小学3500个常用汉字表带拼音
- 格式:doc
- 大小:889.00 KB
- 文档页数:19
一、常用字(2500字)按汉字读音笔顺,并标拼音aā阿啊āi哀唉挨ǎi矮ài爱碍ān安àn岸按案暗áng昂ǎo袄ào傲奥bbā八巴扒吧疤bá拔bǎ把bà坝爸罢霸bái白bǎi百柏摆bài败拜b ān班般斑搬bǎn板版bàn办半伴扮拌瓣bāng帮bǎng绑榜膀bàng 傍棒bāo包胞báo雹bǎo宝饱保堡bào报抱暴爆bēi杯悲碑běi 北bèi贝备背倍被辈bēn奔běn本bèn笨bèng蹦bī逼bí鼻bǐ比彼笔鄙bì币必毕闭毙辟弊碧蔽壁避臂biān边编鞭biǎn扁biàn 便变遍辨辩辫biāo标biǎo表bié别bīn宾滨bīng冰兵bǐng丙柄饼bìng并病bō拨波玻bāo剥bō菠播bó脖伯驳泊博搏膊薄bo 卜bǔ补捕bù不布步怖部ccā擦cāi猜cái才材财裁cǎi采彩睬踩cài菜cān参餐cán残蚕惭cǎn惨càn灿cāng仓苍舱cáng藏cāo操cáo槽cǎo草cè册侧厕测策céng层曾chā叉插chá查茶察chà岔差chāi拆chái柴ch án馋缠chǎn产铲chàn颤chāng昌cháng长肠尝偿常chǎng厂场敞chàng畅倡唱chāo抄钞超cháo朝潮chǎo吵炒chē车chě扯ch è彻撤chén尘臣沉辰陈晨chuǎng闯chèn衬趁chēng称撑chéng 成呈承诚城乘惩程chèng秤chī吃chí池驰迟持匙chǐ尺齿耻chì斥赤翅chōng充冲chóng虫崇chōu抽chóu仇绸愁稠筹酬chǒu丑chòu臭chū出初chú除厨锄chǔ础储楚处chù触畜chuān川穿chu án传船chuǎn喘chuàn串chuāng疮窗chuáng床chuàng创chuī吹炊chuí垂锤chūn春chún纯唇chǔn蠢cí词慈辞磁cǐ此cì次刺cōng从匆葱聪cóng丛còu凑cū粗cù促醋cuàn窜cuī催摧cuì脆翠cūn村cún存cùn寸cuò错ddā搭dá达答dǎ打dà大dāi呆dài代带待怠贷袋逮戴dān丹单担耽dǎn胆dàn旦但诞弹淡蛋dāng当dǎng挡党dàng荡档dāo刀叨dǎo导岛倒蹈dào到悼盗道稻dé得德de的dēng灯登děng等dèng凳dī低堤滴dí敌笛dǐ底抵dì地弟帝递第diān颠diǎn典点di àn电店垫殿diāo叼雕diào吊钓调掉diē爹跌dié叠蝶dīng丁叮盯dǐng顶dìng钉订定diū丢dōng东冬dǒng董懂dòng动冻栋洞dōu都dǒu抖陡dòu斗豆逗dū督dú毒读独dǔ堵赌dù杜肚度渡du ān端duǎn短duàn段断缎锻duī堆duì队对dūn吨蹲dùn盾顿du ō多duó夺duǒ朵躲duò惰eé鹅蛾额è恶饿ēn恩ér儿而ěr耳èr二ffā发fá乏伐罚阀fǎ法fān帆番翻fán凡烦繁fǎn反返fàn犯泛饭范贩fāng方坊芳fáng防妨房fǎng仿访纺fàng放fēi飞非féi 肥fěi匪fèi废沸肺费fēn分吩纷芬fén坟fěn粉fèn份奋愤粪fēng丰风封疯峰锋蜂féng逢缝fěng讽fèng凤奉fó佛fǒu否fū夫肤fú伏扶服俘浮符幅福fǔ抚府斧俯辅腐fù父付妇负附咐复赴副傅富腹覆ggāi该gǎi改gài盖溉概gān干甘杆肝竿gǎn秆赶敢感gāng冈刚纲缸钢gǎng岗港gàng杠gāo高膏糕gǎo搞稿gào告gē哥胳鸽割搁歌gé阁革格葛隔gè个各gěi给gēn根跟gēng更耕gōng工弓公功攻供宫恭躬gǒng巩gòng共贡gōu勾沟钩gǒu狗gòu构购够gū估姑孤辜gǔ古谷股骨鼓gù固故顾guā瓜刮guà挂guāi乖guǎi拐guài怪guān关观官guǎn馆管guàn冠贯惯灌罐guāng光广guī归龟规guǐ轨鬼guì柜贵桂跪gǔn滚gùn棍guō锅guó国guǒ果裹guò过hhā哈hái孩hǎi海hài害hán含寒hǎn喊hàn汉汗旱háng航háo 毫豪hǎo好hào号浩耗hē喝hé禾合何和河核荷盒hè贺hēi黑hén痕hěn很狠hèn恨héng恒横衡hōng轰哄烘hóng红宏洪虹hóu 喉猴hǒu吼hòu后厚候hū乎呼忽hú狐胡壶湖糊蝴hǔ虎hù互户护huā花huá华哗滑猾huà化划画话huái怀槐huài坏huān欢hái还huán环huǎn缓huàn幻唤换患huāng荒慌huáng皇黄煌huǎng晃谎huī灰恢挥辉huí回huǐ悔毁huì汇会绘贿惠慧hūn昏婚hún浑魂hùn混huó活huǒ火伙huò或货获祸惑jjī击饥圾机肌鸡迹积基绩激jí及吉级即极急疾集籍jǐ几己挤脊j ì计记纪忌技际剂季既济继寄jiā加夹佳家嘉jiǎ甲jià价驾架假嫁稼jiān奸尖坚歼间肩艰兼监煎jiǎn拣俭茧捡减剪检简jiàn见件建剑荐贱健舰渐践鉴键箭jiāng江姜将浆僵疆jiǎng讲奖桨ji àng匠降酱jiāo交郊娇浇骄胶椒焦蕉jiǎo角狡绞饺脚搅缴jiào 叫轿较教jiē阶皆接揭街jié节劫杰洁结捷截竭她jiě姐解jiè介戒届界借jīn巾今斤金津筋jǐn仅紧谨锦jìn尽劲近进晋浸禁jīng京经茎惊晶睛精jǐng井颈景警jìng净径竞竟敬境静镜jiū纠究揪jiǔ九久酒jiù旧救就舅jū居拘鞠jú局菊橘jǔ举矩jù句巨拒具俱剧惧据距锯聚juān捐juàn卷倦绢jué决绝觉掘嚼jūn军君均菌jùn俊kkǎ卡kāi开kǎi凯慨kān刊堪kǎn砍kàn看kāng康糠káng扛kàng抗炕kǎo考烤kào靠kē科棵颗ké壳咳kě可渴kè克刻客课kěn 肯垦恳kēng坑kōng空kǒng孔kǒng恐kòng控kǒu口kòu扣寇k ū枯哭kǔ苦kù库裤酷kuā夸kuǎ垮kuà挎跨kuài块快kuān宽kuǎn款kuāng筐kuáng狂kuàng况旷矿框kuī亏kuí葵kuì愧kūn昆kǔn捆kùn困kuò扩括阔llā垃拉啦lǎ喇là腊蜡辣lái来lài赖lán兰拦栏蓝篮lǎn览懒l àn烂滥láng郎狼廊lǎng朗làng浪lāo捞láo劳牢lǎo老姥lào涝lè乐勒léi雷lěi垒lèi泪类累lěng冷lí厘梨狸离犁璃黎l ǐ礼李里理lì力历厉立丽利励例隶栗粒liǎng俩lián连帘怜莲联廉镰liǎn脸liàn练炼恋链liáng良凉梁粮粱liǎng两liàng亮谅辆量liáo辽疗僚le了liào料liè列劣烈猎裂lín邻林临淋l íng伶灵铃陵零龄lǐng岭领lìng令另liū溜liú刘流留榴liǔ柳liù六lóng龙笼聋隆lǒng垄拢lóu楼lǒu搂lòu漏lú芦炉lǔ虏鲁lù露陆录鹿碌路lǘ驴lǚ旅屡lǜ律虑滤率绿luǎn卵luàn乱lüě掠lüè略lún轮lùn论luó罗萝锣箩骡螺luò络骆落mmā妈má麻mǎ马码蚂mà骂ma吗mái埋mǎi买mài迈麦卖脉mán蛮馒瞒mǎn满màn慢漫máng忙芒盲茫māo猫máo毛矛茅mào茂冒贸帽貌me么méi没眉梅煤霉měi每美mèi妹mén门mèn闷men们m éng萌盟蒙měng猛mèng孟梦mí迷谜mǐ米眯mì秘密蜜mián眠绵棉miǎn免勉miàn面miáo苗描miǎo秒miào妙庙miè灭蔑mín民mǐn敏míng名明鸣mìng命mō摸mó模膜摩磨魔mò抹末沫莫漠墨默móu谋mǒu某mǔ母亩mù木目牧墓幕慕暮nná拿nǎ哪nèi内nà那纳nǎi乃奶nài耐nán男南难náng囊náo 挠nǎo恼脑nào闹ne呢nèn嫩néng能ní尼泥nǐ你nì逆nián年niàn念niáng娘niàng酿niǎo鸟niào尿niē捏nín您níng宁凝niú牛niǔ扭纽nóng农浓nòng弄nú奴nǔ努nù怒nǚ女nuǎn暖nu ó挪oōu欧ǒu偶ppā趴pá爬pà怕pāi拍排pái牌pài派pān攀pán盘pàn判叛盼p āng乓páng旁pàng胖pāo抛páo袍pǎo跑pào炮泡péi陪培赔p èi佩配pēn喷pén盆péng朋棚蓬膨pěng捧pèng碰pī批披劈pí皮疲脾pǐ匹pì僻piàn片piān偏篇piàn骗piāo漂飘piào票pi ě撇pīn拼pín贫pǐn品pīng乒píng平评凭苹瓶萍pō坡泼pó婆pò迫破魄pōu剖pū扑pú仆葡pǔ朴普谱pù铺qqī七妻戚期欺漆qí齐其奇骑棋旗qǐ乞企岂启起qì气弃汽砌器qi à恰洽qiān千迁牵铅谦签前qián钱钳潜qiǎn浅遣qiàn欠歉qiāng枪腔qiáng强墙qiǎng抢qiāo悄敲锹qiáo乔侨桥瞧qiǎo巧qiē切qié茄qiě且qiè窃qīn亲侵qín芹琴禽勤qīng青轻倾清蜻qíng情晴qǐng顷请qìng庆qióng穷qiū丘秋qiú求球qū区驱屈趋qú渠qǔ曲取qù去趣quān圈quán全权泉拳quǎn犬quàn劝券quē缺què却雀确鹊qún裙群rrán然燃rǎn染嚷壤ràng让ráo饶rǎo扰rào绕rě惹rè热rén 人仁rěn忍rèn刃认任rēng扔仍rì日róng绒荣容熔融róu柔揉ròu肉rú如rǔ乳辱rù入ruǎn软ruì锐瑞rùn润ruò若弱ssā撒sǎ洒sāi塞sài赛sān三sǎn伞sàn散sāng桑sǎng嗓sàng 丧sǎo扫嫂sè色sēn森shā杀沙纱shǎ傻shāi筛shai晒shān山删衫shǎn闪陕shàn扇善shāng伤商shang裳shǎng晌赏shàng 上尚shāo捎梢烧稍sháo勺shǎo少shào绍哨shé舌蛇shě舍shè设社射涉摄shēn申伸身深shén神shěn沈审婶肾甚渗慎shēng升生声牲shéng绳shěng省shèng胜圣盛剩shī尸失师诗施狮湿sh í十什石时识实拾蚀食shǐ史使始驶shì士氏世市示式事侍势视试饰室是柿适逝释誓shōu收shǒu手守首shòu寿受兽售授瘦shū书叔殊梳疏舒输蔬shú熟shǔ暑鼠薯shù术束述树竖数shuā刷shuǎ耍shuāi衰摔shuǎi甩shuài帅shuān拴shuāng双霜shuǎng爽shuí谁shuǐ水shuì税睡shùn顺shuō说sòu嗽sī丝司私思斯撕s ǐ死sì四寺似饲肆sōng松sòng宋诵送颂sōu搜艘sū苏sú俗sù诉肃素速宿塑suān酸suàn蒜算suī虽suí随suì岁碎穗sūn孙s ǔn损笋suō缩suǒ所索锁ttā她他它塌tǎ塔tà踏tái台抬tài太态泰tān贪摊滩tán坛谈痰tǎn坦毯tàn叹炭探tāng汤táng唐堂塘膛糖tǎng倘躺tàng烫趟tāo涛掏滔táo逃桃陶淘萄tǎo讨tào套tè特téng疼腾tī梯踢tí提题蹄tǐ体tì剃惕替tiān天添tián田甜填tiāo挑tiáo 条tiào跳tiē贴帖tiě铁tīng厅听tíng亭庭停蜓tǐng挺艇tōng通tóng同桐铜童tǒng统桶筒tòng痛tōu偷tóu头投tòu透t ū秃突tú图徒涂途屠tǔ土吐tù兔tuán团tuī推tuǐ腿tuì退tūn 吞tún屯tuō托拖脱tuó驼tuǒ妥wwā挖蛙wá娃wǎ瓦wà袜wāi歪wài外wān弯湾wán丸完玩顽wǎn 挽晚碗wàn万wāng汪wáng亡王wǎng网往wàng妄忘旺望wēi危威微wéi为围违唯维wěi伟伪尾委wèi卫未位味畏胃喂慰wēn温wén文纹闻蚊wěn稳wèn问wēng翁wō窝wǒ我wò沃卧握wū乌污呜屋wú无吴wǔ五午伍武侮舞wù勿务物误悟雾xxī夕西吸希析息牺悉惜稀溪锡熄膝xí习席袭xǐ洗喜xì戏系细隙xiā虾瞎xiá峡狭霞xià下吓夏厦xiān仙先纤掀鲜xián闲弦贤咸衔嫌xiǎn显险xiàn县现线限宪陷馅羡献xiāng乡相香箱xiáng 详祥xiǎng享响想xiàng向巷项象像橡xuē削xiāo宵消销xiǎo 小晓xiào孝效校笑xiē些歇xié协邪胁斜携鞋xiě写xiè泄泻卸屑械谢xīn心辛欣新薪信xīng兴星腥xíng刑行形型xǐng醒xìng 杏姓幸性xiōng凶兄胸xióng雄熊xiū休修羞xiǔ朽xiù秀绣袖锈xū须虚需xú徐xǔ许xù序叙畜绪续絮蓄xuān宣xuán悬旋xuǎn选xué穴学xuě雪xuè血xún寻巡旬询循xùn训讯迅yyā压呀押鸦鸭yá牙芽崖yǎ哑雅yà亚yān咽烟淹yán延严言岩沿炎研盐颜yǎn掩眼演yàn厌宴艳验焰雁燕yāng央殃秧yáng扬羊阳杨洋yǎng仰养氧痒yàng样yāo妖腰邀yáo窑谣摇遥yǎo咬yào药要耀yé爷yě也冶野yè业叶页夜液yī一衣医依yí仪宜姨移遗疑yǐ乙已以蚁倚椅yì义亿忆艺议亦异役译易疫益谊意毅翼yīn因阴姻音yín银yǐn引饮隐yìn印yīng应英樱鹰yíng迎盈营蝇赢yǐng影yìng映硬yōng佣拥庸yǒng永咏泳勇涌yòng用yōu优忧悠yóu尤由犹邮油游yǒu友有yòu又右幼诱yú于余鱼娱渔愉愚榆yǔ予与宇屿羽雨语yù玉育狱浴预域欲御裕遇愈誉yuān冤yuán元员园原圆援缘源yuǎn远yuàn怨院愿yuē约yào钥yuè月悦阅跃越yún云匀yǔn允yùn孕运yūn晕yùn韵zzá杂zāi灾栽zǎi宰载zài再在zán咱zàn暂赞zāng脏zàng葬zāo遭糟zǎo早枣澡zào灶皂造燥躁zé则择泽责zéi贼zěn怎曾zēng增zèng赠zhā渣扎zhá轧闸zhǎ眨zhà炸榨zhāi摘zhái宅zhǎi窄zhài债寨zhān沾粘zhǎn斩展盏崭zhàn占战站zhāng张章zhǎng涨掌zhàng丈仗帐胀障zhāo招zhǎo找zhào召兆赵照罩zhē遮折zhé哲者zhè这浙zhēn贞针侦珍真zhěn诊枕zhèn阵振镇震zhēng争征睁筝蒸zhěng整zhèng挣正证郑政症zhī之支只汁芝枝知织肢脂蜘zhí执侄直值职植殖zhǐ止旨址纸指zhì至志制帜治质秩致智置zhōng中忠终钟zhǒng肿种zhòng众重zhōu州舟周洲粥zhòu宙昼皱骤zhū朱株珠诸猪蛛zhú竹烛逐zhǔ主属煮嘱zh ù住助注驻柱祝著筑铸zhuā抓zhuǎ爪zhuān专砖zhuǎn转zuàn赚zhuāng庄装zhuàng壮状撞zhuī追zhǔn准zhuō捉桌zhuó浊啄zhe 着zǎi仔zī姿资滋zǐ子紫zì字自zōng宗棕踪zǒng总zòng纵z ǒu走zòu奏zū租zú足族zǔ阻组祖zuàn钻zuǐ嘴zuì最罪醉zūn 尊遵zuó昨zuǒ左zuò作坐座做对于学习普通话的朋友来说,平翘舌不分是一个很突出的问题。
3500个常用汉字A啊ü阿ü 埃üi 挨ái 哎üi 唉üi 哀üi 皑ái 癌ái 蔼ǎi 矮ǎi 艾ài碍ài爱ài隘ài 鞍ün 氨ün安ün俺ǎn按àn暗àn岸àn 胺àn案àn肮üng 昂áng盎àng 凹üo敖áo熬áo 翱áo袄ǎo傲ào奥ào 懊ào澳àob芭bü捌bü扒bü叭bü吧ba笆bü八bü疤bü巴bü拔bá跋bá靶bǎ把bǎ耙pá坝bà 霸bà 罢bà 爸bà 白bái 柏bǎi 百bǎi 摆bǎi 佰bǎi 败bài 拜bài稗bài 斑bün 班bün 搬bün扳bün般bün颁bün板bǎn 版bǎn 扮ban 拌bàn伴bàn瓣bàn 半bàn办bàn 绊bàn 邦büng 帮büng 梆büng 榜bǎng 膀páng 绑bǎng 棒bàng磅bàng 蚌bàng 镑bàng傍bàng 谤bàng 苞büo胞büo包büo 褒büo 剥büo 薄báo 雹báo 保bǎo 堡bǎo 饱bǎo 宝bǎo抱bào 报bào 暴bào 豹bào 鲍bào 爆bào 杯býi 碑býi 悲býi卑býi北bþi 辈bâi背bâi 贝bâi钡bâi 倍bâi 狈bâi备bâi惫bâi 焙bâi 被bâi 奔býn苯bþn 本bþn 笨bân 崩býng 绷býng甭bãng 泵bâng 蹦bâng 迸bâng 逼bÿ 鼻bí 比bǐ 鄙bǐ 笔bǐ 彼bǐ 碧bì 蓖bì 蔽bì 毕bì 毙bì毖bì币bì 庇bì痹bì闭bì 敝bì弊bì必bì 辟pì 壁bì臂bì避bì陛bì鞭biün 边biün 编biün 贬biǎn 扁biǎn 便biàn 变biàn 卞biàn 辨biàn 辩biàn 辫biàn遍biàn 标biüo 彪biüo 膘biüo 表biǎo 鳖biý 憋biý 别biã 瘪biþ 彬bÿn 斌bÿn 濒bÿn 滨bÿn宾bÿn 摈bìn 兵bÿng 冰bÿng 柄bǐng 丙bǐng 秉bǐng 饼bing 炳bǐng 病bìng并bìng 玻bō菠bō 播bō 拨bō 钵bō 波bō 博bï 勃bï 搏bï 铂bï箔bï伯bï帛bï 舶bï 脖bï膊bï 渤bï泊bï驳bï捕bǔ卜bǔ 哺bǔ补bǔ埠bù不bù布bù步bù簿bù部bù怖bùC 擦cü猜cüi 裁cái 材cái 才cái 财cái睬cǎi踩cǎi采cǎi彩cǎi菜cài蔡cài餐cün 参cün 蚕cán 残cán 惭cán 惨cǎn 灿càn 苍cüng 舱cüng 仓cüng 沧cüng 藏cáng 操cüo 糙cüo 槽cáo 曹cáo 草cǎo 厕câ 策câ 侧câ 册câ 测câ 层cãng 蹭câng 插chü 叉chü茬chá 茶chá 查chá 碴chá 搽chá 察chá岔chà 差chà诧chà拆chüi 柴chái 豺chái 搀chün掺chün 蝉chán 馋chán谗chán缠chan铲chǎn产chǎn阐chǎn 颤chàn 昌chüng 猖chüng场ch ǎng尝cháng 常cháng 长cháng偿cháng肠cháng厂chǎng敞chǎng畅chàng唱chàng倡chàng超chüo 抄chüo 钞chüo 朝cháo嘲cháo 潮cháo 巢cháo 吵chǎo 炒chǎo 车chý扯chþ撤châ掣châ彻châ 澈châ郴c hýn臣chãn辰chãn尘chãn 晨chãn忱chãn沉chãn陈chãn趁chân 衬chân撑chýng称chýng城chãng橙chãng成chãng呈chãng乘chãng程chãng惩chãng 澄dâng 诚cheng 承chãng 逞chþng 骋chþng 秤châng 吃chÿ 痴chÿ持c h í匙s h i池chí迟chí 弛chí 驰chí 耻chǐ 齿chǐ 侈chǐ 尺chǐ 赤chì 翅chì 斥chì 炽chì充chōng 冲chōng虫chïng崇chïng宠chǒng抽chōu酬chou畴chïu 踌chïu 稠chïu愁chïu 筹chïu 仇chïu绸chïu 瞅chǒu 丑chǒu 臭chîu初chū出chū橱chú厨chú躇chú锄chú 雏chú滁chú除chú楚chǔ 础chǔ储chǔ矗chù 搐chù触chù处chù揣chuüi川chuün穿chuün椽chuán传chuán船chuán喘chuǎn串chuàn疮chuüng 窗chuüng幢zhuàng床chuáng闯chuǎng 创chuàng吹chuÿ炊chuÿ捶chuí锤chuí垂chuí春chūn椿chūn醇chún唇chún淳chún纯chún蠢chǔn戳chuō绰chüo疵cÿ茨cí 磁cí雌cí 辞cí 慈cí 瓷cí 词cí 此cǐ 刺cì 赐cì 次cì 聪cōng 葱cōng 囱cōng 匆cōng 从cïng 丛cïng 凑cîu 粗cū 醋cù 簇cù 促cù 蹿cuün 篡cuàn 窜cuàn 摧cuÿ 崔cuÿ催cuÿ脆cuì瘁cuì粹cuì淬cuì翠cuì村cūn存cún寸cùn 磋cuō撮cuō搓cuō措cuî挫cuî 错cu îD搭dü达dá 答dá 瘩dá 打dǎ 大dà 呆düi 歹dǎi傣dǎi戴dài 带dài 殆dài代dài 贷dài 袋dài 待dài 逮dǎi 怠dài 耽dün 担dün丹dün单dün 郸dün 掸dǎn 胆dǎn 旦dàn氮dàn 但dàn 惮dàn 淡dàn 诞dàn 弹dàn 蛋dàn 当düng 挡dǎng 党dǎng 荡dàng 档dàng 刀düo捣dǎo 蹈dǎo倒dǎo岛dǎo祷dǎo 导dǎo 到dào 稻dào悼dào道dào 盗dào 德dã 得dã 的de蹬dýng灯dýng登dýng等dþng瞪dâng凳dâng邓dâng堤dÿ低dÿ滴dÿ迪dí敌dí笛dí 狄dí 涤dí 翟zhái 嫡dí 抵dǐ 底dǐ 地dì 蒂dì 第dì 帝dì 弟dì 递dì缔dì颠diün 掂diün滇diün碘diǎn点d iǎn典diǎn靛yǐn垫diàn电diàn佃diàn甸diàn店diàn惦diàn奠diàn淀diàn 殿diàn 碉diüo 叼diüo 雕diüo 凋diüo刁diüo掉diào 吊diào钓diào 调diào 跌diý爹diý碟diã蝶diã迭diã谍diã叠diã丁dÿng 盯dÿng 叮dÿng 钉dìng顶dǐng 鼎dǐng 锭dìng 定dìng 订dìng 丢diū 东dōng 冬dōng 董dǒng 懂dǒng 动dîng 栋dîng 侗dîng 恫tōng 冻dîng 洞dîng 兜dōu抖dǒu斗dîu 陡dǒu 豆dîu 逗dîu 痘dîu 督dū 都dōu毒dú犊dú独dú读dú 堵dǔ睹dǔ赌dǔ杜dù 镀dù 肚dù 度dù 渡dù 妒dù 端duün短duǎn 锻duàn 段duàn 断duàn 缎duàn 堆duÿ 兑duì 队duì 对duì 墩dūn 吨dūn 蹲dūn 敦dūn 顿dùn 囤dùn 钝dùn 盾dùn遁dùn掇duō哆duō多duō夺duï垛duǒ躲duǒ朵duǒ跺duî舵duî剁duî惰duî 堕duîE蛾ã峨ã鹅ã俄ã额ã讹ã娥ã恶â厄â扼â遏â鄂â饿â恩ýn而ãr儿ãr耳þr尔þr饵þr洱þr二âr贰ârF发fü罚fá筏fá伐fá乏fá阀fá法fǎ珐fà藩fün帆fün番fün翻fün樊fán矾fán钒fán繁fán凡fán烦fán反fǎn返fǎn范fàn贩fàn犯fàn饭fàn 泛fan 坊füng 芳füng 方füng 肪fáng 房fáng 防fáng 妨fáng 仿fǎng 访fǎng 纺fǎng放fàng 菲fýi非fýi啡fýi飞fýi肥fãi匪fþi诽fþi吠fâi肺fâi废fâi沸fâi费fâi芬fýn酚fýn吩fýn氛fýn分fýn纷fýn坟fãn焚fãn汾fãn粉fþn奋fân份fân忿fân愤fân粪fân丰fýng 封fýng 枫fýng 蜂fýng 峰fýng 锋fýng 风fýng 疯fýng烽fýng 逢fãng 冯fãng 缝feng 讽fþng 奉fâng 凤fâng 佛fï否fǒu夫fu敷fū肤fū孵fū扶fú拂fú辐fú幅fú氟fú符fú伏fú俘fú服fú浮fú涪fú福fú袱fu弗fú甫fǔ抚fǔ辅fǔ俯fǔ釜fǔ斧fǔ脯pú腑fǔ府fǔ腐fǔ赴fù副fù覆fù赋fù复fù傅fù付fù阜fù父fù腹fù负fù富fù讣fù附fù妇fù缚fù咐fùG噶gá嘎gü该güi改gǎi概gài钙gài盖gài溉gài干gàn甘gün杆gǎn柑gün竿gün肝gün赶gǎn感gǎn秆gǎn敢gǎn赣gàn冈güng 刚güng 钢güng 缸güng肛güng 纲güng 岗gǎng 港gǎng 杠gàng 篙güo皋güo高güo膏güo羔güo糕güo搞gǎo镐hào稿gǎo告gào哥gý歌gý搁gý戈gý鸽gý胳gý疙gý割gý革gã葛格gþgã蛤há阁gã隔gã铬gâ个gâ各gâ给gþi根gýn跟gýn耕gýng更gâng 庚gýng 羹gýng 埂gþng 耿gþng 梗gþng 工gōng 攻gōng 功gōng 恭gōng 龚gōng 供gîng躬gōng 公gōng 宫弓巩gōnggōnggǒng 汞gǒng 拱gǒng 贡gîng 共gîng 钩gōu 勾gōu 沟gōu苟gǒu狗gǒu垢gîu构gîu购gîu够gîu辜菇gūgū咕gū箍gū估gū沽gū孤gū姑gū鼓gǔ古gǔ蛊gǔ骨gǔ谷yù股gǔ故gù顾gù固gù雇gù刮guü瓜guü剐guǎ寡guǎ挂guà褂guà乖guüi 拐guǎi 怪guài 棺guün 关guün 官guün冠guàn 观guün 管guǎn 馆guǎn 罐guàn 惯guàn 灌guàn 贯guàn 光guüng 广guǎng 逛guàng 瑰guÿ规guÿ圭guÿ硅guÿ归guÿ龟guÿ闺guÿ轨guǐ鬼guǐ诡guǐ癸guǐ桂guì柜guì跪guì贵guì刽guì辊gǔn滚gǔn棍gùn锅guō郭guō国guï果guǒ裹guǒ过guîH哈hü骸hái孩hái海hǎi氦hài亥hài害hài骇hài酣hün憨hün邯hán韩hán含hán涵hán寒hán函hán喊hǎn罕hǎn翰hàn撼hàn捍hàn旱hàn憾hàn悍hàn焊hàn汗hàn汉hàn夯hüng 杭háng 航háng 壕háo嚎háo豪háo毫háo郝hǎo好hǎo耗hào号hào浩hào呵h ý喝hý荷hã菏hã核hã禾hã和hã何hã合hã盒hã貉mî阂hã河hã涸hã赫hâ褐hâ鹤hâ贺hâ嘿hýi黑hýi痕hãn很hþn狠hþn恨hân哼hýng 亨hýng 横hãng 衡hãng 恒hãng 轰hōng 哄hǒng 烘hōng虹hïng 鸿hïng 洪hïng 宏hïng 弘hïn g 红hïng 喉hïu侯hïu猴hïu吼hǒu厚hîu候hîu后hîu呼hū乎hū忽hū瑚hú壶hú葫hú胡hú蝴hú狐hú糊hú湖hú弧hú虎hǔ唬hǔ护hù互hù沪hù户hù花huü哗huá华huá猾huá滑huá画huà划huá化huà话huà槐huái 徊huí怀huái 淮huái 坏huài 欢huün 环huán 桓huán还hái缓huǎn 换huàn 患huàn 唤huàn 痪huàn 豢huàn 焕huàn 涣huàn 宦huàn 幻huàn 荒huüng慌huüng 黄huáng 磺huáng 蝗huáng 簧huáng 皇huáng 凰huáng 惶huáng 煌huáng 晃huǎng 幌huǎng 恍huǎng 谎huǎng 灰huÿ挥huÿ辉huÿ徽huÿ恢huÿ蛔huí回huí毁huǐ悔huǐ慧huì卉huì惠huì晦huì贿huì秽huì会huì烩huì汇huì讳huì诲huì绘huì荤hūn昏hūn婚hūn魂hún浑hún混hún豁huō活huï伙huǒ火huǒ获huî或huî惑huî霍huî货huî祸huîJ击jÿ圾jÿ基jÿ机jÿ畸jÿ稽jÿ积jÿ箕jÿ肌jÿ饥jÿ迹jì激jÿ讥jÿ鸡jÿ姬jÿ绩jì缉jÿ吉jí极jí棘jí辑jí籍jí集jí及jí急jí疾jí汲jí即jí嫉jí级jí挤jǐ几jÿ脊jǐ己jǐ蓟jì技jì冀jì季jì伎jì祭jì剂jì悸jì济jì寄jì寂jì计jì记jì既jì忌jì际jì妓jì继jì纪jì嘉jiü枷jiü夹jiá佳jiü家jie加jiü荚jiá颊jiá贾jiǎ甲jiǎ钾jiǎ假jiǎ稼ji à价jià架jià驾jià嫁jià歼jiün监jiün 坚jiün 尖jiün 笺jiün 间jiün 煎jiün 兼jiün 肩jiün 艰jiün 奸jiün 缄jiün 茧jiǎn检jiǎn 柬jiǎn 碱jiǎn 碱jiǎn 拣jiǎn 捡jiǎn 简jiǎn 俭jiǎn 剪jiǎn 减jiǎn 荐jiàn 槛kǎn鉴jiàn 践ji àn 贱jiàn 见jiàn 键jiàn 箭jiàn 件jiàn 健jiàn 舰jiàn 剑jiàn 饯jiàn 渐jiàn 溅jiàn 涧jiàn 建jiàn 僵jiüng 姜jiüng 将jiüng 浆jiüng 江jiüng 疆jiüng 蒋jiǎng 桨jiǎng 奖jiǎng 讲jiǎng 匠jiàng 酱jiàng 降jiàng 蕉jiüo 椒jiüo 礁jiüo 焦jiüo 胶jiüo 交jiüo 郊jiüo 浇jiüo 骄jiüo 娇jiüo 嚼jiáo 搅jiǎo 铰jiǎo 矫jiǎo 侥yáo脚jiǎo 狡jiǎo 角jiǎo 饺jiǎo 缴jiǎo绞jiǎo 剿jiǎo 教jiào 酵jiào 轿jiào 较jiào 叫jiào 窖jiào 揭jiý接jiý皆jiý秸jie街jiý阶jiý截jiã劫jiã节jiã桔jú杰jiã捷jiã睫jiã竭jiã洁jiã结jiã解jiþ姐jiþ戒jiâ藉jí芥jiâ界jiâ借jiâ介jiâ疥jiâ诫jiâ届jiâ巾jÿn筋jÿn斤jÿn金jÿn今jÿn津jÿn襟jÿn紧jǐn锦jǐn仅jǐn谨jǐn进jìn靳jìn晋jìn禁jìn近jìn烬jìn浸jìn尽jìn劲jìn荆兢jÿngjÿng 茎jÿng 睛jÿng 晶jÿng鲸jÿng 京jÿng 惊jÿng 精jÿng 粳jÿng 经jÿng 井jǐng 警jǐng 景jǐng 颈jǐng 静jìng 境jìng 敬jìng 镜jìng 径jìng 痉jìng 靖jìng 竟jìng 竞jìng 净jìng 炯jiǒng 窘jiǒng 揪jiū究jiū纠jiū玖jiǔ韭jiǔ久jiǔ灸jiǔ九jiǔ酒jiǔ厩jiù救jiù旧jiù臼jiù舅jiù咎ji ù就jiù疚jiù鞠jū拘jū狙jū疽jū居jū驹jū菊jú局jú咀jǔ矩jǔ举jǔ沮jǔ聚jù拒jù据jù巨jù具jù距jù踞jù锯jù俱jù句jù惧jù炬jù剧jù捐juün 鹃juün 娟juün 倦juàn 眷juàn 卷juǎn 绢juàn 撅juý攫juã抉juã掘juã倔juâ爵juã觉jiào 决juã诀juã绝juã均jūn 菌jūn 钧jūn军jūn君jūn峻jùn俊jùn竣jùn浚jùn郡jùn骏jùnK喀kü咖kü卡kǎ咯gý开küi 揩küi 楷kǎi 凯kǎi 慨kǎi 刊kün 堪kün 勘kün 坎kǎn 砍kǎn 看kàn 康küng 慷küng 糠küng 扛káng 抗kàng 亢kàng 炕kàng 考kǎo 拷kǎo 烤kǎo 靠kào 坷kþ苛ký柯ký棵ký磕ký颗ký科ký壳kã咳hüi 可kþ渴kþ克kâ刻kâ客kâ课kâ肯kþn 啃kþn 垦kþn 恳kþn 坑kýng 吭kýng 空kōng 恐kǒng 孔kǒng 控kîng 抠kōu 口kǒu 扣kîu 寇kîu 枯kū哭kū窟kū苦kǔ酷kù库kù裤kù夸kuü垮kuǎ挎kuà跨kuà胯kuà块kuài 筷kuài 侩kuài 快kuài 宽kuün 款kuǎn 匡kuüng 筐kuüng 狂kuáng 框kuàng 矿kuàng 眶kuàng 旷kuàng 况kuàng 亏kuÿ盔kuÿ岿kuÿ窥kuÿ葵kuí奎kuí魁kuí傀kuǐ馈kuì愧kuì溃kuì坤kūn 昆kūn 捆kǔn 困kùn 括kuî扩kuî廓kuî阔kuîL垃lü拉lü喇lü蜡là腊là辣là啦lü莱lái 来lái 赖lài 蓝lán 婪lán 栏lán 拦lán 篮lán 阑lán 兰澜lánlán 谰lán 揽lan 览lǎn 懒lǎn 缆lǎn 烂làn 滥làn 琅láng 榔láng 狼láng 廊láng 郎lán g 朗lǎng 浪làng 捞lüo 劳láo 牢láo 老lǎo 佬lǎo 姥lǎo 酪lào 烙lào 涝lào 勒lâ乐lâ雷lãi 镭lãi 蕾lþi 磊lþi 累lâi 儡lþi 垒lþi 擂lâi 肋lâi 类lâi 泪lâi 棱lãng楞leng 冷lþng 厘lí梨lí犁lí黎lí篱lí狸lí离lí漓lí理lǐ李lǐ里li 鲤lǐ礼lǐ莉lì荔lì吏lì栗lì丽lì厉lì励lì砾lì历lì利lì僳sù例lì俐lì痢lì立lì粒lì沥lì隶lì力lì璃li 哩lǐ俩liǎng 联lián 莲lián 连lián 镰lián 廉lián 怜lián 涟lián 帘lián 敛liǎn 脸liǎn 链liàn 恋liàn 炼liàn 练liàn 粮liáng 凉liáng 梁liáng 粱liáng 良liáng两liǎng 辆liàng 量liàng 晾liàng 亮liàng 谅liàng 撩liáo 聊liáo 僚liáo 疗liáo 燎liáo 寥liáo 辽liáo 潦liáo 了le 撂liào 镣liào 廖liào 料liào 列liâ裂liâ烈l iâ劣liâ猎liâ琳lín 林lín 磷lín 霖lín 临lín 邻lín 鳞lín 淋lín 凛lǐn 赁lìn 吝lìn 拎lÿn 玲líng 菱líng 零líng 龄líng 铃líng 伶líng 羚líng 凌líng 灵líng 陵líng 岭lǐng 领lǐng 另lìng 令lìng 溜liū琉liú榴liú硫liú馏liú留liú刘liú瘤liú流liú柳liǔ六liù龙lïng 聋lïng 咙lïng 笼lïng 窿lïng 隆lïng 垄lǒng 拢lǒng 陇lǒng 楼l ïu 娄lïu 搂lǒu 篓lǒu 漏lîu 陋lîu 芦卢lúlú颅lú庐lú炉lú掳lǔ卤lǔ虏lǔ鲁lǔ麓lù碌lù露lù路lù赂lù鹿lù潞lù禄lù录lù陆lù戮lù驴lǘ吕lǚ铝lǚ侣lǚ旅lǚ履lǚ屡lǚ缕lû虑lǜ氯lǜ律lǜ率lǜ滤lǜ绿lǜ峦luán 挛luán 孪luán 滦luán 卵luǎn 乱luàn 掠lûþ略lûâ抡lūn 轮lún 伦lún 仑lún 沦lún 纶lún 论lùn 萝luï螺luï罗luï逻luï锣luï箩luï骡luï裸luǒ落luî洛luî骆luî络luîM妈mü麻玛mümǎ码mǎ蚂mǎ马mǎ骂mà嘛ma 吗ma 埋mái 买mǎi 麦mài 卖mài迈mài 脉mài 瞒mán 馒mán 蛮mán 满蔓曼mǎnmànmàn 慢màn 漫màn 谩màn 芒máng 茫máng 盲máng 氓mán g 忙máng 莽mǎng 猫müo 茅máo 锚máo 毛máo 矛máo 铆mǎo 卯mǎo 茂mào 冒mào 帽mào 貌mào 贸mào 么yüo 玫mãi 枚mãi 梅mãi 酶mãi 霉mãi 煤mãi 没mãi 眉mãi 媒mãi 镁mþi 每mþi 美昧mþimâi 寐mâi 妹mâi 媚mâi 门mãn 闷mân 们men 萌mãng 蒙mþng 檬mãng 盟mãng 锰mþng 猛mþng 梦mâng 孟mâng 眯mÿ醚mí靡mí糜mí迷mí谜mí弥mí米mǐ秘mì觅mì泌mì蜜mì密mì幂mì棉mián 眠mián 绵mián 冕miǎn 免miǎn 勉miǎn 娩miǎn 缅miǎn 面miàn 苗miáo 描miáo 瞄miáo 藐miǎo 秒miǎo 渺miǎo 庙miào 妙miào 蔑miâ灭miâ民mín 抿mǐn 皿mǐn 敏mǐn 悯mǐn 闽mǐn 明míng 螟míng 鸣míng 铭míng 名míng 命mìng 谬miù摸mō摹mï蘑mï模mï膜mï磨mï摩mï魔mï抹mǒ末mî莫mî墨mî默mî沫mî漠mî寞mî陌mî谋mïu 牟mïu 某mǒu 拇mǔ牡mǔ亩mǔ姆mǔ母mǔ墓mù暮mù幕mù募mù慕mù木mù目mù睦mù牧m ù穆mùN拿ná哪nǎ呐nà钠nà那nà娜nà纳nà氖nǎi 乃nǎi 奶nǎi 耐nài 奈nài 南nán 男nán 难nán 囊náng 挠n áo 脑nǎo 恼nǎo 闹nào 淖nào 呢ne 馁nþi 内nâi 嫩nân 能n ãng 妮nÿ霓ní倪ní泥ní尼ní拟nǐ你nǐ匿nì腻nì逆nì溺nì蔫niün 拈niün 年nián 碾niǎn 撵niǎn 捻niǎn 念niàn 娘niáng 酿niàng 鸟niǎo 尿niào 捏niý聂niâ孽niâ啮niâ镊niâ镍niâ涅niâ您nín 柠níng 狞níng 凝níng 宁níng 拧nǐng 泞nìng 牛niú扭niǔ钮niǔ纽niǔ脓nïng 浓nïng 农nïng弄nîng 奴nú努nǔ怒nù女nǚ暖nuǎn 虐nûâ疟nûâ挪nuï懦nuî糯nuî诺nuîo 哦î欧ōu 鸥ōu 殴ōu 藕ǒu 呕ǒu 偶ǒu 沤ōuP啪pü趴pü爬pá帕pà怕pà琶pá拍püi 排pái 牌pái 徘pái 湃pài 派pài 攀pün 潘盘磐pünpánpán 盼pàn 畔pàn 判pàn 叛pàn 乓püng 庞páng 旁páng 耪pǎn g 胖pàng 抛püo 咆páo 刨páo 炮pào 袍páo 跑pǎo 泡pào 呸pýi 胚pýi 培pãi 裴pãi 赔pãi 陪pãi 配pâi 佩pâi 沛pâi 喷pýn 盆pãn 砰pýng 抨pýng 烹pýng 澎pãng 彭蓬pãngpãng 棚pãng 硼pãng 篷pãng 膨pãng 朋pãng 鹏pãng 捧pþng 碰pâng 坯pÿ砒pÿ霹pÿ批pÿ披pÿ劈pÿ琵pí毗pí啤pí脾pí疲pí皮pí匹pǐ痞pǐ僻pì屁pì譬pì篇piün 偏piün 片piàn 骗piàn 飘piüo 漂piüo 瓢piáo 票piào 撇piþ瞥piý拼pÿn 频pín 贫pín 品pǐn 聘pìn 乒pÿng 坪píng 苹píng 萍píng 平píng 凭píng 瓶píng 评píng 屏píng 坡pō泼pō颇pō婆pï破pî魄pî迫pî粕pî剖pōu 扑pū铺pū仆pú莆pú葡pú菩pú蒲pú埔pǔ朴pǔ圃pǔ普pǔ浦pǔ谱pǔ曝pù瀑bàoQ 期qÿ欺qÿ栖qÿ戚妻qÿqÿ七qÿ凄qÿ漆qÿ柒qÿ沏qÿ其qí棋qí奇qí歧qí畦qí崎qí脐qí齐qí旗qí祈qí祁qí骑qí起qǐ岂qǐ乞qǐ企qǐ启qǐ契qì砌qì器qì气qì迄qì弃qì汽qì泣qì讫qì掐qiü洽qià牵qiün 扦qiün 钎qiün铅qiün 千qiün 迁qiün 签qiün 仟qiün 谦qiün 乾qián 黔qián 钱qián 钳qián 前qián 潜qián 遣qiǎn 浅qiǎn 谴qiǎn 堑qiàn 嵌qiàn 欠qiàn 歉qiàn 枪qiüng 呛qiàng 腔qiüng 羌qiüng 墙qiáng 蔷qiáng 强qiáng 抢qiǎng 橇qiüo 锹qi üo 敲qiüo 悄qiüo 桥qiáo 瞧qiáo 乔qiáo 侨qiáo 巧qiǎo 鞘qiào 撬qiào 翘qiào 峭qiào 俏qiào 窍qiào 切qiý茄qiã且qiþ怯qiâ窃qiâ钦qÿn 侵qÿn 亲qÿn 秦qín 琴qín 勤qín 芹qín 擒qín 禽qín 寝qǐn 沁qìn 青qÿng 轻qÿng 氢qÿng 倾qÿng 卿qÿng 清qÿng 擎qíng 晴qíng 氰qíng 情qíng 顷qǐng 请qǐng 庆qìng 琼qiïng 穷qiïng 秋qiū丘qiū邱qiū球qiú求qiú囚qiú酋qiú泅qiú趋qū区qū蛆qū曲qǔ躯qū屈qū驱qū渠qú取qǔ娶qǔ龋qǔ趣qù去qù圈quün 颧quán 权quán 醛quán 泉quán 全quán 痊quán 拳quán 犬quǎn 券quàn 劝quàn 缺quý炔quý瘸quã却quâ鹊quâ榷quâ确quâ雀quâ裙qún 群qúnR然rán 燃rán 冉染rǎnrǎn 瓤ráng 壤rǎng 攘rǎng 嚷rǎng 让ràng 饶ráo 扰rǎo 绕rào 惹rþ热râ壬rãn 仁人rãnrãn 忍rþn 韧rân 任rân 认rân 刃rân 妊r ân 纫rân 扔rýng 仍rãng 日rì戎rïng 茸rïng 蓉rïng 荣rïng 融rïng 熔rïng 溶rïng 容rïng 绒rïng 冗rǒng 揉rïu 柔rïu 肉rîu 茹rú蠕rú儒rú孺rú如rú辱rǔ乳rǔ汝rǔ入rù褥rù软ruǎn 阮ruǎn 蕊ruǐ瑞ruì锐ruì闰rùn 润rùn 若ruî弱ruîS撒sǎ洒sǎ萨sà腮süi 鳃süi 塞süi 赛sài 三叁sünsün 伞sǎn 散sàn 桑süng 嗓sǎng 丧sàng 搔süo 骚süo 扫sǎo 嫂sǎo 瑟sâ色sâ涩sâ森sýn 僧sýng 莎shü砂shü杀shü刹shü沙shü纱shü傻shǎ啥shá煞shà筛shüi 晒shài 珊shün 苫shün 杉shün 山shün 删shün 煽shün 衫sh ün 闪shǎn 陕shǎn 擅shàn 赡shàn 膳shàn 善shàn 汕shàn 扇shàn 缮shàn 墒shüng 伤shüng 商赏晌shüngshǎngshǎng 上s hàng 尚裳shàngshang 梢shüo 捎shüo 稍shüo 烧shüo 芍sháo 勺sháo 韶sháo 少shǎo 哨shào 邵绍shàoshào 奢shý赊shý蛇shã舌shã舍shâ赦shâ摄shâ射shâ慑shâ涉shâ社sh â设shâ砷shýn 申shýn 呻shýn 伸shýn 身shýn 深shýn 娠shýn 绅shýn 神shãn 沈shþn 审shþn 婶shþn 甚shân 肾shân 慎shân 渗shân 声shýng 生shýng 甥shýng 牲shýng 升shýn g 绳shãng 省shþng 盛shâng 剩shâng 胜shâng 圣shâng 师shÿ失shÿ狮shÿ施shÿ湿shÿ诗shÿ尸shÿ虱shÿ十shí石shí拾shí时shí什shãn 食shí蚀shí实shí识shí史shǐ矢shǐ使shǐ屎shǐ驶shǐ始shǐ式shì示shì士shì世shì柿shì事shì拭shì誓shì逝shì势shì是shì嗜shì噬shì适shì仕shì侍shì释shì饰shì氏shì市shì恃shì室shì视shì试shì收shōu 手shǒu 首shǒu 守shǒu 寿shîu 授shîu 售shîu 受shîu 瘦shîu 兽shîu 蔬shū枢shū梳shū殊shū抒shū输shū叔shū舒shū淑shū疏shū书shū赎shú孰shú熟shú薯shǔ暑shǔ曙shǔ署shǔ蜀shǔ黍shǔ鼠shǔ属shǔ术shù述shù树shù束shù戍shù竖shù墅shù庶shù数shù漱shù恕shù刷shuü耍shuǎ摔shuüi 衰shuüi 甩shuǎi 帅shuài 栓shuün 拴shuün 霜shuüng 双shuüng 爽shuǎng 谁shuí水shuǐ睡shuì税shuì吮shǔn 瞬shùn 顺shùn 舜shùn 说shuō硕shuî朔shuî。
