固体物理习题3
- 格式:doc
- 大小:80.50 KB
- 文档页数:2
初中固体物理试题及答案一、选择题(每题2分,共20分)1. 固体的三种基本类型是()。
A. 晶体、非晶体、准晶体B. 晶体、非晶体、多晶体C. 晶体、非晶体、单晶体D. 晶体、多晶体、准晶体答案:A2. 晶体的特点是()。
A. 无规则排列B. 规则排列C. 部分规则排列D. 完全无序排列答案:B3. 非晶体与晶体的主要区别在于()。
A. 原子排列方式B. 原子大小C. 原子种类D. 原子数量答案:A4. 晶体的熔点通常比非晶体的熔点()。
A. 低B. 高C. 相同D. 不可比较答案:B5. 准晶体是一种介于晶体和非晶体之间的固体,其特点是()。
A. 完全无序排列B. 长程有序但不具备周期性C. 规则排列D. 完全有序排列答案:B6. 晶体的X射线衍射图样是()。
A. 无规则的斑点B. 规则的点状图案C. 连续的曲线D. 无规则的条纹答案:B7. 固体的热膨胀系数是指()。
A. 固体在加热时体积不变B. 固体在加热时体积变化的比率C. 固体在冷却时体积变化的比率D. 固体在加热时质量变化的比率答案:B8. 固体的导电性主要取决于()。
A. 原子的质量B. 原子的排列方式C. 原子的体积D. 原子的数量答案:B9. 金属导电的原因是()。
A. 金属内部有自由移动的电子B. 金属内部有自由移动的原子C. 金属内部有自由移动的离子D. 金属内部有自由移动的分子答案:A10. 半导体的导电性介于()之间。
A. 金属和绝缘体B. 金属和非金属C. 非金属和绝缘体D. 金属和晶体答案:A二、填空题(每题2分,共20分)1. 晶体的三种基本类型是单晶体、多晶体和________。
答案:准晶体2. 晶体的原子排列具有________性。
答案:长程有序3. 非晶体的原子排列具有________性。
答案:短程有序4. 晶体的熔点较高是因为其内部________。
答案:原子排列紧密5. 准晶体的原子排列具有________性。
初中固体物理试题及答案一、选择题(每题2分,共20分)1. 固体物质的分子排列特点是:A. 无规则排列B. 规则排列C. 部分规则排列D. 完全无序排列答案:B2. 固体物质的分子间作用力是:A. 引力B. 斥力C. 引力和斥力D. 无作用力答案:C3. 下列物质中,属于晶体的是:A. 玻璃B. 橡胶C. 食盐D. 沥青答案:C4. 晶体与非晶体的主要区别在于:A. 颜色B. 形状C. 熔点D. 分子排列答案:D5. 固体物质的熔化过程需要:A. 吸收热量B. 放出热量C. 保持热量不变D. 无法判断答案:A6. 固体物质的硬度与下列哪项因素有关:A. 分子间作用力B. 分子质量C. 分子体积D. 分子形状答案:A7. 固体物质的导电性与下列哪项因素有关:A. 分子间作用力B. 分子运动速度C. 电子的自由移动D. 分子的排列方式答案:C8. 晶体的熔点与下列哪项因素有关:A. 晶体的纯度B. 晶体的颜色C. 晶体的形状D. 晶体的密度答案:A9. 固体物质的热膨胀现象说明:A. 分子间距离不变B. 分子间距离减小C. 分子间距离增大D. 分子间距离先增大后减小答案:C10. 固体物质的热传导性与下列哪项因素有关:A. 分子间作用力B. 分子运动速度C. 电子的自由移动D. 分子的排列方式答案:A二、填空题(每空1分,共20分)1. 固体物质的分子排列特点是________,而非晶体物质的分子排列特点是________。
答案:规则排列;无规则排列2. 固体物质的熔化过程中,分子间________,分子间距离________。
答案:作用力减弱;增大3. 晶体的熔点与________有关,而非晶体没有固定的熔点。
答案:晶体的纯度4. 固体物质的硬度与分子间________有关,分子间作用力越强,硬度越大。
答案:作用力5. 固体物质的热膨胀现象是由于温度升高,分子间距离________。
答案:增大三、简答题(每题10分,共30分)1. 简述晶体与非晶体的区别。
第一章 金属自由电子气体模型习题及答案1. 你是如何理解绝对零度时和常温下电子的平均动能十分相近这一点的?[解答] 自由电子论只考虑电子的动能。
在绝对零度时,金属中的自由(价)电子,分布在费米能级及其以下的能级上,即分布在一个费米球内。
在常温下,费米球内部离费米面远的状态全被电子占据,这些电子从格波获取的能量不足以使其跃迁到费米面附近或以外的空状态上,能够发生能态跃迁的仅是费米面附近的少数电子,而绝大多数电子的能态不会改变。
也就是说,常温下电子的平均动能与绝对零度时的平均动能十分相近。
2. 晶体膨胀时,费米能级如何变化?[解答] 费米能级3/222)3(2πn mE o F= , 其中n 单位体积内的价电子数目。
晶体膨胀时,体积变大,电子数目不变,n 变小,费密能级降低。
3. 为什么温度升高,费米能反而降低?[解答] 当K T 0≠时,有一半量子态被电子所占据的能级即是费米能级。
除了晶体膨胀引起费米能级降低外,温度升高,费米面附近的电子从格波获取的能量就越大,跃迁到费米面以外的电子就越多,原来有一半量子态被电子所占据的能级上的电子就少于一半,有一半量子态被电子所占据的能级必定降低,也就是说,温度生高,费米能反而降低。
4. 为什么价电子的浓度越大,价电子的平均动能就越大?[解答] 由于绝对零度时和常温下电子的平均动能十分相近,我们讨论绝对零度时电子的平均动能与电子的浓度的关系。
价电子的浓度越大,价电子的平均动能就越大,这是金属中的价电子遵从费米—狄拉克统计分布的必然结果。
在绝对零度时,电子不可能都处于最低能级上,而是在费米球中均匀分布。
由式3/120)3(πn k F =可知,价电子的浓度越大费米球的半径就越大,高能量的电子就越多,价电子的平均动能就越大。
