高三第一轮复习15----平面向量训练题
- 格式:doc
- 大小:752.00 KB
- 文档页数:7
第6单元 平面向量(基础篇)第Ⅰ卷一、选择题:本大题共12小题,每小题5分,在每小题给出的四个选项中,只有一项是符合题目要求的.1.已知向量(2,)m =a ,(3,1)=b ,若∥a b ,则实数m 的值为( ) A .14B .13C .23D .12【答案】C【解析】由题意,向量(2,)m =a ,(3,1)=b , 因为∥a b ,则231m =,即32m =,解得23m =.故选C . 2.已知向量(2,1)=a ,(,1)m =-b ,且()⊥-a a b ,则m 的值为( ) A .1 B .3C .1或3D .4【答案】B【解析】因为(2,1)=a ,(,1)m =-b ,所以(2,2)m -=-a b ,因为()⊥-a a b ,则()2(2)20m ⋅-=-+=a a b ,解得3m =,所以答案选B .3.已知向量a ,b 满足||1=a ,=b ,a 与b 的夹角为2π3,则2-a b 为( )A .21BCD 【答案】B【解析】||2Q b =,2π1||||cos 12132a b a b 骣琪?=创-=-琪桫,|2|a b \-=,故选B .4.已知向量a ,b 满足||1=a ,⊥a b ,则向量2-a b 在向量a 方向上的投影为( ) A .0 B .1C .2D .1-【答案】B【解析】根据向量的投影公式可知,向量2-a b 在向量a 方向上的投影为2(2)()1||||-⋅==a b a a a a ,故选B . 5.设a ,b 是非零向量,则“存在实数λ,使得λ=a b ”是“+=+a b a b ”的( ) A .充分而不必要条件 B .必要而不充分条件 C .充分必要条件D .既不充分也不必要条件【答案】B【解析】存在实数λ,使得λ=a b ,说明向量a ,b 共线, 当a ,b 同向时,+=+a b a b 成立,当a ,b 反向时,+=+a b a b 不成立,所以充分性不成立.当+=+a b a b 成立时,有a ,b 同向,存在实数λ,使得λ=a b 成立,必要性成立, 即“存在实数λ,使得λ=a b ”是“+=+a b a b ”的必要而不充分条件. 故选B .6.已知非零向量a ,b ,若(3)0⋅+=a a b ,2=a b ,则向量a 和b 夹角的余弦值为( ) A .23B .23-C .32D .32-【答案】B【解析】设向量a 与向量b 的夹角为θ,||2||=Q a b ,∴由(3)0⋅+=a a b ,可得2222()33cos 46cos 0θθ+⋅=+⋅=+=a a b a a b b b ,化简即可得到2cos 3θ=-,故答案选B . 7.如图所示,在正方形ABCD 中,E 为AB 的中点,F 为CE 的中点,则AF =u u u r( )A .3144AB AD +u u ur u u u rB .1344AB AD +u u ur u u u rC .12AB AD +u u ur u u u rD .3142AB AD +u u ur u u u r【答案】D【解析】根据题意得1()2AF AC AE =+u u u r u u u r u u u r,又AC AB AD =+u u u r u u u r u u u r ,12AE AB =u u ur u u u r ,所以1131()2242AF AB AD AB AB AD =++=+u u u r u u u r u u u r u u u r u u ur u u u r ,故选D .8.设D 为所在平面内一点,1433AD AB AC =-+u u u r u u ur u u u r ,若,则( )A .2B .3C .D .【答案】D 【解析】因为D 为所在平面内一点,由1433AD AB AC =-+u u u r u u ur u u u r ,可得34AD AB AC =-+u u u r u u u r u u u r ,即44AD AC AD AB -=-u u u r u u u r u u u r u u u r, 则4CD BD =u u u r u u u r ,即4BD DC =-u u u r u u u r ,可得3BD DC DC +=-u u u r u u u r u u u r ,故3BC DC =-u u u r u u u r,则,故选D .9.在四边形中,2AB =+u u u r a b ,43BC =--u u u r a b ,55CD =--u u u ra b ,那么四边形的形状是( )A .矩形B .平行四边形C .梯形D .以上都不对【答案】C【解析】86AD AB BC CD =++=--u u u r u u u r u u u r u u u r a b ,2AD BC ∴=u u u r u u u r,AD BC ∴∥,AB CD ∥,四边形是梯形,答案选C .10.在中,为的重心,为上一点,且满足3MC AM =u u u u r u u u u r ,则( )A .11312GM AB AC =+u u u u r u u u r u u u rB .11312GM AB AC =--u u u u r u u ur u u u r C .17312GM AB AC =-+u u u u r u u ur u u u r D .17312GM AB AC =-u u u u r u u u r u u u r【答案】B【解析】由题意,画出几何图形如下图所示:根据向量加法运算可得GM GA AM=+u u u u r u u u r u u u u r,因为G为△ABC的重心,M满足3MC AM=u u u u r u u u u r,所以()()211323AG AB AC AB AC=⨯+=+u u u r u u u r u u u r u u u r u u u r,14AM AC=u u u u r u u u r,所以11111334312GM AB AC AC AB AC⎛⎫=-++=--⎪⎝⎭u u u u r u u u r u u u r u u u r u u u r u u u r,所以选B.11.如图所示,设为所在平面内的一点,并且1142AP AB AC=+u u u r u u u r u u u r,则与的面积之比等于()A.25B.35C.34D.14【答案】D【解析】延长AP交BC于点D,因为A、P、D三点共线,所以()1CP mCA nCD m n=++=u u u r u u u r u u u r,设CD kCB=u u u r u u u r,代入可得CP mCA nkCB=+u u u r u u u r u u u r,即()()1AP AC mAC nk AB AC AP m nk AC nk AB-=-+-⇒=--+u u u r u u u r u u u r u u u r u u u r u u u r u u u ru u u v,又因为1142AP AB AC=+u u u r u u u r u u u r,即14nk=,112m nk--=,且,解得1344m n==,,所以1344CP CA CD=+u u u r u u u r u u u r,可得4AD PD=u u u r u u u r,因为与有相同的底边,所以面积之比就等于DPu u u r与ADu u u r之比,所以与的面积之比为14.故选D . 12.已知向量a ,b 满足4=a ,b 在a 上投影为,则3-a b 的最小值为( ) A .B .C .D .【答案】B【解析】b 在a 上投影为,即cos ,2=-b a b ,0>Q b ,cos ,0∴<a b ,又[)cos ,1,0∈-a b ,min 2∴=b ,2222223696cos ,9964-=-⋅+=-+=+a b a a b b a a b a b b b ,min 3946410∴-=⨯+=a b ,本题正确选项B .第Ⅱ卷二、填空题:本大题共4小题,每小题5分.13.若向量(1,2)x =+a 和向量(1,2)=-b 垂直,则-=a b _______. 【答案】5【解析】Q 向量()1,2x =+a 和向量()1,2=-b 垂直,140x ∴⋅=+-=a b ,解得3x =,()3,4∴-=a b ,9165∴-=+=a b ,本题正确结果5.14.已知向量()2,3=a ,(,6)m =-b ,若⊥a b ,则m =________. 【答案】9【解析】因为⊥a b ,所以(2,3)(,6)2180m m ⋅=⋅-=-=a b ,解得m =9,故填9.15.已知向量3)=a ,向量b 为单位向量,且1⋅=a b ,则2-b a 与2b 夹角为__________. 【答案】60︒【解析】很明显132=+=a ,设向量,a b 的夹角为θ,则21cos 1θ⋅=⨯⨯=a b ,1cos 2θ∴=,π3θ=, 据此有()()22224242-⋅=-⋅=-=b a b b a b , 且22==-=b a ,22=b ,向量2-b a 与2b 的夹角为β,则21cos 222β==⨯,60β=︒, 综上可得:2-b a 与2b 夹角为60︒.16.在直角坐标系xOy 中,已知点(1,1),(2,3),(3,2)A B C ,若点P 满足PA PB PC ++=0u u u r u u u r u u u r,则OP u u u r=_____.【答案】12x x【解析】因为PA PB PC ++=0u u u r u u u r u u u r,所以P 为ABC △的重心,故P 的坐标为123123,33++++⎛⎫⎪⎝⎭,即()2,2,故OP =u u u r .填12x x .三、解答题:本大题共6个大题,共70分,解答应写出文字说明、证明过程或演算步骤. 17.(10分)已知向量(1,2)=a ,(3,4)=-b . (1)求3-a b 的值;(2)若()λ⊥+a a b ,求λ的值.【答案】(1)3-=a b ;(2)1λ=-.【解析】(1)因为向量(1,2)=a ,(3,4)=-b ,则3(6,2)-=a b ,则3-==a b .(2)因为向量(1,2)=a ,(3,4)=-b ,则(13,24)λλλ+=-+a b , 若()λ⊥+a a b ,则()1(13)2(24)550λλλλ⋅+=⨯-+⨯+=+=a a b , 解得1λ=-.18.(12分)如图,在平行四边形ABCD 中,M 为DC 的中点,13BN BC =u u u r u u u r ,设AB =u u u r a ,AD =u u u rb .(1)用向量,a b 表示向量AM u u u u r ,AN u u u r ,MN u u u u r;(2)若2=a ,3=b ,a 与b 的夹角为π3,求AM MN ⋅u u u u r u u u u r 的值.【答案】(1)见解析;(2)92-. 【解析】(1)因为在平行四边形ABCD 中,M 为DC 的中点,13BN BC =u u u r u u u r,又AB =u u u r a ,AD =u u u rb ,故1122AM AD DM AD AB ===+++u u u u r u u u r u u u u r u u u r u u u r a b ,1133AN AB BN AB AD ===+++u u u r u u u r u u u r u u u r u u u r a b ,11123223MN AN AM ⎛⎫⎛⎫-+-+=- ⎪ ⎪⎝⎭=⎝=⎭u u u u r u u u r u u u u r a b a a b b .(2)2211212192234362AM MN ⎛⎫⎛⎫+⋅-=-⋅=- ⎪ ⎪⋅⎝⎭⎝=⎭+u u u u r u u u u r a b a a b a b b ,故答案为92-. 19.(12分)如图,点是单位圆与轴正半轴的交点,34,55B ⎛⎫- ⎪⎝⎭.(1)若,求的值;(2)设点为单位圆上的一个动点,点满足OQ OA OP =+u u u r u u u r u u u r.若,π6π2θ≤≤, 表示OQ u u u r ,并求OQ u u u r的最大值.【答案】(1)15;(2). 【解析】(1)点是单位圆与轴正半轴的交点,34,55B ⎛⎫- ⎪⎝⎭.可得4sin 5α=,3cos 5α=-,∴341cos sin 555αα+=-+=. (2)因为,,所以()1cos2,sin 2OQ OA OP θθ=+=+u u u r u u u r u u u r,所以()221cos 2sin 222cos 22cos OQ θθθθ=++=+=u u u r ,因为π6π2θ≤≤,所以2cos 0,3OQ θ⎡⎤=∈⎣⎦u u u r ,OQ u u u r的最大值.20.(12分)设向量()()()11,cos22,14sin 1sin,12θθ⎛⎫==== ⎪⎝⎭,,,,a b c d ,其中4π0,θ⎛⎫∈ ⎪⎝⎭. (1)求⋅-⋅a b c d 的取值范围; (2)若函数,比较()f ⋅a b 与()f ⋅c d 的大小. 【答案】(1);(2)()()f f ⋅>⋅a b c d .【解析】(1)∵2cos2θ⋅=+a b ,22sin 12cos2θθ⋅=+=-c d ,∴2cos2θ⋅-⋅=a b c d , ∵0π4θ<<,∴0π22θ<<,∴,∴()0,2⋅-⋅的取值范围是a b c d .(2)∵()22cos211cos22cos f θθθ⋅=+-=+=a b ,()22cos211cos22sin f θθθ⋅=--=-=c d , ∴()()()222cos sin 2cos2f f θθθ⋅-⋅=-=a b c d , ∵0π4θ<<,∴0π22θ<<,∴,∴()()f f ⋅>⋅a b c d . 21.(12分)在中,三内角的对边分别为,已知向量()2sin ,cos2x x =m ,()3cos ,1x =n ,函数()f x =⋅m n 且.(1)求角的值;(2)若23BA BC +=u ur u uu u r 且成等差数列,求.【答案】(1)π3B =;(2)2. 【解析】(1)()23sin cos cos23sin2cos2f x x x x x x =⋅=+=+m n , 整理得()2sin 2π6f x x ⎛⎫=+⎪⎝⎭, ∵,∴12sin 21si 62ππn 26B B ⎛⎫⎛⎫+=⇒+= ⎪ ⎪⎝⎭⎝⎭, ∵,∴π3B =. (2)由成等差数列,得,由余弦定理得,由23BA BC +=u ur u uu u r ,得,三个等式联立解得.22.(12分)如图,在平行四边形中,分别是上的点,且满足,记AB =u u u ra ,AD =u u u rb ,试以,a b 为平面向量的一组基底.利用向量的有关知识解决下列问题.(1)用,a b 来表示向量DE u u u r ,BF uuu r;(2)若,且3BF =u u u r,求.【答案】(1)见解析;(2).【解析】(1)∵在中,2DF FC =u u u r u u u r,∴111222DE DC CE AB CB AB AD =+=+=-=-u u u r u u u r u u u r u u u r u u u r u u u r u u u v a b ,111333BF BC CF AD CD AD AB =+=+=-=-u u u r u u u r u u u r u u u r u u u r u u u r u u u r b a .(2)由(1)可知:13BF AD AB =-u u u r u u u r u u u r ,12DE AB AD =-u u u r u u u r u u u r,∴2222121·339BF AD AB AD AD AB AB ⎛⎫=-=-+ ⎪⎝⎭u u u r u u u r u u u r u u u r u u u r u u u r u u u r ,∵且,∴(222213223cos 339BAD ∠=-⨯⨯⨯+⨯,∴1cos 2BAD ∠=,∴222211·24DE AB AD AB AB AD AD ⎛⎫=-=-+ ⎪⎝⎭u u u r u u u r u u u r u u u r u u u r u u u r u u u r2211332cos 2961742BAD =-⨯⨯∠+⨯=-⨯+=,∴7DE =u u u r第6单元 平面向量第Ⅰ卷一、选择题:本大题共12小题,每小题5分,在每小题给出的四个选项中,只有一项是符合题目要求的.1.设向量(1,2)=-a ,(2,1)x =-b ,若∥a b ,则x =( ) A .12B .14C .4D .2【答案】B【解析】因为向量(1,2)=-a ,(2,1)x =-b , 若∥a b ,则1(1)220x -⨯--⨯=,解得14x =,故选B . 2.已知向量(5,)m =a ,(2,2)=-b ,若()-⊥a b b ,则m =( ) A .1- B .1C .2D .2-【答案】B【解析】因为(5,)m =a ,(2,2)=-b ,所以(3,2)m -=+a b ,又()-⊥a b b ,所以()0-⋅=a b b ,即322(2)0m ⨯-+=,解得1m =. 故选B .3.平面向量a 与b 的夹角为60︒,||2||1==a b ,则|2|+=a b ( )A B .12C .4D .【答案】D【解析】由题意可得|2|+==a b===D . 4.设非零向量a ,b 满足+=-a b a b ,则( ) A .⊥a b B .=a bC .∥a bD .>a b【答案】A【解析】由题意知:22+=-a b a b ,即222222+⋅+=-⋅+a a b b a a b b , 整理得0⋅=a b ,∴⊥a b ,本题正确选项A .5.已知6=a ,3=b ,12⋅=-a b ,则向量a 在b 方向上的投影为( ) A .4 B .4-C .2-D .2【答案】B【解析】由题意得:122cos ,633⋅-<>===-⋅⨯a b a b a b , 向量a 在b 方向上的投影为2cos ,643⎛⎫<>=⨯-=- ⎪⎝⎭a ab ,本题正确选项B .6.向量(2,)t =a ,(1,3)=-b ,若a ,b 的夹角为钝角,则t 的范围是( ) A .23t <B .23t >C .23t <且6t ≠- D .6t <-【答案】C【解析】若a ,b 的夹角为钝角,则0⋅<a b 且不反向共线,230t ⋅=-+<a b ,得23t <. 向量(2,)t =a ,(1,3)=-b 共线时,23t ⨯=-,得6t =-.此时2=-a b . 所以23t <且6t ≠-.故选C . 7.如图,边长为2的正方形ABCD 中,点E 是线段BD 上靠近D 的三等分点,F 是线段BD 的中点,则AF CE ⋅=u u u r u u u r( )A .4-B .3-C .6-D .2-【答案】D【解析】因为1122AF AD AB =+u u u r u u u r u u u r,11213333CE CD DE AB AD AB AB AD =+=--+=--u u u r u u u r u u u r u u u r u u u r u u u r u u ur u u u r ,所以221121111()()422233632AF CE AD AB AB AD AD AB ⋅=+⋅--=--=-⨯=-u u u r u u u r u u u r u u u r u u u r u u u r u u u r u u u r .故选D . 8.已知的面积为2,在所在的平面内有两点、,满足PA PC +=0u u u r u u u r ,2QA BQ =u u u r u u u r,则的面积为( ) A .13B .12C .23D .1【答案】C【解析】由题意PA PC +=0u u u r u u u r 可知,P 为AC 的中点,2QA BQ =u u u r u u u r,可知Q 为AB 的一个三等分点,如图:因为1sin 22ABC S AB AC A =⋅=△, 所以11122sin sin 22233APQ S AP AQ A AB AC A =⋅=⨯⋅=△.故选B . 9.已知中,为的重心,则AG GC ⋅=u u u r u u u r( )A .6718 B .6718-C .269D .269-【答案】A 【解析】因为中,为的重心,所以,由余弦定理可得2221cos 24AB BC AC B AB BC +-==-⋅, 且()13AG AC AB =+u u u r u u u r u u u r ,()13GC AC BC =+u u u r u u u r u u u r, 所以()()19AG GC AC AB AC BC ⋅=+⋅+u u u r u u u r u u u r u u u r u u u r u u u r()()2221199AC AC AB AC BC AB BC AC AC AB BC =+⋅+⋅+⋅=++⋅u u u r u u u r u u u r u u u r u u u r u u u r u u u r u u ur u u u r u u u r u u u r ()221674432cos 918B ⎡⎤=++⨯⨯-=⎣⎦. 10.已知向量()cos 2,sin θθ=-a ,其中,则a 的最小值为( ) A .1 B .2C .D .3【答案】A【解析】因为()cos 2,sin θθ=-a , 所以()22cos 2sin 14cos 454cos θθθθ=-+=-+=-a ,因为,所以,故a 的最小值为.