3500 个常用汉字Aái 挨āi哎āi唉āi哀ái 皑ái癌ā 啊ā阿āi埃ǎi蔼ǎi 矮ài 艾ài碍ài爱ài隘ān鞍ān氨ān安ǎn俺àn 按àn暗ànàn 岸胺àn案āng肮áng昂àng盎āo凹áo敖áo熬áo 翱ǎo袄ào傲àoào ào 奥懊澳Bbā芭bā捌bā扒bā叭ba吧bā笆bā八bā疤bā巴bá拔bá跋bǎ靶bǎ把pá耙bà坝bà霸bà罢bà爸bái白bǎi 柏bǎi百bǎi bǎi 摆佰bài败bài 拜bài稗bān斑bān班bān搬bān 扳bān般bān颁bǎn板bǎn ban 版扮bàn拌bàn伴bàn瓣bàn半bàn 办bàn绊bāng邦bāng帮bāng梆bǎng榜páng膀bǎng绑bàng棒bàng磅bàng 蚌bàng镑bàng bàng bāo 傍谤苞bāo胞bāo包bāo褒bāo剥báo薄báo 雹bǎo保bǎo堡bǎo饱bǎo宝bào抱bào报bào暴bào豹bào鲍bào 爆bēi杯bēi碑bēi悲bēi卑běi北bèi辈bèi背bèi贝bèi钡bèi 倍bèi狈bèi备bèi惫bèi焙bè被i bēn奔běn苯běn本bèn笨bēng 崩bēng绷béng甭bèng泵bèng蹦bèng迸bī逼bí鼻bǐ比bǐ鄙bǐ笔bǐ彼bì碧bì蓖bì蔽bì毕bì毙bì毖bì币bì庇bì痹bì闭bì敝bì弊bì必pì辟bì壁bì臂bì避bì陛bi ān 鞭bi ān边bi ān编bi ǎn贬bi ǎn扁bi àn便bi àn变bi àn卞bi àn辨bi àn辩bi àn 辫bi àn遍bi āo标bi āo彪bi āo膘bi ǎo表bi ē 鳖bi ē憋bi é别bi ě瘪bīn 彬bīn斌bīn濒bīn滨bīn宾bì摈nbīng 兵bīng冰bǐng柄bǐng丙bǐng 秉bing饼bǐng炳bìng病bìng并bō玻bō菠bō播bō拨bō钵bō波bó博bó勃bó搏bó铂bó箔bó伯bó帛bó舶bó脖bó膊bó渤bó泊bó驳bǔ捕bǔbǔ哺bǔ补bùbù埠不bù布bù步bù簿bùbù部怖Ccā擦cāi猜cái裁cái材cái才cái财cǎi睬cǎi踩cǎi采cǎi 彩cài菜cài蔡cān餐cān参cá蚕n cán残cán惭cǎn惨càn灿cāng 苍cāng舱cāng仓cāng沧cáng藏cāo操cāo糙cáo槽cáo曹cǎo草c è厕c è策c è侧 c è 册 c è 测 c éng c èng ch āch ā叉 ch á茬层 蹭 插 ch á茶 ch á查 ch á碴 ch á搽ch ách à察岔ch à差 ch à 诧 ch āi拆 ch ái柴ch á 豺 i ch ān 搀 ch ān掺 ch án 蝉 ch án 馋 ch á 谗 n chan 缠 ch ǎ 铲 n ch ǎn 产 ch ǎn阐ch à 颤 n ch āng ch ā ng ch ǎ 昌猖场ng ch áng尝ch ángch áng 常长 ch áng 偿 ch áng 肠 ch ǎ 厂 ng ch ǎng 敞 ch àng ch àng 畅唱 ch àng ch ā 倡超o ch 抄 āo ch āo 钞 ch áo 朝 ch á 嘲 o ch áo 潮 ch áo 巢 ch ǎo 吵 ch ǎo 炒 ch ē车 ch ě 扯 ch è 撤 ch è 掣 ch è彻 ch è澈 ch ēn 郴 ch én臣 ch én 辰 ch én 尘 ch é 晨 n ch én 忱 ch é沉 n ch én 陈 ch èn 趁ch è 衬 n ch ē ng 撑 ch ēng ch éng 称城 ch é 橙 ng ch é 成 ng ch é ng 呈 ch éng 乘 ch é 程 ng ch éngd èng 惩澄 cheng 诚 ch é 承 ng ch ěng ch ěng 逞骋ch èng 秤 ch ī 吃 ch ī 痴 ch í持shi匙 ch í池 ch í迟 ch í 弛 ch í驰 ch ǐ耻ch ǐ 齿 ch ǐ侈ch ǐ尺 ch ì赤ch ì翅 ch ì斥 ch ì ch ō 炽充 ng ch ō冲 ng ch ó ng 虫ch óng崇崇ch ǒ 宠 ng ch ō 抽 u chou ch óu ch óu 酬畴踌ch óu 稠 ch óu 愁 ch óu 筹 ch óu 仇 ch ó 绸 u ch ǒu 瞅 ch ǒu 丑 ch òu 臭 ch ū 初 ch ū 出 ch ú 橱 ch ú 厨 ch ú 躇 ch ú 锄ch ú雏 ch ú滁 ch ú除 ch ǔ 楚 ch ǔ础 ch ǔ储 ch ù矗 ch ù搐 ch ù触 ch ù处chuāi chuān chuān chuán chuán chuán chuǎn chuàn串揣川穿椽传船喘chuā 疮ngchuāng zhuàng窗幢chuá床ng chuǎ ng chuàng 闯创chuī吹chuī炊chuí捶chuí锤chuí垂chūn春chūn椿chún醇chún唇chún淳chún纯chǔn 蠢蠢chuō 戳chāo绰cī疵cí茨cí磁cí雌cí辞cí慈cí瓷cí词cǐ此cì刺cì赐cì次cōng聪cōng葱cōng囱cōng匆cóng cóng从丛còu 凑cū粗cù醋cù簇cù促cuān蹿cuàn篡cuàn窜cuī摧cuī崔cuī 催cuì脆cuì瘁cuì粹cuì淬cuì翠cū村n c ú存n c ù寸n cuō磋cuō 撮cuō搓cuò措cuò挫cuò错Ddā dá搭达dá答dá瘩dǎ打dà大dāi呆dǎi歹dǎi 傣dài 戴dài带dài殆dài代dài贷dài袋dài待dǎi逮dài怠dān 耽dān 担dān丹dān dān 单郸dǎn掸dǎn胆dàn旦dàn氮dàn但dàn 惮dàn 淡dàn诞dàn弹dàn蛋dāngdǎng当挡dǎng党dàng荡dàng dāo 档刀dǎo 捣dǎo蹈dǎo倒dǎo 岛dǎo祷dǎo导dào到dào稻dào悼dào道dào 盗dé德dé得de的dēng蹬dēng灯dēng登děng等dèng dèng瞪凳d èng d īd ī 低 d ī 滴 d í 迪d í 敌 d í 笛 d í 狄 d í 涤 zh ái翟邓 堤 d í 嫡 d ǐ 抵 d ǐ 底d ì 地 d ì蒂 d ì 第 d ì 帝 d ì弟 d ì 递 d ì 缔 di ān 颠 di ā 掂 n di ān 滇 di ǎn 碘 di ǎn 点di ǎn 典y ǐn靛 di àn 垫 di àn 电 di àn 佃di àn di àn 甸店 di àn惦 di àn 奠 di à 淀 n di àn 殿 di āo 碉 di āo 叼 di āo 雕 di āo 凋di āo 刁 di à 掉 o di ào 吊 di ào 钓 di ào 调 di ē跌 di ē爹 di é碟 di é蝶 di é迭di é 谍 di é 叠 d īng丁 d īng 盯 d īng叮 d ìng钉 d ǐng顶 d ǐng 鼎 d ìng锭 d ìng定 d ìng 订 di ū丢 d ōng 东 d ōng 冬 d ǒng 董d ǒng 懂 d òng 动 d òng 栋 d òng 侗 t ō ng恫d òng 冻 d òng d ōu洞兜d ǒu抖d òud ǒu 陡 d òu豆 d òu 逗 d òu 痘 d ū 督d ōu 都 d ú 毒 d ú犊 d ú 独 d ú 读d ǔ堵 d ǔ d ǔ 睹赌 d ù 杜 d ù镀d ù肚 d ù 度d ù 渡 d ù妒 du ān 端 du ǎn 短 du àn 锻 du àn 段 du àn 断 du àn 缎du ī 堆 du ì兑 du ì 队 du ì 对 d ūn墩 d ūn 吨 d ūn 蹲 d ūn 敦 d ùn 顿 d ùn 囤 d ùn 钝 d ùn盾 d ùn遁 du ō掇 du ō哆 du ō多 du ó夺 du ǒ垛 du ǒ躲 du ǒ朵du ò 跺 du òdu ò du ò du ò 舵 剁 惰 堕Eé é ééé é é è蛾峨鹅俄额讹娥恶è è è è ēn ér ér ěr厄扼遏鄂饿恩而儿耳ěr 尔ěr 饵ěr è 洱二r èr贰Ffā 发fá罚fá筏fá伐fá乏fá阀fǎ 法fà珐f ān 藩f ān帆f ān番f ān翻 f án 樊f án矾f án钒f án繁f án凡f án 烦f ǎn反f ǎn返f àn范f àn贩f àn犯f àn饭fan泛f ā ng坊f ā ng 芳f ā ng方f áng肪f áng房f áng防f án g妨f ǎ ng仿f ǎ ng访f ǎ ng纺f àng 放f ēi菲 f ēi非fēi 啡fēi 飞 f éi肥f ěi匪f ěi诽f èi吠f èi 肺f èi废 f èi 沸fèi 费fēn 芬f ēn酚f ēn吩f ēn氛f ēn分f ēn 纷f én坟f én焚f én汾f ěn粉f èn奋f èn份f èn忿f èn愤f èn 粪f ē ng丰f ē ng封f ē ng枫f ē ng蜂f ē ng峰f ē ng锋f ē ng风f ē ng疯f ē ng 烽f éng逢f éng冯feng缝f ě ng讽f èng奉f èng凤fó佛f ǒu否fu 夫fū 敷fū 肤fū 孵fú扶fú拂fú辐fú幅fú氟fú符fú伏fú俘fú服fú浮fú涪fú福fu 袱fú弗fǔ 甫fǔ 抚fǔ 辅fǔ 俯fǔ 釜fǔ 斧pú脯fǔ 腑fǔ 府f ǔ fùf ùfùf ùf ùf ùf ùf ù腐赴副覆赋复傅付阜 f ùfùf ùf ùf ùfùf ùf ùf ù父腹负富讣附妇缚咐Ggūg ū辜菇gū咕gū箍gū估gū沽gū孤gū姑gǔ鼓gǔgǔgǔyùgǔgùgùgùgù古蛊骨谷股故顾固雇gá噶gā嘎gāi该gǎi改gài概gài钙gài盖gàn 干gān甘gǎn杆gān柑gān竿gān肝gǎn赶gǎn感gǎn 敢gàn赣gāng冈gāng刚gāng钢gāng缸gāng肛gāng纲gǎng 港gàng杠gāo篙gāo 皋gāo高gāo膏gāo 羔gāo糕hào 镐gǎo稿gào 告gē哥gē歌gē搁gē戈gē鸽gē疙gē割gé革gěgé葛格há蛤gé阁gé隔gègègěi gēn gēn gēng gèng gēng 个各给根跟耕更庚gěng gěng gěng gōng gōng gōng gōng gōng 埂耿梗工攻功恭龚gōng gōng gōnggōnggǒng gǒng gǒng gòng 躬公宫弓巩汞拱贡gài 溉gǎn 秆gǎng 岗gǎo 搞gē 胳gè铬gōgōgōgǒgǒgēng gòng 供gòngguā 刮guā瓜guǎ剐guǎ寡guà挂guà褂guāi乖guǎi拐guài怪guān 棺guān关guān官guàn冠guān观guǎn管guǎn馆guàn罐guàn惯guàn 灌guàn贯guāng光guǎng guàng广逛guī瑰guī规guī圭guī硅guī 归guī龟guī闺guǐ轨guǐ鬼guǐ诡guǐ癸guì桂guì柜guì跪guì贵guì刽gǔn辊gǔn滚gùn棍guō锅guō郭guó国guǒ 果guǒ裹guò过Hhā哈hái骸hái孩hǎi海hài氦hài亥hài害hài骇hān酣hān 憨hán邯hán韩hán含hán涵hán寒hán函hǎn喊hǎn 罕hàn翰hàn撼hàn捍hàn 旱hàn憾hàn悍hàn焊hàn汗hàn 汉hāng夯háng杭háng航háo壕háo嚎háo豪háo毫hǎo郝hǎo 好hào耗hào号hào浩hē 呵hē 喝hé荷hé菏hé核hé禾hé和hé何hé合hé盒mò貉hé阂hé河hé涸hè赫hè褐hè鹤hè贺hēi 嘿hēi 黑hén痕hěn很hěn狠hèn 恨hēng哼hēng 亨héng横héng衡héng恒hōng轰hǒng哄hōng烘hóng 虹hóng鸿hóng洪hóng宏hóng弘hóng红hóu喉hóu侯hóu猴hǒu 吼hòu厚hòu候hòu后hū呼hū乎hū忽hú瑚hú壶hú葫hú胡hú蝴hú狐hú糊hú湖hú弧hǔ虎hǔ唬hù护hù互hù沪hù户huā花huá哗huá华huá猾huá滑huà画huá划huà化huà话huái槐huí徊huái怀huá淮i huài 坏huān 欢huán环huán桓hái 还huǎn缓huàn换huàn患huà唤n huàn痪huàn 豢huàn焕huàn涣huàn宦huàn幻huāng荒huāng慌huá黄ng huáng磺huáng huáng huáng 蝗簧皇huáng凰huáng惶huáng煌huǎng晃huǎ幌ng huǎng恍huǎng 谎huī灰huī挥huī 辉huī 徽huī 恢huí蛔huí回huǐ毁huǐ 悔huì慧huì卉huì惠huì晦huì贿huì秽huì会huì烩huì汇huì讳huì诲huì绘hūn荤hūn昏hūn婚hún魂hún浑hún 混huō豁huó活huǒ伙huǒ火huò获huò或huò惑huò霍huò货huò祸Jjī圾jī击jī基jī机jī畸jī稽jī积jī箕精品试卷jī肌jī饥jì迹jī激jī讥jī鸡jī姬jì绩jī缉jí吉jí极jí棘jí辑jí籍jí集jí及jí急jí疾jí汲jí即jí嫉jí级jǐ挤jī几jǐ脊jǐ己jì蓟jì技jì冀jì季jì伎jì祭jì剂jì悸jì济jì寄jì寂jì计jì记jì既jì忌jì际jì妓jì继jì纪ji ā 嘉ji ā枷ji á夹ji ā佳jie家ji ā加ji á荚ji á颊ji ǎ 贾ji ǎ 甲ji ǎ钾ji ǎ假ji à稼ji à价ji à架ji à驾ji à嫁ji ān歼ji ān 监ji ān坚ji ān尖ji ān笺ji ān间ji ān煎ji ān兼ji ān肩ji ān艰ji ān 奸ji ān缄ji ǎn茧ji ǎn检ji ǎn柬ji ǎn碱ji ǎn碱ji ǎn拣ji ǎn捡ji ǎn 简ji ǎn俭ji ǎn剪ji ǎn减ji àn荐kǎn槛ji àn鉴ji àn践ji àn贱ji àn 见ji àn键ji àn箭ji àn件ji àn健ji àn舰ji àn剑ji àn饯ji àn渐ji àn ji àn ji àn ji āng ji āng ji āng ji ā ng ji āng ji ā ng溅涧建僵姜将浆江疆ji ǎng ji ǎng ji ǎng ji ǎng ji àng ji àng ji àng ji āo ji āo 蒋桨奖讲匠酱降蕉椒ji āo ji āo ji āo ji āo ji āo ji āo ji āo ji āo ji áo 礁焦胶交郊浇骄娇嚼精品试卷ji ǎo 搅ji ǎo铰ji ǎo矫yáo侥ji ǎo脚ji ǎo狡ji ǎo角ji ǎo饺ji ǎo缴ji ǎo ji ǎo ji ào ji ào ji ào ji ào ji ào ji ào ji ē绞剿教酵轿较叫窖揭ji ēji ējie ji ēji ēji éji éji éjú接皆秸街阶截劫节桔ji éji éji éji éji éji éji ěji ěji è杰捷睫竭洁结解姐戒jíji èji èji èji èji èji èji èj īn藉藉芥界借介疥诫届巾j īn j īn j īn j īn j īn j īn j ǐn j ǐn j ǐn 筋斤金今津襟紧锦仅j ǐn j ìn j ìn j ìn j ìn j ìn j ìn j ìn j ìn谨进靳晋禁近烬浸尽j ìn j ī ngjīng j ī ng j ī ng j ī ng j ī ng j ī ng j ī ng 劲荆兢茎睛晶鲸京惊j ī ng j ī ng j ī ng j ǐ ng j ǐ ng j ǐ ng j ǐ ng j ìng j ìng 精粳经井警景颈静境j ìng j ìng j ìng j ìng j ìng j ìng j ìng j ìng ji ǒng 敬镜径痉靖竟竞净炯ji ǒng ji ūji ūji ūji ǔji ǔji ǔji ǔji ǔ窘揪究纠玖韭久灸九ji ǔji ùji ùji ùji ùji ùji ùji ùji ù酒厩救旧臼舅咎就疚jūjūjūjūjūjūjújújǔ鞠拘狙疽居驹菊局咀jǔjǔjǔjùjùjùjùjùjù矩举沮聚拒据巨具距精品 试卷j ù 踞 j ù 锯j ù 俱 j ù j ù 句惧j ù炬 j ù 剧 ju ān ju ān 捐 鹃ju ān ju ànju à n ju ǎn ju ànju ēju éju é ju é 娟 倦眷 卷绢撅攫抉 掘ju è ju éji à o ju é ju éju éj ūnj ūnj ūn倔 爵觉 决诀绝 均 菌 钧j ūnj ūnj ùn j ùn j ùn j ùn j ù n j ùn军 君 峻 俊竣浚 郡 骏k ā 喀k ā 咖 k ǎ 卡 g ē 咯k āi开k āi 揩 k ǎi 楷 k ǎi凯k ǎi 慨 k ān 刊 k ān 堪 k ān 勘 k ǎn 坎 k ǎn 砍k àn看k āng 康 k āng 慷k āng糠 k áng扛k àng抗 k àng亢 k àng炕 k ǎo考 k ǎo拷 k ǎo烤 k ào 靠k ě 坷 k ē 苛 k ē 柯 k ē 棵 k ē 磕 k ē 颗 k ē 科 k é 壳h āi咳k ě可 k ě 渴 k è 克 k è 刻 k è 客 k è课 k ěn 肯 k ěn 啃 k ěn 垦k ěn 恳 k ēng 坑 k ēng吭 k ōng空 k ǒng恐 k ǒng孔 k òng控 k ōu抠 k ǒu口 k òu 扣 k òu寇k ū 枯 k ū 哭 k ū 窟 k ǔ 苦 k ù 酷 k ù 库 k ù 裤ku ā夸 ku ǎ垮ku à挎 ku à跨ku à胯 ku ài块 ku ài筷 ku ài侩 ku ài 快ku ān 宽 ku ǎn款 ku āng 匡 ku āng 筐 ku áng 狂 ku àng ku àng ku àng框矿眶ku àng旷精品试卷kuàng kuī 况亏kuī盔kuī岿kuī窥kuí葵kuí奎kuí魁kuǐ傀kuì馈kuì愧kuì溃kūn坤kūn昆kǔn捆kùn 困kuò括kuò扩kuò廓kuò阔Llā 垃lā 拉lā 喇là蜡là腊là辣lā 啦lái莱l ái 来l ài赖l án蓝lá婪n l án 栏l án拦l án 篮l án阑l ánlán澜l án谰lan揽l ǎn览l ǎn懒l ǎn缆l àn烂l àn滥l áng 琅l áng榔l áng狼l áng廊l áng郎l ǎ ng l àng朗浪l āo捞l áo劳l áo 牢l ǎo老l ǎo佬l ǎo姥l ào酪l ào烙l ào涝lè勒lè乐l éi 雷l éi镭l ěi蕾l ěi 磊lèi累l ěi儡l ěi 垒l èi擂l èi肋l èi 类l èi泪l éng棱leng楞l ě ng冷lí厘lí梨lí犁lí黎lí篱lí狸lí离lí漓lǐ 理lǐ 李li 里lǐ 鲤lǐ 礼lì莉lì荔lì吏lì栗lì丽lì厉lì励lì砾lì历lì利s ù僳lì例lì俐lì痢lì立lì粒lì沥lì隶lì力li 璃lǐ 哩li ǎng俩li án联li á莲n li án连li án镰li á廉li án 怜 li án 涟 li án 帘 li ǎn 敛 li ǎn 脸 li àn 链 li àn 恋 li àn 炼 li àn练li áng li áng li áng 粮凉梁 li áng 粱 li áng 良 li ǎng 两 li àng 辆 li àng 量 li àng 晾li àng li àng亮谅li áo 撩 li áo 聊 li áo 僚 li áo 疗 li áo燎 li áo寥 li áo辽li áo潦le了 li ào撂 li ào镣 li ào廖 li ào料li è 列 li è 裂 li è烈 li è劣li è猎 l ín 琳 l ín 林 l ín 磷 l ín 霖 l ín 临 l ín 邻 l ín 鳞l ín淋 l ǐn凛l ìn赁 l ìn 吝 l īn 拎 l í ng 玲l í ng 菱l í ng 零 l í ng 龄l í ng 铃 l í ng 伶 l í ng羚 l í ng凌 l í ng灵 l í ng陵 l ǐ ng岭 l ǐ ng领 l ì ng另 l ì ng 令 li ū溜li ú 琉 li ú 榴 li ú 硫 li ú 馏 li ú 留 li ú 刘 li ú 瘤 li ú流 li ǔ柳li ù六l ó ng 龙 l ó ng 聋 l ó ng 咙 l ó ng 笼 l ó ng 窿 l ó ng隆l ǒ ng 垄 l ǒ ng 拢 l ǒ ng 陇 l óu 楼 l óu娄 l ǒu搂 l ǒu篓 l òu漏 l òu陋l ú l ú 芦卢 l ú 颅 l ú 庐 l ú 炉 l ǔ 掳 l ǔ 卤 l ǔ 虏l ǔ 鲁l ù 麓 l ù 碌 l ù 露 l ù 路 l ù 赂 l ù鹿 l ù 潞 l ù 禄 l ù 录 l ù 陆 l ù 戮 l ǘ 驴l ǚ 吕l ǚ铝 l ǚ 侣 l ǚ 旅 l ǚ 履 l ǚ 屡l ü缕 l ǜ 虑 l ǜ 氯 l ǜ 律 l ǜ 率 l ǜ 滤 l ǜ 绿 lu án峦 luán挛lu án 孪lu án滦lu ǎn卵lu àn乱l üě掠l üè略l ūn抡l ún轮l ún伦l ún 仑l ún沦l ún纶l ùn论lu ó萝lu ó螺lu ó罗lu ó逻lu ó锣lu ó箩lu ó骡lu ǒ lu òlu òlu òlu ò裸落洛骆络Mmā妈māmǎ麻玛mǎ码mǎ蚂mǎ 马mà骂ma嘛ma 吗mái埋mǎi买mài麦mài卖mài迈mài脉mán瞒mán馒mán 蛮mǎnmànmàn满蔓曼màn慢màn漫màn谩máng芒máng茫máng 盲máng氓máng忙mǎng莽māo猫máo茅máo锚máo毛máo矛mǎo 铆mǎo卯mào茂mào冒mào帽mào貌mào贸yāo么méi玫méi 枚méi梅méi酶méi霉méi煤méi没méi眉méi媒měi镁měi 每měim美èi昧mèi寐mèi妹mèi媚mén门mèn闷men们méng 萌měng蒙méng檬méng盟měng锰měng猛mèng梦mèng孟mī眯mí醚mí靡mí糜mí迷mí谜mí弥mǐ 米mì秘mì觅mì泌mì蜜mì密mì幂mián棉mián眠mián绵miǎn冕miǎn免miǎn 勉miǎn娩miǎn缅miàn面miáo苗miáo描miáo瞄miǎo藐miǎo秒精品试卷miǎo 渺miào庙miào妙miè蔑miè灭mín民mǐn抿mǐn皿mǐn敏mǐn 悯mǐn闽míng明míng螟míng鸣míng铭míng名mìng命miù谬mō 摸mó摹mó蘑mó模mó膜mó磨mó摩mó魔mǒ抹mò末mò莫mò墨mò默mò沫mò漠mò寞mò陌móu谋móu 牟mǒu某mǔ拇mǔ牡mǔ 亩mǔ 姆mǔ母mù墓mù暮mù幕mù募mù慕mùmù木目mù睦mù牧mù穆Nná拿nǎ哪nà呐nà钠nà那nà娜nà纳nǎi氖nǎi 乃nǎi奶nài耐nài奈nán南nán男nán难náng囊náo挠nǎo 脑nǎo恼nào闹nào淖ne呢něi 馁nèi 内nèn嫩né能ngnī 妮ní霓ní倪ní泥ní尼nǐ 拟nǐ 你nì匿nì腻nì逆nì溺ni ān蔫ni ān拈ni án年ni ǎn碾ni ǎn撵ni ǎn捻ni àn念ni áng 娘ni àng ni ǎo酿鸟ni ào尿ni ē 捏ni è聂ni è孽ni è啮ni è镊ni è镍ni è涅nín 您níng柠níng狞níng凝níng 宁nǐng拧nìng泞ni ú牛ni ǔ扭ni ǔ钮ni ǔ纽nóng脓nóng浓nóng农nòng弄nú奴精品试卷nǔ努nù怒nǚ女nuǎn暖nüè虐nüè疟nuó挪nuò懦nuò糯nuò诺oò哦ōu欧ōu鸥ōu殴ǒu藕ǒu ǒu ōu 呕偶沤Ppā啪pā趴pá爬pà帕pà怕pá琶pāi拍pái排pái 牌pái徘pài湃pài派pān 攀pānpánpán潘盘磐pàn盼pàn 畔pàn判pàn叛pāng 乓páng庞páng旁pǎng耪pàng胖pāo抛páo 咆páo刨pào炮páo袍pǎo跑pào泡pēi呸pēi胚péi培péi 裴péi赔péi陪pèi配pèi佩pèi沛pēn喷pén盆pēng砰pēng 抨pēng烹péng澎péngpéng彭蓬péng棚péng硼péng篷péng膨péng 朋péng鹏pěng捧pèng碰pī坯pī砒pī霹pī批pī披pī劈pí琵pí毗pí啤pí脾pí疲pí皮pǐ匹pǐ痞pì僻pì屁pì譬pi ān篇pi ān偏pi àn片pi àn骗pi āo飘pi āo漂pi áo瓢pi ào 票票pi ě撇pi ē 瞥pīn拼pín频pín 贫pǐn品pìn聘pīng 乒píng píng píng píng píng píng píng píng坪苹萍平凭凭瓶评屏pō坡pō泼pō颇pó婆pò破pò魄pò迫pò粕pōu剖pū扑pū铺pú仆pú莆pú葡pú菩pú蒲pǔ埔pǔ朴pǔ圃pǔ普pǔ浦pǔ谱pùbà曝瀑o Qqī期qī欺qī栖qīqī戚妻qī七qī凄qī漆qī柒qī沏qí其qí棋qí奇qí歧qí畦qí崎qí脐qí齐qí旗qí祈qí祁qí骑q起ǐqǐ 岂qǐ乞qǐ企qǐ启qì契qì砌qì器qì气qì迄qì弃qì汽qì泣qì讫qi ā掐qi à洽qi ā牵n qi ān扦qi ān钎qi ān铅qi ān千qi ān迁qi ān 签qi ān仟qi ā谦n qi á乾n qi án黔qi án钱qi án钳qi án前qi án潜qi ǎn 遣qi ǎn浅qi ǎ谴n qi à堑n qi àn嵌qi àn欠qi àn歉qi āng qi àng枪呛qi āng qi āng qi áng qi áng qi áng qi ǎng qi āo qi āo锹qi āo 敲腔羌墙蔷强抢橇qi āo 悄qi áo桥qi áo瞧qi áo乔qi áo侨qi ǎo巧qi ào鞘qi ào撬qi ào翘qi ào 峭qi ào俏qi ào窍qi ē切qi é茄qi ě且qi è怯qi è窃qīn钦qīn 侵qīn亲qín秦qín琴qín勤qín芹qín擒qín禽qǐn寝qìn沁qīng 青qīng轻qīng氢qīng倾qīng卿qīng清qíng擎qíng晴qíng 氰qíng情qǐng顷qǐng请qìng庆qi óng qi óng qi ū 琼穷秋qi ū丘qi ū 邱qi ú球qi ú求qi ú囚qi ú酋qi ú泅qū趋qū 区qū蛆qǔ 曲qū躯qū屈qū驱qú渠qǔ 取qǔ 娶qǔ 龋qù趣qù去quān圈quán颧quán权quán醛quán泉quán全quán痊quán拳quǎn 犬quàn券quàn劝quē缺quē炔qué瘸què却què鹊què榷què确què雀qún qún 裙群Rr án然r án燃r ǎ nr冉ǎn染r áng瓤r ǎ ng壤r ǎ ng攘r ǎ ng嚷r àng 让r áo饶r ǎo扰r ào绕rě惹rè热r én壬r énr仁én人r ěn 忍r èn韧r èn任r èn认r èn刃r èn妊r èn纫r ē ng扔r éng仍rì日r óng戎r óng茸r óng蓉r óng荣r óng融r óng熔r óng溶r óng容r óng 绒r ǒ ng冗r óu揉r óu柔r òu肉rú茹rú蠕rú儒rú孺rú如rǔ辱rǔ乳rǔ汝rù入rù褥ru ǎn软ru ǎn阮ruǐ蕊。
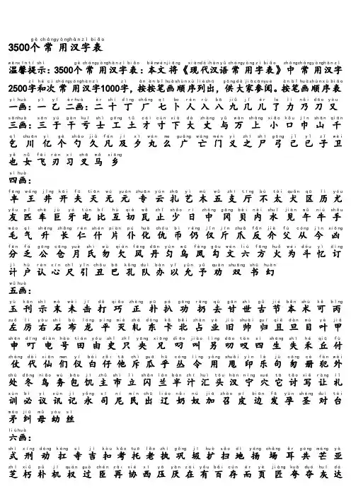
3500个ɡè常ch án ɡ用y òn ɡ汉h àn 字z ì表bi ǎo温w ēn 馨x īn 提t í示sh ì:3500个ɡè常ch án ɡ用y òn ɡ汉h àn 字z ì表bi ǎo :本b ěn 文w én 将ji ān ɡ《现xi àn 代d ài 汉h àn 语y ǔ常ch án ɡ用y òn ɡ字z ì表bi ǎo 》中zh ōn ɡ常ch án ɡ用y òn ɡ汉h àn 字z ì2500字z ì和h é次c ì常ch án ɡ用y òn ɡ汉h àn 字z ì1000字z ì,按àn 按àn 笔b ǐ画hu à顺sh ùn 序x ù列li è出ch ū,供ɡōn ɡ大d à家ji ā参c ān 阅yu è。
按àn 笔b ǐ画hu à顺sh ùn 序x ù表bi ǎo 一y ì画hu à:一y ì 乙y ǐ 二èr 画hu à:二èr 十sh í 丁d īn ɡ 厂ch ǎn ɡ 七q ī 卜bo 人r én 入r ù 八b ā 九ji ǔ 几j ǐ 儿ér 了le 力l ì 乃n ǎi 刀d āo 又y òu 三s ān 画hu à:三s ān 于y ú 干ɡàn 亏ku ī 士sh ì 工ɡōn ɡ 土t ǔ 才c ái 寸c ùn 下xi à 大d à 丈zh àn ɡ 与y ǔ 万w àn 上sh àn ɡ 小xi ǎo 口k ǒu 巾j īn 山sh ān 千qi ān 乞q ǐ 川chu ān 亿y ì 个ɡè 勺sh áo 久ji ǔ 凡f án 及j í 夕x ī 丸w án 么me 广ɡu ǎn ɡ 亡w án ɡ 门m én 义y ì 之zh ī 尸sh ī 弓ɡōn ɡ 己j ǐ 已y ǐ 子z ǐ 卫w èi 也y ě 女n ǚ 飞f ēi 刃r èn 习x í 叉ch ā 马m ǎ 乡xi ān ɡ四s ì画hu à:丰f ēn ɡ 王w án ɡ 井j ǐn ɡ 开k āi 夫f ū 天ti ān 无w ú 元yu án 专zhu ān 云y ún 扎zh ā 艺y ì 木m ù 五w ǔ 支zh ī 厅t īn ɡ 不b ù 太t ài 犬qu ǎn 区q ū 历l ì 尤y óu 友y ǒu 匹p ǐ 车ch ē 巨j ù 牙y á 屯t ún 比b ǐ 互h ù 切qi è 瓦w ǎ 止zh ǐ 少sh ǎo 日r ì 中zh ōn ɡ 冈ɡān ɡ 贝b èi 内n èi 水shu ǐ 见ji àn 午w ǔ 牛ni ú 手sh ǒu 毛m áo 气q ì 升sh ēn ɡ 长zh ǎn ɡ 仁r én 什sh én 片pi àn 仆p ú 化hu à 仇ch óu 币b ì 仍r én ɡ 仅j ǐn 斤j īn 爪zhu ǎ 反f ǎn 介ji è 父f ù 从c ón ɡ 今j īn 凶xi ōn ɡ 分f ēn 乏f á 公ɡōn ɡ 仓c ān ɡ 月yu è 氏sh ì 勿w ù 欠qi àn 风f ēn ɡ 丹d ān 匀y ún 乌w ū 凤f èn ɡ 勾ɡōu 文w én 六li ù 方f ān ɡ 火hu ǒ 为w éi 斗d òu 忆y ì 订d ìn ɡ 计j ì 户h ù 认r èn 心x īn 尺ch ǐ 引y ǐn 丑ch ǒu 巴b ā 孔k ǒn ɡ 队du ì 办b àn 以y ǐ 允y ǔn 予y ǔ 劝qu àn 双shu ān ɡ 书sh ū 幻hu àn五w ǔ画hu à:玉y ù 刊k ān 示sh ì 末m ò 未w èi 击j ī 打d ǎ 巧qi ǎo 正zh èn ɡ 扑p ū 扒p á 功ɡōn ɡ 扔r ēn ɡ 去q ù 甘ɡān 世sh ì 古ɡǔ 节ji é 本b ěn 术sh ù 可k ě 丙b ǐn ɡ 左zu ǒ 厉l ì 右y òu 石sh í 布b ù 龙l ón ɡ 平p ín ɡ 灭mi è 轧zh á 东d ōn ɡ 卡k ǎ 北b ěi 占zh àn 业y è 旧ji ù 帅shu ài 归ɡu ī 且qi ě 旦d àn 目m ù 叶y è 甲ji ǎ 申sh ēn 叮d īn ɡ 电di àn 号h ào 田ti án 由y óu 史sh ǐ 只zh ǐ 央y ān ɡ 兄xi ōn ɡ 叼di āo 叫ji ào 另l ìn ɡ 叨d āo 叹t àn 四s ì 生sh ēn ɡ 失sh ī 禾h é 丘qi ū 付f ù 仗zh àn ɡ 代d ài 仙xi ān 们men 仪y í 白b ái 仔z ǎi 他t ā 斥ch ì 瓜ɡu ā 乎h ū 丛c ón ɡ 令l ìn ɡ 用y òn ɡ 甩shu ǎi 印y ìn 乐l è 句j ù 匆c ōn ɡ 册c è 犯f àn 外w ài 处ch ù 冬d ōn ɡ 鸟ni ǎo 务w ù 包b āo 饥j ī 主zh ǔ 市sh ì 立l ì 闪sh ǎn 兰l án 半b àn 汁zh ī 汇hu ì 头t óu 汉h àn 宁n ín ɡ 穴xu é 它t ā 讨t ǎo 写xi ě 让r àn ɡ 礼l ǐ 训x ùn 必b ì 议y ì 讯x ùn 记j ì 永y ǒn ɡ 司s ī 尼n í 民m ín 出ch ū 辽li áo 奶n ǎi 奴n ú 加ji ā 召zh ào 皮p í 边bi ān 发f ā 孕y ùn 圣sh èn ɡ 对du ì 台t ái 矛m áo 纠ji ū 母m ǔ 幼y òu 丝s ī六li ù画hu à:式sh ì 刑x ín ɡ 动d òn ɡ 扛k án ɡ 寺s ì 吉j í 扣k òu 考k ǎo 托tu ō 老l ǎo 执zh í 巩ɡǒn ɡ 圾j ī 扩ku ò 扫s ǎo 地d ì 扬y án ɡ 场ch ǎn ɡ 耳ěr 共ɡòn ɡ 芒m án ɡ 亚y à 芝zh ī 朽xi ǔ 朴p ǔ 机j ī 权qu án 过ɡu ò 臣ch én 再z ài 协xi é 西x ī 压y ā 厌y àn 在z ài 有y ǒu 百b ǎi 存c ún 而ér 页y è 匠ji àn ɡ 夸ku ā 夺du ó 灰hu ī 达d á列li è 死s ǐ 成ch én ɡ 夹ji á 轨ɡu ǐ 邪xi é 划hu à 迈m ài 毕b ì 至zh ì 此c ǐ 贞zh ēn 师sh ī 尘ch én 尖ji ān 劣li è 光ɡu ān ɡ 当d ān ɡ 早z ǎo 吐t ǔ 吓h è 虫ch ón ɡ 曲q ǔ 团tu án 同t ón ɡ 吊di ào 吃ch ī 因y īn 吸x ī 吗m ɑ 屿y ǔ 帆f ān 岁su ì 回hu í 岂q ǐ 刚ɡān ɡ 则z é 肉r òu 网w ǎn ɡ 年ni án 朱zh ū 先xi ān 丢di ū 舌sh é 竹zh ú 迁qi ān 乔qi áo 伟w ěi 传chu án 乒p īn ɡ 乓p ān ɡ 休xi ū 伍w ǔ 伏f ú 优y ōu 伐f á 延y án 件ji àn 任r èn 伤sh ān ɡ 价ji à 份f èn 华hu á 仰y ǎn ɡ 仿f ǎn ɡ 伙hu ǒ 伪w ěi 自z ì 血xu è 向xi àn ɡ 似s ì 后h òu 行x ín ɡ 舟zh ōu 全qu án 会hu ì 杀sh ā 合h é 兆zh ào 企q ǐ 众zh òn ɡ 爷y é 伞s ǎn 创chu àn ɡ 肌j ī 朵du ǒ 杂z á 危w ēi 旬x ún 旨zh ǐ 负f ù 各ɡè 名m ín ɡ 多du ō 争zh ēn ɡ 色s è 壮zhu àn ɡ 冲ch ōn ɡ 冰b īn ɡ 庄zhu ān ɡ 庆q ìn ɡ 亦y ì 刘li ú 齐q í 交ji āo 次c ì 衣y ī 产ch ǎn 决ju é 充ch ōn ɡ 妄w àn ɡ 闭b ì 问w èn 闯chu ǎn ɡ 羊y án ɡ 并b ìn ɡ 关ɡu ān 米m ǐ 灯d ēn ɡ 州zh ōu 汗h àn 污w ū 江ji ān ɡ 池ch í 汤t ān ɡ 忙m án ɡ 兴x īn ɡ 宇y ǔ 守sh ǒu 宅zh ái 字z ì 安ān 讲ji ǎn ɡ 军j ūn 许x ǔ 论l ùn 农n ón ɡ 讽f ěn ɡ 设sh è 访f ǎn ɡ 寻x ún 那n à 迅x ùn 尽j ìn 导d ǎo 异y ì 孙s ūn 阵zh èn 阳y án ɡ 收sh ōu 阶ji ē 阴y īn 防f án ɡ 奸ji ān 如r ú 妇f ù 好h ǎo 她t ā 妈m ā 戏x ì 羽y ǔ 观ɡu ān 欢hu ān 买m ǎi 红h ón ɡ 纤qi àn 级j í 约yu ē 纪j ì 驰ch í 巡x ún七q ī画hu à:寿sh òu 弄n òn ɡ 麦m ài 形x ín ɡ 进j ìn 戒ji è 吞t ūn 远yu ǎn 违w éi 运y ùn 扶f ú 抚f ǔ 坛t án 技j ì 坏hu ài 扰r ǎo 拒j ù 找zh ǎo 批p ī 扯ch ě 址zh ǐ 走z ǒu 抄ch āo 坝b à 贡ɡòn ɡ 攻ɡōn ɡ 赤ch ì 折zh é 抓zhu ā 扮b àn 抢qi ǎn ɡ 孝xi ào 均j ūn 抛p āo 投t óu 坟f én 抗k àn ɡ 坑k ēn ɡ 坊f án ɡ 抖d ǒu 护h ù 壳qi ào 志zh ì 扭ni ǔ 块ku ài 声sh ēn ɡ 把b ǎ 报b ào 却qu è 劫ji é 芽y á 花hu ā 芹q ín 芬f ēn 苍c ān ɡ 芳f ān ɡ 严y án 芦l ú 劳l áo 克k è 苏s ū 杆ɡǎn 杠ɡàn ɡ 杜d ù 材c ái 村c ūn 杏x ìn ɡ 极j í 李l ǐ 杨y án ɡ 求qi ú 更ɡèn ɡ 束sh ù 豆d òu 两li ǎn ɡ 丽l ì 医y ī 辰ch én 励l ì 否f ǒu 还h ái 歼ji ān 来l ái 连li án 步b ù 坚ji ān 旱h àn 盯d īn ɡ 呈ch én ɡ 时sh í 吴w ú 助zh ù 县xi àn 里l ǐ 呆d āi 园yu án 旷ku àn ɡ 围w éi 呀y ɑ 吨d ūn 足z ú 邮y óu 男n án 困k ùn 吵ch ǎo 串chu àn 员yu án 听t īn ɡ 吩f ēn 吹chu ī 呜w ū 吧b ɑ 吼h ǒu 别bi é 岗ɡǎn ɡ 帐zh àn ɡ 财c ái 针zh ēn 钉d īn ɡ 告ɡào 我w ǒ 乱lu àn 利l ì 秃t ū 秀xi ù 私s ī 每m ěi 兵b īn ɡ 估ɡū 体t ǐ 何h é 但d àn 伸sh ēn 作zu ò 伯b ó 伶l ín ɡ 佣y ōn ɡ 低d ī 你n ǐ 住zh ù 位w èi 伴b àn 身sh ēn 皂z ào 佛f ó 近j ìn 彻ch è 役y ì 返f ǎn 余y ú 希x ī 坐zu ò 谷ɡǔ 妥tu ǒ 含h án 邻l ín 岔ch à 肝ɡān 肚d ù 肠ch án ɡ 龟ɡu ī 免mi ǎn 狂ku án ɡ 犹y óu 角ji ǎo 删sh ān 条ti áo 卵lu ǎn 岛d ǎo 迎y ín ɡ 饭f àn 饮y ǐn 系x ì 言y án 冻d òn ɡ 状zhu àn ɡ 亩m ǔ 况ku àn ɡ 床chu án ɡ 库k ù 疗li áo 应y īn ɡ 冷l ěn ɡ 这zh è 序x ù 辛x īn 弃q ì 冶y ě 忘w àn ɡ 闲xi án 间ji ān 闷m èn 判p àn 灶z ào 灿c àn 弟d ì 汪w ān ɡ 沙sh ā 汽q ì 沃w ò 泛f àn 沟ɡōu 没m éi 沈sh ěn 沉ch én 怀hu ái 忧y ōu 快ku ài 完w án 宋s òn ɡ 宏h ón ɡ 牢l áo 究ji ū 穷qi ón ɡ 灾z āi 良li án ɡ 证zh èn ɡ 启q ǐ 评p ín ɡ 补b ǔ 初ch ū 社sh è 识sh í 诉s ù 诊zh ěn 词c í 译y ì 君j ūn 灵l ín ɡ 即j í 