这一点从3/2220)3(2πn m E F=和3/222)3(10353πn mE E oF ==式看得更清楚。
电子的平均动能E 正比于费米能o F E ,而费米能又正比于电子浓度32l n。
固体物理学考试题及答案一、选择题(每题2分,共20分)1. 固体物理学中,描述晶体中原子排列的周期性规律的数学表达式是()。
A. 布洛赫定理B. 薛定谔方程C. 泡利不相容原理D. 费米-狄拉克统计答案:A2. 固体中电子的能带结构是由()决定的。
A. 原子的核外电子B. 晶体的周期性势场C. 原子的核电荷D. 原子的电子云答案:B3. 在固体物理学中,金属导电的原因是()。
A. 金属中存在自由电子B. 金属原子的电子云重叠C. 金属原子的价电子可以自由移动D. 金属原子的电子云完全重叠答案:C4. 半导体材料的导电性介于导体和绝缘体之间,这是因为()。
A. 半导体材料中没有自由电子B. 半导体材料的能带结构中存在带隙C. 半导体材料的原子排列无序D. 半导体材料的电子云完全重叠答案:B5. 固体物理学中,描述固体中电子的波动性的数学表达式是()。
A. 薛定谔方程B. 麦克斯韦方程C. 牛顿第二定律D. 热力学第一定律答案:A6. 固体中声子的概念是由()提出的。
A. 爱因斯坦B. 德拜C. 玻尔D. 费米答案:B7. 固体中电子的费米能级是指()。
A. 电子在固体中的最大能量B. 电子在固体中的最小能量C. 电子在固体中的平均水平能量D. 电子在固体中的动能答案:A8. 固体物理学中,描述固体中电子的分布的统计规律是()。
A. 麦克斯韦-玻尔兹曼统计B. 费米-狄拉克统计C. 玻色-爱因斯坦统计D. 高斯统计答案:B9. 固体中电子的能带理论是由()提出的。
A. 薛定谔B. 泡利C. 费米D. 索末菲答案:D10. 固体中电子的跃迁导致()的发射或吸收。
A. 光子B. 声子C. 电子D. 质子答案:A二、填空题(每题2分,共20分)1. 固体物理学中,晶体的周期性势场是由原子的______产生的。
答案:周期性排列2. 固体中电子的能带结构中,导带和价带之间的能量区域称为______。
答案:带隙3. 金属导电的原因是金属原子的价电子可以______。
固体物理课后习题解答(黄昆版)第三章黄昆固体物理习题解答第三章晶格振动与晶体的热学性质3.1 已知⼀维单原⼦链,其中第j个格波,在第个格点引起的位移为,µ= anj j sin(ωj_j+ σj) ,σj为任意个相位因⼦,并已知在较⾼温度下每个格波的平均能量为,具体计算每个原⼦的平⽅平均位移。
解:任意⼀个原⼦的位移是所有格波引起的位移的叠加,即µn= ∑ µnj=∑ a j sin(ωj t naq j+σj)j j(1)µ2 n =∑µjnj∑µj*nj=µj2nj+ µ µnj*nj′j j′由于µ µnj?nj数⽬⾮常⼤的数量级,⽽且取正或取负⼏率相等,因此上式得第2 项与第⼀项µ相⽐是⼀⼩量,可以忽略不计。
所以2= ∑ µ 2njn j由于µnj是时间的周期性函数,其长时间平均等于⼀个周期内的时间平均值为µ 2 = 1 T∫0 2 ω+σ 1 2 j aj sin( t naqjj j)dt a=j(2)T0 2已知较⾼温度下的每个格波的能量为KT,µnj的动能时间平均值为1 L T ?1 ?dµ 2 ?ρw a2 T 1= ∫∫dx0?ρnj?= j j∫0 2 ω+ σ= ρ 2 2 T??dt L a sin( t naq)dt w Lanj T0 0 0 ? 2 ?dt??2T0 j j j j 4 j j其中L 是原⼦链的长度,ρ使质量密度,T0为周期。
1221所以Tnj= ρ w La j j=KT(3)4 2µKT因此将此式代⼊(2)式有nj2 = ρωL 2 jµ所以每个原⼦的平均位移为2== ∑ µ 2= ∑KT= KT∑1n njρωL2ρLω2j j j j j3.2 讨论N 个原胞的⼀维双原⼦链(相邻原⼦间距为a),其2N 格波解,当M=m 时与⼀维单原⼦链的结果⼀⼀对应.解答(初稿)作者季正华- 1 -黄昆固体物理习题解答解:如上图所⽰,质量为M 的原⼦位于2n-1,2n+1,2n+3 ……质量为m 的原⼦位于2n,2n+2,2n+4 ……⽜顿运动⽅程:..mµ2n= ?βµ(22n?µ2n+1 ?µ2n?1)..Mµ2n+1 = ?βµ(22n+1 ?µ2n+2 ?µ2n)体系为N 个原胞,则有2N 个独⽴的⽅程i na q⽅程解的形式:iµ2n=Ae[ωt?(2 ) ] µ2n+1=Be[ω?(2n+1)aq]na qµ=将µ2n=Ae[ωt?(2 ) ]2n+1 Be i[ωt?(2n+1) aq]代回到运动⽅程得到若A、B 有⾮零的解,系数⾏列式满⾜:两种不同的格波的⾊散关系:——第⼀布⾥渊区解答(初稿)作者季正华- 2 -第⼀布⾥渊区允许 q 的数⽬黄昆固体物理习题解答对应⼀个 q 有两⽀格波:⼀⽀声学波和⼀⽀光学波。