故选A .11.已知平面向量OA u u u r ,OB uuu r 满足1OA OB ==u u u r u u u r,0OA OB ⋅=u u u r u u u r ,且12OD DA =u u u r u u u r ,为的外心,则ED OB ⋅=u u u r u u u r( ) A .12-B .16-C .16D .12【答案】A【解析】0OA OB OA OB ⋅=⇒⊥u u u r u u u r u u u r u u u r,又1OA OB ==u u u r u u u r,OAB ∴△为等腰直角三角形,为的外心,为中点,1222OE AB ∴==u u u r u u u r 且,12OD DA =Q u u u r u u u r ,13OD OA ∴=u u u r u u u r,()1221cos 32ED OB OD OE OB OA OB OE OB OE OB BOE ∴⋅=-⋅=⋅-⋅=-∠=-⨯=-u u u r u u u r u u u r u u u r u u u r u u u r u u u r u u u r u u u u u u r r u u u r .本题正确选项A . 12.在中,,2BA BC BA ⋅=u u u r u u u r u u u r ,点是所在平面内的一点,则当222PA PB PC ++u u u r u u u r u u u r 取得最小值时,AP BC ⋅=u u u r u u u r( )A .35B .C .D .25-【答案】B【解析】2|cos |BA BC BA BC B BA ⋅=⋅=u u u r u u u r u u u r u u u r u u u r Q ,cos BC B BA ∴⋅=u u u r u u u r,CA AB ∴⊥u u u r u u u r ,π2CAB ∠=,以A 为坐标原点建如图所示的平面直角坐标系,则,设,则()()22222222263PA PB PC x y x y x y ++=++-+++-u u u r u u u r u u u r,所以当x =2,y =1时222PA PB PC ++u u u r u u u r u u u r 取最小值,此时()()2,16,39AP BC ⋅=⋅-=-u u u r u u u r.故选B .第Ⅱ卷二、填空题:本大题共4小题,每小题5分.13.已知向量2=a ,1=b ,且a 与b 的夹角为45︒,则a 在b 方向上的投影为_____. 2【解析】由向量数量积的几何意义可得,a 在b 方向上的投影为cos ,2cos452=︒=a a b 2.14.已知两个单位向量a ,b ,满足3-=a b ,则a 与b 的夹角为_______.【答案】2π3【解析】由题意知:1==a b ,3∴-=a b ,()222222cos ,3∴-=-⋅+=-<>=a b a a b b a b ,1cos ,2∴<>=-a b ,2π,3∴<>=a b ,本题正确结果2π3.15.如图,在矩形ABCD 中,2AB =,2BC =,点E 为BC 的中点,点F 在直线CD 上,若2AB AF ⋅=u u u r u u u r,则AE BF =⋅u u u r u u u r______.【答案】2【解析】在矩形ABCD 中,2AB =,2BC =,可以以AB uuu r ,AD u u u r的方向为,x y 轴的正方向的直角坐标系,如下图所示:所以(0,0)A ,2,0)B ,2,2)C ,(0,2)D ,点E 为BC 的中点,故(2,1)E ,设(,2)F x ,2,(2,0)(,2)21AB AF x x ⋅=⇒⋅==u u u r u u u r, (1,2)F ∴,2,1)(12,2)2(12)+12AE BF ⨯⋅=⋅=u u u r u u u r16.在平行四边形ABCD 中,已知1AB =,2AD =,60BAD ∠=︒,若CE ED =u u u r u u u r ,2DF FB =u u u r u u u r,则AE AF ⋅=u u u r u u u r__________.【答案】52【解析】由题意,如图所示,设AB =u u u r a ,AD =u u u rb ,则1=a ,2=b ,又由CE ED =u u u r u u u r ,2DF FB =u u u r u u u r,所以E 为CD 的中点,F 为BD 的三等分点,则12AE =+u u u r b a ,221()333AF =+-=+u u u r b a b a b ,所以22121151233363AE AF ⎛⎫⎛⎫⋅=+⋅+=+⋅+ ⎪ ⎪⎝⎭⎝⎭u u u r u u u r a b a b a a b b221515112cos6023632=⨯+⨯⨯︒+⨯=.三、解答题:本大题共6个大题,共70分,解答应写出文字说明、证明过程或演算步骤. 17.(10分)设,t k ∈R ,已知(1,2)=a ,(2,1)=-b ,(2)t =++m a b ,k t =+n a b . (1)若1t =,且∥m n ,求k 的值; (2)若5⋅=m n ,求证:2k ≤. 【答案】(1)13k =;(2)见证明. 【解析】(1)当12yx t =+时,3(5,5)=+=-m a b ,(2,21)k k k =+=-+n a b , ∵∥m n ,∴5(2)5(21)k k -=-+,解得13k =. (2)[](2)()t k t ⋅=++⋅+m n a b a b 22(2)(2)k t k t t t =+⋅++⋅++a a b a b b 55(2)k t t =++,∵5⋅=m n ,∴55(2)5k t t ++=,∴2221(1)22k t t t =--+=-++≤. 18.(12分)如图,已知正三角形的边长为1,设AB =u u u r a ,AC =u u u rb .(1)若是的中点,用,a b 分别表示向量CB u u u r ,CD uuu r;(2)求2+a b ;(3)求2+a b 与32-+a b 的夹角.【答案】(1)CB =-u u u ra b ,12CD =-u u u r a b ;(2);(3)120︒.【解析】(1)CB AB AC =-=-u u u r u u u r u u u ra b ,1122CD AD AC AB AC =-=-=-u u u r u u u r u u u r u u u r u u u r a b .(2)由题意知,1==a b ,且,60〈〉=︒a b ,则2222224444cos ,4217+=+⋅+=+〈〉+=++=a b a a b b a a b a b b , 所以2=7+a b .(3)与(2)解法相同,可得32=7-+a b , 设2+a b 与32-+a b 的夹角为,则()()2272326212cos 232232277θ-+⋅-+-+⋅+====-+-++-+⨯a b a b a a b b a b a b a b a b , 因为,所以2+a b 与32-+a b 的夹角为120︒.19.(12分)设是单位圆和轴正半轴的交点,是圆上两点,为坐标原点,π4AOP ∠=,,2π0,x ⎡⎤∈⎢⎥⎣⎦.(1)当π6x =时,求OP OQ ⋅u u u r u u u r 的值;(2)设函数()sin2f x OP OQ x =⋅+u u u r u u u r,求的值域.【答案】(1)624+;(2)2,22⎡⎤⎢⎥⎣⎦. 【解析】(1)由题意得:62cos ,cos cos cos sin sin 464πππ646π4ππOP OQ +⎛⎫=-=+= ⎪⎝⎭u u u r u u u r ,62cos ,4OP OQ OP OQ OP OQ +∴⋅=⋅=u u u r u u u r u u u r u u u r u u u r u u u r .(2)()22sin2co πs sin2cos sin 2sin cos 422f x OP OQ x x x x x x x =⋅+=-+=++u u u r u u u r ,设sin cos 2sin π4t x x x ⎛⎫=+=+ ⎪⎝⎭,则,又2π0,x ⎡⎤∈⎢⎥⎣⎦,则3π,44ππ4x ⎡⎤+∈⎢⎥⎣⎦,1,2t ⎡⎤∴∈⎣⎦,()2212f t t t ∴=+-,,当时,()()min 212f t f ==;当时,,的值域为2,22⎤⎥⎣⎦. 20.(12分)已知向量cos,sin 22x x ⎛⎫= ⎪⎝⎭a ,33cos ,sin 22x x ⎛⎫=- ⎪⎝⎭b ,且,ππ2x ⎡⎤∈⎢⎥⎣⎦. (1)求⋅a b 以及+a b 的取值范围;(2)记函数()2f x λ=⋅-+a b a b ,若的最小值为32-,求实数的值. 【答案】(1)见解析;(2)12λ=. 【解析】(1)易得33coscos sin sin cos22222x x x xx ⋅=-=a b . 因为222233||cos cos sin sin 22cos 24cos 2222x x x x x x ⎛⎫⎛⎫+=++-=+= ⎪ ⎪⎝⎭⎝⎭a b ,又,ππ2x ⎡⎤∈⎢⎥⎣⎦,所以,所以[]2cos 0,2x +=-∈a b .(2)依题意,得()22cos24cos 2cos 4cos 1f x x x x x λλλ=⋅-+=+=+-a b a b . 令,由(1)知,,则有.①当,即时,有()()min 312412g t g λ=-=--=-, 解得58λ=,此与矛盾;②当,即时,有()()2min 3212g t g λλ=-=--=-, 解得12λ=(12λ=-舍); ③当,即,有,此与题设不符.综上所述,所求实数12λ=. 21.(12分)已知平面向量2sin 2,26πx ⎛⎫⎛⎫=-+- ⎪ ⎪⎝⎭⎝⎭m ,()21,sin x =n ,()f x =⋅m n ,其中2π0,x ⎡⎤∈⎢⎥⎣⎦. (1)求函数的单调增区间;(2)设的内角,,的对边长分别为,,,若12B f ⎛⎫=⎪⎝⎭,,,求的值.21【答案】(1)增区间为π,3π2⎡⎤⎢⎥⎣⎦;(2)的值为或. 【解析】(1)()2π2sin 22sin 6f x x x ⎛⎫=⋅=-+- ⎪⎝⎭m n ()2sin2cos cos2sin 1cos26ππ6x x x ⎛⎫=-+-- ⎪⎝⎭13cos2sin21cos 21223πx x x ⎛⎫=-+=++ ⎪⎝⎭, 由π2ππ22π,3k x k k -≤+≤∈Z ,得2πππ,36πk x k k -≤≤-∈Z , 又∵2π0,x ⎡⎤∈⎢⎥⎣⎦,∴函数的增区间为π,3π2⎡⎤⎢⎥⎣⎦. (2)由12B f ⎛⎫= ⎪⎝⎭,得cos 03πB ⎛⎫+= ⎪⎝⎭, 又因为,所以ππ4π333B <+<,从而2ππ3B +=,即π6B =. 因为,,所以由正弦定理sin sin b c B C =,得sin 3sin 2c B C b ==, 故π3C =或2π3, 当π3C =时,π2A =,从而; 当2π3C =时,π6A =,又π6B =,从而,综上的值为或.22.(12分)如图,在四边形中,2CD BO =u u u r u u u r ,2OA AD =u u u r u u u r ,,且1BO AD ==u u u r u u u r .22 (1)用,OA OB u u u r u u u r 表示CB u u u r ;(2)点在线段上,且,求的值.【答案】(1)32CB OA OB =--u u u r u u u r u u u r ;(2)25cos 5PCB ∠=. 【解析】(1)因为2OA AD =u u u r u u u r ,所以32DO AO =u u u r u u u r . 因为2CD BO =u u u r u u u r ,所以33=++222CB CD DO OB BO AO OB OA OB =++=--u u u r u u u r u u u r u u u r u u u r u u u r u u u r u u u r u u u r . (2)因为2CD BO =u u u r u u u r ,所以OB CD ∥.因为2OA AD =u u u r u u u r ,所以点共线. 因为,所以.以为坐标原点,所在的直线为轴,建立如图所示的平面直角坐标系. 因为1BO AD ==u u u r u u u r ,2CD BO =u u u r u u u r ,2OA AD =u u u r u u u r ,所以,所以()1,2AC =u u u r ,()2,1AB =-u u u r .因为点在线段上,且,所以121,333AP AB ⎛⎫==- ⎪⎝⎭u u u r u u u r , 所以55,33CP AP AC ⎛⎫=-=-- ⎪⎝⎭u u u r u u u r u u u r . 因为()3,1CB =--u u u r ,所以55253cos 52103CP CB PCB CP CB ∠+⋅===⋅u u u r u u u r u u u r u u u r。
高考数学一轮复习提高题专题复习平面向量多选题练习题及答案一、平面向量多选题1.Rt △ABC 中,∠ABC =90°,AB =BC =1,0PA PB PC PAPBPC++=,以下正确的是( ) A .∠APB =120° B .∠BPC =120° C .2BP =PC D .AP =2PC【答案】ABCD 【分析】根据条件作几何图形,由向量的关系可得P ,G ,Q 三点共线且PQ =1,故△PMQ 和△PNQ 均为等边三角形,∠APB =∠BPC =∠APC =120°,进而可确定P 为Rt △ABC 的费马点,利用相似可确定BP 、 AP 、 PC 之间的数量关系. 【详解】在直线PA ,PB ,PC 上分别取点M ,N ,G ,使得|PM |=|PN |=|PG |=1, 以PM ,PN 为邻边作平行四边形PMQN ,则PM PN PQ +=, ∵0PA PB PC PAPBPC++=,即0PM PN PG ++=,即0PQ PG +=,∴P ,G ,Q 三点共线且PQ =1,故△PMQ 和△PNQ 均为等边三角形, ∴∠APB =∠BPC =∠APC =120°,故A 、B 正确; ∵AB =BC =1,∠ABC =90°, ∴AC =2,∠ACB =60°,在△ABC 外部分别以BC 、AC 为边作等边△BCE 和等边△ACD ,直线CP 绕C 旋转60°交PD 于P’,∴120CE CB ECA BCD CA CD =⎧⎪∠=∠=︒⎨⎪=⎩,即ECA BCD ≅,故EAC BDC ∠=∠, EAC BDC CA CDPCA P CD ∠=∠⎧⎪=⎨⎪'∠=∠⎩,即CPA CP D '≅,故CP CP '=, ∴CPP '为等边三角形,120CP D CPA '∠=∠=︒,则B ,P ,D 三点共线,同理有A ,P ,E 三点共线, ∴△BPC ∽△BCD ,即12BP BC CP CD ==,即PC =2BP ,故C 正确, 同理:△APC ∽△ACB ,即AP ACCP BC==2,即AP =2PC ,故D 正确. 故选:ABCD.【点睛】关键点点睛:根据已知条件及向量的数量关系确定P 为Rt △ABC 的费马点,结合相似三角形及费马点的性质判断各项的正误.2.在ABC 中,D 、E 分别是AC 、BC 上的点,AE 与BD 交于O ,且AB BC BC CA CA AB ⋅=⋅=⋅,2AB AC AE +=,2CD DA =,1AB =,则( )A .0AC BD ⋅=B .0OA OE ⋅=C .34OA OB OC ++= D .ED 在BA 方向上的正射影的数量为712【答案】BCD 【分析】根据AB BC BC CA CA AB ⋅=⋅=⋅以及正弦定理得到sin cos sin cos C B B C ⋅=⋅,从而求出B C =,进一步得到B C A ==,ABC 等边三角形,根据题目条件可以得到E 为BC 的中点和D 为AC 的三等分点,建立坐标系,进一步求出各选项. 【详解】由AB BC BC CA CA AB ⋅=⋅=⋅得cos cos AB BC B CA BC C ⋅=⋅,||cos ||cos AB B CA C ⋅=⋅,正弦定理,sin cos sin cos C B B C ⋅=⋅,()0sin B C =-,B C =,同理:A C =,所以B C A ==,ABC 等边三角形.2AB AC AE +=,E 为BC 的中点,2CD DA =,D 为AC 的三等分点.如图建立坐标系,30,2A ⎛ ⎝⎭,1,02B ⎛⎫- ⎪⎝⎭,1,02C ⎛⎫⎪⎝⎭,13,63D ⎛⎫ ⎪ ⎪⎝⎭,解得30,4O ⎛ ⎝⎭, O 为AE 的中点,所以,0OA OE +=正确,故B 正确;1323,,,2233AC BD ⎛⎫⎛=-= ⎪ ⎪ ⎝⎭⎝⎭,AC BD ⋅=12331=023236⨯--≠,故A 错误; 32OA OB OC OA OE OE ++=+==,故C 正确; 136ED ⎛= ⎝⎭,13,22BA ⎛= ⎝⎭,投影712||ED BA BA ⋅=,故D 正确. 故选:BCD. 【点睛】如何求向量a 在向量b 上的投影,用向量a 的模乘以两个向量所成的角的余弦值就可以了,当然还可以利用公式a b b⋅进行求解.3.如图所示,设Ox ,Oy 是平面内相交成2πθθ⎛⎫≠ ⎪⎝⎭角的两条数轴,1e ,2e 分别是与x ,y 轴正方向同向的单位向量,则称平面坐标系xOy 为θ反射坐标系中,若12OM xe ye =+,则把有序数对(),x y 叫做向量OM 的反射坐标,记为(),OM x y =.在23πθ=的反射坐标系中,()1,2a =,()2,1b =-.则下列结论中,正确的是( )A .()1,3a b -=-B .5a =C .a b ⊥D .a 在b 上的投影为37【答案】AD 【分析】123a b e e -=-+,则()1,3a b -=-,故A 正确;3a =,故B 错误;32a b ⋅=-,故C 错误;由于a 在b 上的投影为33727a b b-⋅==,故D 正确.【详解】()()121212223a b e e e e e e -=+--=-+,则()1,3a b -=-,故A 正确;()2122254cos33a e e π=+=+=B 错误;()()22121211223222322a b e e e e e e e e ⋅=+⋅-=+⋅-=-,故C 错误; 由于()22227b e e =-=a 在b 上的投影为3372147a b b-⋅==-,故D 正确。
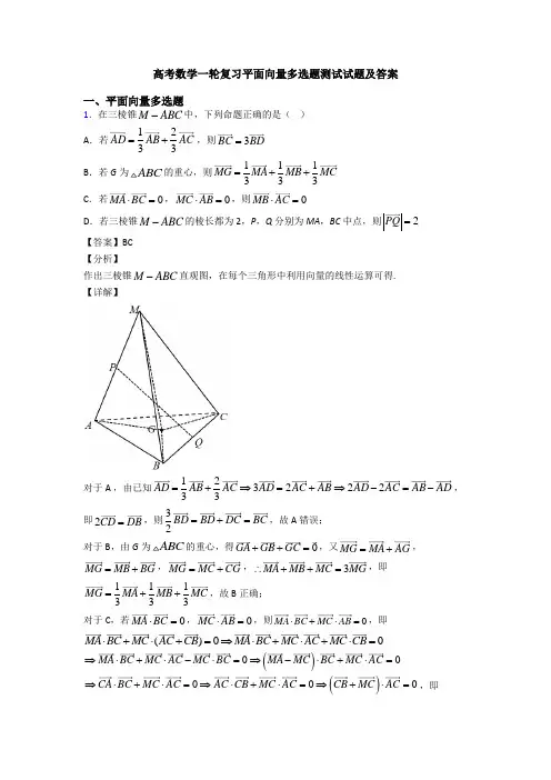
