;同理可知,当4a 为其他整数时,均不合要求.故答案为:14二、选择题(本大题满分16分,本大题共有4题)11.若集合{},,M a b c =中的元素是△ABC 的三边长,则△ABC 一定不是()A.锐角三角形B.直角三角形C.钝角三角形D.等腰三角形【答案】D【分析】根据集合元素的互异性即可判断.【详解】由题可知,集合{},,M a b c =中的元素是ABC 的三边长,则a b c ≠≠,所以ABC 一定不是等腰三角形.故选:D .12.下列关系中,可以作为“a b >”的充分非必要条件的是()A .11a b < B.22a b >C.a c b c> D.2211a b c c >++【答案】C【分析】对于AB ,通过找特殊值举反例即可排除;对于C ,先证明充分性,再举反例说明非必要性即可;对于D ,利用不等式的性质可证得其为充要条件.【详解】根据题意,可知是“选项”为“a b >”的充分非必要条件,对于A ,令1,1a b =-=,则有111,1a b =-=,即11a b<,但a b <,故11a b <不是a b >的充分条件,故A 错误;对于B ,令2,1a b =-=,则有2214,a b ==,即22a b >,但a b <,故22a b >不是a b >的充分条件,故B 错误;对于C ,若a c b c >,则0c ≠且0c >,即10c >,所以11a c b c c c⨯>⨯,即a b >,故a c b c >是a b >的充分条件;若a b >,令0c =,则0a c b c ==,故a c b c >不是a b >的必要条件,综上:a c b c >是a b >的充分非必要条件,故C 正确;对于D ,若2211a b c c >++,因为210c +>,所以()()22221111a b c c c c ⨯+>⨯+++,即a b >,故2211a b c c >++是a b >的充分条件;若a b >,因为210c +>,即2101c >+,所以221111a b c c ⨯>⨯++,即2211a b c c >++,故2211a b c c >++是a b >的必要条件;综上:2211a b c c >++是a b >的充要条件,故D 错误.故选:C.13.设集合{20}P m m =-<<∣,{2=|+22<0Q m mx mx -对任意的实数x 恒成立},则下列关系中成立的是()A.P Q⊆ B.Q P ⊆ C.P Q = D.P Q =∅【答案】A 【分析】首先求出使不等式2220mx mx +-<对任意的实数x 恒成立时参数的取值范围,即可求出集合Q ,再根据集合的包含关系及交集的定义判断即可.【详解】解:若2220mx mx +-<对任意的实数x 恒成立,当0m =时20-<,满足题意,当0m ≠时()()2<0Δ=24×2<0m m m --⎧⎪⎨⎪⎩,解得20m -<<,综上可得20m -<≤,所以{}|20Q m m =-<≤,又{20}P mm =-<<∣,所以P Q ⊆,P Q P = ;故选:A14.已知实数a b <,关于x 的不等式()210x a b x ab -+++<的解集为()12,x x ,则实数a 、b 、1x 、2x 从小到大的排列是()A.12a x x b <<<B.12x a b x <<<C.12a xb x <<< D.12x a x b <<<【答案】A【分析】由题可知12x x a b +=+,再利用中间量m ,根据12x x +与12x x 之间的关系求出的取值范围,即可判断a 、b 、1x 、2x 之间的关系.【详解】由题可得:12x x a b +=+,121x x ab =+.由a b <,12x x <,设1x a m =+,则2x b m =-.所以212()()()1a m b m ab m b a m ab x x =+-=+--=+,所以2()1m b a m --=,21m m b a +=-.又a b <,所以0b a ->,所以0m >.故1x a >,2x b <.又12x x <,故12a x x b <<<.故选:A.三、解答题(本大题满分64分,本大题共有5题)15.“关于x 的方程()200ax bx c a ++=≠有实数根”是“0ac <”的什么条件?请证明你的结论.【答案】必要非充分条件,证明见解析.【分析】根据一元二次函数的判别式和充分条件、必要条件的定义判断即可.【详解】“关于x 的方程()200ax bx c a ++=≠有实数根”是“0ac <”必要非充分条件.证明:先证充分性不成立:取1,2a c b ===,此时方程2210x x ++=有实数根121x x ==-,但此时10ac =>,因此充分性不成立.再证必要性成立:当0ac <时,240b ac ∆=->恒成立,所以方程()200ax bx c a ++=≠有实数根,即必要性成立.所以“关于x 的方程()200ax bx c a ++=≠有实数根”是“0ac <”必要非充分条件.16.已知a 、b 、c ∈R ,若实数x 、y 、z 满足条件221x a b =-+,221y b c =-+,221z c a =-+,用反证法证明:x 、y 、z 中至少有一个数不小于0.【答案】证明见解析【分析】利用反证法证明,假设x 、y 、z 都小于0,再根据不等式的性质及完全平方数的非负性证明即可.【详解】证明:假设x 、y 、z 都小于0.即2210a b -+<,2210b c -+<,2210c a -+<以上三个不等式相加,可得:()()()2222121210a b b c c a -++-++-+<,整理上式可得:222(1)(1)(1)0a b c -+-+-<.这与222(1)(1)(1)0a b c -+-+-≥矛盾,所以假设不成立,因此x 、y 、z 中至少有一个数不小于0.17.设集合{}{}225,1,,21,3,1A a a B a a a =--=+--,若{}5A B ⋂=-,试求a 与A B ⋃.【答案】3a =-,{}6,5,4,8,9A B ⋃=---.【分析】根据交集结果得到5B -∈,结合211a -≥-,分两种情况,215a +=-或35a -=-,求出对应的a ,利用元素互异性排除不合要求的解.【详解】因为{}5A B ⋂=-,所以5B -∈,又因为211a -≥-,所以215a -≠-,所以215a +=-或35a -=-,即3a =-或2a =-.当3a =-时,{}{}5,4,9,5,6,8A B =--=--,满足{}5A B ⋂=-.当2a =-时,{}{}5,3,4,3,5,3A B =--=--,此时{}5,3A B ⋂=--,不满足题意,舍去综上所述,3a =-,此时{}6,5,4,8,9A B ⋃=---.18.已知关于x 的不等式()()()2223310k k x k x k +-++->∈R 的解集为M .(1)若M =∅,求实数k 的取值范围;(2)若存在两个不相等的正实数a b 、,使得(),M a b =,求实数k 的取值范围.【答案】(1)13,5⎡⎤-⎢⎥⎣⎦(2)1,15⎛⎫ ⎪⎝⎭【分析】(1)对二次项系数是否为零分类讨论,当系数为零时,直接写出不等式进行判断,当系数不为零时,结合二次函数图象得到关于k 的不等式组,解不等式组得到k 的取值范围;(2)根据一元二次不等式的解集得到对应的一元二次方程的根特点,根据根与系数的关系得到关于k 的不等式组,解不等式组得到k 的取值范围.【小问1详解】当2230k k +-=时,=1k 或3k =-,当=1k 时,不等式化为410x ->,解集不是空集,舍去;当3k =-时,不等式化为10->,此时解集为空集;当1k ≠且3k ≠-时,要使M =∅,则需满足()()222+23<0Δ=+3+4+230k k k k k --≤⎧⎪⎨⎪⎩,解得135k -<≤.综上可得,实数k 的取值范围是13,5⎡⎤-⎢⎥⎣⎦.【小问2详解】要存在两个不相等的正实数,a b ,使得(),M a b =,则2230k k +-<且方程()()2223310k k x k x +-++-=的两个相异正根为a ,b ,则222+23<0+3+=>0+231=>0+23k k k a b k k ab k k -----⎧⎪⎪⎪⎨⎪⎪⎪⎩,解得115k <<,即实数k 的取值范围是1,15⎛⎫ ⎪⎝⎭.19.定义区间()[]][(),,,,m n m n m n m n 、、、的长度均为n m -,其中n m >.(1)不等式组2212133++3-4<0x x tx t ≤≤⎧⎪⎨⎪⎩的解集中各区间的长度和等于8,求实数t 的取值范围;(2)已知常数a b 、,满足a b >,求满足不等式111x a x b +≥--的解集中各区间长度之和.【答案】(1)[)9,9,4∞∞⎛⎤--⋃+ ⎥⎝⎦(2)2【分析】(1)由题意先解分式不等式,再观察二次项的系数带有字母,需要先对字母进行讨论,当=0t 时,看符不符合题意;当0t >时,此时满足题意需9t ≥;当0t <时,此时需满足49t -≥,即可求出实数t 的取值范围;(2)先整理不等式可设方程()()220x a b x a b ab -+++++=的两根为()1212,x x x x <,令()()()22y f x x a b x a b ab ==-+++++,再由()()0,0f a f b <>,结合二次函数图象,解出此不等式解集,即可求出此不等式的解集的区间长度之和.【小问1详解】由12133x ≤≤+可得:1233x ≤+且1213x ≥+,由1233x ≤+即3303x x -≤+解得:1x ≥或3x <-,.由1213x ≥+即903x x -≥+解得:39x -<≤,因此不等式12133x ≤≤+解集为[]1,9,此不等式解集长度恰为8,又因为不等式22340x tx t +-<可化为()()40x t x t +-<当=0t 时,此不等式无解,舍去;当0t >时,此不等式解集为()4,t t -要满足题意,则9t ≥.同理,当0t <时,此不等式解集为(),4t t -,此时需满足49t -≥,可得:94t ≤--因此实数t 的取值范围是[)9,9,4∞∞⎛⎤--⋃+ ⎥⎝⎦.【小问2详解】原不等式等价于()()()()0x b x a x a x b x a x b -+----≥--,整理得:()()()()220x a b x a b ab x a x b -+++++≤--,设方程()()220x a b x a b ab -+++++=的两根为()1212,x x x x <,令()()()22y f x x a b x a b ab ==-+++++,因为()()()220f a a a b a a b ab b a =-+++++=-<.()()()220f b b a b b a b ab a b =-+++++=->.结合二次函数图象,可知:12b x a x <<<.则此不等式解集为(](]12,,b x a x ⋃则此解集的区间长度之和为()()()()211213x a x b x x a b -+-=+-+-,因为122x x a b +=++,所以此不等式的解集的区间长度之和为2.。
一、填空题1.已知集合,则_________.{}{}21,1A x x B x x =-<<=>-A B ⋃=【答案】(2,)-+∞【分析】利用数轴法根据并集运算法则即可得出结果.【详解】根据并集运算法则,画数轴表示出集合如下图所示,A B易知.{}|2A B x x =>- 故答案为:(2,)-+∞2.不等式的解集是_________. 102x x -≥+【答案】()[),21,-∞-+∞ 【分析】分式不等式等价为整数不等式,即可求解.【详解】. ()()()[)12010,21,220x x x x x x ∞∞⎧-+≥-≥⇔⇒∈--⋃+⎨++≠⎩故答案为:()[),21,-∞-+∞ 3.已知集合,,则_________.{}{}22,1,3,3,21,1M a a P a a a =+-=--+{}3M P ⋂=-=a 【答案】1-【分析】根据集合元素的互异性以及交集性质进行分类讨论即可得出符合题意.1a =-【详解】因为,所以,易知,{}3M P ⋂=-3P -∈213a +≠-当时,,此时,,不合题意舍去;33a -=-0a ={}0,1,3M =-{}3,1,1P =--当时,,此时,,满足题意,213a -=-1a =-{}1,0,3M =-{}4,3,2P =--所以.1a =-故答案为:1-4.不等式的解集为_________.21216x x -++≤【答案】 33,22⎡⎤-⎢⎥⎣⎦【分析】分类讨论解绝对值不等式.【详解】当时,,解得,此时; 12x ≥21216x x -++≤32x ≤1322x ≤≤当时,,即恒成立,此时; 1122x -≤<12216x x -++≤26≤1122x -≤<当时,,解得,此时; 12x <-12126x x ---≤32x ≥-3122x -≤<-故解集为. 33,22⎡⎤-⎢⎥⎣⎦故答案为: 33,22⎡⎤-⎢⎥⎣⎦5.若,,则的取值范围是_________.14a b <+<24a b -<-<3a b +【答案】()2,10-【分析】令,求出,再由不等式的性质求解.()()3a b m a b n a b +=++-,m n 【详解】令,则,解得, ()()3a b m a b n a b +=++-13m n m n +=⎧⎨-=⎩21m n =⎧⎨=-⎩因为,,故.22()8a b <+<()42a b -<--<()32,10a b +∈-故答案为:()2,10-6.若,则的最小值为_________. 0x >161x x ++【答案】7【分析】配凑法,由均值不等式求和的最小值.【详解】, ()1616111711x x x x +=++-≥=++当且仅当即()时取等号,所以的最小值为7. 1611x x +=+3x =0x >161x x ++故答案为:7.7.若集合,,则使得成立的所有的值组成的2{|560}A x x x =-+={|20}B y my =+=A B A ⋃=m 集合是___________.【答案】 20,1,3⎧⎫--⎨⎬⎩⎭【分析】依题意可得,首先求出集合,再分类讨论分别计算可得;B A ⊆A 【详解】解:因为,,,所以;{}{}2|5602,3A x x x =-+=={}|20B y my =+=A B A ⋃=B A ⊆①当时,符合题意;0m =B =∅②当,即解得,即;2B ∈220m +=1m =-{}2B =③当,即解得,即; 3B ∈320m +=23m =-{}3B =综上可得 20,1,3m ⎧⎫∈--⎨⎬⎩⎭故答案为: 20,1,3⎧⎫--⎨⎩⎭8.若不等式对恒成立,则实数的取值范围是___________.2(1)(1)10a x a x -+--<x R ∈a 【答案】(]3,1-【分析】先对二次项的系数分类讨论,利用二次函数的性质,即可求出结果.1a -【详解】①当时,不等式化为对一切x ∈R 恒成立,因此满足题意;1a =10-<1a =②当时,要使不等式对一切恒成立,1a ≠()()21110a x a x -+--<x R ∈则必有 . 210314(1)(1)(1)04(1)a a a a a -<⎧⎪∴-<<-⋅---⎨<⎪-⎩综上①②可知:实数取值的集合是.a (3,1]-故答案为:.(]3,1-9.命题是命题的________条件.:p a b >22:q a b >【答案】必要不充分【分析】解不等式,根据充分必要条件的定义,即可作出判断.22a b >【详解】由,可得,即,22a b >||||a b >||a b >但当时,满足,不满足,1,2a b ==-||a b >22a b >所以命题是命题的必要不充分条件.p q 故答案为:必要不充分10.设集合,,若,则实数的取值范围是(){}2210,A x x p x x R =+++=∈(),0B =-∞A B ⋂=∅p ___________.【答案】(),0∞-【分析】分析可知,方程在上无实根、有唯一正根或两个正根,进行分()2210x p x +++=(),0∞-类讨论,列出关于实数的不等式组,由此可解得实数的取值范围.p p 【详解】分以下几种情况讨论:(1)若方程无实根,则,解得; ()2210x p x +++=()222440p p p ∆=+-=+<40p -<<(2)若方程有实根,则,解得或, ()2210x p x +++=()222440p p p ∆=+-=+≥4p ≤-0p ≥,则不是方程的解,()2020110p ++⨯+=≠ 0x =()2210x p x +++=若方程有唯一的正根,则,解得; ()2210x p x +++=240202p p p ⎧∆=+=⎪⎨+->⎪⎩4p =-若方程有两根不等的实根,设这两个实根分别为、,因为,()2210x p x +++=1x 2x 121=x x 故方程有两个不等的正根,所以,,解得. ()2210x p x +++=240202p p p ⎧∆=+>⎪⎨+->⎪⎩4p <-综上所述,实数的取值范围是.p (),0∞-故答案为:.(),0∞-11.设集合,在S 上定义运算为:,其中k 为被4除的余数,{}0123,,,S A A A A =⊕j i k A A A ⊕=i j +i ,,1,2,3,则满足关系式的x ()的个数为________.0j =20()x x A A ⊕⊕=x S ∈【答案】2【解析】由已知中集合,,,,在上定义运算为:,其中为0{S A =1A 2A 3}A S ⊕j i k A A A ⊕=k i j +被4除的余数,,,1,2,3,分别分析取,,,时,式子的值,并与进行比i 0j =x 0A 1A 2A 3A 0A 照,即可得到答案.【详解】当时,0x A =20020220()()x x A A A A A A A A ⊕⊕=⊕⊕=⊕=≠当时,1x A =21122240()()x x A A A A A A A A ⊕⊕=⊕⊕=⊕==当时,2x A =22220220()()x x A A A A A A A A ⊕⊕=⊕⊕=⊕=≠当时,3x A =23322200()()x x A A A A A A A A ⊕⊕=⊕⊕=⊕==则满足关系式的的个数为:2个.20()x x A A ⊕⊕=()x x S ∈故答案为:2.【点睛】本题考查的知识点是集合中元素个数,其中利用穷举法对取值进行分类讨论是解答本题x 的关键.属于中档题.12.已知数集A =()具有性质P :对任意的,{}12,,n a a a ⋯121,2n a a a n ≤<<<≥(1)i j i j n ≤≤≤、i j a a 与两数中至少有一个属于A ,当时,若,则集合A =___________.ji a a 5n =22a =【答案】{}1,2,4,8,16【分析】推导出,.当时,有,,推导出1n n a A a =∈121111121.n n n a a a a a a a a ---++⋯+==++⋯+5n =524a a a =533a a a =,,,,是首项为1,公比为等比数列.