固体物理习题集固体物理习题集第一章晶体的结构1. 解理面是面指数低的晶面还是指数高的晶面?为什么?[解答] 晶体容易沿解理面劈裂,说明平行于解理面的原子层之间的结合力弱,即平行解理面的原子层的间距大. 因为面间距大的晶面族的指数低, 所以解理面是面指数低的晶面.2. 在结晶学中, 晶胞是按晶体的什么特性选取的?[解答]在结晶学中, 晶胞选取的原则是既要考虑晶体结构的周期性又要考虑晶体的宏观对称性.3. 在晶体衍射中,为什么不能用可见光?[解答] 晶体中原子间距的数量级为1010-米,要使原子晶格成为光波的衍射光栅,光波的波长应小于1010-米. 但可见光的波长为7.6?4.0710-?米, 是晶体中原子间距的1000倍. 因此, 在晶体衍射中,不能用可见光.4. 高指数的晶面族与低指数的晶面族相比, 对于同级衍射, 哪一晶面族衍射光弱? 为什么?[解答] 对于同级衍射, 高指数的晶面族衍射光弱, 低指数的晶面族衍射光强. 低指数的晶面族面间距大, 晶面上的原子密度大, 这样的晶面对射线的反射(衍射)作用强. 相反, 高指数的晶面族面间距小, 晶面上的原子密度小, 这样的晶面对射线的反射(衍射)作用弱. 另外, 由布拉格反射公式λθn sin 2=hkl d 可知, 面间距hkl d 大的晶面, 对应一个小的光的掠射角θ. 面间距hkl d 小的晶面, 对应一个大的光的掠射角θ. θ越大, 光的透射能力就越强, 反射能力就越弱.5. 温度升高时, 衍射角如何变化? X 光波长变化时, 衍射角如何变化?[解答] 温度升高时, 由于热膨胀, 面间距hkl d 逐渐变大. 由布拉格反射公式λθn sin 2=hkl d 可知, 对应同一级衍射, 当X 光波长不变时, 面间距hkl d 逐渐变大, 衍射角θ逐渐变小.所以温度升高, 衍射角变小.当温度不变, X 光波长变大时, 对于同一晶面族, 衍射角θ随之变大.第二章晶体的结合1.是否有与库仑力无关的晶体结合类型?[解答] 共价结合中, 电子虽然不能脱离电负性大的原子, 但靠近的两个电负性大的原子可以各出一个电子, 形成电子共享的形式, 即这一对电子的主要活动范围处于两个原子之间, 通过库仑力, 把两个原子连接起来. 离子晶体中, 正离子与负离子的吸引力就是库仑力. 金属结合中, 原子实依靠原子实与电子云间的库仑力紧紧地吸引着. 分子结合中, 是电偶极矩把原本分离的原子结合成了晶体. 电偶极矩的作用力实际就是库仑力. 氢键结合中, 氢先与电负性大的原子形成共价结合后, 氢核与负电中心不在重合, 迫使它通过库仑力再与另一个电负性大的原子结合. 可见, 所有晶体结合类型都与库仑力有关.2.如何理解库仑力是原子结合的动力?[解答] 晶体结合中, 原子间的排斥力是短程力, 在原子吸引靠近的过程中, 把原本分离的原子拉近的动力只能是长程力, 这个长程吸引力就是库仑力. 所以, 库仑力是原子结合的动力.3.晶体的结合能, 晶体的内能, 原子间的相互作用势能有何区别?[解答]自由粒子结合成晶体过程中释放出的能量, 或者把晶体拆散成一个个自由粒子所需要的能量, 称为晶体的结合能.原子的动能与原子间的相互作用势能之和为晶体的内能.在0K 时, 原子还存在零点振动能. 但零点振动能与原子间的相互作用势能的绝对值相比小得多. 所以, 在0K 时原子间的相互作用势能的绝对值近似等于晶体的结合能.4.原子间的排斥作用取决于什么原因?[解答] 相邻的原子靠得很近, 以至于它们内层闭合壳层的电子云发生重叠时, 相邻的原子间便产生巨大排斥力. 也就是说, 原子间的排斥作用来自相邻原子内层闭合壳层电子云的重叠.5. 原子间的排斥作用和吸引作用有何关系? 起主导的范围是什么?[解答] 在原子由分散无规的中性原子结合成规则排列的晶体过程中, 吸引力起到了主要作用. 在吸引力的作用下, 原子间的距离缩小到一定程度, 原子间才出现排斥力. 当排斥力与吸引力相等时, 晶体达到稳定结合状态. 可见, 晶体要达到稳定结合状态, 吸引力与排斥力缺一不可. 设此时相邻原子间的距离为0r , 当相邻原子间的距离r >0r 时, 吸引力起主导作用; 当相邻原子间的距离r <0r 时, 排斥力起主导作用.6. 共价结合, 两原子电子云交迭产生吸引, 而原子靠近时, 电子云交迭会产生巨大的排斥力, 如何解释?[解答] 共价结合, 形成共价键的配对电子, 它们的自旋方向相反, 这两个电子的电子云交迭使得体系的能量降低, 结构稳定. 但当原子靠得很近时, 原子内部满壳层电子的电子云交迭, 量子态相同的电子产生巨大的排斥力, 使得系统的能量急剧增大.7.为什么许多金属为密积结构?[解答] 金属结合中, 受到最小能量原理的约束, 要求原子实与共有电子电子云间的库仑能要尽可能的低(绝对值尽可能的大). 原子实越紧凑, 原子实与共有电子电子云靠得就越紧密, 库仑能就越低. 所以, 许多金属的结构为密积结构.12.[解答]如上图所示, 0r 附近的力曲线越陡, 当施加一定外力, 固体的形变就越小. 0r 附近力曲线的斜率决定了固体的弹性性质. 而0r 附近力曲线的斜率主要取决于排斥力. 因此, 固体的弹性强弱主要由排斥作用决定.第三章晶格振动与晶体热学性质1. 什么叫简正振动模式?简正振动数目、格波数目或格波振动模式数目是否是一回事?[解答] 为了使问题既简化又能抓住主要矛盾,在分析讨论晶格振动时,将原子间互作用力的泰勒级数中的非线形项忽略掉的近似称为简谐近似. 在简谐近似下, 由N 个原子构成的晶体的晶格振动, 可等效成3N 个独立的谐振子的振动. 每个谐振子的振动模式称为简正振动模式, 它对应着所有的原子都以该模式的频率做振动, 它是晶格振动模式中最简单最基本的振动方式. 原子的振动, 或者说格波振动通常是这3N 个简正振动模式的线形迭加.简正振动数目、格波数目或格波振动模式数目是一回事, 这个数目等于晶体中所有原子的自由度数之和, 即等于3N .2. 长光学支格波与长声学支格波本质上有何差别?[解答] 长光学支格波的特征是每个原胞内的不同原子做相对振动, 振动频率较高, 它包含了晶格振动频率最高的振动模式. 长声学支格波的特征是原胞内的不同原子没有相对位移, 原胞做整体运动, 振动频率较低, 它包含了晶格振动频率最低的振动模式, 波速是一常数. 任何晶体都存在声学支格波, 但简单晶格(非复式格子)晶体不存在光学支格波.3. 温度一定,一个光学波的声子数目多呢, 还是声学波的声子数目多?[解答] 频率为ω的格波的(平均) 声子数为11)(/-=T k B e n ωω .