A161大连医科大学
A295江南大学
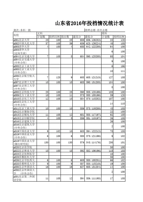
A028首都师范大学
B846广东外语外贸大学
A697西北大学
A140辽宁大学
A610四川大学
(中外合作)
A652西南政法大学
(中外合作)
A080河北工业大学
A598广西医科大学
A033中国传媒大学
(中外合作)
A760新疆医科大学
A425中国石油大学(华东)
A151大连海事大学
4 100 5 100 30 105 255 100 9 100 2 100 9 100 9 100 57 110
36
656
628
11586
30
654
628
11661
165
659
628
11792
20
641
627
12079
20
646
627
12162
90
650
626
12357
13
645
626
12580
92
A200东北师范大学
A226哈尔滨医科大学
A635西南大学
H141大连理工大学(盘锦校区)
A252上海理工大学
Y011山东大学威海分校 (走读)
B415中国地质大学(北京)
A359合肥工业大学
H422山东大学威海分校 (中外合作)
A386福州大学
A542湖南师范大学
A141大连理工大学
(中外合作)
A710长安大学
4 100 47 100
2 100 7 100 2 100 950 100 196 103 36 100 41 100 6 100 75 102 29 105 70 100 91 101 264 110 144 100 39 100 44 105 10 100 259 102 47 105 84 101 134 102