由此能求出集合.1a 2a 3a 4a 5a 2a A 【详解】解:,,,具有性质,1{A a =2a ⋯}n a P 与中至少有一个属于, n n a a ∴n na a A 由于,121n a a a <<⋯<…n n n a a a ∴>故.n n a a A ∉从而,. 1n na A a =∈11a =,,,3,4,,,121n a a a =<<⋯ 2n …(2k n n a a a k ∴>=⋯)n 故,3,4,,.(2k n a a A k ∉=⋯)n 由具有性质可知,3,4,,. A P (2n k a A k a ∈=⋯)n 又,121n n n n n n a a a a a a a a -<<⋯<<,,,, ∴1n n a a =21n n a a a -=⋯12n n a a a -=从而, 12121n n n n n n n a a a a a a a a a a a -++⋯++=++⋯+. ∴1211112n n n a a a a a a a ---++⋯+=++⋯+当时,5n =有,,即, 524a a a =533a a a =25243a a a a == ,,, 1251a a a =<<⋯< 34245a a a a a ∴>=34a a A ∴∉由具有性质可知. A P 43a A a ∈由,得, 2243a a a = 3423a a A a a =∈且,, 3221a a a <=∴34223a a a a a ==, ∴534224321a a a a a a a a a ====即,,,,是首项为1,公比为等比数列.1a 2a 3a 4a 5a 2a 集合,2,4,8,.∴{1A =16}故答案为:.{}1,2,4,8,16二、单选题13.已知为非零实数,且,则下列命题成立的是,a b a b <A .B .C .D . 22a b <22ab a b <2211ab a b <b a a b<【答案】C 【详解】若a <b <0,则a2>b2,A 不成立;若B 不成立;若a =1,b=2,则220{,ab a b ab a b>⇒<<,所以D 不成立 ,故选C. 12,2b a b a a b a b==⇒>14.设全集U 是实数集,,,则图中阴影部分所表示的集合是R {}2|4M x x =<{|13}N x x =<<( )A .B .C .D .{|21}x x -<<{|22}x x -<<{|23}x x ≤<{|12}x x <<【答案】C 【解析】求解集合M ,以及集合,即可.M N ⋂()N C M N ⋂【详解】对集合M :,故{|22}M x x =-<<{|12}M N x x ⋂=<<由图可知阴影部分表示:,(){|23}N C M N x x ⋂=≤<故选:C.【点睛】本题考查集合的运算,以及用韦恩图表示集合,属综合基础题.15.设表示不超过的最大整数,则关于的不等式的解集是[]x x x 2[]3[]100x x --≤A .[-2,5]B .(-3,6)C .[-2,6)D .[-1,6) 【答案】B【详解】由题意可得:关于x 的不等式x 2−3x −10⩽0的解集是{x |−2⩽x ⩽5}, 又因为[x ]表示不超过x 的最大整数,所以关于x 的不等式[x ]2−3[x ]−10⩽0的解集是{x |−3<x <6}.本题选择B 选项.16.用|S |表示集合S 中元素的个数,设A ,B ,C 为集合,称(A ,B ,C )为有序三元组,如果集合A ,B ,C 满足,且,则称有序三元组(A ,B ,C )为最小相1A B B C C A === A B C =∅交,由集合{1,2,3}的子集构成的所有有序三元组中,最小相交的有序三元组的个数为( ) A .4B .6C .3D .5【答案】B【分析】根据定义,确定满足条件的集合,,的元素情况即可求出结果.A B C 【详解】解:, ||||||1A B B C C A === 设,,,∴{}A B x = {}B C y = {}C A z = ,且,,,2,,A B C =∅ x y {1z ∈3}集合,,,,,,∴{A x =}z {B x =}y {C z =}y 若,,,则,,,,,,1x =2y =3z ={1A =3}{1B =3}{2C =3}将1,2,3进行全排列,由个.33326A =⨯=故选:B .三、解答题17.用反证法证明:“已知,若,则.”a b R ∈、22220a ab b a b ++++-≠1a b +≠【答案】证明见解析【分析】根据反证法定义提出合理假设,得出假设与命题矛盾即可.【详解】假设,1a b +=则,22222()()2(2)(1)0a ab b a b a b a b a b a b ++++-=+++-=+++-=与矛盾,22220a ab b a b ++++-≠故假设不成立,所以原命题成立.18.设集合,, {}240A x x =-=()(){}222150B x x a x a =+++-=(1)若,求实数的值;{}2A B ⋂=a(2)若,求实数的取值范围.A B A ⋃=a 【答案】(1)3a =-(2)]{}(,31a ∞∈--⋃-【分析】(1)由可知,代入集合分类讨论的取值即可得; {}2A B ⋂=2B ∈B a 3a =-(2)根据并集结果可得,再对集合是否为空集进行分类讨论即可得出实数的取值范围.B A ⊆B a 【详解】(1)由集合可得, {}240A x x =-={}2,2A =-由可得,{}2A B ⋂=2B ∈故,解得或,244(1)50a a +++-=1a =-3a =-当时,,此时不满足题意,舍去,1a =-{}2,2B =-{}2,2A B =- 当时,,满足题意,3a =-{}2B =故;3a =-(2)由得,A B A ⋃=B A ⊆当时,即时,满足题意;224(1)4(5)0a a ∆=+--<3a <-B =∅当时,即时,满足题意;Δ0=3a =-{}2B =当时,即时,,解得, 0∆>3a >-()221054a a ⎧+=⎨-=-⎩1a =-综上可得,或;3a ≤-1a =-即实数的取值范围为.a ]{}(,31a ∞∈--⋃-19.(1)解关于的不等式;x 2(21)20ax a x -++>(2)若关于的不等式的解集为,求关于的不等式的解集.x 20ax bx c ++>(4,7)-x 20cx bx a -+≥【答案】(1)答案见解析;(2) 11,,74⎛⎤⎡⎫-∞-+∞ ⎪⎥⎢⎝⎦⎣⎭【分析】(1)原不等式化为,对分类讨论求解即可;(1)(2)0ax x -->a (2)根据不等式解集及根与系数的关系,可得,代入所求不等式化简求解即可. 328b a c a=-⎧⎨=-⎩【详解】(1)原不等式化为,(1)(2)0ax x -->当时,可得,解得,0a =20x -<2x <当时,的根为且,解得或, 102a <<(1)(2)0ax x --=1,2a 12a >2x <1x a >当时,可得,解得; 12a =2(2)0x ->2x ≠当时,的根为且,解得或; 12a >(1)(2)0ax x --=1,2a 12a <1x a<2x >当时,由解得,故不等式解集为. a<0(1)(2)0ax x -->12x a <<1(,2)a 综上,当时,解集为;0a =(,2)-∞当时,解集为; 102a <<1(,2)(,)a -∞⋃+∞当时,解集为; 12a ={}2x x ≠当时,解集为; 12a >1(,)(2,)a-∞⋃+∞当时,解集为.a<01(,2)a (2)由题意得,且,解得, a<04747b a c a ⎧-+=-⎪⎪⎨⎪-⨯=⎪⎩328b a c a =-⎧⎨=-⎩不等式可化为,20cx bx a -+≥22830ax ax a -++≥即,解得或, 228310x x --≥17x ≤-14x ≥故不等式解集为. 11,,74⎛⎤⎡⎫-∞-+∞ ⎪⎥⎢⎝⎦⎣⎭20.已知.2{|13},N {680}M x x x x x =<=-+≤(1)设全集,定义集合元素△,使M △N =M ∩,求M △N 和N △M ;U =R N (2)若,按(1)的运算定义求(M △N )△H .2{|()4}H x x a =-≤【答案】(1)△,△;(2)答案见解析;M {}|12N x x =<<N {}|34M x x =……【分析】(1)解不等式求出,,结合题意计算即可;M N (2)解不等式求出集合,结合(1)中△,分类讨论,可得△△.H M N (M )N H 【详解】解:(1),;13{|}M x x =<<2{|680}{|24}N x x x x x =-+=………根据题意,,或,U =R {|2N x x =<4}x >△,M ∴{}|12N M N x x ==<< 又或,{|1M x x =…3}x …△;N ∴{}|34M N M x x == ……(2),{}{}2|()4|22H x x a x a x a =-≤=-≤≤+ 所以,又,()(),22,H a a =-∞-++∞ {}()|121,2M N x x =<<= 所以()()M N H M N H = 当,或,即,或时,;22a -≥21a +≤4a ≥1a ≤-()()1,2M N H = 当,即时,;122a <-<34a <<()()1,2M N H a =- 当,即时,;122a <+<10a -<<()()2,2M N H a =+ 当,且,即时,.21a -≤22a +≥03a ≤≤()M N H =∅ 21.对于四个正数,如果,那么称是的“下位序对”,,,,x y z w xw yz <(,)x y (,)z w (1)对于2,3,7,11,试求的“下位序对”;(2,7)(2)设均为正数,且是的“下位序对”,试判断之间的大小关系; a b c d ,,,(,)a b (,)c d ,,c a a c d b b d++(3)设正整数满足条件:对集合内的每个,总存在,使得n {|02017}t t <<*m N ∈*k ∈N (,2017)m 是的“下位序对”,且是的“下位序对”,求正整数的最小值.(,)k n (,)k n (1,2018)m +n 【答案】(1);(2);(3)4035 ()3,11b a c c a b d d+<<+【分析】(1)根据新定义,代入计算判断即可;(2)根据新定义得到,再利用不等式的性质,即可判断;ad bc <(3)由题意得到,从而求出, ()201712018mn k m n k <⎧⎨+>⎩4035n ≥再验证该式对集合内的每个的每个正整数都成立,继而求出最小值.{|02017}t t <<m +∈N m 【详解】(1),37112⨯<⨯ 的“下位序对”是∴(2,7)()3,11(2)是的“下位序对”,(,)a b (,)c d ,ad bc ∴<均为正数,a b c d ,,,故,即 , ()0a c a bc ad b d b b d b +--=>++a c b b d a+>+同理, a c c b d d+<+综上所述,. b a c c a b d d +<<+第 11 页 共 11 页(3)依题意得, ()201712018mn k m n k <⎧⎨+>⎩注意到整数,故 ,,m n l 1201712018mn k mn n k+≤⎧⎨+-≥⎩于是()()201712017201820181mn n k mn +-≥⨯≥+ 40352017n m∴≥-该式对集合内的每个的每个正整数都成立,{|02017}t t <<m +∈N m , 4035403520172016n ∴≥=-, 120172018m k m n +<< , 112017201720182018m m m m +++∴<<+, 211201740352018m m m ++∴<<对集合内的每个,∴{|02017}t t <<m +∈N 总存在,使得是的“下位序对”,k N +∈(,2017)m (,)k n 且是的“下位序对”,(,)k n (1,2018)m +正整数的最小值为4035.n 【点睛】本题主要考查了集合新定义,需理解题干中的定义,考查了学生的知识迁移能力以及分析问题的能力,属于中档题.。
1行知中学高一上10月月考一. 填空题1. 已知集合2{9,,1}A x x =-+,集合2{1,2}B x =,若{2}A B =I ,则x 的值为2. 已知,x y ∈R ,命题“若5x y +≥,则3x ≥或2y ≥”是 命题(填“真”或“假”)3. 设2{|8150}A x x x =-+=,{|10}B x ax =-=,若A B B =I ,则实数a 组成的集合是4. 已知x ∈R ,命题“若25x <<,则27100x x -+<”的否命题是5. 若{|}A x x a =<,{23}B x =-<<,则A B =R R U ð,则实数a 的范围是6. 已知集合2{|1,}M y y x x ==-∈R ,2{|3}N x y x ==-,则M N =I7. “112x <”是“2x >”的 条件 8. 设集合{(,)|1}U x y y x ==+,3{(,)|1}2y A x y x -==-,U A =ð 9. 已知关于x 的不等式22+0ax x c +>的解集为11()32-,,其中,a x ∈R ,则关于x 的不等式220cx x a -+->的解集是10. 若关于x 的不等式221)2(1)30a x a x ---+>(对一切实数x 都成立,则实数a 的取2值范围是11. 用()C A 表示非空集合A 中元素的个数,定义()()()()()()()()C A C B C A C B A B C B C A C B C A -≥⎧*=⎨->⎩,若{1,2}A =,22{|()(2)0}B x x ax x ax =+++= ,1A B *=,设实数a 的所有可能取值构成集合S ,则()C S =12. 已知有限集123{,,,,}n A a a a a =⋅⋅⋅(2)n ≥,如果A 中元素i a (1,2,3,,)i n =⋅⋅⋅满足12123n n a a a a a a a ⋅⋅⋅=+++⋅⋅⋅+,就称A 为“复活集”,给出下结论:① 集合1515{}-+--是“复活集”; ② 若12,a a ∈R ,且12{,}a a 是“复活集”,则124a a >;③ 若12,a a ∈*N ,且12{,}a a 不可能是“复活集”;④ 若1a ∈*N ,则“复活集”A 有且只有一个,且3n =;其中正确的结论是 (填上你认为所有正确的结论序号)二. 选择题13. 若集合P 不是集合Q 的子集,则下列结论正确的是( )A. Q P ⊆B. P Q =∅IC. P Q ≠∅ID. P Q P ≠I314. 集合P 具有性质“若x P ∈,则1P x∈”,就称集合P 是伙伴关系的集合,集合 11{1,0,,,1,2,3,4}32A =-的所有非空子集中具有伙伴关系的集合的个数为( )A. 3B. 7C. 15D. 3115. 已知,,a b c ∈R ,则下列四个命题正确的个数是( )① 若22ac bc >,则a b >;② 若|2||2|a b ->-,则22(2)(2)a b ->-;③ 若0a b c >>>,则a a cb b c+>+;④ 若0a >,0b >,4a b +>,4ab >,则2a >,2b >.A. 1B. 2C. 3D. 416. 若实数a 、b 满足0a ≥,0b ≥且0ab =,则称a 与b 互补,记(,)a b ϕ22a b a b =+-,那么(,)0a b ϕ=是a 与b 互补的 ( )条件A. 充分不必要B. 必要不充分C. 充要D. 既不充分也不必要三. 解答题17. 设集合2{|320}A x x x =++=,2{|(1)0}B x x m x m =+++=;(1)用列举法表示集合A ;(2)若x B ∈是x A ∈的充分条件,求实数m 的值.418. 已知:{|17}A x x =≤≤,2{|12200}B x x x =-+<,{|121}C x m x m =+<<-,全集U =R ;(1)求A B U ,()U A B I ð;(2)若A C A =U ,求m 的取值范围.19. 某种商品每件成本80元,当每件售价100元,每天可以出售100件,若售价降低10x %,售出的商品数量就增加16x %;(1)试建立该商品一天的营业额y (元)关于x 的函数关系式;(2)如果要求该商品一天的营业额至少是10260元,且不能亏本,求x 的取值范围.20. 已知集合22{|,,}A x x m n m n ==-∈Z ;(1)判断8,9,10是否属于A ,并证明;(2)已知集合{|2+1,}B x x k k ==∈Z ,证明x A ∈的充分必要条件是x B ∈;(3)写出所有满足集合A 的偶数.521. 已知关于的不等式22(23)(1)10()k k x k x k --+++>∈R 的解集为M ;(1)若M =R ,求k 的取值范围;(2)若存在两个不相等负实数a 、b ,使得(,),)M a b =-∞+∞U (,求实数k 的取值范围;(3)是否存在实数k ,满足:“对于任意n ∈*N ,都有n M ∈,对于任意的m -∈Z ,都有m M ∉”,若存在,求出k 的值,若不存在,说明理由.参考答案一. 填空题1. 12. 真3. 11{0,,}354. 若2x ≤或5x ≥,则27100x x -+≥5. 3a ≥6. [3]-7. 必要不充分8. {(2,3)}9. (2,3)- 10. (,2][1,)-∞-+∞U 11. 3 12. ①③④二. 选择题13. D 14. C 15. C 16. C三. 解答题617.(1){1,2}A =--;(2)1m =或2m =.18.(1)[1,10),(7,10);(2)4m ≤.19.(1)100(10.1)100(10.16)y x x =-⋅+,定义域为[0,2];(2)1[,2]2.20.(1)8A ∈,9A ∈,10A ∉;(2)证明略;(3)所有满足集合A 的偶数为4k ,k ∈Z .21.(1)13(,1](,)3-∞-+∞U ;(2)13(3,)3;(3)3k =.。