因为光学波的频率O ω比声学波的频率A ω高, (1/-T k B O e ω )大于(1/-T k B A e ω ), 所以在温度一定情况下, 一个光学波的声子数目少于一个声学波的声子数目.4. 对同一个振动模式, 温度高时的声子数目多呢, 还是温度低时的声子数目多?[解答] 设温度T H >T L , 由于(1/-H B T k eω )小于(1/-L B T k e ω ), 所以温度高时的声子数目多于温度低时的声子数目. 5. 高温时, 频率为ω的格波的声子数目与温度有何关系?[解答] 温度很高时, 1/-≈ωω T k B e, 频率为ω的格波的(平均) 声子数为 11)(/-=T k B e n ωω ω T k B ≈.可见高温时, 格波的声子数目与温度近似成正比.6. 在甚低温下, 不考虑光学波对热容的贡献合理吗?[解答] 参考本教科书(3.119)式, 可得到光学波对热容贡献的表达式2//2)1(d )(maxmin - ??=?T k O T k B B VO B B O O e D e T k k C ωωωωωωω . 在甚低温下, 对于光学波, T k B e/ω 1>>, 上式简化为ωωωωωωd )(/2maxmin O T k B B VO D e T k k C B O O -????? ??=. 以上两式中)(ωO D 是光学波的模式密度, 在简谐近似下, 它与温度无关. 在甚低温下,0)/(/→-T e T k B ω , 即光学波对热容的贡献可以忽略. 也就是说, 在甚低温下, 不考虑光学波对热容的贡献是合理的.从声子能量来说, 光学波声子的能量O ω 很大(大于短声学波声子的能量), 它对应振幅很大的格波的振动, 这种振动只有温度很高时才能得到激发. 因此, 在甚低温下, 晶体中不存在光学波.7. 在甚低温下, 德拜模型为什么与实验相符?[解答] 在甚低温下, 不仅光学波得不到激发, 而且声子能量较大的短声学格波也未被激发, 得到激发的只是声子能量较小的长声学格波. 长声学格波即弹性波. 德拜模型只考虑弹性波对热容的贡献. 因此, 在甚低温下, 德拜模型与事实相符, 自然与实验相符.第四章晶体中电子能带理论1. 波矢空间与倒格空间有何关系? 为什么说波矢空间内的状态点是准连续的?[解答] 波矢空间与倒格空间处于统一空间, 倒格空间的基矢分别为321 b b b 、、, 而波矢空间的基矢分别为32N N / / /321b b b 、、1N , N 1、N 2、N 3分别是沿正格子基矢321 a a a 、、方向晶体的原胞数目.倒格空间中一个倒格点对应的体积为*321) (Ω=??b b b ,波矢空间中一个波矢点对应的体积为N N b N b N b *332211)(Ω=??,即波矢空间中一个波矢点对应的体积, 是倒格空间中一个倒格点对应的体积的1/N . 由于N 是晶体的原胞数目, 数目巨大, 所以一个波矢点对应的体积与一个倒格点对应的体积相比是极其微小的. 也就是说, 波矢点在倒格空间看是极其稠密的. 因此, 在波矢空间内作求和处理时, 可把波矢空间内的状态点看成是准连续的.2. 当电子的波矢落在布里渊区边界上时, 其有效质量何以与真实质量有显著差别?[解答] 晶体中的电子除受外场力的作用外, 还和晶格相互作用. 设外场力为F , 晶格对电子的作用力为F l , 电子的加速度为)(1l m F F a +=.但F l 的具体形式是难以得知的. 要使上式中不显含F l , 又要保持上式左右恒等, 则只有F a *1m =.显然, 晶格对电子的作用越弱, 有效质量m*与真实质量m 的差别就越小. 相反, 晶格对电子的作用越强, 有效质量m *与真实质量m 的差别就越大. 当电子的波矢落在布里渊区边界上时, 与布里渊区边界平行的晶面族对电子的散射作用最强烈. 在晶面族的反射方向上, 各格点的散射波相位相同, 迭加形成很强的反射波. 正因为在布里渊区边界上的电子与晶格的作用很强, 所以其有效质量与真实质量有显著差别.3. 紧束缚模型电子的能量是正值还是负值?[解答] 紧束缚模型电子在原子附近的几率大, 远离原子的几率很小, 在原子附近它的行为同在孤立原子的行为相近. 因此,紧束缚模型电子的能量与在孤立原子中的能量相近. 孤立原子中电子的能量是一负值, 所以紧束缚模型电子的能量是负值. s 态电子能量(5.60)表达式∑?--=n i s s at s s ne J C E E R k k )(即是例证. 其中孤立原子中电子的能量at s E 是主项, 是一负值, s s J C --和是小量, 也是负值.4. 紧束缚模型下, 内层电子的能带与外层电子的能带相比较, 哪一个宽? 为什么?[解答] 以s 态电子为例. 由图5.9可知, 紧束缚模型电子能带的宽度取决于积分s J 的大小, 而积分r R r R r r r d )()]()([)(*n at s n at N at s s V V J ----=Ω的大小又取决于)(r at s ?与相邻格点的)(n at s R r -?的交迭程度. 紧束缚模型下, 内层电子的)(r at s ?与)(n at s R r -?交叠程度小, 外层电子的)(r at s ?与)(n at s R r -?交迭程度大. 因此, 紧束缚模型下, 内层电子的能带与外层电子的能带相比较, 外层电子的能带宽.5. 一维简单晶格中一个能级包含几个电子?[解答] 设晶格是由N 个格点组成, 则一个能带有N 个不同的波矢状态, 能容纳2N 个电子. 由于电子的能带是波矢的偶函数, 所以能级有(N /2)个. 可见一个能级上包含4个电子.6. 本征半导体的能带与绝缘体的能带有何异同?