高考数学一轮复习平面向量多选题测试试题及答案一、平面向量多选题1.在三棱锥M ABC -中,下列命题正确的是( )A .若1233AD AB AC =+,则3BC BD = B .若G 为ABC 的重心,则111333MG MA MB MC =++C .若0MA BC ⋅=,0MC AB ⋅=,则0MB AC ⋅=D .若三棱锥M ABC -的棱长都为2,P ,Q 分别为MA ,BC 中点,则2PQ = 【答案】BC 【分析】作出三棱锥M ABC -直观图,在每个三角形中利用向量的线性运算可得. 【详解】对于A ,由已知12322233AD AB AC AD AC AB AD AC AB AD =+⇒=+⇒-=-,即2CD DB =,则32BD BD DC BC =+=,故A 错误; 对于B ,由G 为ABC 的重心,得0GA GB GC ++=,又MG MA AG =+,MG MB BG =+,MG MC CG =+,3MA MB MC MG ∴++=,即111333MG MA MB MC =++,故B 正确;对于C ,若0MA BC ⋅=,0MC AB ⋅=,则0MC MA BC AB ⋅+⋅=,即()00MA BC AC CB MA BC AC C MC C M B M C ⋅++=⇒⋅++⋅⋅=⋅()00MA BC A MC MC MC MC C BC MA BC AC ⋅⋅⋅⇒⋅+-=⇒-+=⋅()000MC M CA BC AC AC CB AC CB AC C MC ⇒+=⇒+=⇒+=⋅⋅⋅⋅⋅,即0MB AC ⋅=,故C 正确;对于D ,111()()222PQ MQ MP MB MC MA MB MC MA ∴=-=+-=+- ()2112PQ MB MC MA MB MC MA ∴=+-=+-,又()2222222MB MC MA MB MC MA MB MC MB MA MC MA+-=+++⋅-⋅-⋅2221112222222222228222=+++⨯⨯⨯-⨯⨯⨯-⨯⨯⨯=,1PQ ∴==,故D 错误. 故选:BC 【点睛】关键点睛:本题考查向量的运算,用已知向量表示某一向量的三个关键点: (1)用已知向量来表示某一向量,一定要结合图形,以图形为指导是解题的关键.(2)要正确理解向量加法、减法与数乘运算的几何意义,如首尾相接的若干向量之和,等于由起始向量的始点指向末尾向量的终点的向量. (3)在立体几何中三角形法则、平行四边形法则仍然成立.2.定义空间两个向量的一种运算sin ,a b a b a b ⊗=⋅,则关于空间向量上述运算的以下结论中恒成立的有( ) A .()()a b a b λλ⊗=⊗ B .a b b a ⊗=⊗C .()()()a b c a c b c +⊗=⊗+⊗D .若()11,a x y =,()22,b x y =,则122a b x y x y ⊗=- 【答案】BD 【分析】对于A,B,只需根据定义列出左边和右边的式子即可,对于C,当λab 时,()()1sin ,a b c b c b c λ+⊗=+⋅,()()()sin ,sin,1sin ,a c b c b c b c b c b c b c b c λλ⊗+⊗=⋅+⋅=+⋅,显然不会恒成立. 对于D,根据数量积求出cos ,a b ,再由平方关系求出sin ,a b 的值,代入定义进行化简验证即可. 【详解】解:对于A :()()sin ,a b a b a b λλ⊗=⋅,()sin ,a b a b a bλλλ⊗=⋅,故()()a b a b λλ⊗=⊗不会恒成立;对于B ,sin ,a b a b a b ⊗=⋅,=sin ,b a b a b a ⊗⋅,故a b b a ⊗=⊗恒成立; 对于C ,若λab ,且0λ>,()()1sin ,a b c b c b c λ+⊗=+⋅,()()()sin,sin ,1sin ,a c b c b c b c b c b c b c b c λλ⊗+⊗=⋅+⋅=+⋅,显然()()()a b c a c b c +⊗=⊗+⊗不会恒成立; 对于D ,1212cos ,x x y y a b a b+=⋅,212sin ,1a b a b ⎛ ⎪=- ⎪⋅⎭,即有222121212121x x y yx x y ya b a b a b a a b ⎛⎫⎛⎫++ ⎪⊗=⋅⋅-=⋅- ⎪ ⎪ ⎪⋅⎭⎭21y =⎪+⎭==1221x y x y =-.则1221a b x y x y ⊗=-恒成立. 故选:BD. 【点睛】本题考查向量的新定义,理解运算法则正确计算是解题的关键,属于较难题.3.设点A ,B 的坐标分别为()0,1,()1,0,P ,Q 分别是曲线x y e =和ln y x =上的动点,记12,I AQ AB I BP BA =⋅=⋅,则下列命题不正确的是( ) A .若12I I =,则()PQ AB R λλ=∈ B .若12I I =,则AP BQ = C .若()PQ AB R λλ=∈,则12I I = D .若AP BQ =,则12I I =【答案】ABD 【分析】作出两个函数的图象,利用图象结合平面向量共线知识和平面向量数量积的几何意义分析可得答案. 【详解】根据题意,在直线AB 上取点,P Q '',且满足||||AP BQ ''=,过,P Q ''分别作直线AB 的垂线,交曲线xy e =于1P ,2P ,交曲线ln y x =于12,Q Q ,在曲线xy e =上取点3P ,使13||||AP AP =,如图所示:1||||cos I AQ AB AQ AB QAB =⋅=⋅∠,令||cos ||AQ QAB AQ '∠=,则1||||I AQ AB '=⋅,2||||cos I BP BA BP BA PBA =⋅=⋅∠,令||cos ||BP PBA BP '∠=,则2||||I BP BA '=⋅,若||||AP BQ ''=,则||||AQ BP ''=,若12I I =,则||||AQ BP ''=即可,此时P 可以与1P 重合,Q 与2Q 重合,满足题意,但是()PQ AB R λλ=∈不成立,且||||AP BQ ≠,所以A 、B 不正确;对于选项C ,若PQ AB =λ,此时P 与1P 重合,且Q 与1Q 重合,或P 与2P 重合,且Q 与2Q 重合,所以满足12I I =,所以C 正确;对于D ,当P 与3P 重合时,满足13||||AP AP =,但此时3P 在直线AB 上的投影不在P '处,因而不满足||||AQ BP ''=,即12I I ≠,所以D 不正确. 故选:ABD 【点睛】关键点点睛:利用图象结合平面向量共线知识和平面向量数量积的几何意义求解是解题关键.4.已知ABC 的面积为3,在ABC 所在的平面内有两点P ,Q ,满足20PA PC +=,2QA QB =,记APQ 的面积为S ,则下列说法正确的是( )A .//PB CQ B .2133BP BA BC =+ C .0PA PC ⋅< D .2S =【答案】BCD 【分析】本题先确定B 是AQ 的中点,P 是AC 的一个三等分点,判断选项A 错误,选项C 正确;再通过向量的线性运算判断选项B 正确;最后求出2APQ S =△,故选项D 正确. 【详解】解:因为20PA PC +=,2QA QB =,所以B 是AQ 的中点,P 是AC 的一个三等分点,如图:故选项A 错误,选项C 正确;因为()121333BP BA AP BA BC BA BA BC =+=+-=+,故选项B 正确; 因为112223132APQ ABCAB hS S AB h ⨯⨯==⋅△△,所以,2APQ S =△,故选项D 正确. 故选:BCD 【点睛】本题考查平面向量的线性运算、向量的数量积、三角形的面积公式,是基础题.5.设a ,b ,c 是任意的非零向量,且它们相互不共线,给出下列选项,其中正确的有( )A .()a cbc a b c ⋅-⋅=-⋅ B .()()b c a c a b ⋅⋅-⋅⋅与c 不垂直 C .a b a b -<-D .()()22323294a b a b a b +⋅-=- 【答案】ACD 【分析】A ,由平面向量数量积的运算律可判断;B ,由平面向量垂直的条件、数量积的运算律可判断;C ,由a 与b 不共线,可分两类考虑:①若a b ≤,则a b a b -<-显然成立;②若a b >,由a 、b 、a b -构成三角形的三边可进行判断;D ,由平面向量的混合运算将式子进行展开即可得解. 【详解】选项A ,由平面向量数量积的运算律,可知A 正确;选项B ,()()()()()()()()0b c a c a b c b c a c c a b c b c a c b c c a ⎡⎤⋅⋅-⋅⋅⋅=⋅⋅⋅-⋅⋅⋅=⋅⋅⋅-⋅⋅⋅=⎣⎦, ∴()()b c a c a b ⋅⋅-⋅⋅与c 垂直,即B 错误;选项C ,∵a 与b 不共线,∴若a b ≤,则a b a b -<-显然成立;若a b >,由平面向量的减法法则可作出如下图形:由三角形两边之差小于第三边,可得a b a b -<-.故C 正确;选项D ,()()22223232966494a b a b a a b a b b a b +⋅-=-⋅+⋅-=-,即D 正确. 故选:ACD 【点睛】本小题主要考查向量运算,属于中档题.6.已知M 为ABC 的重心,D 为BC 的中点,则下列等式成立的是( ) A .1122AD AB AC =+ B .0MA MB MC ++= C .2133BM BA BD =+ D .1233CM CA CD =+【答案】ABD 【分析】根据向量的加减法运算法则依次讨论即可的答案. 【详解】解:如图,根据题意得M 为AD 三等分点靠近D 点的点. 对于A 选项,根据向量加法的平行四边形法则易得1122AD AB AC =+,故A 正确; 对于B 选项,2MB MC MD +=,由于M 为AD 三等分点靠近D 点的点,2MA MD =-,所以0MA MB MC ++=,故正确;对于C 选项,()2212=3333BM BA AD BA BD BA BA BD =+=+-+,故C 错误; 对于D 选项,()22123333CM CA AD CA CD CA CA CD =+=+-=+,故D 正确. 故选:ABD【点睛】本题考查向量加法与减法的运算法则,是基础题.7.在ABC 中,D ,E ,F 分别是边BC ,AC ,AB 中点,下列说法正确的是( ) A .0AB AC AD +-= B .0DA EB FC ++= C .若3||||||AB AC ADAB AC AD +=,则BD 是BA 在BC 的投影向量 D .若点P 是线段AD 上的动点,且满足BP BA BC λμ=+,则λμ的最大值为18【答案】BCD 【分析】对选项A ,B ,利用平面向量的加减法即可判断A 错误,B 正确.对选项C ,首先根据已知得到AD 为BAC ∠的平分线,即AD BC ⊥,再利用平面向量的投影概念即可判断C 正确.对选项D ,首先根据,,A P D 三点共线,设(1)BPtBA t BD ,01t ≤≤,再根据已知得到12t t λμ=⎧⎪⎨-=⎪⎩,从而得到21111()()2228tyt t ,即可判断选项D 正确. 【详解】 如图所示:对选项A ,20AB AC AD AD AD AD +-=-=≠,故A 错误. 对选项B ,111()()()222DA EB FC AB AC BA BC CA CB ++=-+-+-+ 111111222222AB AC BA BC CA CB =------1111110222222AB AC AB BC AC BC =--+-++=,故B 正确.对选项C ,||AB AB ,||AC AC ,||ADAD 分别表示平行于AB ,AC ,AD 的单位向量, 由平面向量加法可知:||||AB ACAB AC +为BAC ∠的平分线表示的向量. 因为3||||||AB AC ADAB AC AD +=,所以AD 为BAC ∠的平分线, 又因为AD 为BC 的中线,所以AD BC ⊥,如图所示:BA 在BC 的投影为cos BD BA BBABD BA,所以BD 是BA 在BC 的投影向量,故选项C 正确. 对选项D ,如图所示:因为P 在AD 上,即,,A P D 三点共线, 设(1)BPtBA t BD ,01t ≤≤.又因为12BD BC =,所以(1)2t BP tBA BC . 因为BP BA BC λμ=+,则12tt λμ=⎧⎪⎨-=⎪⎩,01t ≤≤.令21111()2228t ytt , 当12t =时,λμ取得最大值为18.故选项D 正确.故选:BCD 【点睛】本题主要考查平面向量的加法,减法的几何意义,数形结合为解决本题的关键,属于中档题.8.已知,,a b c 是同一平面内的三个向量,下列命题中正确的是( ) A .||||||a b a b ⋅≤B .若a b c b ⋅=⋅且0b ≠,则a c =C .两个非零向量a ,b ,若||||||a b a b -=+,则a 与b 共线且反向D .已知(1,2)a =,(1,1)b =,且a 与a b λ+的夹角为锐角,则实数λ的取值范围是5,3⎛⎫-+∞ ⎪⎝⎭【答案】AC 【分析】根据平面向量数量积定义可判断A ;由向量垂直时乘积为0,可判断B ;利用向量数量积的运算律,化简可判断C ;根据向量数量积的坐标关系,可判断D. 【详解】对于A ,由平面向量数量积定义可知cos ,a b a b a b ⋅=,则||||||a b a b ⋅≤,所以A 正确,对于B ,当a 与c 都和b 垂直时,a 与c 的方向不一定相同,大小不一定相等,所以B 错误,对于C ,两个非零向量a ,b ,若||||||a b a b -=+,可得22()(||||)a b a b -=+,即22||||a b a b -⋅=,cos 1θ=-,则两个向量的夹角为π,则a 与b 共线且反向,故C 正确; 对于D ,已知(1,2)a =,(1,1)b =且a 与a b λ+的夹角为锐角, 可得()0a a b λ⋅+>即2||0a a b λ+⋅>可得530λ+>,解得53λ>-, 当a 与a b λ+的夹角为0时,(1,2)a b λλλ+=++,所以2220λλλ+=+⇒= 所以a 与a b λ+的夹角为锐角时53λ>-且0λ≠,故D 错误; 故选:AC. 【点睛】本题考查了平面向量数量积定义的应用,向量共线及向量数量积的坐标表示,属于中档题.二、立体几何多选题9.已知正方体1111ABCD A B C D -的棱长为2,点O 为11A D 的中点,若以O 为半径的球面与正方体1111ABCD A B C D -的棱有四个交点E ,F ,G ,H ,则下列结论正确的是( )A .11//A D 平面EFGHB .1AC ⊥平面EFGHC .11A B 与平面EFGH 所成的角的大小为45°D .平面EFGH 将正方体1111ABCD A B C D -分成两部分的体积的比为1:7 【答案】ACD 【分析】如图,计算可得,,,E F G H 分别为所在棱的中点,利用空间中点线面的位置关系的判断方法可判断A 、B 的正确与否,计算出直线AB 与平面EFGH 所成的角为45︒后可得C 正确,而几何体BHE CGF -为三棱柱,利用公式可求其体积,从而可判断D 正确与否. 【详解】如图,连接OA ,则2115OA AA =+=,故棱1111,,,A A A D D D AD 与球面没有交点. 同理,棱111111,,A B B C C D 与球面没有交点.因为棱11A D 与棱BC 之间的距离为26>BC 与球面没有交点. 因为正方体的棱长为2,而26<球面与正方体1111ABCD A B C D -的棱有四个交点E ,F ,G ,H ,所以棱11,,,AB CD C C B B 与球面各有一个交点, 如图各记为,,,E F G H .因为OAE △为直角三角形,故22651AE OE OA -=-=,故E 为棱AB 的中点. 同理,,F G H 分别为棱11,,CD C C B B 的中点.由正方形ABCD 、,E F 为所在棱的中点可得//EF BC ,同理//GH BC ,故//EF GH ,故,,,E F G H 共面.由正方体1111ABCD A B C D -可得11//A D BC ,故11//A D EF因为11A D ⊄平面EFGH ,EF ⊂平面EFGH ,故11//A D 平面EFGH ,故A 正确.因为在直角三角1BA C 中,122A B =2BC = ,190A BC ∠=︒, 1A C 与BC 不垂直,故1A C 与GH 不垂直,故1A C ⊥平面EFGH 不成立,故B 错误. 由正方体1111ABCD A B C D -可得BC ⊥平面11AA B B ,而1A B ⊂平面11AA B B , 所以1BC A B ⊥,所以1EF A B ⊥在正方形11AA B B 中,因为,E H 分别为1,AB BB 的中点,故1EH A B ⊥,因为EF EH E =,故1A B ⊥平面EFGH ,所以BEH ∠为直线AB 与平面EFGH 所成的角,而45BEH ∠=︒,故直线AB 与平面EFGH 所成的角为45︒,因为11//AB A B ,故11A B 与平面EFGH 所成的角的大小为45°.故C 正确.因为,,,E F G H 分别为所在棱的中点,故几何体BHE CGF -为三棱柱, 其体积为111212⨯⨯⨯=,而正方体的体积为8,故平面EFGH 将正方体1111ABCD A B C D -分成两部分的体积的比为1:7,故D 正确. 故选:ACD.【点睛】本题考查空间中线面位置的判断、空间角的计算和体积的计算,注意根据球的半径确定哪些棱与球面有交点,本题属于中档题.10.在长方体1111ABCD A B C D -中,AB =12AD AA ==,,,P Q R 分别是11,,AB BB AC 上的动点,下列结论正确的是( ) A .对于任意给定的点P ,存在点Q 使得1D P CQ ⊥B .对于任意给定的点Q ,存在点R 使得1D R CQ ⊥C .当1AR A C ⊥时,1ARD R ⊥D .当113AC A R =时,1//D R 平面1BDC 【答案】ABD【分析】如图所示建立空间直角坐标系,计算142D P CQ b ⋅=-,()12222D R CQ b λλ⋅=--,134AR D R ⋅=-,10D R n ⋅=,得到答案. 【详解】如图所示,建立空间直角坐标系,设()2,,0P a ,a ⎡∈⎣,()Q b ,[]0,2b ∈,设11A R AC λ=,得到()22,22R λλ--,[]0,1λ∈. ()12,,2P a D -=,()2,0,CQ b =,142D P CQ b ⋅=-,当2b =时,1D P CQ ⊥,A 正确;()122,2D R λλ=--,()12222D R CQ b λλ⋅=--,取22bλ=+时,1D R CQ ⊥,B 正确;1AR A C ⊥,则()()12,222212440AR AC λλλλλ⋅=--⋅--=-+-+=,14λ=,此时113313022224AR D R ⎛⎫⎛⎫⋅=-⋅-=-≠ ⎪ ⎪ ⎪ ⎪⎝⎭⎝⎭,C 错误;113AC A R =,则44,,333R ⎛⎫ ⎪ ⎪⎝⎭,142,,333D R ⎛⎫=- ⎪ ⎪⎝⎭,设平面1BDC 的法向量为(),,n x y z =,则100n BD n DC ⎧⋅=⎪⎨⋅=⎪⎩,解得()3,1,3n =-, 故10D R n ⋅=,故1//D R 平面1BDC ,D 正确.故选:ABD .【点睛】本题考查了空间中的线线垂直,线面平行,意在考查学生的计算能力和空间想象能力,推断能力.。
方法强化练——平面向量一、选择题1.已知向量a =(m 2,4),b =(1,1),则“m =-2”是“a ∥b ”的( ).A .充分不必要条件B .必要不充分条件C .充要条件D .既不充分也不必要条件2.已知向量a =(2,3),b =(k,1),若a +2b 与a -b 平行,则k 的值是( ). A .-6 B .-23 C.23D .143.已知|a |=|b |=|a -2b |=1,则|a +2b |= ( ).A .9B .3C .1D .24.已知平面向量a =(-2,m ),b =(1,3),且(a -b )⊥b ,则实数m 的值为( ). A .-2 3 B .2 3 C .4 3D .6 35.已知|a |=1,|b |=6,a ·(b -a )=2,则向量a 与b 的夹角为( ). A.π2 B.π3 C.π4D.π66.已知向量a =(1,-cos θ),b =(1,2cos θ)且a ⊥b ,则cos 2θ等于( ). A .-1 B .0 C.12D.227.已知O 是△ABC 所在平面内一点,D 为BC 边中点,且2OA →+OB →+OC →=0,则有 ( ).A.AO →=2OD →B.AO →=OD →C.AO →=3OD → D .2AO →=OD →8.平面上有四个互异点A ,B ,C ,D ,已知(DB →+DC →-2DA →)·(AB →-AC →)=0,则△ABC 的形状是( ).A .直角三角形B .等腰三角形C .等腰直角三角形D .无法确定9.在△ABC 中,G 是△ABC 的重心,AB ,AC 的边长分别为2,1,∠BAC =60°.则AG →·BG →=( ).A .-89B .-109 C.5-39D .-5-3910.已知正方形ABCD (字母顺序是A →B →C →D )的边长为1,点E 是AB 边上的动点(可以与A 或B 重合),则DE →·CD →的最大值是 ( ).A .1 B.12 C .0 D .-1二、填空题11.若a =(1,-2),b =(x,1),且a ⊥b ,则x =________.12.已知向量a =(1,1),b =(2,0),则向量a ,b 的夹角为________.13.在Rt △ABC 中,∠C =90°,∠A =30°,BC =1,D 为斜边AB 的中点,则AB →·CD→=________.14.已知G 1,G 2分别为△A 1B 1C 1与△A 2B 2C 2的重心,且A 1A 2→=e 1,B 1B 2→=e 2,C 1C 2→=e 3,则G 1G 2→=________(用e 1,e 2,e 3表示).三、解答题15.在平面直角坐标系中,O 为坐标原点,已知向量a =(2,1),A (1,0),B (cos θ,t ).(1)若a ∥AB →,且|AB →|=5|OA →|,求向量OB →的坐标; (2)若a ∥AB →,求y =cos 2θ-cos θ+t 2的最小值.16.设向量a =(3sin x ,sin x ),b =(cos x ,sin x ),x ∈⎣⎢⎡⎦⎥⎤0,π2.(1)若|a |=|b |,求x 的值;(2)设函数f (x )=a ·b ,求f (x )的最大值.17.已知点G 是△ABO 的重心,M 是AB 边的中点. (1)求GA →+GB →+GO →;(2)若PQ 过△ABO 的重心G ,且OA →=a ,OB →=b ,OP →=m a ,OQ →=n b ,求证:1m +1n =3.18.已知f (x )=a ·b ,其中a =(2cos x ,-3sin 2x ),b =(cos x,1)(x ∈R ). (1)求f (x )的周期和单调递减区间;(2)在△ABC 中,角A ,B ,C 的对边分别为a ,b ,c ,f (A )=-1,a =7,AB →·AC →=3,求边长b 和c 的值(b >c ).答案 一、选择题1-5 ACBBB 6-10 BBBAC二、填空题11、2 12、π4 13、-1 14、13(e 1+e 2+e 3) 三、解答题15、解 (1)∵AB →=(cos θ-1,t ),又a ∥AB →,∴2t -cos θ+1=0.∴cos θ-1=2t .① 又∵|AB →|=5|OA →|,∴(cos θ-1)2+t 2=5.② 由①②得,5t 2=5,∴t 2=1.∴t =±1.当t =1时,cos θ=3(舍去),当t =-1时,cos θ=-1, ∴B (-1,-1),∴OB →=(-1,-1). (2)由(1)可知t =cos θ-12, ∴y =cos 2θ-cos θ+(cos θ-1)24=54cos 2θ-32cos θ+14=54⎝ ⎛⎭⎪⎫cos 2θ-65cos θ+14=54⎝ ⎛⎭⎪⎫cos θ-352-15, ∴当cos θ=35时,y min =-15.16、解 (1)由|a |2=(3sin x )2+(sin x )2=4sin 2 x ,|b |2=(cos x )2+(sin x )2=1,及|a |=|b |,得4sin 2 x =1. 又x ∈⎣⎢⎡⎦⎥⎤0,π2,从而sin x =12,所以x =π6.(2)f (x )=a ·b =3sin x ·cos x +sin 2 x =32sin 2x -12cos 2x +12=sin ⎝ ⎛⎭⎪⎫2x -π6+12, 当x =π3∈⎣⎢⎡⎦⎥⎤0,π2时,sin ⎝ ⎛⎭⎪⎫2x -π6取最大值1.所以f (x )的最大值为32.17、(1)解 ∵GA →+GB →=2GM →,又2GM →=-GO →, ∴GA →+GB →+GO →=-GO →+GO →=0. (2)证明 显然OM →=12(a +b ).因为G 是△ABO 的重心,所以OG →=23OM →=13(a +b ). 由P ,G ,Q 三点共线,得PG →∥GQ →, 所以,有且只有一个实数λ,使PG →=λGQ →. 而PG →=OG →-OP →=13(a +b )-m a =⎝ ⎛⎭⎪⎫13-m a +13b ,GQ →=OQ →-OG →=n b -13(a +b )=-13a +⎝ ⎛⎭⎪⎫n -13b ,所以⎝ ⎛⎭⎪⎫13-m a +13b =λ⎣⎢⎡⎦⎥⎤-13a +⎝ ⎛⎭⎪⎫n -13b . 又因为a ,b 不共线,所以⎩⎪⎨⎪⎧13-m =-13λ,13=λ⎝ ⎛⎭⎪⎫n -13,消去λ,整理得3mn =m +n ,故1m +1n =3.18、解 (1)由题意知,f (x )=2cos 2x -3sin 2x =1+cos 2x -3sin 2x =1+2cos ⎝ ⎛⎭⎪⎫2x +π3,∴f (x )的最小正周期T =π,∵y =cos x 在[2k π,2k π+π](k ∈Z )上单调递减,∴令2k π≤2x +π3≤2k π+π(k ∈Z ), 得k π-π6≤x ≤k π+π3(k ∈Z ).∴f (x )的单调递减区间⎣⎢⎡⎦⎥⎤k π-π6,k π+π3,k ∈Z .(2)∵f (A )=1+2cos ⎝ ⎛⎭⎪⎫2A +π3=-1, ∴cos ⎝ ⎛⎭⎪⎫2A +π3=-1.又π3<2A +π3<7π3,∴2A +π3=π.∴A =π3.∵AB →·AC →=3,即bc =6,由余弦定理得a 2=b 2+c 2- 2bc cos A =(b +c )2-3bc,7=(b +c )2-18,b +c =5, 又b >c ,∴b =3,c =2.。