2020-20201学年格致中学高一上数学10月月考卷2020.10一. 填空题(本大题共12题,1-6每题3分,7-12每题4分,共42分)1. 若{2,2,3,4}A =-,2{|,}B x x t t A ==∈,用列举法表示B =2. 方程组2354x y x y -=⎧⎨+=⎩的解集为 3. {|||1,}A y y x x ==-∈R ,2{|28,}B y y x x x ==-++∈R ,AB = 4. 写出2a >的一个必要非充分条件5. 已知全集{4,3,1,2}U =---,2{,1,3}A a a =+-,2{3,21,1}B a a a =--+,若{3}A B =-,则A B =6. 不等式2117x x+≤-的解集为 7. 已知集合{2,1}A =-,{|2,B x ax ==其中,}x a ∈R ,若AB B =,则a 的取值集合为 8. 已知关于x 的不等式210ax bx +-≥的解集为11[,]23--,则不等式20x bx a --<的解集为9. 若关于x 的不等式2(2)3m x x m +>-+的解集是(3,)+∞,则m 的值为 10. 已知集合2{|()(1)0}M x x a x ax a =--+-=各元素之和等于3,则实数a =11. 若三个关于x 的方程24430x x a +-+=,225(1)04a x a x ++-+=,2210x ax ++=中至少有一个方程有 实根,则实数a 的取值范围为12. 设数集4{|}5M x m x m =≤≤+,1{|}4N x n x n =-≤≤,且集合M 、N 都是集合{|01}U x x =≤≤的子集,如果把b a -称为非空集合{|}x a x b ≤≤的“长度”,那么集合M N 的“长度”的取值范围为 二. 选择题(本大题共4题,每题4分,共16分)13. 已知,a b ∈R ,且0ab ≠,则“a b >”是“11a b<”成立的( ) A. 充分非必要条件 B. 必要非充分条件C. 充分必要条件D. 既非充分也非必要条件14. 如图,U 为全集,M 、P 、S 是U 的三个子集,则阴影部分所表示的集合是( )A. ()M P SB. ()M P SC. ()M P SD. ()M P S15. 直角坐标平面中除去两点(1,1)A 、(2,2)B -可用集合表示为( )A. {(,)|1,1,2,2}x y x y x y ≠≠≠≠-B. 1{(,)|1x x y y ≠⎧⎨≠⎩或2}2x y ≠⎧⎨≠-⎩ C. 2222{(,)|[(1)(1)][(2)(2)]0}x y x y x y -+--++≠D. 2222{(,)|[(1)(1)][(2)(2)]0}x y x y x y -+-+-++≠16. 已知关于x 的不等式组222802(27)70x x x k x k ⎧-->⎪⎨+++<⎪⎩仅有一个整数解,则k 的取值范围为( ) A. (5,3)(4,5)- B. [5,3)(4,5]- C. (5,3][4,5)- D. [5,3][4,5]-三. 解答题(本大题共4题,共10+10+10+12=42分)17. 已知集合2{|8160,,}A x kx x k x =-+=∈∈R R .(1)若A 只有一个元素,试求实数k 的值,并用列举法表示集合A ;(2)若A 至多有两个子集,试求实数k 的取值范围.18. 已知a ∈R ,求关于x 的不等式2(21)20ax a x --->的解集.19. 已知集合{|2134}A x m x m =+≤≤+,{|17}B x x =≤≤.(1)若A B ⊂,求实数m 的取值范围;(2)若C B =Z ,求C 的所有子集中所有元素的和.20. 设二次函数2()f x ax bx c =++,其中a 、b 、c ∈R .(1)若2(1)b a =+,94c a =+,且关于x 的不等式28200()x x f x -+<的解集为R ,求a 的取值范围; (2)若a 、b 、c ∈Z ,且(0)f 、(1)f 均为奇数,求证:方程()0f x =无整数根;(3)若1a =,21b k =-,2c k =,求证:方程()0f x =有两个大于1的根的充要条件是2k <-.2020-20201学年格致中学高一上数学10月月考卷参考答案一. 填空题(本大题共12题,1-6每题3分,7-12每题4分,共42分)1. {4,9,16}2. {(1,1)}-3. [1,9]-4. 1a >5. {3,1,0,1}--6. (,2](7,)-∞+∞7. 1-或0或28. (3,2)--9. 5 10. 2或32 11. 1(,1][,)4-∞--+∞ 12. 11[,]204二. 选择题(本大题共4题,每题4分,共16分)13. D 14. A 15. C 16. B三. 解答题(本大题共4题,共10+10+10+12=42分)17.(1)0k =,{2}A =;1k =,{4}A =;(2){0}[1,)+∞.18. 当0a =,(2,)+∞;当0a >,1(,)(2,)a -∞-+∞; 当0a <且12a ≠-,1(,2)a -;当12a =-,∅.19.(1)(,3)[0,1]-∞-;(2)62821792⨯=.20.(1)1(,)2-∞-;(2)略;(3)略.。
一、填空题1.已知集合A ={x |﹣3≤x <3}和B ={x |x =2k ,k ∈N }关系的文氏图如图所示,则阴影部分表示的集合的元素的个数为___个.【答案】3【分析】根据文氏图可知,阴影部分表示的集合为A ∩B ,然后求出元素个数即可.【详解】∵集合A ={x |﹣3≤x <3}和B ={x |x =2k ,k ∈N },∴阴影部分表示的集合A ∩B ={﹣2,0,2}.∴阴影部分表示的集合的元素共有3个.故答案为:3.2.已知,全集,则___(用区间表示) {}2|560,{||11}A x x x B x x =-+>=-<∣U =R A B ⋂=【答案】(](),03,-∞+∞ 【分析】解不等式化简集合,进行集合运算即可.【详解】,{}()(){}()()22|50,,6|2303A x x x x x x -∞+∞=-+>=-->=,()2{||11}{10,|11}B x x x x B ∣-=-<-<==<=所以,.(][),02,B ∞∞=-⋃+(](),03,A B =-∞+∞ 故答案为:.(](),03,-∞+∞3.设A =,B ={x |x ≤10,x ∈Q },则A ∩B =_____.{}|N x x k =∈【答案】{}1,4,6,9【分析】的的取值范围,从而可求得.10,N k ∈k A B ⋂【详解】因为{}|10,Q B x x x =≤∈得10,N k ≤∈019,N k k ≤≤∈由题:{}|19,N x x k k =≤≤∈{4=所以{}1,4,6,9A B = 故答案为:{}1,4,6,94.已知全集中有个元素,中有个元素.若非空,则的元素个数U A B =⋃m A B ⋃n A B ⋂A B ⋂为___个. 【答案】m n -【分析】法一:由韦恩图判断;法二:由及补集概念即可求.A B A B = 【详解】法一:因为中有个元素,如图所示阴影部分,A B ⋃n又中有个元素,故中有个元素;U A B =⋃m A B ⋂m n -法二:因为有个元素,又全集中有个元素,A B A B = n U A B =⋃m 故的元素个数个.A B ⋂m n -故答案为:.m n -5.“若,则”的否定形式为____.220x x --≤12x -≤≤【答案】若,则或220x x --≤1x <-2x >【分析】根据命题的否定形式直接得出答案.【详解】“若,则”的否定形式:220x x --≤12x -≤≤若,则或.220x x --≤1x <-2x >故答案为:若,则或.220x x --≤1x <-2x >6.某宾馆有50个房间供游客居住,当每个房间定价为每天180元时,房间会全部住满,当每个房间每天的定价每增加10元时,就会有一个房间空闲,假设不考虑其它费用,为使宾馆利润最大,每天的房价定为 _____元.【答案】340【分析】设空闲的房间为x ,则房价为元,定价增加了10x 元,表示出利润的函数关()18010x +系,利用基本不等式求解最值,即可得到答案.【详解】解:设空闲的房间为x ,则房价为元,定价增加了10x 元,()18010x +由题意可得,利润,当且仅当()()()()21850180105010185010115602x x x x x x ++-⎛⎫+-+-≤= ⎪⎝⎭==,即时取等号,此时房价为元,所以为使宾馆利润最大,每天1850x x +-=16x =1801610340+⨯=的房价定为340元.故答案为:340.7.二次函数的图像如图所示,则下列结论中正确的个数是____.2(0)y ax bx c a =++≠(1)异号;(2)当和时,函数值相等;(3);(4)当时,的取,a b 1x =3x =40a b +=4y =x 值只能为0.【答案】3【分析】根据二次函数的图象得到对称轴即可结合二次函数的性质求解.【详解】根据图象可知:是二次函数与的两个交点,所以可得对称轴方程为 ()2,0,(6,0)-x ,故对称轴为,故异号且,(1)(3)正确; 2x =22b x a=-=,a b 40a b +=因为对称轴为,故当和时,函数值相等, 22b x a=-=1x =3x =当时,的取值为0和4,故(2)正确,(4)错误;故正确的个数是3.4y =x 故答案为:3.8.若的图像x =1对称,则c =_______.()()223,[,]f x x b x x b c =-+++∈【答案】2【详解】本题考查函数的对称性又的对称轴为 ()()2222223322b b f x x b x x ++⎛⎫⎛⎫=-+++=--++ ⎪ ⎪⎝⎭⎝⎭22b x +=则,得; 212b +=0b =由的图象对称知其定义域关于直线对称,则有()()223,[,]f x x b x x b c =-+++∈1x =[],b c 1x =;2b c +=所以2c =9.不等式ax 2+bx +c >0的解集为(﹣2,1),则不等式ax 2+(a +b )x +c ﹣a <0的解集为 ______.【答案】(﹣∞,﹣3)∪(1,+∞).【详解】根据不等式ax 2+bx +c >0的解集得出a 与b 、c 的关系,再代入不等式ax 2+(a +b )x +c ﹣a <0中化简求解集即可.【解答】解:不等式ax 2+bx +c >0的解集为(﹣2,1),所以﹣2和1是ax 2+bx +c =0的实数根,且a <0;所以,可得b =a ,c =﹣2a , 2121b a c a ⎧-+=-⎪⎪⎨⎪-⨯=⎪⎩所以不等式ax 2+(a +b )x +c ﹣a <0可化为ax 2+2ax ﹣3a <0,即x 2+2x ﹣3>0,整理可得()()310x x +->,解得x <﹣3或x >1,所以不等式的解集为(﹣∞,﹣3)∪(1,+∞).故答案为:(﹣∞,﹣3)∪(1,+∞).10.已知命题“若,,则集合”是假命题,()22f x m x =()22g x mx m =-1()(),12x f x g x x ⎧⎫<≤≤=∅⎨⎬⎩⎭则实数的取值范围是 ______.m 【答案】 ()7,0-【分析】由“”是假命题可知区间上有解,构1()(),12x f x g x x ⎧⎫<≤≤=∅⎨⎬⎩⎭()2220m m x m -+<1,12⎡⎤⎢⎥⎣⎦造函数,结合二次函数的图象可求的范围.()()222h x m m x m =-+m 【详解】∵,,()22f x m x =()22g x mx m =-又∵“”是假命题, 1()(),12x f x g x x ⎧⎫<≤≤=∅⎨⎬⎩⎭∴,即在区间上有解 2222m x mx m <-()2220m m x m -+<1,12⎡⎤⎢⎥⎣⎦令,()()222h x m m x m =-+①当,即或时,或,20m m -=0m =1m =()0h x =()2h x =在区间上无解,不合题意; ()0h x <1,12⎡⎤⎢⎥⎣⎦②当,即且时,20m m -≠0m ≠1m ≠是二次函数,其图象是对称轴为轴的抛物线,()h x y 若要使在区间上有解,则需满足: ()0h x <1,12⎡⎤⎢⎥⎣⎦或 22017024m m m m h ⎧->⎪⎨+⎛⎫=< ⎪⎪⎝⎭⎩()22010m m h m m ⎧-<⎪⎨=+<⎪⎩解得,即的取值范围是.70m -<<m ()7,0-故答案为:.()7,0-【点睛】本题主要考查了复合命题的真假关系的应用,解题的关键是二次函数的性质的应用. 11.对于任意两个数x ,y (x ,y ∈N *),定义某种运算“◎”如下:①当或时,x ◎y =x +y ; **2,N 2,N x m m y n n ⎧=∈⎨=∈⎩**21,N 21,N x m m y n n ⎧=-∈⎨=-∈⎩②当时,x ◎y =xy . **2,N 21,N x m m y n n ⎧=∈⎨=-∈⎩则集合A ={(x ,y )|x ◎y =10}的子集个数是 _____.【答案】2048【分析】由新定义化简集合,从而确定子集的个数.A 【详解】由新定义知,A ={(x ,y )|x ◎y =10}()()()()()()()()()()(){}=19283746556473829125101,,,,,,,,,,,,,,,,,,,,,共11个元素,故其子集的个数为,112=2048故答案为:2048.12.若关于的不等式的解集为,且存在实数,使得,x 3|1||1|2x ax +++≥R 0x 003|1||1|2x ax +++=则实数的所有取值是____.a 【答案】或. 12-2-【分析】的图像是一条折线,所以的最小值在折点处,故分类讨论,在折点处建立等式求()f x ()f x 解即可.【详解】令,当时,,不合题意,故.()|1||1|f x x ax =+++0a =()|1|11f x x =++≥0a ≠由的解析式易得,的图像是一条折线,且折点满足或,即或()f x ()f x 10x +=10ax +==1x -, 1x a=-又的最小值为,∴的最小值只能在折点处取得. ()|1||1|f x x ax =+++32()f x 当时,则,解得或, =1x -3|1|2a -+=12a =-52所以或, 13()|1||1|22f x x x =++-+≥53()|1||1|25x f x x =+++≥因为的最小值为,所以; ()f x 3212a =-当时,则,解得或, 1x a =-13|1|2a -+=2a =-25所以或,所以. 3()|1||21|2f x x x =++-+≥23()|1||1|55f x x x =+++≥2a =-综上所述,或. 12a =-2a =-故答案为:或. 12-2-二、单选题13.设不等式的解集为,不等式的解集为,则不等式的解集为()0f x ≥[1,2]()0g x ≥∅()0()0f xg x <⎧⎨<⎩( )A .B .C .D .∅(,1)(2,)-∞⋃+∞(1,2)R 【答案】B【分析】根据集合的补集的含义求解即可.【详解】因为不等式的解集为,不等式的解集为,()0f x ≥[1,2]()0g x ≥∅所以不等式的解集为,不等式的解集为 ()0f x <(,1)(2,)-∞⋃+∞()0g x <R 所以不等式的解集为. ()0()0f x g x <⎧⎨<⎩(,1)(2,)-∞⋃+∞故选:B .三、多选题14.已知为正常数,则不等式( ) ,,a b m a m a b m b +>+A .当时成立 B .当时成立a b <a b >C .是否成立与无关D .一定成立 m 【答案】AC【分析】化简不等式即可判断.【详解】因为为正常数,则,且不等式是否成立与,,a b m ()()a m a a m b a b m b a b m b+>⇔+>+⇔>+无关.m 故选:AC.四、单选题15.俗话说“不到长城非好汉”,这句话的意思是“到长城”是“好汉”的( )A .充分条件B .必要条件C .充分必要条件D .既非充分也非必要条件【答案】B【分析】利用命题与逆否命题的关系判断.【详解】设为不到长城,推出为非好汉,即,p ⌝q ⌝p q ⌝⇒⌝则,即好汉到长城,故“到长城”是“好汉”的必要不充分条件.q p ⇒⇒故选:B .16.已知,为方程的两根,,为方程的两根,则常数1x 2x 20x px q ++=11x +21x +20x qx p ++=p ,q 分别等于( )A .,B .3,C .1,3D .,1 1-3-1-3-【答案】A【分析】根据已知条件由韦达定理得出,关于p ,q 的式子,消去,求解即可得出答案.1x 2x 1x 2x 【详解】,为方程的两根, 1x 2x 20x px q ++=①, 1212x x p x x q +=-⎧∴⎨⋅=⎩ ,为方程的两根,11x + 21x +20x qx p ++=②, ()()12121111x x q x x p +++=-⎧∴⎨+⋅+=⎩ 由①②式消去,可得:,解得, 1x 2x 21p q q p p -+=-⎧⎨-+=⎩13p q =-⎧⎨=-⎩17.已知条件实数满足,条件实数满足,若是的:p x 28200x x --≤:q x 22210(0)x x m m -+->≤p q 必要而不充分条件,则实数的取值范围是( )m A .B .C .D .3m ≥03m <≤3m >03m <<【答案】B【分析】解不等式,必要而不充分条件等价为集合的包含关系,即可列不等式组求解.【详解】,因为是的必要而不充分条件, [][]:2,10,:1,1p x q x m m ∈-∈-+p q 所以,所以且等号不同时成立,所以, [][]1,12,10m m -+⊂-12110m m -≥-⎧⎨+≤⎩03m <≤故选:B.五、解答题18.解下列不等式: (1); 25123x x x -<---(2).2(1)(2)0x x -+≥【答案】(1)(1,1)(2,3)-U (2){2}[1,)-+∞【分析】对不等式因式分解,由数轴标根法或分类讨论求解即可.【详解】(1),由数轴标根法得,解集22253210(1)(1)(2)(3)02323x x x x x x x x x x x --+<-⇔<⇔+---<----为;(1,1)(2,3)-U (2)或, 210(1)(2)020x x x x -≥⎧-+≥⇔⎨+≠⎩20x +=易得解集为.{2}[1,)-+∞ 19.解下列不等式: (1); 132x-<<(2).(0x -≥【答案】(1) 11(,(,)32-∞-⋃+∞【分析】(1)分类讨论解分式不等式;(2)结合因式分解解不等式.【详解】(1)时,解得;时,解得. 0x >12x >0x <13x <-故解集为; 11(,(,)32-∞-⋃+∞(2),故解集为. (2)0(0(00x x x -≥⎧-≥⇔-≥⇔≥[3,)+∞20.已知集合,求:{}2|20A x x x m =-+=(1)若集合至多有1个元素,求实数的取值范围;A m (2)若,求实数的取值范围.(,0)A ⊆-∞m 【答案】(1)m 1≥(2)1m >【分析】(1)由集合元素的个数转化为方程根的个数列不等式即可求得实数的取值范围; m (2)根据集合关系,讨论或只有负根,列不等式即可求得实数的取值范围.A =∅220x x m -+=m 【详解】(1)若集合至多有1个元素,则至多一个实根{}2|20A x x x m =-+=220x x m -+=所以,故;440m ∆=-≤m 1≥(2)由题意得或只有负根,A =∅220x x m -+=当时,,故,A =∅Δ440m =-<1m >当只有负根时,,无解,220x x m -+=1212Δ440200m x x x x m =-≥⎧⎪+=<⎨⎪=>⎩综上,实数的取值范围为.m 1m >21.关于的不等式,其中. x 2282002(1)94x x mx m x m -+<++++R m ∈(1)解集为空集时,求实数的取值范围; m (2)解集为时,求实数的取值范围.R m 【答案】(1); 1,4⎡⎫+∞⎪⎢⎣⎭(2). 