[解答] 在低温下, 本征半导体的能带与绝缘体的能带结构相同. 但本征半导体的禁带较窄, 禁带宽度通常在2个电子伏特以下. 由于禁带窄, 本征半导体禁带下满带顶的电子可以借助热激发, 跃迁到禁带上面空带的底部, 使得满带不满, 空带不空, 二者都对导电有贡献.第五章自由电子论和电子的输运性质1.如何理解电子分布函数)(E f 的物理意义是: 能量为E 的一个量子态被电子所占据的平均几率?[解答] 金属中的价电子遵从费密-狄拉克统计分布, 温度为T 时, 分布在能级E 上的电子数目1/)(+=-T k E E B F e g n ,g 为简并度, 即能级E 包含的量子态数目. 显然, 电子分布函数11)(/)(+=-T k E E B F e E f是温度T 时, 能级E 的一个量子态上平均分布的电子数. 因为一个量子态最多由一个电子所占据, 所以)(E f 的物理意义又可表述为: 能量为E 的一个量子态被电子所占据的平均几率.2.绝对零度时, 价电子与晶格是否交换能量?[解答] 晶格的振动形成格波,价电子与晶格交换能量,实际是价电子与格波交换能量. 格波的能量子称为声子, 价电子与格波交换能量可视为价电子与声子交换能量. 频率为i ω的格波的声子数11/-=T k i B i e n ω .从上式可以看出, 绝对零度时, 任何频率的格波的声子全都消失. 因此, 绝对零度时, 价电子与晶格不再交换能量.3.为什么温度升高, 费密能反而降低?[解答] 当0≠T 时, 有一半量子态被电子所占据的能级即是费密能级. 温度升高, 费密面附近的电子从格波获取的能量就越大, 跃迁到费密面以外的电子就越多, 原来有一半量子态被电子所占据的能级上的电子就少于一半, 有一半量子态被电子所占据的能级必定降低. 也就是说, 温度升高, 费密能反而降低4.为什么价电子的浓度越高, 电导率越高?[解答] 电导σ是金属通流能力的量度. 通流能力取决于单位时间内通过截面积的电子数(参见思考题18). 但并不是所有价电子对导电都有贡献, 对导电有贡献的是费密面附近的电子. 费密球越大, 对导电有贡献的电子数目就越多. 费密球的大小取决于费密半径3/12)3(πn k F =.可见电子浓度n 越高, 费密球越大, 对导电有贡献的电子数目就越多, 该金属的电导率就越高.5.霍耳电场与洛伦兹力有何关系?[解答] 霍耳电场是导电电子在洛伦兹力作用下产生的. 设金属的长度方向为x 轴, 电场ε沿x 方向, 磁场B 沿z 轴方向, 金属的宽度方向为y 轴方向. 在此情况下, 运动的电子将受到洛伦兹力)(B v F ?-=e的作用. 该作用力指向负y 方向, 使电子在运动过程中向负y 方向偏转, 致使负y 侧面的电子浓度增大, 正y 侧面的电子浓度减小. 其结果, 如下图所示, 使得导体的宽度方向产生了一个附加电场y ε, 即霍耳电场.6.如何通过实验来测定载流子是电子还是空穴?[解答] 由(6.109)可以看出, 电子导电材料的霍耳系数是一负值. 通过实验测定出材料的霍耳系数, 若霍耳系数是负值, 则可断定载流子是电子, 若霍耳系数是正值, 则可断定载流子是空穴.22222222l k h a al a k a h d hkl hkl ++=++==k j i K πππππ)(12t qna i n Be u ω-+=)(2t qna i n Ae u ω-=()2/12/1222121222212sin 16422??+-±+qa m m m m ββββββ(a k a k a k J C E E z y x s s at s s cos cos cos 2)(++--=k 试题1.对晶格常数为a 的SC 晶体,与正格矢R =a i +2a j +2a k 正交的倒格子晶面族的面指数为( 122 ), 其面间距为( a 32π).2.典型离子晶体的体积为V , 最近邻两离子的距离为R , 晶体的格波数目为( 33R V), 长光学波的( 纵 )波会引起离子晶体宏观上的极化.3. 金刚石晶体的结合类型是典型的(共价结合)晶体, 它有( 6 )支格波.4. 两种不同金属接触后, 费米能级高的带(正)电.对导电有贡献的是(费米面附近)的电子.5. 设晶格常数为a , 求立方晶系密勒指数为(hkl )的晶面族的面间距?立方晶系密勒指数为(hkl )的晶面族的面间距6.设质量为m 的同种原子组成的一维双原子分子链, 分子内部的力系数为β1, 分子间相邻原子的力系数为β2, 分子的两原子的间距为d , 晶格常数为a ,(1).列出原子运动方程.(2).求出格波的振动谱ω(q ).解:(1)原子运动方程(2)格波的振动谱ω(q )= 7. 对于晶格常数为a 的SC 晶体(1.)以紧束缚近似求非简并s 态电子的能带.(2).画出第一布里渊区[110]方向的能带曲线, 求出带宽.(3).当电子的波矢k =a πi +a πj 时,求导致电子产生布拉格反射的晶面族的面指数.解:(1). 紧束缚近似非简并s 态电子的能带(2)第一布里渊区[110]方向的能带曲线[110]方向的能带曲线带宽为8J s 。
《固体物理学》习题解答黄昆 原着 韩汝琦改编 (陈志远解答,仅供参考)第一章 晶体结构、解:实验表明,很多元素的原子或离子都具有或接近于球形对称结构。
因此,可以把这些原子或离子构成的晶体看作是很多刚性球紧密堆积而成。
这样,一个单原子的晶体原胞就可以看作是相同的小球按点阵排列堆积起来的。