高考数学一轮复习数学平面向量多选题的专项培优练习题(含答案一、平面向量多选题1.已知a ,b 是平面上夹角为23π的两个单位向量,c 在该平面上,且()()·0a c b c --=,则下列结论中正确的有( )A .||1ab += B .||3a b -=C .||3<cD .a b +,c 的夹角是钝角【答案】ABC 【分析】在平面上作出OA a =,OB b =,1OA OB ==,23AOB π∠=,作OC c =,则可得出C 点在以AB 为直径的圆上,这样可判断选项C 、D . 由向量加法和减法法则判断选项A 、B . 【详解】 对于A :()2222+2||+cos13a b a ba b a b π+=+=⨯⨯=,故A 正确; 对于B :设OA a =,OB b =,1OA OB ==,23AOB π∠=,则2222+c 32os3AB O OA O A O B B π-⋅==,即3a b -=,故B 正确; OC c =,由(a ﹣c )·(b ﹣c )=0得BC AC ⊥,点C 在以AB 直径的圆上(可以与,A B 重合).设AB 中点是M ,c OC =的最大值为13+3222+A b B O MC a M +==+<,故C 正确; a b +与OM 同向,由图,OM 与c 的夹角不可能为钝角.故D 错误. 故选:ABC .【点睛】思路点睛:本题考查向量的线性运算,考查向量数量积.解题关键是作出图形,作出OA a =,OB b =,OC c =,确定C 点轨迹,然后由向量的概念判断.2.下列关于平面向量的说法中正确的是( )A .已知,a b 均为非零向量,若//a b ,则存在唯一的实数λ,使得λa bB .已知非零向量(1,2),(1,1)a b ==,且a 与a λb +的夹角为锐角,则实数λ的取值范围是5,3⎛⎫-+∞ ⎪⎝⎭C .若a c b c ⋅=⋅且0c ≠,则a b =D .若点G 为ABC 的重心,则0GA GB GC ++= 【答案】AD 【分析】由向量共线定理可判断选项A ;由向量夹角的的坐标表示可判断选项B ;由数量积的运算性质可判断选项C ;由三角形的重心性质即向量线性运算可判断选项D. 【详解】对于选项A : 由向量共线定理知选项A 正确;对于选项B :()()()1,21,11,2a b λλλλ+=+=++,若a 与a λb +的夹角为锐角,则()()122530a a b λλλλ⋅+=+++=+>解得53λ>-,当a 与a λb +共线时,()221λλ+=+,解得:0λ=,此时(1,2)a =,()1,2a b λ+=,此时a b =夹角为0,不符合题意,所以实数λ的取值范围是()5,00,3⎛⎫-⋃+∞ ⎪⎝⎭,故选项B 不正确; 对于选项C :若a c b c ⋅=⋅,则()0c a b ⋅-=,因为0c ≠,则a b =或c 与a b -垂直, 故选项C 不正确;对于选项D :若点G 为ABC 的重心,延长AG 与BC 交于M ,则M 为BC 的中点,所以()1222AG GM GB GC GB GC ==⨯⨯+=+,所以0GA GB GC ++=,故选项D 正确.故选:AD 【点睛】易错点睛:两个向量夹角为锐角数量积大于0,但数量积大于0向量夹角为锐角或0,由向量夹角为锐角数量积大于0,需要检验向量共线的情况. 两个向量夹角为钝角数量积小于0,但数量积小于0向量夹角为钝角或π.3.已知直线1:310l mx y m --+=与直线2:310l x my m +--=相交于点P ,线段AB 是圆()()22:114C x y +++=的一条动弦,G 为弦AB的中点,AB =( )A .弦AB 的中点轨迹是圆B .直线12,l l 的交点P 在定圆()()22222x y -+-=上 C .线段PG长的最大值为1 D .PA PB ⋅的最小值6+ 【答案】ABC 【分析】对于选项A :设()00,G x y ,利用已知条件先求出圆心到弦AB 的距离CG ,利用两点之间的距离公式即可得到结论;对于选项B :联立直线的方程组求解点P 的坐标,代入选项验证即可判断;对于选项C :利用选项A B 结论,得到圆心坐标和半径,利用1112max PG PG r r =++求解即可;对于选项D :利用平面向量的加法法则以及数量积运算得到23PA PB PG ⋅==-,进而把问题转化为求1112min PG PG r r =--问题,即可判断.【详解】对于选项A :设()00,G xy ,2AB =G 为弦AB 的中点, GB ∴=,而()()22:114C x y+++=, 半径为2,则圆心到弦AB 的距离为1CG ==,又圆心()1,1C --,()()2200111x y ∴+++=,即弦AB 的中点轨迹是圆. 故选项A 正确; 对于选项B :由310310mx y m x my m --+=⎧⎨+--=⎩,得222232113211m m x m m m y m ⎧++=⎪⎪+⎨-+⎪=⎪+⎩,代入()()2222x y -+-整理得2, 故选项B 正确;对于选项C :由选项A 知:点G 的轨迹方程为:()()22111x y +++=,由选项B 知:点P 的轨迹方程为:()()22222x y -+-=,()()11121,1,1,2,2,G r P r ∴--=所以线段1112max 11PG PG r r =++=+=,故选项C 正确; 对于选项D :()()PA PB PG GA PG GB ⋅=+⋅+ ()2PG PG GA GB GA GB =+⋅++⋅ 22203PG PG GB PG =+⋅-=-,故()()2minmin3PA PBPG ⋅=-,由选项C 知:1112min 11PG PG r r =--=-=,所以()()2min136PA PB⋅=-=-,故选项D 错误; 故选:A B C. 【点睛】关键点睛:本题考查了求圆的轨迹问题以及两个圆上的点的距离问题.把两个圆上的点的距离问题转化为两个圆的圆心与半径之间的关系是解决本题的关键.4.已知ABC 是边长为2的等边三角形,D 是边AC 上的点,且2AD DC =,E 是AB 的中点,BD 与CE 交于点O ,那么( )A .0OE OC +=B .1AB CE ⋅=-C .3OA OB OC ++= D .132DE =【答案】AC 【分析】建立平面直角坐标系,结合线段位置关系以及坐标形式下模长的计算公式逐项分析. 【详解】建立平面直角坐标系如下图所示:取BD 中点M ,连接ME ,因为,M E 为,BD BA 中点,所以1//,2ME AD ME AD =,又因为12CD AD =, 所以//,ME CD ME CD =,所以易知EOM COD ≅,所以O 为CE 中点, A .因为O 为CE 中点,所以0OE OC +=成立,故正确; B .因为E 为AB 中点,所以ABCE ,所以0AB CE ⋅=,故错误;C .因为()()(30,,1,0,1,0,32O A B C ⎛- ⎝⎭,所以33331,1,0,OA OB OC ⎛⎛⎛⎛++=+-+= ⎝⎭⎝⎭⎝⎭⎝⎭,所以3OA OB OC ++=D .因为()123,0,03DE ⎛ ⎝⎭,所以123,3DE ⎛=- ⎝⎭,所以13DE =,故错误, 故选:AC. 【点睛】关键点点睛:对于规则的平面图形(如正三角形、矩形、菱形等)中的平面向量的数量积和模长问题,采用坐标法计算有时会更加方便.5.已知向量(4,3)a k =,(4,3)b k =,则( ) A .若a b ⊥,则0k = B .若//a b ,则1k =C .若a b >,则1k <D .若a b a b +=-,则a b ⊥【答案】AD 【分析】先根据a b ⊥建立方程44330k k ⨯+⨯=解得0k =,判断选项A 正确;再根据//a b ,建立方程(4,3)(4,3)k k λ=解得1k =±,判断选项B 错误;接着根据a b >建立不等式4(3)(4)3k k +>+解得11k -<<,判断选项C 错误;最后根据a b a b +=-,化简整理得到a b ⊥,判断选项D 正确.【详解】解:因为(4,3)a k =,(4,3)b k =,a b ⊥,则44330k k ⨯+⨯=,解得0k =,故选项A 正确;因为(4,3)a k =,(4,3)b k =,//a b ,则λa b ,即(4,3)(4,3)k k λ=,解得1k =±,故选项B 错误;因为(4,3)a k =,(4,3)b k =,a b >,则>,解得11k -<<,故选项C 错误;因为(4,3)a k =,(4,3)b k =,a b a b +=-,则0a b ⋅=,0a ≠,0b ≠,所以a b ⊥,故选项D 正确. 故答案为:AD. 【点睛】本题考查利用向量垂直求参数、利用向量共线求参数、根据向量的模的大小关系求参数的范围、利用向量的运算判断向量垂直,是中档题.6.下列各式结果为零向量的有( ) A .AB BC AC ++ B .AB AC BD CD +++ C .OA OD AD -+ D .NQ QP MN MP ++-【答案】CD 【分析】对于选项A ,2AB BC AC AC ++=,所以该选项不正确;对于选项B ,2AB AC BD CD AD +++=,所以该选项不正确;对于选项C ,0OA OD AD -+=,所以该选项正确;对于选项D ,0NQ QP MN MP ++-=,所以该选项正确. 【详解】对于选项A ,2AB BC AC AC AC AC ++=+=,所以该选项不正确;对于选项B ,()()2AB AC BD CD AB BD AC CD AD AD AD +++=+++=+=,所以该选项不正确;对于选项C ,0OA OD AD DA AD -+=+=,所以该选项正确; 对于选项D ,0NQ QP MN MP NP PN ++-=+=,所以该选项正确. 故选:CD 【点睛】本题主要考查平面向量的加法和减法法则,意在考查学生对这些知识的理解掌握水平.7.在ABC中,D,E,F分别是边BC,AC,AB中点,下列说法正确的是()A.0AB AC AD+-=B.0DA EB FC++=C .若3 ||||||AB AC ADAB AC AD+=,则BD是BA在BC的投影向量D.若点P是线段AD上的动点,且满足BP BA BCλμ=+,则λμ的最大值为18【答案】BCD【分析】对选项A,B,利用平面向量的加减法即可判断A错误,B 正确.对选项C,首先根据已知得到AD为BAC∠的平分线,即AD BC⊥,再利用平面向量的投影概念即可判断C正确.对选项D,首先根据,,A P D三点共线,设(1)BP tBA t BD,01t≤≤,再根据已知得到12ttλμ=⎧⎪⎨-=⎪⎩,从而得到21111()()2228ty t t,即可判断选项D 正确.【详解】如图所示:对选项A,20AB AC AD AD AD AD+-=-=≠,故A错误.对选项B,111()()()222DA EB FC AB AC BA BC CA CB++=-+-+-+111111222222AB AC BA BC CA CB=------111111222222AB AC AB BC AC BC=--+-++=,故B正确.对选项C,||ABAB,||ACAC,||ADAD分别表示平行于AB,AC,AD的单位向量,由平面向量加法可知:||||AB ACAB AC+为BAC∠的平分线表示的向量.因为3||||||AB AC ADAB AC AD+=,所以AD为BAC∠的平分线,又因为AD为BC的中线,所以AD BC⊥,如图所示:BA 在BC 的投影为cos BD BABBABD BA,所以BD 是BA 在BC 的投影向量,故选项C 正确. 对选项D ,如图所示:因为P 在AD 上,即,,A P D 三点共线, 设(1)BPtBA t BD ,01t ≤≤.又因为12BD BC =,所以(1)2t BP tBA BC . 因为BP BA BC λμ=+,则12tt λμ=⎧⎪⎨-=⎪⎩,01t ≤≤.令21111()2228t ytt , 当12t =时,λμ取得最大值为18.故选项D 正确.故选:BCD 【点睛】本题主要考查平面向量的加法,减法的几何意义,数形结合为解决本题的关键,属于中档题.8.已知,,a b c 是同一平面内的三个向量,下列命题中正确的是( ) A .||||||a b a b ⋅≤B .若a b c b ⋅=⋅且0b ≠,则a c =C .两个非零向量a ,b ,若||||||a b a b -=+,则a 与b 共线且反向D .已知(1,2)a =,(1,1)b =,且a 与a b λ+的夹角为锐角,则实数λ的取值范围是5,3⎛⎫-+∞ ⎪⎝⎭【答案】AC 【分析】根据平面向量数量积定义可判断A ;由向量垂直时乘积为0,可判断B ;利用向量数量积的运算律,化简可判断C ;根据向量数量积的坐标关系,可判断D. 【详解】对于A ,由平面向量数量积定义可知cos ,a b a b a b ⋅=,则||||||a b a b ⋅≤,所以A 正确,对于B ,当a 与c 都和b 垂直时,a 与c 的方向不一定相同,大小不一定相等,所以B 错误,对于C ,两个非零向量a ,b ,若||||||a b a b -=+,可得22()(||||)a b a b -=+,即22||||a b a b -⋅=,cos 1θ=-,则两个向量的夹角为π,则a 与b 共线且反向,故C 正确; 对于D ,已知(1,2)a =,(1,1)b =且a 与a b λ+的夹角为锐角, 可得()0a a b λ⋅+>即2||0a a b λ+⋅>可得530λ+>,解得53λ>-, 当a 与a b λ+的夹角为0时,(1,2)a b λλλ+=++,所以2220λλλ+=+⇒= 所以a 与a b λ+的夹角为锐角时53λ>-且0λ≠,故D 错误; 故选:AC. 【点睛】本题考查了平面向量数量积定义的应用,向量共线及向量数量积的坐标表示,属于中档题.9.已知向量()1,3OA =-,()2,1OB =-,()3,8OC t t =+-,若点A ,B ,C 能构成三角形,则实数t 可以为( ) A .-2 B .12C .1D .-1【答案】ABD 【分析】若点A ,B ,C 能构成三角形,故A ,B ,C 三点不共线,即向量,AB BC 不共线,计算两个向量的坐标,由向量共线的坐标表示,即得解 【详解】若点A ,B ,C 能构成三角形,故A ,B ,C 三点不共线,则向量,AB BC 不共线, 由于向量()1,3OA =-,()2,1OB =-,()3,8OC t t =+-, 故(3,4)AB OB OA =-=-,(5,9)BC OC OB t t =-=+- 若A ,B ,C 三点不共线,则 3(9)4(5)01t t t ---+≠∴≠ 故选:ABD 【点睛】本题考查了向量共线的坐标表示,考查了学生转化划归,概念理解,数学运算能力,属于中档题.10.对于菱形ABCD ,给出下列各式,其中结论正确的为( ) A .AB BC =B .AB BC =C .AB CD AD BC -=+ D .AD CD CD CB +=-【答案】BCD 【分析】由向量的加法减法法则及菱形的几何性质即可求解. 【详解】菱形中向量AB 与BC 的方向是不同的,但它们的模是相等的, 所以B 结论正确,A 结论错误;因为2AB CD AB DC AB -=+=,2AD BC BC +=,且AB BC =, 所以AB CD AD BC -=+,即C 结论正确; 因为AD CD BC CD BD +=+=,||||CD CB CD BC BD -=+=,所以D 结论正确.故选:BCD 【点睛】本题主要考查了向量加法、减法的运算,菱形的性质,属于中档题.。
人教版江苏省高三数学一轮复习备考试题:平面向量 (含答案 ) 及参照答案( 附参照答案 )平面向量一、填空题1、(2014 年江苏高考)如图,在平行四边形中,已知,,则的值是▲.2、( 2013 年江苏高考)设分别是的边上的点,,,若(为实数),则的值为。
3、( 2012 年江苏高考)如图,在矩形中,点为的中点,点在边上,若,则的值是▲.4、(2015 届江苏南京高三9 月调研)已知向量a=(2 ,1) ,b=(0 ,-1) .若 (a +λb) ⊥a,则实数λ=▲.5、( 2015 届江苏南通市直中学高三9 月调研)已知△ ABC中,∠ C=90°,,分别为边上的点,且,,则▲.6、( 2015 届江苏苏州高三9 月调研)如图是半径为 3 的圆的直径是圆上异于的一点是线段上凑近的三均分点且则的值为▲7、(南京市 2014 届高三第三次模拟)在Rt△ABC中, CA=CB=2,M,N是斜边 AB 上的两个动点,且MN=,则·的取值范围为▲.8、(南通市2014 届高三第三次调研)在直角三角形中,=90°,,.若点知足,则▲.9、(苏锡常镇四市 2014 届高三 5 月调研(二))已知平面内的四点 O,A,B,C知足,,则 =▲.10(、徐州市 2014届高三第三次模拟)如图,在△中,已知,,,,,则▲.11、(南京、盐城市2014 届高三第二次模拟(淮安三模))已知|| =1,|| =2,∠AOB=,=+,则与的夹角大小为▲12、(2014 江苏百校联考一)如图,是半径为 1 的圆的直径,△ ABC是边长为 1 的正三角形,则的最大值为13、(2014 南通二模)在△ ABC中,D是 BC的中点,AD=8,BC=20,则的值为▲.14、(苏锡常镇四市2014 届高三 3 月调研(一))如图,在△ABC中, BO为边AC上的中线,,设∥,若,则的值为▲15、(兴化市2014 届高三上学期期中)已知在中,,,设是的心里,若,则.二、解答题1、( 2013 年江苏高考)已知,。
山东省2015年高考数学一轮专题复习特训平面向量1、(2013山东理)15.已知向量AB 与AC 的夹角为120°,且3AB =,2AC =,若AP AB AC λ=+,且AP BC ⊥,则实数λ的值为__________.答案:15.7122、(2011山东理数12)12.设1A ,2A ,3A ,4A 是平面直角坐标系中两两不同的四点,若1312A A A A λ= (λ∈R ),1412A A A A μ=(μ∈R ),且112λμ+=,则称3A ,4A 调和分割1A ,2A ,已知平面上的点C ,D 调和分割点A ,B 则下面说法正确的是A .C 可能是线段AB 的中点B .D 可能是线段AB 的中点C .C ,D 可能同时在线段AB 上D .C ,D 不可能同时在线段AB 的延长线上答案:D3.(山东省淄博第五中学2014届高三10月份第一次质检数学(理)试题)已知i 与j 为互相垂直的单位向量,2a i j =-,b i j λ=+且a 与b 的夹角为锐角,则实数λ的取值范围是 ( ) A .1(,2)(2,)2-∞-- B .1(,)2+∞ C .22(2,)(,)33-+∞ D .1(,)2-∞ 【答案】A4.(山东省淄博一中2014届高三上学期10月阶段检测理科数学)若点P 是△ABC 所在平面内的一点,且满足5AP =3AB +2AC ,则△ABP 与△ABC 的面积比为( )A .15B .25C .35D .45 【答案】 B . 5.(山东省淄博第五中学2014届高三10月份第一次质检数学(理)试题)下列各式正确的是( )A .a b =a b ⋅B .()222a b =a b ⋅⋅C .若()a b-c ,⊥则a b=a c ⋅⋅D . 若a b=a c ⋅⋅则b=c【答案】C6错误!未指定书签。