层c én ɡ 尿ni ào 尾w ěi 迟ch í 局j ú 改ɡǎi 张zh ān ɡ 忌j ì 际j ì 陆l ù 阿ā 陈ch én 阻z ǔ 附f ù 妙mi ào 妖y āo 妨f án ɡ 努n ǔ 忍r ěn 劲j ìn 鸡j ī 驱q ū 纯ch ún 纱sh ā 纳n à 纲ɡān ɡ 驳b ó 纵z òn ɡ 纷f ēn 纸zh ǐ 纹w én 纺f ǎn ɡ 驴l ǘ 纽ni ǔ八b ā画hu à:奉f èn ɡ 玩w án 环hu án 武w ǔ 青q īn ɡ 责z é 现xi àn 表bi ǎo 规ɡu ī 抹m ǒ 拢l ǒn ɡ 拔b á 拣ji ǎn 担d ān 坦t ǎn 押y ā 抽ch ōu 拐ɡu ǎi 拖tu ō 拍p āi 者zh ě 顶d ǐn ɡ拆ch āi 拥y ōn ɡ 抵d ǐ 拘j ū 势sh ì 抱b ào 垃l ā 拉l ā 拦l án 拌b àn 幸x ìn ɡ 招zh āo 坡p ō 披p ī 拨b ō 择z é 抬t ái 其q í 取q ǔ 苦k ǔ 若ru ò 茂m ào 苹p ín ɡ 苗mi áo 英y īn ɡ 范f àn 直zh í 茄ji ā 茎j īn ɡ 茅m áo 林l ín 枝zh ī 杯b ēi 柜ɡu ì 析x ī 板b ǎn 松s ōn ɡ 枪qi ān ɡ 构ɡòu 杰ji é 述sh ù 枕zh ěn 丧s àn ɡ 或hu ò 画hu à 卧w ò 事sh ì 刺c ì 枣z ǎo 雨y ǔ 卖m ài 矿ku àn ɡ 码m ǎ 厕c è 奔b ēn 奇q í 奋f èn 态t ài 欧ōu 垄l ǒn ɡ 妻q ī 轰h ōn ɡ 顷q ǐn ɡ 转zhu ǎn 斩zh ǎn 轮l ún 软ru ǎn 到d ào 非f ēi 叔sh ū 肯k ěn 齿ch ǐ 些xi ē 虎h ǔ 虏l ǔ 肾sh èn 贤xi án 尚sh àn ɡ 旺w àn ɡ 具j ù 果ɡu ǒ 味w èi 昆k ūn 国ɡu ó 昌ch ān ɡ 畅ch àn ɡ 明m ín ɡ 易y ì 昂án ɡ 典di ǎn 固ɡù 忠zh ōn ɡ 咐f ù 呼h ū 鸣m ín ɡ 咏y ǒn ɡ 呢ne 岸àn 岩y án 帖ti ē 罗lu ó 帜zh ì 岭l ǐn ɡ 凯k ǎi 败b ài 贩f àn 购ɡòu 图t ú 钓di ào 制zh ì 知zh ī 垂chu í 牧m ù 物w ù 乖ɡu āi 刮ɡu ā 秆ɡǎn 和h é 季j ì 委w ěi 佳ji ā 侍sh ì 供ɡōn ɡ 使sh ǐ 例l ì 版b ǎn 侄zh í 侦zh ēn 侧c è 凭p ín ɡ 侨qi áo 佩p èi 货hu ò 依y ī 的de 迫p ò 质zh ì 欣x īn 征zh ēn ɡ 往w ǎn ɡ 爬p á 彼b ǐ 径j ìn ɡ 所su ǒ 舍sh ě 金j īn 命m ìn ɡ 斧f ǔ 爸b à 采c ǎi 受sh òu 乳r ǔ 贪t ān 念ni àn 贫p ín 肤f ū 肺f èi 肢zh ī 肿zh ǒn ɡ 胀zh àn ɡ 朋p én ɡ 股ɡǔ 肥f éi 服f ú 胁xi é 周zh ōu 昏h ūn 鱼y ú 兔t ù 狐h ú 忽h ū 狗ɡǒu 备b èi 饰sh ì 饱b ǎo 饲s ì 变bi àn 京j īn ɡ 享xi ǎn ɡ 店di àn 夜y è 庙mi ào 府f ǔ 底d ǐ 剂j ì 郊ji āo 废f èi 净j ìn ɡ 盲m án ɡ 放f àn ɡ 刻k è 育y ù 闸zh á 闹n ào 郑zh èn ɡ 券qu àn 卷ju àn 单d ān 炒ch ǎo 炊chu ī 炕k àn ɡ 炎y án 炉l ú 沫m ò 浅qi ǎn 法f ǎ 泄xi è 河h é 沾zh ān 泪l èi 油y óu 泊b ó 沿y án 泡p ào 注zh ù 泻xi è 泳y ǒn ɡ 泥n í 沸f èi 波b ō 泼p ō 泽z é 治zh ì 怖b ù 性x ìn ɡ 怕p à 怜li án 怪ɡu ài 学xu é 宝b ǎo 宗z ōn ɡ 定d ìn ɡ 宜y í 审sh ěn 宙zh òu 官ɡu ān 空k ōn ɡ 帘li án 实sh í 试sh ì 郎l án ɡ 诗sh ī 肩ji ān 房f án ɡ 诚ch én ɡ 衬ch èn 衫sh ān 视sh ì 话hu à 诞d àn 询x ún 该ɡāi 详xi án ɡ 建ji àn 肃s ù 录l ù 隶l ì 居j ū 届ji è 刷shu ā 屈q ū 弦xi án 承ch én ɡ 孟m èn ɡ 孤ɡū 陕sh ǎn 降ji àn ɡ 限xi àn 妹m èi 姑ɡū 姐ji ě 姓x ìn ɡ 始sh ǐ 驾ji à 参c ān 艰ji ān 线xi àn 练li àn 组z ǔ 细x ì 驶sh ǐ 织zh ī 终zh ōn ɡ 驻zh ù 驼tu ó 绍sh ào 经j īn ɡ 贯ɡu àn九ji ǔ画hu à:奏z òu 春ch ūn 帮b ān ɡ 珍zh ēn 玻b ō 毒d ú 型x ín ɡ 挂ɡu à 封f ēn ɡ 持ch í 项xi àn ɡ 垮ku ǎ 挎ku à 城ch én ɡ 挠n áo 政zh èn ɡ 赴f ù 赵zh ào 挡d ǎn ɡ 挺t ǐn ɡ 括ku ò 拴shu ān 拾sh í 挑ti ǎo 指zh ǐ 垫di àn 挣zh ēn ɡ 挤j ǐ 拼p īn 挖w ā 按àn 挥hu ī 挪nu ó 某m ǒu 甚sh èn 革ɡé 荐ji àn 巷xi àn ɡ 带d ài 草c ǎo 茧ji ǎn 茶ch á 荒hu ān ɡ 茫m án ɡ 荡d àn ɡ 荣r ón ɡ 故ɡù 胡h ú 南n án 药y ào 标bi āo 枯k ū 柄b ǐn ɡ 栋d òn ɡ 相xi ān ɡ 查ch á 柏b ǎi 柳li ǔ 柱zh ù 柿sh ì 栏l án 树sh ù 要y ào 咸xi án 威w ēi 歪w āi 研y án 砖zhu ān 厘l í 厚h òu 砌q ì 砍k ǎn 面mi àn 耐n ài 耍shu ǎ 牵qi ān 残c án 殃y ān ɡ 轻q īn ɡ 鸦y ā 皆ji ē 背b èi 战zh àn 点di ǎn 临l ín 览l ǎn 竖sh ù 省sh ěn ɡ 削xu ē 尝ch án ɡ 是sh ì 盼p àn 眨zh ǎ 哄h ōn ɡ 显xi ǎn 哑y ǎ 冒m ào 映y ìn ɡ 星x īn ɡ 昨zu ó 畏w èi 趴p ā 胃w èi 贵ɡu ì 界ji è 虹h ón ɡ 虾xi ā 蚁y ǐ 思s ī 蚂m à 虽su ī 品p ǐn 咽y àn 骂m à 哗hu á 咱z án 响xi ǎn ɡ 哈h ā 咬y ǎo 咳k é 哪n ǎ 炭t àn 峡xi á 罚f á 贱ji àn 贴ti ē 骨ɡǔ 钞ch āo 钟zh ōn ɡ 钢ɡān ɡ 钥y ào 钩ɡōu 卸xi è 缸ɡān ɡ 拜b ài 看k àn 矩j ǔ 怎z ěn 牲sh ēn ɡ 选xu ǎn 适sh ì 秒mi ǎo 香xi ān ɡ 种zh ǒn ɡ 秋qi ū 科k ē 重zh òn ɡ 复f ù 竿ɡān 段du àn 便bi àn 俩li ǎ 贷d ài 顺sh ùn 修xi ū 保b ǎo 促c ù 侮w ǔ 俭ji ǎn 俗s ú 俘f ú 信x ìn 皇hu án ɡ 泉qu án 鬼ɡu ǐ 侵q īn 追zhu ī 俊j ùn 盾d ùn 待d ài 律l ǜ 很h ěn 须x ū 叙x ù 剑ji àn 逃t áo 食sh í 盆p én 胆d ǎn 胜sh èn ɡ 胞b āo 胖p àn ɡ 脉m ài 勉mi ǎn 狭xi á 狮sh ī 独d ú 狡ji ǎo 狱y ù 狠h ěn 贸m ào 怨yu àn 急j í 饶r áo 蚀sh í饺ji ǎo 饼b ǐn ɡ 弯w ān 将ji ān ɡ 奖ji ǎn ɡ 哀āi 亭t ín ɡ 亮li àn ɡ 度d ù 迹j ì 庭t ín ɡ 疮chu ān ɡ 疯f ēn ɡ 疫y ì 疤b ā 姿z ī 亲q īn 音y īn 帝d ì 施sh ī 闻w én 阀f á 阁ɡé 差ch ā 养y ǎn ɡ 美m ěi 姜ji ān ɡ 叛p àn 送s òn ɡ 类l èi 迷m í 前qi án 首sh ǒu 逆n ì 总z ǒn ɡ 炼li àn 炸zh à 炮p ào 烂l àn 剃t ì 洁ji é 洪h ón ɡ 洒s ǎ 浇ji āo 浊zhu ó 洞d òn ɡ 测c è 洗x ǐ 活hu ó 派p ài 洽qi à 染r ǎn 济j ì 洋y án ɡ 洲zh ōu 浑h ún 浓n ón ɡ 津j īn 恒h én ɡ 恢hu ī 恰qi à 恼n ǎo 恨h èn 举j ǔ 觉ju é 宣xu ān 室sh ì 宫ɡōn ɡ 宪xi àn 突t ū 穿chu ān 窃qi è 客k è 冠ɡu àn 语y ǔ 扁bi ǎn 袄ǎo 祖z ǔ 神sh én 祝zh ù 误w ù 诱y òu 说shu ō 诵s òn ɡ 垦k ěn 退tu ì 既j ì 屋w ū 昼zh òu 费f èi 陡d ǒu 眉m éi 孩h ái 除ch ú 险xi ǎn 院yu àn 娃w á 姥l ǎo 姨y í 姻y īn 娇ji āo 怒n ù 架ji à 贺h è 盈y ín ɡ 勇y ǒn ɡ 怠d ài 柔r óu 垒l ěi 绑b ǎn ɡ 绒r ón ɡ 结ji é 绕r ào 骄ji āo 绘hu ì 给ɡěi 络lu ò 骆lu ò 绝ju é 绞ji ǎo 统t ǒn ɡ十sh í画hu à:耕ɡēn ɡ 耗h ào 艳y àn 泰t ài 珠zh ū 班b ān 素s ù 蚕c án 顽w án 盏zh ǎn 匪f ěi 捞l āo 栽z āi 捕b ǔ 振zh èn 载z ǎi 赶ɡǎn 起q ǐ 盐y án 捎sh āo 捏ni ē 埋m ái 捉zhu ō 捆k ǔn 捐ju ān 损s ǔn 都d ōu 哲zh é 逝sh ì 捡ji ǎn 换hu àn 挽w ǎn 热r è 恐k ǒn ɡ 壶h ú 挨āi 耻ch ǐ 耽d ān 恭ɡōn ɡ 莲li án 莫m ò 荷h é 获hu ò 晋j ìn 恶è 真zh ēn 框ku àn ɡ 桂ɡu ì 档d àn ɡ 桐t ón ɡ 株zh ū 桥qi áo 桃t áo 格ɡé 校xi ào 核h é 样y àn ɡ 根ɡēn 索su ǒ 哥ɡē 速s ù 逗d òu 栗l ì 配p èi 翅ch ì 辱r ǔ 唇ch ún 夏xi à 础ch ǔ 破p ò 原yu án 套t ào 逐zh ú 烈li è 殊sh ū 顾ɡù 轿ji ào 较ji ào 顿d ùn 毙b ì 致zh ì 柴ch ái 桌zhu ō 虑l ǜ 监ji ān 紧j ǐn 党d ǎn ɡ 晒sh ài 眠mi án 晓xi ǎo 鸭y ā 晃hu àn ɡ 晌sh ǎn ɡ 晕y ūn 蚊w én 哨sh ào 哭k ū 恩ēn 唤hu àn 啊ɑ 唉āi 罢b à 峰f ēn ɡ 圆yu án 贼z éi 贿hu ì 钱qi án 钳qi án 钻zu ān 铁ti ě 铃l ín ɡ 铅qi ān 缺qu ē 氧y ǎn ɡ 特t è 牺x ī 造z ào 乘ch én ɡ 敌d í 秤ch èn ɡ 租z ū 积j ī 秧y ān ɡ 秩zh ì 称ch ēn ɡ 秘m ì 透t òu 笔b ǐ 笑xi ào 笋s ǔn 债zh ài 借ji è 值zh í 倚y ǐ 倾q īn ɡ 倒d ǎo 倘t ǎn ɡ 俱j ù 倡ch àn ɡ 候h òu 俯f ǔ 倍b èi 倦ju àn 健ji àn 臭ch òu 射sh è 躬ɡōn ɡ 息x ī 徒t ú 徐x ú 舰ji àn 舱c ān ɡ 般b ān 航h án ɡ 途t ú 拿n á 爹di ē 爱ài 颂s òn ɡ 翁w ēn ɡ 脆cu ì 脂zh ī 胸xi ōn ɡ 胳ɡē 脏z ān ɡ 胶ji āo 脑n ǎo 狸l í 狼l án ɡ 逢f én ɡ 留li ú 皱zh òu 饿è 恋li àn 桨ji ǎn ɡ 浆ji ān ɡ 衰shu āi 高ɡāo 席x í 准zh ǔn 座zu ò 脊j ǐ 症zh èn ɡ 病b ìn ɡ 疾j í 疼t én ɡ 疲p í 效xi ào 离l í 唐t án ɡ 资z ī 凉li án ɡ 站zh àn 剖p ōu 竞j ìn ɡ 部b ù 旁p án ɡ 旅l ǚ 畜ch ù 阅yu è 羞xi ū 瓶p ín ɡ 拳qu án 粉f ěn 料li ào 益y ì 兼ji ān 烤k ǎo 烘h ōn ɡ 烦f án 烧sh āo 烛zh ú 烟y ān 递d ì 涛t āo 浙zh è 涝l ào 酒ji ǔ 涉sh è 消xi āo 浩h ào 海h ǎi 涂t ú 浴y ù 浮f ú 流li ú 润r ùn 浪l àn ɡ 浸j ìn 涨zh ǎn ɡ 烫t àn ɡ 涌y ǒn ɡ 悟w ù 悄qi āo 悔hu ǐ 悦yu è 害h ài 宽ku ān 家ji ā 宵xi āo 宴y àn 宾b īn 窄zh ǎi 容r ón ɡ 宰z ǎi 案àn 请q ǐn ɡ 朗l ǎn ɡ 诸zh ū 读d ú 扇sh àn 袜w à 袖xi ù 袍p áo 被b èi 祥xi án ɡ 课k è 谁shu í 调di ào 冤yu ān 谅li àn ɡ 谈t án 谊y ì 剥b ō 恳k ěn 展zh ǎn 剧j ù 屑xi è 弱ru ò 陵l ín ɡ 陶t áo 陷xi àn 陪p éi 娱y ú 娘ni án ɡ 通t ōn ɡ 能n én ɡ 难n án 预y ù 桑s ān ɡ 绢ju àn 绣xi ù 验y àn 继j ì十sh í一y ī画hu à:球qi ú 理l ǐ 捧p ěn ɡ 堵d ǔ 描mi áo 域y ù 掩y ǎn 捷ji é 排p ái 掉di ào 堆du ī 推tu ī 掀xi ān 授sh òu 教ji ào 掏t āo 掠lu è 培p éi 接ji ē 控k òn ɡ 探t àn 据j ù 掘ju é 职zh í 基j ī 著zh ù 勒l è 黄hu án ɡ 萌m én ɡ 萝lu ó 菌j ūn 菜c ài 萄t áo 菊j ú 萍p ín ɡ 菠b ō 营y ín ɡ 械xi è 梦m èn ɡ 梢s ào 梅m éi 检ji ǎn 梳sh ū 梯t ī桶t ǒn ɡ 救ji ù 副f ù 票pi ào 戚q ī 爽shu ǎn ɡ 聋l ón ɡ 袭x í 盛sh èn ɡ 雪xu ě 辅f ǔ 辆li àn ɡ 虚x ū 雀qu è 堂t án ɡ 常ch án ɡ 匙shi 晨ch én 睁zh ēn ɡ 眯m ī 眼y ǎn 悬xu án 野y ě 啦l ɑ 晚w ǎn 啄zhu ó 距j ù 跃yu è 略lu è 蛇sh é 累l ěi 唱ch àn ɡ 患hu àn 唯w éi 崖y á 崭zh ǎn 崇ch ón ɡ 圈qu ān 铜t ón ɡ 铲ch ǎn 银y ín 甜ti án 梨l í 犁l í 移y í 笨b èn 笼l ón ɡ 笛d í 符f ú 第d ì 敏m ǐn 做zu ò 袋d ài 悠y ōu 偿ch án ɡ 偶ǒu 偷t ōu 您n ín 售sh òu 停t ín ɡ 偏pi ān 假ji ǎ 得d é 衔xi án 盘p án 船chu án 斜xi é 盒h é 鸽ɡē 悉x ī 欲y ù 彩c ǎi 领l ǐn ɡ 脚ji ǎo 脖b ó 脸li ǎn 脱tu ō 象xi àn ɡ 够ɡòu 猜c āi 猪zh ū 猎li è 猫m āo 猛m ěn ɡ 馅xi àn 馆ɡu ǎn 凑c òu 减ji ǎn 毫h áo 麻m á 痒y ǎn ɡ 痕h én 廊l án ɡ 康k ān ɡ 庸y ōn ɡ 鹿l ù 盗d ào 章zh ān ɡ 竟j ìn ɡ 商sh ān ɡ 族z ú 旋xu án 望w àn ɡ 率l ǜ 着zhe 盖ɡài 粘ni án 粗c ū 粒l ì 断du àn 剪ji ǎn 兽sh òu 清q īn ɡ 添ti ān 淋l ín 淹y ān 渠q ú 渐ji àn 混h ùn 渔y ú 淘t áo 液y è 淡d àn 深sh ēn 婆p ó 梁li án ɡ 渗sh èn 情q ín ɡ 惜x ī 惭c án 悼d ào 惧j ù 惕t ì 惊j īn ɡ 惨c ǎn 惯ɡu àn 寇k òu 寄j ì 宿s ù 窑y áo 密m ì 谋m óu 谎hu ǎn ɡ 祸hu ò 谜m í 逮d ài 敢ɡǎn 屠t ú 弹d àn 随su í 蛋d àn 隆l ón ɡ 隐y ǐn 婚h ūn 婶sh ěn 颈j ǐn ɡ 绩j ì 绪x ù 续x ù 骑q í 绳sh én ɡ 维w éi 绵mi án 绸ch óu 绿l ǜ十sh í二èr 画hu à:琴q ín 斑b ān 替t ì 款ku ǎn 堪k ān 搭d ā 塔t ǎ 越yu è 趁ch èn 趋q ū 超ch āo 提t í 堤d ī 博b ó 揭ji ē 喜x ǐ 插ch ā 揪ji ū 搜s ōu 煮zh ǔ 援yu án 裁c ái 搁ɡē 搂l ǒu 搅ji ǎo 握w ò 揉r óu 斯s ī 期q ī 欺q ī 联li án 散s àn 惹r ě 葬z àn ɡ 葛ɡě 董d ǒn ɡ 葡p ú 敬j ìn ɡ 葱c ōn ɡ 落lu ò 朝ch áo 辜ɡū 葵ku í 棒b àn ɡ 棋q í 植zh í 森s ēn 椅y ǐ 椒ji āo 棵k ē 棍ɡùn 棉mi án 棚p én ɡ 棕z ōn ɡ 惠hu ì 惑hu ò 逼b ī 厨ch ú 厦sh à 硬y ìn ɡ 确qu è 雁y àn 殖zh í 裂li è 雄xi ón ɡ 暂z àn 雅y ǎ 辈b èi 悲b ēi 紫z ǐ 辉hu ī 敞ch ǎn ɡ 赏sh ǎn ɡ 掌zh ǎn ɡ 晴q ín ɡ 暑sh ǔ 最zu ì 量li àn ɡ 喷p ēn 晶j īn ɡ 喇l ǎ 遇y ù 喊h ǎn 景j ǐn ɡ 践ji àn 跌di ē 跑p ǎo 遗y í 蛙w ā 蛛zh ū 蜓t ín ɡ 喝h ē 喂w èi 喘chu ǎn 喉h óu 幅f ú 帽m ào 赌d ǔ 赔p éi 黑h ēi 铸zh ù 铺p ū 链li àn 销xi āo 锁su ǒ 锄ch ú 锅ɡu ō 锈xi ù 锋f ēn ɡ 锐ru ì 短du ǎn 智zh ì 毯t ǎn 鹅é 剩sh èn ɡ 稍sh āo 程ch én ɡ 稀x ī 税shu ì 筐ku ān ɡ 等d ěn ɡ 筑zh ù 策c è 筛sh āi 筒t ǒn ɡ 答d á 筋j īn 筝zh ēn ɡ 傲ào 傅f ù 牌p ái 堡b ǎo 集j í 焦ji āo 傍b àn ɡ 储ch ǔ 奥ào 街ji ē 惩ch én ɡ 御y ù 循x ún 艇t ǐn ɡ 舒sh ū 番f ān 释sh ì 禽q ín 腊l à 脾p í 腔qi ān ɡ 鲁l ǔ 猾hu á 猴h óu 然r án 馋ch án 装zhu ān ɡ 蛮m án 就ji ù 痛t òn ɡ 童t ón ɡ 阔ku ò 善sh àn 羡xi àn 普p ǔ 粪f èn 尊z ūn 道d ào 曾c én ɡ 焰y àn 港ɡǎn ɡ 湖h ú 渣zh ā 湿sh ī 温w ēn 渴k ě 滑hu á 湾w ān 渡d ù 游y óu 滋z ī 溉ɡài 愤f èn 慌hu ān ɡ 惰du ò 愧ku ì 愉y ú 慨k ǎi 割ɡē 寒h án 富f ù 窜cu àn 窝w ō 窗chu ān ɡ 遍bi àn 裕y ù 裤k ù 裙q ún 谢xi è 谣y áo 谦qi ān 属sh ǔ 屡l ǚ 强qi án ɡ 粥zh ōu 疏sh ū 隔ɡé 隙x ì 絮x ù 嫂s ǎo 登d ēn ɡ 缎du àn 缓hu ǎn 编bi ān 骗pi àn 缘yu án十sh í三s ān 画hu à:瑞ru ì 魂h ún 肆s ì 摄sh è 摸m ō 填ti án 搏b ó 塌t ā 鼓ɡǔ 摆b ǎi 携xi é 搬b ān 摇y áo 搞ɡǎo 塘t án ɡ 摊t ān 蒜su àn 勤q ín 鹊qu è 蓝l án 墓m ù 幕m ù 蓬p én ɡ 蓄x ù 蒙m én ɡ 蒸zh ēn ɡ 献xi àn 禁j ìn 楚ch ǔ 想xi ǎn ɡ 槐hu ái 榆y ú 楼l óu 概ɡài 赖l ài 酬ch óu 感ɡǎn 碍ài 碑b ēi 碎su ì 碰p èn ɡ 碗w ǎn 碌li ù 雷l éi 零l ín ɡ 雾w ù 雹b áo 输sh ū 督d ū 龄l ín ɡ 鉴ji àn 睛j īn ɡ 睡shu ì 睬c ǎi 鄙b ǐ 愚y ú 暖nu ǎn 盟m én ɡ 歇xi ē 暗àn 照zh ào 跨ku à 跳ti ào 跪ɡu ì 路l ù 跟ɡēn 遣qi ǎn 蛾é 蜂f ēn ɡ 嗓s ǎn ɡ 置zh ì 罪zu ì 罩zh ào 错cu ò 锡x ī 锣lu ó 锤chu í 锦j ǐn 键ji àn 锯j ù 矮ǎi 辞c í 稠ch óu 愁ch óu 筹ch óu 签qi ān 简ji ǎn 毁hu ǐ 舅ji ù鼠sh ǔ 催cu ī 傻sh ǎ 像xi àn ɡ 躲du ǒ 微w ēi 愈y ù 遥y áo 腰y āo 腥x īn ɡ 腹f ù 腾t én ɡ 腿tu ǐ 触ch ù 解ji ě 酱ji àn ɡ 痰t án 廉li án 新x īn 韵y ùn 意y ì 粮li án ɡ 数sh ù 煎ji ān 塑s ù 慈c í 煤m éi 煌hu án ɡ 满m ǎn 漠m ò 源yu án 滤l ǜ 滥l àn 滔t āo 溪x ī 溜li ū 滚ɡǔn 滨b īn 粱li án ɡ 滩t ān 慎sh èn 誉y ù 塞s ài 谨j ǐn 福f ú 群q ún 殿di àn 辟p ì 障zh àn ɡ 嫌xi án 嫁ji à 叠di é 缝f én ɡ 缠ch án十sh í四s ì画hu à:静j ìn ɡ 碧b ì 璃l í 墙qi án ɡ 撇pi ě 嘉ji ā 摧cu ī 截ji é 誓sh ì 境j ìn ɡ 摘zh āi 摔shu āi 聚j ù 蔽b ì 慕m ù 暮m ù 蔑mi è 模m ó 榴li ú 榜b ǎn ɡ 榨zh à 歌ɡē 遭z āo 酷k ù 酿ni àn ɡ 酸su ān 磁c í 愿yu àn 需x ū 弊b ì 裳ch án ɡ 颗k ē 嗽s òu 蜻q īn ɡ 蜡l à 蝇y ín ɡ 蜘zh ī 赚zhu àn 锹qi āo 锻du àn 舞w ǔ 稳w ěn 算su àn 箩lu ó 管ɡu ǎn 僚li áo 鼻b í 魄p ò 貌m ào 膜m ó 膊b ó 膀b ǎn ɡ 鲜xi ǎn 疑y í 馒m án 裹ɡu ǒ 敲qi āo 豪h áo 膏ɡāo 遮zh ē 腐f ǔ 瘦sh òu 辣l à 竭ji é 端du ān 旗q í 精j īn ɡ 歉qi àn 熄x ī 熔r ón ɡ 漆q ī 漂pi ào 漫m àn 滴d ī 演y ǎn 漏l òu 慢m àn 寨zh ài 赛s ài 察ch á 蜜m ì 谱p ǔ 嫩n èn 翠cu ì 熊xi ón ɡ 凳d èn ɡ 骡lu ó 缩su ō十sh í五w ǔ画hu à:慧hu ì 撕s ī 撒s ā 趣q ù 趟t àn ɡ 撑ch ēn ɡ 播b ō 撞zhu àn ɡ 撤ch è 增z ēn ɡ 聪c ōn ɡ 鞋xi é 蕉ji āo 蔬sh ū 横h én ɡ 槽c áo 樱y īn ɡ 橡xi àn ɡ 飘pi āo 醋c ù 醉zu ì 震zh èn 霉m éi 瞒m án 题t í 暴b ào 瞎xi ā 影y ǐn ɡ 踢t ī 踏t à 踩c ǎi 踪z ōn ɡ 蝶di é 蝴h ú 嘱zh ǔ 墨m ò 镇zh èn 靠k ào 稻d ào 黎l í 稿ɡǎo 稼ji à 箱xi ān ɡ 箭ji àn 篇pi ān 僵ji ān ɡ 躺t ǎn ɡ 僻p ì 德d é 艘s ōu 膝x ī 膛t án ɡ 熟sh ú 摩m ó 颜y án 毅y ì 糊h ú 遵z ūn 潜qi án 潮ch áo 懂d ǒn ɡ 额é 慰w èi 劈p ī 十sh í六li ù画hu à:操c āo 燕y àn 薯sh ǔ 薪x īn 薄b ó 颠di ān 橘j ú 整zh ěn ɡ 融r ón ɡ 醒x ǐn ɡ 餐c ān 嘴zu ǐ 蹄t í 器q ì 赠z èn ɡ 默m ò 镜j ìn ɡ 赞z àn 篮l án 邀y āo 衡h én ɡ 膨p én ɡ 雕di āo 磨m ó 凝n ín ɡ 辨bi àn 辩bi àn 糖t án ɡ 糕ɡāo 燃r án 澡z ǎo 激j ī 懒l ǎn 壁b ì 避b ì 缴ji ǎo十sh í七q ī画hu à:戴d ài 擦c ā 鞠j ū 藏z àn ɡ 霜shu ān ɡ 霞xi á 瞧qi áo 蹈d ǎo 螺lu ó 穗su ì 繁f án 辫bi àn 赢y ín ɡ 糟z āo 糠k ān ɡ 燥z ào 臂b ì 翼y ì 骤zh òu十sh í八b ā画hu à:鞭bi ān 覆f ù 蹦b èn ɡ 镰li án 翻f ān 鹰y īn ɡ十sh í九ji ǔ画hu à:警j ǐn ɡ 攀p ān 蹲c ún 颤ch àn 瓣b àn 爆b ào 疆ji ān ɡ二èr 十sh í画hu à:壤r ǎn ɡ 耀y ào 躁z ào 嚼ji áo 嚷r ān ɡ 籍j í 魔m ó 灌ɡu àn二èr 十sh í一y ī画hu à:蠢ch ǔn 霸b à 露l ù二èr 十sh í二èr 画hu à:囊n án ɡ二èr 十sh í三s ān 画hu à:罐ɡu àn《现xi àn 代d ài 汉h àn 语y ǔ常ch án ɡ用y òn ɡ字z ì表bi ǎo 》之zh ī二èr :次c ì常ch án ɡ用y òn ɡ汉h àn 字z ì1000字z ì按àn 笔b ǐ画hu à顺sh ùn 序x ù表bi ǎo二èr 画hu à:匕b ǐ 刁di āo四s ì画hu à:丐ɡài 歹d ǎi 戈ɡē 夭y āo 仑l ún 讥j ī 冗r ǒn ɡ 邓d èn ɡ五w ǔ画hu à:艾ài 夯h ān ɡ 凸t ū 卢l ú 叭b ā 叽j ī 皿m ǐn 凹āo 囚qi ú 矢sh ǐ 乍zh à 尔ěr 冯f én ɡ 玄xu án六li ù画hu à:邦b ān ɡ 迂y ū 邢x ín ɡ 芋y ù 芍sh áo 吏l ì 夷y í 吁y ù 吕l ǚ 吆y āo 屹y ì 廷t ín ɡ 迄q ì 臼ji ù 仲zh òn ɡ 伦l ún 伊y ī 肋l ē 旭x ù 匈xi ōn ɡ 凫f ú 妆zhu ān ɡ 亥h ài 汛x ùn 讳hu ì 讶y à 讹é 讼s òn ɡ 诀ju é 弛ch í 阱j ǐn ɡ 驮tu ó 驯x ùn 纫r èn七q ī画hu à:玖ji ǔ 玛m ǎ 韧r èn 抠k ōu 扼è 汞ɡǒn ɡ 扳b ān 抡l ūn 坎k ǎn 坞w ù 抑y ì 拟n ǐ 抒sh ū 芙f ú 芜w ú 苇w ěi 芥ɡài 芯x īn 芭b ā 杖zh àn ɡ 杉sh ān 巫w ū 杈ch ā 甫f ǔ 匣xi á 轩xu ān 卤l ǔ 肖xi āo 吱zh ī 吠f èi 呕ǒu 呐n à 吟y ín 呛qi àn ɡ 吻w ěn 吭k ēn ɡ 邑y ì 囤d ùn 吮sh ǔn 岖q ū 牡m ǔ 佑y òu 佃di àn 伺c ì 囱c ōn ɡ 肛ɡān ɡ 肘zh ǒu 甸di àn 狈b èi 鸠ji ū 彤t ón ɡ 灸ji ǔ 刨b ào 庇b ì 吝l ìn 庐l ú 闰r ùn 兑du ì 灼zhu ó 沐m ù 沛p èi 汰t ài 沥l ì 沦l ún 汹xi ōn ɡ 沧c ān ɡ 沪h ù 忱ch én 诅z ǔ 诈zh à 罕h ǎn 屁p ì 坠zhu ì 妓j ì 姊z ǐ 妒d ù 纬w ěi八b ā画hu à:玫m éi 卦ɡu à 坷k ě 坯p ī 拓tu ò 坪p ín ɡ 坤k ūn 拄zh ǔ 拧n ǐn ɡ 拂f ú 拙zhu ō 拇m ǔ 拗ni ù 茉m ò 昔x ī 苛k ē 苫sh ān 苟ɡǒu 苞b āo 茁zhu ó 苔t āi 枉w ǎn ɡ 枢sh ū 枚m éi 枫f ēn ɡ 杭h án ɡ 郁y ù 矾f án 奈n ài 奄y ǎn 殴ōu 歧q í 卓zhu ó 昙t án 哎ài 咕ɡū 呵h ē 咙l ón ɡ 呻sh ēn 咒zh òu 咆p áo 咖k ā 帕p à 账zh àn ɡ 贬bi ǎn 贮zh ù 氛f ēn 秉b ǐn ɡ 岳yu è 侠xi á 侥ji ǎo 侣l ǚ 侈ch ǐ 卑b ēi 刽ɡu ì 刹sh ā 肴y áo 觅m ì 忿f èn 瓮w èn ɡ 肮ān ɡ 肪f án ɡ 狞n ín ɡ 庞p án ɡ 疟nu è 疙ɡē 疚ji ù 卒c ù 氓m án ɡ 炬j ù 沽ɡū 沮j ǔ 泣q ì 泞n ìn ɡ 泌b ì 沼zh ǎo 怔zh ēn ɡ 怯qi è 宠ch ǒn ɡ 宛w ǎn 衩ch ǎ 祈q í 诡ɡu ǐ 帚zh ǒu 屉t ì 弧h ú 弥m í 陋l òu 陌m ò 函h án 姆m ǔ 虱sh ī 叁s ān 绅sh ēn 驹j ū 绊b àn 绎y ì九ji ǔ画hu à:契q ì 贰èr 玷di àn 玲l ín ɡ 珊sh ān 拭sh ì 拷k ǎo 拱ɡǒn ɡ 挟xi é 垢ɡòu 垛du ò 拯zh ěn ɡ 荆j īn ɡ 茸r ón ɡ 茬ch á 荚ji á 茵y īn 茴hu í 荞qi áo 荠j ì 荤h ūn 荧y ín ɡ 荔l ì 栈zh àn 柑ɡān 栅zh à 柠n ín ɡ 枷ji ā 勃b ó 柬ji ǎn 砂sh ā 泵b èn ɡ 砚y àn 鸥ōu 轴zh óu 韭ji ǔ 虐nu è 昧m èi 盹d ǔn 咧li ē 昵n ì 昭zh āo 盅zh ōn ɡ 勋x ūn 哆du ō 咪m ī 哟yo 幽y ōu 钙ɡài 钝d ùn 钠n à 钦q īn 钧j ūn 钮ni ǔ 毡zh ān 氢q īn ɡ 秕b ǐ 俏qi ào 俄é 俐l ì 侯h óu 徊hu ái 衍y ǎn 胚p ēi 胧l ón ɡ 胎t āi 狰zh ēn ɡ 饵ěr 峦lu án 奕y ì 咨z ī 飒s à 闺ɡu ī 闽m ǐn 籽z ǐ 娄l óu 烁shu ò 炫xu àn 洼w ā 柒q ī 涎xi án 洛lu ò 恃sh ì 恍hu ǎn ɡ 恬ti án 恤x ù 宦hu àn 诫ji è 诬w ū 祠c í 诲hu ì 屏p ín ɡ 屎sh ǐ 逊x ùn 陨y ǔn 姚y áo 娜n à 蚤z ǎo 骇h ài十sh í画hu à:耘y ún 耙b à 秦q ín 匿n ì 埂ɡěn ɡ 捂w ǔ 捍h àn 袁yu án 捌b ā 挫cu ò 挚zh ì 捣d ǎo 捅t ǒn ɡ 埃āi 耿ɡěn ɡ 聂ni è 荸b í 莽m ǎn ɡ 莱l ái 莉l ì 莹y ín ɡ 莺y īn ɡ 梆b ān ɡ 栖q ī 桦hu à 栓shu ān 桅w éi 桩zhu ān ɡ 贾ji ǎ 酌zhu ó 砸z á 砰p ēn ɡ 砾l ì 殉x ùn 逞ch ěn ɡ 哮xi ào 唠l áo 哺b ǔ 剔t ī 蚌b èn ɡ 蚜y á 畔p àn 蚣ɡōn ɡ 蚪d ǒu 蚓y ǐn 哩li 圃p ǔ 鸯y ān ɡ 唁y àn 哼h ēn ɡ 唆su ō 峭qi ào 唧j ī 峻j ùn 赂l ù 赃z ān ɡ 钾ji ǎ 铆m ǎo 氨ān 秫sh ú 笆b ā 俺ǎn 赁l ìn 倔ju è 殷y īn 耸s ǒn ɡ 舀y ǎo 豺ch ái 豹b ào 颁b ān 胯ku à 胰y í 脐q í 脓n ón ɡ 逛ɡu àn ɡ 卿q īn ɡ 鸵tu ó 鸳yu ān 馁n ěi 凌l ín ɡ 凄q ī 衷zh ōn ɡ 郭ɡu ō 斋zh āi 疹zh ěn 紊w ěn 瓷c í 羔ɡāo 烙l ào 浦p ǔ 涡ɡu ō 涣hu àn 涤d í 涧ji àn 涕t ì 涩s è 悍h àn 悯m ǐn 窍qi ào 诺nu ò 诽f ěi 袒t ǎn 谆zh ūn 祟su ì 恕sh ù 娩mi ǎn 骏j ùn十sh í一y ī画hu à:琐su ǒ 麸f ū 琉li ú 琅l án ɡ 措cu ò 捺n à 捶chu í 赦sh è 埠b ù 捻ni ǎn 掐qi ā 掂di ān 掖y ē 掷zh ì 掸d ǎn 掺ch ān 勘k ān 聊li áo 娶q ǔ 菱l ín ɡ 菲f ēi 萎w ěi 菩p ú 萤y ín ɡ 乾qi án 萧xi āo 萨s à 菇ɡū 彬b īn 梗ɡěn ɡ 梧w ú 梭su ō 曹c áo 酝y ùn 酗x ù 厢xi ān ɡ 硅ɡu ī 硕shu ò 奢sh ē 盔ku ī 匾bi ǎn 颅l ú 彪bi āo 眶ku àn ɡ 晤w ù 曼m àn 晦hu ì 冕mi ǎn 啡f ēi 畦q í 趾zh ǐ 啃k ěn 蛆q ū 蚯qi ū 蛉l ín ɡ 蛀zh ù 唬h ǔ 啰 唾tu ò 啤p í 啥sh á 啸xi ào 崎q í 逻lu ó 崔cu ī 崩b ēn ɡ 婴y īn ɡ 赊sh ē 铐k ào 铛ch ēn ɡ 铝l ǚ 铡zh á 铣x ǐ 铭m ín ɡ 矫ji ǎo 秸ji ē 秽hu ì 笙sh ēn ɡ 笤ti áo 偎w ēi 傀ku ǐ 躯q ū 兜d ōu 衅x ìn 徘p ái 徙x ǐ 舶b ó 舷xi án 舵du ò 敛li ǎn 翎l ín ɡ 脯f ǔ 逸y ì 凰hu án ɡ 猖ch ān ɡ 祭j ì 烹p ēn ɡ 庶sh ù 庵ān 痊qu án 阎y án 阐ch ǎn 眷ju àn 焊h àn 焕hu àn 鸿h ón ɡ 涯y á 淑sh ū 淌t ǎn ɡ 淮hu ái 淆xi áo 渊yu ān 淫y ín 淳ch ún 淤y ū 淀di àn 涮shu àn 涵h án 惦di àn 悴cu ì 惋w ǎn 寂j ì 窒zh ì 谍di é 谐xi é 裆d ān ɡ 袱f ú 祷d ǎo 谒y è 谓w èi 谚y àn 尉w èi 堕du ò 隅y ú 婉w ǎn 颇p ō 绰chu ò 绷b ěn ɡ 综z ōn ɡ 绽zh àn 缀zhu ì 巢ch áo十sh í二èr 画hu à:琳l ín 琢zhu ó 琼qi ón ɡ 揍z òu 堰y àn 揩k āi 揽l ǎn 揖y ī 彭p én ɡ 揣chu āi 搀ch ān 搓cu ō 壹y ī 搔s āo 葫h ú 募m ù 蒋ji ǎn ɡ 蒂d ì 韩h án 棱l ēn ɡ 椰y ē 焚f én 椎chu í 棺ɡu ān 榔l án ɡ 椭tu ǒ 粟s ù 棘j í 酣h ān 酥s ū 硝xi āo 硫li ú 颊ji á 雳l ì 翘qi áo 凿z áo 棠t án ɡ 晰x ī 鼎d ǐn ɡ 喳ch ā 遏è 晾li àn ɡ 畴ch óu 跋b á 跛b ǒ 蛔hu í 蜒y án 蛤ɡé 鹃ju ān 喻y ù 啼t í 喧xu ān 嵌qi àn 赋f ù 赎sh ú 赐c ì 锉cu ò 锌x īn 甥sh ēn ɡ 掰b āi 氮d àn 氯l ǜ 黍sh ǔ 筏f á 牍d ú 粤yu è 逾y ú 腌y ān 腋y è 腕w àn 猩x īn ɡ 猬w èi 惫b èi 敦d ūn 痘d òu 痢l ì 痪hu àn 竣j ùn 翔xi án ɡ 奠di àn 遂su í 焙b èi 滞zh ì 湘xi ān ɡ 渤b ó 渺mi ǎo 溃ku ì 溅ji àn 湃p ài 愕è 惶hu án ɡ 寓y ù 窖ji ào 窘ji ǒn ɡ 雇ɡù 谤b àn ɡ 犀x ī 隘ài 媒m éi 媚m èi 婿x ù 缅mi ǎn 缆l ǎn 缔d ì 缕l ǚ 骚s āo十sh í三s ān 画hu à:瑟s è 鹉w ǔ 瑰ɡu ī 搪t án ɡ 聘p ìn 斟zh ēn 靴xu ē 靶b ǎ 蓖b ì 蒿h āo 蒲p ú 蓉r ón ɡ 楔xi ē 椿ch ūn 楷k ǎi 榄l ǎn 楞l én ɡ 楣m éi 酪l ào 碘di ǎn 硼p én ɡ 碉di āo 辐f ú 辑j í 频p ín 睹d ǔ 睦m ù 瞄mi áo 嗜sh ì 嗦su ō 暇xi á 畸j ī 跷qi āo 跺du ò 蜈w ú 蜗w ō 蜕tu ì 蛹y ǒn ɡ 嗅xi ù 嗡w ēn ɡ 嗤ch ī 署sh ǔ 蜀sh ǔ 幌hu ǎn ɡ 锚m áo 锥zhu ī 锨xi ān 锭d ìn ɡ 锰m ěn ɡ 稚zh ì 颓tu í 筷ku ài 魁ku í 衙y á 腻n ì 腮s āi 腺xi àn 鹏p én ɡ 肄y ì 猿yu án 颖y ǐn ɡ 煞sh à 雏ch ú 馍m ó 馏li ú 禀b ǐn ɡ。