它的空间利用率就是这个晶体原胞所包含的点的数目n 和小球体积V 所得到的小球总体积nV 与晶体原胞体积Vc 之比,即:晶体原胞的空间利用率, VcnVx = (1)对于简立方结构:(见教材P2图1-1) a=2r , V=3r 34π,Vc=a 3,n=1∴52.06r8r34a r 34x 3333=π=π=π= (2)对于体心立方:晶胞的体对角线BG=x 334a r 4a 3=⇒= n=2, Vc=a 3∴68.083)r 334(r 342a r 342x 3333≈π=π⨯=π⨯= (3)对于面心立方:晶胞面对角线BC=r 22a ,r 4a 2=⇒= n=4,Vc=a 3(4)对于六角密排:a=2r 晶胞面积:S=6260sin a a 6S ABO ⨯⨯=⨯∆=2a 233 晶胞的体积:V=332r 224a 23a 38a 233C S ==⨯=⨯n=1232126112+⨯+⨯=6个(5)对于金刚石结构,晶胞的体对角线BG=3r 8a r 24a 3=⇒⨯= n=8, Vc=a 3、试证:六方密排堆积结构中633.1)38(ac 2/1≈=证明:在六角密堆积结构中,第一层硬球A 、B 、O 的中心联线形成一个边长a=2r 的正三角形,第二层硬球N 位于球ABO 所围间隙的正上方并与这三个球相切,于是:NA=NB=NO=a=2R.即图中NABO 构成一个正四面体。
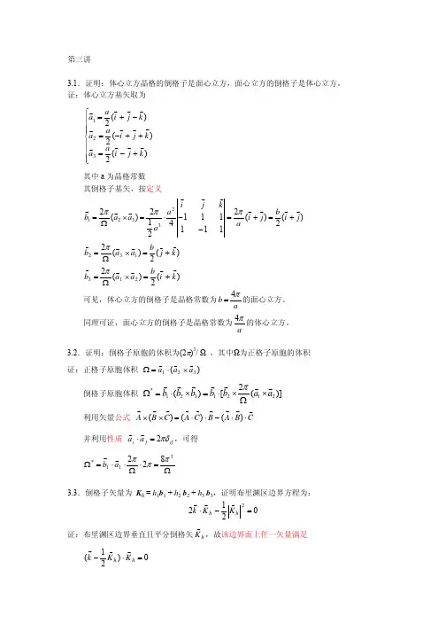
…、证明:面心立方的倒格子是体心立方;体心立方的倒格子是面心立方。
证明:(1)面心立方的正格子基矢(固体物理学原胞基矢):123()2()2()2a a j k a a i k a a i j ⎧=+⎪⎪⎪=+⎨⎪⎪=+⎪⎩r r r r r rr r r由倒格子基矢的定义:1232()b a a π=⨯Ωr r r31230,,22(),0,224,,022a a a a a a a a a a Ω=⋅⨯==r r rQ ,223,,,0,()224,,022i j ka a a a a i j k a a ⨯==-++r rr r r r r r 同理可得:232()2()b i j k ab i j k aππ=-+=+-r rr r r r r r 即面心立方的倒格子基矢与体心立方的正格基矢相同。
初中固体物理试题及答案一、选择题(每题2分,共20分)1. 下列物质中,属于晶体的是:A. 玻璃B. 食盐C. 沥青D. 橡胶答案:B2. 晶体和非晶体的主要区别在于:A. 硬度B. 密度C. 熔点D. 内部原子排列答案:D3. 晶体熔化时,其温度:A. 升高B. 降低C. 不变D. 先升高后降低答案:C4. 下列物质中,熔点最高的是:A. 冰B. 铜C. 铁D. 钨答案:D5. 晶体和非晶体的熔化过程都需要:A. 吸热B. 放热C. 既不吸热也不放热D. 先吸热后放热答案:A6. 晶体和非晶体在凝固过程中的区别在于:A. 晶体放热,非晶体吸热B. 晶体吸热,非晶体放热C. 晶体和非晶体都放热D. 晶体和非晶体都吸热答案:C7. 晶体和非晶体在凝固过程中,晶体会:A. 释放热量B. 吸收热量C. 既不吸热也不放热D. 先吸热后放热答案:A8. 晶体和非晶体在凝固过程中,非晶体会:A. 释放热量B. 吸收热量C. 既不吸热也不放热D. 先吸热后放热答案:B9. 晶体和非晶体在凝固过程中,晶体和非晶体都会:A. 体积膨胀B. 体积缩小C. 体积不变D. 先膨胀后缩小答案:B10. 晶体和非晶体在凝固过程中,晶体和非晶体都会:A. 释放热量B. 吸收热量C. 既不吸热也不放热D. 先吸热后放热答案:A二、填空题(每空1分,共10分)11. 晶体的内部原子排列具有_________性,而非晶体的内部原子排列具有_________性。
答案:规则;无规则12. 晶体在熔化过程中,温度_________,而非晶体在熔化过程中,温度_________。
答案:不变;升高13. 晶体在凝固过程中,会_________热量,而非晶体在凝固过程中,会_________热量。
答案:释放;吸收14. 晶体和非晶体在凝固过程中,体积都会_________。
答案:缩小15. 晶体和非晶体在凝固过程中,都会_________热量。
《固体物理》基础知识训练题及其参考答案说明:本内容是以黄昆原著、韩汝琦改编的《固体物理学》为蓝本,重点训练读者在固体物理方面的基础知识,具体以19次作业的形式展开训练。
第一章作业1:1.固体物理的研究对象有那些?答:(1)固体的结构;(2)组成固体的粒子之间的相互作用与运动规律;(3)固体的性能与用途。
2.晶体和非晶体原子排列各有什么特点?答:晶体中原子排列是周期性的,即晶体中的原子排列具有长程有序性。
非晶体中原子排列没有严格的周期性,即非晶体中的原子排列具有短程有序而长程无序的特性。
3.试说明体心立方晶格,面心立方晶格,六角密排晶格的原子排列各有何特点?试画图说明。
有那些单质晶体分别属于以上三类。
答:体心立方晶格:除了在立方体的每个棱角位置上有1个原子以外,在该立方体的体心位置还有一个原子。
常见的体心立方晶体有:Li,Na,K,Rb,Cs,Fe等。
面心立方晶格:除了在立方体的每个棱角位置上有1个原子以外,在该立方体每个表面的中心还都有1个原子。
常见的面心立方晶体有:Cu, Ag, Au, Al等。
六角密排晶格:以ABAB形式排列,第一层原子单元是在正六边形的每个角上分布1个原子,且在该正六边形的中心还有1个原子;第二层原子单元是由3个原子组成正三边形的角原子,且其中心在第一层原子平面上的投影位置在对应原子集合的最低凹陷处。
常见的六角密排晶体有:Be,Mg,Zn,Cd等。
4.试说明, NaCl,金刚石,CsCl, ZnS晶格的粒子排列规律。
答:NaCl:先将错误!未找到引用源。
两套相同的面心立方晶格,并让它们重合,然后,将一套晶格沿另一套晶格的棱边滑行1/2个棱长,就组成Nacl晶格;金刚石:先将碳原子组成两套相同的面心立方体,并让它们重合,然后将一套晶格沿另一套晶格的空角对角线滑行1/4个对角线的长度,就组成金刚石晶格;Cscl::先将错误!未找到引用源。