1,2⎛⎤-∞- ⎥⎝⎦【分析】(1)由题意可得恒成立,结合一元二次不等式的解法求解即可;22(1)940mx m x m ++++≥(2) 由题意可得恒成立,结合一元二次不等式的解法求解即可;22(1)94mx m x m ++++0<【详解】(1)解:因为恒为正,22820(4)4x x x -+=-+所以解集为空集时,恒成立,22(1)940mx m x m ++++≥当时,不恒成立,舍去;0m =240x +≥当时,,解得, 0m ≠()()20Δ414940m m m m >⎧⎪⎨=+-+≤⎪⎩14m ≥所以实数的取值范围是; m 1,4⎡⎫+∞⎪⎢⎣⎭(2)解:因为恒正,所以解集为时,恒成立, 22820(4)4x x x -+=-+R 22(1)94mx m x m ++++0<当时,不恒成立,舍去;0m =240x +<当时,,解得, 0m ≠()()20Δ414940m m m m <⎧⎪⎨=+-+≤⎪⎩12m ≤-所以实数的取值范围是. m 1,2⎛⎤-∞- ⎝⎦22.为了净化空气,某科研单位根据实验得出,在一定范围内,每喷洒1个单位的净化剂,空气中释放的浓度y (单位:毫克/立方米)随着时间x (单位:天)变化的函数关系式近似为.若多次喷洒,则某一时刻空气中的净化剂浓度为每次投放的净化剂在相应时217,0415,4102x x y x x ⎧-≤≤⎪=⎨-<≤⎪⎩刻所释放的浓度之和.由实验知,当空气中净化剂的浓度不低于4(毫克/立方米)时,它才能起到净化空气的作用.(1)若一次喷洒4个单位的净化剂,则净化时间可达几天?(2)若第一次喷2个单位的净化剂,6天后再喷洒个单位的药剂,要使接下来的4天中能(14)a a ≤≤够持续有效净化,试求a 的最小值.【答案】(1)8天(2)4【分析】(1)对进行分类讨论,由求得净化的天数.x 44y ≥(2)根据空气中净化剂的浓度不低于4(毫克/立方米)列不等式,分离常数,结合函数的单调a 性求得的取值范围,进而求得的最小值.a a【详解】(1)一次喷洒4个单位的净化剂,故浓度, ()2684,044202,410x x f x y x x ⎧-≤≤==⎨-<≤⎩则当时,由,得;04x ≤≤26844x -≥04x ≤≤当时,由,解得,所以.410x <≤2024x -≥8x ≤48x <≤综上所述,,08x ≤≤故若一次喷洒4个单位的净化剂,则净化时间可达8天.(2)设从第一次喷洒起,经过天,(610)x x ≤≤浓度, 21()2517(6)42g x x a x ⎛⎫⎡⎤=⨯-+--≥ ⎪⎣⎦⎝⎭当时,, 610x <≤2611717(6)(6)6x a x x x -≥=-----因为在上单调递减, 17()(6)6h x x x =---(6,10]所以当时,取得最小值, 10x =()h x 1(10)4h =则的最大值为4,所以; 117(6)6x x ---4a ≥当时,恒成立.6x =()4174g x a =+≥综上所述,a 的最小值为4.23.已知函数,设关于的方程的两实根为,方程()24(0,,)f x ax x b a a b =++<∈R x ()0f x =12,x x 的两实根为.()f x x =,αβ(1)若,求与的关系式;||1αβ-=a b (2)若均为负整数,且,求的解析式;,a b ||1αβ-=()f x (3)若,求证:.12αβ<<<12(1)(1)7x x ++<【答案】(1);249(0,,)a ab a a b +=<∈R (2);()242f x x x =-+-(3)证明见解析.【分析】(1)由题意得有两个不等实根为,,根据韦达定理及230(0,,)ax x b a a b ++=<∈R αβ可求解;||1αβ-=(2)由(1)得,结合均为负整数可求解;249a ab +=,a b (3)由韦达定理可得,结合即可证明. 12124,b x x x x a a+=-=12αβ<<<【详解】(1)由题意得有两个不等实根为,,230(0,,)ax x b a a b ++=<∈R αβ所以. 3940,,b ab a aαβαβ∆=->+=-=由得,即, ||1αβ-=()21αβ-=2294()41b a aαβαβ+-=-=所以,即.294ab a -=249(0,,)a ab a a b +=<∈R (2)由(1)得,因为均为负整数,249a ab +=,a b 所以或或, 149a a b =-⎧⎨+=-⎩941a a b =-⎧⎨+=-⎩343a a b =-⎧⎨+=-⎩显然后两种情况不合题意,应舍去,从而有,解得,. 149a a b =-⎧⎨+=-⎩1a =-2b =-故所求函数解析式为.()242f x x x =-+-(3)由题意得, 12124,b x x x x a a+=-=又由,得,故, 12αβ<<<30,2b a a αβαβ+=-<=<11a-<所以. ()()121212*********b x x x x x x a a++=+++=-+<++=。
上海市格致中学高一数学理月考试题含解析一、选择题:本大题共10小题,每小题5分,共50分。
在每小题给出的四个选项中,只有是一个符合题目要求的1. (4分)己知集合Q={x|2x2﹣5x≤0,x∈N},且P?Q,则满足条件的集合P的个数是()A. 3 B. 4 C.7 D.8参考答案:D考点:集合的包含关系判断及应用.分析:解出集合Q,再根据P?Q,根据子集的性质,求出子集的个数即为集合P的个数;解答:集合Q={x|2x2﹣5x≤0,x∈N},∴Q={0,1,2},共有三个元素,∵P?Q,又Q的子集的个数为23=8,∴P的个数为8,故选D;点评:此题主要考查集合的包含关系判断及应用,是一道基础题;2. 直线l过点(-1,2),且与直线2x-3y+4=0垂直,则l的方程是()A.3x+2y-1=0 B.3x+2y+7=0 C.2x-3y+5=0 D.2x-3y+8=0参考答案:A3. 在△ABC中,,,O为△ABC的外心,则AO=()A.B.2 C.3 D.参考答案:B 连接、,因为O为的外心,则,又,故,是等边三角形,.4. 已知、为非零实数,且,则下列命题成立的是A. B. C. D.参考答案:C略5. 函数f(x)=+lg(1+x)的定义域是( ).A.(-∞,-1) B. (1,+∞) C.(-1,1)∪(1,+∞) D.(-∞,+∞)参考答案:C6. 若f(x)=a x(a>0且a≠1)对于任意实数x、y都有()A.f(xy)=f(x)?(y)B.f(xy)=f(x)+(y)C.f(x+y)=f(x)f(y)D.f(x+y)=f(x)+f(y)参考答案:C【考点】抽象函数及其应用.【分析】本题利用直接法求解,分别求出f(x+y)及f(x)f(y)或f(xy)、f(x)+(y)对照选项即可选出答案.【解答】解:∵f(x+y)=a x+y∵f(x)=a x,f(y)=a y∴f(x+y)=a x+y∴f(x+y)=f(x)f(y)故选C.【点评】本题主要考查了指数函数的图象等抽象函数及其应用.属于容易题.7. 若四边形满足,,则该四边形一定是A.直角梯形 B.菱形 C.矩形 D.正方形参考答案:B8. 某班共有人参加数学、物理、化学兴趣小组,其中参加数学兴趣小组的有人,参加化学兴趣小组的有人,参加物理兴趣小组的有人,同时参加数学、物理兴趣小组的有人,参加数学、化学兴趣小组的有人,三个兴趣小组都参加的有人。
2020年上海市格致中学高一上数学周练卷一 2020.09.04一. 填空题1. 方程组20x y x y +=⎧⎨-=⎩的解构成的集合为2. 已知集合2{,2,}A x x x =-且x ∈Z ,若||3x ≤,则满足条件的x 所形成的集合B 用列举法表示为B =3. 已知:x a α≥,:3x β>,若αβ⇒,则实数a 的取值范围是4. 设全集U =R ,{|21}A x x a =>-,{|}B x x a =>,若A ∩B ≠∅,则实数a 的取值范围是5. 已知全集{|010,}U x x x =<<∈N ,若{1}A B =,{2,4,9}A B =,A B ={1,2,4,6,7,9},则B =6. 若{|2}A x x =>-,{|,}B x x b b =≤∈R ,则AB =R 的充要条件是 ,A B =R 的一个必要 非充分条件是 ,A B =R 的一个充分非必要条件是7. 设集合A 是整数集的一个非空子集,对于任意的k A ∈,如果1k A +∉且1k A -∉,则称k 为集合A 的一个 “孤立元”,给定集合{|09,}M x x x =<≤∈N ,由M 中的3个元素组成的所有集合中,不含有“孤立元” 的集合共有 个8. 定义集合A 与B 的差:{|A B x x A -=∈且}x B ∉,对称差:()()A B A B B A ∇=--,已知集合{(,)|1}A x y y x ==+,5{(,)|1}4y B x y x -==-,则A B ∇= 9. 用符号“⇒”或“⇔”或“⇐”将下列各题中的α、β之间关系连接起来:(1)2:9x α=,:3x β=或3x =-,则α β(2):α整数k 是3的倍数,:β整数k 是9的倍数,则α β(3):α集合A ∩B =∅,:A β=∅或B =∅,则α β(4):0m α≤,:β关于x 的方程220x x m -+=有实根,则α β10. 若规定12310{,,,,}E a a a a =⋅⋅⋅的子集12{,,,}l nl l a a a ⋅⋅⋅为E 的第k 个子集,其中k =12111222n l l l ---++⋅⋅⋅+, 则E 的第211个子集为二. 选择题11. 给出下列说法:(1){0}是空集;(2)集合6{|,}x x x∈∈N Q 是有限集;(3)空集不存在子集; (4){|21,}{|21,}x x k k x x k k =+∈==-∈Z Z ; 其中正确的说法个数为( )A. 1个B. 2个C. 3个D. 4个12. 设关于x 的不等式110a x b +>的解集为A ,关于x 的不等式220a x b +>的解集为B ,则“A B =”是 “1122a b a b =”的( ) A. 充分非必要条件 B. 必要非充分条件 C. 充要条件 D. 既非充分又非必要条件13.“a 、b 都不为0”的充分非必要条件是( )A. 0ab >B. 0ab ≠C. 220a b +>D. 0a b +>14. 集合2{|()()0}S x x a x bx c =+++=,2{|(1)(1)0}T x ax cx bx =+++=,其中a 、b 、c 都是实数, 若||S 、||T 分别为S 、T 的元素个数,则下列结论中一定成立的是( )A. 若||0T =,则||1S =B. 若||1S =,则||1T =C. 若||2S =,则||2T =D. 若||3T =,则||2S =三. 解答题15.(1)设:24a x α<≤,:231x a β≤≤+,若α是β的充分非必要条件,求实数a 的取值范围;(2)设集合{|24}A x a x =<≤,集合{|231}B x x a =<<+,若A B ⊂,求实数a 的取值范围.16. 已知U =R ,集合2{|0}A x x px q =++=,2{|10}B x qx px =++=,且集合A 、B 同时满足:(1)A ∩B ≠∅;(2)A ∩B ={−2};其中p 、q 都为不等于零的实数,求实数p 、q 的值.17.(1)已知,,a b c ∈R ,证明:若1a b c ++<,则a 、b 、c 中至少有一个小于13; (2)已知,,a b c ∈R ,判断“1a b c ++<”是“a 、b 、c 中至少有一个小于13”的什么条件?并说明理由.18. 设集合1234{,,,}A a a a a =,22221234{,,,}B a a a a =,其中1a 、2a 、3a 、4a 都是正整数,且1234a a a a <<<. (1)若A ∩B ={a 1,a 4}且1410a a +=,求1a 与4a 的值;(2)在(1)的条件下,若A B 中所有元素的和为124,求集合A .参考答案一. 填空题1. {(1,1)}2. {3,2,1,3}--3. 3a >4. 1a <5. {3,5,6,7,8}6. 2b ≥-,3b ≥-(答案不唯一),1b ≥-(答案不唯一)7. 78. {(4,5)} 9.(1)⇔;(2)⇐;(3)⇐;(4)⇒ 10. 12578{,,,,}a a a a a二. 选择题11. A 12. D 13. A14. A 三. 解答题15.(1)1a ≥;(2)1a >.16. 1p =,2q =-或3p =,2q =.17.(1)证明略;(2)充分不必要.18.(1)11a =,49a =;(2){1,3,5,9}A =.。
上海市格致中学2019-2020学年高一数学文月考试卷含解析一、选择题:本大题共10小题,每小题5分,共50分。
在每小题给出的四个选项中,只有是一个符合题目要求的1. 若函数f(x)=a x+log a(x+1)在[0,1]上的最大值与最小值之和为a,则a的值为()A.2 B.4 C.D.参考答案:C【考点】函数单调性的性质.【专题】函数的性质及应用.【分析】根据同底的指数函数和对数函数有相同的单调性,建立方程关系即可得到结论.【解答】解:∵函数y=a x与y=log a(x+1)在[0,1]上有相同的单调性,∴函数函数f(x)=a x+log a(x+1)在[0,1]上是单调函数,则最大值与最小值之和为f(0)+f(1)=a,即1+log a1+log a2+a=a,即log a2=﹣1,解得a=,故选:C【点评】本题主要考查函数最值是应用,利用同底的指数函数和对数函数有相同的单调性是解决本题的关键.本题没有对a进行讨论.2. 已知集合A={﹣1,0,1,2},B={x|x<2},则A∩B=()A.{﹣1,0,1} B.{﹣1,0,2} C.{﹣1,0} D.{0,1}参考答案:A【考点】交集及其运算.【专题】集合思想;综合法;集合.【分析】根据交集的定义求出结果即可.【解答】已知集合A={﹣1,0,1,2},B={x|x<2},则A∩B={﹣1,0,1}.故选:A.【点评】本题考查求两个集合的交集的方法,是一道基础题.3. 已知等比数列{a}的前10项的积为32,则以下论述:①数列{a}的各项均为正数②数列{a}中必有小于的项③数列{a}的公比必是正数④数列{a}的首项和公比中必有一个大于1其中正确的为A. ①②B. ②③C.③D.③④参考答案:C4. 过点A(3,5)作圆(x﹣2)2+(y﹣3)2=1的切线,则切线的方程为()A.x=3或3x+4y﹣29=0 B.y=3或3x+4y﹣29=0C.x=3或3x﹣4y+11=0 D.y=3或3x﹣4y+11=0参考答案:A【考点】圆的切线方程.【分析】由题意可得:圆的圆心与半径分别为:(2,3);1,再结合题意设直线为:kx ﹣y﹣3k+5=0,进而由点到直线的距离等于半径即可得到k,求出切线方程.【解答】解:由圆的一般方程可得圆的圆心与半径分别为:(2,3);1,当切线的斜率存在,设切线的斜率为k,则切线方程为:kx﹣y﹣3k+5=0,由点到直线的距离公式可得: =1解得:k=﹣,所以切线方程为:3x+4y﹣29=0;当切线的斜率不存在时,直线为:x=3,满足圆心(2,3)到直线x=3的距离为圆的半径1,x=3也是切线方程;故选A.5. 某公司生产三种型号的轿车,产量分别是1600辆、6000辆和2000辆,为检验公司的产品质量,现从这三种型号的轿车种抽取48辆进行检验,这三种型号的轿车依次应抽取()A. 16,16,16B. 8,30,10C. 4,33,11 D. 12,27,9参考答案:B6. 函数的定义域为,那么其值域为…( )A.B. C. D.参考答案:B略7. tan300°的值为A.B. C.- D.-参考答案:D8. 若则的值等于()A. B. C. D.参考答案:A9. 动圆M与定圆C:x2+y2+4x=0相外切,且与直线l:x-2=0相切,则动圆M的圆心(x,y)的满足的方程为()A. y2-12x+12=0B. y2+12x-12=0C. y2+8x=0D. y2-8x=0参考答案:B【分析】设M点坐标为(x,y),C(﹣2,0),动圆得半径为r,则根据两圆相外切及直线与圆相切得性质可得,MC=2+r,d=r,从而|MC|﹣d=2,由此能求出动圆圆心轨迹方程.【详解】设M点坐标为(x,y),C(﹣2,0),动圆得半径为r,则根据两圆相外切及直线与圆相切得性质可得,MC=2+r,d=r∴|MC|﹣d=2,即:﹣(2﹣x)=2,化简得:y2+12x-12=0.∴动圆圆心轨迹方程为y2+12x-12=0.故选:B.【点睛】本题考查动圆圆心轨迹方程的求法,考查直线方程、圆、两点间距离公式、两圆相外切、直线与圆相切等基础知识,考查推理论证能力、运算求解能力,考查化归与转化思想、函数与方程思想,是中档题.10. 是第二象限的角,且,则是( )A.第一象限角B.第二象限角C.第三象限角D.第四象限角参考答案:C二、填空题:本大题共7小题,每小题4分,共28分11. 从集合{1,2,3,4,5}中随机抽取一个数a,从集合{1,3}中随机抽取一个数b,则时间“a≥b”发生的概率是_________ .参考答案:12. 已知平面向量的夹角为,,则____参考答案:1【分析】利用向量数量积的定义式求解即可.【详解】根据题意可得,故答案是1.【点睛】该题考查的是有关平面向量数量积的求解问题,涉及到的知识点有平面向量数量积的定义式,属于简单题目.13. 设公差为的等差数列的前项和为,若,,则当取最大值时,的值为 .参考答案:914. 函数的值域是______.参考答案:略15. 若向量,则的夹角的度数为__________.参考答案:【分析】设向量的夹角为.由,得,再根据数量积的定义求夹角.【详解】设向量的夹角为.,又.故答案为:.【点睛】本题考查向量垂直的性质和数量积的定义,属于基础题.16. (5分)某公司为改善职工的出行条件,随机抽取50名职工,调查他们的居住地与公司的距离d(单位:千米).若样本数据分组为[0,2],(2,4],(4,6],(6,8],(8,10],(10,12],由数据绘制的分布频率直方图如图所示,则样本中职工居住地与公司的距离不超过4千米的人数为人.参考答案:24考点:频率分布直方图.专题:计算题.分析:首先计算出样本中职工居住地与公司的距离不超过4千米的频率,即从左到右前两个矩形的面积之和,再乘以50即可.解答:样本中职工居住地与公司的距离不超过4千米的频率为:(0.1+0.14)×2=0.48,所以样本中职工居住地与公司的距离不超过4千米的人数为:50×0.48=24人故答案为:24.点评:本题考查频率分布直方图,属基础知识、基本运算的考查.17. 已知集合A={2,4,6,8,9},B={1,2,3,5,8},若非空集合C是这样一个集合:其各元素都加2后,就变为A的一个子集,若各元素都减2后,则变为B的一个子集,则集合C=________.参考答案:{4},{7}或{4,7}解:由题意知C?{0,2,4,6,7},C?{3,4,5,7,10},所以C?{4,7}.又因为C≠?,所以C={4},{7}或{4,7}.三、解答题:本大题共5小题,共72分。