3500个常用汉字((注音版)啊(ā) 阿(ā) 埃(āi) 挨(āi) 哎(āi) 唉(āi) 哀(āi) 皑(ái) 癌(ái) 蔼(ǎi) 矮(ǎi) 艾(ài) 碍(ài) 爱(ài) 隘(ài) 鞍(ān) 氨(ān) 安(ān) 俺(ǎn) 按(àn) 暗(àn) 岸(àn) 胺(àn) 案(àn) 肮(ānɡ) 昂(ánɡ) 盎(ànɡ) 凹(āo) 敖(áo) 熬(áo) 翱(áo) 袄(ǎo) 傲(ào) 奥(ào) 懊(ào) 澳(ào)芭(bā) 捌(bā) 扒(bā) 叭(bā) 吧(bɑ) 笆(bā) 八(bā) 疤(bā) 巴(bā) 拔(bá) 跋(bá) 靶(bǎ) 把(bǎ) 耙(pá) 坝(bà) 霸(bà) 罢(bà) 爸(bà) 白(bái) 柏(bǎi) 百(bǎi) 摆(bǎi) 佰(bǎi) 败(bài) 拜(bài) 稗(bài) 斑(bān) 班(bān) 搬(bān) 扳(bān) 般(bān) 颁(bān) 板(bǎn) 版(bǎn) 扮(bàn) 拌(bàn) 伴(bàn) 瓣(bàn) 半(bàn) 办(bàn) 绊(bàn) 邦(bānɡ) 帮(bānɡ) 梆(bānɡ) 榜(bǎnɡ) 膀(bǎnɡ) 绑(bǎnɡ) 棒(bànɡ) 磅(bànɡ) 蚌(bànɡ) 镑(bànɡ) 傍(bànɡ) 谤(bànɡ) 苞(bāo) 胞(bāo) 包(bāo) 褒(bāo) 剥(bāo) 薄(báo) 雹(báo) 保(bǎo) 堡(bǎo) 饱(bǎo) 宝(bǎo) 抱(bào) 报(bào) 暴(bào) 豹(bào) 鲍(bào) 爆(bào) 杯(bēi) 碑(bēi) 悲(bēi) 卑(bēi) 北(běi) 辈(bèi) 背(bèi) 贝(bèi) 钡(bèi) 倍(bèi) 狈(bèi) 备(bèi) 惫(bèi) 焙(bèi) 被(bèi) 奔(bēn) 苯(běn) 本(běn) 笨(bèn) 崩(bēnɡ) 绷(bēnɡ) 甭(bénɡ) 泵(bènɡ) 蹦(bènɡ) 迸(bènɡ) 逼(bī) 鼻(bí) 比(bǐ) 鄙(bǐ) 笔(bǐ) 彼(bǐ) 碧(bì) 蓖(bì) 蔽(bì) 毕(bì) 毙(bì) 毖(bì) 币(bì) 庇(bì) 痹(bì) 闭(bì) 敝(bì) 弊(bì) 必(bì) 辟(pì) 壁(bì) 臂(bì) 避(bì) 陛(bì) 鞭(biān) 边(biān) 编(biān) 贬(biǎn) 扁(biǎn) 便(biàn) 变(biàn) 卞(biàn) 辨(biàn) 辩(biàn) 辫(biàn) 遍(biàn) 标(biāo) 彪(biāo) 膘(biāo) 表(biǎo)鳖(biē) 憋(biē) 别(bié) 瘪(biě) 彬(bīn) 斌(bīn) 濒(bīn) 滨(bīn) 宾(bīn) 摈(bìn) 兵(bīnɡ) 冰(bīnɡ) 柄(bǐnɡ) 丙(bǐnɡ) 秉(bǐnɡ) 饼(bǐnɡ) 炳(bǐnɡ) 病(bìnɡ) 并(bìnɡ) 玻(bō) 菠(bō) 播(bō) 拨(bō) 钵(bō) 波(bō) 博(bó) 勃(bó) 搏(bó) 铂(bó) 箔(bó) 伯(bó) 帛(bó) 舶(bó) 脖(bó) 膊(bó) 渤(bó) 泊(bó) 驳(bó) 捕(bǔ) 卜(bǔ) 哺(bǔ) 补(bǔ) 埠(bù) 不(bú) 布(bù) 步(bù) 簿(bù) 部(bù) 怖(bù)擦(cā) 猜(cāi) 裁(cái) 材(cái) 才(cái) 财(cái) 睬(cǎi) 踩(cǎi) 采(cǎi) 彩(cǎi) 菜(cài) 蔡(cài) 餐(cān) 参(cān) 蚕(cán) 残(cán) 惭(cán) 惨(cǎn) 灿(càn) 苍(cānɡ) 舱(cānɡ) 仓(cānɡ) 沧(cānɡ) 藏(cánɡ) 操(cāo) 糙(cāo) 槽(cáo) 曹(cáo) 草(cǎo) 厕(cè) 策(cè) 侧(cè) 册(cè) 测(cè) 层(cénɡ) 蹭(cènɡ) 插(chā) 叉(chā) 茬(chá) 茶(chá) 查(chá) 碴(chá) 搽(chá) 察(chá) 岔(chà) 差(chà) 诧(chà) 拆(chāi) 柴(chái) 豺(chái) 搀(chān) 掺(chān) 蝉(chán) 馋(chán) 谗(chán) 缠(chán) 铲(chǎn) 产(chǎn) 阐(chǎn) 颤(chàn) 昌(chānɡ) 猖(chānɡ) 场(chǎnɡ) 尝(chánɡ) 常(chánɡ) 长(chánɡ) 偿(chánɡ) 肠(chán ɡ) 厂(chǎnɡ) 敞(chǎnɡ) 畅(chànɡ) 唱(chànɡ) 倡(chànɡ) 超(chāo) 抄(chāo) 钞(chāo) 朝(cháo) 嘲(cháo) 潮(cháo) 巢(cháo) 吵(chǎo) 炒(chǎo) 车(chē) 扯(chě) 撤(chè) 掣(chè) 彻(chè) 澈(chè) 郴(chēn) 臣(chén) 辰(chén) 尘(chén) 晨(chén) 忱(chén) 沉(chén) 陈(chén) 趁(chèn) 衬(chèn) 撑(chēnɡ) 称(chēnɡ) 城(chénɡ) 橙(chénɡ) 成(chénɡ) 呈(chénɡ) 乘(chénɡ) 程(chénɡ) 惩(chénɡ) 澄(chénɡ) 诚(chénɡ) 承(chénɡ) 逞(chěnɡ) 骋(chěn ɡ) 秤(chènɡ) 吃(chī) 痴(chī) 持(chí) 匙(shi) 池(chí) 迟(chí) 弛(chí) 驰(chí)耻(chǐ) 齿(chǐ) 侈(chǐ) 尺(chǐ) 赤(chì) 翅(chì) 斥(chì) 炽(chì) 充(chōnɡ) 冲(chōnɡ) 虫(chónɡ) 崇(chónɡ) 宠(chǒnɡ) 抽(chōu) 酬(chóu) 畴(chóu) 踌(chóu) 稠(chóu) 愁(chóu) 筹(chóu) 仇(chóu) 绸(chóu) 瞅(chǒu) 丑(chǒu) 臭(chòu) 初(chū) 出(chū) 橱(chú) 厨(chú) 躇(chú) 锄(chú) 雏(chú) 滁(ch ú) 除(chú) 楚(chǔ) 础(chǔ) 储(chǔ) 矗(chù) 搐(chù) 触(chù) 处(chù) 揣(chuāi) 川(chuān) 穿(chuān) 椽(chuán) 传(chuán) 船(chuán) 喘(chuǎn) 串(chuàn) 疮(chuānɡ) 窗(chuānɡ) 幢(zhuànɡ) 床(chuánɡ) 闯(chuǎnɡ) 创(chuànɡ) 吹(chuī) 炊(chuī) 捶(chuí) 锤(chuí) 垂(chuí) 春(chūn) 椿(chūn) 醇(chún) 唇(chún) 淳(chún) 纯(chún) 蠢(chǔn) 戳(chuō) 绰(chāo) 疵(cī) 茨(cí) 磁(cí) 雌(cí) 辞(cí) 慈(cí) 瓷(cí) 词(cí) 此(cǐ) 刺(cì) 赐(cì) 次(cì) 聪(cōnɡ) 葱(cōnɡ) 囱(cōnɡ) 匆(cōnɡ) 从(cónɡ) 丛(cónɡ) 凑(còu) 粗(cū) 醋(cù) 簇(cù) 促(cù) 蹿(cuān) 篡(cuàn) 窜(cuàn) 摧(cuī) 崔(cuī) 催(cuī) 脆(cuì) 瘁(cuì) 粹(cuì) 淬(cuì)翠(cuì)村(cūn) 存(cún) 寸(cùn) 磋(cuō) 撮(cuō) 搓(cuō) 措(cuò) 挫(cuò) 错(cuò)搭(dā) 达(dá) 答(dá) 瘩(dá) 打(dǎ) 大(dà) 呆(dāi) 歹(dǎi) 傣(dǎi) 戴(dài) 带(dài) 殆(dài) 代(dài) 贷(dài) 袋(dài) 待(dài) 逮(dǎi) 怠(dài) 耽(dān) 担(dān) 丹(dān) 单(dān) 郸(dān) 掸(dǎn) 胆(dǎn) 旦(dàn) 氮(dàn) 但(dàn) 惮(dàn) 淡(dàn) 诞(dàn) 弹(dàn) 蛋(dàn) 当(dānɡ) 挡(dǎnɡ) 党(dǎnɡ) 荡(dànɡ) 档(dànɡ) 刀(dāo) 捣(dǎo) 蹈(dǎo) 倒(dǎo) 岛(dǎo) 祷(dǎo) 导(dǎo) 到(dào) 稻(dào) 悼(dào) 道(dào) 盗(dào) 德(dé) 得(dé) 的(de) 蹬(dēnɡ) 灯(dēnɡ) 登(dēnɡ) 等(děnɡ) 瞪(dènɡ) 凳(dènɡ) 邓(dènɡ) 堤(dī)低(dī) 滴(dī) 迪(dí) 敌(dí) 笛(dí) 狄(dí) 涤(dí) 翟(zhái) 嫡(dí) 抵(dǐ) 底(dǐ) 地(dì) 蒂(dì) 第(dì) 帝(dì) 弟(dì) 递(dì) 缔(dì) 颠(diān) 掂(diān) 滇(diān) 碘(diǎn) 点(diǎn) 典(diǎn) 靛(diàn) 垫(diàn) 电(diàn) 佃(diàn) 甸(diàn) 店(diàn) 惦(diàn) 奠(diàn) 淀(diàn) 殿(diàn) 碉(diāo) 叼(diāo) 雕(diāo) 凋(diāo) 刁(diāo) 掉(diào) 吊(diào) 钓(diào) 调(diào) 跌(diē) 爹(diē) 碟(dié) 蝶(dié) 迭(dié) 谍(dié) 叠(dié) 丁(dīnɡ) 盯(dīnɡ) 叮(dīnɡ) 钉(dìnɡ) 顶(dǐnɡ) 鼎(dǐnɡ) 锭(dìnɡ) 定(dìnɡ) 订(dìnɡ) 丢(diū) 东(dōnɡ) 冬(dōnɡ) 董(dǒnɡ) 懂(dǒnɡ) 动(dònɡ) 栋(dònɡ) 侗(dònɡ) 恫(dònɡ) 冻(dònɡ) 洞(dònɡ) 兜(dōu) 抖(dǒu) 斗(dòu) 陡(dǒu) 豆(dòu) 逗(dòu) 痘(dòu) 都(d ōu) 督(dū) 毒(dú) 犊(dú) 独(dú) 读(dú) 堵(dǔ) 睹(dǔ) 赌(dǔ) 杜(dù) 镀(dù) 肚(dù) 度(dù) 渡(dù) 妒(dù) 端(duān) 短(duǎn) 锻(duàn) 段(duàn) 断(duàn) 缎(duàn) 堆(duī) 兑(duì) 队(duì) 对(duì) 墩(dūn) 吨(dūn) 蹲(d ūn) 敦(dūn) 顿(dùn) 囤(dùn) 钝(dùn) 盾(dùn) 遁(dùn) 掇(duō) 哆(duō) 多(duō) 夺(duó) 垛(duǒ) 躲(duǒ) 朵(duǒ) 跺(duò) 舵(duò) 剁(duò) 惰(duò) 堕(duò)蛾(é) 峨(é) 鹅(é) 俄(é) 额(é) 讹(é) 娥(é) 恶(è) 厄(è) 扼(è) 遏(è) 鄂(è) 饿(è) 恩(ēn) 而(ér) 儿(ér) 耳(ěr) 尔(ěr) 饵(ěr) 洱(ěr) 二(èr) 贰(èr)发(fā) 罚(fá) 筏(fá) 伐(fá) 乏(fá) 阀(fá) 法(fǎ) 珐(fà) 藩(fān) 帆(fān) 番(fān) 翻(fān) 樊(fán) 矾(fán) 钒(fán) 繁(fán) 凡(fán) 烦(fán) 反(fǎn) 返(fǎn) 范(fàn) 贩(fàn) 犯(fàn) 饭(fàn) 泛(fàn) 坊(fānɡ) 芳(fānɡ) 方(fānɡ) 肪(fánɡ) 房(fánɡ) 防(fánɡ) 妨(fánɡ) 仿(fǎnɡ) 访(fǎnɡ) 纺(fǎnɡ) 放(fànɡ) 菲(fēi) 非(fēi) 啡(fēi) 飞(fēi) 肥(féi) 匪(fěi) 诽(fěi) 吠(fèi) 肺(fèi) 废(fèi) 沸(fèi) 费(fèi) 芬(fēn) 酚(fēn) 吩(fēn) 氛(fēn) 分(fēn) 纷(fēn) 坟(fén) 焚(fén) 汾(fén) 粉(fěn) 奋(fèn) 份(fèn) 忿(fèn) 愤(fèn) 粪(fèn) 丰(fēnɡ) 封(fēnɡ) 枫(fēnɡ) 蜂(fēnɡ) 峰(fēnɡ) 锋(fēnɡ) 风(fēnɡ) 疯(fēnɡ) 烽(fēnɡ) 逢(fénɡ) 冯(f énɡ) 缝(fénɡ) 讽(fěnɡ) 奉(fènɡ) 凤(fènɡ) 佛(fó) 否(fǒu) 夫(fū) 敷(fū) 肤(fū) 孵(fū) 扶(fú) 拂(fú) 辐(fú) 幅(fú) 氟(fú) 符(fú) 伏(fú) 俘(fú) 服(fú) 浮(fú) 涪(fú) 福(fú) 袱(fú) 弗(fú) 甫(fǔ) 抚(fǔ) 辅(fǔ) 俯(fǔ) 釜(fǔ) 斧(fǔ) 脯(pú) 腑(fǔ) 府(fǔ) 腐(fǔ) 赴(fù) 副(fù) 覆(fù) 赋(fù) 复(fù) 傅(fù) 付(fù) 阜(fù) 父(fù) 腹(fù) 负(fù) 富(fù) 讣(fù) 附(fù) 妇(fù) 缚(fù) 咐(fù)噶(ɡá) 嘎(ɡā) 该(ɡāi) 改(ɡǎi) 概(ɡài) 钙(ài) 盖(ɡài) 溉(ɡài) 干(ɡàn) 甘(ɡān) 杆(ɡǎn) 柑(ɡān) 竿(ɡān) 肝(ɡān) 赶(ɡǎn) 感(ɡǎn) 秆(ɡǎn) 敢(ɡǎn) 赣(ɡàn) 肛(ɡānɡ) 纲(ɡānɡ) 岗(ɡǎnɡ) 港(ɡǎnɡ) 杠(ɡànɡ) 篙(ɡāo) 皋(ɡāo) 高(ɡāo) 膏(ɡāo) 羔(ɡāo) 糕(ɡāo) 搞(ɡǎo) 镐(ɡǎo) 稿(ɡǎo) 告(ɡào) 哥(ɡē) 歌(ɡē) 搁(ɡē)戈(ɡē)鸽(ɡē) 胳(ɡē) 疙(ɡē)割(ɡē) 革(ɡé) 葛(ɡě) 格(ɡé) 蛤(h á) 阁(ɡé) 隔(ɡé) 铬(ɡè) 个(ɡè)各(ɡè)给(ɡěi)根(ɡēn)跟(ɡēn) 耕(ɡēnɡ) 更(ɡènɡ) 庚(ɡēnɡ)羹(ɡēnɡ)埂(ɡěnɡ) 耿(ɡěnɡ)梗(ɡěnɡ)工(ɡōnɡ)攻(ɡōnɡ)功(ɡōnɡ) 恭(ɡōnɡ)龚(ɡōnɡ)供(ɡònɡ)躬(ɡōnɡ)公(ɡōnɡ) 宫(ɡōnɡ)弓(ɡōnɡ)巩(ɡǒnɡ)汞(ɡǒnɡ) 拱(ɡǒnɡ) 贡(ɡòn)共(ɡònɡ)钩(ɡōu)勾(ɡōu)沟(ɡōu)苟(ɡǒu)狗(ɡǒu)垢(ɡòu) 构(ɡòu)购(ɡòu)够(ɡòu)辜(ɡū) 菇(ɡū) 咕(ɡū)箍(ɡū)估(ɡū) 沽(ɡū) 孤(ɡū) 姑(ɡū) 鼓(ɡǔ) 古(ɡǔ) 蛊(ɡǔ)骨(ɡǔ) 谷(ɡǔ) 股(ɡǔ) 故(ɡù)顾(ɡù) 固(ɡù) 雇(ɡù) 刮(ɡuā) 瓜(ɡuā) 剐(ɡuǎ)寡(ɡuǎ) 挂(ɡuà) 褂(ɡuà) 乖(ɡuāi) 拐(ɡuǎi) 怪(ɡuài) 棺(ɡuān) 关(ɡuān) 官(ɡuān) 冠(ɡuàn) 观(ɡuān) 管(ɡuǎn) 馆(ɡuǎn) 罐(ɡuàn) 惯(ɡuàn) 灌(ɡuàn) 贯(ɡɡuàn) 光(ɡuānɡ) 广(ɡuǎnɡ) 逛(ɡuànɡ) 瑰(ɡuī) 规(ɡuī) 圭(ɡuī) 硅(ɡuī) 归(ɡuī) 龟(ɡuī) 闺(ɡɡuī) 轨(ɡuǐ)鬼(ɡuǐ) 诡(ɡuǐ) 癸(ɡuǐ) 桂(ɡuì) 柜(ɡuì) 跪(ɡuì) 贵(ɡuì) 刽(ɡuì) 辊(ɡǔn) 滚(ɡǔn) 棍(ɡùn) 锅(ɡuō) 郭(ɡuō) 国(ɡuó) 果(ɡuǒ) 裹(ɡuǒ) 过(ɡuò)哈(hā) 骸(hái) 孩(hái) 海(hǎi) 氦(hài) 亥(hài) 害(hài) 骇(hài) 酣(hān) 憨(h ān) 邯(hán) 韩(hán) 含(hán) 涵(hán) 寒(hán) 函(hán) 喊(hǎn) 罕(hǎn) 翰(hàn) 撼(hàn) 扞(hàn) 旱(hàn) 憾(hàn) 悍(hàn) 焊(hàn) 汗(hàn) 汉(hàn)夯(hānɡ) 杭(hánɡ) 航(hánɡ) 壕(háo) 嚎(háo) 豪(háo) 毫(háo) 郝(hǎo) 好(hǎo) 耗(hào) 号(hào) 浩(hào) 呵(hē) 喝(hē) 荷(hé)菏(hé) 核(hé) 禾(h é) 和(hé) 何(hé) 合(hé) 盒(hé) 貉(hé) 阂(hé) 河(hé) 涸(hé) 赫(hè) 褐(hè) 鹤(hè) 贺(hè) 嘿(hēi) 黑(hēi) 痕(hén) 很(hěn) 狠(hěn) 恨(hèn) 哼(hēnɡ) 亨(hēnɡ) 横(hénɡ) 衡(hénɡ) 恒(hénɡ) 轰(hōnɡ) 哄(hǒnɡ) 烘(hōnɡ) 虹(h ónɡ) 鸿(hónɡ) 洪(hónɡ) 宏(hónɡ) 弘(hónɡ) 红(hónɡ) 喉(hóu) 侯(hóu) 猴(hóu) 吼(hǒu) 厚(hòu) 候(hòu) 后(hòu) 呼(hū) 乎(hū) 忽(hū) 瑚(hú) 壶(hú) 葫(hú) 胡(hú) 蝴(hú) 狐(hú) 糊(hú) 湖(hú) 弧(hú) 虎(hǔ) 唬(hǔ) 护(hù) 互(hù) 沪(hù) 户(hù) 花(huā) 哗(huá) 华(huá) 猾(huá) 滑(huá) 画(huà) 划(huá) 化(huà) 话(huà) 槐(huái) 徊(huái) 怀(huái) 淮(huái) 坏(hu ài) 欢(huān) 环(huán) 桓(huán) 还(hái) 缓(huǎn) 换(huàn)患(huàn灰(huī)挥(huī)辉(huī) 徽(huī) 恢(huī) 蛔(huí) 回(huí) 毁(huǐ) 悔(huǐ) 慧(huì) 卉(huì) 惠(huì) 晦(huì) 贿(huì) 秽(huì) 会(huì) 烩(huì) 汇(huì) 讳(huì) 诲(hu ì) 绘(huì) 荤(hūn) 昏(hūn) 婚(hūn) 魂(hún) 浑(hún) 混(hún) 豁(huō) 活(huó) 伙(huǒ) 火(huǒ) 获(huò) 或(huò) 惑(huò) 霍(huò) 货(huò) 祸(hu ò)击(jī) 圾(jī) 基(jī) 机(jī) 畸(jī) 稽(jī) 积(jī) 箕(jī) 肌(jī) 饥(jī) 迹(jì) 激(jī) 讥(jī) 鸡(jī) 姬(jī) 绩(jì) 缉(jī) 吉(jí) 极(jí) 棘(jí) 辑(jí) 籍(jí) 集(jí) 及(jí) 急(jí) 疾(jí) 汲(jí) 即(jí) 嫉(jí) 级(jí) 挤(jǐ) 几(jǐ) 脊(jǐ) 己(jǐ) 蓟(jì) 技(jì) 冀(jì) 季(jì) 伎(jì) 祭(jì) 剂(jì) 悸(jì) 济(jì) 寄(jì) 寂(jì) 计(jì) 记(jì) 既(jì) 忌(jì) 际(jì) 妓(jì) 继(jì) 纪(jì) 嘉(jiā) 枷(jiā) 夹(jiá) 佳(jiā) 家(jiā) 加(jiā) 荚(jiá) 颊(jiá) 贾(jiǎ) 甲(jiǎ) 钾(jiǎ) 假(jiǎ) 稼(jià) 价(jià) 架(jià) 驾(jià) 嫁(jià) 歼(jiān) 监(jiān) 坚(jiān) 尖(jiān) 笺(jiān) 间(jiān) 煎(jiān) 兼(jiān) 肩(jiān) 艰(jiān) 奸(jiān) 缄(jiān) 茧(jiǎn) 检(jiǎn) 柬(jiǎn) 碱(jiǎn) 碱(jiǎn) 拣(jiǎn) 捡(jiǎn) 简(jiǎn) 俭(jiǎn) 剪(jiǎn) 减(jiǎn) 荐(jiàn) 槛(kǎn) 鉴(jiàn) 践(jiàn) 贱(jiàn) 见(jiàn) 键(jiàn) 箭(jiàn) 件(jiàn) 健(jiàn) 舰(jiàn) 剑(jiàn) 饯(jiàn) 渐(jiàn) 溅(jiàn) 涧(jiàn) 建(jiàn) 僵(jiānɡ) 姜(jiānɡ) 将(jiānɡ) 浆(jiānɡ) 江(jiānɡ) 疆(jiānɡ) 蒋(jiǎnɡ) 桨(jiǎnɡ) 奖(jiǎnɡ) 讲(jiǎn ɡ) 匠(jiànɡ) 酱(jiànɡ) 降(jiànɡ) 蕉(jiāo) 椒(jiāo) 礁(jiāo) 焦(jiāo) 胶(jiāo) 交(jiāo) 郊(jiāo) 浇(jiāo) 骄(jiāo) 娇(jiāo) 嚼(jiáo) 搅(jiǎo) 铰(jiǎo) 矫(ji ǎo) 侥(yáo) 脚(jiǎo) 狡(jiǎo) 角(jiǎo) 饺(jiǎo) 缴(jiǎo) 绞(jiǎo) 剿(jiǎo) 教(jiāo) 酵(jiào) 轿(jiào) 较(jiào) 叫(jiào) 窖(jiào) 揭(jiē) 接(jiē) 皆(jiē)秸(jiē) 街(jiē) 阶(jiē) 截(jié) 劫(jié) 节(jiē) 桔(jié) 杰(jié) 捷(jié) 睫(jié) 竭(jié) 洁(jié) 结(jié) 解(jiě) 姐(jiě) 戒(jiè) 藉(jiè) 芥(jiè) 界(jiè) 借(jiè) 介(jiè) 疥(jiè) 诫(jiè) 届(jiè) 巾(jīn) 筋(jīn) 斤(jīn) 金(jīn) 今(jīn) 津(jīn) 襟(jīn) 紧(jǐn) 锦(jǐn) 仅(jǐn) 谨(jǐn) 进(jìn) 靳(jìn) 晋(jìn) 禁(jìn) 近(jìn) 烬(jìn) 浸(jìn) 尽(jìn) 劲(jìn) 荆(jīnɡ) 兢(jīnɡ) 茎(jīnɡ) 睛(jīnɡ) 晶(jīnɡ) 鲸(jīnɡ) 京(jīnɡ) 惊(jīnɡ) 精(jīnɡ) 粳(jīnɡ) 经(jīnɡ) 井(jǐnɡ) 警(jǐnɡ) 景(j ǐnɡ) 颈(jǐnɡ) 静(jìnɡ) 境(jìnɡ) 敬(jìnɡ) 镜(jìnɡ) 径(jìnɡ) 痉(jìnɡ) 靖(jìnɡ) 竟(jìnɡ) 竞(jìnɡ) 净(jìnɡ) 炯(jiǒnɡ) 窘(jiǒnɡ) 揪(jiū) 究(jiū) 纠(jiū) 玖(jiǔ) 韭(jiǔ) 久(jiǔ) 灸(jiǔ) 九(jiǔ) 酒(jiǔ) 厩(jiù) 救(jiù) 旧(jiù) 臼(jiù) 舅(jiù) 咎(jiù) 就(jiù) 疚(jiù) 鞠(jū) 拘(jū) 狙(jū) 疽(jū) 居(jū) 驹(jū) 菊(jú) 局(j ú) 咀(jǔ) 矩(jǔ) 举(jǔ) 沮(jǔ) 聚(jù) 拒(jù) 据(jù) 巨(jù) 具(jù) 距(jù) 踞(jù) 锯(jù) 俱(jù) 句(jù) 惧(jù) 炬(jù) 剧(jù) 捐(juān) 鹃(juān) 娟(juān) 倦(juàn) 眷(juàn) 卷(juǎn) 绢(juàn) 撅(juē) 攫(jué) 抉(jué) 掘(jué) 倔(juè) 爵(jué) 觉(jiào) 决(jué) 诀(jué) 绝(jué) 均(jūn) 菌(jūn) 钧(jūn) 军(jūn) 君(jūn) 峻(jùn) 俊(jùn) 竣(jùn) 浚(xùn) 郡(jùn) 骏(jùn)喀(kā) 咖(kā) 卡(kǎ) 咯(ɡē) 开(kāi) 揩(kāi) 楷(kǎi) 凯(kǎi) 慨(kǎi) 刊(kān) 堪(kān) 勘(kān) 坎(kǎn) 砍(kǎn) 看(kàn) 康(kānɡ) 慷(kānɡ) 糠(kānɡ) 扛(kánɡ) 抗(kànɡ) 亢(kànɡ) 炕(kànɡ) 考(kǎo) 拷(kǎo) 烤(kǎo) 靠(kào) 坷(k ě) 苛(kē) 柯(kē) 棵(kē) 磕(kē) 颗(kē) 科(kē) 壳(ké) 咳(hāi) 可(kě) 渴(kě) 克(kè) 刻(kè) 客(kè) 课(kè) 肯(kěn) 啃(kěn) 垦(kěn) 恳(kěn) 坑(kēnɡ) 吭(kēnɡ) 空(kōnɡ) 恐(kǒnɡ) 孔(kǒnɡ) 控(kònɡ) 抠(kōu) 口(kǒu) 扣(kòu)寇(kòu) 枯(kū) 哭(kū) 窟(kū) 苦(kǔ) 酷(kù) 库(kù) 裤(kù) 夸(kuā) 垮(kuǎ) 挎(kuà) 跨(kuà) 胯(kuà) 块(kuài) 筷(kuài) 侩(kuài) 快(kuài) 宽(kuān) 款(kuǎn) 匡(kuānɡ) 筐(kuānɡ) 狂(kuánɡ) 框(kuànɡ) 矿(kuànɡ) 眶(kuànɡ) 旷(kuànɡ) 况(kuànɡ) 亏(kuī) 盔(kuī) 岿(kuī) 窥(kuī) 葵(kuí) 奎(kuí) 魁(kuí) 傀(ɡuī) 馈(kuì) 愧(kuì) 溃(kuì) 坤(kūn) 昆(kūn) 捆(kǔn) 困(kùn) 括(kuò) 扩(kuò) 廓(kuò) 阔(kuò)垃(lā) 拉(lā) 喇(lā) 蜡(là) 腊(là) 辣(là) 啦(lā) 莱(lái) 来(lái) 赖(lài) 蓝(lán) 婪(lán) 栏(lán) 拦(lán) 篮(lán) 阑(lán) 兰(lán) 澜(lán) 谰(lán) 揽(lǎn) 览(lǎn) 懒(lǎn) 缆(lǎn) 烂(làn) 滥(làn) 琅(lánɡ) 榔(lánɡ) 狼(lánɡ) 廊(lánɡ) 郎(l ánɡ) 朗(lǎnɡ) 浪(lànɡ) 捞(lāo) 劳(láo) 牢(láo) 老(lǎo) 佬(lǎo) 姥(lǎo) 酪(l ào) 烙(lào) 涝(láo) 勒(lè) 乐(lè) 雷(léi) 镭(léi) 蕾(lěi) 磊(lěi) 累(lèi) 儡(lěi) 垒(lěi) 擂(lèi) 肋(lèi) 类(lèi) 泪(lèi) 棱(lénɡ) 楞(lénɡ) 冷(lěnɡ) 厘(lí) 梨(lí) 犁(lí) 黎(lí) 篱(lí) 狸(lí) 离(lí) 漓(lí) 理(lǐ) 李(lǐ) 里(lǐ) 鲤(lǐ) 礼(lǐ) 莉(lì) 荔(lì) 吏(lì) 栗(lì) 丽(lì) 厉(lì) 励(lì) 砾(lì) 历(lì) 利(lì) 僳(sù) 例(lì) 俐(lì) 痢(lì) 立(l ì) 粒(lì) 沥(lì) 隶(lì) 力(lì) 璃(lí) 哩(lǐ) 俩(liǎnɡ) 联(lián) 莲(lián) 连(lián) 镰(lián) 廉(lián) 怜(lián) 涟(lián) 帘(lián) 敛(liǎn) 脸(liǎn) 链(liàn) 恋(liàn) 炼(liàn) 练(liàn) 粮(liánɡ) 凉(liánɡ) 梁(liánɡ) 粱(liánɡ) 良(liánɡ) 两(liǎnɡ) 辆(liànɡ) 量(liànɡ) 晾(liànɡ) 亮(liànɡ) 谅(liànɡ) 撩(liáo) 聊(liáo) 僚(liáo) 疗(liáo) 燎(liáo) 寥(liáo) 辽(liáo) 潦(liáo) 了(le) 撂(liào) 镣(liào) 廖(liào) 料(liào) 列(liè) 裂(liè) 烈(liè) 劣(liè) 猎(liè) 琳(lín) 林(lín) 磷(lín) 霖(lín) 临(lín) 邻(lín) 鳞(lín) 淋(lín) 凛(lǐn) 赁(lìn) 吝(lìn) 拎(līn) 玲(línɡ) 菱(línɡ) 零(línɡ) 龄(línɡ) 铃(línɡ) 伶(línɡ) 羚(línɡ) 凌(línɡ) 灵(línɡ) 陵(línɡ) 岭(lǐnɡ) 领(lǐnɡ) 另(lìnɡ) 令(lìnɡ) 溜(liū) 琉(liú) 榴(liú) 硫(liú) 馏(liú) 留(liú) 刘(liú) 瘤(liú) 流(liú) 柳(liǔ) 六(liù) 龙(lónɡ) 聋(lónɡ) 咙(lónɡ) 笼(lónɡ) 窿(lónɡ) 隆(lónɡ) 垄(lǒnɡ) 拢(lǒnɡ) 陇(lǒnɡ) 楼(lóu) 娄(lóu) 搂(lǒu) 篓(lǒu) 漏(lòu) 陋(lòu) 芦(lú) 卢(lú) 颅(lú) 庐(lú) 炉(lú) 掳(lǔ) 卤(lǔ) 虏(lǔ) 鲁(lǔ) 麓(l ù) 碌(lù) 露(lù) 路(lù) 赂(lù) 鹿(lù) 潞(lù) 禄(lù) 录(lù) 陆(lù) 戮(lù) 驴(lǘ) 吕(lǚ) 铝(lǚ) 侣(lǚ) 旅(lǚ) 履(lǚ) 屡(lǚ) 缕(lǚ) 虑(lǜ) 氯(lǜ) 律(lǜ) 率(lǜ) 滤(lǜ) 绿(lǜ) 峦(luán) 挛(luán) 孪(luán) 滦(luán) 卵(luǎn) 乱(luàn) 掠(luě) 略(luè) 抡(lūn) 轮(lún) 伦(lún) 仑(lún) 沦(lún) 纶(lún) 论(lùn) 萝(luó) 螺(luó) 罗(luó) 逻(luó) 锣(luó) 箩(luó) 骡(luó) 裸(luǒ) 落(luò) 洛(luò) 骆(ji à) 络(luò)妈(mā) 麻(má) 玛(mǎ) 码(mǎ) 蚂(mǎ) 马(mǎ) 骂(mà) 嘛(mɑ) 吗(mɑ) 埋(mái) 买(mǎi) 麦(mài) 卖(mài) 迈(mài) 脉(mài) 瞒(mán) 馒(mán) 蛮(mán) 满(mǎn) 蔓(màn) 曼(màn) 慢(màn) 漫(màn) 谩(màn) 芒(mánɡ) 茫(mán ɡ) 盲(mánɡ) 氓(mánɡ) 忙(mánɡ) 莽(mǎnɡ) 猫(māo) 茅(máo) 锚(máo) 毛(máo) 矛(máo) 铆(mǎo) 卯(mǎo) 茂(mào) 冒(mào) 帽(mào) 貌(mào) 贸(mào) 么(me) 玫(méi) 枚(méi) 梅(méi) 酶(méi) 霉(méi) 煤(méi) 没(méi) 眉(méi) 媒(méi) 镁(měi) 每(měi) 美(měi) 昧(mèi) 寐(mèi) 妹(mèi) 媚(mèi) 门(mén) 闷(mèn) 们(men) 萌(ménɡ) 蒙(ménɡ) 檬(ménɡ) 盟(mén ɡ) 锰(měnɡ) 猛(měnɡ) 梦(mènɡ) 孟(mènɡ) 眯(mī) 醚(mí) 靡(mí) 糜(mí) 迷(mí) 谜(mí) 弥(mí) 米(mǐ) 秘(mì) 觅(mì) 泌(mì) 蜜(mì) 密(mì) 幂(mì)棉(mián) 眠(mián) 绵(mián) 冕(miǎn) 免(miǎn) 勉(miǎn) 娩(miǎn) 缅(mi ǎn) 面(miàn) 苗(miáo) 描(miáo) 瞄(miáo) 藐(miǎo) 秒(miǎo) 渺(miǎo) 庙(miào) 妙(miào) 蔑(miè) 灭(miè) 民(mín) 抿(mǐn) 皿(mǐn) 敏(mǐn) 悯(mǐn) 闽(mǐn) 明(mínɡ) 螟(mínɡ) 鸣(mínɡ) 铭(mínɡ) 名(mínɡ) 命(mìnɡ) 谬(miù) 摸(mō) 摹(mó) 蘑(mó) 模(mó) 膜(mó) 磨(mó) 摩(mó) 魔(mó) 抹(mǒ) 末(mò) 莫(mò) 墨(mò) 默(mò) 沫(mò) 漠(mò) 寞(mò) 陌(mò) 谋(móu) 牟(móu) 某(mǒu) 拇(mǔ) 牡(mǔ) 亩(mǔ) 姆(mǔ) 母(mǔ) 墓(mù) 暮(mù) 幕(mù) 募(mù) 慕(mù) 木(mù) 目(mù) 睦(mù) 牧(mù) 穆(mù)拿(ná) 哪(nǎ) 呐(nà) 钠(nà) 那(nà) 娜(nà) 纳(nà) 氖(nǎi) 乃(nǎi) 奶(nǎi) 耐(nài) 奈(nài) 南(nán) 男(nán) 难(nán) 囊(nánɡ) 挠(náo) 脑(nǎo) 恼(nǎo) 闹(nào) 淖(nào) 呢(ne) 馁(něi) 内(nèi) 嫩(nèn) 能(nénɡ) 妮(nī) 霓(ní) 倪(ní) 泥(ní) 尼(ní) 拟(nǐ) 你(nǐ) 匿(nì) 腻(nì) 逆(nì) 溺(nì) 蔫(niān) 拈(niān) 年(nián) 碾(niǎn) 撵(niǎn) 捻(niǎn) 念(niàn) 娘(niánɡ) 酿(niànɡ) 鸟(ni ǎo) 尿(niào) 捏(niē) 聂(niè) 孽(niè) 啮(niè) 镊(niè) 镍(niè) 涅(niè) 您(nín) 柠(nínɡ) 狞(nínɡ) 凝(nínɡ) 宁(nínɡ) 拧(nǐnɡ) 泞(nìnɡ) 牛(niú) 扭(niǔ) 钮(niǔ) 纽(niǔ) 脓(nónɡ) 浓(nónɡ) 农(nónɡ) 弄(nònɡ) 奴(nú) 努(nǔ) 怒(nù) 女(nǚ) 暖(nuǎn) 虐(nuè) 疟(nuè) 挪(nuó) 懦(nuò) 糯(nuò) 诺(nuò)哦(ò) 欧(ōu) 鸥(ōu) 殴(ōu) 藕(ǒu) 呕(ǒu) 偶(ǒu) 沤(ōu) 啪(pā) 趴(pā) 爬(pá) 帕(pà) 怕(pà) 琶(pá) 拍(pāi) 排(pái) 牌(pái) 徘(pái) 湃(pài) 派(pài) 攀(pān) 潘(pān) 盘(pán) 磐(pán) 盼(pàn) 畔(pàn) 判(pàn) 叛(pàn) 乓(pānɡ) 庞(pánɡ) 旁(pánɡ) 耪(pǎnɡ) 胖(pànɡ) 抛(pāo) 咆(páo) 刨(páo) 炮(p ào) 袍(páo) 跑(pǎo) 泡(pào) 呸(pēi) 胚(pēi) 培(péi) 裴(péi) 赔(péi) 陪(p éi) 配(pèi) 佩(pèi) 沛(pèi) 喷(pēn) 盆(pén) 砰(pēnɡ) 抨(pēnɡ) 烹(pēnɡ) 澎(pénɡ) 彭(pénɡ) 蓬(pénɡ) 棚(pénɡ) 硼(pénɡ) 篷(pénɡ) 膨(pénɡ) 朋(p énɡ) 鹏(pénɡ) 捧(pěnɡ) 碰(pènɡ) 坯(pī) 砒(pī) 霹(pī) 批(pī) 披(pī) 劈(pī) 琵(pí) 毗(pí) 啤(pí) 脾(pí) 疲(pí) 皮(pí) 匹(pǐ) 痞(pǐ) 僻(pì) 屁(pì) 譬(pì) 篇(piān) 偏(piān) 片(piàn) 骗(piàn) 飘(piāo) 漂(piāo) 瓢(piáo) 票(piào) 撇(piě) 瞥(piē) 拼(pīn) 频(pín) 贫(pín) 品(pǐn) 聘(pìn) 乒(pīnɡ) 坪(pínɡ) 苹(pínɡ) 萍(pínɡ) 平(pínɡ) 凭(pínɡ) 瓶(pínɡ) 评(pínɡ) 屏(pínɡ) 坡(pō) 泼(pō) 颇(pō) 婆(pó) 破(pò) 魄(pò) 迫(pò) 粕(pò) 剖(pōu) 扑(pū) 铺(pū) 仆(pú) 莆(pú) 葡(pú) 菩(pú) 蒲(pú) 埔(pǔ) 朴(pǔ) 圃(pǔ) 普(pǔ) 浦(pǔ) 谱(pǔ) 曝(pù) 瀑(pù)期(qī) 欺(qī) 栖(qī) 戚(qī) 妻(qī) 七(qī) 凄(qī) 漆(qī) 柒(qī) 沏(qī) 其(qí) 棋(qí) 奇(qí) 歧(qí) 畦(qí) 崎(qí) 脐(qí) 齐(qí) 旗(qí) 祈(qí) 祁(qí) 骑(jì) 起(qǐ) 岂(qǐ) 乞(qǐ) 企(qǐ) 启(qǐ) 契(qì) 砌(qì) 器(qì) 气(qì) 迄(qì) 弃(qì) 汽(qì) 泣(qì) 讫(qì) 掐(qiā) 洽(qià) 牵(qiān) 扦(qiān) 钎(qiān) 铅(qiān) 千(qiān) 迁(qiān) 签(qiān) 仟(qiān) 谦(qiān) 乾(qián) 黔(qián) 钱(qián) 钳(qián) 前(qián) 潜(qián) 遣(qiǎn) 浅(qiǎn) 谴(qiǎn) 堑(qiàn) 嵌(qiàn) 欠(qiàn) 歉(qiàn) 枪(qiānɡ) 呛(qiànɡ) 腔(qiānɡ) 羌(qiānɡ) 墙(qiánɡ) 蔷(qi ánɡ) 强(qiánɡ) 抢(qiǎnɡ) 橇(qiāo) 锹(qiāo) 敲(qiāo) 悄(qiāo) 桥(qiáo) 瞧(qiáo) 乔(qiáo) 侨(qiáo) 巧(qiǎo) 鞘(qiào) 撬(qiào) 翘(qiào) 峭(qiào)俏(qiào) 窍(qiào) 切(qiē) 茄(qié) 且(qiě) 怯(qiè) 窃(qiè) 钦(qīn) 侵(qīn) 亲(qīn) 秦(qín) 琴(qín) 勤(qín) 芹(qín) 擒(qín) 禽(qín) 寝(qǐn) 沁(qìn) 青(qīnɡ) 轻(qīnɡ) 氢(qīnɡ) 倾(qīnɡ) 卿(qīnɡ) 清(qīnɡ) 擎(qínɡ) 晴(qínɡ) 氰(qínɡ) 情(qínɡ) 顷(qǐnɡ) 请(qǐnɡ) 庆(qìnɡ) 琼(qiónɡ) 穷(qiónɡ) 秋(qiū) 丘(qiū) 邱(qiū) 球(qiú) 求(qiú) 囚(qiú) 酋(qiú) 泅(qiú) 趋(qū) 区(qū) 蛆(qū) 曲(qǔ) 躯(qū) 屈(qū) 驱(qū) 渠(qú) 取(qǔ) 娶(qǔ) 龋(qǔ) 趣(qù) 去(qù) 圈(quān) 颧(quán) 权(quán) 醛(quán) 泉(quán) 全(quán) 痊(quán) 拳(quán) 犬(quǎn) 券(quàn) 劝(quàn) 缺(quē) 炔(ɡuì) 瘸(qué) 却(què) 鹊(què) 榷(què) 确(què) 雀(què) 裙(qún) 群(qún)然(rán) 燃(rán) 冉(rǎn) 染(rǎn) 瓤(ránɡ) 壤(rǎnɡ) 攘(rǎnɡ) 嚷(rǎnɡ) 让(rànɡ) 饶(ráo) 扰(rǎo) 绕(rào) 惹(rě) 热(rè) 壬(rén) 仁(rén) 人(rén) 忍(rěn) 韧(rèn) 任(rèn) 认(rèn) 刃(rèn) 妊(rèn) 纫(rèn) 扔(rēnɡ) 仍(rénɡ) 日(rì) 戎(rónɡ) 茸(rónɡ) 蓉(rónɡ) 荣(rónɡ) 融(rónɡ) 熔(rónɡ) 溶(rónɡ) 容(rón ɡ) 绒(rónɡ) 冗(rǒnɡ) 揉(róu) 柔(róu) 肉(ròu) 茹(rú) 蠕(rú) 儒(rú) 孺(rú) 如(rú) 辱(rǔ) 乳(rǔ) 汝(rǔ) 入(rù) 褥(rù) 软(ruǎn) 阮(ruǎn) 蕊(ruǐ) 瑞(ruì) 锐(ruì) 闰(rùn) 润(rùn) 若(ruò) 弱(ruò)撒(sā) 洒(sǎ) 萨(sà) 腮(sāi) 鳃(sāi) 塞(sāi) 赛(sài) 三(sān) 叁(sān) 伞(sǎn) 散(sàn) 桑(sānɡ) 嗓(sǎnɡ) 丧(sànɡ) 搔(sāo) 骚(sāo) 扫(sǎo) 嫂(sǎo) 瑟(s è) 色(sè) 涩(sè) 森(sēn) 僧(sēnɡ) 莎(shā) 砂(shā) 杀(shā) 刹(chà) 沙(shā) 纱(shā) 傻(shǎ) 啥(shá) 煞(shà) 筛(shāi) 晒(shài) 珊(shān) 苫(shān) 杉(shān) 山(shān) 删(shān) 煽(shān) 衫(shān) 闪(shǎn) 陕(shǎn) 擅(shàn) 赡(shàn) 膳(shàn) 善(shàn) 汕(shàn) 扇(shàn) 缮(shàn) 墒(shānɡ) 伤(shān ɡ) 商(shānɡ) 赏(shǎnɡ) 晌(shǎnɡ) 上(shànɡ) 尚(shànɡ) 裳(shɑnɡ) 梢(sh āo) 捎(shāo) 稍(shāo) 烧(shāo) 芍(sháo) 勺(sháo) 韶(sháo) 少(shǎo) 哨(shào) 邵(shào) 绍(shào) 奢(shē) 赊(shē) 蛇(shé) 舌(shé) 舍(shě) 赦(shè) 摄(shè) 射(shè) 慑(shè) 涉(shè) 社(shè) 设(shè) 砷(shēn) 申(shēn) 呻(sh ēn) 伸(shēn) 身(shēn) 深(shēn) 娠(shēn) 绅(shēn) 神(shén) 沈(shěn) 审(shěn) 婶(shěn) 甚(shèn) 肾(shèn) 慎(shèn) 渗(shèn) 声(shēnɡ) 生(shēn ɡ) 甥(shēnɡ) 牲(shēnɡ) 升(shēnɡ) 绳(shénɡ) 省(shěnɡ) 盛(shènɡ) 剩(sh ènɡ) 胜(shènɡ) 圣(shènɡ) 师(shī) 失(shī) 狮(shī) 施(shī) 湿(shī) 诗(shī) 尸(shī) 虱(shī) 十(shí) 石(dān) 拾(shí) 时(shí) 什(shén) 食(shí) 蚀(shí) 实(shí) 识(shí) 史(shǐ) 矢(shǐ) 使(shǐ) 屎(shǐ) 驶(shǐ) 始(shǐ) 式(shì) 示(shì) 士(shì) 世(shì) 柿(shì) 事(shì) 拭(shì) 誓(shì) 逝(shì) 势(shì) 是(shì) 嗜(shì) 噬(shì) 适(shì) 仕(shì) 侍(shì) 释(shì) 饰(shì) 氏(shì) 市(shì) 恃(shì) 室(shì) 视(shì) 试(shì) 收(shōu) 手(shǒu) 首(shǒu) 守(shǒu) 寿(shòu) 授(shòu) 售(shòu) 受(shòu) 瘦(shòu) 兽(shòu) 蔬(shū) 枢(shū) 梳(shū) 殊(shū) 抒(shū) 输(shū) 叔(shū) 舒(shū) 淑(shū) 疏(shū) 书(shū) 赎(shú) 孰(shú) 熟(shú) 薯(shǔ) 暑(shǔ) 曙(shǔ) 署(shǔ) 蜀(shǔ) 黍(shǔ) 鼠(shǔ) 属(shǔ) 术(shù) 述(shù) 树(shù) 束(shù) 戍(shù) 竖(shù) 墅(shù) 庶(shù) 数(shù) 漱(shù) 恕(shù) 刷(shuā) 耍(shuǎ) 摔(shuāi) 衰(shuāi) 甩(shuǎi) 帅(shuài) 栓(shuān) 拴(shuān) 霜(shuānɡ) 双(shuānɡ) 爽(shuǎnɡ) 谁(shuí) 水(shuǐ) 睡(shuì) 税(shuì) 吮(shǔn) 瞬(shùn) 顺(shùn) 舜(shùn) 说(shuō) 硕(shuò)朔(shuò) 烁(shuò) 斯(sī) 撕(sī) 嘶(sī) 思(sī) 私(sī) 司(sī) 丝(sī) 死(sǐ) 肆(sì) 寺(sì) 嗣(sì) 四(sì) 伺(sì) 似(sì) 饲(sì) 巳(sì) 松(sōnɡ) 耸(sǒnɡ) 怂(sǒnɡ) 颂(sònɡ) 送(sònɡ) 宋(sònɡ) 讼(sònɡ) 诵(sònɡ) 搜(sōu) 艘(sōu) 擞(sǒu) 嗽(sòu) 苏(sū) 酥(sū) 俗(sú) 素(sù) 速(sù) 粟(sù) 僳(sù) 塑(sù) 溯(sù) 宿(sù) 诉(sù) 肃(sù) 酸(suān) 蒜(suàn) 算(suàn) 虽(suī) 隋(suí) 随(suí) 绥(suí) 髓(suǐ) 碎(suì) 岁(suì) 穗(suì) 遂(suí) 隧(suì) 祟(suì) 孙(sūn) 损(sǔn) 笋(sǔn) 蓑(suō) 梭(suō) 唆(suō) 缩(suō) 琐(suǒ) 索(suǒ) 锁(suǒ) 所(suǒ)塌(tā) 他(tā) 它(tā) 她(tā) 塔(tǎ) 獭(tǎ) 挞(tà) 蹋(tà) 踏(tà) 胎(tāi) 苔(tái) 抬(tái) 台(tái) 泰(tài) 酞(tài) 太(tài) 态(tài) 汰(tài) 坍(tān) 摊(tān) 贪(tān) 瘫(tān) 滩(tān) 坛(tán) 檀(tán) 痰(tán) 潭(tán) 谭(tán) 谈(tán) 坦(tǎn) 毯(tǎn) 袒(tǎn) 碳(tàn) 探(tàn) 叹(tàn) 炭(tàn) 汤(tānɡ) 塘(tánɡ) 搪(tánɡ) 堂(tánɡ) 棠(tánɡ) 膛(tánɡ) 唐(tánɡ) 糖(tánɡ) 倘(tǎnɡ) 躺(tǎnɡ) 淌(tǎnɡ) 趟(tànɡ) 烫(tànɡ) 掏(tāo) 涛(tāo) 滔(tāo) 绦(tāo) 萄(táo) 桃(táo) 逃(táo) 淘(táo) 陶(táo) 讨(tǎo) 套(tào) 特(tè) 藤(ténɡ) 腾(ténɡ) 疼(ténɡ) 誊(tén ɡ) 梯(tī) 剔(tī) 踢(tī) 锑(tī) 提(tí) 题(tí) 蹄(tí) 啼(tí) 体(tǐ) 替(tì) 嚏(tì) 惕(tì) 涕(tì) 剃(tì) 屉(tì) 天(tiān) 添(tiān) 填(tián) 田(tián) 甜(tián) 恬(tián) 舔(ti ǎn) 腆(tiǎn) 挑(tiāo) 条(tiáo) 迢(tiáo) 眺(tiào) 跳(tiào) 贴(tiē) 铁(tiě) 帖(tiē) 厅(tīnɡ) 听(tīnɡ) 烃(tīnɡ) 汀(tīnɡ) 廷(tínɡ) 停(tínɡ) 亭(tínɡ) 庭(tínɡ) 挺(tǐnɡ) 艇(tǐnɡ) 通(tōnɡ) 桐(tónɡ) 酮(tónɡ) 瞳(tónɡ) 同(tónɡ) 铜(tónɡ) 彤(tónɡ) 童(tónɡ) 桶(tǒnɡ) 捅(tǒnɡ) 筒(tǒnɡ) 统(tǒnɡ) 痛(tònɡ) 偷(tōu) 投(tóu) 头(tóu) 透(tòu) 凸(tū) 秃(tū) 突(tū) 图(tú) 徒(tú) 途(tú) 涂(tú) 屠(tú) 土(tǔ) 吐(tǔ) 兔(tù) 湍(tuān) 团(tuán) 推(tuī) 颓(tuí) 腿(tuǐ) 蜕(tuì) 褪(tuì) 退(tuì) 吞(tūn) 屯(tún) 臀(tún) 拖(tuō) 托(tuō) 脱(tuō) 鸵(tuó) 陀(tuó) 驮(tuó) 驼(tuó) 椭(tuǒ) 妥(tuǒ) 拓(tuò) 唾(tuò)挖(wā) 哇(wā) 蛙(wā) 洼(wā) 娃(wá) 瓦(wǎ) 袜(wà) 歪(wāi) 外(wài) 豌(w ān) 弯(wān) 湾(wān) 玩(wán) 顽(wán) 丸(wán) 烷(wán) 完(wán) 碗(wǎn) 挽(wǎn) 晚(wǎn) 皖(wǎn) 惋(wǎn) 宛(wǎn) 婉(wǎn) 万(wàn) 腕(wàn) 汪(wānɡ) 王(wánɡ) 亡(wánɡ) 枉(wǎnɡ) 网(wǎnɡ) 往(wǎnɡ) 旺(wànɡ) 望(w ànɡ) 忘(wànɡ) 妄(wànɡ) 威(wēi) 巍(wēi) 微(wēi) 危(wēi) 韦(wéi) 违(wéi) 桅(wéi) 围(wéi) 唯(wéi) 惟(wéi) 为(wéi) 潍(wéi) 维(wéi) 苇(wěi) 萎(wěi) 委(wěi) 伟(wěi) 伪(wěi) 尾(wěi) 纬(wěi) 未(wèi) 蔚(wèi) 味(wèi) 畏(wèi) 胃(wèi) 喂(wèi) 魏(wèi) 位(wèi) 渭(wèi) 谓(wèi) 尉(wèi) 慰(wèi) 卫(wèi) 瘟(wēn) 温(wēn) 蚊(wén) 文(wén) 闻(wén) 纹(wén) 吻(wěn) 稳(wěn) 紊(wěn) 问(wèn) 嗡(wēnɡ) 翁(wēnɡ) 瓮(wènɡ) 挝(wō) 蜗(wō) 涡(wō) 窝(w ō) 我(wǒ) 斡(wò) 卧(wò) 握(wò) 沃(wò) 巫(wū) 呜(wū) 钨(wū) 乌(wū) 污(wū) 诬(wū) 屋(wū) 无(wú) 芜(wú) 梧(wú) 吾(wú) 吴(wú) 毋(wú) 武(w ǔ) 五(wǔ) 捂(wǔ) 午(wǔ) 舞(wǔ) 伍(wǔ) 侮(wǔ) 坞(wù) 戊(wù) 雾(wù) 晤(wù) 物(wù) 勿(wù) 务(wù) 悟(wù) 误(wù)昔(xī) 熙(xī) 析(xī) 西(xī) 硒(xī) 矽(xī) 晰(xī) 嘻(xī) 吸(xī) 锡(xī) 牺(xī) 稀(xī) 息(xī) 希(xī) 悉(xī) 膝(xī) 夕(xī) 惜(xī) 熄(xī) 烯(xī) 溪(xī) 汐(xī) 犀(xī) 檄(xí) 袭(xí) 席(xí) 习(xí) 媳(xí) 喜(xǐ) 铣(xǐ) 洗(xǐ) 系(xì) 隙(xì) 戏(xì) 细(xì) 瞎(xi。