.(山东省淄博第五中学2014届高三10月份第一次质检数学(理)试题)在ABC ∆中,已知a .b .c 成等比数列,且33,cos 4a c B +==,则AB BC ⋅= ( ) A .32 B .32- C .3 D .-3【答案】B7错误!未指定书签。
高三数学第一轮复习单元测试—《平面向量》一、选择题:本大题共12小题,每小题5分,共60分.在每小题给出的四个选项中,只有一项是符合标题问题要求的.1.如图1所示,D 是△ABC 的边AB 上的中点, 则向量=( )A .BA BC 21+- B .BA BC 21--C .21-D .21+2.与向量a ==⎪⎭⎫ ⎝⎛b ,21,27⎪⎭⎫ ⎝⎛27,21的夹解相等,且模为1的向量是( )A .⎪⎭⎫- ⎝⎛53,54B .⎪⎭⎫- ⎝⎛53,54或⎪⎭⎫ ⎝⎛-53,54 C .⎪⎭⎫- ⎝⎛31,322 D .⎪⎭⎫-⎝⎛31,322或⎪⎭⎫⎝⎛-31,322 3.设a 与b 是两个不共线向量,且向量a b λ+与()2b a --共线,则λ= ( )A .0B .-1C .-2D .0.54.已知向量()1,3=a ,b 是不平行于x 轴的单位向量,且3=⋅b a ,则b =( )A .⎪⎪⎭⎫ ⎝⎛21,23 B .⎪⎪⎭⎫ ⎝⎛23,21 C .⎪⎪⎭⎫ ⎝⎛433,41 D .(1,0)5.如图,已知正六边形P 1P 2P 3P 4P 5P 6,下列向量的数量积中最大的是( )A .3121P P P P ⋅B .4121P P P P ⋅C .5121P P P P ⋅D .6121P P P P ⋅ 6.在OAB ∆中,OA a =,OB b =,OD 是AB 边上的高,若AD AB λ=,则实数λ等 于( )A .2()a b a a b⋅-- B .2()a a b a b⋅--C .()a b a a b⋅--D .()a a b a b⋅--7.设1(1,)2OM =,(0,1)ON =,则满足条件01OP OM ≤⋅≤,01OP ON ≤⋅≤的动点P 的变化范围(图中暗影部分含边界)是( )B . D . 8.将函数f (x )=tan(2x +3π)+1按向量a 平移获得奇函数g(x ),要使|a |最小,则a =( )A .(,16π-)B .(,16π-)C .(,112π)D .(,112π--)9.已知向量a 、b 、c 且0a b c ++=,||3a =,||4b =,||5c =.设a 与b 的夹角为1θ,b与c 的夹角为2θ,a 与c 的夹角为3θ,则它们的大小关系是 ( )A .123θθθ<<B .132θθθ<<C .231θθθ<<D .321θθθ<<10.已知向量),(n m =,)sin ,(cos θθ=,其中R n m ∈θ,,.若||4||=,则当2λ<⋅b a 恒成立时实数λ的取值范围是( )A .2>λ或2-<λB .2>λ或2-<λC .22<<-λD .22<<-λ11.已知1OA =,3OB =,0OA OB ⋅=,点C 在AOB ∠内,且30oAOC ∠=,设OC mOA nOB =+(,)m n R ∈,则mn等于 ( )A .13B .3C D12.对于直角坐标平面内的任意两点11(,)A x y ,22(,)B x y ,定义它们之间的一种“距离”:2121.AB x x y y =-+-给出下列三个命题:①若点C 在线段AB 上,则;AC CB AB += ②在ABC ∆中,若90,o C ∠=则222;AC CB AB +=③在ABC ∆中,.AC CB AB +>其中真命题的个数为 ( ) A .0 B .1 C .2 D .3二、填空题:本大题共4小题,每小题4分,共16分,把答案填在题中横线上.13中,,,3AB a AD b AN NC ===,M 为BC 的中点,则MN =_______.(用a b 、暗示)14.已知()()2,1,1,1,A B O --为坐标原点,动点M 满足OM mOA nOB =+,其中,m n R ∈且2222m n -=,则M 的轨迹方程为 .15.在ΔABC 中,O 为中线AM 上的一个动点,若AM=2,则)(+⋅的最小值为 .16.已知向量)3,5(),3,6(),4,3(m m ---=-=-=,若点A 、B 、C 能构成三角形,则实数m 满足的条件是 .三、解答题:本大题共6小题,共74分.解答应写出文字说明、证明过程或演算步骤. 17.(本小题满分12分)已知向量)sin 1,sin 1(x x -=,)2cos ,2(x =.(1)若]2,0(π∈x ,试判断与能否平行?(2)若]3,0(π∈x ,求函数b a x f ⋅=)(的最小值.18.(本小题满分12分)(2006年湖北卷)设函数()()c b a x f +⋅=,其中向量 ()()x x b x x a cos 3,sin ,cos ,sin -=-=,()R x x x c ∈-=,sin ,cos .(1)求函数()x f 的最大值和最小正周期;(2)将函数()x f y =的图像按向量d 平移,使平移后获得的图像关于坐标原点成中心对称,求长度最小的d .19.(本小题满分12分)(2007年宁夏卷)在平面直角坐标系xOy 中,经过点(0且斜率为k 的直线l与椭圆2212x y +=有两个分歧的交点P 和Q . (I )求k 的取值范围;(II )设椭圆与x 轴正半轴、y 轴正半轴的交点分别为A B ,,是否存在常数k ,使得向量OP OQ +与AB 共线?如果存在,求k 值;如果不存在,请说明理由.20.(本小题满分12分)在ABC △中,2AB AC AB AC ⋅=-=. (1)求22AB AC +的值;(2)当ABC △的面积最大时,求A ∠的大小.21.(本小题满分12分)如图,三定点A (2,1),B (0,-1),C (-2,1); 三动点D ,E ,M 满足]1,0[,,,∈===t DE t DM BC t BE AB t AD(1)求动直线DE 斜率的变化范围; (2)求动点M 的轨迹方程.22.(本小题满分14分)已知点P 是圆221x y +=上的一个动点,过点P 作PQ x ⊥轴于点Q ,设OM OP OQ =+.(1)求点M 的轨迹方程;(2)求向量OP 和OM 夹角的最大值,并求此时P 点的坐标参考答案(4)1.21+-=+=,故选A . 2.B 设所求向量e =(cos θ,sin θ),则由于该向量与,a b 的夹角都相等,故e b e a ⋅=⋅⇔=⋅||||||||7117cos sin cos sin 2222θθθθ⇔+=-⇔3cos θ=-4sin θ,为减少计算量,可将选项代入验证,可知B 选项成立,故选B .3.D 依题意知向量a b λ+与-2共线,设a b λ+k =(-2),则有)()21(=++-k k λ,所以⎩⎨⎧=+=-021λk k ,解得5.0=k ,选D .4.解选B .设(),()b x y x y =≠,则依题意有1,y =+=1,2x y ⎧=⎪⎪⎨⎪=⎪⎩ 5.解析:利用向量数量积121(1,2,3,4,5,6)i PP PP i的几何意义:数量积121i PP PP 等于12P P 的长度12PP 与1i PP在12P P 的标的目的上的投影1121cos ,i i PP PP PP 的乘积.显然由图可知13P P 在12P P 标的目的上的投影最大.所以应选(A). 6.B(),,AD AB OD OA OB OA λλ=∴-=-即得()()11,OD OA OB a b λλλλ=-+=-+又OD 是AB 边上的高,0OD AB ∴⋅=即()()()0,10OD OB OA a b b a λλ⋅-=∴-+⋅-=⎡⎤⎣⎦,整理可得()2(),b a a a b λ-=⋅-即得()2a ab a bλ⋅-=-,故选B . 7.A 设P 点坐标为),(y x ,则),(y x =.由01OP OM ≤⋅≤,01OP ON ≤⋅≤得⎩⎨⎧≤≤≤+≤10220y y x ,在平面直角坐标系中画出该二元一次不等式组暗示的平面区域即可,选A . 8.A 要经过平移获得奇函数g(x),应将函数f(x)=tan(2x+3π)+1的图象向下平移1个单位,再向右平移)(62Z k k ∈+-ππ个单位.即应按照向量))(1,62(Z k k a ∈-+-=ππ进行平移.要使|a|最小,应取a=(,16π-),故选A .9.B 由0a b c ++=得)(b a c +-=,两边平方得1222cos ||||2||||||θb a b a c ++=,将||3a =,||4b =,||5c =代入得0cos 1=θ,所以0190=θ;同理,由0a b c ++=得)(b c a +-=,可得54cos 2-=θ,53cos 3-=θ,所以132θθθ<<.10.B由已知得1||=b ,所以4||22=+=n m a ,因此)sin(sin cos 22ϕθθθ++=+=⋅n m n m 4)sin(4≤+=ϕθ,由于2λ<⋅恒成立,所以42>λ,解得2>λ或2-<λ.11.答案B ∵ 1OA =,3OB =,0OA OB ⋅=∴△ABC 为直角三角形,其中1142AC AB == ∴11()44OC OA AC OA AB OA OB OA =+=+=+-∴31,44m n == 即3mn= 故本题的答案为B .12.答案B 取特殊值、数形结合在ABC ∆中, 90oC ∠=,不妨取A (0,1), C (0,0),B (0,1),则∵2121AB x x y y =-+- ∴ 1AC = 、1BC =、|10||01|2AB =-+-= 此时222AC CB +=、24AB = 、222AC CB AB +≠;AC CB AB +=即命题②、③是错误的.设如图所示共线三点11(,)A x y ,22(,)B x y ,33(,)C x y ,则1313||||||||||||AC x x y y AC CC ''-+-=+==||||||||AB B C C C C C ''''''''+++=||||||||AB B B BC C C ''''''+++1212||||||||||||AB x x y y AB BB ''=-+-=+ 2323||||||||||||BC x x y y BC C C ''''=-+-=+∴ AC CB AB += 即命题①是正确的. 综上所述,真命题的个数1个,故本题的答案为B . 13.解:343A =3()AN NC AN C a b ==+由得,12AM a b=+,所以3111()()4244MN a b a b a b =+-+=-+.AC 'CBB 'C ''C14.2222=-y x 设),(y x M ,则),(y x =,又)1,1(),1,2(-=-=,所以由OM mOA nOB =+得),(),2(),(n n m m y x -+-=,于是⎩⎨⎧+-=-=nm y n m x 2,由2222m n -=消去m, n得M 的轨迹方程为:2222=-y x .15.2- 如图,设x AO =,则x OM -=2,所以OM OA ⋅⋅-22)1(242)2(222--=-=--x x x x x ,故当1=x 时,OM mOA nOB =+取最小值-2.16.21≠m 因为)3,5(),3,6(),4,3(m m ---=-=-=,所以),1(),1,3(m m ---==.由于点A 、B 、C 能构成三角形,所以与不共线,而当与共线时,有mm -=--113,解得21=m ,故当点A 、B 、C 能构成三角形时实数m 满足的条件是21≠m .17.解析:(1)若a 与b 平行,则有2sin 12cos sin 1⋅-=⋅x x x ,因为]2,0(π∈x ,0sin ≠x ,所以得22cos -=x ,这与1|2cos |≤x 相矛盾,故a 与b 不能平行.(2)由于x f ⋅=)(xx x x x x x x x sin 1sin 2sin sin 21sin 2cos 2sin 2cos sin 22+=+=-=-+=,又因为]3,0(π∈x ,所以]23,0(sin ∈x , 于是22sin 1sin 22sin 1sin 2=⋅≥+x x x x ,当xx sin 1sin 2=,即22sin =x 时取等号.故函数)(x f 的最小值等于22. 18.解:(Ⅰ)由题意得,f(x)=a·(b+c)=(sinx,-cosx)·(sinx -cosx,sinx -3cosx)=sin 2x -2sinxcosx+3cos 2x =2+cos2x -sin2x =2+2sin(2x+43π). 所以,f(x)的最大值为2+2,最小正周期是22π=π. (Ⅱ)由sin(2x+43π)=0得2x+43π=k.π,即x =832ππ-k ,k ∈Z ,于是d =(832ππ-k ,-2),,4)832(2+-=ππk d k ∈Z. 因为k 为整数,要使d 最小,则只有k =1,此时d =(―8π,―2)即为所求.19.解:(Ⅰ)由已知条件,直线l的方程为y kx =+代入椭圆方程得22(12x kx +=.整理得221102k x ⎛⎫+++=⎪⎝⎭① 直线l 与椭圆有两个分歧的交点P 和Q 等价于2221844202k k k ⎛⎫∆=-+=->⎪⎝⎭,解得2k <-或2k >.即k的取值范围为222⎛⎛⎫--+ ⎪ ⎪⎝⎭⎝⎭,,∞∞.(Ⅱ)设1122()()P x y Q x y ,,,,则1212()OP OQ x x y y +=++,, 由方程①,12x x +=. ②又1212()y yk x x +=++ ③而(01)(AB AB =-,,. 所以OP OQ +与AB共线等价于1212)x x y y+=+,将②③代入上式,解得2k =. 由(Ⅰ)知2k <-或2k >,故没有符合题意的常数k . 20.解:(Ⅰ)由已知得:222,2 4.AB AC AB AB AC AC ⎧⋅=⎪⎨-⋅+=⎪⎩因此,228AB AC +=. (Ⅱ)2cos AB AC A AB ACAB AC⋅==⋅⋅, 1sin 2ABC S AB AC A =⋅△ 11cos 2AB AC =⋅- 22222cos AB AC AB AC ⋅-⋅224AB AC =⋅-222AB AC ⎫+⎪≤=.(当且仅当2AB AC ==时,取等号),当ABC △1cos 2AB AC A AB AC⋅==⋅,所以3π=∠A . 解:(I )由条件知: 0a b =≠且2222(2)444a b a b a b b +=++=42b a -=⋅, 设a b 和夹角为θ,则41||||cos -==b a θ,∴1cos 4arc θπ=-,故a b 和的夹角为1cos 4arc π- ,(Ⅱ)令)a a b -和(的夹角为β 22221102222a b a b a b a a a -=+-=+= , ∴41021cos 222=+===β∴ )a a b -和(的夹角为. 21.解析:如图,(Ⅰ)设D(x 0,y 0),E(x E ,y E ),M(x ,y).由AD →=tAB →, BE → = t BC →,知(x D -2,y D -1)=t(-2,-2). ∴⎩⎨⎧x D =-2t+2y D =-2t+1 同理 ⎩⎨⎧x E =-2ty E =2t -1.∴k DE = y E -y D x E -x D = 2t -1-(-2t+1)-2t -(-2t+2)= 1-2t. ∴t ∈[0,1] , ∴k DE ∈[-1,1].(Ⅱ) 如图, OD →=OA →+AD → = OA →+ tAB →= OA →+ t(OB →-OA →) = (1-t) OA →+tOB →,OE →=OB →+BE → = OB →+tBC → = OB →+t(OC →-OB →) =(1-t) OB →+tOC →,OM → = OD →+DM →= OD →+ tDE →= OD →+t(OE →-OD →)=(1-t) OD →+ tOE →= (1-t 2) OA → + 2(1-t)tOB →+t 2OC →.设M 点的坐标为(x ,y),由OA →=(2,1), OB →=(0,-1), OC →=(-2,1)得 ⎩⎨⎧x=(1-t 2)·2+2(1-t)t ·0+t 2·(-2)=2(1-2t)y=(1-t)2·1+2(1-t)t ·(-1)+t 2·1=(1-2t)2 消去t 得x 2=4y, ∵t ∈[0,1], x ∈[-2,2]. 故所求轨迹方程为: x 2=4y, x ∈[-2,2]22.解析:(1)设(,)P x y ,(,)M x y ,则(,)OP x y =,(,0)OQ x =,(2,)OM OP OQ x y =+=222212,1,124x xx x x x y y y y y y ⎧==⎧⎪∴⇒+=∴+=⎨⎨=⎩⎪=⎩.第21题解法图(2)设向量OP 与OM 的夹角为α,则2222222(1)cos 31||||4x OP OM x OP OM x yα+⋅===+⋅+,令231t x =+,则cos α==≥当且仅当2t =时,即P 点坐标为(,33±±时,等号成立.OP ∴与OM 夹角的最大值是.。
高三数学一轮复习单元训练:平面向量本试卷分第Ⅰ卷(选择题)和第Ⅱ卷(非选择题)两部分.满分150分.考试时间120分钟.第Ⅰ卷(选择题 共60分)一、选择题(本大题共12个小题,每小题5分,共60分,在每小题给出的四个选项中,只有一项是符合题目要求的) 1.若()()()()b m a b a b a -+-==//2,0,3,2,1,则=m ( )A .12-B .12C .2D .2-【答案】A2.平面向量a 与b 的夹角为ο120, )0,2(-=a,1=b ,则=+b a ( )A .3B .3C .7D .7【答案】B3.已知向量(cos 75,sin 75),(cos15,sin15)a b ==o o o or r ,则a b -r r 的值为( )A .12B .3C .1D .2【答案】C4.已知A 、B 、C 是平面上不共线的三点,O 是三角形ABC 的重心,动点P 满足OP =31 (21OA +OB 21+OC 2),则点P 一定为三角形ABC 的( )A .AB 边中线的中点 B .AB 边中线的三等分点 (非重心)C .重心D .AB 边的中点【答案】B5.设O 为△ABC 的外心,且0543=++OC OB OA ,则△ABC 的内角C 的值为( )A .2πB .3πC .4πD .6π【答案】C6.若向量a=(3,m),b=(2,-1),a.b=0,则实数m 的值为( )A .32-B .32C .2D .6【答案】D7.已知ABC ∆的三个顶点A B C 、、及平面内一点P 满足:0PA PB PC ++=u u u r u u u r u u u r r,若实数λ 满足:AB AC AP λ+=u u u r u u u r u u u r,则λ的值为( )A .32 B .32C . 2D . 3【答案】D 8.已知是平面上的三个点,直线上有一点,满足,则等于( )A .B .C .D .【答案】A9.设,a b 是非零向量,则下列不等式中不恒成立的是( )A .+≤+a b a bB .-≤+a b a bC .-≤+a b a bD .≤+a a b【答案】D10.在△ABC 中,AB =5,BC =7,AC =8,则BC AB ⋅的值为( )A .79B .69C .5D .-5【答案】D 11.若向量⎪⎭⎫ ⎝⎛=⎪⎭⎫⎝⎛=31,cos ,sin ,23θθb a ,且b a //,则锐角θ等于( )A .ο15B .ο30C .ο45D .ο60【答案】C12.在平行四边形ABCD 中,BD 为一条对角线,若(2,4)AB =u u u r , BD =u u u r(-3,-5)则AC =u u u r ( )A .(-2,-4)B .(1,3)C .(3,5)D .(2,4)【答案】B第Ⅱ卷(非选择题 共90分)二、填空题(本大题共4个小题,每小题5分,共20分,把正确答案填在题中横线上)13.已知,且,则与的夹角为.【答案】14.已知向量a→=(1,2),b→=(-2,x),若(3a→+b→)∥(3a→-b→)则实数x的值为.【答案】-415.如图,在正方形中,已知,为的中点,若为正方形内(含边界)任意一点,则的最大值是。