2020-2021学年上海市某校高一(上)月考数学试卷(10月份)一.填空题(本大题共12题,1-6每题3分,7-12每题4分,共42分)1. 已知集合M={x|x(4−x)<0},N={x|(x−1)(x−6)<0, x∈Z},则M∩N=________.2. 不等式1x <12的解集是________.3. 不等式5−xx+4≥1的解集为________.4. 不等式(x+2)(x+1)2(x−1)3(x−2)≤0的解集为________.5. 若不等式ax2−bx+c<0的解集是(−2, 3),则不等式bx2+ax+c<0的解集是________.6. 已知A={x||2x−3|<a},B={x||x|≤10},且A⫋B,则实数a的取值范围是________.7. 关于x的方程m(x−3)+3=m2x的解为不大于2的实数,则m的取值范围为________.8. 若已知不等式2x−1>m(x2−1)对满足|m|≤2的一切实数m的取值都成立,则x的取值范围为________.9. 已知集合A={x|x2−5x+4≤0},集合B={x|x2−2ax+a+2≤0},若B⊆A,则实数a的取值范围为________.10. 已知不等式xy≤ax2+2y2对于x∈[1, 2],y∈[2, 3]恒成立,则实数a的取值范围是________.二.选择题(本大题共4题,每题4分,共16分)不等式|a+b||a|+|b|≤1成立的充要条件是()A.ab≠0B.a2+b2≠0C.ab>0D.ab<0x为实数,且|x−5|+|x−3|<m有解,则m的取值范围是()A.m>1B.m≥1C.m>2D.m≥2已知关于x的不等式ax+b>0的解集是(1, +∞),则关于x的不等式ax−bx−2>0的解集是()A.{x|x<−1或x>2}B.{x|−1<x<2}C.{x|1<x<2}D.{x|x>2}不等式组{x>03−x 3+x >|2−x2+x|的解集是()A.{x|0<x<2}B.{x|0<x<2.5}C.{x|0<x<√6}D.{x|0<x<3}三.解答题(本大题共4题,共14+14+14+20=62分)已知f(x)=−3x2+a(6−a)x+6.(1)解关于a的不等式f(1)>0;(2)若不等式f(x)>b的解集为(−1, 3),求实数a,b的值.a∈R,解关于x的不等式x−1x≥a(x−1).已知a是实数,函数f(x)=2ax2+2x−3−a,如果函数y=f(x)在区间[−1, 1]上有零点,求a的取值范围.(附加题)已知S1、S2、S3为非空整数集合,对于1、2、3的任意一个排列i、j、k,若x∈S i,y∈S j,则x−y∈S k.(1)证明:三个集合中至少有两个相等;(2)三个集合中是否可能有两个集合无公共元素?说明理由.参考答案与试题解析2020-2021学年上海市某校高一(上)月考数学试卷(10月份)一.填空题(本大题共12题,1-6每题3分,7-12每题4分,共42分)1.【答案】{5}【考点】交集及其运算【解析】可以求出集合M,N,然后进行交集的运算即可.【解答】∵M={x|x<0或x>4},N={x|1<x<6, x∈Z}={2, 3, 4, 5},∴M∩N={5}.2.【答案】(−∞, 0)∪(2, +∞)【考点】其他不等式的解法【解析】根据x大于0和x小于0分两种情况考虑,当x大于0时,去分母得到不等式的解集,与x大于0求出交集即为原不等式的解集;当x小于0时,去分母得到不等式的解集,与x小于0求出交集即为原不等式的解集,综上,得到所有满足题意的x的范围即为原不等式的解集.【解答】解:当x>0时,去分母得:x>2,所以原不等式的解集为:(2, +∞);当x<0时,去分母得:x<2,所以原不等式的解集为:(−∞, 0),综上,原不等式的解集为:(−∞, 0)∪(2, +∞).故答案为:(−∞, 0)∪(2, +∞)3.【答案】(−4, 1 2 ]【考点】其他不等式的解法【解析】把要解的不等式转化为与之等价的一元二次不等式,从而求得它的解集.【解答】不等式5−xx+4≥1,即2x−1x+4≤0,即(2x−1)⋅(x+4)≤0且x+4≠0,求得−4<x≤12,4.【答案】(−∞, −2]∪{−1}∪[1, 2]【考点】其他不等式的解法【解析】根据“数轴穿根法”求解即可.【解答】根据题意,作出如下的图形,由图可知,不等式的解集为(−∞, −2]∪{−1}∪[1, 2].5.【答案】(−3, 2)【考点】根与系数的关系一元二次不等式的解法【解析】根据不等式ax2−bx+c<0的解集得出a>0,ca 与ba的值,把不等式bx2+ax+c<0化为x2+x−6<0,从而得出不等式的解集.【解答】解:∵不等式ax2−bx+c<0的解集是(−2, 3),∴a>0,且对应方程ax2−bx+c=0的实数根是−2和3,由根与系数的关系,得:{ca=−2×3,ba=−2+3,即ca =−6,ba=1,∴b>0,且ab =1,cb=−6,∴不等式bx2+ax+c<0可化为:x2+x−6<0,解得−3<x<2,∴该不等式的解集为(−3, 2).故答案为:(−3, 2).6.【答案】(−∞, 17]【考点】集合的包含关系判断及应用【解析】根据题意,可得B,分两种情况讨论A包含于B时a的取值范围,即可得答案.【解答】根据题意,易得B ={x|−10≤x ≤10}, 若A 是B 的真子集,分两种情况讨论: 当a ≤0时,A =⌀,此时A 包含于B ; 当a >0时,|2x −3|<a ⇒3−a 2<x <3+a 2,若A 包含于B ,则有{3−a 2≥−103+a 2≤10⇒a ≤17,a 的取值范围为(0, 17]; 7. 【答案】(−∞,−32]∪(0,1)∪(1,+∞)【考点】一元二次不等式的解法 【解析】把原方程化为未知项移到左边,常数项移动右边,然后当m =0和m =1时,分别代入即可得到方程不成立;当m 不等于0且m 不等于1时,求出方程的解,让方程的解小于等于2,列出关于m 的不等式,求出不等式的解集即可得到m 的取值范围,综上,得到符合题意的m 的取值范围. 【解答】解:由m(x −3)+3=m 2x 得: (m 2−m)x =−3m +3,若m =0,不成立;m =1,解得x 为R ,不成立, 若m ≠0且m ≠1时,则x =−3(m−1)m(m−1)=−3m ≤2,即2m+3m≥0,可化为:m(2m +3)≥0,解得:m ≥0或m ≤−32, 综上,得到m 的取值范围为:(−∞,−32]∪(0,1)∪(1,+∞). 故答案为:(−∞,−32]∪(0,1)∪(1,+∞)8. 【答案】(√7−12,√3+12) 【考点】一元二次不等式与二次函数 【解析】构造变量m 的函数,对x 2−1>0,x 2−1<0,x 2−1=0,进行分类讨论,利用|m|≤2时函数的取值,分别求出x 的范围,然后求并集即可. 【解答】解:构造变量m 的函数求解:2x −1>m(x 2−1), 即:(x 2−1)m −(2x −1)<0,构造关于m 的函数f(m)=(x 2−1)m −(2x −1), |m|≤2即−2≤m ≤2.1)当x 2−1>0时,则f(2)<0 ,从而 2x 2−2x −1<0,解得:1−√32<x <1+√32又x 2−1>0,即x <−1 或 x >1, 所以 1<x <1+√32;2)当x 2−1<0时,则f(−2)<0 可得−2x 2−2x +3<0 , 从而 2x 2+2x −3>0 解得 x <−1−√72或x >√7−12, 又−1<x <1, 从而√7−12<x <13)当x 2−1=0时,则f(m)=1−2x <0 , 从而x >12,故x =1;综上有:√7−12<x <1+√32.故答案为:(√7−12,√3+12). 9. 【答案】 −1<a ≤187【考点】集合关系中的参数取值问题 【解析】分别解出集合A 、B ,对于集合B ,我们需要讨论它是不是空集,再根据子集的定义进行求解; 【解答】解:集合A ={x|x 2−5x +4≤0},集合B ={x|x 2−2ax +a +2≤0}, B ⊆A ,解得A ={x|1≤x ≤4},若B ≠⌀,△=(−2a)2−4(a +2)=4a 2−4a −8>0, 可得a ≥2或a ≤−1;B ={x|a −√a 2−a −2≤x ≤a +√a 2−a −2}, ∵ B ⊆A ,∴ {a +√a 2−a −2≤4①a −√a 2−a −2≥1②,解不等式①得,a ≤187,解不等式②得,1≤a ≤3,取交集得,1≤a ≤187,又∵ △≥0,可得a ≥2或a ≤−1; 可得2≤a ≤187当a =187符合题意;当a =2符合题意;∴ 2≤a ≤187若B =⌀,可得△=(−2a)2−4(a +2)=4a 2−4a −8<0, −1<a <2;综上可取并集得:−1<a ≤187故答案为:−1<a ≤187;10.【答案】 [−1, +∞) 【考点】 不等式的综合 【解析】本题考查的是不等式与恒成立的综合类问题.在解答时,首先可以分离参数将问题转化为:a ≥yx −2(yx )2对于x ∈[1, 2],y ∈[2, 3]恒成立,然后解答此恒成立问题即可获得问题的解答. 【解答】由题意可知:不等式xy ≤ax 2+2y 2对于x ∈[1, 2],y ∈[2, 3]恒成立, 即:a ≥yx −2(y x )2,对于x ∈[1, 2],y ∈[2, 3]恒成立, 令t =yx ,则1≤t ≤3,∴ a ≥t −2t 2在[1, 3]上恒成立, ∵ y =−2t 2+t =−2(t −14)2+18∴ y max =−1, ∴ a ≥−1二.选择题(本大题共4题,每题4分,共16分)【答案】 B【考点】必要条件、充分条件与充要条件的判断 【解析】由于题中分式,故要保证分母不为0,即a 2+b 2≠0,故得不等式成立的充要条件是a 2+b 2≠0. 【解答】 解: ∵ |a+b||a|+|b|≤1∴ a ,b 不能同时为0,即a 2+b 2≠0 ∴ |a +b|≤|a|+|b| 两边平方得2ab ≤2|a||b| 不等式恒成立 故选B .【答案】C【考点】绝对值不等式的解法与证明【解析】求出|x−5|+|x−3|的最小值,只需m大于最小值即可满足题意.【解答】解:|x−5|+|x−3|<m有解,只需m大于|x−5|+|x−3|的最小值,|x−5|+|x−3|≥2,所以m>2,|x−5|+|x−3|<m有解.故选C.【答案】A【考点】其他不等式的解法【解析】由题意知,a>0,且−ba =1,故不等式ax−bx−2>0可等价于a(x+1)(x−2)>0,解之即可.【解答】∵不等式ax+b>0的解集是(1, +∞),∴a>0,且−ba=1,即b=−a,不等式ax−bx−2>0等价于(ax−b)(x−2)>0,即a(x+1)(x−2)>0,∴x<−1或x>2.【答案】C【考点】其他不等式的解法【解析】把不等式化为{x>0(3−x)(2+x)>|2−x|(3+x),讨论0<x≤2和x>2时,去掉绝对值,解不等式即可.【解答】解:不等式组{x>03−x3+x>|2−x2+x|等价于{x>0(3−x)(2+x)>|2−x|(3+x),当0<x≤2时,有(3−x)(2+x)>(2−x)(3+x),解得x>0,应取0<x≤2;当x>2时,有(3−x)(2+x)>(x−2)(3+x),解得−√6<x<√6,应取2<x<√6;综上,原不等式的解集为{x|0<x<√6}.故选:C.三.解答题(本大题共4题,共14+14+14+20=62分)【答案】解:(1)∵f(x)=−3x2+a(6−a)x+6,f(1)>0,∴−3+a(6−a)+6>0,∴a2−6a−3<0,∴3−2√3<a<3+2√3,∴不等式的解集为{a|3−2√3<a<3+2√3}.(2)∵不等式f(x)>b的解集为(−1, 3),∴−3x2+a(6−a)x+6>b的解集为(−1, 3),∴−1,3是方程3x2−a(6−a)x−6+b=0的两个根,∴{−1+3=a(6−a)3,(−1)×3=−6+b3,∴a=3±√3,b=−3.【考点】根与系数的关系一元二次不等式的应用一元二次不等式的解法【解析】(1)f(1)>0,即−3+a(6−a)+6>0,即a2−6a−3<0,由此可得不等式的解集;(2)不等式f(x)>b的解集为(−1, 3),等价于−3x2+a(6−a)x+6>b的解集为(−1, 3),即−1,3是方程3x2−a(6−a)x−6+b=0的两个根,利用韦达定理可求实数a,b的值.【解答】解:(1)∵f(x)=−3x2+a(6−a)x+6,f(1)>0,∴−3+a(6−a)+6>0,∴a2−6a−3<0,∴3−2√3<a<3+2√3,∴不等式的解集为{a|3−2√3<a<3+2√3}.(2)∵不等式f(x)>b的解集为(−1, 3),∴−3x2+a(6−a)x+6>b的解集为(−1, 3),∴−1,3是方程3x2−a(6−a)x−6+b=0的两个根,∴{−1+3=a(6−a)3,(−1)×3=−6+b3,∴a=3±√3,b=−3.【答案】解:原不等式可转化为(x−1)[(1−a)x+1]x≥0(∗).(1)当a=1时,(∗)式为x−1x≥0,解得x<0或x≥1.(2)当a≠1时,(∗)可式为(1−a)(x−1)(x+11−a)x≥0①若a<1,则a−1<0,1a−1<0,解得1a−1≤x<0,或x≥1;②若1<a≤2,则1−a<0,1a−1≥1,解得x<0,或1≤x≤1a−1;③若a>2,则a−1>1,0<1a−1<1,1−a<0,解得x<0,或1a−1≤x≤1;综上,当a=1时,不等式解集为{x|x<0或x≥1}当a<1时,不等式解集为{x|1a−1≤x<0, 或x≥1}当1<a≤2时,不等式解集为{x|x<0, 或1≤x≤1a−1}当a>2时,不等式解集为{x|x<0, 或1a−1≤x≤1}.【考点】其他不等式的解法【解析】通过方程的根的大小对a的讨论,然后求出表达式的解集.【解答】解:原不等式可转化为(x−1)[(1−a)x+1]x≥0(∗).(1)当a=1时,(∗)式为x−1x≥0,解得x<0或x≥1.(2)当a≠1时,(∗)可式为(1−a)(x−1)(x+11−a)x≥0①若a<1,则a−1<0,1a−1<0,解得1a−1≤x<0,或x≥1;②若1<a≤2,则1−a<0,1a−1≥1,解得x<0,或1≤x≤1a−1;③若a>2,则a−1>1,0<1a−1<1,1−a<0,解得x<0,或1a−1≤x≤1;综上,当a=1时,不等式解集为{x|x<0或x≥1}当a<1时,不等式解集为{x|1a−1≤x<0, 或x≥1}当1<a≤2时,不等式解集为{x|x<0, 或1≤x≤1a−1}当a>2时,不等式解集为{x|x<0, 或1a−1≤x≤1}.【答案】解:a=0时,不符合题意,所以a≠0,又∴f(x)=2ax2+2x−3−a=0在[−1, 1]上有解,⇔(2x2−1)a=3−2x在[−1, 1]上有解⇔1a =2x2−13−2x在[−1, 1]上有解,问题转化为求函数y=2x 2−13−2x[−1, 1]上的值域;设t=3−2x,x∈[−1, 1],则2x=3−t,t∈[1, 5],y=12⋅(t−3)2−2t=12(t+7t−6),设g(t)=t+7t .g′(t)=t2−7t2,t∈[1,√7)时,g′(t)<0,此函数g(t)单调递减,t∈(√7,5]时,g′(t)>0,此函数g(t)单调递增,∴y的取值范围是[√7−3,1],∴f(x)=2ax2+2x−3−a=0在[−1, 1]上有解⇔1a∈[√7−3,1]⇔a≥1或a≤−3+√72.故a≥1或a≤−3+√72.【考点】函数零点的判定定理【解析】y=f(x)在区间[−1, 1]上有零点转化为(2x2−1)a=3−2x在[−1, 1]上有解,把a用x表示出来,转化为求函数y=2x 2−13−2x在[−1, 1]上的值域,再用分离常数法求函数y=2x2−13−2x在[−1, 1]的值域即可.【解答】解:a=0时,不符合题意,所以a≠0,又∴f(x)=2ax2+2x−3−a=0在[−1, 1]上有解,⇔(2x2−1)a=3−2x在[−1, 1]上有解⇔1a =2x2−13−2x在[−1, 1]上有解,问题转化为求函数y=2x 2−13−2x[−1, 1]上的值域;设t=3−2x,x∈[−1, 1],则2x=3−t,t∈[1, 5],y=12⋅(t−3)2−2t=12(t+7t−6),设g(t)=t+7t .g′(t)=t2−7t2,t∈[1,√7)时,g′(t)<0,此函数g(t)单调递减,t∈(√7,5]时,g′(t)>0,此函数g(t)单调递增,∴y的取值范围是[√7−3,1],∴f(x)=2ax2+2x−3−a=0在[−1, 1]上有解⇔1a∈[√7−3,1]⇔a≥1或a≤−3+√72.故a≥1或a≤−3+√72.(附加题)【答案】若x∈S i,y∈S j,则y−x∈S k,从而(y−x)−y=−x∈S i,所以S i中有非负元素,由i,j,k的任意性可知三个集合中都有非负元素,若三个集合都没有0,则取S1∪S2∪S3中最小的正整数a(由于三个集合中都有非负整数,所以这样的a存在),不妨设a∈S1,取S2∪S3中的最小正整数b,并不妨设b∈S2,这时b>a(否则b不可能大于a,只能等于a,所以b−a=0∈S3,矛盾),但是,这样就导致了0<b−a<b,且b−a∈S3,这时与b为S2∪S3中的最小正整数矛盾,∴三个集合中必有一个集合含有0.∵三个集合中有一个集合含有0,不妨设0∈S1,则对任意x∈S2,有x−0=x∈S3,∴S2包含于S3,对于任意y∈S3,有y−0=y∈S2,∴S3包含于S2,则S2=S3,综上所述,这三个集合中必有两个集合相等;可能,比如S1={奇数},S2={奇数},S3={偶数},这时S1∩S3=⌀.【考点】子集与交集、并集运算的转换【解析】(1)根据条件,若x∈S i,y∈S j,则y−x∈S k,从而(y−x)−y=−x∈S i,这便说明S i中有非负元素,从而三个集合中都有非负元素.可以看出若0∈S i,任意x∈S j,都有x−0=x∈S k,从而说明S j⊆S k,而同理可得到S k⊆S j,从而便可得出S j=S k,这便得出3个集合中至少有两个相等,从而来证明在三个集合中有一个集合含有0即可,可用反证法,即假设三个集合都不含0,然后推出矛盾即可;(2)3个集合中可能有两个集合无公共元素,只需举一个这样的例子即可.【解答】若x∈S i,y∈S j,则y−x∈S k,从而(y−x)−y=−x∈S i,所以S i中有非负元素,由i,j,k的任意性可知三个集合中都有非负元素,若三个集合都没有0,则取S1∪S2∪S3中最小的正整数a(由于三个集合中都有非负整数,所以这样的a存在),不妨设a∈S1,取S2∪S3中的最小正整数b,并不妨设b∈S2,这时b>a(否则b不可能大于a,只能等于a,所以b−a=0∈S3,矛盾),但是,这样就导致了0<b−a<b,且b−a∈S3,这时与b为S2∪S3中的最小正整数矛盾,∴三个集合中必有一个集合含有0.∵三个集合中有一个集合含有0,不妨设0∈S1,则对任意x∈S2,有x−0=x∈S3,∴S2包含于S3,对于任意y∈S3,有y−0=y∈S2,∴S3包含于S2,则S2=S3,综上所述,这三个集合中必有两个集合相等;可能,比如S1={奇数},S2={奇数},S3={偶数},这时S1∩S3=⌀.。