3500个常用字及注音A 部1.挨紧āi2.挨饿受冻ái3.白皑皑ái4.狭隘ài5.不谙水性ān6.熬白菜āo7.煎熬áo8.鏖战áo9.拗断ǎo 10.拗口令àoB 部1.纵横捭阖 bǎi hé2.稗官野史 bài3.扳平 bān4.同胞 bāo5.炮羊肉 bāo6.剥皮 bāo7.薄纸 báo8.并行不悖 bèi9.蓓蕾 bèi lěi 10.奔波 bēn 11.投奔 bèn 12.迸发 bèng13.包庇 bì14.麻痹 bì15.奴颜婢膝 bì xī16.刚愎自用 bì17.复辟 bì18.濒临 bīn 19.针砭 biān 20.屏气 bǐng 21.摒弃 bìng 22.剥削 bō xuē23.波涛 bō24.菠菜 bō25.停泊 bó26.淡薄 bó27.哺育 bǔC 部1.粗糙 cāo2.嘈杂 cáo3.参差 cēn cī4.差错 chā5.偏差 chā6.差距 chā7.搽粉 chá8.猹 chá9.刹那 chà10.差遣 chāi11.谄媚 chǎn 12.忏悔 chàn 13.羼水 chàn 14.场院 cháng 15.一场雨 cháng 16.赔偿 cháng 17.徜徉 cháng 18.绰起 chāo 19.风驰电掣 chè20.瞠目结舌chēng 21.乘机逃脱 chéng 22.惩前毖后 chéng 23.惩处 chéng chǔ24.驰骋 chěng25.鞭笞 chī26.痴呆 chī27.痴心妄想 chī28.白痴 chī29.踟蹰 chí chú30.奢侈 chǐ31.整饬 chì32.炽热 chì 33.不啻 chì34.叱咤风云chì zhà35.忧心忡忡chōng 36.憧憬chōng 37.崇拜 chóng 38.惆怅chóu chàng 39.踌躇 chóu chú40.相形见绌 chù41. 黜免 chù42.揣摩 chuǎi 43.椽子 chuán 44.创伤 chuāng 45.凄怆 chuàng 46.啜泣 chuò47.辍学 chuò48.宽绰 chuò49.瑕疵 cī50.伺候 cì51.烟囱 cōng 52.从容 cóng 53.淙淙流水 cóng 54.一蹴而就 cù55.璀璨 cuǐ56.忖度 cǔn duó57.蹉跎 cuō tuó58. 挫折 cuòzhéD 部1.呆板 dāi2.答应 dā3.逮老鼠 dǎi4.逮捕 dài5.殚思极虑 dān6.虎视眈眈 dān7.肆无忌惮 dàn8.档案 dàng9.当(本)年 dàng 10.追悼 dào 11.提防 dī12.瓜熟蒂落 dì13.缔造 dì14.掂掇 díān duo 15.玷污 diàn 16.装订 dìng 17.订正 dìng 18.恫吓 dòng hè19.句读 dòu 20.兑换 duì21.踱步 duóE部1.阿谀ēyú2.婀娜ēnuó3.扼要èF部1.菲薄fěi2.沸点fèi3.氛围fēn4.肤浅fū5.敷衍塞责fūyǎn sè6.仿佛fú7.凫水fú8.篇幅fú9.辐射fú10.果脯fǔ11.随声附和fùhèG部1.准噶尔gá2.大动干戈gē3.诸葛亮gě4.脖颈gěng5.提供gōng6.供销gōng7.供给gōng jǐ8.供不应求gōng yìng9.供认gòng 10.口供gòng 11.佝偻gōu lóu 12.勾当gòu13.骨朵gū14.骨气gǔ15.蛊惑gǔ16.商贾gǔ17.桎梏gù18.粗犷guǎng 19.皈依guī20.瑰丽guī21.刽子手guì22.聒噪guōH部1.哈达hǎ2. 尸骸hái3. 稀罕hǎn4. 引吭高歌háng5.沆瀣一气hàng xiè6. 干涸hé7. 一丘之貉hé8.上颌hé9. 喝彩hè10. 负荷hè11. 蛮横hèng12.飞来横祸hèng 13.发横财hèng 14.一哄而散hòng 15.糊口hú16.囫囵吞枣húlún 17.华山huà18.怙恶不悛hùquān 19.豢养huàn 20.病人膏肓huāng 21.讳疾忌医huìjí22.诲人不倦huì23.阴晦huì24.污秽huì25.混水摸鱼hún 26.混淆hùn xiáo 27.和泥huó28.和稀泥(比喻无原则的调节或折中)huò29.豁达huò30.霍乱huòJ 部1.茶几jī2.畸形jī3.羁绊jī4.羁旅jī5.放荡不羁jī6.无稽之谈jī7.跻身jī8.通缉令jī9.汲取jí10.即使jí11.开学在即jí12.疾恶如仇jí13.嫉妒jí14.棘手jí15.贫瘠jí16.狼藉jí17.一触即发jí18.脊梁jǐ19.人才济济jǐ20.给予jǐyǔ21.凯觎jìyú22.成绩jì23.事迹jì24.雪茄jiā25.信笺jiān 26.歼灭jiān 27.草菅人命jiān 28.缄默jiān 29.渐染jiān 30.眼睑jiǎn 31.间断jiàn 32.矫枉过正jiǎo 33.缴纳jiǎo 34.校对jiào 35.开花结果jiē36.事情结果jié37.结冰jié38.反诘jié39.拮据jiéjū40.攻讦jié41.桔梗jié42.押解jiè43.情不自禁jīn 44.根茎叶jīng 45.长颈鹿jǐng 46.杀一儆百jǐng 47.强劲jìng 48.劲敌jìng 49.劲旅jìng 50.痉挛jìng 51.抓阄jiū52.针灸jiǔ53.韭菜jiǔ54.内疚jiù55.既往不咎jiù56.狙击jū57.咀嚼jǔjué58.循规蹈矩jǔ59.矩形jǔ60.沮丧jǔ61.龃龉jǔyǔ62.前倨后恭jù63.镌刻juān 64.隽永juàn 65.角色jué66.口角jué67.角斗jué68.角逐jué69.倔强 jué jiàng 70.崛起 jué71.猖獗 jué72.一蹶不振 jué73.诡谲 jué74.矍铄 jué75.攫取 jué76.细菌 jūn 77.龟裂 jūn 78.俊杰 jùn79.崇山峻岭 jùn 80.竣工 jùn 81.隽秀 jùnK部1.同仇敌忾 kài2.不卑不亢kàng3.坎坷 kě4.可汗 kè hán5.恪守 kè6.倥偬 kǒng zǒng7.会计 kuài 8.窥探 kuī9.傀儡 kuǐL部1.邋遢 lā ta 3.丢三落四 là 4.书声琅琅 láng5.唠叨 láo6.落枕 lào7.奶酪 lào8.勒索 lè9.勒紧 lēi10.擂鼓 léi 11.赢弱 léi 12.果实累累 léi 13.罪行累累 lěi 14.擂台 lèi 15.罹难 lí 16.潋滟 liàn 17.打量 liáng 18.量入为出 liàng 19.撩水 liāo 20.撩拨 liáo 21.寂寥 liáo 22. 瞭望 liào 23.趔趄 liè qiè24.恶劣 liè25.雕镂 lòu 26.贿赂 lù27.棕榈 lǘ28.掠夺 lǜeM部1.抹桌子 mā2.阴霾 mái3.埋怨 mán4.耄耋 mào dié5.联袂 mèi6.闷热 mēn7.扪心自问 mén8.愤懑 mèn9.蒙头转向 mēng 10.蒙头盖脑 méng 11.靡费 mí12.萎靡不振 mǐ13.静谧 mì14.分娩 miǎn 15.酩酊 mǐng dǐng16.荒谬 mìù17.脉脉 mò18.抹墙 mò19.蓦然回首 mò20.牟取 móu 21.模样 múN 部1.羞赧 nǎn2. 呶呶不休 náo3.泥淖 nào4.口讷 nè5.气馁 něi6.拟人 nǐ7.隐匿 nì8.拘泥 nì9.亲昵 nì10.拈花惹草 niān 11.宁死不屈 nìng 12.泥泞 nìng13.忸怩 niǔ ní14.执拗 niù15.驽马 nú16.虐待 nüèO 部1.偶然ǒu2.呕心沥血ǒuP 部1.扒手 pá2.迫击炮 pǎi3.心宽体胖 pán4.蹒跚 pán5.滂沱 pāng tuó6.彷徨 páng7.炮制 páo8.咆哮 páo xiào9.炮烙 páo luò10.胚胎 pēi 11.喷喷香 pèn 12.抨击 pēng 13.澎湃 péng pài 14.纰漏 pī 15.毗邻 pí 16.癖好 pǐ 17.否极泰来 p ǐ18.媲美 pì19.扁舟 piān 20.大腹便便 pián 21.剽窃 piāo 22.饿殍 piǎo 23.乒乓pīngpāng 24.湖泊 pō25.居心叵测 pǒ26.糟粕 pò27.解剖 pōu 28.前仆后断 pū29.奴仆 pú30.风尘仆仆pú31.玉璞 pú32.匍匐 pú fú33.瀑布 pù34.一曝十寒 pùQ 部1.休戚与共 qī2.蹊跷 qī qiāo3.祈祷 qí4.颀长 qí5.岐途 qí6.绮丽 qǐ7.修葺 qì8.休憩 qì9.关卡 qiǎ10.悭吝 qiān 11.掮客 qián 12.潜移默化qián 13.虔诚 qián 14.天堑 qiàn 15.戕害 qiāng 16.强迫 qiǎng 17.勉强 qiǎng 18.强求 qiǎng 19.牵强附会 qiǎng 20.襁褓 qiǎng 21.翘首远望 qiáo22.讥诮 qiào 23.怯懦 qiè24.提纲挈领 qiè25.锲而不舍 qiè26.惬意 qiè27.衾枕 qīn 28.倾盆大雨 qīng 29.引擎 qíng 30.亲家 qìng 31.曲折 qū 32.祛除 qū 33.黢黑 qū34.水到渠成 qú35.清癯 qú36.瞿塘峡 qú37.通衢大道 qú 38.龋齿 qǔ 39.兴趣 qù40.面面相觑 qù41.债券 quàn 42.商榷què43.逡巡 qūnR部1.围绕 rào2.荏苒 rěn rǎn3.稔知 rěn4.妊娠 rèn shēn5.仍然 réng6.冗长 rǒngS 部1.缫丝 sāo2.稼穑 jià sè3.堵塞 sè4.刹车 shā5.芟除 shān6.潸然泪下 shān7.禅让 shàn8.讪笑 shàn9.赡养 shàn 10.折本 shé11.慑服 shè12.退避三舍 shè13.海市蜃楼 shèn 14.舐犊之情 shì15.教室 shì16.有恃无恐 shì17.狩猎 shòu18.倏忽 shū19.束缚 shù fù20.刷白 shuà21.游说 shuì22.吸吮 shǔn 23.瞬息万变 shùn 24.怂恿 sǒng yǒng 25.塑料 sù26.簌簌 sù27.虽然 suī28.鬼鬼崇崇 suì29.婆娑 suōT 部1.趿拉 tā2.鞭挞 tà3.叨光 tāo (受到好处)4.熏陶 táo6.孝悌 tì7.倜傥 tì tǎng8.恬不知耻 tián9.暴殄天物 tiǎn 10.轻佻 tiāo 11.调皮 tiáo 12.妥贴 tiē13.请帖 tiě14.字贴 tiè15.恸哭 tòng 16.如火如荼 tú17.湍急 tuān 18.颓废 tuí19.蜕化 tuì20.囤积 túnW 部1.逶迤 wēi yí2.违反 wéi3.崔嵬 wéi4.冒天下之大不韪 wěi5.为虎作伥 wèi chāng6.龋龊 wò chuò7.斡旋 wò8.深恶痛疾 wù jíX 部1.膝盖 xī2.檄文 xí3.狡點 xiá4.厦门 xià5.纤维 xiān wéi6.翩跹 xiān7.屡见不鲜 xiān8.垂涎三尺 xián9.勾股弦 xián 10.鲜为人知 xiǎn 11.肖像 xiào 12.采撷 xié13.叶韵 xié(和洽,相合) 14.纸屑 xiè15.机械 xiè16.省亲 xǐng 17.不朽 xiǔ18.铜臭 xiù19.星宿 xiù20.长吁短叹 xū21.自诩 xǔ22.抚恤金 xù23.酗酒 xù24.煦暖 xù25.眩晕 xuàn yùn 26.炫耀 xuàn 27.洞穴 xué28.戏谑 xuè29.驯服 xùn 30.徇私舞弊xùnY部1.倾轧 yà2.揠苗助长 yà3.殷红 yān4.湮没 yān5.筵席 yán6.百花争妍 yán7.河沿 yán8.偃旗息鼓 yǎn9.奄奄一息 yǎn 10.赝品 yàn 11.佯装 yáng 12.怏怏不乐 yàng13.安然无恙 yàng 14.杳无音信 yǎo 15.窈窈 yǎo tiǎo 16.发疟子 yào 17.耀武扬威 yào 18.因噎废食 yē19.揶揄 yé yú20.陶冶 yě21.呜咽 yè22.摇曳 yè23.拜谒 yè24.笑靥 yè25.甘之如饴 yí26.颐和园 yí27.迤逦 yǐ lǐ28.旖旎 yǐ n ǐ29.自怨自艾 yì30.游弋 yì31.后裔 yì32.奇闻轶事 y ì33.络绎不绝 yì34.造诣 yì35.友谊 yì36.肄业 yì37.熠熠闪光 yì38.一望无垠 yín 39.荫凉 yìn 40.应届 yīng41.应承 yìng 42.应用文 yìng 43.应试教育 yìng 44.邮递员 yóu45.黑黝黝 yǒu 46.良莠不齐 yǒu 47.迂回 yū48.向隅而泣 yú49.愉快 yú50.始终不渝 yú51.逾越 yú52年逾古稀 yú53.娱乐 yú54.伛偻 yú lǚ55.舆论 yú56.尔虞我诈 yú57.囹圄 yǔ58.参与 yù59.驾驭 yù60.家喻户晓 yù61.熨贴 yù62.寓情于景 yù63.鹬蚌相争 yù65.断瓦残垣 yuán 66.苑囿 yuàn yòu 67.头晕 yūn 68.允许 yǔn69.晕船 yùn 70.酝酿yùn niàngZ部1.扎小辫 zā2.柳荫匝地 zā3.登载 zǎi4.载重 zài5.载歌载舞 zài6.怨声载道 zài7.拒载 zài8.暂时 zàn9.臧否 zāng pǐ10.宝藏 zàng 11.确凿 záo 12.啧啧称赞 z é14.憎恶 zēng 15.赠送 zèng 16.驻扎 zhā17.咋呼 zhā18.挣扎 zhá19.札记 zhá20.咋舌 zé21.择菜 zhái22.占卜 zhān 23.客栈 zhàn 24.破绽 zhàn 25.精湛 zhàn26.颤粟 zhàn 27.高涨 zhǎng 28.涨价 zhǎng 29.着慌 zháo 30.沼泽 zhǎo 31.召开 zhào 32.肇事 zhào 33.折腾 zhē34.动辄得咎 zhé jiù35.蛰伏 zhé36.贬谪 zhé37.铁砧 zhēn38.日臻完善 zhēn 39.甄别 zhēn 40.箴言 zhēn 41.缜密 zhěn 42.赈灾 zhèn 43.症结 zhēn g 44.拯救 zhěng 45.症候 zhèng 46.诤友 zhèng 47.挣脱 zhèng 48.脂肪 zhī50近在咫尺 zh ǐ51博闻强识 zhì52标识 zhì53质量 zhì54脍炙人口 zh ì55鳞次栉比 zhì56对峙 zhì57中听 zhòng 58中肯 zhòng59刀耕火种 zhòng 60胡诌 zhōu 61啁啾 zhōu 62压轴 zhòu 63贮藏 zhù64莺啼鸟啭 zhuàn 65撰稿 zhuàn66谆谆 zhūn 67弄巧成拙 zhuō68灼热 zhuó69卓越 zhuó70啄木鸟 zhuó71着陆 zhuó72穿着打扮 zhuó73恣意 zì74浸渍 zì75作坊 zuō。
3500个常用汉字(注音版)2021-11-06 09:34·樱桃的笔记中考现代文阅读理解的考试目标共包括十四项,其中与记叙文、说明文、议论文均相关的考试目标中有一条为:能正确书写3500个常用汉字。
故将3500个常用汉字按首字母排序,罗列如下:(biāo)彪(biāo)膘(biāo)表(biǎo)鳖(biē)憋(biē)别(bié)瘪(biě)彬(bīn)斌(bīn)濒(bīn)滨(bīn)宾(bīn)摈(bìn)兵(bīnɡ)冰(bīnɡ)柄(bǐnɡ)丙(bǐnɡ)秉(bǐnɡ)饼(bǐnɡ)炳(bǐnɡ)病(bìnɡ)并(bìnɡ)玻(bō)菠(bō)播(bō)拨(bō)钵(bō)波(bō)博(bó)勃(bó)搏(bó)铂(bó)箔(bó)伯(bó)帛(bó)舶(bó)脖(bó)膊(bó)渤(bó)泊(bó)驳(bó)捕(bǔ)卜(bǔ)哺(bǔ)补(bǔ)埠(bù)不(bú)布(bù)步(bù)簿(bù)部(bù)怖(bù)C擦(cā)猜(cāi)裁(cái)材(cái)才(cái)财(cái)睬(cǎi)踩(cǎi)采(cǎi)彩(cǎi)菜(cài)蔡(cài)餐(cān)参(cān)蚕(cán) 残(cán)惭(cán)惨(cǎn)灿(càn)苍(cānɡ)舱(cānɡ)仓(cānɡ)沧(cānɡ)藏(cánɡ)操(cāo)糙(cāo)槽(cáo)曹(cáo)草(cǎo)厕(cè)策(cè)侧(cè)册(cè)测(cè)层(cénɡ)蹭(cènɡ)插(chā)叉(chā)茬(chá)茶(chá)查(chá)碴(chá)搽(chá)察(chá)岔(chà)差(chà)诧(chà)拆(chāi)柴(chái)豺(chái)搀(chān)掺(chān)蝉(chán)馋(chán)谗(chán)缠(chán)铲(chǎn)产(chǎn)阐(chǎn)颤(chàn)昌(chānɡ)猖(chānɡ)场(chǎnɡ)尝(chánɡ)常(chánɡ)长(chánɡ)偿(chánɡ)肠(chánɡ)厂(chǎnɡ)敞(chǎnɡ)畅(chànɡ)唱(chànɡ)倡(chànɡ)超(chāo)抄(chāo)钞(chāo)朝(cháo)嘲(cháo)潮(cháo)巢(cháo)吵(chǎo)炒(chǎo)车(chē)扯(chě)撤(chè)掣(chè)彻(chè)澈(chè)郴(chēn)臣(chén)辰(chén)尘(chén)晨(chén)忱(chén)沉(chén)陈(chén)趁(chèn)衬(chèn)撑(chēnɡ)称(chēnɡ)城(chénɡ)橙(chénɡ)成(chénɡ)呈(chénɡ)乘(chénɡ)程(chénɡ)惩(chénɡ)澄(chénɡ)诚(chénɡ)承(chénɡ)逞(chěnɡ)骋(chěnɡ)秤(chènɡ)吃(chī)痴(chī)持(chí)匙(shi) 池(chí)迟(chí)弛(chí)驰(chí)耻(chǐ)齿(chǐ)侈(chǐ)尺(chǐ)赤(chì)翅(chì)斥(chì)炽(chì)充(chōnɡ)冲(chōnɡ)虫(chónɡ)崇(chónɡ)宠(chǒnɡ)抽(chōu)酬(chóu)畴(chóu)踌(chóu)稠(chóu)愁(chóu)筹(chóu)仇(chóu)绸(chóu)瞅(chǒu)丑(chǒu)臭(chòu)初(chū)出(chū)橱(chú)厨(chú)躇(chú)锄(chú)雏(chú)滁(chú)除(chú)楚(chǔ)础(chǔ)储(chǔ)矗(chù)搐(chù)触(chù)处(chù)揣(chuāi)川(chuān)穿(chuān)椽(chuán)传(chuán)船(chuán)喘(chuǎn)串(chuàn)疮(chuānɡ)窗(chuānɡ)幢(zhuànɡ)床(chuánɡ)闯(chuǎnɡ)创(chuànɡ)吹(chuī)炊(chuī)捶(chuí)锤(chuí)垂(chuí)春(chūn)椿(chūn)醇(chún)唇(chún)淳(chún)纯(chún)蠢(chǔn)戳(chuō)绰(chāo)疵(cī)茨(cí)磁(cí)雌(cí)辞(cí)慈(cí)瓷(cí)词(cí)此(cǐ)刺(cì)赐(cì)次(cì)聪(cōnɡ)葱(cōnɡ)囱(cōnɡ)匆(cōnɡ)从(cónɡ)丛(cónɡ)凑(còu)粗(cū)醋(cù)簇(cù)促(cù) 蹿(cuān)篡(cuàn)窜(cuàn)摧(cuī)崔(cuī)催(cuī)脆(cuì)瘁(cuì)粹(cuì)淬(cuì)翠(cuì)村(cūn)存(cún)寸(cùn)磋(cuō)撮(cuō)搓(cuō)措(cuò)挫(cuò)错(cuò)D搭(dā)达(dá)答(dá)瘩(dá)打(dǎ)大(dà)呆(dāi)歹(dǎi)傣(dǎi)戴(dài)带(dài)殆(dài)代(dài)贷(dài)袋(dài)待(dài)逮(dǎi) 怠(dài)耽(dān)担(dān)丹(dān)单(dān)郸(dān)掸(dǎn)胆(dǎn)旦(dàn)氮(dàn)但(dàn)惮(dàn)淡(dàn)诞(dàn)弹(dàn)蛋(dàn)当(dānɡ)挡(dǎnɡ)党(dǎnɡ)荡(dànɡ)档(dànɡ)刀(dāo)捣(dǎo)蹈(dǎo)倒(dǎo)岛(dǎo)祷(dǎo)导(dǎo)到(dào)稻(dào)悼(dào)道(dào)盗(dào)德(dé)得(dé)的(de) 蹬(dēnɡ)灯(dēnɡ)登(dēnɡ)等(děnɡ)瞪(dènɡ)凳(dènɡ)邓(dènɡ)堤(dī)低(dī)滴(dī)迪(dí)敌(dí)笛(dí)狄(dí)涤(dí)翟(zhái)嫡(dí)抵(dǐ)底(dǐ)地(dì)蒂(dì)第(dì)帝(dì)弟(dì)递(dì)缔(dì)颠(diān)掂(diān)滇(diān)碘(diǎn)点(diǎn)典(diǎn)靛(diàn)垫(diàn)电(diàn)佃(diàn)甸(d iàn)店(diàn)惦(diàn)奠(diàn)淀(diàn)殿(diàn)碉(diāo)叼(diāo)雕(diāo)凋(diāo)刁(diāo)掉(diào)吊(diào)钓(diào)调(diào)跌(diē)爹(diē)碟(dié)蝶(dié)迭(dié)谍(dié)叠(dié)丁(dīnɡ)盯(dīnɡ)叮(dīnɡ)钉(dìnɡ)顶(dǐnɡ)鼎(dǐnɡ)锭(dìnɡ)定(dìnɡ)订(dìnɡ)丢(diū)东(dōnɡ)冬(dōnɡ)董(dǒnɡ)懂(dǒnɡ)动(dònɡ)栋(dònɡ)侗(dònɡ)恫(dònɡ)冻(dònɡ)洞(dònɡ)兜(dōu)抖(dǒu)斗(dòu)陡(dǒu)豆(dòu)逗(dòu)痘(dòu)都(dōu)督(dū)毒(dú)犊(dú)独(dú)读(dú)堵(dǔ)睹(dǔ)赌(dǔ)杜(dù)镀(dù)肚(dù)度(dù)渡(dù)妒(dù)端(duān)短(duǎn)锻(duàn)段(duàn)断(duàn)缎(duàn)堆(duī)兑(duì)队(duì)对(duì)墩(dūn)吨(dūn)蹲(dūn)敦(dūn)顿(dùn)囤(dùn)钝(dùn)盾(dùn)遁(dùn)掇(duō)哆(duō)多(duō)夺(duó)垛(ɡōnɡ)公(ɡōnɡ)宫(ɡōnɡ)弓(ɡōnɡ)巩(ɡǒnɡ)汞(ɡǒnɡ)拱(ɡǒnɡ)贡(ɡòn)共(ɡònɡ)钩(ɡōu)勾(ɡōu)沟(ɡōu)苟(ɡǒu)狗(ɡǒu)垢(ɡòu)构(ɡòu)购(ɡòu)够(ɡòu)辜(ɡū)菇(ɡū)咕(ɡū)箍(ɡū)估(ɡū)沽(ɡū)孤(ɡū)姑(ɡū)鼓(ɡǔ)古(ɡǔ)蛊(ɡǔ)骨(ɡǔ)谷(ɡǔ)股(ɡǔ)故(ɡù)顾(ɡù)固(ɡù)雇(ɡù)刮(ɡuā)瓜(ɡuā)剐(ɡuǎ)寡(ɡuǎ)挂(ɡuà)褂(ɡuà)乖(ɡuāi)拐(ɡuǎi)怪(ɡuài)棺(ɡuān)关(ɡuān)官(ɡuān)冠(ɡuàn)观(ɡuān)管(ɡuǎn)馆(ɡuǎn)罐(ɡuàn)惯(ɡuàn)灌(ɡuàn)贯(ɡɡuàn)光(ɡuānɡ)广(ɡuǎnɡ)逛(ɡuànɡ)瑰(ɡuī)规(ɡuī)圭(ɡuī)硅(ɡuī)归(ɡuī)龟(ɡuī) 闺(ɡɡuī)轨(ɡuǐ)鬼(ɡuǐ)诡(ɡuǐ)癸(ɡuǐ)桂(ɡuì)柜(ɡuì)跪(ɡuì)贵(ɡuì)刽(ɡuì)辊(ɡǔn)滚(ɡǔn)棍(ɡùn)锅(ɡuō)郭(ɡuō)国(ɡuó)果(ɡuǒ)裹(ɡuǒ)过(ɡuò)H哈(hā)骸(hái)孩(hái)海(hǎi)氦(hài)亥(hài)害(hài)骇(hài)酣(hān)憨(hān)邯(hán)韩(hán)含(hán)涵(hán)寒(hán)函(hán)喊(hǎn)罕(hǎn)翰(hàn)撼(hàn)扞(hàn)旱(hàn)憾(hàn)悍(hàn)焊(hàn)汗(hàn)汉(hàn)夯(hānɡ)杭(hánɡ)航(hánɡ)壕(háo)嚎(háo)豪(háo)毫(háo)郝(hǎo)好(hǎo)耗(hào)号(hào)浩(hào)呵(hē)喝(hē)荷(hé)菏(hé)核(hé)禾(hé)和(hé)何(hé)合(hé)盒(hé)貉(hé)阂(hé)河(hé)涸(hé)赫(hè)褐(hè)鹤(hè)贺(hè)嘿(hēi)黑(hēi)痕(hén)很(hěn)狠(hěn)恨(hèn)哼(hēnɡ)亨(hēnɡ)横(hénɡ)衡(hénɡ)恒(hénɡ)轰(hōnɡ)哄(hǒnɡ)烘(hōnɡ)虹(hónɡ)鸿(hónɡ)洪(hónɡ)宏(hónɡ)弘(hónɡ)红(hónɡ)喉(hóu)侯(hóu)猴(hóu)吼(hǒu)厚(hòu)候(hòu)后(hòu)呼(hū)乎(hū)忽(hū)瑚(hú)壶(hú)葫(hú)胡(hú)蝴(hú) 狐(hú)糊(hú)湖(hú)弧(hú)虎(hǔ)唬(hǔ)护(hù)互(hù)沪(hù)户(hù)花(huā)哗(huá)华(huá)猾(huá)滑(huá)画(huà)划(huá)化(huà)话(huà)槐(huái)徊(huái)怀(huái)淮(huái)坏(huài)欢(huān)环(huán)桓(huán)还(hái)缓(huǎn)换(huàn)患(huàn灰(huī)挥(huī)辉(huī)徽(huī)恢(huī)蛔(huí)回(huí)毁(huǐ)悔(huǐ)慧(huì)卉(huì)惠(huì)晦(huì)贿(huì)秽(huì)会(huì)烩(huì)汇(huì)讳(huì)诲(huì)绘(huì)荤(hūn)昏(hūn)婚(hūn)魂(hún)浑(hún)混(hún)豁(huō)活(huó)伙(huǒ)火(huǒ)获(huò)或(huò)惑(huò)霍(huò)货(huò)祸(huò)J击(jī)圾(jī)基(jī)机(jī)畸(jī)稽(jī)积(jī)箕(jī)肌(jī)饥(jī)迹(jì)激(jī)讥(jī)鸡(jī)姬(jī)绩(jì)缉(jī)吉(jí)极(jí)棘(jí)辑(jí)籍(jí)集(jí)及(jí)急(jí)疾(jí)汲(jí)即(jí)嫉(jí)级(jí)挤(jǐ)几(jǐ)脊(jǐ)己(jǐ)蓟(jì)技(jì)冀(jì)季(jì)伎(jì)祭(jì)剂(jì)悸(jì)济(jì) 寄(jì)寂(jì)计(jì)记(jì)既(jì)忌(jì)际(jì)妓(jì)继(jì)纪(jì)嘉(jiā)枷(jiā)夹(jiá)佳(jiā)家(jiā)加(jiā)荚(jiá)颊(jiá)贾(jiǎ)甲(jiǎ)钾(jiǎ)假(jiǎ)稼(jià)价(jià)架(jià)驾(jià)嫁(jià)歼(jiān)监(jiān)坚(jiān)尖(jiān)笺(jiān)间(jiān)煎(jiān)兼(jiān)肩(jiān)艰(j iān)奸(jiān)缄(jiān)茧(jiǎn)检(jiǎn)柬(jiǎn)碱(jiǎn)碱(jiǎn)拣(jiǎn)捡(jiǎn)简(jiǎn)俭(jiǎn)剪(jiǎn)减(jiǎn)荐(jiàn)槛(kǎn)鉴(jiàn)践(jiàn)贱(jiàn)见(jiàn)键(jiàn)箭(jiàn)件(jiàn)健(jiàn)舰(jiàn)剑(jiàn)饯(jiàn)渐(jiàn)溅(jiàn)涧(jiàn)建(jiàn)僵(jiānɡ)姜(j iānɡ)将(jiānɡ)浆(jiānɡ)江(jiānɡ)疆(jiānɡ)蒋(jiǎnɡ)桨(jiǎnɡ)奖(jiǎnɡ)讲(jiǎnɡ)匠(jiànɡ)酱(jiànɡ)降(jiànɡ)蕉(jiāo)椒(jiāo)礁(jiāo)焦(jiāo)胶(jiāo)交(jiāo)郊(jiāo)浇(jiāo)骄(jiāo)娇(jiāo)嚼(jiáo)搅(jiǎo)铰(jiǎo)矫(jiǎo)侥(yáo)脚(jiǎo)狡(jiǎo)角(jiǎo)饺(jiǎo)缴(jiǎo)绞(jiǎo)剿(jiǎo)教(jiāo)酵(jiào)轿(jiào)较(jiào)叫(jiào)窖(jiào)揭(jiē)接(jiē)皆(jiē)秸(jiē)街(jiē)阶(jiē)截(jié)劫(jié)节(jiē)桔(jié)杰(jié)捷(jié)睫(jié)竭(jié)洁(jié)结(jié)解(jiě)姐(jiě)戒(jiè)藉(jiè)芥(jiè)界(jiè)借(jiè)介(jiè)疥(jiè)诫(jiè)届(jiè)巾(jīn)筋(jīn)斤(jīn)金(jīn)今(jīn)津(jīn)襟(jīn)紧(jǐn)锦(jǐn)仅(jǐn)谨(jǐn)进(jìn)靳(jìn)晋(jìn)禁(jìn)近(jìn)烬(jìn)浸(jìn)尽(jìn)劲(jìn)荆(jīnɡ)兢(jīnɡ)茎(jīnɡ)睛(jīnɡ)晶(jīnɡ)鲸(jīnɡ)京(jīnɡ)惊(jīnɡ)精(jīnɡ)粳(jīnɡ)经(jīnɡ)井(jǐnɡ)警(jǐnɡ)景(jǐnɡ)颈(jǐnɡ)静(jìnɡ)境(jìnɡ)敬(jìnɡ)镜(jìnɡ)径(jìnɡ)痉(jìnɡ)靖(jìnɡ)竟(jìnɡ)竞(jìnɡ)净(jìnɡ)炯(jiǒnɡ)窘(jiǒnɡ)揪厘(lí)梨(lí)犁(lí)黎(lí)篱(lí)狸(lí)离(lí)漓(lí)理(lǐ)李(lǐ)里(lǐ)鲤(lǐ)礼(lǐ)莉(lì)荔(lì)吏(lì)栗(lì)丽(lì)厉(lì)励(lì)砾(lì)历(lì)利(lì)僳(sù)例(lì)俐(lì)痢(lì)立(lì)粒(lì)沥(lì)隶(lì)力(lì)璃(lí)哩(lǐ)俩(liǎnɡ)联(lián)莲(lián)连(lián)镰(lián)廉(lián)怜(lián)涟(lián)帘(lián)敛(liǎn)脸(liǎn)链(liàn)恋(liàn)炼(liàn)练(liàn)粮(liánɡ)凉(liánɡ)梁(liánɡ)粱(liánɡ)良(liánɡ)两(liǎnɡ)辆(liànɡ)量(liànɡ)晾(liànɡ)亮(liànɡ)谅(liànɡ)撩(liáo)聊(liáo)僚(liáo)疗(liáo)燎(liáo)寥(liáo)辽(liáo)潦(liáo)了(le) 撂(liào)镣(liào)廖(liào)料(liào)列(liè)裂(liè)烈(liè)劣(liè)猎(liè)琳(lín)林(lín)磷(lín)霖(lín)临(lín)邻(lín)鳞(lín) 淋(lín)凛(lǐn)赁(lìn)吝(lìn)拎(līn)玲(línɡ)菱(línɡ)零(línɡ)龄(línɡ)铃(línɡ)伶(línɡ)羚(línɡ)凌(línɡ)灵(línɡ)陵(línɡ)岭(lǐnɡ)领(lǐnɡ)另(lìnɡ)令(lìnɡ)溜(liū)琉(liú)榴(liú)硫(liú)馏(liú)留(liú)刘(liú)瘤(liú)流(liú)柳(liǔ)六(liù)龙(lónɡ)聋(lónɡ)咙(lónɡ)笼(lónɡ) 窿(lónɡ)隆(lónɡ)垄(lǒnɡ)拢(lǒnɡ)陇(lǒnɡ)楼(lóu)娄(lóu)搂(lǒu)篓(lǒu)漏(lòu)陋(lòu)芦(lú)卢(lú)颅(lú)庐(lú)炉(lú)掳(lǔ)卤(lǔ)虏(lǔ)鲁(lǔ)麓(lù)碌(lù)露(lù)路(lù)赂(lù)鹿(lù)潞(lù)禄(lù)录(lù)陆(lù)戮(lù)驴(lǘ)吕(lǚ)铝(lǚ)侣(lǚ)旅(lǚ)履(lǚ)屡(lǚ)缕(lǚ)虑(lǜ) 氯(lǜ)律(lǜ)率(lǜ)滤(lǜ)绿(lǜ)峦(luán)挛(luán)孪(luán)滦(luán)卵(luǎn)乱(luàn)掠(luě)略(luè)抡(lūn)轮(lún)伦(lún)仑(lún)沦(lún)纶(lún)论(lùn)萝(luó)螺(luó)罗(luó)逻(luó)锣(luó)箩(luó)骡(luó)裸(luǒ)落(luò)洛(luò)骆(jià)络(luò)M妈(mā)麻(má)玛(mǎ)码(mǎ)蚂(mǎ)马(mǎ)骂(mà)嘛(mɑ)吗(mɑ)埋(mái)买(mǎi)麦(mài)卖(mài)迈(mài)脉(mài)瞒(mán)馒(mán)蛮(mán)满(mǎn)蔓(màn)曼(màn)慢(màn)漫(màn)谩(màn)芒(mánɡ)茫(mánɡ)盲(mánɡ)氓(mánɡ)忙(mánɡ)莽(mǎnɡ)猫(māo)茅(máo)锚(máo)毛(máo)矛(máo)铆(mǎo)卯(mǎo)茂(mào)冒(mào)帽(mào)貌(mào) 贸(mào)么(me) 