高三数学一轮复习 第五章《平面向量》52精品练习一、选择题1.(2010·安徽)设向量a =(1,0),b =(12,12),则下列结论中正确的是( )A .|a |=|b |B .a ·b =22C .a -b 与b 垂直D .a ∥b[答案] C[解析] |a |=1,|b |=22,故A 错;a·b =12,故B 错;(a -b )·b =(12,-12)·(12,12)=14-14=0,故C 正确;∵112≠012,故D 错. 2.已知平面向量a =(1,-1),b =(-1,2),c =(3,-5),则用a ,b 表示向量c 为( ) A .2a -b B .-a +2b C .a -2bD .a +2b[答案] C[解析] 设c =x a +y b ,∴(3,-5)=(x -y ,-x +2y ),∴⎩⎪⎨⎪⎧x -y =3-x +2y =-5,解之得⎩⎪⎨⎪⎧x =1y =-2,∴c =a -2b ,故选C.3.(文)(2010·胶州三中)已知平面向量a =(1,-3),b =(4,-2),λa +b 与b 垂直,则λ等于( )A .-1B .1C .-2D .2[答案] C[解析] λa +b =(λ+4,-3λ-2),∵λa +b 与b 垂直,∴(λ+4,-3λ-2)·(4,-2)=4(λ+4)-2(-3λ-2)=10λ+20=0,∴λ=-2.(理)(2010·北京延庆县模考)已知向量a =(2,3),b =(-1,2),若m a +4b 与a -2b 共线,则m 的值为( )A.12 B .2 C .-12D .-2[答案] D[解析] m a +4b =(2m -4,3m +8),a -2b =(4,-1),∵m a +4b 与a -2b 共线, ∴2m -44=3m +8-1,∴m =-2. 4.(2010·河北省正定中学模拟)已知向量a =(2cos θ,2sin θ),b =(0,-2),θ∈⎝ ⎛⎭⎪⎫π2,π,则向量a ,b 的夹角为( )A.3π2-θ B .θ-π2C.π2+θD .θ[答案] A[解析] 解法一:由三角函数定义知a 的起点在原点时,终点落在圆x 2+y 2=4位于第二象限的部分上(∵π2<θ<π),设其终点为P ,则∠xOP =θ,∴a 与b 的夹角为3π2-θ.解法二:cos 〈a ,b 〉=a ·b |a |·|b |=-4sin θ2×2=-sin θ=cos ⎝ ⎛⎭⎪⎫3π2-θ, ∵θ∈⎝⎛⎭⎪⎫π2,π,∴3π2-θ∈⎝ ⎛⎭⎪⎫π2,π, 又〈a ,b 〉∈(0,π),∴〈a ,b 〉=3π2-θ.5.(文)已知a 、b 是平面内两个互相垂直的单位向量,若向量c 满足(a -c )·(b -c )=0,则|c |的最大值是( )A .1B .2C. 2D.22[答案] C[解析] 由(a -c )(b -c )=0得a ·b -(a +b )·c +c 2=0,即c 2=(a +b )c ,故|c |·|c |≤|a +b |·|c |,即|c |≤|a +b |=2,故选C.(理)已知O 为原点,点A 、B 的坐标分别为A (a,0)、B (0,a ),其中常数a >0,点P 在线段AB 上,且有AP →=tAB →(0≤t ≤1),则OA →·OP →的最大值为( )A .aB .2aC .3aD .a 2[答案] D[解析] ∵AP →=tAB →, ∴OP →=OA →+AP →=OA →+t (OB →-OA →) =(1-t )OA →+tOB →=(a -at ,at ) ∴OA →·OP →=a 2(1-t ), ∵0≤t ≤1,∴OA →·OP →≤a 2.6.在平行四边形ABCD 中,AE →=13AB →,AF →=14AD →,CE 与BF 相交于G 点.若AB →=a ,AD →=b ,则AG →=( )A.27a +17b B.27a +37b C.37a +17bD.47a +27b [答案] C[解析] ∵B 、G 、F 三点共线,∴AG →=λAF →+(1-λ)AB →=14λb +(1-λ)a .∵E 、G 、C 三点共线,∴AG →=μAE →+(1-μ)AC →=13μa +(1-μ)(a +b ).由平面向量基本定理得,⎩⎪⎨⎪⎧λ4=1-μ1-λ=1-23μ,∴⎩⎪⎨⎪⎧λ=47μ=67,∴AG →=37a +17b .7.(文)(2010·深圳模拟)如图,在△OAB 中,P 为线段AB 上的一点,OP →=xOA →+yOB →,且BP →=2PA →,则( )A .x =23,y =13B .x =13,y =23C .x =14,y =34D .x =34,y =14[答案] A[解析] 由题可知OP →=OB →+BP →,又BP →=2PA →,所以OP →=OB →+23BA →=OB →+23(OA →-OB →)=23OA →+13OB →,所以x =23,y =13,故选A.(理)已知A (7,1),B (1,4),直线y =12ax 与线段AB 交于C ,且AC →=2CB →,则实数a 等于( )A .2B .1 C.45D.53[答案] A[解析] 设C (x 0,y 0),则y 0=12ax 0,∴AC →=(x 0-7,12ax 0-1),CB →=(1-x 0,4-12ax 0),∵AC →=2CB →,∴⎩⎪⎨⎪⎧x 0-7=21-x 012ax 0-1=2⎝ ⎛⎭⎪⎫4-12ax 0,∴⎩⎪⎨⎪⎧x 0=3a =2.8.已知直线x +y =a 与圆x 2+y 2=4交于A 、B 两点,且|OA →+OB →|=|OA →-OB →|,其中O 为坐标原点,则实数a 的值为( )A .2B .-2C .2或-2D.6或- 6[答案] C[解析] 以OA 、OB 为边作平行四边形OACB ,则由|OA →+OB →|=|OA →-OB →|得,平行四边形OACB 为矩形,OA →⊥OB →.由图形易知直线y =-x +a 在y 轴上的截距为±2,所以选C.9.(2010·河南许昌调研)在平面直角坐标系中,O 为原点,设向量OA →=a ,OB →=b ,其中a =(3,1),b =(1,3).若OC →=λa +μb ,且0≤λ≤μ≤1,C 点的所有可能位置区域用阴影表示正确的是( )[答案] A[解析] OC →=λa +μb =(3λ+μ,λ+3μ), 令OC →=(x ,y ),则x -y =(3λ+μ)-(λ+3μ) =2(λ-μ)≤0,∴点C 对应区域在直线y =x 的上方,故选A.10.(文)(2010·重庆诊断)称d (a ,b )=|a -b |为两个向量a 、b 间的“距离”.若向量a 、b 满足;①|b |=1;②a≠b ;③对任意的t ∈R ,恒有d (a ,b )≥d (a ,t b ),则( )A .a⊥bB .a⊥(a -b )C .b⊥(a -b )D .(a +b )⊥(a -b )[答案] C[解析] 依题意得|a -t b |≥|a -b |,即(a -t b )2≥(a -b )2,亦即t 2-2t a·b +(2a·b -1)≥0对任意的t ∈R 都成立,因此有Δ=(-2a·b )2-4(2a·b -1)≤0,即(a·b -1)2≤0,故a·b -1=0,即a·b -b 2=b·(a -b )=0,故b ⊥(a -b ),选C.(理)(2010·山东)定义平面向量之间的一种运算“⊙”如下:对任意的a =(m ,n ),b =(p ,q ).令a ⊙b =mq -np ,下面说法错误的是( )A .若a 与b 共线,则a ⊙b =0B .a ⊙b =b ⊙aC .对任意的λ∈R ,有(λa )⊙b =λ(a ⊙b )D .(a ⊙b )2+(a ·b )2=|a |2|b |2[答案] B[解析] 若a ,b 共线,则mq =np ,即a⊙b =0,∵a⊙b =mq -np ,∴b⊙a =pn -mq ,故B 错误;∵λa =(λm ,λn ),∴(λa )⊙b =λmq -λnp ,又λ(a⊙b )=λmq -λnp ,∴C 正确;又(a⊙b )2+(a·b )2=(mq -np )2+(mp +nq )2=m 2(p 2+q 2)+n 2(p 2+q 2)=(m 2+n 2)(p 2+q 2)=|a |2|b |2,∴D 正确,故选B.[点评] 本题是找错误选项,而B 是指运算⊙满足交换律,显然mq -np ≠pn -qm ,故选B ,其它选项可不必讨论.二、填空题11.(2010·北京市顺义一中月考)设向量a =(1,x -1),b =(x +1,3),则“x =2”是“a ∥b ”的________条件.[答案] 充分不必要[解析] ∵x =2时,a =(1,1),b =(3,3),b =3a ,∴a ∥b ;而当a ∥b 时,1×3=(x +1)(x -1),∴x 2=4,∴x =±2,即当x =-2时,也有a ∥b ,故x =2是a ∥b 的充分不必要条件.12.(文)已知e 1与e 2是两个不共线向量,AB →=3e 1+2e 2,CB →=2e 1-5e 2,CD →=λe 1-e 2,若三点A 、B 、D 共线,则λ=________.[答案] 8[解析] ∵A 、B 、D 共线,∴AB →与BD →共线, ∴存在实数μ,使AB →=μBD →, ∵BD →=CD →-CB →=(λ-2)e 1+4e 2, ∴3e 1+2e 2=μ(λ-2)e 1+4μe 2,∴⎩⎪⎨⎪⎧μλ-2=34μ=2,∴⎩⎪⎨⎪⎧μ=12λ=8,故填8.(理)已知A (-2,3),B (3,-1),点P 在线段AB 上,且|AP ||PB |=12,则P 点坐标为________.[答案] ⎝⎛⎭⎪⎫-13,53[解析] 设P (x ,y ),则AP →=(x +2,y -3),PB →=(3-x ,-1-y ), ∵P 在线段AB 上,且|AP ||PB |=12, ∴AP →=12PB →,∴(x +2,y -3)=⎝ ⎛⎭⎪⎫3-x 2,-1-y 2,∴⎩⎪⎨⎪⎧ x +2=3-x 2y -3=-1-y2,∴⎩⎪⎨⎪⎧x =-13y =53,即P ⎝ ⎛⎭⎪⎫-13,53.13.(2010·湖北八校联考)如图,在△ABC 中,H 为BC 上异于B 、C 的任一点,M 为AH 的中点,若AM →=λAB →+μAC →,则λ+μ=________.[答案] 12[解析] M 是AH 的中点,所以AM →=12AH →=12xAB →+12(1-x )AC →.又AM =λAB →+μAC →,所以λ+μ=12x +12(1-x )=12.14.已知a =(2,-3),b =(sin α,cos2α),α∈⎝ ⎛⎭⎪⎫-π2,π2,若a ∥b ,则tan α=________.[答案] -33[解析] ∵a ∥b ,∴sin α2=cos2α-3,∴2cos2α=-3sin α,∴2sin 2α-3sin α-2=0, ∵|sin α|≤1,∴sin α=-12,∵α∈⎝ ⎛⎭⎪⎫-π2,π2,∴cos α=32,∴tan α=-33. 三、解答题15.已知△ABC 中,A (7,8),B (3,5),C (4,3),M 、N 是AB 、AC 的中点,D 是BC 的中点,MN 与AD 交于点F ,求DF →.[解析] 因为A (7,8),B (3,5)C (4,3) 所以AB →=(-4,-3),AC =(-3,-5).又因为D 是BC 的中点,有AD →=12(AB →+AC →)=(-3.5,-4),而M 、N 分别为AB 、AC 的中点,所以F 为AD 的中点,故有DF →=12DA →=-12AD →=(1.75,2).[点评] 注意向量表示的中点公式,M 是A 、B 的中点,O 是任一点,则OM →=12(OA →+OB →).16.已知O (0,0)、A (2,-1)、B (1,3)、OP →=OA →+tAB →,求 (1)t 为何值时,点P 在x 轴上?点P 在y 轴上?点P 在第四象限? (2)四点O 、A 、B 、P 能否成为平行四边形的四个顶点,说明你的理由. [解析] (1)OP →=OA →+tAB →=(t +2,3t -1). 若点P 在x 轴上,则3t -1=0,∴t =13;若点P 在y 轴上,则t +2=0,∴t =-2;若点P 在第四象限,则⎩⎪⎨⎪⎧t +2>03t -1<0,∴-2<t <13.(2)OA →=(2,-1),PB →=(-t -1,-3t +4). ∵四边形OABP 为平行四边形,∴OA →=PB →.∴⎩⎪⎨⎪⎧-t -1=2-3t +4=-1无解.∴ 四边形OABP 不可能为平行四边形.同理可知,当t =1时,四边形OAPB 为平行四边形,当t =-1时,四边形OPAB 为平行四边形.综上知,当t =±1时,四点O 、A 、B 、P 能成为平行四边形的四个顶点.17.(文)已知圆C :(x -3)2+(y -3)2=4及定点A (1,1),M 为圆C 上任意一点,点N 在线段MA 上,且MA →=2AN →,求动点N 的轨迹方程.[解析] 设N (x ,y ),M (x 0,y 0),则由MA →=2AN →得(1-x 0,1-y 0)=2(x -1,y -1),∴⎩⎪⎨⎪⎧1-x 0=2x -21-y 0=2y -2,即⎩⎪⎨⎪⎧x 0=3-2x y 0=3-2y,代入(x -3)2+(y -3)2=4,得x 2+y 2=1.[点评] 平面向量与解析几何结合是新的命题方向,解答此类问题关键是利用向量共线或垂直的关系建立点的坐标之间的关系式,然后用解析几何的方法解答.请再练习下题:已知⊙C :(x +2)2+(y -1)2=9及定点A (-1,1),M 是⊙C 上任意一点,点N 在射线AM 上,且|AM |=2|MN |,动点N 的轨迹为C ,求曲线C 的方程.解答如下:设N (x ,y ),M (x 0,y 0),∵N 在射线AM 上,且|AM |=2|MN |,∴AM →=2MN →或AM →=-2MN →,AM →=(x 0+1,y 0-1),MN →=(x -x 0,y -y 0),∴⎩⎪⎨⎪⎧x 0+1=2x -x 0y 0-1=2y -y 0或⎩⎪⎨⎪⎧x 0+1=-2x -x 0y 0-1=-2y -y 0,∴⎩⎪⎨⎪⎧x 0=132x -1y 0=132y +1或⎩⎪⎨⎪⎧x 0=2x +1y 0=2y -1,代入圆方程中得(2x +5)2+(2y -2)2=81或(2x +3)2+(2y -2)2=9.(理)(2010·湖北黄冈)已知θ是△ABC 的最大的内角.设向量a =(cos θ,sin θ),b =(sin2θ,1-cos2θ),c =(0,-1).定义f (θ)=(a +b )·c +|b |,求f (θ)的最大值.[解析] ∵θ是△ABC 的最大内角 ∴π3≤θ<π,|b |=sin 22θ+1-cos2θ2=4sin 2θ=2sin θ,∴f (θ)=(a +b )·c +|b |=(cos θ+sin2θ,sin θ+1-cos2θ)·(0,-1)+2sin θ=cos2θ-sin θ-1+2sin θ=-2sin 2θ+sin θ=-2(sin θ-14)2+18∵π3≤θ<π,∴0<sin θ≤1, 从而,当sin θ=14时,f (x )取最大值18,(此时θ=π-arcsin 14)。
高考数学一轮复习平面向量多选题专项训练练习题及答案一、平面向量多选题1.在△ABC 中,a ,b ,c 是角A ,B ,C 的对边,已知A =3π,a =7,则以下判断正确的是( )A .△ABC 的外接圆面积是493π; B .b cos C +c cos B =7; C .b +c 可能等于16;D .作A 关于BC 的对称点A ′,则|AA ′|的最大值是 答案:ABD【分析】根据题目可知,利用正弦定理与三角恒等变换逐个分析即可判断每个选项的正误.【详解】对于A ,设的外接圆半径为,根据正弦定理,可得,所以的外接圆面积是,故A 正确;对于B ,根据正弦定解析:ABD【分析】根据题目可知,利用正弦定理与三角恒等变换逐个分析即可判断每个选项的正误.【详解】对于A ,设ABC 的外接圆半径为R ,根据正弦定理2sin a R A =,可得R =ABC 的外接圆面积是2493S R ππ==,故A 正确; 对于B ,根据正弦定理,利用边化角的方法,结合A B C π++=,可将原式化为2sin cos 2sin cos 2sin()2sin R B C R C B R B C R A a +=+==,故B 正确.对于C ,22(sin sin )2[sin sin()]3b c R B C R B B π+=+=+-114(cos )14sin()23B B B π=+=+ 14b c ∴+≤,故C 错误.对于D ,设A 到直线BC 的距离为d ,根据面积公式可得11sin 22ad bc A =,即sin bc A da=,再根据①中的结论,可得d =D 正确. 故选:ABD.【点睛】本题是考查三角恒等变换与解三角形结合的综合题,解题时应熟练掌握运用三角函数的性质、诱导公式以及正余弦定理、面积公式等.2.ABC 是边长为2的等边三角形,已知向量a ,b 满足2AB a =,2AC a b =+,则下列结论正确的是( )A .a 是单位向量B .//BC b C .1a b ⋅=D .()4BC a b ⊥+ 答案:ABD【分析】A. 根据是边长为2的等边三角形和判断;B.根据,,利用平面向量的减法运算得到判断;C. 根据,利用数量积运算判断;D. 根据, ,利用数量积运算判断.【详解】A. 因为是边长解析:ABD【分析】A. 根据ABC 是边长为2的等边三角形和2AB a =判断;B.根据2AB a =,2AC a b =+,利用平面向量的减法运算得到BC 判断;C. 根据1,2a ABb BC ==,利用数量积运算判断;D. 根据b BC =, 1a b ⋅=-,利用数量积运算判断.【详解】A. 因为ABC 是边长为2的等边三角形,所以2AB =,又2AB a =,所以 a 是单位向量,故正确;B. 因为2AB a =,2AC a b =+,所以BC AC AB b =-=,所以//BC b ,故正确;C. 因为1,2a AB b BC ==,所以1122cos120122a b BC AB ⋅=⋅=⨯⨯⨯︒=-,故错误; D. 因为b BC =, 1a b ⋅=-,所以()()2444440BC a b b a b a b b ⋅+=⋅+=⋅+=-+=,所以()4BC a b ⊥+,故正确.故选:ABD【点睛】本题主要考查平面向量的概念,线性运算以及数量积运算,还考查了运算求解的能力,属于中档题.3.设a ,b ,c 是任意的非零向量,且它们相互不共线,给出下列选项,其中正确的有( )A .()a c b c a b c ⋅-⋅=-⋅B .()()b c a c a b ⋅⋅-⋅⋅与c 不垂直C .a b a b -<-D .()()22323294a b a b a b +⋅-=- 答案:ACD【分析】 A ,由平面向量数量积的运算律可判断;B ,由平面向量垂直的条件、数量积的运算律可判断;C ,由与不共线,可分两类考虑:①若,则显然成立;②若,由、、构成三角形的三边可进行判断;D ,由平解析:ACD【分析】A ,由平面向量数量积的运算律可判断;B ,由平面向量垂直的条件、数量积的运算律可判断;C ,由a 与b 不共线,可分两类考虑:①若a b ≤,则a b a b -<-显然成立;②若a b >,由a 、b 、a b -构成三角形的三边可进行判断;D ,由平面向量的混合运算将式子进行展开即可得解.【详解】选项A ,由平面向量数量积的运算律,可知A 正确;选项B ,()()()()()()()()0b c a c a b c b c a c c a b c b c a c b c c a ⎡⎤⋅⋅-⋅⋅⋅=⋅⋅⋅-⋅⋅⋅=⋅⋅⋅-⋅⋅⋅=⎣⎦, ∴()()b c a c a b ⋅⋅-⋅⋅与c 垂直,即B 错误;选项C ,∵a 与b 不共线,∴若a b ≤,则a b a b -<-显然成立; 若a b >,由平面向量的减法法则可作出如下图形:由三角形两边之差小于第三边,可得a b a b -<-.故C 正确;选项D ,()()22223232966494a b a b a a b a b b a b +⋅-=-⋅+⋅-=-,即D 正确.故选:ACD【点睛】本小题主要考查向量运算,属于中档题.4.在ABC 中,内角A 、B 、C 所对的边分别为a 、b 、c ,不解三角形,确定下列判断错误的是( )A .B =60°,c =4,b =5,有两解B .B =60°,c =4,b =3.9,有一解C .B =60°,c =4,b =3,有一解D .B =60°,c =4,b =2,无解答案:ABC【分析】根据判断三角形解的个数的结论:若为锐角,当时,三角形有唯一解;当时,三角形有两解;当时,三角形无解:当时,三角形有唯一解.逐个判断即可得解.【详解】对于,因为为锐角且,所以三角解析:ABC【分析】根据判断三角形解的个数的结论:若B 为锐角,当c b <时,三角形有唯一解;当sin c B b c <<时,三角形有两解;当sin c B b >时,三角形无解:当sin c B b =时,三角形有唯一解.逐个判断即可得解.【详解】对于A ,因为B 为锐角且45c b =<=,所以三角形ABC 有唯一解,故A 错误;对于B ,因为B 为锐角且sin 4 3.92c B b c =⨯=<=<,所以三角形ABC 有两解,故B 错误;对于C ,因为B 为锐角且 sin 43c B b ==>=,所以三角形ABC 无解,故C 错误;对于D ,因为B 为锐角且sin 42c B b ==>=,所以三角形ABC 无解,故D 正确.故选:ABC.【点睛】本题考查了判断三角形解的个数的方法,属于基础题.5.在△ABC 中,角A ,B ,C 所对边分别为a ,b ,c ,b =15,c =16,B =60°,则a 边为( )A .B .C .8D .答案:AC【分析】利用余弦定理:即可求解.【详解】在△ABC 中,b =15,c =16,B =60°,由余弦定理:,即,解得.故选:AC【点睛】本题考查了余弦定理解三角形,需熟记定理,考查了基解析:AC【分析】利用余弦定理:2222cos b a c ac B =+-即可求解.【详解】在△ABC 中,b =15,c =16,B =60°,由余弦定理:2222cos b a c ac B =+-,即216310a a -+=,解得8a =故选:AC【点睛】本题考查了余弦定理解三角形,需熟记定理,考查了基本运算,属于基础题.6.下列关于平面向量的说法中正确的是( )A .