上海市黄浦区格致中学2020-2021学年高一上学期期中数学试卷注意事项:1.答题前填写好自己的姓名、班级、考号等信息 2.请将答案正确填写在答题卡上第I 卷(选择题)一、选择题) A.1a b< B.2a ab >C.2211b a < D.11a b-< 2.下列表示图形中的阴影部分的是( )A.()()A C B CB.()()A B A CC.()()AB B CD.()AB C3.已知,,a s t 都是正实数,且1a ≠,下列运算一定正确的是( ) A.t s s t a a a ++=B.t s s t a a a +=C.log log log ()a a a s t s t +=+D.log log log ()a a a s t st ⋅=4.已知121212,,,,,a a b b c c 均为非零实数,则“111222a b c a b c ==”是“关于x 的不等式21110a x b x c ++>与22220a x b x c ++>解集相同”的( ) .A.充分非必要条件B.必要非充分条件C.充要条件D.既不充分也不必要条件第II 卷(非选择题)=_______.6.已知全集{0,1,2,3,4}U =,集合{}2320,A xx x x Z =-+≤∈∣,则A =_______.7.已知1a >_______12312log 2log 12+. 8.命题,a b R ∈“,若4a b +<,则2a <或2 b ≤”是______命题.(填“真”或“假”)9.已知0,0x y >>,且2520x y +=,则lg lg x y +的最大值为_______.10.设不等式x a b -<的解集为{|12}x x -<<,当0m >时,用根式表示ab m =______. 11.已知关于x 的不等式210kx kx -+>的解集为R ,则实数k 的取值范围是_______. 12.测量地震级别的里氏震级M 的计算公式为:0lg lg M A A =-,其中A 是测震仪记录的地震曲线的最大振幅,常数A 0是相应的标准地震的振幅.假设在一次地震中,测震仪记录的最大振幅是1000,而此次地震的里氏震级恰好为6级,那么里氏9级地震的最大的振幅是里氏5级地震最大振幅的______倍. 13.若关于x 的不等式组(23)(1)0x x x a -+≤⎧⎨>⎩没有整数解,则实数a 的取值范围是______.14.已知211m M m +=-,其中1m ,则M 的最小值为_______.15.定义:对于非空集合A ,若元素x A ∈,则必有()m x A -∈,则称集合A 为“m 和集合”.已知集合={1,2,3,4,5,6,7}B ,则集合B 所有子集中,是“8和集合”的集合有_____个. 16.“已知关于x 的不等式20ax bx c -+>的解集为()1,2,解关于x 的不等式20cx bx a -+>”有如下解法:由20cx bx a -+>,得2110a b c x x ⎛⎫-+> ⎪⎝⎭,令1y x =,则()1,2y ∈,即:112x<<,所以不等式20cx bx a -+>的解集为1,12⎛⎫⎪⎝⎭.参考上述解法,已知关于x 的不等式0k x bx a x c++<++的解集为()()2,12,3--,则关于x 的不等式1011kx bx ax cx -+<--的解集为________.三、解答题17.解不等式组41213x x ⎧+>⎪⎨≥⎪⎩. 18.艺术中心要用木料制作如图所示的框架,框架下部是边长分别为x ,y (单位:米)的矩形,上部是等腰直角三角形,要求框架围成的总面积为8平方米,问:总用料最省时,用料为多少米?此时x ,y 分别为多少米?(最后结果精确到0.01)19.已知命题p :关于x 的一元二次方程x 2−2√3x +|m −2|=0有两个不相等的实数根;命题q :关于x 的一元二次方程x 2−mx +|a +1|+|a −3|=0对于任意实数a 都没有实数根.(1)若命题p 为真命题,求实数m 的取值范围;(2)若命题p 和命题q 中有且只有一个为真命题,求实数m 的取值范围. 20.已知有限集{}12,,,(2,)n A a a a n n =≥∈N ,如果A 中元素(1,2,,)i a i n =满足1212n n a a a a a a +++=⨯⨯⨯,就称A 为“完美集”.(1)如果方程:250x bx -+=的解集是一个“完美集”,求的值;(2)利用反证法证明:若12,a a 是两个不同的正数,且{}12,a a 是“完美集”,则12,a a 至少有一个大于2.21.已知一元二次函数2()(0,0)f x ax bx c a c =++>>的图像与x 轴有两个不同的公共点,其中一个公共点的坐标为(,0)c ,且当0x c <<时,恒有()0f x >. (1)当1a =,12c =时,求出不等式()0f x <的解; (2)求出不等式()0f x <的解(用,a c 表示);(3)若以二次函数的图象与坐标轴的三个交点为顶点的三角形的面积为8,求a 的取值范围;(4)若不等式2210m km b ac -+++≥对所有[1,1]k ∈-恒成立,求实数m 的取值范围.参考答案1.B【解析】1.根据不等式的性质分析ABC ,采用举例的方式分析D ,由此得到正确的结果. A .因为0a b <<,所以a bb b >,所以1a b>,故错误; B .因为0a b <<,所以a a a b ⋅>⋅,所以2a ab >,故正确; C .因为0a b <<,所以220a b >>,所以2211b a>, D .取2,1a b =-=-,所以11112a b-=>-=,故错误, 故选:B. 2.A【解析】2.由韦恩图可以看出,阴影部分中的元素满足“是A 的元素且是B 的元素,或是C 的元素”,由韦恩图与集合之间的关系易得答案. 解:由已知中阴影部分所表示的集合元素满足 “是A 的元素且是B 的元素,或是C 的元素”, 故阴影部分所表示的集合是()()()C A B A C B C =故选:A 3.B【解析】3.采用举例方式分析ACD ,根据指数幂的运算法则判断B ,由此分析出结果. A .当2a s t ===时,2222222++≠,故错误;B .根据指数幂的运算性质可知:同底数幂相乘,底数不变指数相加,故B 正确;C .当2a =,4s t ==时,()222log 4log 4log 44+≠+,故错误;D .当2a s t ===时,()222log 2log 2log 22⋅≠⨯,故错误, 故选:B. 4.D【解析】4.通过1112221a b c a b c ===-可知所得两个不等式不等价,充分性不成立;通过反例210x x ++>与210x x -+>解集均为R ,可知必要性不成立,从而得到最终结论.若1112221a b c a b c ===-,则221112220a x b x c a x b x c ++=--->,即22220a x b x c ++< 与22220a x b x c ++>的解集不同,故充分性不成立若2211110a x b x c x x ++=++>,2222210a x b x c x x ++=-+>不等式解集均为R ,此时111222a cb ac b =≠,故必要性不成立 综上所述:“111222a b c a b c ==”是“关于x 的不等式21110a x b x c ++>与22220a x b x c ++>解集相同”的既不充分也不必要条件故选:D 5.b a -【解析】5.根据-a ba b =-得到结果.a b =-,且0a b -<,a b b a =-=-, 故答案为:b a -. 6.{0,3,4}【解析】6.先求解出一元二次不等式的解集即可求解出A ,然后根据补集的概念即可求解出A . 因为2320x x -+≤,所以()()120x x --≤,所以[]1,2x ∈, 又因为x ∈Z ,所以{}1,2A =,且{}0,1,2,3,4U = 所以{}0,3,4A =, 故答案为:{}0,3,4. 7.>【解析】7.1>,再由对数的运算法则及换底公式可得12312log 21log 12+=,即可得解.因为1a >1>,1>1>,又12121212312log 2log 3log 4log 121log 12+=+==,12312log 2log 12>+.故答案为:>. 8.真【解析】8.先写出逆否命题,然后根据逆否命题的真假判断原命题的真假.因为逆否命题为:,a b R ∈“,若2a ≥且2b >,则4a b +≥”, 显然2a ≥且2b >时,4a b +≥满足, 所以逆否命题为真命题,所以原命题为真命题, 故答案为:真. 9.1【解析】9.试题因为2520x y +=,所以202510x y xy =+≥≤,当且仅当2510,5,2x y x y ====时取等号. 因此lg lg lg lg101,x y xy +=≤=即lg lg x y +的最大值为1.【解析】10.先根据||x a b -<的解集为{|12}x x -<<,求出,a b 的值,再利用指数幂的运算,即可求解.由题意,不等式x a b -<,解得b a x a b -+<<+, 因为不等式x a b -<的解集为{|12}x x -<<,所以12b a a b -+=-⎧⎨+=⎩,解得13,22a b ==,当0m >时,用根式表示ab m =11.[0,4)【解析】11.根据题意,分0k =和0k ≠两种情况讨论,结合二次函数的性质,即可求解. 由题意,关于x 的不等式210kx kx -+>的解集为R , 当0k =时,不等式可化为10>恒成立;当0k ≠时,要使得不等式210kx kx -+>的解集为R ,则满足()240k k k >⎧⎪⎨∆=--<⎪⎩,解得04k <<, 综上可得,实数k 的取值范围是[0,4). 故答案为:[0,4). 12.10000【解析】12.根据条件先计算出0A 的值,然后分别计算出里氏9级地震的最大的振幅和里氏5级地震最大振幅,由此可求解出最终结果.由条件可知:06lg1000lg A =-,所以3010A -=,设里氏9级地震的最大的振幅为1A ,里氏5级地震最大振幅为2A ,所以31329lg lg105lg lg10A A --⎧=-⎨=-⎩,所以621210,10A A ==,所以1210000A A =, 故答案为:10000. 13.[1,)+∞【解析】13.先求出不等式(23)(1)0x x -+≤的解集,然后确定不等式组的解集,进而确定实数a 的取值范围,得到答案.由题意,不等式(23)(1)0x x -+≤,解得312x -≤≤,其中有整数1,0,1-,因为不等式组(23)(1)0x x x a -+≤⎧⎨>⎩没有整数解,故不等式组的解集为32a x <≤且其范围内没有整数,所以1a ≥, 即实数a 的取值范围是[1,)+∞.14.2+【解析】14.先将原式变形为()2121M m m =-++-,然后利用基本不等式求解出M 的最小值. 因为()()22112221121111m m M m m m m m m +-+===++=-++----,所以22M ≥=,取等号时()2121m m ⎧-=⎪⎨>⎪⎩,即1m ,所以M 的最小值为:2+, 故答案为:2+. 15.15【解析】15.由新定义可得集合B 的子集中,1,7、2,6、3,5、4一定成组出现,再由子集的概念即可得解.由题意,集合B 的子集中,1,7、2,6、3,5、4一定成组出现, 当集合B 的子集中只有1个元素时,即为{4},共1个;当集合B 的子集中有2个元素时,即为{}{}{}1,7,2,6,3,5,共3个; 当集合B 的子集中有3个元素时,即为{}{}{}1,4,7,2,4,6,3,4,5,共3个; 当集合B 的子集中有4个元素时,即为{}{}{}1,7,2,6,1,7,3,52,6,3,5,共3个; 当集合B 的子集中有5个元素时,即为{}{}{}1,7,4,2,6,1,7,4,3,5,2,6,4,3,5,共3个; 当集合B 的子集中有6个元素时,即为={1,2,3,5,6,7}B ,共1个. 当集合B 的子集中有7个元素时,即为={1,2,3,4,5,6,7}B ,共1个. 则集合B 所有子集中,是“8和集合”的集合有15个. 故答案为:15.16.111,,1232⎛⎫⎛⎫--⋃ ⎪ ⎪⎝⎭⎝⎭【解析】16.根据已知条件将不等式变形为1011b k x a c x x ⎛⎫-+ ⎪⎝⎭+<⎛⎫⎛⎫-+-+ ⎪ ⎪⎝⎭⎝⎭,由此得到1x -的取值范围,从而可求解出x 的取值范围,即可求解出不等式解集. 已知关于x 的不等式0k x b x a x c++<++的解集为()()2,12,3--,令1y x=-, 原不等式化为1011b k x a c x x ⎛⎫-+ ⎪⎝⎭+<⎛⎫⎛⎫-+-+ ⎪ ⎪⎝⎭⎝⎭,又因为1011kx bx ax cx -+<--,所以()()12,12,3x-∈--,解得111,,1232x ⎛⎫⎛⎫-- ⎪ ⎪⎝⎭⎝∈⎭故答案为:111,,1232⎛⎫⎛⎫--⋃ ⎪ ⎪⎝⎭⎝⎭. 17.{1143x x ⎫<≤⎬⎭【解析】17.求解分式不等式及绝对值不等式即可得解.由题意,412130x x x +>⎧⎪-⎨≥⎪⎩或412130x x x +<-⎧⎪-⎨≥⎪⎩,即()4121300x x x x +>⎧⎪-≥⎨⎪≠⎩或()4121300x x x x +<-⎧⎪-≥⎨⎪≠⎩,所以14103x x ⎧>⎪⎪⎨⎪<≤⎪⎩ 或34103x x ⎧<-⎪⎪⎨⎪<≤⎪⎩, 所以不等式解集为{1143xx ⎫<≤⎬⎭. 18.用料最省约为13.66米,此时x 约为2.34,y 约为2.83.【解析】18.由题设条件结合基本不等式运算即可得解.由题意,2184xy x +=,即84xy x =-(0x <<,则用料3162222l x y x x ⎫⎛=++⋅=+≥=⎪ ⎪⎝⎝⎭当3162x x ⎛+=⎝,即8x =-所以总用料最省时,用料约为13.66米,此时x 约为2.34,y 约为2.83. 19.(1)−1<m <5;(2)4≤m <5或−4<m ≤−1.【解析】19.(1)由题意可得判别式大于0,由绝对值不等式的解法可得m 的范围;(2)考虑命题q 真,运用绝对值不等式的性质和判别式小于0,解不等式可得m 的范围,由p ,q 一真一假,解不等式即可得到所求范围.(1)命题p :关于x 的一元二次方程x 2−2√3x +|m −2|=0有两个不相等的实数根,可得△=12−4|m −2|>0,解得−1<m <5;(2)命题q :关于x 的一元二次方程x 2−mx +|a +1|+|a −3|=0对于任意实数a 都没有实数根, 可得−x 2+mx =|a +1|+|a −3|,由|a +1|+|a −3|≥|a +1−a +3|=4,可得−x 2+mx −4≥0无实数解, 可得△=m 2−16<0,即−4<m <4,命题p 和命题q 中有且只有一个为真命题, 可得{m ≥4或m ≤−4−1<m<5或{−4<m <4m≥5或m≤−1 ,即有4≤m <5或−4<m ≤−1.20.(1)2;(2)证明见解析.【解析】20.(1)由韦达定理得1212,x x x x +,根据新定义得b ,从而可求得的值; (2)假设102a <≤且202a <≤,而由新定义可证124a a +>,与假设推导出的结论矛盾.得证结论成立.(1)设12,x x 为原方程两解,且为完美集,得12x x b +=,125x x =,且1212x x x x +=,即5b =,因此2b =;(2)假设102a <≤且202a <≤,由题21212122a a a a a a +⎛⎫+=< ⎪⎝⎭,得124a a +>或120a a +<,由假设102a <≤且202a <≤,可得124a a +≤,矛盾.因此12,a a 至少有一个大于2. 21.(1)1(,1)2;(2)1(,)c a ;(3)10,8a ⎛⎤∈ ⎥⎝⎦;(4)2m ≤-或0m =或2m ≥.【解析】21.(1)根据根与系数的关系,求出()0f x =的另一根,得到不等式()0f x <的解; (2)根据根与系数的关系,求出()0f x =另一根,并判断两根的大小,得到不等式()0f x <的解;(3)先求出()f x 的图像与坐标轴的交点,表示出以这些点组成的三角形的面积,再将a 用c 表示出来,再求得a 的范围;(4)根据()0f c =,得到,,a b c 的关系式,化简不等式,将,k m 分离,分离时注意讨论m 的符号,求得实数m 的范围.(1)当1a =,12c =时,21()2f x x bx =++,()f x 的图像与x 轴有两个不同交点, 1()02f =设另一个根为2x ,则21122x =,21x ∴=,则()0f x <的解集为1(,1)2. (2)()f x 的图像与x 轴有两个交点,()0f c =,设另一个根为2x , 则221c cx x a a =∴= 又当0x c <<时,恒有()0f x >,则1c a>, ∴()0f x <的解集为1(,)c a .(3)由(2)的()f x 的图像与坐标轴的交点分别为1(,0),(,0),(0,)c c a这三交点为顶点的三角形的面积为11()82S c c a=-=,21168c a c ∴=≤=+,故10,8a ⎛⎤∈ ⎥⎝⎦.(4)()0f c =,∴20ac bc c ++=,又∵0c >,∴10ac b ++=, 要使220m km -≥,对所有[1,1]k ∈-恒成立,则当0m >时,max (2)2m k ≥=;当0m <时,min (2)2m k ≤=-;当0m =时,2020k ≥⋅,对所有[1,1]k ∈-恒成立. 从而实数m 的取值范围为2m ≤-或0m =或2m ≥.。