玫(méi)枚(méi)梅(méi)酶(méi)霉(méi)煤(méi)没抛(pāo)咆(páo)刨(páo)炮(pào)袍(páo)跑(pǎo)泡(pào)呸(pēi)胚(pēi)培(péi)裴(péi)赔(péi)陪(péi)配(pèi)佩(pèi)沛(pèi)喷(pēn)盆(pén)砰(pēnɡ)抨(pēnɡ)烹(pēnɡ)澎(pénɡ)彭(pénɡ)蓬(pénɡ)棚(pénɡ)硼(pénɡ)篷(pénɡ)膨(pénɡ)朋(pénɡ)鹏(pénɡ)捧(pěnɡ)碰(pènɡ)坯(pī)砒(pī)霹(pī)批(pī)披(pī)劈(pī)琵(pí)毗(pí)啤(pí)脾(pí)疲(pí)皮(pí)匹(pǐ)痞(pǐ)僻(pì)屁(pì)譬(pì)篇(piān)偏(piān)片(piàn)骗(piàn)飘(piāo)漂(piāo)瓢(piáo)票(piào)撇(piě)瞥(piē)拼(pīn)频(pín)贫(pín)品(pǐn)聘(pìn)乒(pīnɡ)坪(pínɡ)苹(pínɡ)萍(pínɡ)平(pínɡ)凭(pínɡ)瓶(pínɡ)评(pínɡ)屏(pínɡ)坡(pō)泼(pō)颇(pō)婆(pó)破(pò)魄(pò)迫(pò)粕(pò)剖(pōu)扑(pū)铺(pū)仆(pú)莆(pú)葡(pú)菩(pú)蒲(pú)埔(pǔ)朴(pǔ)圃(pǔ)普(pǔ)浦(pǔ)谱(pǔ)曝(pù)瀑(pù)Q期(qī)欺(qī)栖(qī)戚(qī)妻(qī)七(qī)凄(qī)漆(qī)柒(qī)沏(qī)其(qí)棋(qí)奇(qí)歧(qí)畦(qí)崎(qí)脐(qí)齐(qí)旗(qí)祈(qí)祁(qí)骑(jì)起(qǐ)岂(qǐ)乞(qǐ)企(qǐ)启(qǐ)契(qì)砌(qì)器(qì)气(qì)迄(qì)弃(qì)汽(qì)泣(qì)讫(qì)掐(qiā)洽(qià)牵(qiān)扦(qiān)钎(qiān)铅(qiān)千(qiān)迁(qiān)签(qiān)仟(qiān)谦(qiān)乾(qián)黔(qián)钱(qián)钳(qián)前(qián)潜(qián)遣(qiǎn)浅(qiǎn)谴(qiǎn)堑(qiàn)嵌(qiàn)欠(qiàn)歉(qiàn)枪(qiānɡ)呛(qiànɡ)腔(qiānɡ)羌(qiānɡ)墙(qiánɡ)蔷(qiánɡ)强(qiánɡ)抢(qiǎnɡ)橇(qiāo)锹(qiāo)敲(qiāo)悄(qiāo)桥(qiáo)瞧(qiáo)乔(qiáo)侨(qiáo)巧(qiǎo)鞘(qiào)撬(qiào)翘(qiào)峭(qiào)俏(qiào)窍(qiào)切(qiē)茄(qié)且(qiě)怯(qiè)窃(qiè)钦(qīn)侵(qīn)亲(qīn)秦(qín)琴(qín)勤(qín)芹(qín)擒(qín)禽(qín)寝(qǐn)沁(qìn)青(qīnɡ)轻(qīnɡ)氢(qīnɡ)倾(qīnɡ)卿(qīnɡ)清(qīnɡ)擎(qínɡ)晴(qínɡ)氰(qínɡ)情(qínɡ)顷(qǐnɡ)请(qǐnɡ)庆(qìnɡ)琼(qiónɡ)穷(qiónɡ)秋(qiū)丘(qiū)邱(qiū)球(qiú)求(qiú)囚(qiú)酋(qiú)泅(qiú)趋(qū)区(qū)蛆(qū)曲(qǔ)躯(qū)屈(qū)驱(qū)渠(qú)取(qǔ)娶(qǔ)龋(qǔ)趣(qù)去(qù)圈(quān)颧(quán)权(quán)醛(quán)泉(quán)全(quán)痊(quán)拳(quán)犬(shì)仕(shì)侍(shì)释(shì)饰(shì)氏(shì)市(shì)恃(shì)室(shì)视(shì)试(shì)收(shōu)手(shǒu)首(shǒu)守(shǒu)寿(shòu)授(shòu)售(shòu)受(shòu)瘦(shòu)兽(shòu)蔬(shū)枢(shū)梳(shū)殊(shū)抒(shū)输(shū)叔(shū)舒(shū)淑(shū)疏(shū)书(shū)赎(shú)孰(shú)熟(shú)薯(shǔ)暑(shǔ)曙(shǔ)署(shǔ)蜀(shǔ)黍(shǔ)鼠(shǔ)属(shǔ)术(shù)述(shù)树(shù)束(shù)戍(shù)竖(shù)墅(shù)庶(shù)数(shù)漱(shù)恕(shù)刷(shuā)耍(shuǎ)摔(shuāi)衰(shuāi)甩(shuǎi)帅(shuài)栓(shuān)拴(shuān)霜(shuānɡ)双(shuānɡ)爽(shuǎnɡ)谁(shuí)水(shuǐ)睡(shuì)税(shuì)吮(shǔn)瞬(shùn)顺(shùn)舜(shùn)说(shuō)硕(shuò)朔(shuò)烁(shuò)斯(sī)撕(sī)嘶(sī)思(sī)私(sī)司(sī)丝(sī)死(sǐ)肆(sì)寺(sì)嗣(sì)四(sì)伺(sì)似(sì)饲(sì)巳(sì)松(sōnɡ)耸(sǒnɡ)怂(sǒnɡ)颂(sònɡ)送(sònɡ)宋(sònɡ)讼(sònɡ)诵(sònɡ)搜(sōu)艘(sōu)擞(sǒu)嗽(sòu)苏(sū)酥(sū)俗(sú)素(sù)速(sù)粟(sù)僳(sù)塑(sù)溯(sù)宿(sù)诉(sù)肃(sù)酸(suān)蒜(suàn)算(suàn)虽(suī)隋(suí)随(suí)绥(suí)髓(suǐ)碎(suì)岁(suì)穗(suì)遂(suí)隧(suì)祟(suì)孙(sūn)损(sǔn)笋(sǔn)蓑(suō)梭(suō)唆(suō)缩(suō)琐(suǒ)索(suǒ)锁(suǒ)所(suǒ)T塌(tā)他(tā)它(tā)她(tā)塔(tǎ)獭(tǎ)挞(tà)蹋(tà)踏(tà)胎(tāi)苔(tái)抬(tái)台(tái)泰(tài)酞(tài)太(tài)态(tài)汰(tài)坍(tān)摊(tān)贪(tān)瘫(tān)滩(tān)坛(tán)檀(tán)痰(tán)潭(tán)谭(tán)谈(tán)坦(tǎn)毯(tǎn)袒(tǎn)碳(tàn)探(tàn)叹(tàn)炭(tàn)汤(tānɡ)塘(tánɡ)搪(tánɡ)堂(tánɡ)棠(tánɡ)膛(tánɡ)唐(tánɡ)糖(tánɡ)倘(tǎnɡ)躺(tǎnɡ)淌(tǎnɡ)趟(tànɡ)烫(tànɡ)掏(tāo)涛(tāo)滔(tāo)绦(tāo)萄(táo)桃(táo)逃(táo)淘(táo)陶(táo)讨(tǎo)套(tào)特(tè)藤(ténɡ)腾(ténɡ)疼(ténɡ)誊(ténɡ)梯(tī)剔(tī)踢(tī)锑(tī)提(tí)题(tí)蹄(tí)啼(tí)体(tǐ)替(tì)嚏(tì)惕(tì)涕(tì)剃(tì)屉(tì)天(tiān)添(tiān)填(tián)田(tián)甜(tián)恬(tián)舔(tiǎn)腆(tiǎn)挑(tiāo)条(tiáo)迢(tiáo)眺(tiào)跳(tiào)贴(tiē)铁(tiě)帖(tiē)厅(tīnɡ)纤(xiān)咸(xián)贤(xián)衔(xián) 舷(xián)闲(xián)涎(xián)弦(xián)嫌(xián)显(xiǎn)险(xiǎn)现(xiàn)献(xiàn)县(xiàn)腺(xiàn)馅(xiàn)羡(xiàn)宪(xiǎn)陷(xiàn)限(xiàn)线(xiàn)相(xiānɡ)厢(xiānɡ)镶(xiānɡ)香(xiānɡ)箱(xiānɡ)襄(xiānɡ)湘(xiānɡ)乡(xiānɡ)翔(xiánɡ)祥(xiánɡ)详(xiánɡ)想(xiǎnɡ)响(xiǎnɡ)享(xiǎnɡ)项(xiànɡ)巷(xiànɡ)橡(xiànɡ)像(xiànɡ)向(xiànɡ)象(xiànɡ)萧(xiāo)硝(xiāo)霄(xiāo)削(xuē)哮(xiāo)嚣(xiāo)销(xiāo)消(xiāo)宵(xiāo)淆(xiáo)晓(xiǎo)小(xiǎo)孝(xiào)校(xiào)肖(xiāo)啸(xiào)笑(xiào)效(xiào)楔(xiē)些(xiē)歇(xiē)蝎(xiē)鞋(xié)协(xié)挟(jiā)携(xié)邪(xié)斜(xié)胁(xié)谐(xié)写(xiě)械(xiè)卸(xiè)蟹(xiè)懈(xiè)泄(xiè)泻(xiè)谢(xiè)屑(xiè)薪(xīn)芯(xīn)锌(xīn)欣(xīn)辛(xīn)新(xīn)忻(xīn)心(xīn)信(xìn)衅(xìn)星(xīnɡ)腥(xīnɡ)猩(xīnɡ)惺(xīnɡ)兴(xìnɡ)刑(xínɡ)型(xínɡ)形(xínɡ)邢(xínɡ)行(hánɡ)醒(xǐnɡ)幸(xìnɡ)杏(xìnɡ)性(xìnɡ)姓(xìnɡ)兄(xiōnɡ)凶(xiōnɡ)胸(xiōnɡ)匈(xiōnɡ)汹(xiōnɡ)雄(xiónɡ)熊(xiónɡ)休(xiū)修(xiū)羞(xiū)朽(xiǔ)嗅(xiù)锈(xiù)秀(xiù)袖(xiù)绣(xiù)墟(xū)戌(xū)需(xū)虚(xū)嘘(xū)须(xū)徐(xú)许(hǔ)蓄(xù)酗(xù)叙(xù)旭(xù)序(xù)畜(chù)恤(xù)絮(xù)婿(xù)绪(xù)续(xù)轩(xuān)喧(xuān)宣(xuān)悬(xuán)旋(xuán)玄(xuán)选(xuǎn)癣(xuǎn)眩(xuàn)绚(xuàn)靴(xuē)薛(xuē)学(xué)穴(xué)雪(xuě)血(xuè)勋(xūn)熏(xūn)循(xún)旬(xún)询(xún)寻(xún)驯(xùn)巡(xún)殉(xùn)汛(xùn)训(xùn)讯(xùn)逊(xùn)迅(xùn)Y压(yā)押(yā)鸦(yā)鸭(yā)呀(yɑ)丫(yā)芽(yá)牙(yá)蚜(yá)崖(yá)衙(yá)涯(yá)雅(yǎ)哑(yǎ)亚(yà)讶(yà)焉(yān)咽(yān)阉(yān)烟(yān)淹(yān)盐(yán)严(yán)研(yán)蜒(yán)岩(yán)延(yán)言(yán)颜(yán)阎(yán)炎(yán)沿(yán)奄(yǎn)掩(yǎn)眼(yǎn)衍(yǎn)演(yǎn)艳(yàn)堰(yàn)燕(yàn)厌(yā)砚(yàn)雁(yàn)唁(yàn)彦(yàn)焰(yàn)宴(yàn)谚(yàn)验(yàn)殃(yānɡ)央(yānɡ)鸯(yānɡ)秧(yānɡ)杨(yánɡ)扬(yánɡ)佯(yánɡ)疡(yánɡ)羊(yánɡ)洋(yánɡ)阳(yánɡ)氧(yǎnɡ)仰(yǎnɡ)痒(yǎnɡ)养(yǎnɡ)样(yànɡ)漾(yànɡ)邀(yāo)腰(yāo)妖(yāo)瑶(yáo)摇(yáo)尧(yáo)遥(yáo)窑(yáo)谣(yáo)姚(yáo)咬(yǎo)舀(yǎo)药(yào)要(yào)耀(yào)椰(yē)噎(yē)耶(yē)爷(yé)野(yě)冶(yě)也(yě)页(xié)掖(yē)业(yè)叶(yè)曳(yè)腋(yè)夜(yè)液(yè)一(yì)壹(yī)医(yī)揖(yī)铱(yī)依(yī)伊(yī)衣(yī)颐(yí)夷(yí)遗(yí)移(yí)仪(yí)胰(yí)疑(yí)沂(yí)宜(yí)姨(yí)彝(yí)椅(yǐ)蚁(yǐ)倚(yǐ)已(yǐ)乙(yǐ)矣(yǐ)以(yǐ)艺(yì)抑(yì)易(yì)邑(yì)屹(yì)亿(yì)役(yì)臆(yì)逸(yì)肄(yì)疫(yì)亦(yì)裔(yì)意(yì)毅(yì)忆(yì)义(yì)益(yì)溢(yì)诣(yì)议(yì)谊(yì)译(yì)异(yì)翼(yì)翌(yì)绎(yì)茵(yīn)荫(yīn)因(yīn)殷(yīn)音(yīn)阴(yīn)姻(yīn)吟(yín)银(yín)淫(yín)寅(yín)饮(yǐn)尹(yǐn)引(yǐn)隐(yǐn)印(yìn)英(yīnɡ)樱(yīnɡ)婴(yīnɡ)鹰(yīnɡ)应(yīnɡ)缨(yīnɡ)莹(yínɡ)萤(yínɡ)营(yínɡ)荧(yínɡ)蝇(yínɡ)迎(yínɡ)赢(yínɡ)盈(yínɡ)影(yǐnɡ)颖(yǐnɡ)硬(yìnɡ)映(yìnɡ)哟(yō)拥(yōnɡ)佣(yōnɡ)臃(yōnɡ)痈(yōnɡ)庸(yōnɡ)雍(yōnɡ)踊(yǒnɡ)蛹(yǒnɡ)咏(yǒnɡ)泳(yǒnɡ)涌(yǒnɡ)永(yǒnɡ)恿(yǒnɡ)勇(yǒnɡ)用(yònɡ)幽(yōu)优(yōu)悠(yōu)忧(yōu)尤(yóu)由(yóu)邮(yóu)铀(yóu)犹(yóu)油(yóu)游(yóu)酉(yǒu)有(yǒu)友(yǒu)右(yòu)佑(yòu)釉(yòu)诱(yòu)又(yòu)幼(yòu)迂(yū)淤(yū)于(yú)盂(yú)榆(yú)虞(yú)愚(yú)舆(yú)余(yú)俞(yú)逾(yú)鱼(yú)愉(yú)渝(yú)渔(yú)隅(yú)予(yǔ)娱(yú)雨(yǔ)与(yǔ)屿(yǔ)禹(yǔ)宇(yǔ)语(yǔ)羽(yǔ)玉(yù)域(yù)芋(yù)郁(yù)吁(xū)遇(yù)喻(yù)峪(yù)御(yù)愈(yù)欲(yù)狱(yù)育(yù)誉(yù)浴(yù)寓(yù)裕(yù)预(yù)豫(yù)驭(yù)鸳(yuān)渊(yuān)冤(yuān)元(yuán)垣(yuán)袁(yuán)原(yuán)援(yuán)辕(yuán)园(yuán)员(yuán)圆(yuán)猿(yuán)源(yuán)缘(yuán)远(yuǎn)苑(yuàn)愿(yuàn)怨(yuàn)院(yuàn)曰(yuē)约(yuē)越(yuè)跃(yuè)钥(yào)岳(yuè)粤(yuè)月(yuè)悦(yuè)阅(yuè)耘(yún)云(yún)郧(yún)匀(yún)陨(yǔn)允(yǔn)运(yùn)蕴(yùn)酝(yùn)晕(yūn)韵(yùn)孕(yùn)Z匝(zā)砸(zá)杂(zá)栽(zāi)哉(zāi)灾(zāi)宰(zǎi)载(zǎi)再(zài)在(zài)咱(zán)攒(zǎn)暂(zàn)赞(zàn)赃(zānɡ)脏(zānɡ)葬(zànɡ)遭(zāo)糟(zāo)凿(záo)藻(zǎo)枣(zǎo)早(zǎo)澡(zǎo)蚤(zǎo)躁(zào)噪(zào)造(zào)皂(zào)灶(zào)燥(zào)责(zé)择(zé)则(zé)泽(zé)贼(zéi)怎(zěn)增(zēnɡ)憎(zēnɡ)曾(cénɡ)赠(zènɡ)扎(zhā)喳(zhā)渣(zhā)札(zhá)轧(zhá)铡(zhá)闸(zhá)眨(zhǎ)栅(shān)榨(zhà)咋(zǎ)乍(zhà)炸(zhà)诈(zhà)摘(zhāi)斋(zhāi)宅(zhái)窄(zhǎi)债(zhài)寨(zhài)瞻(zhān)毡(zhān)詹(zhān)粘(zhān)沾(zhān)盏(zhǎn)斩(zhǎn)辗(niǎn)崭(zhǎn)展(zhǎn)蘸(zhàn)栈(zhàn)占(zhàn)战(zhàn)站(zhàn)湛(zhàn)绽(zhàn)樟(zhānɡ)章(zhānɡ)彰(zhānɡ)漳(zhānɡ)张(zhānɡ)掌(zhǎnɡ)涨(zhǎnɡ)杖(zhànɡ)丈(zhànɡ)帐(zhànɡ)账(zhànɡ)仗(zhànɡ)胀(zhànɡ)瘴(zhànɡ)障(zhànɡ)招(zhāo)昭(zhāo)找(zhǎo)沼(z hǎo)赵(zhào)照(zhào)罩(zhào)兆(zhào)肇(zhào)召(zhào)遮(zhē)折(zhé)哲(zhé)蛰(zhé)辙(zhé)者(zhě)锗(zhě)蔗(zhè)这(zhè)浙(zhè)珍(zhēn)斟(zhēn)真(zhēn)甄(zhēn)砧(zhēn)臻(zhēn)贞(zhēn)针(zhēn)侦(zhēn)枕(zhěn)疹(zhěn)诊(zhěn)震(zhèn)振(zhèn)镇(zhēn)阵(zhèn)蒸(zhēnɡ)挣(zhènɡ)睁(zhēnɡ)征(zhēnɡ)狰(zhēnɡ)争(zhēnɡ)怔(zhēnɡ)整(zhěnɡ)拯(zhěnɡ)正(zhènɡ)政(zhènɡ)帧(zhēn)症(zhènɡ)郑(zhènɡ)证(zhènɡ)芝(zhī)枝(zhī)支(zhī)吱(zhī)蜘(zhī)知(zhī)肢(zhī)脂(zhī)汁(zhī)之(zhī)织(zhī)职(zhí)直(zhí)植(zhí)殖(zhí)执(zhí)值(zhí)侄(zhí)址(zhǐ)指(zhǐ)止(zhǐ)趾(zhǐ)只(zhī)旨(zhǐ)纸(zhǐ)志(zhì)挚(zhì)掷(zhì)至(zhì)致(zhì)置(zhì)帜(zhì)峙(zhì)制(zhì)智(zhì)秩(zhì)稚(zhì)质(zhì)炙(zhì)痔(zhì)滞(zhì)治(zhì)窒(zhì)中(zhōnɡ)盅(zhōnɡ)忠(zhōnɡ)钟(zhōnɡ)衷(zhōnɡ)终(zhōnɡ)种(zhǒnɡ)肿(zhǒnɡ)重(zhònɡ)仲(zhònɡ)众(zhònɡ)舟(zhōu)周(zhōu)州(zhōu)洲(zhōu)诌(zhōu)粥(zhōu)轴(zhóu)肘(zhǒu)帚(zhǒu)咒(zhòu)皱(zhòu)宙(zhòu)昼(zhòu)骤(zhòu)珠(zhū)株(zhū)蛛(zhū)朱(zhū)猪(zhū)诸(zhū)诛(zhū)逐(zhú)竹(zhú)烛(zhú)煮(zhǔ)拄(zhǔ)瞩(zhǔ)嘱(zhǔ)主(zhǔ)着(zhe) 柱(zhù)助(zhù)蛀(zhù)贮(zhù)铸(zhù)筑。
3500个常用汉字表 3500常用汉字表(带拼音,适合小学生认读)导读:就爱阅读网友为您分享以下“3500常用汉字表(带拼音,适合小学生认读)”资讯,希望对您有所帮助,感谢您对的支持!一、常用字(2500字)按汉字读音笔顺,并标拼音aā阿啊āi哀唉挨ǎi矮ài爱碍ān安àn岸按案暗áng昂ǎo袄ào傲奥bbā八巴扒吧疤bá拔bǎ把bà坝爸罢霸bái白bǎi百柏摆bài 败拜bān班般斑搬bǎn板版bàn办半伴扮拌瓣bāng帮bǎng 绑榜膀bàng傍棒bāo包胞báo雹bǎo宝饱保堡bào报抱暴爆bēi杯悲碑běi北bèi贝备背倍被辈bēn奔běn本bèn笨bèng蹦bī逼bí鼻bǐ比彼笔鄙bì币必毕闭毙辟弊碧蔽壁避臂biān边编鞭biǎn扁biàn便变遍辨辩辫biāo标biǎo表bié别bīn宾滨bīng冰兵bǐng丙柄饼bìng并病bō拨波玻bāo 剥bō菠播bó脖伯驳泊博搏膊薄bo卜bǔ补捕bù不布步怖部ccā擦cāi猜cái才材财裁cǎi采彩睬踩cài菜cān参餐cán残蚕惭cǎn惨càn灿cāng仓苍舱cáng藏cāo操cáo槽cǎo草cè册侧厕测策céng层曾chā叉插chá查茶察chà岔差chāi 拆chái柴chán馋缠chǎn产铲chàn颤chāng昌cháng长肠尝偿常chǎng厂场敞chàng畅倡唱chāo抄钞超cháo朝潮chǎo吵炒chē车chě扯chè彻撤chén尘臣沉辰陈晨chuǎng 闯chèn衬趁chēng称撑chéng成呈承诚城乘惩程chèng秤chī吃chí池驰迟持匙chǐ尺齿耻chì斥赤翅chōng充冲chóng 虫崇chōu抽chóu仇绸愁稠筹酬chǒu丑chòu臭chū出初chú除厨锄chǔ础储楚处chù触畜chuān川穿chuán传船chuǎn喘chuàn串chuāng疮窗chuáng床chuàng创chuī吹炊chuí垂锤chūn春chún纯唇chǔn蠢cí词慈辞磁cǐ此cì次刺cōng从匆葱聪cóng丛còu凑cū粗cù促醋cuàn窜cuī催摧cuì脆翠cūn村cún存cùn寸cuò错ddā搭dá达答dǎ打dà大dāi呆dài代带待怠贷袋逮戴dān 丹单担耽dǎn胆dàn旦但诞弹淡蛋dāng当dǎng挡党dàng 荡档dāo刀叨dǎo导岛倒蹈dào到悼盗道稻dé得德de的dēng灯登děng等dèng凳dī低堤滴dí敌笛dǐ底抵dì地弟帝递第diān颠diǎn典点diàn电店垫殿diāo叼雕diào吊钓调掉diē爹跌dié叠蝶dīng丁叮盯dǐng顶dìng钉订定diū丢dōng东冬dǒng董懂dòng动冻栋洞dōu都dǒu抖陡dòu 斗豆逗dū督dú毒读独dǔ堵赌dù杜肚度渡duān端duǎn 短duàn段断缎锻duī堆duì队对dūn吨蹲dùn盾顿duō多duó夺duǒ朵躲duò惰eé鹅蛾额è恶饿ēn恩ér儿而ěr耳èr二ffā发fá乏伐罚阀fǎ法fān帆番翻fán凡烦繁fǎn反返fàn 犯泛饭范贩fāng方坊芳fáng防妨房fǎng仿访纺fàng放fēi 飞非féi肥fěi匪fèi废沸肺费fēn分吩纷芬fén坟fěn粉fèn 份奋愤粪fēng丰风封疯峰锋蜂féng逢缝fěng讽fèng凤奉fó佛fǒu否fū夫肤fú伏扶服俘浮符幅福fǔ抚府斧俯辅腐fù父付妇负附咐复赴副傅富腹覆ggāi该gǎi改gài盖溉概gān干甘杆肝竿gǎn秆赶敢感gāng 冈刚纲缸钢gǎng岗港gàng杠gāo高膏糕gǎo搞稿gào告gē哥胳鸽割搁歌gé阁革格葛隔gè个各gěi给gēn根跟gēng更耕gōng工弓公功攻供宫恭躬gǒng巩gòng共贡gōu勾沟钩gǒu狗gòu构购够gū估姑孤辜gǔ古谷股骨鼓gù固故顾guā瓜刮guà挂guāi乖guǎi拐guài怪guān关观官guǎn馆管guàn冠贯惯灌罐guāng光广guī归龟规guǐ轨鬼guì柜贵桂跪gǔn滚gùn棍guō锅guó国guǒ果裹guò过hhā哈hái孩hǎi海hài害hán含寒hǎn喊hàn汉汗旱háng 航háo毫豪hǎo好hào号浩耗hē喝hé禾合何和河核荷盒hè贺hēi黑hén痕hěn很狠hèn恨héng恒横衡hōng轰哄烘hóng - 1 -红宏洪虹hóu喉猴hǒu吼hòu后厚候hū乎呼忽hú狐胡壶湖糊蝴hǔ虎hù互户护huā花huá华哗滑猾huà化划画话huái怀槐huài坏huān欢hái还huán环huǎn缓huàn幻唤换患huāng荒慌huáng皇黄煌huǎng晃谎huī灰恢挥辉huí回huǐ悔毁huì汇会绘贿惠慧hūn昏婚hún浑魂hùn混huó活huǒ火伙huò或货获祸惑jjī击饥圾机肌鸡迹积基绩激jí及吉级即极急疾集籍jǐ几己挤脊jì计记纪忌技际剂季既济继寄jiā加夹佳家嘉jiǎ甲jià价驾架假嫁稼jiān奸尖坚歼间肩艰兼监煎jiǎn拣俭茧捡减剪检简jiàn见件建剑荐贱健舰渐践鉴键箭jiāng江姜将浆僵疆jiǎng讲奖桨jiàng匠降酱jiāo交郊娇浇骄胶椒焦蕉jiǎo角狡绞饺脚搅缴jiào叫轿较教jiē阶皆接揭街jié节劫杰洁结捷截竭她jiě姐解jiè介戒届界借jīn巾今斤金津筋jǐn仅紧谨锦jìn 尽劲近进晋浸禁jīng京经茎惊晶睛精jǐng井颈景警jìng净径竞竟敬境静镜jiū纠究揪jiǔ九久酒jiù旧救就舅jū居拘鞠jú局菊橘jǔ举矩jù句巨拒具俱剧惧据距锯聚juān捐juàn 卷倦绢jué决绝觉掘嚼jūn军君均菌jùn俊kkǎ卡kāi开kǎi凯慨kān刊堪kǎn砍kàn看kāng康糠káng 扛kàng抗炕kǎo考烤kào靠kē科棵颗ké壳咳kě可渴kè克刻客课kěn肯垦恳kēng坑kōng空kǒng孔kǒng恐kòng 控kǒu口kòu扣寇kū枯哭kǔ苦kù库裤酷kuā夸kuǎ垮kuà挎跨kuài块快kuān宽kuǎn款kuāng筐kuáng狂kuàng 况旷矿框kuī亏kuí葵kuì愧kūn昆kǔn捆kùn困kuò扩括阔llā垃拉啦lǎ喇là腊蜡辣lái来lài赖lán兰拦栏蓝篮lǎn览懒làn烂滥láng郎狼廊lǎng朗làng浪lāo捞láo劳牢lǎo老姥lào涝lè乐勒léi雷lěi垒lèi泪类累lěng冷lí厘梨狸离犁璃黎lǐ礼李里理lì力历厉立丽利励例隶栗粒liǎng俩lián连帘怜莲联廉镰liǎn脸liàn练炼恋链liáng良凉梁粮粱liǎng两liàng亮谅辆量liáo辽疗僚le了liào料liè列劣烈猎裂lín邻林临淋líng伶灵铃陵零龄lǐng岭领lìng令另liū溜liú刘流留榴liǔ柳liù六lóng龙笼聋隆lǒng垄拢lóu楼lǒu搂lòu 漏lú芦炉lǔ虏鲁lù露陆录鹿碌路lǘ驴lǚ旅屡lǜ律虑滤率绿l uǎn卵luàn乱lüě掠lüè略lún轮lùn论luó罗萝锣箩骡螺luò络骆落mmā妈má麻mǎ马码蚂mà骂ma吗mái埋mǎi买mài迈麦卖脉mán蛮馒瞒mǎn满màn慢漫máng忙芒盲茫māo猫máo毛矛茅mào茂冒贸帽貌me么méi没眉梅煤霉měi每美mèi妹mén门mèn闷men们méng萌盟蒙měng猛mèng 孟梦mí迷谜mǐ米眯mì秘密蜜mián眠绵棉miǎn免勉miàn 面miáo苗描miǎo秒miào妙庙miè灭蔑mín民mǐn敏míng 名明鸣mìng命mō摸mó模膜摩磨魔mò抹末沫莫漠墨默móu谋mǒu某mǔ母亩mù木目牧墓幕慕暮nná拿nǎ哪nèi内nà那纳nǎi乃奶nài耐nán男南难náng 囊náo挠nǎo恼脑nào闹ne呢nèn嫩néng能ní尼泥nǐ你nì逆nián年niàn念niáng娘niàng酿niǎo鸟niào尿niē捏nín您níng宁凝niú牛niǔ扭纽nóng农浓nòng弄nú奴nǔ努nù怒nǚ女nuǎn暖nuó挪oōu欧ǒu偶ppā趴pá爬pà怕pāi拍排pái牌pài派pān攀pán盘pàn判叛盼pāng乓páng旁pàng胖pāo抛páo袍pǎo跑pào炮泡péi陪培赔pèi佩配pēn喷pén盆péng朋棚蓬膨pěng捧pèng 碰pī批披劈pí皮疲脾pǐ匹pì僻piàn片piān偏篇piàn骗piāo漂飘piào票piě撇pīn拼pín贫pǐn品pīng乒píng平评凭苹瓶萍pō坡泼pó婆pò迫破魄pōu剖pū扑pú仆葡pǔ朴普谱pù铺q- 2 -qī七妻戚期欺漆qí齐其奇骑棋旗qǐ乞企岂启起qì气弃汽砌器qià恰洽qiān千迁牵铅谦签前qián钱钳潜qiǎn浅遣qiàn 欠歉qiāng枪腔qiáng强墙qiǎng抢qiāo悄敲锹qiáo乔侨桥瞧qiǎo巧qiē切qié茄qiě且qiè窃qīn亲侵qín芹琴禽勤qīng 青轻倾清蜻qíng情晴qǐng顷请qìng庆qióng穷qiū丘秋qiú求球qū区驱屈趋qú渠qǔ曲取qù去趣quān圈quán全权泉拳quǎn犬quàn劝券quē缺què却雀确鹊qún裙群rrán然燃rǎn染嚷壤ràng让ráo饶rǎo扰rào绕rě惹rè热rén人仁rěn忍rèn刃认任rēng扔仍rì日róng绒荣容熔融róu柔揉ròu肉rú如rǔ乳辱rù入ruǎn软ruì锐瑞rùn润ruò若弱ssā撒sǎ洒sāi塞sài赛sān三sǎn伞sàn散sāng桑sǎng嗓sàng 丧sǎo扫嫂sè色sēn森shā杀沙纱shǎ傻shāi筛shai晒shān 山删衫shǎn闪陕shàn扇善shāng伤商shang裳shǎng晌赏shàng上尚shāo捎梢烧稍sháo勺shǎo少shào绍哨shé舌蛇shě舍shè设社射涉摄shēn申伸身深shén神shěn沈审婶肾甚渗慎shēng升生声牲shéng绳shěng省shèng胜圣盛剩shī尸失师诗施狮湿shí十什石时识实拾蚀食shǐ史使始驶shì士氏世市示式事侍势视试饰室是柿适逝释誓shōu收shǒu手守首shòu寿受兽售授瘦shū书叔殊梳疏舒输蔬shú熟shǔ暑鼠薯shù术束述树竖数shuā刷shuǎ耍shuāi衰摔shuǎi 甩shuài帅shuān拴shuāng双霜shuǎng爽shuí谁shuǐ水shuì税睡shùn顺shuō说sòu嗽sī丝司私思斯撕sǐ死sì四寺似饲肆sōng松sòng宋诵送颂sōu搜艘sū苏sú俗sù诉肃素速宿塑suān酸suàn蒜算suī虽suí随suì岁碎穗sūn孙sǔn 损笋suō缩suǒ所索锁ttā她他它塌tǎ塔tà踏tái台抬tài太态泰tān贪摊滩tán坛谈痰tǎn坦毯tàn叹炭探tāng汤táng唐堂塘膛糖tǎng倘躺tàng烫趟tāo涛掏滔táo逃桃陶淘萄tǎo讨tào套tè特téng 疼腾tī梯踢tí提题蹄tǐ体tì剃惕替tiān天添tián田甜填tiāo 挑tiáo条tiào跳tiē贴帖tiě铁tīng厅听tíng亭庭停蜓tǐng 挺艇tōng通tóng同桐铜童tǒng统桶筒tòng痛tōu偷tóu 头投tòu透tū秃突tú图徒涂途屠tǔ土吐tù兔tuán团tuī推tuǐ腿tuì退tūn吞tún屯tuō托拖脱tuó驼tuǒ妥wwā挖蛙wá娃wǎ瓦wà袜wāi歪wài外wān弯湾wán丸完玩顽wǎn挽晚碗wàn万wāng汪wáng亡王wǎng网往wàng 妄忘旺望wēi危威微wéi为围违唯维wěi伟伪尾委wèi卫未位味畏胃喂慰wēn温wén文纹闻蚊wěn稳wèn问wēng翁wō窝wǒ我wò沃卧握wū乌污呜屋wú无吴wǔ五午伍武侮舞wù勿务物误悟雾xxī夕西吸希析息牺悉惜稀溪锡熄膝xí习席袭xǐ洗喜xì戏系细隙xiā虾瞎xiá峡狭霞xià下吓夏厦xiān仙先纤掀鲜xián 闲弦贤咸衔嫌xiǎn显险xiàn县现线限宪陷馅羡献xiāng乡相香箱xiáng详祥xiǎng享响想xiàng向巷项象像橡xuē削xiāo宵消销xiǎo小晓xiào孝效校笑xiē些歇xié协邪胁斜携鞋xiě写xiè泄泻卸屑械谢xīn心辛欣新薪信xīng兴星腥xíng 刑行形型xǐng醒xìng杏姓幸性xiōng凶兄胸xióng雄熊xiū休修羞xiǔ朽xiù秀绣袖锈xū须虚需xú徐xǔ许xù序叙畜绪续絮蓄xuān宣xuán悬旋xuǎn选xué穴学xuě雪xuè血xún寻巡旬询循xùn训讯迅y。
3500个常用汉字表 3500常用汉字表(带拼音,适合小学生认读)导读:就爱阅读网友为您分享以下“3500常用汉字表(带拼音,适合小学生认读)”资讯,希望对您有所帮助,感谢您对的支持!一、常用字(2500字)按汉字读音笔顺,并标拼音aā阿啊āi哀唉挨ǎi矮ài爱碍ān安àn岸按案暗áng昂ǎo袄ào傲奥bbā八巴扒吧疤bá拔bǎ把bà坝爸罢霸bái白bǎi百柏摆bài 败拜bān班般斑搬bǎn板版bàn办半伴扮拌瓣bāng帮bǎng 绑榜膀bàng傍棒bāo包胞báo雹bǎo宝饱保堡bào报抱暴爆bēi杯悲碑běi北bèi贝备背倍被辈bēn奔běn本bèn笨bèng蹦bī逼bí鼻bǐ比彼笔鄙bì币必毕闭毙辟弊碧蔽壁避臂biān边编鞭biǎn扁biàn便变遍辨辩辫biāo标biǎo表bié别bīn宾滨bīng冰兵bǐng丙柄饼bìng并病bō拨波玻bāo 剥bō菠播bó脖伯驳泊博搏膊薄bo卜bǔ补捕bù不布步怖部ccā擦cāi猜cái才材财裁cǎi采彩睬踩cài菜cān参餐cán残蚕惭cǎn惨càn灿cāng仓苍舱cáng藏cāo操cáo槽cǎo草cè册侧厕测策céng层曾chā叉插chá查茶察chà岔差chāi 拆chái柴chán馋缠chǎn产铲chàn颤chāng昌cháng长肠尝偿常chǎng厂场敞chàng畅倡唱chāo抄钞超cháo朝潮chǎo吵炒chē车chě扯chè彻撤chén尘臣沉辰陈晨chuǎng 闯chèn衬趁chēng称撑chéng成呈承诚城乘惩程chèng秤chī吃chí池驰迟持匙chǐ尺齿耻chì斥赤翅chōng充冲chóng 虫崇chōu抽chóu仇绸愁稠筹酬chǒu丑chòu臭chū出初chú除厨锄chǔ础储楚处chù触畜chuān川穿chuán传船chuǎn喘chuàn串chuāng疮窗chuáng床chuàng创chuī吹炊chuí垂锤chūn春chún纯唇chǔn蠢cí词慈辞磁cǐ此cì次刺cōng从匆葱聪cóng丛còu凑cū粗cù促醋cuàn窜cuī催摧cuì脆翠cūn村cún存cùn寸cuò错ddā搭dá达答dǎ打dà大dāi呆dài代带待怠贷袋逮戴dān 丹单担耽dǎn胆dàn旦但诞弹淡蛋dāng当dǎng挡党dàng 荡档dāo刀叨dǎo导岛倒蹈dào到悼盗道稻dé得德de的dēng灯登děng等dèng凳dī低堤滴dí敌笛dǐ底抵dì地弟帝递第diān颠diǎn典点diàn电店垫殿diāo叼雕diào吊钓调掉diē爹跌dié叠蝶dīng丁叮盯dǐng顶dìng钉订定diū丢dōng东冬dǒng董懂dòng动冻栋洞dōu都dǒu抖陡dòu 斗豆逗dū督dú毒读独dǔ堵赌dù杜肚度渡duān端duǎn 短duàn段断缎锻duī堆duì队对dūn吨蹲dùn盾顿duō多duó夺duǒ朵躲duò惰eé鹅蛾额è恶饿ēn恩ér儿而ěr耳èr二ffā发fá乏伐罚阀fǎ法fān帆番翻fán凡烦繁fǎn反返fàn 犯泛饭范贩fāng方坊芳fáng防妨房fǎng仿访纺fàng放fēi 飞非féi肥fěi匪fèi废沸肺费fēn分吩纷芬fén坟fěn粉fèn 份奋愤粪fēng丰风封疯峰锋蜂féng逢缝fěng讽fèng凤奉fó佛fǒu否fū夫肤fú伏扶服俘浮符幅福fǔ抚府斧俯辅腐fù父付妇负附咐复赴副傅富腹覆ggāi该gǎi改gài盖溉概gān干甘杆肝竿gǎn秆赶敢感gāng 冈刚纲缸钢gǎng岗港gàng杠gāo高膏糕gǎo搞稿gào告gē哥胳鸽割搁歌gé阁革格葛隔gè个各gěi给gēn根跟gēng更耕gōng工弓公功攻供宫恭躬gǒng巩gòng共贡gōu勾沟钩gǒu狗gòu构购够gū估姑孤辜gǔ古谷股骨鼓gù固故顾guā瓜刮guà挂guāi乖guǎi拐guài怪guān关观官guǎn馆管guàn冠贯惯灌罐guāng光广guī归龟规guǐ轨鬼guì柜贵桂跪gǔn滚gùn棍guō锅guó国guǒ果裹guò过hhā哈hái孩hǎi海hài害hán含寒hǎn喊hàn汉汗旱háng 航háo毫豪hǎo好hào号浩耗hē喝hé禾合何和河核荷盒hè贺hēi黑hén痕hěn很狠hèn恨héng恒横衡hōng轰哄烘hóng - 1 -红宏洪虹hóu喉猴hǒu吼hòu后厚候hū乎呼忽hú狐胡壶湖糊蝴hǔ虎hù互户护huā花huá华哗滑猾huà化划画话huái怀槐huài坏huān欢hái还huán环huǎn缓huàn幻唤换患huāng荒慌huáng皇黄煌huǎng晃谎huī灰恢挥辉huí回huǐ悔毁huì汇会绘贿惠慧hūn昏婚hún浑魂hùn混huó活huǒ火伙huò或货获祸惑jjī击饥圾机肌鸡迹积基绩激jí及吉级即极急疾集籍jǐ几己挤脊jì计记纪忌技际剂季既济继寄jiā加夹佳家嘉jiǎ甲jià价驾架假嫁稼jiān奸尖坚歼间肩艰兼监煎jiǎn拣俭茧捡减剪检简jiàn见件建剑荐贱健舰渐践鉴键箭jiāng江姜将浆僵疆jiǎng讲奖桨jiàng匠降酱jiāo交郊娇浇骄胶椒焦蕉jiǎo角狡绞饺脚搅缴jiào叫轿较教jiē阶皆接揭街jié节劫杰洁结捷截竭她jiě姐解jiè介戒届界借jīn巾今斤金津筋jǐn仅紧谨锦jìn 尽劲近进晋浸禁jīng京经茎惊晶睛精jǐng井颈景警jìng净径竞竟敬境静镜jiū纠究揪jiǔ九久酒jiù旧救就舅jū居拘鞠jú局菊橘jǔ举矩jù句巨拒具俱剧惧据距锯聚juān捐juàn 卷倦绢jué决绝觉掘嚼jūn军君均菌jùn俊kkǎ卡kāi开kǎi凯慨kān刊堪kǎn砍kàn看kāng康糠káng 扛kàng抗炕kǎo考烤kào靠kē科棵颗ké壳咳kě可渴kè克刻客课kěn肯垦恳kēng坑kōng空kǒng孔kǒng恐kòng 控kǒu口kòu扣寇kū枯哭kǔ苦kù库裤酷kuā夸kuǎ垮kuà挎跨kuài块快kuān宽kuǎn款kuāng筐kuáng狂kuàng 况旷矿框kuī亏kuí葵kuì愧kūn昆kǔn捆kùn困kuò扩括阔llā垃拉啦lǎ喇là腊蜡辣lái来lài赖lán兰拦栏蓝篮lǎn览懒làn烂滥láng郎狼廊lǎng朗làng浪lāo捞láo劳牢lǎo老姥lào涝lè乐勒léi雷lěi垒lèi泪类累lěng冷lí厘梨狸离犁璃黎lǐ礼李里理lì力历厉立丽利励例隶栗粒liǎng俩lián连帘怜莲联廉镰liǎn脸liàn练炼恋链liáng良凉梁粮粱liǎng两liàng亮谅辆量liáo辽疗僚le了liào料liè列劣烈猎裂lín邻林临淋líng伶灵铃陵零龄lǐng岭领lìng令另liū溜liú刘流留榴liǔ柳liù六lóng龙笼聋隆lǒng垄拢lóu楼lǒu搂lòu 漏lú芦炉lǔ虏鲁lù露陆录鹿碌路lǘ驴lǚ旅屡lǜ律虑滤率绿l uǎn卵luàn乱lüě掠lüè略lún轮lùn论luó罗萝锣箩骡螺luò络骆落mmā妈má麻mǎ马码蚂mà骂ma吗mái埋mǎi买mài迈麦卖脉mán蛮馒瞒mǎn满màn慢漫máng忙芒盲茫māo猫máo毛矛茅mào茂冒贸帽貌me么méi没眉梅煤霉měi每美mèi妹mén门mèn闷men们méng萌盟蒙měng猛mèng 孟梦mí迷谜mǐ米眯mì秘密蜜mián眠绵棉miǎn免勉miàn 面miáo苗描miǎo秒miào妙庙miè灭蔑mín民mǐn敏míng 名明鸣mìng命mō摸mó模膜摩磨魔mò抹末沫莫漠墨默móu谋mǒu某mǔ母亩mù木目牧墓幕慕暮nná拿nǎ哪nèi内nà那纳nǎi乃奶nài耐nán男南难náng 囊náo挠nǎo恼脑nào闹ne呢nèn嫩néng能ní尼泥nǐ你nì逆nián年niàn念niáng娘niàng酿niǎo鸟niào尿niē捏nín您níng宁凝niú牛niǔ扭纽nóng农浓nòng弄nú奴nǔ努nù怒nǚ女nuǎn暖nuó挪oōu欧ǒu偶ppā趴pá爬pà怕pāi拍排pái牌pài派pān攀pán盘pàn判叛盼pāng乓páng旁pàng胖pāo抛páo袍pǎo跑pào炮泡péi陪培赔pèi佩配pēn喷pén盆péng朋棚蓬膨pěng捧pèng 碰pī批披劈pí皮疲脾pǐ匹pì僻piàn片piān偏篇piàn骗piāo漂飘piào票piě撇pīn拼pín贫pǐn品pīng乒píng平评凭苹瓶萍pō坡泼pó婆pò迫破魄pōu剖pū扑pú仆葡pǔ朴普谱pù铺q- 2 -qī七妻戚期欺漆qí齐其奇骑棋旗qǐ乞企岂启起qì气弃汽砌器qià恰洽qiān千迁牵铅谦签前qián钱钳潜qiǎn浅遣qiàn 欠歉qiāng枪腔qiáng强墙qiǎng抢qiāo悄敲锹qiáo乔侨桥瞧qiǎo巧qiē切qié茄qiě且qiè窃qīn亲侵qín芹琴禽勤qīng 青轻倾清蜻qíng情晴qǐng顷请qìng庆qióng穷qiū丘秋qiú求球qū区驱屈趋qú渠qǔ曲取qù去趣quān圈quán全权泉拳quǎn犬quàn劝券quē缺què却雀确鹊qún裙群rrán然燃rǎn染嚷壤ràng让ráo饶rǎo扰rào绕rě惹rè热rén人仁rěn忍rèn刃认任rēng扔仍rì日róng绒荣容熔融róu柔揉ròu肉rú如rǔ乳辱rù入ruǎn软ruì锐瑞rùn润ruò若弱ssā撒sǎ洒sāi塞sài赛sān三sǎn伞sàn散sāng桑sǎng嗓sàng 丧sǎo扫嫂sè色sēn森shā杀沙纱shǎ傻shāi筛shai晒shān 山删衫shǎn闪陕shàn扇善shāng伤商shang裳shǎng晌赏shàng上尚shāo捎梢烧稍sháo勺shǎo少shào绍哨shé舌蛇shě舍shè设社射涉摄shēn申伸身深shén神shěn沈审婶肾甚渗慎shēng升生声牲shéng绳shěng省shèng胜圣盛剩shī尸失师诗施狮湿shí十什石时识实拾蚀食shǐ史使始驶shì士氏世市示式事侍势视试饰室是柿适逝释誓shōu收shǒu手守首shòu寿受兽售授瘦shū书叔殊梳疏舒输蔬shú熟shǔ暑鼠薯shù术束述树竖数shuā刷shuǎ耍shuāi衰摔shuǎi 甩shuài帅shuān拴shuāng双霜shuǎng爽shuí谁shuǐ水shuì税睡shùn顺shuō说sòu嗽sī丝司私思斯撕sǐ死sì四寺似饲肆sōng松sòng宋诵送颂sōu搜艘sū苏sú俗sù诉肃素速宿塑suān酸suàn蒜算suī虽suí随suì岁碎穗sūn孙sǔn 损笋suō缩suǒ所索锁ttā她他它塌tǎ塔tà踏tái台抬tài太态泰tān贪摊滩tán坛谈痰tǎn坦毯tàn叹炭探tāng汤táng唐堂塘膛糖tǎng倘躺tàng烫趟tāo涛掏滔táo逃桃陶淘萄tǎo讨tào套tè特téng 疼腾tī梯踢tí提题蹄tǐ体tì剃惕替tiān天添tián田甜填tiāo 挑tiáo条tiào跳tiē贴帖tiě铁tīng厅听tíng亭庭停蜓tǐng 挺艇tōng通tóng同桐铜童tǒng统桶筒tòng痛tōu偷tóu 头投tòu透tū秃突tú图徒涂途屠tǔ土吐tù兔tuán团tuī推tuǐ腿tuì退tūn吞tún屯tuō托拖脱tuó驼tuǒ妥wwā挖蛙wá娃wǎ瓦wà袜wāi歪wài外wān弯湾wán丸完玩顽wǎn挽晚碗wàn万wāng汪wáng亡王wǎng网往wàng 妄忘旺望wēi危威微wéi为围违唯维wěi伟伪尾委wèi卫未位味畏胃喂慰wēn温wén文纹闻蚊wěn稳wèn问wēng翁wō窝wǒ我wò沃卧握wū乌污呜屋wú无吴wǔ五午伍武侮舞wù勿务物误悟雾xxī夕西吸希析息牺悉惜稀溪锡熄膝xí习席袭xǐ洗喜xì戏系细隙xiā虾瞎xiá峡狭霞xià下吓夏厦xiān仙先纤掀鲜xián 闲弦贤咸衔嫌xiǎn显险xiàn县现线限宪陷馅羡献xiāng乡相香箱xiáng详祥xiǎng享响想xiàng向巷项象像橡xuē削xiāo宵消销xiǎo小晓xiào孝效校笑xiē些歇xié协邪胁斜携鞋xiě写xiè泄泻卸屑械谢xīn心辛欣新薪信xīng兴星腥xíng 刑行形型xǐng醒xìng杏姓幸性xiōng凶兄胸xióng雄熊xiū休修羞xiǔ朽xiù秀绣袖锈xū须虚需xú徐xǔ许xù序叙畜绪续絮蓄xuān宣xuán悬旋xuǎn选xué穴学xuě雪xuè血xún寻巡旬询循xùn训讯迅y。