已知A 、B 、C 是平面中三点,若,AB AC 不能构成该平面的基底,则A 、B 、C 共线 B .若a b b c ⋅=⋅且0b ≠,则a c =C .若点G 为ΔABC 的重心,则0GA GB GC ++=D .已知()12a =-,,()2,b λ=,若a ,b 的夹角为锐角,则实数λ的取值范围为1λ< 答案:AC【分析】根据平面向量基本定理判断A ;由数量积的性质可判断;由向量的中点表示和三角形的重心性质可判断,由数量积及平面向量共线定理判断D .【详解】解:因为不能构成该平面的基底,所以,又有公共解析:AC【分析】根据平面向量基本定理判断A ;由数量积的性质可判断B ;由向量的中点表示和三角形的重心性质可判断C ,由数量积及平面向量共线定理判断D .【详解】解:因为,AB AC 不能构成该平面的基底,所以//AB AC ,又,AB AC 有公共点A ,所以A 、B 、C 共线,即A 正确;由平面向量的数量积可知,若a b b c =,则||||cos ,||||cos ,a b a b b c b c <>=<>,所以||cos ,||cos ,a a b c b c <>=<>,无法得到a c =,即B 不正确;设线段AB 的中点为M ,若点G 为ABC ∆的重心,则2GA GB GM +=,而2GC GM =-,所以0GA GB GC ++=,即C 正确;()12a =-,,()2,b λ=,若a ,b 的夹角为锐角,则220a b λ=⋅->解得1λ<,且a 与b 不能共线,即4λ≠-,所以()(),44,1λ∈-∞--,故D 错误; 故选:AC .【点睛】本题考查向量共线定理和向量数量积的性质和向量的加减运算,属于中档题.7.如图,在平行四边形ABCD 中,,E F 分别为线段,AD CD 的中点,AFCE G =,则( )A .12AF AD AB =+B .1()2EF AD AB =+C .2133AG AD AB =- D .3BG GD =答案:AB【分析】由向量的线性运算,结合其几何应用求得、、、,即可判断选项的正误【详解】,即A 正确,即B 正确连接AC ,知G 是△ADC 的中线交点, 如下图示由其性质有∴,即C 错误同理,解析:AB【分析】 由向量的线性运算,结合其几何应用求得12AF AD AB =+、1()2EF AD AB =+、2133AG AD AB =+、2BG GD =,即可判断选项的正误 【详解】 1122AF AD DF AD DC AD AB =+=+=+,即A 正确 11()()22EF ED DF AD DC AD AB =+=+=+,即B 正确 连接AC ,知G 是△ADC 的中线交点, 如下图示由其性质有||||1||||2GF GE AG CG == ∴211121()333333AG AE AC AD AB BC AD AB =+=++=+,即C 错误 同理21212()()33333BG BF BA BC CF BA AD AB =+=++=- 211()333DG DF DA AB DA =+=+,即1()3GD AD AB =- ∴2BG GD =,即D 错误故选:AB【点睛】本题考查了向量线性运算及其几何应用,其中结合了中线的性质:三角形中线的交点分中线为1:2,以及利用三点共线时,线外一点与三点的连线所得向量的线性关系8.在△ABC 中,AB =AC ,BC =4,D 为BC 的中点,则以下结论正确的是( ) A .BD AD AB -=B .1()2AD AB AC =+ C .8BA BC ⋅=D .AB AC AB AC +=-答案:BC【分析】根据向量的加法和减法运算,以及向量的数量积运算可选项.【详解】对于A 选项:,故A 错;对于 B 选项:因为D 为BC 的中点,,故B 正确;对于C 选项:,故正确;对于D 选项:,而,故解析:BC【分析】根据向量的加法和减法运算,以及向量的数量积运算可选项.【详解】对于A 选项:BD AD BD DA BA -=+=,故A 错;对于 B 选项:因为D 为BC 的中点,()111++++()222AD AB BD AB BC AB BA AC AB AC ====+,故B 正确; 对于C 选项:cos 248BD BA BC BA BC B BA BC BA ⋅=⋅⋅∠=⋅⋅=⨯=,故正确;对于D 选项:2,AB AC AD AB AC CB +=-=,而2AD CB ≠,故D 不正确. 故选:BC.【点睛】本题考查向量的线性运算和向量的数量积运算,属于基础题.9.在ABC 中,15a =,20b =,30A =,则cos B =( )A .B .23C .23-D .3答案:AD【分析】利用正弦定理可求得的值,再利用同角三角函数的平方关系可求得的值.【详解】由正弦定理,可得,,则,所以,为锐角或钝角.因此,.故选:AD.【点睛】本题考查利用正弦定理与同解析:AD【分析】利用正弦定理可求得sin B 的值,再利用同角三角函数的平方关系可求得cos B 的值.【详解】由正弦定理sin sin b a B A =,可得120sin 22sin 153b A B a ⨯===, b a >,则30B A >=,所以,B 为锐角或钝角.因此,cos B ==. 故选:AD.【点睛】本题考查利用正弦定理与同角三角函数的基本关系求值,考查计算能力,属于基础题.10.下列命题中,结论正确的有( )A .00a ⨯=B .若a b ⊥,则||||a b a b +=-C .若//AB CD ,则A 、B 、C 、D 四点共线;D .在四边形ABCD 中,若0AB CD +=,0AC BD ⋅=,则四边形ABCD 为菱形. 答案:BD【分析】根据平面向量的数量积及平行向量共线定理判断可得;【详解】解:对于A ,,故A 错误;对于B ,若,则,所以,,故,即B 正确;对于C ,,则或与共线,故C 错误;对于D ,在四边形中,若解析:BD【分析】根据平面向量的数量积及平行向量共线定理判断可得;【详解】解:对于A ,00a ⨯=,故A 错误;对于B ,若a b ⊥,则0a b ⋅=,所以2222||2a b a b a b a b +=++⋅=+,2222||2a b a b a b a b -=+-⋅=+,故||||a b a b +=-,即B 正确;对于C ,//AB CD ,则//AB CD 或AB 与CD 共线,故C 错误;对于D ,在四边形ABCD 中,若0AB CD +=,即AB DC =,所以四边形ABCD 是平行四边形,又0AC BD ⋅=,所以AC BD ⊥,所以四边形ABCD 是菱形,故D 正确; 故选:BD【点睛】本题考查平行向量的数量积及共线定理的应用,属于基础题.11.有下列说法,其中错误的说法为( ).A .若a ∥b ,b ∥c ,则a ∥cB .若PA PB PB PC PC PA ⋅=⋅=⋅,则P 是三角形ABC 的垂心C .两个非零向量a ,b ,若a b a b -=+,则a 与b 共线且反向D .若a ∥b ,则存在唯一实数λ使得a b λ=答案:AD【分析】 分别对所给选项进行逐一判断即可.【详解】对于选项A ,当时,与不一定共线,故A 错误;对于选项B ,由,得,所以,,同理,,故是三角形的垂心,所以B 正确; 对于选项C ,两个非零向量解析:AD 【分析】分别对所给选项进行逐一判断即可. 【详解】对于选项A ,当0b =时,a 与c 不一定共线,故A 错误;对于选项B ,由PA PB PB PC ⋅=⋅,得0PB CA ⋅=,所以PB CA ⊥,PB CA ⊥, 同理PA CB ⊥,PC BA ⊥,故P 是三角形ABC 的垂心,所以B 正确;对于选项C ,两个非零向量a ,b ,若a b a b -=+,则a 与b 共线且反向,故C 正确;对于选项D ,当0b =,0a ≠时,显然有a ∥b ,但此时λ不存在,故D 错误. 故选:AD【点睛】本题考查与向量有关的命题的真假的判断,考查学生对基本概念、定理的掌握,是一道容易题. 12.在ABCD 中,设AB a =,AD b =,AC c =,BD d =,则下列等式中成立的是( ) A .a b c += B .a d b += C .b d a += D .a b c += 答案:ABD【分析】根据平行四边形及向量的加法法则即可判断.【详解】由向量加法的平行四边形法则,知成立, 故也成立;由向量加法的三角形法则,知成立,不成立. 故选:ABD 【点睛】 本题主要考查解析:ABD 【分析】根据平行四边形及向量的加法法则即可判断. 【详解】由向量加法的平行四边形法则,知a b c +=成立, 故a b c +=也成立;由向量加法的三角形法则,知a d b +=成立,b d a +=不成立. 故选:ABD 【点睛】本题主要考查了向量加法的运算,数形结合,属于容易题. 13.已知实数m ,n 和向量a ,b ,下列说法中正确的是( ) A .()m a b ma mb -=- B .()m n a ma na -=-C .若ma mb =,则a b =D .若()0ma na a =≠,则m n =答案:ABD 【分析】根据向量数乘运算判断AB 选项的正确性,通过的特殊情况判断C 选项的正确性,根据向量运算判断D 选项的正确性. 【详解】根据向量数乘的运算可知A 和B 正确;C 中,当时,,但与不一定相等,解析:ABD 【分析】根据向量数乘运算判断AB 选项的正确性,通过m 的特殊情况判断C 选项的正确性,根据向量运算判断D 选项的正确性. 【详解】根据向量数乘的运算可知A 和B 正确;C 中,当0m =时,0ma mb ==,但a 与b 不一定相等,故C 不正确;D 中,由ma na =,得()0m n a -=,因为0a ≠,所以m n =,故D 正确. 故选:ABD 【点睛】本小题主要考查向量数乘运算,属于基础题. 14.下列说法中错误的是( )A .向量AB 与CD 是共线向量,则A ,B ,C ,D 四点必在一条直线上 B .零向量与零向量共线 C .若,a b b c ==,则a c =D .温度含零上温度和零下温度,所以温度是向量答案:AD 【分析】利用零向量,平行向量和共线向量的定义,判断各个选项是否正确,从而得出结论. 【详解】向量与是共线向量,则A ,B ,C ,D 四点不一定在一条直线上,故A 错误; 零向量与任一向量共线,故B解析:AD 【分析】利用零向量,平行向量和共线向量的定义,判断各个选项是否正确,从而得出结论. 【详解】向量AB 与CD 是共线向量,则A ,B ,C ,D 四点不一定在一条直线上,故A 错误; 零向量与任一向量共线,故B 正确; 若,a b b c ==,则a c =,故C 正确; 温度是数量,只有正负,没有方向,故D 错误. 故选:AD 【点睛】本题考查零向量、单位向量的定义,平行向量和共线向量的定义,属于基础题.15.题目文件丢失!二、平面向量及其应用选择题16.已知ABC 中,1,30a b A ︒===,则B 等于( ) A .60° B .120°C .30°或150°D .60°或120°解析:D 【分析】由正弦定理可得,sin B =,根据b a >,可得B 角的大小. 【详解】由正弦定理可得,sin sin 2b A B a ==,又0,,π<<>∴>B b a B A ,60︒∴=B 或120B =. 故选:D 【点睛】本题考查了正弦定理的应用,考查了运算求解能力和逻辑推理能力,属于基础题目.17.已知点O 是ABC ∆内一点,满足2OA OB mOC +=,47AOB ABC S S ∆∆=,则实数m 为( ) A .2 B .-2C .4D .-4解析:D 【分析】将已知向量关系变为:12333m OA OB OC +=,可得到3mOC OD =且,,A B D 共线;由AOB ABC O S S DCD∆∆=和,OC OD 反向共线,可构造关于m 的方程,求解得到结果. 【详解】由2OA OB mOC +=得:12333mOA OB OC += 设3m OC OD =,则1233OA OB OD += ,,A B D ∴三点共线 如下图所示:OC 与OD 反向共线 3OD mm CD∴=- 734AOB ABC OD m m C S S D ∆∆∴==-= 4m ⇒=- 本题正确选项:D 【点睛】本题考查向量的线性运算性质及向量的几何意义,关键是通过向量线性运算关系得到三点共线的结果,从而得到向量模长之间的关系.18.如图,在ABC 中,点D 在线段BC 上,且满足12BD DC =,过点D 的直线分别交直线AB ,AC 于不同的两点M ,N 若AM mAB =,AN nAC =,则( )A .m n +是定值,定值为2B .2m n +是定值,定值为3C .11m n +是定值,定值为2 D .21m n+是定值,定值为3 解析:D 【分析】过点C 作CE 平行于MN 交AB 于点E ,结合题设条件和三角形相似可得出21312AM n nn AB n n ==--+,再根据AM mAB =可得231n m n =-,整理可得213m n+=,最后选出正确答案即可. 【详解】如图,过点C 作CE 平行于MN 交AB 于点E ,由AN nAC =可得1AC AN n =,所以11AE AC EM CN n ==-,由12BD DC =可得12BM ME =,所以21312AM n nn AB n n ==--+,因为AM mAB =,所以231nm n =-,整理可得213m n+=.故选:D . 【点睛】本题考查向量共线的应用,考查逻辑思维能力和运算求解能力,属于常考题. 19.在锐角三角形ABC 中,角A ,B ,C 的对边分别为a ,b ,c ,若()()(23)a b c a c b ac +++-=,则cos sin A C +的取值范围为A .33()2 B .3(3) C .3(3]2D .3(3)2解析:A 【分析】先化简已知()()(2a b c a c b ac +++-=+得6B π=,再化简cos sin A C+)3A π+,利用三角函数的图像和性质求其范围.【详解】由()()(2a b c a c b ac +++-=可得22()(2a c b ac +-=,即222a cb +-=,所以222cos 22a cb B ac +-==,所以6B π=,56C A π=-,所以5cos sin cos sin()6A C A A π+=+-553cos sin cos cos sin cos )66223A A A A A A πππ=+-=+=+,又02A π<<,506A π<-2π<,所以32A ππ<<,所以25336A πππ<+<,所以3)62A π<+<,故cos sin A C +的取值范围为3)2.故选A .【点睛】(1)本题主要考查余弦定理解三角形,考查三角恒等变换和三角函数的图像和性质,意在考查学生对这些知识的掌握水平和分析推理能力.(2)利用函数的思想研究数学问题,一定要注意“定义域优先”的原则,所以本题一定要准确计算出A 的范围32A ππ<<,不是02A π<<.20.已知M (3,-2),N (-5,-1),且12MP MN =,则P 点的坐标为( ) A .(-8,1) B .31,2⎛⎫-- ⎪⎝⎭C .31,2⎛⎫ ⎪⎝⎭D .(8,-1)解析:B 【分析】由向量相等的坐标表示,列方程组求解即可. 【详解】解:设P(x ,y ),则MP = (x -3,y +2),而12MN =12(-8,1)=14,2⎛⎫- ⎪⎝⎭, 所以34122x y -=-⎧⎪⎨+=⎪⎩,解得132x y =-⎧⎪⎨=-⎪⎩,即31,2P ⎛⎫-- ⎪⎝⎭,故选B.【点睛】本题考查了平面向量的坐标运算,属基础题.21.在ABC 中,内角,,A B C 的对边分别是,,a b c ,若222sin sin sin 0A B C +-=,2220a c b ac +--=,2c =,则a =( )A 3B .1C .12D 3解析:B 【分析】先根据正弦定理化边得C 为直角,再根据余弦定理得角B ,最后根据直角三角形解得a. 【详解】因为222sin sin sin 0A B C +-=,所以222b c 0a +-=, C 为直角,因为2220a c b ac +--=,所以2221cosB ,223a cb B ac π+-===,因此13a ccos π==选B.【点睛】解三角形问题,多为边和角的求值问题,这就需要根据正、余弦定理结合已知条件灵活转化边和角之间的关系,从而达到解决问题的目的. 22.在ABC ∆中,6013ABC A b S ∆∠=︒=,,,则2sin 2sin sin a b cA B C-+-+的值等于( )A .2393 B 2633C 833D .23解析:A 【解析】分析:先利用三角形的面积公式求得c 的值,进而利用余弦定理求得a ,再利用正弦定理求解即可.详解:由题意,在ABC ∆中, 利用三角形的面积公式可得011sin 1sin 60322ABC S bc A c ∆==⨯⨯⨯= 解得4c =,又由余弦定理得22212cos 116214132a b c bc A =+-=+-⨯⨯⨯=,解得13a = 由正弦定理得213239sin 2sin sin sin 33a b c a A B C A -+===-+,故选A. 点睛:本题主要考查了利用正弦定理和三角函数的恒等变换求解三角形问题,对于解三角形问题,通常利用正弦定理进行“边转角”寻求角的关系,利用“角转边”寻求边的关系,利用余弦定理借助三边关系求角,利用两角和差公式及二倍角公式求三角函数值. 利用正、余弦定理解三角形问题是高考高频考点,经常利用三角形内角和定理,三角形面积公式,结合正、余弦定理解题.23.在ABC ∆中||||AB AC AB AC +=-,3,4,AB AC ==则BC 在CA 方向上的投影为( ). A .4 B .3C .-4D .5解析:C 【分析】先对等式AB AC AB AC +=-两边平方得出AB AC ⊥,并计算出BC CA ⋅,然后利用投影的定义求出BC 在CA 方向上的投影. 【详解】对等式AB AC AB AC +=-两边平方得,222222AB AC AB AC AB AC AB AC ++⋅=+-⋅,整理得,0AB AC ⋅=,则AB AC ⊥,()216BC CA AC AB CA AC CA AB CA AC ∴⋅=-⋅=⋅-⋅=-=-,设向量BC 与CA 的夹角为θ,所以,BC 在CA 方向上的投影为16cos 44BC CA BC CA BC BC BC CACAθ⋅⋅-⋅=⋅===-⋅, 故选C . 【点睛】本题考查平面向量投影的概念,解本题的关键在于将题中有关向量模的等式平方,这也是向量求模的常用解法,考查计算能力与定义的理解,属于中等题.24.著名数学家欧拉提出了如下定理:三角形的外心、重心、垂心依次位于同一直线上,且重心到外心的距离是重心到垂心距离的一半.此直线被称为三角形的欧拉线,该定理则被称为欧拉线定理.设点O ,H 分别是△ABC 的外心、垂心,且M 为BC 中点,则 ( )A .33AB AC HM MO +=+ B .33AB AC HM MO +=- C .24AB AC HM MO +=+D .24AB AC HM MO +=-解析:D 【分析】构造符合题意的特殊三角形(例如直角三角形),然后利用平面向量的线性运算法则进行计算即可得解. 【详解】解:如图所示的Rt ABC ∆,其中角B 为直角,则垂心H 与B 重合,O 为ABC ∆的外心,OA OC ∴=,即O 为斜边AC 的中点,又M 为BC 中点,∴2AH OM =,M 为BC 中点,∴22()2(2)AB AC AM AH HM OM HM +==+=+.4224OM HM HM MO =+=-故选:D . 【点睛】本题考查平面向量的线性运算,以及三角形的三心问题,同时考查学生分析问题的能力和推理论证能力.25.如图,测量河对岸的塔高AB 时,选与塔底B 在同一水平面内的两个测点C 与D .现测得15BCD ∠=︒,45BDC ∠=︒,302CD m =,并在点C 测得塔顶A 的仰角为30,则塔高AB 为( )A .302mB .203mC .60mD .20m解析:D 【分析】由正弦定理确定BC 的长,再tan30AB BC 求出AB .【详解】15BCD ∠=︒,45BDC ∠=︒120CBD由正弦定理得:302sin120sin 45BC302sin 45203sin120BC3tan30203203AB BC故选D 【点睛】本题是正弦定理的实际应用,关键是利用正弦定理求出BC ,属于基础题. 26.下列说法中说法正确的有( )①零向量与任一向量平行;②若//a b ,则()a b R λλ=∈;③()()a b c a b c ⋅⋅=⋅⋅④||||||a b a b +≥+;⑤若0AB BC CA ++=,则A ,B ,C 为一个三角形的三个顶点;⑥一个平面内只有一对不共线的向量可作为表示该平面内所有向量的基底; A .①④ B .①②④C .①②⑤D .③⑥解析:A 【分析】直接利用向量的基础知识的应用求出结果. 【详解】对于①:零向量与任一向量平行,故①正确;对于②:若//a b ,则()a b R λλ=∈,必须有0b ≠,故②错误; 对于③:()()a b c a b c ⋅⋅=⋅⋅,a 与c 不共线,故③错误; 对于④:a b a b +≥+,根据三角不等式的应用,故④正确;对于⑤:若0AB BC CA ++=,则,,A B C 为一个三角形的三个顶点,也可为0,故⑤错误;对于⑥:一个平面内,任意一对不共线的向量都可以作为该平面内所有向量的基底,故⑥错误. 综上:①④正确. 故选:A. 