高一上学期10月月考数学试题一、填空题1.集合且,且,则____.{|03A x x =≤<}x ∈Z 2{|9B x x =≤}x ∈Z A B = 【答案】{0,1,2}【分析】根据题意先求出集合的具体取值,然后利用交集的定义即可求解.,A B 【详解】因为集合且,且,{|03A x x =≤<}x ∈Z 2{|9B x x =≤}x ∈Z 则,且且,{0,1,2}A =2{|9B x x =≤}{|33x x x ∈=-≤≤Z }x ∈Z 所以,{3,2,1,0,1,2,3}B =---则有,{0,1,2}A B ⋂=故答案为:.{0,1,2}2.已知集合,且,则实数的取值范围为____.{|2},{|}A x x B x x a =≤=≥A B = R a 【答案】2a ≤【分析】数形结合,即可得到答案. 【详解】根据,结合数轴可知,在的左侧或与之重合,故.A B = R a 22a ≤故答案为:.2a ≤3.已知方程的两根为,,则______.230x x +-=1x 2x 12x x -=【分析】由方程易知,根据根与系数的关系写出、,由0∆>12x x +12x x 12x x -=即可求值.【详解】由题设知:,2Δ141(3)130=-⨯⨯-=>∴,,121x x +=-123x x =-∴12x x -===4.已知正实数满足及,则中至少有一128,,, a a a 12820a a a +++= 12812⋅⋅⋅= a a a 128,,, a a a 个小于1,用反证法证明该命题时,第一步是假设结论不成立,则____. 128,,, a a a 【答案】都不小于1【分析】存在量词命题的否定为全称量词命题,写出答案即可.【详解】至少有一个小于1的否定是都不小于1.故答案为:都不小于15.已知条件,,且p 是q 的必要条件,则实数k 的取值范围为:211p k x k -≤≤-:33q x -≤<_________.【答案】(,2]-∞-【分析】根据集合的包含关系得到关于的不等式组解出即可.k 【详解】∴,[)[]3,321,1k k -⊆--∴,解得, 32131k k -≥-⎧⎨≤-⎩2k ≤-故答案为:.(],2-∞-【点睛】结论点睛:一般可根据如下规则判断:(1)若是的必要不充分条件,则对应集合是对应集合的真子集;p q q p (2)是的充分不必要条件, 则对应集合是对应集合的真子集;p q p q (3)是的充分必要条件,则对应集合与对应集合相等;p q p q (4)是的既不充分又不必要条件, 对的集合与对应集合互不包含.p q q p 6.已知等式恒成立,其中为实数,则_____.22231(1)(1)x x a x b x c --=-+-+,,a b c a b c -+=【答案】1-【分析】方法一:将等式左边展开,比较系数可得答案;方法二:令可得答案.0x =【详解】法一:,222231(1)(1)(2)x x a x b x c ax b a x a b c --=-+-+=+-+-+所以;1a b c -+=-法二:在中,令得.22231(1)(1)x x a x b x c --=-+-+0x =1a b c -+=-故答案为:1-7.已知集合,,则____. |0,R 1x A x x x ⎧⎫=≥∈⎨⎬-⎩⎭{}21,R B y y x x ==+∈A B = 【答案】(1,)+∞【分析】解分式不等式得到,得到,进而求出交集.A {|1}B y y =≥【详解】等价与,解得:或, 01x x ≥-()1010x x x ⎧-≥⎨-≠⎩1x >0x ≤故或,{|0A x x =≤1}x >又,故,211y x =+≥{|1}B y y =≥所以.(1,)A B ⋂=+∞故答案为:.(1,)+∞8.已知若关于的方程有实根,则的取值范围是______________. ,a ∈R x 2104x x a a ++-+=a 【答案】 10,4⎡⎤⎢⎥⎣⎦【详解】本题考查二次方程有关知识与绝对值不等式知识的综合应用;由于关于的二次方程有实x 根,那么即,而,从而,解得114()04a a ∆=--+≥1144a a -+≤11244a a a -+≤-11244a -≤. 104a ≤≤ 9.若不等式的解集中的整数有且仅有1,2,3,则的取值范围是_____|3|4x b -<b 【答案】(5,7)【详解】由得 |3|4x b -<4433b b x -+<<由整数有且仅有1,2,3知,解得 40134343b b -⎧≤<⎪⎪⎨+⎪<≤⎪⎩57b <<10.定义集合运算,集合,则集合所(){}|,,A B z z xy x y x A y B ==+∈∈ {}{}0,1,2,3A B ==A B 有元素之和为________【答案】18【分析】由题意可得,进而可得结果.0,6,12=z 【详解】当0,2,0==∴=x y z 当1,2,6==∴=x y z 当0,3,0==∴=x y z 当1,3,12==∴=x y z 和为0+6+12=18故答案为:1811.已知集合有整数解,非空集合满足条件:(1),(2)若2{|360M m x mx =∈+-=Z }A A M ⊆,则,则所有这样的集合的个数为____.a A ∈a A -∈A 【答案】31【分析】根据集合有整数解,结合韦达定理可求出集合,再由题目2{|360M m x mx =∈+-=Z }M 信息中集合满足的两个条件,得到集合中互为相反数的两个元素同属于集合或同不属于集A M A 合,即可求解.A 【详解】因为的整数解只能是36的约数,2360x mx +-=当方程的解为,36时,;当方程的解为,18时,;1-35m =-2-16m =-当方程的解为,12时,;当方程的解为,9时,;3-9m =-4-5m =-当方程的解为,6时,;当方程的解为1,时,;6-0m =36-35m =当方程的解为2,时,;当方程的解为,时,;18-16m =312-9m =当方程的解为,时,;49-5m =故集合{35,16,9,5,0,5,9,16,35}M =----由非空集合满足条件:(1),(2)若,则,A A M ⊆a A ∈a A -∈即集合中互为相反数的两个元素同属于集合或同不属于集合,M A A 得这样的集合共有个,52131-=故答案为:.3112.已知集合,其中,,且{}230123|777A x x a a a a ==+⨯+⨯+⨯{}0,1,,6(0,1,2,3)i a i ∈⋅⋅⋅=30a ≠.若正整数m 、n ∈A ,且m+n=2 010(m>n),则符合条件的正整数m 有_______个.【答案】662【详解】依题意,知m 、n 是七进制中的四位数,而七进制四位数中最大的一个数为,最小的一个数为.3267676762400⨯+⨯+⨯+=317343⨯=因为m+n=2010(m>n),所以,1006≤m≤1667.故符合条件的正整数m 有1667-1006+1=662(个).二、单选题13.若集合中的元素是△ABC 的三边长,则△ABC 一定不是( ){},,M a b c =A .锐角三角形 B .直角三角形 C .钝角三角形D .等腰三角形【答案】D【分析】根据集合元素的互异性即可判断.【详解】由题可知,集合中的元素是的三边长,{},,M a b c =ABC 则,所以一定不是等腰三角形.a b c ≠≠ABC 故选:D .14.设集合,在上定义运算,其中为被4除的余数(其中0123,,},{S A A A A =S :i j k A A A ⊕⊕=k i j +,则满足关系式的的个数为( ),0,1,2,3i j =20()x x A A ⊕⊕=()x x S ∈A .4B .3C .2D .1【答案】C 【分析】根据题目信息,在集合中取值验证即可.S 【详解】当时,0x A =20020220()()x x A A A A A A A A ⊕⊕=⊕⊕=⊕=≠当时,1x A =2112220()()x x A A A A A A A ⊕⊕=⊕⊕=⊕=当时,2x A =22220220()()x x A A A A A A A A ⊕⊕=⊕⊕=⊕=≠当时,3x A =23322200()()x x A A A A A A A A ⊕⊕=⊕⊕=⊕==则满足关系式的的个数为2个,20()x x A A ⊕⊕=()x x S ∈故选:C .15.已知,则满足关于的方程的充要条件是A .B . 220011x ,22R ax bx ax bx ∃∈-≥-220011x ,22R ax bx ax bx ∃∈-≤-C . D . 220011x ,22R ax bx ax bx ∀∈-≥-220011x ,22R ax bx ax bx ∀∈-≤-【答案】C【详解】试题分析:满足关于的方程,则, 0ax b =220011x ,22R ax bx ax bx ∀∈-≥-则处取得函数最小值,函数为二次函数,,所以满足关于0x ()212f x ax bx =-0122b b x a a -∴=-=⨯的方程的充要条件是 220011x ,22R ax bx ax bx ∀∈-≥-【解析】充分条件与必要条件点评:若则是的充分条件,是的必要条件p q ⇒p q q p16.若关于的不等式恒成立,则实数的取值范围是 x 2664ax x ax ++--≥a A .B .C .D .(],1-∞[]1,1-[)1,-+∞(][),11,-∞-+∞ 【答案】B 【分析】分类讨论去绝对值求解.【详解】(1)当或时,,x≥x ≤260x ax --≥不等式为,2664ax x ax ++--≥24x ≥若不等式恒成立,必需2664ax x ax ++--≥2112a a ≥≥-⎧⇒⎨≤⎩≤-所以;11a -≤≤(2, x <<260x ax --<不等式为即,26(6)4ax x ax +---≥2280x ax --≤(ⅰ)当时,不等式对任意恒成立,0x =2280x ax--≤a (ⅱ)当时, 0x <<不等式恒成立即恒成立, 2280x ax --≤42x a x≥-所以,解得, a ≥1a ≥-(ⅲ时, 0x <<不等式恒成立即恒成立, 2280x ax --≤42x a x≤-所以 a ≤1a ≤综上,实数的取值范围是a []1,1-【点睛】本题考查绝对值不等式,含参数的二次不等式恒成立. 含参数的二次不等式恒成立通常有两种方法:1、根据二次函数的性质转化为不等式组;2、分离参数转化为求函数最值.17.已知不等式:①,②,③. |3|2||x x +>22132x x x +≥-+2210x mx +-<(1)分别求出不等式①与②的解集;(2)若同时满足①②的值也满足③,求实数的取值范围.x m 【答案】(1),或{|13}A x x =-<<{|01B x x =≤<24}x <≤(2) 173m ≤-【分析】(1)解一元二次不等式和高次不等式即可求解;(2)根据不等式的解集包2210x mx +-<含,结合二次函数的性质即可求解.[0,1)(2,3) 【详解】(1)由①得,即,故解集为, 22|3|4||x x +>23690x x --<{|13}A x x =-<<由②得,即, 224032x x x x -≤-+(4)(1)(2)0(1)(2)0x x x x x x ---≤⎧⎨--≠⎩解得解集或,{|01B x x =≤<24}x <≤(2)或,{|01A B x x =≤< 23}x <<由题意得不等式的解集包含,2210x mx +-<[0,1)(2,3) 令,只需, 2()21f x x mx =+-(0)10(3)18310f f m =-<⎧⎨=+-≤⎩解得. 173m ≤-18.在①,②,③这三个条件中任选一个,补充在下1|1A x x ⎧⎫=<⎨⎬⎩⎭{|1}A x x =>{}11A x x =-<列横线中,求解下列问题.设集合__________,集合. {}22|210B x x x a =++-=(1)若集合B 的子集有2个,求实数a 的取值范围;(2)若,求实数a 的取值范围.A B A ⋃=注:如果选择多个条件分别解答,按第一个解答计分.【答案】答案见解析【分析】(1)依题意集合B 元素个数为1,则,计算可得;0∆=(2)分别求出集合,再由,则,即可得到不等式组,解得即可;A AB A ⋃=B A ⊆【详解】解:(1)∵集合B 的子集有2个,∴集合B 元素个数为1∴2441()0a ∆=--=(2)选①集合 1|1(,0)(1,)A x x ⎧⎫=<=-∞⋃∞⎨⎬⎩⎭集合 {}[][]{}22|210|(1)((1)0B x x x a x x a x a =++-==+-++=∵∴A B A ⋃=B A ⊆显然有1a ≠±要满足条件,必有:,解,即,所以解得或111111a a⎧<⎪⎪--⎨⎪<⎪-+⎩111a <--1101a +>+201a a +>+1a >-2a <-;解,即,所以解得或; 111a <-+1101a +>-01a a >-1a >a<0综上可得()()(),21,01,a ∈-∞-⋃-⋃+∞选②,{|1}A x x =>集合 {}[][]{}22|210|(1)((1)0B x x x a x x a x a =++-==+-++=∵∴A B A ⋃=B A ⊆要满足条件,必有:解得; 1111a a ->⎧⎨-->⎩a ∈∅选③解得{}11A x x =-<{}02A x x =<<集合 {}[][]{}22|210|(1)((1)0B x x x a x x a x a =++-==+-++=∵∴A B A ⋃=B A ⊆要满足条件,必有:解得; 012012a a <-<⎧⎨<--<⎩a∈∅19.选修4-5不等式选讲设均为正数,且,证明:a b c d ,,,a b c d +=+(Ⅰ)若;ab cd>>(Ⅱ是的充要条件.>+a b c d -<-【答案】(Ⅰ)详见解析;(Ⅱ)详见解析.【详解】(Ⅰ)因为,,得2a b +=++2c d =++a b c d +=+ab cd >22>(Ⅱ)(ⅰ)若,则.即.因为,所a b c d -<-22()()a b c d -<-22()4()4a b ab c d cd +-<+-a b c d +=+以,由(Ⅰ.ab cd >+>(ⅱ,则,即>22>a b ++>c d ++,所以,于是.因此,a b c d +=+ab cd >22()()4a b a b ab -=+-2()4c d cd <+-2()c d =-a b c d -<-是的充要条件.>a b c d -<-【解析】推理证明.20.已知关于的不等式的解集为;x 22(23)(1)10(R)k k x k x k --+++>∈M (1)若,求的取值范围;R M =k (2)若存在两个不相等负实数,使得,求实数的取值范围;,a b (,)(,)M a b =-∞⋃+∞k (3)是否存在实数,满足:“对于任意,都有;对于任意的,都有”,若k *N n ∈n M ∈Z m -∈m M ∉存在,求出的值,若不存在,说明理由.k 【答案】(1); 13(,1](,)3k ∈-∞-⋃+∞(2);13(3,3k ∈(3)存在,3【分析】(1)讨论二次项系数和不为0时,求出原不等式的解集为R 时k 的取值范2230k k --=围;(2)若存在两个不相等负实数,使得,即和是方程,a b (,)(,)M a b =-∞⋃+∞x a =x b =的两根,由判别式及韦达定理求解即可;22(23)(1)10k k x k x --+++=(3)根据题意得出解集,讨论的取值,求出原不等式的解集,判断是否满足条件即M 223k k --可.【详解】(1)解:当时,解得或,2230k k --=3k =1k =-当时,不等式化为1>0,1k =-∴时,解集为R ,1k =-当时,不等式化为,对任意实数x 不等式不成立,3k =410x +>当时,, R M =()()22223014230k k k k k ⎧-->⎪⎨+---<⎪⎩解得:, 13(,1)(,)3k ∈-∞-⋃+∞综上,的取值范围是; k 13(,1](,)3k ∈-∞-⋃+∞(2)解:若存在两个不相等负实数,使得, ,a b (,)(,)M a b =-∞⋃+∞所以方程的两根分别为和,22(23)(1)10k k x k x --+++=x a =x b =所以,()()222222301423010231023k k k k k k k k k k ⎧-->⎪+--->⎪⎪⎪+⎨-<⎪--⎪⎪>⎪--⎩解得:;13(3,)3k ∈(3)解:根据题意,得出解集,;(,)M t =+∞[1,1)t ∈-当时,解得或, 2230k k --=3k =1k =-时,不等式的解集为,满足条件; 3k =1(,)4-+∞时,1>0恒成立,不满足条件;1k =-当时,此时对应的一元二次不等式的解集形式不是的形式,不满足条件; 2230k k -->(,)t ∞+当时,此时对应的一元二次不等式的解集形式不是的形式,不满足条件; 2230k k --<(,)t ∞+综上,满足条件的值为3.k 21.已知集合,其中,由中的元素构成两个相应的集{}12,,,(2)k A a a a k =≥ (1,2,,)i a i k ∈=Z A 合:,. {}(,)|,,S a b a A b A a b A =∈∈+∈{}(,),,T a b a A b A a b A =∈∈-∈其中是有序数对,集合和中的元素个数分别为和. (,)a b S T m n 若对于任意的,总有,则称集合具有性质.a A ∈a A -∉A P (Ⅰ)检验集合与是否具有性质并对其中具有性质的集合,写出相应的集合{}0,1,2,3{}1,2,3-P P 和.S T (Ⅱ)对任何具有性质的集合,证明. P A (1)2k k n -≤(Ⅲ)判断和的大小关系,并证明你的结论.m n第 11 页 共 11 页【答案】(Ⅰ)集合不具有性质,集合具有性质,相应集合,{}0,1,2,3P {}1,2,3-P (1,3)S =-(3,1)-,集合,(Ⅱ)见解析(Ⅲ)(2,1)T =-(2,3)m n =【详解】解:集合不具有性质. {}0123,,,P 集合具有性质,其相应的集合和是, {}123-,,P S T {}(13)(31)S =--,,,.{}(21)(23)T =-,,,(II )证明:首先,由中元素构成的有序数对共有个.A ()i j a a ,2k 因为,所以; 0A ∉()(12)i i a a T i k ∉= ,,,,又因为当时,时,,所以当时,. a A ∈a A -∉a A -∉()i j a a T ∈,()(12)j i a a T i j k ∉= ,,,,,从而,集合中元素的个数最多为, T 21(1)()22k k k k --=即. (1)2k k n -≤(III )解:,证明如下:m n =(1)对于,根据定义,,,且,从而.()a b S ∈,a A ∈b A ∈a b A +∈()a b b T +∈,如果与是的不同元素,那么与中至少有一个不成立,从而与()a b ,()c d ,S a c =b d =a b c d +=+b d =中也至少有一个不成立.故与也是的不同元素.()a b b +,()c d d +,T 可见,中元素的个数不多于中元素的个数,即,S T m n ≤(2)对于,根据定义,,,且,从而.如果与()a b T ∈,a A ∈b A ∈a b A -∈()a b b S -∈,()a b ,是的不同元素,那么与中至少有一个不成立,从而与中也不()c d ,T a c =b d =a b c d -=-b d =至少有一个不成立,故与也是的不同元素.()a b b -,()c d d -,S 可见,中元素的个数不多于中元素的个数,即,T S n m ≤由(1)(2)可知,.m n =。