3500个常用汉字A啊ā 阿ā 埃āi 挨ái 哎āi 唉āi 哀āi 皑ái 癌ái 蔼ǎi 矮ǎi 艾ài 碍ài 爱ài 隘ài 鞍ān 氨ān 安ān 俺ǎn 按àn 暗àn 岸àn 胺àn 案àn 肮āng 昂áng 盎àng 凹āo 敖áo 熬áo 翱áo 袄ǎo 傲ào 奥ào 懊ào 澳àoB芭bā 捌bā 扒bā 叭bā 吧ba 笆bā 八bā 疤bā 巴bā 拔bá 跋bá 靶bǎ 把bǎ 耙pá 坝bà 霸bà 罢bà 爸bà 白bái 柏bǎi 百bǎi 摆bǎi 佰bǎi 败bài 拜bài 稗bài 斑bān 班bān 搬bān 扳bān 般bān 颁bān 板bǎn 版bǎn 扮ban 拌bàn 伴bàn 瓣bàn 半bàn 办bàn 绊bàn 邦bāng 帮bāng 梆bāng 榜bǎng 膀páng 绑bǎng 棒bàng 磅bàng 蚌bàng 镑bàng 傍bàng 谤bàng 苞bāo 胞bāo 包bāo 褒bāo 剥bāo 薄báo 雹báo 保bǎo 堡bǎo 饱bǎo 宝bǎo 抱bào 报bào 暴bào 豹bào 鲍bào 爆bào 杯bēi 碑bēi 悲bēi 卑bēi 北běi 辈bèi 背bèi 贝bèi 钡bèi 倍bèi 狈bèi 备bèi 惫bèi 焙bèi 被bèi 奔bēn 苯běn 本běn 笨bèn 崩bēng 绷bēng 甭béng 泵bèng 蹦bèng 迸bèng 逼bī 鼻bí 比bǐ 鄙bǐ 笔bǐ 彼bǐ 碧bì 蓖bì 蔽bì 毕bì 毙bì 毖bì 币bì 庇bì 痹bì 闭bì 敝bì 弊bì 必bì 辟pì 壁bì 臂bì 避bì 陛bì 鞭biān 边biān 编biān 贬biǎn 扁biǎn 便biàn 变biàn 卞biàn 辨biàn 辩biàn 辫biàn 遍biàn 标biāo 彪biāo 膘biāo 表biǎo 鳖biē 憋biē 别bié 瘪biě 彬bīn 斌bīn 濒bīn 滨bīn 宾bīn 摈bìn 兵bīn g 冰bīng 柄bǐng 丙bǐng 秉bǐng 饼bing 炳bǐng 病bìng 并bìng 玻bō 菠bō 播bō 拨bō 钵bō 波bō 博bó勃bó 搏bó 铂bó 箔bó 伯bó帛bó 舶bó 脖bó 膊bó 渤bó 泊bó 驳bó 捕bǔ 卜bǔ 哺bǔ 补bǔ 埠bù不bù 布bù 步bù 簿bù 部bù 怖bùC擦cā 猜cāi 裁cái 材cái 才cái 财cái 睬cǎi 踩cǎi 采cǎi 彩cǎi 菜cài 蔡cài 餐cān 参cān 蚕cán 残cán 惭cán 惨cǎn 灿càn 苍cāng 舱cāng 仓cāng 沧cāng 藏cáng 操cāo 糙cāo 槽cáo 曹cáo 草cǎo 厕cè 策cè 侧cè 册cè 测cè 层céng 蹭cèng 插chā 叉chā 茬chá 茶chá 查chá 碴chá 搽chá 察chá岔chà 差chà 诧chà 拆chāi 柴chái 豺ch ái 搀chān 掺chān 蝉chán 馋chán 谗chán 缠chan 铲chǎn 产chǎn 阐chǎn 颤chàn 昌chāng 猖chāng 场chǎng 尝cháng 常cháng 长cháng 偿cháng 肠cháng 厂chǎng 敞chǎng 畅chàng 唱chàng 倡chàng 超chāo 抄chāo 钞chāo 朝cháo 嘲cháo 潮cháo 巢cháo 吵chǎo 炒chǎo 车chē 扯chě 撤chè 掣chè 彻chè 澈chè 郴c hēn 臣chén 辰chén 尘chén 晨chén 忱chén 沉chén 陈chén 趁chèn 衬chèn 撑chēng 称chēng 城chéng 橙chéng 成chéng 呈chéng 乘chéng 程chéng 惩chéng 澄dèng 诚cheng 承chéng 逞chěng 骋chěng 秤chèng 吃chī 痴chī 持chí 匙shi 池chí 迟chí 弛chí 驰chí 耻chǐ 齿chǐ 侈chǐ 尺chǐ 赤chì 翅chì 斥chì 炽chì充chōng 冲chōng 虫chóng 崇chóng 宠chǒng 抽chōu 酬chou 畴chóu 踌chóu 稠chóu 愁chóu 筹chóu 仇chóu 绸chóu 瞅chǒu 丑chǒu 臭chòu 初chū 出chū 橱chú 厨chú 躇chú 锄chú 雏chú 滁chú 除chú 楚chǔ 础chǔ 储chǔ 矗chù 搐chù 触chù 处chù揣chuāi 川chuān 穿chuān 椽chuán 传chuán 船chuán 喘chuǎn 串chuàn 疮chuāng 窗chuāng 幢zhuàng 床chuáng 闯chuǎng 创chuàng 吹chuī 炊chuī捶chuí 锤chuí 垂chuí 春chūn 椿chūn 醇chún 唇chún 淳chún 纯chún 蠢chǔn 戳chuō 绰chāo 疵cī 茨cí 磁cí雌cí 辞cí 慈cí 瓷cí 词cí 此cǐ 刺cì 赐cì 次cì 聪cōng 葱cōng 囱cōng 匆cōng 从cóng 丛cóng 凑còu 粗cū 醋cù 簇cù 促cù 蹿cuān 篡cuàn 窜cuàn 摧cuī 崔cuī 催cuī 脆cuì 瘁cuì 粹cuì 淬cuì 翠cuì 村cūn 存cún 寸cùn 磋cuō 撮cuō 搓cuō 措cuò 挫cuò 错cuòD搭dā 达dá 答dá 瘩dá 打dǎ 大dà 呆dāi 歹dǎi 傣dǎi 戴dài 带dài 殆dài 代dài 贷dài 袋dài 待dài 逮dǎi 怠dài 耽dān 担dān 丹dān 单dān 郸dān 掸dǎn 胆dǎn 旦dàn 氮dàn 但dàn 惮dàn 淡dàn 诞dàn 弹dàn 蛋dàn 当dāng 挡dǎng 党dǎng 荡dàng 档dàng 刀dāo 捣dǎo 蹈dǎo 倒dǎo 岛dǎo 祷dǎo 导dǎo 到dào 稻dào 悼dào 道dào 盗dào 德dé 得dé 的de 蹬dēng 灯dēng 登dēng 等děng 瞪dèng 凳dèng 邓dèng 堤dī 低dī 滴dī 迪dí 敌dí 笛dí 狄dí 涤dí 翟zhái 嫡dí 抵dǐ 底dǐ 地dì 蒂dì 第dì 帝dì 弟dì 递dì 缔dì颠diān 掂diān 滇diān 碘diǎn 点diǎn 典diǎn 靛yǐn 垫diàn 电diàn 佃diàn 甸diàn 店diàn 惦diàn 奠diàn 淀diàn 殿diàn 碉diāo 叼diāo 雕diāo 凋diāo 刁diāo 掉diào 吊diào 钓diào 调diào 跌diē 爹diē 碟dié 蝶dié 迭dié 谍dié 叠dié 丁dīng 盯dīng 叮dīng 钉dìng 顶dǐng 鼎dǐng 锭dìng 定dìng 订dìng 丢diū 东dōng 冬dōng 董dǒng 懂dǒng 动dòng 栋dòng侗dòng 恫tōng 冻dòng 洞dòng 兜dōu 抖dǒu 斗dòu 陡dǒu 豆dòu 逗dòu 痘dòu 督dū 都dōu 毒dú 犊dú 独dú 读dú 堵dǔ 睹dǔ赌dǔ 杜dù 镀dù 肚dù 度dù 渡dù 妒dù 端duān 短duǎn 锻duàn 段duàn断duàn 缎duàn 堆duī 兑duì 队duì 对duì 墩dūn 吨dūn 蹲dūn 敦dūn 顿dùn 囤dùn 钝dùn 盾dùn 遁dùn 掇duō 哆duō 多duō 夺duó 垛duǒ 躲duǒ 朵duǒ 跺duò 舵duò剁duò 惰duò 堕duòE蛾é峨é鹅é俄é额é讹é娥é恶è厄è扼è遏è鄂è饿è恩ēn 而ér 儿ér 耳ěr 尔ěr 饵ěr 洱ěr 二èr 贰èrF发fā罚fá筏fá伐fá乏fá阀fá法fǎ珐fà藩fān 帆fān 番fān 翻fān 樊fán 矾fán 钒fán 繁fán 凡fán 烦fán 反fǎn 返fǎn 范fàn 贩fàn 犯fàn 饭fàn 泛fan 坊f āng 芳fāng 方fāng 肪fáng 房fáng 防fáng 妨fáng 仿fǎng 访fǎng 纺fǎng 放fàng 菲fēi 非fēi 啡fēi 飞fēi 肥féi 匪fěi 诽fěi 吠fèi 肺fèi 废fèi 沸fèi 费fèi 芬fēn 酚fēn 吩fēn 氛fēn 分fēn 纷fēn 坟fén 焚fén 汾fén 粉fěn 奋fèn 份fèn 忿fèn 愤fèn 粪fèn 丰fēng 封fēng 枫fēng 蜂fēng 峰fēng 锋fēng 风fēng 疯fēng 烽fēng 逢féng 冯féng 缝feng 讽fěng 奉fèng 凤fèng 佛fó否fǒu 夫fu 敷fū肤fū孵fū扶fú拂fú辐fú幅fú氟fú符fú伏fú俘fú服fú浮fú涪fú福fú袱fu 弗fú甫fǔ抚fǔ辅fǔ俯fǔ釜fǔ斧fǔ脯pú腑fǔ府fǔ腐f ǔ赴fù副fù覆fù赋fù复fù傅fù付fù阜fù父fù腹fù负fù富fù讣fù附fù妇fù缚fù咐fùG噶gá嘎gā该gāi 改gǎi 概gài 钙gài 盖gài 溉gài 干gàn 甘gān 杆gǎn 柑gān 竿gān 肝gān 赶gǎn 感gǎn 秆gǎn 敢gǎn 赣gàn 冈gāng 刚gāng 钢gāng 缸gāng 肛gāng 纲gāng 岗gǎng 港gǎng 杠gàng 篙gāo 皋gāo 高gāo 膏gāo 羔gāo 糕gāo 搞gǎo 镐hào 稿gǎo 告gào 哥gē歌gē搁gē戈gē鸽gē胳gē疙gē割gē革gé葛格gěgé蛤há阁gé隔gé铬gè个gè各gè给gěi 根gēn 跟gēn 耕gēng 更gèng 庚gēng 羹gēng 埂gěng 耿gěng 梗gěng 工gōng 攻gōng 功gōng 恭gōng 龚gōng 供gòng 躬gōng 公gōng 宫弓巩gōnggōnggǒng 汞gǒng 拱gǒng 贡gòng 共gòng 钩gōu 勾gōu 沟gōu 苟gǒu 狗gǒu 垢gòu 构gòu 购gòu 够gòu 辜菇gūgū咕gū箍gū估gū沽gū孤gū姑gū鼓gǔ古gǔ蛊gǔ骨gǔ谷yù股gǔ故gù顾gù固gù雇gù刮guā瓜guā剐guǎ寡guǎ挂guà褂guà乖guāi 拐guǎi 怪guài 棺guān 关guān 官guān 冠guàn 观guān 管guǎn 馆guǎn 罐guàn 惯guàn 灌guàn 贯guàn 光guāng 广guǎng 逛guàng 瑰guī规guī圭guī硅guī归guī龟guī闺guī轨guǐ鬼guǐ诡guǐ癸guǐ桂guì柜guì跪guì贵guì刽guì辊gǔn 滚gǔn 棍gùn 锅guō郭guō国guó果guǒ裹guǒ过guòH 哈hā骸hái 孩hái 海hǎi 氦hài 亥hài 害hài 骇hài 酣hān 憨hān 邯hán 韩hán 含hán 涵hán 寒hán 函hán 喊hǎn 罕hǎn 翰hàn 撼hàn 捍hàn 旱hàn 憾hàn 悍hàn 焊hàn 汗hàn 汉hàn 夯hāng 杭háng 航háng 壕háo 嚎háo 豪háo 毫háo 郝hǎo 好hǎo 耗hào 号hào 浩hào 呵hē喝hē荷hé菏hé核hé禾hé和hé何hé合hé盒hé貉mò阂hé河hé涸hé赫hè褐hè鹤hè贺hè嘿hēi 黑hēi 痕hén 很hěn 狠hěn 恨hèn 哼hēng 亨hēng 横héng 衡héng 恒héng 轰hōng 哄hǒng 烘hōng 虹hóng 鸿hóng 洪hóng 宏hóng 弘hóng 红hóng 喉hóu 侯hóu 猴hóu 吼hǒu 厚hòu 候hòu 后hòu 呼hū乎hū忽hū瑚hú壶hú葫hú胡hú蝴hú狐hú糊hú湖hú弧hú虎hǔ唬hǔ护hù互hù沪hù户hù花huā哗huá华huá猾huá滑huá画huà划huá化huà话huà槐huái 徊huí怀huái 淮huái 坏huài 欢huān 环huán 桓huán 还hái 缓huǎn 换huàn 患huàn 唤huàn 痪huàn 豢huàn 焕huàn 涣huàn 宦huàn 幻huàn 荒huāng 慌huāng 黄huáng 磺huáng 蝗huáng 簧huáng 皇huáng 凰huáng 惶huáng 煌huáng 晃huǎng 幌huǎng 恍huǎng 谎huǎng 灰huī挥huī辉huī徽huī恢huī蛔huí回huí毁huǐ悔huǐ慧huì卉huì惠huì晦huì贿huì秽huì会huì烩huì汇huì讳huì诲huì绘huì荤hūn 昏hūn 婚hūn 魂hún 浑hún 混hún 豁huō活huó伙huǒ火huǒ获huò或huò惑huò霍huò货huò祸huòJ 击jī圾jī基jī机jī畸jī稽jī积jī箕jī肌jī饥jī迹jì激jī讥jī鸡jī姬jī绩jì缉jī吉jí极jí棘jí辑jí籍jí集jí及jí急jí疾jí汲jí即jí嫉jí级jí挤jǐ几jī脊jǐ己j ǐ蓟jì技jì冀jì季jì伎jì祭jì剂jì悸jì济jì寄jì寂jì计jì记jì既jì忌jì际jì妓jì继jì纪jì嘉jiā枷jiā夹jiá佳jiā家jie 加jiā荚jiá颊jiá贾jiǎ甲jiǎ钾jiǎ假jiǎ稼jià价jià架jià驾jià嫁jià歼jiān 监jiān 坚jiān 尖jiān 笺jiān 间jiān 煎jiān 兼jiān 肩jiān 艰jiān 奸jiān 缄jiān 茧jiǎn 检jiǎn 柬jiǎn 碱jiǎn 碱jiǎn 拣jiǎn 捡jiǎn 简jiǎn 俭jiǎn 剪jiǎn 减jiǎn 荐jiàn 槛kǎn 鉴jiàn 践jiàn 贱jiàn 见jiàn 键jiàn 箭jiàn 件jiàn 健jiàn 舰jiàn 剑jiàn 饯jiàn 渐jiàn 溅jiàn 涧jiàn 建jiàn 僵jiāng 姜jiāng 将jiāng 浆jiāng 江jiāng 疆jiāng 蒋jiǎng 桨jiǎng 奖jiǎng 讲jiǎng 匠jiàng 酱jiàng 降jiàng 蕉jiāo 椒jiāo 礁jiāo 焦jiāo 胶jiāo 交jiāo 郊jiāo 浇jiāo 骄jiāo 娇jiāo 嚼jiáo 搅jiǎo 铰jiǎo 矫jiǎo 侥yáo 脚jiǎo 狡jiǎo 角jiǎo 饺jiǎo 缴jiǎo 绞jiǎo 剿jiǎo 教jiào 酵jiào 轿jiào 较jiào 叫jiào 窖jiào 揭jiē接jiē皆jiē秸jie 街jiē阶jiē截jié劫jié节jié桔jú杰jié捷jié睫jié竭jié洁jié结jié解jiě姐jiě戒jiè藉jí芥jiè界jiè借jiè介jiè疥jiè诫jiè届jiè巾jīn 筋jīn 斤jīn 金jīn 今jīn 津jīn 襟jīn 紧jǐn 锦jǐn 仅jǐn 谨jǐn 进jìn 靳jìn 晋jìn 禁jìn 近jìn 烬jìn 浸jìn 尽jìn 劲jìn 荆兢jīngjīng 茎jīng 睛jīng 晶jīng 鲸jīng 京jīng 惊jīng 精jīng 粳jīng 经jīng 井jǐng 警jǐng 景jǐng 颈jǐng 静j ìng 境jìng 敬jìng 镜jìng 径jìng 痉jìng 靖jìng 竟jìng 竞jìng 净jìng 炯jiǒng 窘jiǒng 揪jiū究jiū纠jiū玖jiǔ韭jiǔ久jiǔ灸jiǔ九jiǔ酒jiǔ厩jiù救jiù旧jiù臼jiù舅jiù咎jiù就jiù疚jiù鞠jū拘jū狙jū疽jū居jū驹jū菊jú局jú咀jǔ矩jǔ举jǔ沮jǔ聚jù拒jù据jù巨jù具jù距jù踞jù锯jù俱jù句j ù惧jù炬jù剧jù捐juān 鹃juān 娟juān 倦juàn 眷juàn 卷juǎn 绢juàn 撅juē攫jué抉jué掘jué倔juè爵jué觉jiào 决jué诀jué绝jué均jūn 菌jūn 钧jūn 军jūn 君jūn 峻jùn 俊jùn 竣jùn 浚jùn 郡jùn 骏jùnK喀kā咖kā卡kǎ咯gē开kāi 揩kāi 楷kǎi 凯kǎi 慨kǎi 刊kān 堪kān 勘kān 坎kǎn 砍kǎn 看kàn 康kāng 慷kāng 糠kāng 扛káng 抗kàng 亢kàng 炕kàng 考kǎo 拷kǎo 烤kǎo 靠kào 坷kě苛kē柯kē棵kē磕kē颗kē科kē壳ké咳hāi 可kě渴kě克kè刻kè客kè课kè肯kěn 啃kěn 垦kěn 恳kěn 坑kēng 吭kēng 空kōng 恐kǒng 孔kǒng 控kòng 抠kōu 口kǒu 扣kòu 寇kòu 枯kū哭kū窟kū苦kǔ酷kù库kù裤kù夸kuā垮kuǎ挎kuà跨kuà胯kuà块kuài 筷kuài 侩kuài 快kuài 宽kuān 款kuǎn 匡kuāng 筐kuāng 狂kuáng 框kuàng 矿kuàng 眶kuàng 旷kuàng 况kuàng 亏kuī盔kuī岿kuī窥kuī葵kuí奎kuí魁kuí傀kuǐ馈kuì愧kuì溃kuì坤kūn 昆kūn 捆kǔn 困kùn 括kuò扩kuò廓kuò阔kuòL 垃lā拉lā喇lā蜡là腊là辣là啦lā莱lái 来lái 赖lài 蓝lán 婪lán 栏lán 拦lán 篮lán 阑lán 兰澜lánlán 谰lán 揽lan 览lǎn 懒lǎn 缆lǎn 烂làn 滥làn 琅láng 榔láng 狼láng 廊láng 郎láng 朗lǎng 浪làng 捞lāo 劳láo 牢láo 老lǎo 佬lǎo 姥lǎo 酪lào 烙lào 涝lào 勒lè乐lè雷léi 镭léi 蕾lěi 磊lěi 累lèi 儡lěi 垒lěi 擂lèi 肋lèi 类lèi 泪lèi 棱léng 楞leng 冷lěng 厘lí梨lí犁lí黎lí篱lí狸lí离lí漓lí理lǐ李lǐ里li 鲤lǐ礼lǐ莉lì荔lì吏lì栗lì丽lì厉lì励l ì砾lì历lì利lì僳sù例lì俐lì痢lì立lì粒lì沥lì隶lì力lì璃li 哩lǐ俩liǎng 联lián 莲lián 连lián 镰lián 廉lián 怜lián 涟lián 帘lián 敛liǎn 脸liǎn 链liàn 恋liàn 炼liàn 练liàn 粮liáng 凉liáng 梁liáng 粱liáng 良liáng 两liǎng 辆liàng 量liàng 晾liàng 亮liàng 谅liàng 撩liáo 聊liáo 僚liáo 疗liáo 燎liáo 寥liáo 辽liáo 潦liáo 了le 撂liào 镣liào 廖liào 料liào 列liè裂liè烈liè劣liè猎liè琳lín 林lín 磷lín 霖lín 临lín 邻lín 鳞lín 淋lín 凛lǐn 赁lìn 吝lìn 拎līn 玲líng 菱líng 零líng 龄líng 铃líng 伶líng 羚líng 凌líng 灵líng 陵líng 岭lǐng 领lǐng 另lìng 令lìng 溜liū琉liú榴liú硫liú馏liú留liú刘liú瘤liú流liú柳liǔ六liù龙lóng 聋lóng 咙lóng 笼lóng 窿lóng 隆lóng 垄lǒng 拢lǒng 陇lǒng 楼lóu 娄lóu 搂lǒu 篓lǒu 漏lòu 陋lòu 芦卢lúlú颅lú庐lú炉lú掳lǔ卤lǔ虏lǔ鲁lǔ麓lù碌lù露lù路lù赂lù鹿lù潞lù禄lù录lù陆lù戮lù驴lǘ吕lǚ铝lǚ侣lǚ旅lǚ履lǚ屡lǚ缕lü虑lǜ氯lǜ律lǜ率lǜ滤lǜ绿lǜ峦luán 挛luán 孪luán 滦luán 卵luǎn 乱luàn 掠lüě略lüè抡lūn 轮lún 伦lún 仑lún 沦lún 纶lún 论lùn 萝luó螺luó罗luó逻luó锣luó箩luó骡luó裸luǒ落luò洛luò骆luò络luòM 妈mā麻玛māmǎ码mǎ蚂mǎ马mǎ骂mà嘛ma 吗ma 埋mái 买mǎi 麦mài 卖mài 迈mài 脉mài 瞒mán 馒mán蛮mán 满蔓曼mǎnmànmàn 慢màn 漫màn 谩màn 芒máng 茫mán g 盲máng 氓máng 忙máng 莽mǎng 猫māo 茅máo 锚máo 毛máo 矛máo 铆mǎo 卯mǎo 茂mào 冒mào 帽mào 貌mào 贸mào 么yāo 玫méi 枚méi 梅méi 酶méi 霉méi 煤méi 没méi 眉méi 媒méi 镁měi 每měi 美昧měimèi 寐mèi 妹mèi 媚mèi 门mén 闷mèn 们men 萌méng 蒙měng 檬méng 盟méng 锰měng 猛měng 梦mèng 孟mèng 眯mī醚mí靡mí糜mí迷mí谜mí弥mí米mǐ秘mì觅mì泌mì蜜mì密mì幂mì棉mián 眠mián 绵mián 冕miǎn 免miǎn 勉miǎn 娩miǎn 缅miǎn 面miàn 苗miáo 描miáo 瞄miáo 藐miǎo 秒miǎo 渺miǎo 庙miào 妙miào 蔑miè灭miè民mín 抿mǐn 皿mǐn 敏mǐn 悯mǐn 闽mǐn 明míng 螟míng 鸣míng 铭míng 名míng 命mìng 谬miù摸mō摹mó蘑mó模mó膜mó磨mó摩mó魔mó抹mǒ末mò莫mò墨mò默mò沫mò漠mò寞mò陌mò谋móu 牟móu 某mǒu 拇mǔ牡mǔ亩mǔ姆mǔ母mǔ墓mù暮mù幕mù募mù慕mù木mù目mù睦mù牧mù穆mùN 拿ná哪nǎ呐nà钠nà那nà娜nà纳nà氖nǎi 乃nǎi 奶nǎi 耐nài 奈nài 南nán 男nán 难nán 囊náng 挠náo 脑nǎo 恼nǎo 闹nào 淖nào 呢ne 馁něi 内nèi 嫩n èn 能néng 妮nī霓ní倪ní泥ní尼ní拟nǐ你nǐ匿nì腻nì逆nì溺nì蔫niān 拈niān 年nián 碾niǎn 撵niǎn 捻niǎn 念niàn 娘niáng 酿niàng 鸟niǎo 尿niào 捏niē聂niè孽niè啮niè镊niè镍niè涅niè您nín 柠níng 狞níng 凝níng 宁níng 拧nǐng 泞nìng 牛niú扭niǔ钮niǔ纽niǔ脓nóng 浓nóng 农nóng 弄nòng 奴nú努nǔ怒nù女nǚ暖nuǎn 虐nüè疟nüè挪nuó懦nuò糯nuò诺nuòo 哦ò欧ōu 鸥ōu 殴ōu 藕ǒu 呕ǒu 偶ǒu 沤ōuP 啪pā趴pā爬pá帕pà怕pà琶pá拍pāi 排pái 牌pái 徘pái 湃pài 派pài 攀pān 潘盘磐pānpánpán 盼pàn 畔pàn 判pàn 叛pàn 乓pāng 庞páng 旁páng 耪pǎng 胖pàng 抛pāo 咆páo 刨páo 炮pào 袍páo 跑pǎo 泡pào 呸pēi 胚pēi 培péi 裴péi 赔péi 陪péi 配pèi 佩pèi 沛pèi 喷pēn 盆pén 砰pēng 抨pēng 烹pēng 澎péng 彭蓬péngpéng 棚péng 硼péng 篷péng 膨péng 朋péng 鹏péng 捧pěng 碰pèng 坯pī砒pī霹pī批pī披pī劈pī琵pí毗pí啤pí脾pí疲pí皮pí匹pǐ痞pǐ僻pì屁pì譬pì篇piān 偏piān 片piàn 骗piàn 飘piāo 漂piāo 瓢piáo 票piào 撇piě瞥piē拼pīn 频pín 贫pín 品pǐn 聘pìn 乒pīng 坪píng 苹píng 萍píng 平píng 凭píng 瓶píng 评píng 屏píng 坡pō泼pō颇pō婆pó破pò魄pò迫pò粕pò剖pōu 扑pū铺pū仆pú莆pú葡pú菩pú蒲pú埔pǔ朴pǔ圃pǔ普pǔ浦pǔ谱pǔ曝pù瀑bàoQ 期qī欺qī栖qī戚妻qīqī七qī凄qī漆qī柒qī沏qī其qí棋qí奇qí歧qí畦qí崎qí脐qí齐qí旗qí祈q í祁qí骑qí起qǐ岂qǐ乞qǐ企qǐ启qǐ契qì砌qì器qì气qì迄qì弃qì汽qì泣qì讫qì掐qiā洽qià牵qiān 扦qiān 钎qiān 铅qiān 千qiān 迁qiān 签qiān 仟qiān 谦qiān 乾qián 黔qián 钱qián 钳qián 前qián 潜qián 遣qiǎn 浅qiǎn 谴qiǎn 堑qiàn 嵌qiàn 欠qiàn 歉qiàn 枪qiān g 呛qiàng 腔qiāng 羌qiāng 墙qiáng 蔷qiáng 强qiáng 抢qiǎng 橇qiāo 锹qiāo 敲qiāo 悄qiāo 桥qiáo 瞧q iáo 乔qiáo 侨qiáo 巧qiǎo 鞘qiào 撬qiào 翘qiào 峭qiào 俏qiào 窍qiào 切qiē茄qié且qiě怯qiè窃qiè钦qīn 侵qīn 亲qīn 秦qín 琴qín 勤qín 芹qín 擒qín 禽qín 寝qǐn 沁qìn 青qīng 轻qīng 氢qīng 倾qīng 卿qīng 清qīng 擎qíng 晴qíng 氰qíng 情qíng 顷qǐng 请qǐng 庆qìng 琼qióng 穷qióng 秋qiū丘qiū邱qiū球qiú求qiú囚qiú酋qiú泅qiú趋qū区qū蛆qū曲qǔ躯qū屈qū驱qū渠qú取qǔ娶qǔ龋qǔ趣qù去qù圈quān 颧quán 权quán 醛quán 泉quán 全quán 痊quán 拳quán 犬quǎn 券quàn 劝quàn 缺quē炔quē瘸qué却què鹊què榷què确què雀què裙qún 群qúnR 然rán 燃rán 冉染rǎnrǎn 瓤ráng 壤rǎng 攘rǎng 嚷rǎng 让ràng 饶ráo 扰rǎo 绕rào 惹rě热rè壬rén 仁人rénrén 忍rěn 韧rèn 任rèn 认rèn 刃rèn 妊rèn 纫rèn 扔rēng 仍réng 日rì戎róng 茸róng 蓉róng 荣róng 融róng 熔róng 溶róng 容róng 绒róng 冗rǒng 揉róu 柔róu 肉ròu 茹rú蠕rú儒rú孺rú如rú辱rǔ乳rǔ汝rǔ入rù褥rù软ruǎn 阮ruǎn 蕊ruǐ瑞ruì锐ruì闰rùn 润rùn 若ruò弱ruòS 撒sǎ洒sǎ萨sà腮sāi 鳃sāi 塞sāi 赛sài 三叁sānsān 伞sǎn 散sàn 桑sāng 嗓sǎng 丧sàng 搔sāo 骚sāo 扫sǎo 嫂sǎo 瑟sè色sè涩sè森sēn 僧sēng 莎shā砂shā杀shā刹shā沙shā纱shā傻shǎ啥shá煞shà筛shāi 晒shài 珊shān 苫shān 杉shān 山shān 删shān 煽shān 衫shān 闪shǎn 陕shǎn 擅shàn 赡shàn 膳shàn 善shàn 汕shàn 扇shàn 缮shàn 墒shāng 伤shāng 商赏晌shāngshǎngshǎng 上shàng 尚裳shàngshang 梢shāo 捎shāo 稍shāo 烧shāo 芍sháo 勺sháo 韶sháo 少shǎo 哨shào 邵绍shàoshào 奢shē赊shē蛇shé舌shé舍shè赦shè摄shè射shè慑shè涉shè社shè设shè砷shēn 申shēn 呻shēn 伸shēn 身shēn 深shēn 娠shēn 绅shēn 神shén 沈shěn 审shěn 婶shěn 甚shèn 肾shèn 慎shèn 渗shèn 声shēng 生shēng 甥shēng 牲shēng 升shēng 绳shéng 省shěng 盛shèng 剩shèng 胜shèng 圣shèng 师shī失shī狮shī施shī湿shī诗shī尸shī虱shī十shí石shí拾shí时shí什shén 食shí蚀shí实shí识shí史shǐ矢shǐ使shǐ屎shǐ驶shǐ始shǐ式shì示shì士shì世shì柿shì事shì拭shì誓shì逝shì势shì是shì嗜shì噬shì适shì仕shì侍shì释shì饰shì氏shì市shì恃shì室shì视shì试shì收shōu 手shǒu 首shǒu 守shǒu 寿shòu 授shòu 售shòu 受shòu 瘦shòu 兽shòu 蔬shū枢shū梳shū殊shū抒sh ū输shū叔shū舒shū淑shū疏shū书shū赎shú孰shú熟shú薯shǔ暑shǔ曙shǔ署shǔ蜀shǔ黍shǔ鼠shǔ属shǔ术shù述shù树shù束shù戍shù竖shù墅shù庶shù数shù漱shù恕shù刷shuā耍shuǎ摔shuāi 衰shuāi 甩shuǎi 帅shuài 栓shuān 拴shuān 霜shuāng 双shuāng 爽shuǎng 谁shuí水shuǐ睡shuì税shuì吮shǔn 瞬shùn 顺shùn 舜shùn 说shuō硕shuò朔shuò烁shuò斯sī撕sī嘶sī思sī私sī司sī丝sī死sǐ肆sì寺sì嗣sì四sì伺sì似sì饲sì巳sì松sōng 耸sǒng 怂sǒng 颂sòng 送sòng 宋sòng 讼sòng 诵sòng 搜sōu 艘sōu 擞sòu 嗽sòu 苏sū酥sū俗sú素sù速sù粟sù僳sù塑sù溯sù宿xiǔ诉sù肃sù酸suān 蒜suàn 算suàn 虽suī隋suí随suí绥suí髓suǐ碎suì岁suì穗suì遂suì隧suì祟suì孙sūn 损sǔn 笋sǔn 蓑suō梭suō唆suō缩suō琐suǒ索suǒ锁suǒ所suǒT 塌tā他tā它tā她tā塔tǎ獭tǎ挞tà蹋tà踏tà胎tāi 苔tái 抬tái 台tái 泰tài 酞tài 太tài 态tài 汰tài 坍tān 摊tān 贪tān 瘫tān 滩tān 坛tán 檀tán 痰tán 潭tán 谭tán 谈tán 坦tǎn 毯tǎn 袒tǎn 碳tàn 探tàn 叹tàn 炭tàn 汤tāng 塘táng 搪táng 堂táng 棠táng 膛táng 唐táng 糖táng 倘tǎng 躺tǎng 淌tǎng 趟tàng 烫tang 掏tāo 涛tāo 滔tāo 绦tāo 萄táo 桃táo 逃táo 淘táo 陶táo 讨tǎo 套tào 特tè藤téng 腾téng 疼téng 誊téng 梯tī剔tī踢tī锑tī提tí题tí蹄tí啼tí体tǐ替tì嚏tì惕tì涕tì剃tì屉tì天tiān 添tiān 填tián 田tián 甜tián 恬tián 舔tiǎn 腆tiǎn 挑tiāo 条tiáo 迢tiáo 眺tiào 跳tiào 贴tiē铁tiě帖tiē厅tīng 听tīng 烃tīng 汀tīng 廷tíng 停tíng 亭tíng 庭tíng 挺tǐng 艇tǐng 通tōng 桐tóng 酮tóng 瞳tóng 同tong 铜tóng 彤tóng 童tóng 桶tǒng 捅tǒng 筒tǒng 统tǒng 痛tòng 偷tōu 投tóu 头tóu 透tòu 凸tū秃tū突tū图tú徒tú途tú涂tú屠tú土tǔ吐tǔ兔tù湍tuān 团tuán 推tuī颓tuí腿tuǐ蜕tuì褪tuì退tuì吞tūn 屯tún 臀tún 拖tuō托tuō脱tuō鸵tuó陀tuó驮tuó驼tuó椭tuǒ妥tuǒ拓tuò唾tuòW 挖wā哇wā蛙wā洼wā娃wá瓦wǎ袜wà歪wāi 外wài 豌wān 弯wān 湾wān 玩wán 顽wán 丸wán 烷wán 完wán 碗wǎn 挽wǎn 晚wǎn 皖wǎn 惋wǎn 宛wǎn 婉wǎn 万wàn 腕wàn 汪wāng 王wáng 亡wáng 枉wǎng 网wǎng 往wǎng 旺wàng 望wàng 忘wàng 妄wàng 威wēi 巍wēi 微wēi 危wēi 韦wéi 违wéi 桅wéi 围wéi 唯wéi 惟wéi 为wéi 潍wéi 维wéi 苇wěi 萎wěi 委wěi 伟wěi 伪wěi 尾wěi 纬wěi 未wèi 蔚wèi 味wèi 畏wèi 胃wèi 喂wèi 魏wèi 位wèi 渭wèi 谓wèi 尉wèi 慰wèi 卫wèi 瘟wēn 温wēn 蚊wén 文wén 闻wén 纹wén 吻wěn 稳wěn 紊wěn 问wèn 嗡wēng 翁wēng 瓮wèng 挝wō蜗wō涡wō窝wō我wǒ斡wò卧wò握wò沃wò巫呜wūwū钨wū乌wū污wū诬wū屋wū无wú芜wú梧wú吾wú吴wú毋wú武wǔ五wǔ捂wǔ午wǔ舞wǔ伍wǔ侮wǔ坞wù戊wù雾wù晤wù物wù勿wù务wù悟wù误wùX 昔xī熙xī析xī西xī硒xī矽xī晰xī嘻xī吸xī锡xī牺xī稀xī息xī希xī悉xī膝xī夕xī惜xī熄xī烯xī溪xī汐xī犀xī檄xí袭x í席xí习xí媳xí喜xǐ铣xǐ洗xǐ系xì隙xì戏xì细xì瞎xiā虾xiā匣xiá霞xiá辖xiá暇xiá峡xiá侠xiá狭xiá下xià厦shà夏xià吓xià掀xiān 锨xiān 先xiān 仙xiān 鲜xiǎn 纤xiān 咸xián 贤xián 衔xián 舷xián 闲xián 涎xián 弦xián 嫌xián 显xiǎn 险xiǎn 现xiàn 献xiàn 县xiàn 腺xiàn 馅xiàn 羡xiàn 宪xiàn 陷xiàn 限xiàn 线xiàn 相xiāng 厢xiāng 镶xiāng 香xiāng 箱xiāng 襄xiāng 湘xiāng 乡xiāng 翔xiáng 祥xiáng 详xiáng 想xiǎng 响xiǎng 享xiǎng 项xiàng 巷xiàng 橡xiàng 像xiàng 向xiàng 象xiàng 萧xiāo硝xiāo 霄xiāo 削xuē哮xiào 嚣xiāo 销xiāo 消xiao 宵xiāo 淆xiáo 晓xiǎo 小xiǎo 孝xiào 校xiào 肖xiāo 啸xiào 笑xiào 效xiào 楔xiē些xiē歇xiē蝎xiē鞋xié协xié挟jiā携xié邪xié斜xié胁xié谐xié写xiě械xiè卸xiè蟹xiè懈xiè泄泻xièxiè谢xiè屑xiè薪xīn 芯xīn 锌xīn 欣xīn 辛xīn 新xīn 忻xīn 心xīn 信xìn 衅xìn 星xīng 腥xīng 猩xing 惺xīng 兴xìng 刑xíng 型xíng 形xíng 邢行醒xínghángxǐng 幸xìng 杏xìng 性xìng 姓xìng 兄xiōng 凶xiōng 胸xiōng 匈xiōng 汹xiōng 雄xióng 熊xióng 休xiū修xiū羞xiū朽xiǔ嗅xiù锈xiù秀xiù袖xiù绣xiù墟xū戌xū需xū虚xū嘘xū须xū徐xú许xǔ蓄xù酗xù叙xù旭xù序xù畜chù恤xù絮xù婿xù绪xù续xù轩xuān 喧xuān 宣xuān 悬xuán 旋xuán 玄xuán 选xuǎn 癣xuǎn 眩xuàn 绚xuàn 靴xuē薛xuē学xué穴xué雪xuě血xuè勋xūn 熏xūn 循xún 旬xún 询xún 寻xún 驯xùn 巡xún 殉xùn 汛xùn 训xùn 讯xùn 逊xùn 迅xùnY压yā押yā鸦yā鸭yā呀ya 丫yā芽yá牙yá蚜yá崖yá衙yá涯yá雅yǎ哑yǎ亚yà讶yà焉yān 咽yān 阉yān 烟yān 淹yān 盐yán 严yán 研yán 蜒yán 岩yán 延yán 言yán 颜yán 阎yán 炎yán 沿yán 奄yǎn 掩yǎn 眼yǎn 衍yǎn 演yǎn 艳yàn 堰yàn 燕yàn 厌yàn 砚yàn 雁yàn 唁yàn 彦yàn 焰yàn 宴yàn 谚yàn 验yàn 殃yāng 央yāng 鸯yāng 秧yāng 杨yáng 扬yáng 佯yáng 疡yáng 羊yáng 洋yáng 阳yáng 氧yǎng 仰yǎng 痒yǎng 养yǎng 样yàng 漾yàng 邀yāo 腰yāo 妖yāo 瑶yáo 摇yáo 尧yáo 遥yáo 窑yáo 谣yáo 姚yáo 咬yǎo 舀yǎo 药yào 要yào 耀yào 椰yē噎yē耶yē爷yé野yě冶yě也yě页yè掖yē业yè叶yè曳yè腋yè夜yè液yè一壹yīyī医yī揖yī铱yī依yī伊yī衣yī颐yí夷yí遗yí移yí仪yí胰yí疑yí沂yí宜yí姨yí彝yí椅yǐ蚁yǐ倚yǐ已yǐ乙yǐ矣yǐ以yǐ艺yì抑yì易yì邑y ì屹yì亿yì役yì臆yì逸yì肄yì疫yì亦yì裔yì意yì毅yì忆yì义yì益yì溢yì诣yì议yì谊yì译yì异yì翼yì翌yì绎yì茵yīn 荫yīn 因yīn 殷yǐn 音yīn 阴yīn 姻yīn 吟yín 银yín 淫yín 寅yín 饮yǐn 尹yǐn 引y ǐn 隐yǐn 印yìn 英yīng 樱yīng 婴yīng 鹰yīng 应yìng 缨yīng 莹yíng 萤yíng 营yíng 荧yíng 蝇yíng 迎yíng 赢yíng 盈yíng 影yǐng 颖yǐng 硬yìng 映yìng 哟yō拥yōng 佣yōng 臃yōng 痈yōng 庸yōng 雍yōng 踊yǒng 蛹yǒng 咏yǒng 泳yǒng 涌yǒng 永yǒng 恿yǒng 勇yǒng 用yòng 幽yōu 优yōu 悠yōu 忧yōu 尤yóu 由yóu 邮yóu 铀yóu 犹yóu 油yóu 游you 酉yǒu 有yǒu 友yǒu 右yòu 佑yòu 釉yòu 诱yòu 又yòu 幼yòu 迂yū淤yū于yú盂yú榆yú虞yú愚yú舆yú余俞yúyú逾yú鱼yú愉yú渝yú渔yú隅yú予yǔ娱yú雨yǔ与yǔ屿yǔ禹yǔ宇yǔ语yǔ羽yǔ玉y ù域yù芋yù郁yù吁xū遇yù喻yù峪yù御yù愈yù欲yù狱yù育yù誉yù浴yù寓yù裕yù预yù豫yù驭yù鸳yuān 渊yuān 冤yuān 元yuán 垣yuán 袁原援yuányuányuán 辕yuán 园yuán 员yuán 圆yuán 猿yuán 源yuán 缘yuán 远yuǎn苑yuàn 愿yuàn 怨yuàn 院yuàn 曰yuē约yuē越yuè跃y uè钥yào 岳yuè粤yuè月yuè悦yuè阅yuè耘yún 云yún 郧yún 匀yún 陨yǔn 允yǔn 运yùn 蕴yùn 酝yùn 晕yùn 韵yùn 孕yùnZ 匝zā砸zá杂zá栽zāi 哉zāi 灾zāi 宰zǎi 载zǎi 再zài 在zài 咱zan 攒zǎn 暂zàn 赞zàn 赃zāng 脏zāng 葬zàng 遭zāo 糟zāo 凿záo 藻zǎo 枣zǎo 早zǎo 澡zǎo 蚤zao 躁zào 噪zào 造zào 皂zào 灶zào 燥zào 责zé择zé则zé泽zé贼zéi 怎zěn 增zēng 憎zēng 曾céng 赠zèng 扎zā喳zhā渣zhā札zhá轧zhá铡zhá闸zhá眨zhǎ栅zhà榨zhà咋zǎ乍zhà炸zhà诈zhà摘zhāi 斋zhāi 宅zhái 窄zhǎi 债zhài 寨zhài 瞻zhān 毡zhān 詹zhān 粘zhān 沾zhān 盏zhǎn 斩zhǎn 辗zhǎn 崭zhǎn 展zhǎn 蘸zhàn 栈zhàn 占zhàn 战zhàn 站zhàn 湛zhàn 绽zhàn 樟zhāng 章zhāng 彰z hāng 漳zhāng 张zhāng 掌zhǎng 涨zhǎng 杖zhàng 丈zhàng 帐zhàng 账zhàng 仗zhàng 胀zhàng 瘴zhàng 障zhàng 招zhe 昭zhāo 找zhǎo 沼zhǎo 赵zhào 照zhào 罩zhào 兆zhào 肇zhào 召zhào 遮zhē折zhé哲zhé蛰zhé辙zhé者zhě锗zhě蔗zhè这zhè浙zhè珍zhēn 斟zhēn 真zhēn 甄zhēn 砧zhēn 臻zhēn 贞zhēn 针zhēn 侦zhēn 枕zhěn 疹zhěn 诊zhěn 震zhèn 振zhèn 镇zhèn 阵zhèn 蒸zhēn g 挣zhèng 睁zhēng 征zhēng 狰zhēng 争zhēng 怔zhēng 整zhěng 拯zhěng 正zhèng 政zhèng 帧zhèng 症zhèng 郑zhèng 证zhèng 芝zhī枝zhī支zhī吱zhī蜘zhī知zhī肢zhī脂zhī汁zhī之zhī织zhī职zhí直zhí植zhí殖zhí执zhí值zhí侄zhí址zhǐ指zhǐ止zhǐ趾zhǐ只zhī旨zhǐ纸zhǐ志zhì挚zhì掷zhì至zhì致zhì置zhì帜zhì峙zhì制zhì智zhì秩zhì稚zhì质zhì炙zhì痔zhì滞zhì治zhì窒zhì中zhōng 盅zhōng 忠zhōng 钟zhōng 衷zhōng 终zhōng 种zhòng 肿zhǒng 重zhòng 仲zh òng 众zhòng 舟zhōu 周zhōu 州zhōu 洲zhōu 诌zhōu 粥zhōu 轴zhóu 肘zhǒu 帚zhou 咒zhòu 皱zhòu 宙zhòu 昼zhòu 骤zhòu 珠zhū株zhū蛛zhū朱zhū猪zhū诸zhū诛zhū逐zhú竹zhú烛zhú煮zhǔ拄zhǔ瞩zhǔ嘱zhǔ主zhǔ著zhù柱zhù。