组成两套相同的简单立方,并让它们重合,然后将一套晶格沿另一套晶格的体对角线滑行1/2个体对角线的长度,就组成Cscl晶格。
固体物理考试试题一、选择题(每题 3 分,共 30 分)1、晶体具有规则的几何外形,其根本原因是()A 晶体中原子的规则排列B 晶体内能最小C 晶体具有周期性D 以上都是2、下列哪种晶体结构不属于布拉菲晶格()A 面心立方B 体心立方C 简单立方D 金刚石结构3、晶体的结合能是指()A 把晶体拆散成单个原子所需要的能量B 把晶体拆散成单个分子所需要的能量C 把晶体变成气态所需要的能量D 以上都不对4、金属中电子的能量分布遵循()A 麦克斯韦玻尔兹曼分布B 费米狄拉克分布C 玻尔兹曼分布D 以上都不是5、晶格振动的量子化能量单元称为()A 光子B 声子C 电子D 以上都不是6、绝缘体和半导体的能带结构的主要区别在于()A 禁带宽度不同B 导带中的电子数目不同C 价带中的电子数目不同D 以上都不是7、以下哪种材料属于半导体()A 铜B 硅C 银D 铝8、晶体中的位错属于()A 点缺陷B 线缺陷C 面缺陷D 体缺陷9、对于 X 射线衍射,布拉格方程为()A 2d sinθ =nλB d sinθ =nλC 2d cosθ =nλD d cosθ =nλ10、超导体的基本特性是()A 零电阻和完全抗磁性B 高电阻和完全抗磁性C 零电阻和部分抗磁性D 高电阻和部分抗磁性二、填空题(每题 2 分,共 20 分)1、晶体按对称性可分为个晶系,种布拉菲晶格。
2、晶体中的原子结合方式有、、、等。
3、能带理论中,满带不导电,而未满带中的能够导电。
4、晶格振动的频率具有分布规律。
5、固体比热的爱因斯坦模型和德拜模型的主要区别在于对的处理不同。
6、晶体中的扩散机制主要有、等。
7、铁磁性材料的磁化曲线具有、等特点。
8、半导体中的施主杂质能提供,受主杂质能提供。
9、热膨胀现象的微观本质是。
10、非晶态固体的短程有序,长程。
三、简答题(每题 8 分,共 40 分)1、简述晶体中原子间的相互作用与结合能的关系。
2、解释什么是费米面,以及它在金属物理中的意义。
一、填空题1. 晶格常数为a 的立方晶系 (hkl>晶面族的晶面间距为;222/l k h a ++该(hkl>晶面族的倒格子矢量为 。
hkl G k al j a k i a hπππ222++2. 晶体结构可看成是将 基元 按相同的方式放置在具有三维平移周期性的 晶格 的每个格点构成。
3. 晶体结构按晶胞形状对称性可划分为 7 大晶系,考虑平移对称性晶体结构可划分为 14 种布拉维晶格。
4. 体心立方<bcc )晶格的结构因子为,[]{})(exp 1l k h i f S hkl ++-+=π 其衍射消光条件是。
奇数=++l k h 5. 与正格子晶列[hkl]垂直的倒格子晶面的晶面指数为 (hkl> , 与正格子晶面<hkl )垂直的倒格子晶列的晶列指数为 [hkl] 。
6. 由N 个晶胞常数为a 的晶胞所构成的一维晶格,其第一布里渊区边界宽度为,电子波矢的允许值为 的整数倍。
a /2πNa /2π7. 对于体积为V,并具有N 个电子的金属, 其波矢空间中每一个波矢所占的体积为,费M 波矢为()V/23π 。
3/123⎪⎪⎭⎫⎝⎛=V N k F π8. 按经典统计理论,N 个自由电子系统的比热应为,而根据量子统计得到的金属三维电子气的比热为 B Nk 23,比经典值小了约两个数量级。
F B T T Nk /22π9.在晶体的周期性势场中,电子能带在 布里渊区边界 将出现带隙,这是因为电子行波在该处受到 布拉格反射 变成驻波而导致的结果。
10. 对晶格常数为a 的简单立方晶体,与正格矢R =a i +2a j +2a k 正交的倒格子晶面族的面指数为 (122> , 其面间距为.11. 铁磁相变属于典型的 二级 相变,在居里温度附近,自由能连续变化,但其 一阶导数<比热) 不连续。
12. 晶体结构按点对称操作可划分为 32 个点群,结合平移对称操作可进一步划分为 230 个空间群。
11级第一次(作业)请充分利用网络、本校及外校图书馆的相关资料,同时联系相关专业的老师,调查关于固体物理的简史、发展趋势以及当代的热门前沿课题(针对自己感兴趣的某个方面),形成一份报告,阐述自己的看法,要求2000字以上。
(已经在第一次课布置,11月1日前后上交)11级固体物理第2次习题和思考题1.在结晶学中,我们课堂上讲的单胞,也叫元胞,或者叫结晶学原胞,也叫晶胞,试回忆一下晶胞是按晶体的什么特性选取的?答:在结晶学中,晶胞选取的原则是既要考虑晶体结构的周期性又要考虑晶体的宏观对称性。
2.解释Bravais 点阵并画出氯化钠晶体的结点所构成的Bravais 点阵。
答:晶体的内部结构可以概括为由一些相同的结点构成的基元在空间有规则的作周期性的无限分布,这些结点构成点阵,如果基元只由一个结点构成,这种点阵称为Bravais 点阵。
氯化钠晶体的Bravais 点阵可参照书p8的图1-13,点阵的结点由钠离子和氯离子组成。
3.说明金刚石结构是复式点阵的原因。
答:金刚石结构可这样描述:面心立方的体心向顶角引8条对角线,在互不相邻的四条对角线中点,各有一个原子。
以金刚石为例,顶角和面心处的原子周围情况和对角线上的原子周围情况不相同,因而金刚石结构是复式晶格,可看作两套面心立方子晶格沿体对角线移开1/4体对角线长度而成。
Bravais 点阵包含两个原子。
4.体心立方点阵和面心立方点阵互为正、倒格子,试证明之。