2020-2021学年上海市格致中学高一上学期10月月考数学试题一、单选题1.若,a b ∈R ,且0ab ≠,则“a b >”是“11a b<”的 A .充分不必要条件 B .必要不充分条件 C .充要条件 D .既不充分也不必要条件【答案】D【解析】根据充分必要条件的定义分别进行判断即可. 【详解】 当0a b >>时,11a b<不成立;当110a b <<时,a b >不成立,所以“a b >”是“11a b<”的既不充分也不必要条件.故选D . 【点睛】本题考查了充分必要条件,考查了不等式的性质,是一道基础题.2.如图,U 为全集,M 、P 、S 是U 的三个子集,则阴影部分所表示的集合是( )A .()M P S ⋂⋂B .()M P S ⋂⋃C .()()UM P S ⋂⋂D .()()UM P S ⋂⋃【答案】C【解析】先根据图中的阴影部分是M∩P 的子集,但不属于集合S ,属于集合S 的补集,然后用关系式表示出来即可. 【详解】图中的阴影部分是: M∩P 的子集,不属于集合S ,属于集合S 的补集,即是C U S 的子集则阴影部分所表示的集合是(M∩P )∩(∁U S). 故选C . 【点睛】本题主要考查了Venn 图表达集合的关系及运算,同时考查了识图能力,属于基础题.3.直角坐标平面中除去两点(1,1)A 、(2,2)B -可用集合表示为( ) A .{(,)|1,1,2,2}x y x y x y ≠≠≠≠-B .1{(,)|1x x y y ≠⎧⎨≠⎩或2}2x y ≠⎧⎨≠-⎩C .2222{(,)|[(1)(1)][(2)(2)]0}x y x y x y -+--++≠D .2222{(,)|[(1)(1)][(2)(2)]0}x y x y x y -+-+-++≠ 【答案】C【解析】直角坐标平面中除去两点(1,1)A 、(2,2)B -,其余的点全部在集合中,逐一排除法. 【详解】直角坐标平面中除去两点(1,1)A 、(2,2)B -,其余的点全部在集合中,A 选项中除去的是四条线1,1,2,2x y x y ====-;B 选项中除去的是(1,1)A 或除去(2,2)B -或者同时除去两个点,共有三种情况,不符合题意;C 选项2222{(,)|[(1)(1)][(2)(2)]0}x y x y x y -+--++≠,则22(1)(1)0x y -+-≠且22(2)(2)0x y -++≠,即除去两点(1,1)A 、(2,2)B -,符合题意;D 选项2222{(,)|[(1)(1)][(2)(2)]0}x y x y x y -+-+-++≠,则任意点(),x y 都不能2222[(1)(1)][(2)(2)]0x y x y -+-+-++=,即不能同时排除A ,B 两点.故选:C 【点睛】本题考查了集合的基本概念,考查学生对集合的识别,属于中档题.4.已知关于x 的不等式组222802(27)70x x x k x k ⎧-->⎨+++<⎩仅有一个整数解,则k 的取值范围为( ) A .(5,3)(4,5)- B .[5,3)(4,5]-C .(5,3][4,5)-D .[5,3][4,5]-【答案】B【解析】求出第一个不等式的解,讨论k 的范围得出第二个不等式的解,根据不等式组只含有一个整数得出第二个不等式解的端点的范围,从而得出k 的范围. 【详解】解:解不等式2280x x -->得2x <-或4x >, 解方程22(27)70x k x k +++=得172x ,2x k =-. (1)若72k -<-即72k >时,不等式22(27)70x k x k +++<的解集是7(,)2k --,若不等式组只有1个整数解,则54k --<-,解得:45k <,(2)若72k ->-即72k <时,不等式22(27)70x k x k +++<的解集是7(2-,)k -,若不等式组只有1个整数解,则35k -<-,解得:53k -<,综上,k 的取值范围是[5-,3)(4⋃,5],故选:B . 【点睛】本题考查了一元二次不等式的解法,分类讨论思想,借助数轴可方便得出区间端点的范围,属于中档题.二、填空题5.若{}2,2,3,4A =-,{}2|,B x x t t A ==∈,用列举法表示B = .【答案】{}4,9,16【解析】解决该试题的关键是对于t 令值,分别得到x 的值,然后列举法表示. 【详解】因为集合{}2,2,3,4A =-,而集合B 中的元素是将集合A 中的元素一一代入,通过平方得到的集合,即{}2|,B x x t t A ==∈,2,4t x ∴=±=;3,9t x ==;4,16t x ==,{}4,9,16B ∴=,那么用列举法表示B ={}4,9,16.本试题主要是考查了集合的描述法与列举法的准确运用,属于基础题.6.方程组2354x y x y -=⎧⎨+=⎩的解集为___________.【答案】{(1,1)}-【解析】由二元一次方程,应用消元法或逆矩阵解方程组求解即可. 【详解】法一:由2354x y x y -=⎧⎨+=⎩,得231028x y x y -=⎧⎨+=⎩,∴两式相加得:1111x =,1x =, 代入23x y -=,得1y =-,法二:由原方程组知:1251A -⎡⎤=⎢⎥⎣⎦,x X y ⎡⎤=⎢⎥⎣⎦,34B ⎡⎤=⎢⎥⎣⎦,∴12||11051A -==≠,即A 可逆,∴1121111511111A -⎡⎤⎢⎥=⎢⎥⎢⎥-⎢⎥⎣⎦,有11231111151411111X A B -⎡⎤⎢⎥⎡⎤⎡⎤===⎢⎥⎢⎥⎢⎥-⎣⎦⎣⎦⎢⎥-⎢⎥⎣⎦ ∴1x =,1y =- 故答案为:{(1,1)}- 【点睛】本题考查了二元一次方程组的解法,分别可用消元法、逆矩阵求解,属于简单题. 7.{|||1,}A y y x x ==-∈R ,2{|28,}B y y x x x ==-++∈R ,A B =___________.【答案】[1,9]-【解析】结合绝对值和二次函数的性质分别求出两函数的值域,从而可求出两集合的交集. 【详解】解:因为0x ≥,所以||11y x =-≥-,即[)1,A =-+∞,因为()2228199y x x x =-++=--+≤,所以(],9B =-∞,所以AB =[1,9]-,故答案为: [1,9]-. 【点睛】本题考查了集合的交集运算,属于基础题.本题的关键是分别化简两集合.8.写出2a >的一个必要非充分条件___________. 【答案】1a >【解析】根据必要非充分条件的定义,知:21a a >⇒>,而1a >不一定有2a >,即1a >是2a >的一个必要非充分条件. 【详解】∵21a a >⇒>,而2a >⇏1a >, ∴1a >是2a >的一个必要非充分条件. 故答案为:1a > 【点睛】本题考查了必要非充分条件,根据定义法写出一个必要非充分条件,属于简单题. 9.已知全集{4,3,1,2,0,1}U =---,2{,1,3}A a a =+-,2{3,21,1}B a a a =--+,若{3}A B ⋂=-,则UA B =___________.【答案】{3,1,0,1}--【解析】根据集合交集的定义,结合集合元素的互异性、集合并集和补集的定义分类讨论进行求解即可. 【详解】因为{3}A B ⋂=-,所以有33a -=-或213a -=-或213a +=-,当33a -=-时,解得0a =,此时{0,1,3}A =-,{3,1,1}B =--,而{3,1}A B ⋂=-,这与已知矛盾,故不符合题意,舍去;当213a -=-时,解得1a =-,此时{0,1,3}A =-,{4,23,}B =--,符合题意,故1a =-;当213a +=-时,此方程无实根,综上所述:1a =-, 所以UAB ={3,1,0,1}--.故答案为:{3,1,0,1}-- 【点睛】本题考查了已知集合交集的结果求参数问题,考查了集合并集和补集的运算,考查了数学运算能力.10.不等式2117x x+≤-的解集为___________.【答案】(,2](7,)-∞+∞【解析】对不等式移项通分,利用公式可得出不等式的解集. 【详解】2117x x +≤-等价于21-107x x +≤-,即3607x x-≤- 化简得()()270x x x --≥,不等于7 则原不等式的解集为(,2](7,)-∞+∞ 故答案为:(,2](7,)-∞+∞ 【点睛】本题考查分式不等式的解集,考查学生计算能力,属于基础题. 11.已知集合{2,1}A =-,{|2,B x ax ==其中,}x a ∈R ,若A B B =,则a 的取值集合为___________. 【答案】{}1,0,2- 【解析】根据A B B =得到,A B 之间的关系,由此确定出可取的a 的值.【详解】 因为AB B =,所以B A ⊆,当B =∅时,0a =;当B ≠∅时,若{}2B =-,则22a -=,所以1a =-;若{}1B =,则2a =. 综上可知:a 的取值集合为{}1,0,2-, 故答案为:{}1,0,2-. 【点睛】本题考查根据集合间的包含关系求解参数,难度一般.分析集合间的子集关系时,注意分析空集的存在.12.已知关于x 的不等式210ax bx +-≥的解集为11[,]23--,则不等式20x bx a --<的解集为___________. 【答案】(3,2)--【解析】由题意知-12,-13是方程210+-=ax bx 的两根,求出65a b =-⎧⎨=⎩,再解不等式得解. 【详解】 由题意知-12,-13是方程210+-=ax bx 的两根, 所以由根与系数的关系得11()23111()23b aa ⎧-+-=-⎪⎪⎨⎪-⨯-=-⎪⎩,解得65a b =-⎧⎨=-⎩. 不等式20x bx a --<即为2560x x ++<, 所以(2)(3)0x x ++< 所以解集为(3,2)--. 故答案为:(3,2)-- 【点睛】本题主要考查一元二次不等式的解法,考查根据一元二次不等式的解集求参数,意在考查学生对这些知识的理解掌握水平.13.若关于x 的不等式2(2)3m x x m +>-+的解集是(3,)+∞,则m 的值为___________. 【答案】5【解析】由题意可得10m ->,22331m m m --=-,由此求得m 的值.【详解】解:关于x 的不等式2(2)3m x x m +>-+的,即2(1)32m x m m ->--,它解集是(3,)+∞,故10m ->,22331m m m --=-,求得5m =,故答案为:5. 【点睛】本题主要考查含参数的一次不等式的解法,属于中档题.14.已知集合2{|()(1)0}M x x a x ax a =--+-=各元素之和等于3,则实数a =___________.【答案】2或32【解析】由题意知M 中各元素为描述中方程的解,由集合的性质讨论23,x x 是否相等即可求实数a . 【详解】由题意知:2{|()(1)0}M x x a x ax a =--+-=中元素,即为2()(1)0x a x ax a --+-=的解,∴0x a -=或210x ax a -+-=,可知:1x a =或23x x a += ∴当23x x ≠时,23a =;当23x x =时,332a =, ∴2a =或32a =, 故答案为:2或32【点睛】本题考查了集合的性质,根据集合描述及元素之和,结合互异性讨论求参数,属于基础题.15.若三个关于x 的方程24430x x a +-+=,225(1)04a x a x ++-+=,2210x ax ++=中至少有一个方程有实根,则实数a 的取值范围为___________.【答案】1(,1][,)4-∞--+∞【解析】结合判别式求出当三个方程都没有实根时的实数a 的取值范围,进而可求出所求答案. 【详解】解:若三个方程都没有实根,则()()2222444316405142404440a a a a a a ⎧∆=--+=+<⎪+⎪∆=--⋅=--<⎨⎪∆=-<⎪⎩,解得114a -<<-,所以当至少有一个方程有实根时,1a ≤-或14a ≥-,故答案为: 1(,1][,)4-∞--+∞. 【点睛】本题考查了方程的实数解的问题,将至少有一个方程转化为都没有实根再求解是解题的关键.16.设数集4{|}5M x m x m =≤≤+,1{|}4N x n x n =-≤≤,且集合M 、N 都是集合{|01}U x x =≤≤的子集,如果把b a -称为非空集合{|}x a x b ≤≤的“长度”,那么集合M N ⋂的“长度”的取值范围为___________. 【答案】11[,]204【解析】根据“长度”定义确定集合,M N 的“长度”,由M N ⋂“长度”最小时,两集合位于集合I 左右两端即可确定结果. 【详解】由“长度”的定义可知:集合M 的长度为45,集合N 的长度为14; 若集合M N ⋂的“长度”最小,则M 与N 分别位于集合I 的左右两端,MN ∴的“长度”的最小值为45411120+-=若集合M N ⋂的“长度”最大,则M 与N 分别重合的部分最多,MN ∴的“长度”的最大值为14则集合M N ⋂的“长度”的取值范围为11[,]204故答案为:11[,]204【点睛】本题考查集合中的新定义运算问题的求解,解题关键是能够确定“长度”最小时,两集合的位置.三、解答题17.已知集合2{|8160,,}A x kx x k x =-+=∈∈R R .(1)若A 只有一个元素,试求实数k 的值,并用列举法表示集合A ; (2)若A 至多有两个子集,试求实数k 的取值范围.【答案】(1)0k =,{2}A =;1k =,{4}A =;(2){}[)01,+∞.【解析】(1)当0k =时,易知符合题意,当0k ≠时,利用0∆=即可求出k 的值; (2)由A 至多有两个子集,可知集合A 中元素个数最多1个,再分0k =和0k ≠两种情况讨论,即可求出实数k 的取值范围. 【详解】(1)①当0k =时,方程化为:8160x -+=,解得2x =, 此时集合{2}A =,满足题意; ②当0k ≠时,方程28160kx x -+=有一个根,∴∆2(8)4160k =--⨯=,解得:1k =,此时方程为28160x x -+=,解得4x =,∴集合{4}A =,符合题意,综上所述,0k =时集合{2}A =;1k =时集合{4}A =; (2)A 至多有两个子集,∴集合A 中元素个数最多1个,①当0k ≠时,一元二次方程28160kx x -+=最多有1个实数根,∴∆2(8)4160k =--⨯,解得1k ,②当0k =时,由(1)可知,集合{2}A =符合题意, 综上所述,实数k 的取值范围为:{}[)01,+∞.【点睛】本题主要考查了集合的表示方法,考查了集合的元素个数,属于基础题. 18.已知a ∈R ,求关于x 的不等式2(21)20ax a x --->的解集. 【答案】见解析【解析】当0a =时,求解一次不等式,当0a ≠时,求出对应方程的根11x a=-,22x ,从而对a 分类讨论一元二次不等式的解集. 【详解】当0a =时,20x ->,∴2x >,则2(21)20ax a x --->的解集为(2,)+∞ 当0a ≠时,解2(21)20ax a x ---=,得11x a =-,22x ①当0a >时,12a-<,则2(21)20ax a x --->的解集为1(,)(2,)a -∞-+∞. ②当0a <时,(1)12a -=,即12a =-,则2(21)20ax a x --->可化简为()220x -<,无解;(2)12a ->,即102a >>-,则2(21)20ax a x --->的解集为1(2,)a -; (3)12a -<,即12a <-,则2(21)20ax a x --->的解集为1(,2)a-; 综上:(1)0a =时,解集为(2,)+∞;(2)当0a >时,解集为1(,)(2,)a -∞-+∞;(3)当12a =-时,无解; (4)当102a >>-时,解集为1(2,)a -; (5)当12a <-时,解集为1(,2)a-. 【点睛】 本题考查含参不等式的求解,涉及一元一次不等式,含参数的一元二次不等式分类讨论,属于基础题.19.已知集合{|2134}A x m x m =+≤≤+,{|17}B x x =≤≤.(1)若A B ⊂,求实数m 的取值范围;(2)若C B Z =,求C 的所有子集中所有元素的和.【答案】(1)(,3)[0,1]-∞-;(2)1792.【解析】(1)根据集合的包含关系求m 的取值范围即可;(2)首先确定子集的个数为72128=,根据元素与集合的关系判断每一个元素存在于多少个子集中,即可求和.【详解】(1)由A B ⊂,知:当A =∅时,2134m m +>+,解得3m <-;当A ≠∅时,2113473421m m m m +≥⎧⎪+≤⎨⎪+≥+⎩,解得01m ≤≤;∴综上,有(,3)[0,1]-∞-.(2){1,2,3,4,5,6,7}C B Z ==,由C 的所有子集的个数为72128=,而对于任意元素子集:在任意子集中存在或不存在,即每一个元素都存在于64个子集中, ∴(1234567)641792++++++⨯=【点睛】本题考查了根据集合包含关系求参数,由元素个数求所有子集中元素之和,利用元素与集合的关系判断元素存在的子集个数,属于基础题.20.设二次函数2()f x ax bx c =++,其中a 、b 、R c ∈. (1)若2(1)b a =+,94c a =+,且关于x 的不等式28200()x x f x -+<的解集为R ,求a 的取值范围;(2)若a 、b 、c Z ∈,且(0)f 、(1)f 均为奇数,求证:方程()0f x =无整数根; (3)若1a =,21b k =-,2c k =,求证:方程()0f x =有两个大于1的根的充要条件是2k <-.【答案】(1)1(,)2-∞-;(2)证明见解析;(3)证明见解析. 【解析】(1)根据不等式解集为R ,结合分式、二次函数的性质即可求参数a 的范围;(2)利用反证法,分类讨论12,x x 都为整数、1x 为整数,2x 不为整数,结合a 、b 的奇偶性即可证明;(3)根据二次方程根的分布列条件求解证明即可.【详解】(1)由28200()x x f x -+<知:2282000x x ax bx c ⎧-+>⎨++<⎩且解集为R , ∴2040a b ac <⎧⎨∆=-<⎩即208210a a a <⎧⎨+->⎩,解得:12a <-. (2)(0)f c =,(1)f abc =++均为奇数,知:+a b 为偶数,∴2()0f x ax bx c =++=有两根为12,x x ,则12b x x a +=-,12c x x a=,1、当a 、b 为偶数时,若12,x x 都为整数,则b 、c 必须同时可被a 整除,显然不成立;若1x 为整数,2x 不为整数,211,ax bx 都为偶数,则2110ax bx c ++≠与题设矛盾;2、当a 、b 为奇数时,若12,x x 都为整数,12b x x a +=-必为奇数,则12,x x 必有一奇一偶,12x x 必为偶数,而c a为奇数,不成立;若1x =11()x ax b c +=-,当1x 为奇数时,1ax b +为偶数,则c 为偶数,与题设矛盾;当1x 为偶数时,1ax b +为奇数,则c 为偶数,与题设矛盾;综上,知:方程()0f x =无整数根;(3)由题意,知:22()(21)f x x k x k =+-+,若()0f x =有两个大于1的根时,有2121220k k k -⎧>⎪⎨⎪+>⎩,解得2k <-;若2k <-时,有()f x 开口向上且对称轴为12522k x -=>,2(1)20f k k =+>,22(21)4149k k k ∆=--=->,所以()0f x =有两个大于1的根;综上,有:方程()0f x =有两个大于1的根的充要条件是2k <-.【点睛】本题考查了根据分式不等式、二次函数的性质求参数范围,应用反证法证明存在性问题,以及定义法证明条件间的充要性.。