小学3500个常用汉字表带拼音-CAL-FENGHAI-(2020YEAR-YICAI)_JINGBIAN常用汉字3500字一y í画hu à:一y ī乙y ǐ 二èr 画hu à:二èr 十sh í丁d īn ɡ厂ch ǎn ɡ七q ī卜b ǔ人r én 入r ù八b ā九ji ǔ几j ǐ儿ér 了le 力l ì乃n ǎi 刀d āo 又y òu三s ān 画hu à:三s ān 于y ú干ɡān 亏ku ī士sh ì工ɡōn ɡ土t ǔ才c ái 寸c ùn 下xi à大d à丈zh àn ɡ与y ǔ万w àn 上sh àn ɡ小xi ǎo 口k ǒu 巾j īn 山sh ān 千qi ān 乞q ǐ川chu ān 亿y ì个ɡè勺sh áo 久ji ǔ凡f án 及j í夕x ī丸w án 么me 广ɡu ǎn ɡ亡w án ɡ门m én 义y ì之zh ī尸sh ī弓ɡōn ɡ己j ǐ已y ǐ子z ǐ卫w èi 也y ě女n ǚ飞f ēi 刃r èn 习x í叉ch ā马m ǎ乡xi ān ɡ四s ì画hu à:丰f ēn ɡ王w án ɡ井j ǐn ɡ开k āi 夫f ū天ti ān 无w ú元yu án 专zhu ān 云y ún 扎zh ā艺y ì木m ù五w ǔ支zh ī厅t īn ɡ不b ú太t ài 犬qu ǎn区q ū历l ì尤y óu 友y ǒu 匹p ǐ车ch ē巨j ù牙y á屯t ún 比b ǐ互h ù切qi ē瓦w ǎ止zh ǐ少sh ǎo 日r ì中zh ōn ɡ冈ɡān ɡ贝b èi 内n èi 水shu ǐ见ji àn 午w ǔ牛ni ú手sh ǒu 毛m áo 气q ì升sh ēn ɡ长ch án ɡ仁r én 什sh én 片pi àn 仆p ú化hu à仇ch óu 币b ì仍r én ɡ仅j ǐn 斤j īn 爪zh ǎo 反f ǎn 介ji è父f ù从c ón ɡ今j īn 凶xi ōn ɡ分f ēn 乏f á公ɡōn ɡ仓c ān ɡ月yu è氏sh ì勿w ù欠qi àn 风f ēn ɡ丹d ān 匀y ún 乌w ū凤f èn ɡ勾ɡōu 文w én 六li ù方f ān ɡ火hu ǒ为w éi 斗d òu 忆y ì订d ìn ɡ计j ì户h ù认r èn 心x īn 尺ch ǐ引y ǐn 丑ch ǒu 巴b ā孔k ǒn ɡ队du ì办b àn 以y ǐ允y ǔn 予y ǔ劝qu àn 双shu ān ɡ书sh ū幻hu àn五w ǔ画hu à:玉y ù刊k ān 示sh ì末m ò未w èi 击j ī打d ǎ巧qi ǎo 正zh èn ɡ扑p ū扒b ā功ɡōn ɡ扔r ēn ɡ去q ù甘ɡān 世sh ì古ɡǔ节ji é本b ěn 术sh ù可k ě丙b ǐn ɡ左zu ǒ厉l ì右y òu 石sh í布b ù龙l ón ɡ平p ín ɡ灭mi è轧zh á东d ōn ɡ卡k ǎ北b ěi 占zh àn 业y è旧ji ù帅shu ài 归ɡu ī且qi ě旦d àn 目m ù叶y è甲ji ǎ申sh ēn 叮d īn ɡ电di àn 号h ào 田ti án 由y óu 史sh ǐ只zh ǐ央y ān ɡ兄xi ōn ɡ叼di āo 叫ji ào 另l ìn ɡ叨d āo 叹t àn 四s ì生sh ēn ɡ失sh ī禾h é丘qi ū付f ù仗zh àn ɡ代d ài 仙xi ān 们men 仪y í白b ái 仔z ǎi 他t ā斥ch ì瓜ɡu ā乎h ū丛c ón ɡ令l ìn ɡ用y òn ɡ甩shu ǎi 印y ìn 乐l è句j ù匆c ōn ɡ册c è犯f àn 外w ài 处ch ù冬d ōn ɡ鸟ni ǎo 务w ù包b āo 饥j ī主zh ǔ市sh ì立l ì闪sh ǎn 兰l án 半b àn 汁zh ī汇hu ì头t óu 汉h àn 宁n ín ɡ穴xu é它t ā讨t ǎo 写xi ě让r àn ɡ礼l ǐ训x ùn 必b ì议y ì讯x ùn 记j ì永y ǒn ɡ司s ī尼n í民m ín 出ch ū辽li áo 奶n ǎi 奴n ú加ji ā召zh ào 皮p í边bi ān 发f ā孕y ùn 圣sh èn ɡ对du ì台t ái 矛m áo 纠ji ū母m ǔ幼y òu 丝s ī六li ù画hu à:式sh ì刑x ín ɡ动d òn ɡ扛k án ɡ寺s ì吉j í扣k òu 考k ǎo 托tu ō老l ǎo 执zh í巩ɡǒn ɡ圾j ī扩ku ò扫s ǎo 地d ì扬y án ɡ场ch ǎn ɡ耳ěr共ɡòn ɡ芒m án ɡ亚y à芝zh ī朽xi ǔ朴p ǔ机j ī权qu án 过ɡu ò臣ch én 再z ài 协xi é西x ī压y ā厌y àn 在z ài 有y ǒu 百b ǎi 存c ún 而ér 页y è匠ji àn ɡ夸ku ā夺du ó灰hu ī达d á列li è死s ǐ成ch én ɡ夹ji á轨ɡu ǐ邪xi é划hu á迈m ài 毕b ì至zh ì此c ǐ贞zh ēn 师sh ī尘ch én 尖ji ān 劣li è光ɡu ān ɡ当d ān ɡ早z ǎo 吐t ǔ吓xi à虫ch ón ɡ曲q ǔ团tu án 同t ón ɡ吊di ào 吃ch ī因y īn 吸x ī吗m ɑ屿y ǔ帆f ān 岁su ì回hu í岂q ǐ刚ɡān ɡ则z é肉r òu 网w ǎn ɡ年ni án 朱zh ū先xi ān 丢di ū舌sh é竹zh ú迁qi ān 乔qi áo 伟w ěi 传chu án 乒p īn ɡ乓p ān ɡ休xi ū伍w ǔ伏f ú优y ōu 伐f á延y án 件ji àn 任r èn 伤sh ān ɡ价ji à份f èn 华hu á仰y ǎn ɡ仿f ǎn ɡ伙hu ǒ伪w ěi 自z ì血xu è向xi àn ɡ似s ì后h òu 行x ín ɡ舟zh ōu 全qu án 会hu ì杀sh ā合h é兆zh ào 企q ǐ众zh òn ɡ爷y é伞s ǎn 创chu àn ɡ肌j ī朵du ǒ杂z á危w ēi 旬x ún 旨zh ǐ负f ù各ɡè名m ín ɡ多du ō争zh ēn ɡ色s è壮zhu àn ɡ冲ch ōn ɡ冰b īn ɡ庄zhu ān ɡ庆q ìn ɡ亦y ì刘li ú齐q í交ji āo 次c ì衣y ī产ch ǎn 决ju é充ch ōn ɡ妄w àn ɡ闭b ì问w èn 闯chu ǎn ɡ羊y án ɡ并b ìn ɡ关ɡu ān 米m ǐ灯d ēn ɡ州zh ōu 汗h àn 污w ū江ji ān ɡ池ch í汤t ān ɡ忙m án ɡ兴x ìn ɡ宇y ǔ守sh ǒu 宅zh ái 字z ì安ān 讲ji ǎn ɡ军j ūn 许x ǔ论l ùn 农n ón ɡ讽f ěn ɡ设sh è访f ǎn ɡ寻x ún 那n à迅x ùn 尽j ìn 导d ǎo 异y ì孙s ūn 阵zh èn 阳y án ɡ收sh ōu 阶ji ē阴y īn 防f án ɡ奸ji ān 如r ú妇f ù好h ǎo 她t ā妈m ā戏x ì羽y ǔ观ɡu ān 欢hu ān 买m ǎi 红h ón ɡ纤xi ān 级j í约yu ē纪j ì驰ch í巡x ún七q í画hu à:寿sh òu 弄n òn ɡ麦m ài 形x ín ɡ进j ìn 戒ji è吞t ūn 远yu ǎn 违w éi 运y ùn 扶f ú抚f ǔ坛t án 技j ì坏hu ài 扰r ǎo 拒j ù找zh ǎo 批p ī扯ch ě址zh ǐ走z ǒu 抄ch āo 坝b à贡ɡòn ɡ攻ɡōn ɡ赤ch ì折zh é抓zhu ā扮b àn 抢qi ǎn ɡ孝xi ào 均j ūn 抛p āo 投t óu 坟f én 抗k àn ɡ坑k ēn ɡ坊f ān ɡ抖d ǒu 护h ù壳k é志zh ì扭ni ǔ块ku ài 声sh ēn ɡ把b ǎ报b ào 却qu è劫ji é芽y á花hu ā芹q ín 芬f ēn 苍c ān ɡ芳f ān ɡ严y án 芦l ú劳l áo 克k è苏s ū杆ɡǎn 杠ɡàn ɡ杜d ù材c ái 村c ūn 杏x ìn ɡ极j í李l ǐ杨y án ɡ求qi ú更ɡèn ɡ束sh ù豆d òu 两li ǎn ɡ丽l ì医y ī辰ch én 励l ì否f ǒu 还h ái 歼ji ān 来l ái 连li án 步b ù坚ji ān 旱h àn 盯d īn ɡ呈ch én ɡ时sh í吴w ú助zh ù县xi àn 里l ǐ呆d āi 园yu án 旷ku àn ɡ围w éi 呀y ɑ吨d ūn 足z ú邮y óu 男n án 困k ùn 吵ch ǎo 串chu àn 员yu án 听t īn ɡ吩f ēn 吹chu ī呜w ū吧b ɑ吼h ǒu 别bi é岗ɡǎn ɡ帐zh àn ɡ财c ái 针zh ēn 钉d ìn ɡ告ɡào 我w ǒ乱lu àn 利l ì秃t ū秀xi ù私s ī每m ěi 兵b īn ɡ估ɡū体t ǐ何h é但d àn 伸sh ēn 作zu ò伯b ó伶l ín ɡ佣y ōn ɡ低d ī你n ǐ住zh ù位w èi 伴b àn 身sh ēn 皂z ào 佛f ó近j ìn 彻ch è役y ì返f ǎn 余y ú希x ī坐zu ò谷ɡǔ妥tu ǒ含h án 邻l ín 岔ch à肝ɡān 肚d ù肠ch án ɡ龟ɡu ī免mi ǎn 狂ku án ɡ犹y óu 角ji ǎo 删sh ān 条ti áo 卵lu ǎn 岛d ǎo 迎y ín ɡ饭f àn 饮y ǐn 系x ì言y án 冻d òn ɡ状zhu àn ɡ亩m ǔ况ku àn ɡ床chu án ɡ库k ù疗li áo 应y īn ɡ冷l ěn ɡ这zh è序x ù辛x īn 弃q ì冶y ě忘w àn ɡ闲xi án 间ji ān 闷m èn 判p àn 灶z ào 灿c àn 弟d ì汪w ān ɡ沙sh ā汽q ì沃w ò泛f àn 沟ɡōu 没m éi 沈sh ěn 沉ch én 怀hu ái 忧y ōu 快ku ài完w án 宋s òn ɡ宏h ón ɡ牢l áo 究ji ū穷qi ón ɡ灾z āi 良li án ɡ证zh èn ɡ启q ǐ评p ín ɡ补b ǔ初ch ū社sh è识sh í诉s ù诊zh ěn 词c í译y ì君j ūn 灵l ín ɡ即j í层c én ɡ尿ni ào 尾w ěi 迟ch í局j ú改ɡǎi 张zh ān ɡ忌j ì际j ì陆l ù阿ā陈ch én 阻z ǔ附f ù妙mi ào 妖y āo 妨f án ɡ努n ǔ忍r ěn 劲j ìn 鸡j ī驱q ū纯ch ún 纱sh ā纳n à纲ɡān ɡ驳b ó纵z òn ɡ纷f ēn 纸zh ǐ纹w én 纺f ǎn ɡ驴l ǘ纽ni ǔ 八b á画hu à:奉f èn ɡ玩w án 环hu án 武w ǔ青q īn ɡ责z é现xi àn 表bi ǎo 规ɡu ī抹m ǒ拢l ǒn ɡ拔b á拣ji ǎn 担d ān 坦t ǎn 押y ā抽ch ōu 拐ɡu ǎi 拖tu ō拍p āi 者zh ě顶d ǐn ɡ拆ch āi 拥y ōn ɡ抵d ǐ拘j ū势sh ì抱b ào 垃l ā拉l ā拦l án 拌b àn 幸x ìn ɡ招zh āo 坡p ō披p ī拨b ō择z é抬tái其qí取qǔ苦kǔ若ruò茂mào苹pínɡ苗miáo英yīnɡ范fàn直zhí茄qié茎jīnɡ茅máo林lín枝zhī杯bēi柜ɡuì析xī板bǎn松sōnɡ枪qiānɡ构ɡòu杰jié述shù枕zhěn丧sànɡ或huò画huà卧wò事shì刺cì枣zǎo雨yǔ卖mài矿kuànɡ码mǎ厕cè奔bēn奇qí奋fèn态tài欧ōu垄lǒnɡ妻qī轰hōnɡ顷qǐnɡ转zhuǎn斩zhǎn轮lún软ruǎn到dào非fēi叔shū肯kěn齿chǐ些xiē虎hǔ虏lǔ肾shèn贤xián尚shànɡ旺wànɡ具jù果ɡuǒ味wèi昆kūn国ɡuó昌chānɡ畅chànɡ明mínɡ易yì昂ánɡ典diǎn固ɡù忠zhōnɡ咐fù呼hū鸣mínɡ咏yǒnɡ呢ne岸àn岩yán帖tiē罗luó帜zhì岭lǐnɡ凯kǎi败bài贩fàn购ɡòu图tú钓diào制zhì知zhī垂chuí牧mù物wù乖ɡuāi刮ɡuā秆ɡǎn和hé季jì委wěi佳jiā侍shì供ɡònɡ使shǐ例lì版bǎn侄zhí侦zhēn侧cè凭pínɡ侨qiáo佩pèi货huò依yī的de迫pò质zhì欣xīn征zhēnɡ往wǎnɡ爬pá彼bǐ径jìnɡ所suǒ舍shě金jīn命mìnɡ斧fǔ爸bà采cǎi受shòu乳rǔ贪tān念niàn贫pín肤fū肺fèi肢zhī肿zhǒnɡ胀zhànɡ朋pénɡ股ɡǔ肥féi服fú胁xié周zhōu昏hūn鱼yú兔tù狐hú忽hū狗ɡǒu备bèi饰shì饱bǎo饲sì变biàn京jīnɡ享xiǎnɡ店diàn夜yè庙miào府fǔ底dǐ剂jì郊jiāo废fèi 净jìnɡ盲mánɡ放fànɡ刻kè育yù闸zhá闹nào郑zhènɡ券quàn卷juǎn单dān炒chǎo炊chuī炕kànɡ炎yán炉lú沫mò浅qiǎn法fǎ泄xiè河hé沾zhān泪lèi油yóu泊bó沿yán泡pào注zhù泻xiè泳yǒnɡ泥ní沸fèi波bō泼pō泽zé治zhì怖bù性xìnɡ怕pà怜lián怪ɡuài学xué宝bǎo宗zōnɡ定dìnɡ宜yí审shěn宙zhòu官ɡuān空kōnɡ帘lián实shí试shì郎lánɡ诗shī肩jiān房fánɡ诚chénɡ衬chèn衫shān视shì话huà诞dàn询xún该ɡāi详xiánɡ建jiàn肃sù录lù隶lì居jū届jiè刷shuā屈qū弦xián承chénɡ孟m èn ɡ孤ɡū陕sh ǎn 降ji àn ɡ限xi àn 妹m èi 姑ɡū姐ji ě姓x ìn ɡ始sh ǐ驾ji à参c ān 艰ji ān 线xi àn 练li àn 组z ǔ细x ì驶sh ǐ织zh ī终zh ōn ɡ驻zh ù驼tu ó绍sh ào 经j īn ɡ贯ɡu àn九ji ǔ画hu à: 奏z òu 春ch ūn 帮b ān ɡ珍zh ēn 玻b ō毒d ú型x ín ɡ挂ɡu à封f ēn ɡ持ch í项xi àn ɡ垮ku ǎ挎ku à城ch én ɡ挠n áo 政zh èn ɡ赴f ù赵zh ào 挡d ǎn ɡ挺t ǐn ɡ括ku ò拴shu ān 拾sh í挑ti āo 指zh ǐ垫di àn 挣zh èn ɡ挤j ǐ拼p īn 挖w ā按àn 挥hu ī挪nu ó某m ǒu 甚sh èn 革ɡé荐ji àn 巷xi àn ɡ带d ài 草c ǎo 茧ji ǎn 茶ch á荒hu ān ɡ茫m án ɡ荡d àn ɡ荣r ón ɡ故ɡù胡h ú南n án 药y ào 标bi āo 枯k ū柄b ǐn ɡ栋d òn ɡ相xi ān ɡ查ch á柏b ǎi 柳li ǔ柱zh ù柿sh ì栏l án 树sh ù要y ào 咸xi án 威w ēi 歪w āi 研y án 砖zhu ān 厘l í厚h òu 砌q ì砍k ǎn 面mi àn 耐n ài 耍shu ǎ牵qi ān 残c án 殃y ān ɡ轻q īn ɡ鸦y ā皆ji ē背b èi 战zh àn 点di ǎn 临l ín 览l ǎn 竖sh ù省sh ěn ɡ削xu ē尝ch án ɡ是sh ì盼p àn 眨zh ǎ哄h ǒn ɡ显xi ǎn 哑y ǎ冒m ào 映y ìn ɡ星x īn ɡ昨zu ó畏w èi 趴p ā胃w èi 贵ɡu ì界ji è虹h ón ɡ虾xi ā蚁y ǐ思s ī蚂m ǎ虽su ī品p ǐn 咽y ān 骂m à哗hu á咱z án 响xi ǎn ɡ哈h ā咬y ǎo 咳h āi 哪n ǎ炭t àn 峡xi á罚f á贱ji àn 贴ti ē骨ɡǔ钞ch āo 钟zh ōn ɡ钢ɡān ɡ钥y ào 钩ɡōu 卸xi è缸ɡān ɡ拜b ài 看k àn 矩j ǔ怎z ěn 牲sh ēn ɡ选xu ǎn 适sh ì秒mi ǎo 香xi ān ɡ种zh ǒn ɡ秋qi ū科k ē重zh òn ɡ复f ù竿ɡān 段du àn 便bi àn 俩li ǎn ɡ贷d ài 顺sh ùn 修xi ū保b ǎo 促c ù侮w ǔ俭ji ǎn 俗s ú俘f ú信x ìn 皇hu án ɡ泉qu án 鬼ɡu ǐ侵q īn 追zhu ī俊j ùn 盾d ùn 待d ài 律l ǜ很h ěn 须x ū叙x ù剑ji àn 逃t áo 食sh í盆p én 胆d ǎn 胜sh èn ɡ胞b āo 胖p àn ɡ脉m ài 勉mi ǎn 狭xi á狮sh ī独d ú狡ji ǎo 狱y ù狠h ěn贸m ào 怨yu àn 急j í饶r áo 蚀sh í饺ji ǎo 饼b ǐn ɡ弯w ān 将ji ān ɡ奖ji ǎn ɡ哀āi 亭t ín ɡ亮li àn ɡ度d ù迹j ì庭t ín ɡ疮chu ān ɡ疯f ēn ɡ疫y ì疤b ā姿z ī亲q īn 音y īn 帝d ì施sh ī闻w én 阀f á阁ɡé差ch à养y ǎn ɡ美m ěi 姜ji ān ɡ叛p àn 送s òn ɡ类l èi 迷m í前qi án 首sh ǒu 逆n ì总z ǒn ɡ炼li àn 炸zh à炮p ào 烂l àn 剃t ì洁ji é洪h ón ɡ洒s ǎ浇ji āo 浊zhu ó洞d òn ɡ测c è洗x ǐ活hu ó派p ài 洽qi à染r ǎn 济j ì洋y án ɡ洲zh ōu 浑h ún 浓n ón ɡ津j īn 恒h én ɡ恢hu ī恰qi à恼n ǎo 恨h èn 举j ǔ觉ji ào 宣xu ān 室sh ì宫ɡōn ɡ宪xi àn 突t ū穿chu ān 窃qi è客k è冠ɡu àn 语y ǔ扁bi ǎn 袄ǎo 祖z ǔ神sh én 祝zh ù误w ù诱y òu 说shu ō诵s òn ɡ垦k ěn 退tu ì既j ì屋w ū昼zh òu 费f èi 陡d ǒu 眉m éi 孩h ái 除ch ú险xi ǎn 院yu àn 娃w á姥l ǎo 姨y í姻y īn 娇ji āo 怒n ù架ji à贺h è盈y ín ɡ勇y ǒn ɡ怠d ài 柔r óu 垒l ěi 绑b ǎn ɡ绒r ón ɡ结ji é绕r ào 骄ji āo 绘hu ì给ɡěi 络lu ò骆lu ò绝ju é绞ji ǎo 统t ǒn ɡ十sh í画hu à:耕ɡēn ɡ耗h ào 艳y àn 泰t ài 珠zh ū班b ān 素s ù蚕c án 顽w án 盏zh ǎn 匪f ěi 捞l āo 栽z āi 捕b ǔ振zh èn 载z ǎi 赶ɡǎn 起q ǐ盐y án捎sh āo 捏ni ē埋m ái 捉zhu ō捆k ǔn 捐ju ān 损s ǔn 都d ōu 哲zh é逝sh ì捡ji ǎn 换hu àn 挽w ǎn 热r è恐k ǒn ɡ壶h ú挨āi 耻ch ǐ耽d ān 恭ɡōn ɡ莲li án 莫m ò荷h é获hu ò晋j ìn 恶è真zh ēn 框ku àn ɡ桂ɡu ì档d àn ɡ桐t ón ɡ株zh ū桥qi áo 桃t áo 格ɡé校xi ào 核h é样y àn ɡ根ɡēn 索su ǒ哥ɡē速s ù逗d òu 栗l ì配p èi 翅ch ì辱r ǔ唇ch ún 夏xi à础ch ǔ破p ò原yu án 套t ào 逐zh ú烈li è殊sh ū顾ɡù轿ji ào 较ji ào 顿d ùn 毙b ì致zh ì柴ch ái 桌zhu ō虑l ǜ监ji ān 紧j ǐn 党d ǎn ɡ晒sh ài 眠mi án 晓xi ǎo 鸭y ā晃hu ǎn ɡ晌sh ǎn ɡ晕y ūn 蚊w én哨sh ào 哭k ū恩ēn 唤hu àn 啊ā唉āi 罢b à峰f ēn ɡ圆yu án 贼z éi 贿hu ì钱qi án 钳qi án 钻zu àn 铁ti ě铃l ín ɡ铅qi ān 缺qu ē氧y ǎn ɡ特t è牺x ī造z ào 乘ch én ɡ敌d í秤ch èn ɡ租z ū积j ī秧y ān ɡ秩zh ì称ch ēn ɡ秘m ì透t òu 笔b ǐ笑xi ào 笋s ǔn 债zh ài 借ji è值zh í倚y ǐ倾q īn ɡ倒d ǎo 倘t ǎn ɡ俱j ù倡ch àn ɡ候h òu 俯f ǔ倍b èi 倦ju àn 健ji àn 臭ch òu 射sh è躬ɡōn ɡ息x ī徒t ú徐x ú舰ji àn 舱c ān ɡ般b ān 航h án ɡ途t ú拿n á爹di ē爱ài 颂s òn ɡ翁w ēn ɡ脆cu ì脂zh ī胸xi ōn ɡ胳ɡē脏z ān ɡ胶ji āo 脑n ǎo 狸l í狼l án ɡ逢f én ɡ留li ú皱zh òu 饿è恋li àn 桨ji ǎn ɡ浆ji ān ɡ衰shu āi 高ɡāo 席x í准zh ǔn 座zu ò脊j ǐ症zh èn ɡ病b ìn ɡ疾j í疼t én ɡ疲p í效xi ào 离l í唐t án ɡ资z ī凉li án ɡ站zh àn 剖p ōu 竞j ìn ɡ部b ù旁p án ɡ旅l ǚ畜ch ù阅yu è羞xi ū瓶p ín ɡ拳qu án 粉f ěn 料li ào 益y ì兼ji ān 烤k ǎo 烘h ōn ɡ烦f án 烧sh āo 烛zh ú烟y ān 递d ì涛t āo 浙zh è涝l ào 酒ji ǔ涉sh è消xi āo 浩h ào 海h ǎi 涂t ú浴y ù浮f ú流li ú润r ùn 浪l àn ɡ浸j ìn 涨zh ǎn ɡ烫t àn ɡ涌y ǒn ɡ悟w ù悄qi āo 悔hu ǐ悦yu è害h ài 宽ku ān 家ji ā宵xi āo 宴y àn 宾b īn 窄zh ǎi 容r ón ɡ宰z ǎi 案àn 请q ǐn ɡ朗l ǎn ɡ诸zh ū读d ú扇sh àn 袜w à袖xi ù袍p áo 被b èi 祥xi án ɡ课k è谁shu í调di ào 冤yu ān 谅li àn ɡ谈t án 谊y ì剥b āo 恳k ěn 展zh ǎn 剧j ù屑xi è弱ru ò陵l ín ɡ陶t áo 陷xi àn 陪p éi 娱y ú娘ni án ɡ通t ōn ɡ能n én ɡ难n án 预y ù桑s ān ɡ绢ju àn 绣xi ù验y àn 继j ì 十sh í一y í画hu à:球qi ú理l ǐ捧p ěn ɡ堵d ǔ描mi áo 域y ù掩y ǎn 捷ji é排p ái 掉di ào 堆du ī推tu ī掀xi ān 授sh òu 教ji āo 掏t āo 掠l üè培p éi 接ji ē控k òn ɡ探t àn 据j ù掘ju é职zh í基j ī著zh ù勒l è黄hu án ɡ萌m én ɡ萝lu ó菌j ūn 菜c ài 萄t áo 菊j ú萍p ín ɡ菠b ō营y ín ɡ械xi è梦m èn ɡ梢sh āo 梅m éi 检ji ǎn 梳sh ū梯t ī桶t ǒn ɡ救ji ù副f ù票pi ào 戚q ī爽shu ǎn ɡ聋l ón ɡ袭x í盛sh èn ɡ雪xu ě辅f ǔ辆li àn ɡ虚x ū雀qu è堂t án ɡ常ch án ɡ匙ch í晨ch én 睁zh ēn ɡ眯m ī眼y ǎn 悬xu án 野y ě啦l ā晚w ǎn 啄zhu ó距j ù跃yu è略l üè蛇sh é累l èi 唱ch àn ɡ患hu àn 唯w éi 崖y á崭zh ǎn 崇ch ón ɡ圈qu ān 铜t ón ɡ铲ch ǎn 银y ín 甜ti án 梨l í犁l í移y í笨b èn 笼l ón ɡ笛d í符f ú第d ì敏m ǐn 做zu ò袋d ài 悠y ōu 偿ch án ɡ偶ǒu 偷t ōu 您n ín 售sh òu 停t ín ɡ偏pi ān 假ji ǎ得d é衔xi án 盘p án 船chu án 斜xi é盒h é鸽ɡē悉x ī欲y ù彩c ǎi 领l ǐn ɡ脚ji ǎo 脖b ó脸li ǎn 脱tu ō象xi àn ɡ够ɡòu 猜c āi 猪zh ū猎li è猫m āo 猛m ěn ɡ馅xi àn 馆ɡu ǎn 凑c òu 减ji ǎn 毫h áo 麻m á痒y ǎn ɡ痕h én 廊l án ɡ康k ān ɡ庸y ōn ɡ鹿l ù盗d ào 章zh ān ɡ竟j ìn ɡ商sh ān ɡ族z ú旋xu án 望w àn ɡ率l ǜ着zhe 盖ɡài 粘zh ān 粗c ū粒l ì断du àn 剪ji ǎn 兽sh òu 清q īn ɡ添ti ān 淋l ín 淹y ān 渠q ú渐ji àn 混h ún 渔y ú淘t áo 液y è淡d àn 深sh ēn 婆p ó梁li án ɡ渗sh èn 情q ín ɡ惜x ī惭c án 悼d ào 惧j ù惕t ì惊j īn ɡ惨c ǎn 惯ɡu àn 寇k òu 寄j ì宿s ù窑y áo 密m ì谋m óu 谎hu ǎn ɡ祸hu ò谜m í逮d ǎi 敢ɡǎn 屠t ú弹d àn 随su í蛋d àn 隆l ón ɡ隐y ǐn 婚h ūn 婶sh ěn 颈j ǐn ɡ绩j ì绪x ù续x ù骑q í绳sh én ɡ维w éi 绵mi án 绸ch óu 绿l ǜ十sh í二èr 画hu à:琴q ín 斑b ān 替t ì款ku ǎn 堪k ān 搭d ā塔t ǎ越yu è趁ch èn 趋q ū超ch āo 提t í堤d ī博b ó揭ji ē喜x ǐ插ch ā揪ji ū搜s ōu煮zh ǔ援yu án 裁c ái 搁ɡē搂l ǒu 搅ji ǎo 握w ò揉r óu 斯s ī期q ī欺q ī联li án 散s àn 惹r ě葬z àn ɡ葛ɡě董d ǒn ɡ葡p ú敬j ìn ɡ葱c ōn ɡ落lu ò朝ch áo 辜ɡū葵ku í棒b àn ɡ棋q í植zh í森s ēn 椅y ǐ椒ji āo 棵k ē棍ɡùn 棉mi án 棚p én ɡ棕z ōn ɡ惠hu ì惑hu ò逼b ī厨ch ú厦sh à硬y ìn ɡ确qu è雁y àn 殖zh í裂li è雄xi ón ɡ暂z àn 雅y ǎ辈b èi 悲b ēi 紫z ǐ辉hu ī敞ch ǎn ɡ赏sh ǎn ɡ掌zh ǎn ɡ晴q ín ɡ暑sh ǔ最zu ì量li àn ɡ喷p ēn 晶j īn ɡ喇l ā遇y ù喊h ǎn 景j ǐn ɡ践ji àn 跌di ē跑p ǎo 遗y í蛙w ā蛛zh ū蜓t ín ɡ喝h ē喂w èi 喘chu ǎn 喉h óu 幅f ú帽m ào 赌d ǔ赔p éi 黑h ēi 铸zh ù铺p ū链li àn 销xi āo 锁su ǒ锄ch ú锅ɡu ō锈xi ù锋f ēn ɡ锐ru ì短du ǎn 智zh ì毯t ǎn 鹅é剩sh èn ɡ稍sh āo 程ch én ɡ稀x ī税shu ì筐ku ān ɡ等d ěn ɡ筑zh ù策c è筛sh āi 筒t ǒn ɡ答d á筋j īn 筝zh ēn ɡ傲ào 傅f ù牌p ái 堡b ǎo 集j í焦ji āo 傍b àn ɡ储ch ǔ奥ào 街ji ē惩ch én ɡ御y ù循x ún 艇t ǐn ɡ舒sh ū番f ān 释sh ì禽q ín 腊l à脾p í腔qi ān ɡ鲁l ǔ猾hu á猴h óu 然r án 馋ch án 装zhu ān ɡ蛮m án 就ji ù痛t òn ɡ童t ón ɡ阔ku ò善sh àn 羡xi àn 普p ǔ粪f èn 尊z ūn 道d ào 曾c én ɡ焰y àn 港ɡǎn ɡ湖h ú渣zh ā湿sh ī温w ēn 渴k ě滑hu á湾w ān 渡d ù游y óu 滋z ī溉ɡài 愤f èn 慌hu ān ɡ惰du ò愧ku ì愉y ú慨k ǎi 割ɡē寒h án 富f ù窜cu àn 窝w ō窗chu ān ɡ遍bi àn 裕y ù裤k ù裙q ún 谢xi è谣y áo 谦qi ān 属sh ǔ屡l ǚ强qi án ɡ粥zh ōu 疏sh ū隔ɡé隙x ì絮x ù嫂s ǎo 登d ēn ɡ缎du àn 缓hu ǎn 编bi ān 骗pi àn 缘yu án十sh í三s ān 画hu à:瑞ru ì魂h ún 肆s ì摄sh è摸m ō填ti án 搏b ó塌t ā鼓ɡǔ摆b ǎi 携xi é搬b ān 摇y áo 搞ɡǎo 塘t án ɡ摊t ān 蒜su àn 勤q ín 鹊qu è蓝l án 墓m ù幕m ù蓬p én ɡ蓄x ù蒙m én ɡ蒸zh ēn ɡ献xi àn 禁j ìn 楚ch ǔ想xi ǎn ɡ槐hu ái 榆y ú楼l óu 概ɡài 赖l ài 酬ch óu 感ɡǎn 碍ài 碑b ēi 碎su ì碰p èn ɡ碗w ǎn 碌l ù雷l éi 零l ín ɡ雾w ù雹b áo 输sh ū督d ū龄l ín ɡ鉴ji àn 睛j īn ɡ睡shu ì睬c ǎi 鄙b ǐ愚y ú暖nu ǎn盟m én ɡ歇xi ē暗àn 照zh ào 跨ku à跳ti ào 跪ɡu ì路l ù跟ɡēn 遣qi ǎn 蛾é蜂f ēn ɡ嗓s ǎn ɡ置zh ì罪zu ì罩zh ào 错cu ò锡x ī锣lu ó锤chu í锦j ǐn 键ji àn 锯j ù矮ǎi 辞c í稠ch óu 愁ch óu 筹ch óu 签qi ān 简ji ǎn 毁hu ǐ舅ji ù鼠sh ǔ催cu ī傻sh ǎ像xi àn ɡ躲du ǒ微w ēi 愈y ù遥y áo 腰y āo 腥x īn ɡ腹f ù腾t én ɡ腿tu ǐ触ch ù解ji ě酱ji àn ɡ痰t án 廉li án 新x īn 韵y ùn 意y ì粮li án ɡ数sh ù煎ji ān 塑s ù慈c í煤m éi 煌hu án ɡ满m ǎn 漠m ò源yu án 滤l ǜ滥l àn 滔t āo 溪x ī溜li ū滚ɡǔn 滨b īn 粱li án ɡ滩t ān 慎sh èn 誉y ù塞s āi 谨j ǐn 福f ú群q ún 殿di àn 辟p ì障zh àn ɡ嫌xi án 嫁ji à叠di é缝f én ɡ缠ch án十sh í四s ì画hu à:静j ìn ɡ碧b ì璃l í墙qi án ɡ撇pi ě嘉ji ā摧cu ī截ji é誓sh ì境j ìn ɡ摘zh āi 摔shu āi 聚j ù蔽b ì慕m ù暮m ù蔑mi è模m ó榴li ú榜b ǎn ɡ榨zh à歌ɡē遭z āo 酷k ù酿ni àn ɡ酸su ān 磁c í愿yu àn 需x ū弊b ì裳ch án ɡ颗k ē嗽s òu 蜻q īn ɡ蜡l à蝇y ín ɡ蜘zh ī赚zhu àn 锹qi āo 锻du àn 舞w ǔ稳w ěn 算su àn 箩lu ó管ɡu ǎn 僚li áo 鼻b í魄p ò貌m ào 膜m ó膊b ó膀b ǎn ɡ鲜xi ān 疑y í馒m án 裹ɡu ǒ敲qi āo 豪h áo 膏ɡāo 遮zh ē腐f ǔ瘦sh òu 辣l à竭ji é端du ān 旗q í精j īn ɡ歉qi àn 熄x ī熔r ón ɡ漆q ī漂pi āo 漫m àn 滴d ī演y ǎn 漏l òu 慢m àn 寨zh ài 赛s ài 察ch á蜜m ì谱p ǔ嫩n èn 翠cu ì熊xi ón ɡ凳d èn ɡ骡lu ó缩su ō十sh í五w ǔ画hu à:慧hu ì撕s ī撒s ā趣q ù趟t àn ɡ撑ch ēn ɡ播b ō撞zhu àn ɡ撤ch è增z ēn ɡ聪c ōn ɡ鞋xi é蕉ji āo 蔬sh ū横h én ɡ槽c áo 樱y īn ɡ橡xi àn ɡ飘pi āo 醋c ù醉zu ì震zh èn 霉m éi 瞒m án 题t í暴b ào 瞎xi ā影y ǐn ɡ踢t ī踏t à踩c ǎi 踪z ōn ɡ蝶di é蝴h ú嘱zh ǔ墨m ò镇zh èn 靠k ào稻d ào 黎l í稿ɡǎo 稼ji à箱xi ān ɡ箭ji àn 篇pi ān 僵ji ān ɡ躺t ǎn ɡ僻p ì德d é艘s ōu 膝x ī膛t án ɡ熟sh ú摩m ó颜y án 毅y ì糊h ú遵z ūn 潜qi án 潮ch áo 懂d ǒn ɡ额é慰w èi 劈p ī十sh í六li ù画hu à:操c āo 燕y àn 薯sh ǔ薪x īn 薄b áo 颠di ān 橘j ú整zh ěn ɡ融r ón ɡ醒x ǐn ɡ餐c ān 嘴zu ǐ蹄t í器q ì赠z èn ɡ默m ò镜j ìn ɡ赞z àn 篮l án 邀y āo 衡h én ɡ膨p én ɡ雕di āo 磨m ó凝n ín ɡ辨bi àn 辩bi àn 糖t án ɡ糕ɡāo 燃r án 澡z ǎo 激j ī懒l ǎn 壁b ì避b ì缴ji ǎo 十sh í七q í画hu à:戴d ài 擦c ā鞠j ū藏c án ɡ霜shu ān ɡ霞xi á瞧qi áo 蹈d ǎo 螺lu ó穗su ì繁f án 辫bi àn 赢y ín ɡ糟z āo 糠k ān ɡ燥z ào臂b ì翼y ì骤zh òu 十sh í八b á画hu à:鞭bi ān 覆f ù蹦b èn ɡ镰li án 翻f ān 鹰y īn ɡ 十sh í九ji ǔ画hu à:警j ǐn ɡ攀p ān 蹲d ūn 颤ch àn 瓣b àn 爆b ào 疆ji ān ɡ二èr 十sh í画hu à:壤r ǎn ɡ耀y ào 躁z ào 嚼ji áo 嚷r ǎn ɡ籍j í魔m ó灌ɡu àn二èr 十sh í一y í画hu à:蠢ch ǔn 霸b à露l ù二èr 十sh í二èr 画hu à:囊n án ɡ 二èr 十sh í三s ān 画hu à:罐ɡu àn次c ì常ch án ɡ用y òn ɡ汉h àn 字z ì1000字z ì二èr 画hu à:匕b ǐ刁di āo 四s ì画hu à:丐ɡài 歹d ǎi 戈ɡē夭y āo 仑l ún 讥j ī冗r ǒn ɡ邓d èn ɡ五w ǔ画hu à:艾ài 夯b èn 凸t ū卢l ú叭b ā叽j ī皿m ǐn 凹āo 囚qi ú矢sh ǐ乍zh à尔ěr 冯f én ɡ玄xu án六li ù画hu à: 邦b ān ɡ迂y ū邢x ín ɡ芋y ù芍sh áo 吏l ì夷y í吁x ū吕l ǚ吆y āo 屹y ì廷t ín ɡ迄q ì臼ji ù仲zh òn ɡ伦l ún 伊y ī肋l èi 旭x ù匈xi ōn ɡ凫f ú妆zhu ān ɡ亥h ài 汛x ùn 讳hu ì讶y à讹é讼s òn ɡ诀ju é弛ch í阱j ǐn ɡ驮tu ó驯x ùn 纫r èn 七q í画hu à: 玖ji ǔ玛m ǎ韧r èn 抠k ōu 扼è汞ɡǒn ɡ扳b ān 抡l ūn 坎k ǎn 坞w ù抑y ì拟n ǐ抒sh ū芙f ú芜w ú苇w ěi 芥ji è芯x īn 芭b ā杖zh àn ɡ杉sh ān 巫w ū杈ch ā甫f ǔ匣xi á轩xu ān 卤l ǔ肖xi āo 吱zh ī吠f èi 呕ǒu 呐n à吟y ín 呛qi àn ɡ吻w ěn 吭k ēn ɡ邑y ì囤d ùn 吮sh ǔn 岖q ū牡m ǔ佑y òu 佃di àn 伺s ì囱c ōn ɡ肛ɡān ɡ肘zh ǒu 甸di àn 狈b èi 鸠ji ū彤t ón ɡ灸ji ǔ刨p áo 庇b ì吝l ìn 庐l ú闰r ùn 兑du ì灼zhu ó沐m ù沛p èi 汰t ài 沥l ì沦l ún 汹xi ōn ɡ沧c ān ɡ沪h ù忱ch én 诅z ǔ诈zh à罕h ǎn 屁p ì坠zhu ì妓j ì姊z ǐ妒d ù纬w ěi八b á画hu à:玫m éi 卦ɡu à坷k ě坯p ī拓tu ò坪p ín ɡ坤k ūn 拄zh ǔ拧n ǐn ɡ拂f ú拙zhu ō拇m ǔ拗ni ù茉m ò昔x ī苛k ē苫sh ān 苟ɡǒu 苞b āo 茁zhu ó苔t ái 枉w ǎn ɡ枢sh ū枚m éi 枫f ēn ɡ杭h án ɡ郁y ù矾f án 奈n ài 奄y ǎn 殴ōu 歧q í卓zhu ó昙t án 哎āi 咕ɡū呵h ē咙l ón ɡ呻sh ēn 咒zh òu 咆p áo 咖k ā帕p à账zh àn ɡ贬bi ǎn 贮zh ù氛f ēn 秉b ǐn ɡ岳yu è侠xi á侥y áo 侣l ǚ侈ch ǐ卑b ēi 刽ɡu ì刹ch à肴y áo 觅m ì忿f èn 瓮w èn ɡ肮ān ɡ肪f án ɡ狞n ín ɡ庞p án ɡ疟n üè疙ɡē疚ji ù卒z ú氓m án ɡ炬j ù沽ɡū沮j ǔ泣q ì泞n ìn ɡ泌m ì沼zh ǎo 怔zh ēn ɡ怯qi è宠ch ǒn ɡ宛w ǎn 衩ch ǎ祈q í诡ɡu ǐ帚zh ǒu 屉t ì弧h ú弥m í陋l òu 陌m ò函h án 姆m ǔ虱sh ī叁s ān 绅sh ēn 驹j ū绊b àn 绎y ì九ji ǔ画hu à:契q ì贰èr 玷di àn 玲l ín ɡ珊sh ān 拭sh ì拷k ǎo 拱ɡǒn ɡ挟ji ā垢ɡòu 垛du ǒ拯zh ěn ɡ荆j īn ɡ茸r ón ɡ茬ch á荚ji á茵y īn 茴hu í荞qi áo荠q í荤h ūn 荧y ín ɡ荔l ì栈zh àn 柑ɡān 栅sh ān 柠n ín ɡ枷ji ā勃b ó柬ji ǎn 砂sh ā泵b èn ɡ砚y àn 鸥ōu 轴zh óu 韭ji ǔ虐n üè昧m èi 盹d ǔn 咧li ě昵n ì昭zh āo 盅zh ōn ɡ勋x ūn 哆du ō咪m ī哟y ō幽y ōu 钙ɡài 钝d ùn 钠n à钦q īn 钧j ūn 钮ni ǔ毡zh ān 氢q īn ɡ秕b ǐ俏qi ào 俄é俐l ì侯h óu 徊hu ái 衍y ǎn 胚p ēi 胧l ón ɡ胎t āi 狰zh ēn ɡ饵ěr 峦lu án 奕y ì咨z ī飒s à闺ɡu ī闽m ǐn 籽z ǐ娄l óu 烁shu ò炫xu àn 洼w ā柒q ī涎xi án 洛lu ò恃sh ì恍hu ǎn ɡ恬ti án 恤x ù宦hu àn 诫ji è诬w ū祠c í诲hu ì屏p ín ɡ屎sh ǐ逊x ùn 陨y ǔn 姚y áo 娜n à蚤z ǎo 骇h ài十sh í画hu à:耘y ún 耙p á秦q ín 匿n ì埂ɡěn ɡ捂w ǔ捍h àn 袁yu án 捌b ā挫cu ò挚zh ì捣d ǎo 捅t ǒn ɡ埃āi 耿ɡěn ɡ聂ni è荸b í莽m ǎn ɡ莱l ái莉l ì莹y ín ɡ莺y īn ɡ梆b ān ɡ栖q ī桦hu à栓shu ān 桅w éi 桩zhu ān ɡ贾ji ǎ酌zhu ó砸z á砰p ēn ɡ砾l ì殉x ùn 逞ch ěn ɡ哮xi āo 唠l ào 哺b ǔ剔t ī蚌b àn ɡ蚜y á畔p àn 蚣ɡōn ɡ蚪d ǒu 蚓y ǐn 哩l ǐ圃p ǔ鸯y ān ɡ唁y àn 哼h ēn ɡ唆su ō峭qi ào 唧j ī峻j ùn 赂l ù赃z ān ɡ钾ji ǎ铆m ǎo 氨ān 秫sh ú笆b ā俺ǎn 赁l ìn 倔ju è殷y īn 耸s ǒn ɡ舀y ǎo 豺ch ái 豹b ào 颁b ān 胯ku à胰y í脐q í脓n ón ɡ逛ɡu àn ɡ卿q īn ɡ鸵tu ó鸳yu ān 馁n ěi 凌l ín ɡ凄q ī衷zh ōn ɡ郭ɡu ō斋zh āi 疹zh ěn 紊w ěn 瓷c í羔ɡāo 烙l ào 浦p ǔ涡w ō涣hu àn 涤d í涧ji àn 涕t ì涩s è悍h àn 悯m ǐn 窍qi ào 诺nu ò诽f ěi 袒t ǎn 谆zh ūn 祟su ì恕sh ù娩mi ǎn 骏j ùn十sh í一y í画hu à:琐su ǒ麸f ū琉li ú琅l án ɡ措cu ò捺n à捶chu í赦sh è埠b ù捻ni ǎn 掐qi ā掂di ān 掖y ē掷zh ì掸d ǎn 掺ch ān 勘k ān 聊li áo 娶q ǔ菱l ín ɡ菲f ēi 萎w ěi 菩p ú萤y ín ɡ乾qi án 萧xi āo 萨s à菇ɡū彬b īn 梗ɡěn ɡ梧w ú梭su ō曹c áo 酝y ùn 酗x ù厢xi ān ɡ硅ɡu ī硕shu ò奢sh ē盔ku ī匾bi ǎn 颅l ú彪bi āo 眶ku àn ɡ晤w ù曼m àn 晦hu ì冕mi ǎn 啡f ēi 畦q í趾zh ǐ啃k ěn 蛆q ū蚯qi ū蛉l ín ɡ蛀zh ù唬h ǔ啰luo 唾tu ò啤p í啥sh á啸xi ào 崎q í逻lu ó崔cu ī崩b ēn ɡ婴y īn ɡ赊sh ē铐k ào 铛ch ēn ɡ铝l ǚ铡zh á铣x ǐ铭m ín ɡ矫ji ǎo 秸ji ē秽hu ì笙sh ēn ɡ笤ti áo 偎w ēi 傀ɡu ī躯q ū兜d ōu 衅x ìn 徘p ái 徙x ǐ舶b ó舷xi án 舵du ò敛li ǎn 翎l ín ɡ脯p ú逸y ì凰hu án ɡ猖ch ān ɡ祭j ì烹p ēn ɡ庶sh ù庵ān 痊qu án 阎y án 阐ch ǎn 眷ju àn 焊h àn 焕hu àn 鸿h ón ɡ涯y á淑sh ū淌t ǎn ɡ淮hu ái 淆xi áo 渊yu ān 淫y ín 淳ch ún淤y ū淀di àn 涮shu àn 涵h án 惦di àn 悴cu ì惋w ǎn 寂j ì窒zh ì谍di é谐xi é裆d ān ɡ袱f ú祷d ǎo 谒y è谓w èi 谚y àn 尉w èi 堕du ò隅y ú婉w ǎn 颇p ō绰ch āo 绷b ēn ɡ综z ōn ɡ绽zh àn 缀zhu ì巢ch áo十sh í二èr 画hu à:琳l ín 琢zhu ó琼qi ón ɡ揍z òu 堰y àn 揩k āi 揽l ǎn揖y ī彭p én ɡ揣chu āi 搀ch ān 搓cu ō壹y ī搔s āo 葫h ú募m ù蒋ji ǎn ɡ蒂d ì韩h án 棱l én ɡ椰y ē焚f én 椎zhu ī棺ɡu ān 榔l án ɡ椭tu ǒ粟s ù棘j í酣h ān 酥s ū硝xi āo 硫li ú颊ji á雳l ì翘qi ào 凿z áo 棠t án ɡ晰x ī鼎d ǐn ɡ喳zh ā遏è晾li àn ɡ畴ch óu 跋b á跛b ǒ蛔hu í蜒y án 蛤h á鹃ju ān 喻y ù啼t í喧xu ān 嵌qi àn 赋f ù赎sh ú赐c ì锉cu ò锌x īn 甥sh ēn ɡ掰b āi 氮d àn 氯l ǜ黍sh ǔ筏f á牍d ú粤yu è逾y ú腌y ān 腋y è腕w àn 猩x īn ɡ猬w èi 惫b èi 敦d ūn 痘d òu 痢l ì痪hu àn 竣j ùn 翔xi án ɡ奠di àn 遂su í焙b èi 滞zh ì湘xi ān ɡ渤b ó渺mi ǎo 溃ku ì溅ji àn 湃p ài 愕è惶hu án ɡ寓y ù窖ji ào 窘ji ǒn ɡ雇ɡù谤b àn ɡ犀x ī隘ài 媒m éi 媚m èi 婿x ù缅mi ǎn 缆l ǎn 缔d ì缕l ǚ骚s āo十sh í三s ān 画hu à:瑟s è鹉w ǔ瑰ɡu ī搪t án ɡ聘p ìn 斟zh ēn 靴xu ē靶b ǎ蓖b ì蒿h āo 蒲p ú蓉r ón ɡ楔xi ē椿ch ūn 楷k ǎi 榄l ǎn 楞l én ɡ楣m éi 酪l ào碘di ǎn 硼p én ɡ碉di āo 辐f ú辑j í频p ín 睹d ǔ睦m ù瞄mi áo 嗜sh ì嗦su ō暇xi á畸j ī跷qi āo 跺du ò蜈w ú蜗w ō蜕tu ì蛹y ǒn ɡ嗅xi ù嗡w ēn ɡ嗤ch ī署sh ǔ蜀sh ǔ幌hu ǎn ɡ锚m áo 锥zhu ī锨xi ān 锭d ìn ɡ锰m ěn ɡ稚zh ì颓tu í筷ku ài 魁ku í衙y á腻n ì腮s āi 腺xi àn。