答:面心立方的三个基矢为:⎪⎪⎪⎩⎪⎪⎪⎨⎧+=+=+=)(2)(2)(2321i k a a k j a a j i a a其体积为43a ,根据倒格矢的定义得:⎪⎪⎪⎩⎪⎪⎪⎨⎧-+=⨯⋅⨯=++-=⨯⋅⨯=+-=⨯⋅⨯=)(2)(2)(2)(2)(2)(2321213321132321321k j i a a a a a a b k j i a a a a a a b k j i a a a a a a bππππππ 可见,除了系数不同之外,方向正好是体心立方的晶格基矢。
《固体物理学》习题解答第一章1.1 有许多金属即可形成体心立方结构,也可以形成面心立方结构。
从一种结构转变为另一种结构时体积变化很小.设体积的变化可以忽略,并以R f 和R b 代表面心立方和体心立方结构中最近邻原子间的距离,试问R f /R b 等于多少?答:由题意已知,面心、体心立方结构同一棱边相邻原子的距离相等,都设为a :对于面心立方,处于面心的原子与顶角原子的距离为:R f=2 a 对于体心立方,处于体心的原子与顶角原子的距离为:R b=2a 那么,Rf Rb1.2 晶面指数为(123)的晶面ABC 是离原点O 最近的晶面,OA 、OB 和OC 分别与基失a 1,a 2和a 3重合,除O 点外,OA ,OB 和OC 上是否有格点?若ABC 面的指数为(234),情况又如何?答:根据题意,由于OA 、OB 和OC 分别与基失a 1,a 2和a 3重合,那么晶面族是(123)的离原点最近的晶面在三个基矢坐标轴上的截距分别是a1、(1/2)a2、(1/3)a3。
固体物理学中基矢的长度等于相邻两个格点的距离,所以只要“OA,OB 和OC 分别与基矢a1,a2,a3重合”,而O 又是格点,则A 、B 、C 一定是格点。
OA 、OB 、OC 间无格点,(234)情况一样。
结晶学以晶包基矢为坐标轴表示晶面指数,但称为米勒指数。
1.3 二维布拉维点阵只有5种,试列举并画图表示之。
答:二维布拉维点阵只有五种类型:正方、矩形、六角、有心矩形和斜方。
分别如图所示:1.4 在六方晶系中,晶面常用4个指数(hkil )来表示,如图所示,前3个指数表示晶面族中最靠近原点的晶面在互成120°的共平面轴a 1,a 2,a 3上的截距a 1/h ,a 2/k ,a 3/i ,第四个指数表示该晶面的六重轴c 上的截距c/l.证明:i=-(h+k ) 并将下列用(hkl )表示的晶面改用(hkil )表示:(001)(133)(110)(323)(100)(010)(213)答:证明设晶面族(hkil )的晶面间距为d ,晶面法线方向的单位矢量为n °。
固体物理习题
一、 固体电子论基础
1.已知金属铯的E F =1.55eV ,求每立方厘米的铯晶体中所含的平均电子数。
2.证明:在T=0K 时,费米能级0F E 处的能态密度为:0
023)(F F E N
E N =,
式中N 为金属中的自由电子数。
3.已知绝对零度时银的费米能为5.5eV ,试问在什么温度下,银的电子摩尔比热和晶格摩尔比热相等?(银的德拜温度是210K )。
4.如果具有bcc 结构的Li 晶体的晶格常数为:5.3=a Å,计算其费
米能(0F E )、费米温度及每个价电子的平均动能。
5.已知某种具有面心立方结构的金属中自由电子气的费米球半径为:a
K F 3
1
20)12(π= ,其中a 为晶格参数,每个原子的原子量为63.5,晶体的质量密度为33/1094.8m kg D ⨯=,试求:(1)该金属的原
子价?=η(2)eV E F ?0=
6.写出三维波矢空间自由电子的量子态密度表达式。
7.费米能随着温度的变化趋势是什么?
8.电子的比热系数、费米能附近电子的能态密度以及电子的有效质量之间的关系是什么?
9.不同的导体之间接触电势差产生的根本原因是什么?
二、 金属的电导理论
1.已知金属铜的费米能,12.7eV E F =在273K 温度下电阻率
cm ⋅Ω⨯=-81058.1ρ,求(1)铜中电子的费米速度,(2)平均自由
时间τ和平均自由程Λ。
2.证明对于具有球形费米面的金属,其电导率可以表示为: ()F F F E g v e τσ2231
=
式中e 为电子电量;F v 、F τ为费米面上电子的速度和驰豫时间(或平
均自由时间);)(F E g 为费米面附近单位晶体体积的能态密度,因此
C F F V E
D
E g )
()(=,其中)(F E D 是晶体的能态密度。
3.设钠为各向同性的金属晶体,已知钠的费米能eV E F 2.30=。
在T=0K 时测知其电导率为2.1×10171)(-⋅Ωcm ,求该温度下钠电子的驰豫时间τ。
4.玻尔兹曼方程中的弛豫时间是如何定义的?
5.玻尔兹曼方程建立的理论基础是什么?利用玻尔兹曼方程可以研
究固体的什么性能?
6.说明各向同性金属的电导率表达式: F v m ne *20Λ=σ中各参数的含义。
7.简述晶格散射的概念。
8.马德森定则成立的条件是什么?该定则表达的理念是什么?
三、 固体的磁性
1.自由原子的磁矩的主要来源是什么?
2.单电子原子的轨道角动量和自旋角动量沿外磁场方向的分量如何
计算?多电子原子的总的角动量沿磁场方向的分量如何计算?
3.试用洪德规则确定离子Ce 3+、Er 3+的基态,并用原子状态的光谱
表示法(即J S L 12+)表示。
4.说明铁磁性、亚铁磁性、反铁磁性的区别。
5.设有一自旋角动量量子数S=1、磁矩为μ、浓度为n 的自旋体系,
置于磁场H 下,说明在磁场H (设Z 轴为正方向)的作用下,磁矩的能级是如何分裂的。
6.材料普遍具有逆磁性的原因是什么?某些材料显示顺磁性的原因
是什么?
7.为什么某些半导体材料会显示较弱的顺磁性?
8.如何理解铁族离子在顺磁盐中会发生“轨道淬灭”的现象?
9.铁磁性物质与顺磁性物质相比,有哪些主要特征?
10. 说明影响铁磁居里温度的主要因素是什?
11. 磁畴产生的原因是什么?。