【点睛】本题考查的知识要点:向量的运算的应用以及相关的基础知识,主要考察学生的运算能力和转换能力,属于基础题.27.在ABC 中,内角A ,B ,C 所对的边分别为a ,b ,c ,且cos sin a B b A c +=.若2a =,ABC 的面积为1),则b c +=( )A .5B .C .4D .16解析:C 【分析】根据正弦定理边化角以及三角函数公式可得4A π=,再根据面积公式可求得6(2bc =,再代入余弦定理求解即可. 【详解】ABC 中,cos sin a B b A c +=,由正弦定理得sin cos sin sin sin A B B A C +=,又sin sin()sin cos cos sin C A B A B A B =+=+,∴sin sin cos sin B A A B =,又sin 0B ≠,∴sin A cos A =,∴tan 1A =,又(0,)A π∈,∴4A π=.∵1sin 1)24ABCSbc A ===-,∴bc =6(2-,∵2a =,∴由余弦定理可得22()22cos a b c bc bc A =+--,∴2()4(2b c bc +=++4(26(216=+⨯=,可得4b c +=. 故选:C 【点睛】本题主要考查了解三角形中正余弦定理与面积公式的运用,属于中档题. 28.若△ABC 中,2sin()sin()sin A B A B C +-=,则此三角形的形状是( ) A .直角三角形 B .等腰三角形C .等边三角形D .等腰直角三角形解析:A 【分析】已知等式左边第一项利用诱导公式化简,根据sin C 不为0得到sin()sin A B C -=,再利用两角和与差的正弦函数公式化简. 【详解】ABC ∆中,sin()sin A B C +=,∴已知等式变形得:2sin sin()sin C A B C -=,即sin()sin sin()A B C A B -==+,整理得:sin cos cos sin sin cos cos sin A B A B A B A B -=+,即2cos sin 0A B =,cos 0A ∴=或sin 0B =(不合题意,舍去),0A π<<90A ∴=︒,则此三角形形状为直角三角形. 故选:A 【点睛】此题考查了正弦定理,以及三角函数中的恒等变换应用,熟练掌握公式是解本题的关键,属于中档题.29.在ABC ∆中,角A ,B ,C 所对的边分别是a ,b ,c ,设S 为ABC ∆的面积,满足cos cos b A a B =,且角B 是角A 和角C 的等差中项,则ABC ∆的形状为( ) A .不确定 B .直角三角形 C .钝角三角形 D .等边三角形解析:D 【分析】先根据cos cos b A a B =得到,A B 之间的关系,再根据B 是,A C 的等差中项计算出B 的大小,由此再判断ABC 的形状. 【详解】因为cos cos b A a B =,所以sin cos sin cos =B A A B ,所以()sin 0B A -=,所以A B =,又因为2B A C B π=+=-,所以3B π=, 所以3A B π==,所以ABC 是等边三角形.故选:D.【点睛】本题考查等差中项以及利用正弦定理判断三角形形状,难度一般.(1)已知b 是,a c 的等差中项,则有2b a c =+;(2)利用正弦定理进行边角互化时,注意对于“齐次”的要求.30.已知向量OA 与OB 的夹角为θ,2OA =,1OB =,=OP tOA ,()1OQ t OB =-,PQ 在t t =0时取得最小值,则当0105t <<时,夹角θ的取值范围为( ) A .0,3π⎛⎫ ⎪⎝⎭ B .,32ππ⎛⎫ ⎪⎝⎭ C .2,23ππ⎛⎫ ⎪⎝⎭ D .20,3π⎛⎫ ⎪⎝⎭解析:C【解析】【分析】 根据向量的数量积运算和向量的线性表示可得,()()22254cos 24cos 1PQ PQ t t θθ==+-++,根据二次函数的最值可得出012cos 54cos t θθ+=+,再由0105t <<,可求得夹角θ的取值范围. 【详解】 因为2cos OA OB θ⋅=,()1PQ OQ OP t OB tOA =-=--,()()22254cos 24cos 1PQ PQ t t θθ==+-++,∵PQ 在t t =0时取得最小值,所以012cos 54cos t θθ+=+,又0105t <<,则12cos 1054cos 5θθ+<<+,得1cos 02θ-<<,∵0θπ≤≤, 所以223ππθ<<, 故选:C.【点睛】本题考查向量的数量积运算和向量的线性表示,以及二次函数的最值和分式不等式的求解,关键在于由向量的模的平方等于向量的平方,得到关于角度的三角函数的不等式,属于中档题.。
平面向量测试题一、选择题:1。
已知ABCD 为矩形,E 是DC 的中点,且=,=,则=( ) (A ) (B ) - (C ) + (D ) -2.已知B 是线段AC 的中点,则下列各式正确的是( )(A ) =- (B ) =−→−BC 21(C ) =(D ) =−→−AC 213.已知ABCDEF 是正六边形,且=,=,则=( ) (A ))(21→→-b a (B ) )(21→→-a b (C ) + (D ) )(21→→+b a4.设,为不共线向量, =2,=-4-,=-5-3,则下列关系式中正确的是 ( ) (A )= (B )=2 (C )=- (D )=-2 5.将图形F 按=(h,)(其中h>0,>0)平移,就是将图形F ( ) (A ) 向轴正方向平移h 个单位,同时向轴正方向平移个单位。
(B ) 向轴负方向平移h 个单位,同时向轴正方向平移个单位。
(C ) 向轴负方向平移h 个单位,同时向轴负方向平移个单位。
(D ) 向轴正方向平移h 个单位,同时向轴负方向平移个单位。
6.已知=(,=),2223-,下列各式正确的是( )(A ) 22⎪⎭⎫ ⎝⎛=⎪⎭⎫ ⎝⎛→→b a (B ) ·=1 (C ) =(D ) 与平行 7.设与是不共线的非零向量,且+与+共线,则的值是( )(A ) 1 (B ) -1 (C ) (D ) 任意不为零的实数 8.在四边形ABCD 中,=,且·=0,则四边形ABCD 是( ) (A ) 矩形 (B ) 菱形 (C ) 直角梯形 (D ) 等腰梯形 9.已知M (-2,7)、N (10,-2),点N 上的点,且=-2,则21±-12±32±23±2)sin(3--=πx y x y sin =()2,3π-()2,3--π()2,3-π、N 是△ABC 的边BC 、CA 上的点,且=,=,设=,=,则=14.△ABC 中,C A B cos sin sin =,其中A 、B 、C 是△ABC 的三内角,则△ABC 是 三角形。
高三平面向量练习题和答案(文章内容根据题目给出的要求,以高三平面向量练习题和答案为主题展开)高三平面向量练习题和答案一、求解下列问题。
1. 已知向量a=3i-4j+2k,向量b=i+3j-k,求向量a与向量b之间的夹角。
解:根据向量的夹角公式,夹角θ=arccos( (a•b) / (|a|·|b|) )其中,•表示向量的数量积,|a|表示向量a的模长。
计算可得:a•b=3+(-12)+(-2)=-11,|a|=√(3²+(-4)²+2²)=√29,|b|=√(1²+3²+(-1)²)=√11所以,θ=arccos(-11 / (√29√11))≈102.66°2. 已知三角形ABC的顶点A(3,-1,2),B(1,2,-3),C(5,-3,0),求三角形ABC的面积。
解:首先求解两个向量的叉积,设向量AB=a,向量AC=b。
则有:a=(1-3)i + (2-(-1))j + (-3-2)k = -2i + 3j - 5kb=(5-3)i + (-3-(-1))j + (0-2)k = 2i - 2j -2k面积S=1/2 |a×b|,其中×表示向量的叉积。
叉积计算:a×b= ((3·(-2) - (-5)·2)i - ((-2)·(-2) - (-5)·2)j + (-2·3 - (-2)·(-5))k ) = 16i + 14j - 4k所以,S=1/2 |16i + 14j - 4k| = 1/2√(16² + 14² + (-4)²) = 1/2√408 =√1023. 已知平面P的法向量为n=(2,-1,3),平面P上存在点A(4,2,1),求平面P的方程。
解:由平面的一般方程Ax+By+Cz+D=0可知,法向量为(n1,n2,n3),平面上的一点为(A,B,C),则有:An1+Bn2+Cn3+D=0带入已知数据,得到方程:4·2 + 2·(-1) + 1·3 + D = 0简化后,得到平面P的方程:8 - 2 - 3 + D = 0解得 D = -3所以,平面P的方程为:2x - y + 3z - 3 = 0二、选择题,只需在括号内打“√”或“×”,表示正确或错误。
高考第一轮复习《平面向量》测试题(考试时间 重点班45分钟,平行班60分钟,★祝你考试顺利★)一、选择题(每题6分,共72分,答案填在表格中) 1.已知平面向量(11)(11)==-,,,a b ,则向量1322-=a b ( ) A.(21)--,B.(21)-,C.(10)-,D.(12),2.若O E F ,,是不共线的任意三点,则以下各式中成立的是( ) A .EF OF OE =+ B .EF OF OE =- C .EF OF OE =-+D .EF OF OE =--3.已知1,3,.0,OA OB OAOB ===点C 在AOC ∠30o=。
设(,)OC mOA nOB m n R =+∈,则mn等于( )A.13 B. 3 C. 3 D.34.如图,已知正六边形123456PP P P P P ,下列向量的数量积中最大的是( ) A.1213,PP PP B.1214,PP PP C.1215,PP PP D.1216,PP PP 5.已知向量()1,3=a ,b 是不平行于x 轴的单位向量,且3=⋅b a ,则b = ()A. ⎪⎪⎭⎫⎝⎛21,23 B. ⎪⎪⎭⎫ ⎝⎛23,21 C. ⎪⎪⎭⎫⎝⎛433,41 D. ()0,16.ABC ∆的内角A 、B 、C 的对边分别为a 、b 、c ,若a 、b 、c 成等比数列,且2c a =,则cos B =A .14B .34C 2D 27.在△ABC 中,∠C=90°,),3,2(),1,(==AC k AB 则k 的值是 ( )A .5B .-5C .23D .23-8.P 是△ABC 所在平面上一点,若PA PC PC PB PB PA ⋅=⋅=⋅,则P 是△ABC 的( ) A .外心B .内心C .重心D .垂心9.将π2cos 36x y ⎛⎫=+ ⎪⎝⎭的图像按向量π24⎛⎫=-- ⎪⎝⎭,a 平移,则平移后所得图像的解析式为( )A.π2cos 234x y ⎛⎫=+- ⎪⎝⎭ B.π2cos 234x y ⎛⎫=-+ ⎪⎝⎭C.π2cos 2312x y ⎛⎫=-- ⎪⎝⎭D.π2cos 2312x y ⎛⎫=++ ⎪⎝⎭10.已知向量5(1,2),(2,4),||5,(), 2a b c a b c a c =--=+⋅=若则与的夹角为 ( )A .30°B .60°C .120°D .150°11.在ABC △中,3AB =45A =,75C =,则BC =( ) A.332C.2D.33+12.若向量a 与b 不共线,0a b ≠,且a a c =a -b a b ⎛⎫⎪⎝⎭,则向量a 与c 的夹角为( ) A .0B .π6C .π3D .π2二、填空题(每题10分,共40分,答案填在题后的横线上)13.直角坐标平面xoy 中,若定点)2,1(A 与动点),(y x P 满足4=•OA OP ,则点P 的轨迹方程是__________。
2009届高三第一轮复习平面向量训练题一、选择题:(带☆的为近年高考题)1. 2007—2008学年湖北省黄州西湖中学二月月考试卷过△ABC 的重心任作一直线分别交AB ,AC 于点D 、E .若AD x A B =,AE yAC =,0xy ≠,则11x y+的值为( ) (A )4 (B )3 (C )2 (D )12.已知下列命题中:(1)若k R ∈,且0kb =,则0k =或0b =, (2)若0a b ⋅=,则0a =或0b =(3)若不平行的两个非零向量b a ,,满足||||b a =,则0)()(=-⋅+b a b a (4)若a 与b 平行,则||||a b a b =⋅其中真命题的个数是( ) A .0 B .1 C .2 D .33.设00,a b 分别是与,a b 向的单位向量,则下列结论中正确的是( )A .00a b =B .001a b ⋅= C .00||||2a b += D .00||2a b +=4.已知向量)sin ,(cos θθ=,向量)1,3(-=则|2|-的最大值,最小值分别是( )A .0,24B .24,4C .16,0D .4,0☆5.设,a b 是非零向量,若函数f (x )=(x a +b )·(a -x b )的图象是一条直线,则必有 ( )A .⊥a bB .∥a bC .||||=a bD .||||≠a b6.设点(2,0)A ,(4,2)B ,若点P 在直线AB 上,且AB =2AP ,则点P 的坐标为( )A .(3,1)B .(1,1)-C .(3,1)或(1,1)-D .无数多个7.在平行四边形ABCD 中,E 、F 分别是BC 、CD 的中点,DE 交AF 于H ,记AB 、BC 分别为a 、b ,则AH =( )A .52a -54b B .52a +54b C .-52a +54b D .-52a -54b☆8.设向量a=(1,-3),b=(-2,4),c =(-1,-2),若表示向量4a ,4b -2c ,2(a -c ),d 的有向线段首尾相连能构成四边形,则向量d 为( )A .(2,6)B .(-2,6)C .(2,-6)D .(-2,-6)9.若平面向量与向量)2,1(-=的夹角是o180,且53||=,则=( )A .)6,3(-B .)6,3(-C .)3,6(-D .)3,6(-10.向量(2,3)a =,(1,2)b =-,若ma b +与2a b -平行,则m 等于A .2-B .2C .21D .12-AB C E FDH11.设3(,sin )2a α=,1(cos ,)3b α=,且//a b ,则锐角α为( )A .030 B .060 C .075 D .04512.设πθ20<≤,已知两个向量()θθsin ,cos 1=,()θθcos 2,sin 22-+=OP ,则向量21P P 长度的最大值是( ) A.2 B.3 C.23 D.3213.若平面向量b 与向量)1,2(=a 平行,且52||=b ,则=b ( )A .)2,4(B .)2,4(--C .)3,6(-D .)2,4(或)2,4(--☆14.点P 在平面上作匀速直线运动,速度向量(4,3)v =-(即点P 的运动方向与v 相同,且每秒移动的距离为v 个单位).设开始时点P 的坐标为(-10,10),则5秒后点P 的坐标为( )A (-2,4)B (-30,25)C (10,-5)D (5,-10)☆15.设(43)=,a ,a 在b b 在x 轴上的投影为2,且||14≤b ,则b 为( ) A .(214),B .227⎛⎫-⎪⎝⎭, C .227⎛⎫- ⎪⎝⎭,D .(28),☆16.若向量a 与b 不共线,a ·b ≠0,且c =b b a a a a ⎪⎭⎫⎝⎛∙∙-,则向量a 与c 的夹角为 ( )A. 0B.6π C. 3π D. 2π ☆17.平面向量a =(x ,y ),b =(x 2,y 2),c =(1,1),d =(2,2),若a ·c =b ·d =1,则这样的向量a有 ( )A. 1个B. 2个C. 多于2个D. 不存在 ☆18.P 是△ABC 所在平面上一点,若⋅=⋅=⋅,则P 是△ABC 的( ) A 外心 B 内心 C 重心 D 垂心☆19.O 是平面上一定点,A 、B 、C 是平面上不共线的三个点,动点P 满足OP =OA +λ(AB AC|AB ||AC |+),),[∞+∈λ0,则点P 的轨迹一定通过△ABC 的( ) A 外心 B 内心 C 重心 D 垂心 二、填空题:20.平面向量,a b 中,若(4,3)a =-,b =1,且5a b ⋅=,则向量=____。
平面向量一、基础知识要记牢在用三角形加法法则时要保证“首尾相接”,结果向量是第一个向量的起点指向最后一个向量终点所在的向量;在用三角形减法法则时要保证“同起点”,结果向量的方向是指向被减向量.二、经典例题领悟好[例1] (2013·北京高考)向量a ,b ,c 在正方形网格中的位置如图所示.若c =λa +μb (λ,μ∈R ),则λμ=________.[解析] 以向量a 的终点为原点,过该点的水平和竖直的网格线所在直线为x 轴、y 轴建立平面直角坐标系,设一个小正方形网格的边长为1,则a =(-1,1),b =(6,2),c =(-1,-3).由c =λa +μb ,即(-1,-3)=λ(-1,1)+μ(6,2),得-λ+6μ=-1,λ+2μ=-3,故λ=-2,μ=-12,则λμ=4.[答案] 4平面向量的线性运算包括向量的加法、向量的减法及实数与向量的积,在解决这类问题时,经常出现的错误有:(1)忽视向量的起点与终点,导致加法与减法混淆; (2)错用数乘公式. 对此,要注意两点:(1)运用平行四边形法则时两个向量的起点必须重合;(2)运用三角形法则时两个向量必须首尾相接,否则就要把向量进行平移,使之符合条件.三、预测押题不能少1.(1)已知点A (1,3),B (4,-1),则与向量AB 同方向的单位向量为( ) A.⎝⎛⎭⎫35,-45 B.⎝⎛⎭⎫45,-35C.⎝⎛⎭⎫-35,45D.⎝⎛⎭⎫-45,35 解析:选A 由已知, 得AB =(3,-4),所以|AB |=5,因此与AB 同方向的单位向量是15AB =⎝⎛⎭⎫35,-45. (2)如图,在△ABC 中,设AB =a ,AC =b ,AP 的中点为Q ,BQ 的中点为R ,CR 的中点恰为P ,则AP 等于( )A.12a +12b B.13a +23b C.27a +47b D.47a +27b 解析:选C 如图,连接BP ,则AP =AC +CP =b +PR ,①AP =AB +BP =a +RP -RB ,②①+②,得2AP =a +b -RB .③ 又RB =12QB =12(AB -AQ )=12⎝⎛⎭⎫a -12 AP ,④ 将④代入③,得2AP =a +b -12⎝⎛⎭⎫a -12 AP , 解得AP =27a +47b .(1)两个向量的数量积是一个数量,而不是向量,它的值为两个向量的模与两向量夹角的余弦的乘积,其符号由夹角的余弦值确定.(2)求非零向量a ,b 的夹角一般利用公式cos 〈a ,b 〉=a·b|a ||b |先求出夹角的余弦值,然后求夹角.(3)向量a 在向量b 方向上的投影为a·b|b |=|a |cos θ.二、经典例题领悟好[例2] (1)(2013·湖北高考)已知点A (-1,1),B (1,2),C (-2,-1),D (3,4),则向量AB 在CD 方向上的投影为( )A.322B.3152C .-322D .-3152(2)(2013·天津高考)在平行四边形ABCD 中, AD =1,∠BAD =60°,E 为CD 的中点.若AC ·BE =1, 则AB 的长为________.[解析] (1)由已知得AB =(2,1),CD =(5,5),因此AB 在CD 方向上的投影为AB ·CD |CD |=1552=322.(2)设AB 的长为a (a >0),又因为AC =AB +AD ,BE =BC +CE =AD -12AB ,于是AC ·BE =(AB +AD )·⎝⎛⎭⎫AD -12 AB =12AB ·AD -12AB 2+AD 2=-12a 2+14a +1,由已知可得-12a 2+14a +1=1.又a >0,∴a =12,即AB 的长为12.[答案] (1)A (2)12求平面向量的数量积的方法有两个:(1)定义法:a ·b =|a ||b |·cos θ,其中θ为向量a ,b 的夹角; (2)坐标法:当a =(x 1,y 1),b =(x 2,y 2)时,a ·b =x 1x 2+y 1y 2. 三、预测押题不能少2.(1)已知向量a ,b ,满足|a |=3,|b |=23,且a ⊥(a +b ),则a 与b 的夹角为( ) A.π2 B.2π3C.3π4D.5π6解析:选D a ⊥(a +b )⇒a ·(a +b )=a 2+a ·b =|a |2+|a ||b |cos 〈a ,b 〉=0,故cos 〈a ,b 〉=-963=-32,故所求夹角为5π6.(2)已知点G 为△ABC 的重心,∠A =120°,AB ·AC =-2,则|AG |的最小值是( )A.33B.22C.23D.34解析:选C 设BC 的中点为M ,则AG =23AM .又M 为BC 中点,∴AM =12(AB +AC ),∴AG =23AM =13(AB +AC ),∴|AG |=13AB 2+AC 2+2AB ·AC=13AB 2+AC 2-4.又∵AB ·AC =-2,∠A =120°, ∴|AB ||AC |=4. ∵|AG |=13AB 2+AC 2-4≥132|AB ||AC |-4=23,当且仅当|AB |=|AC |时取等号, ∴|AG |的最小值为23.平面向量是高中数学的基础工具之一,它具有代数形式与几何形式的“双重型”,考查时经常与三角函数、解析几何、线性规划问题等知识交汇命题.一、经典例题领悟好[例1] (2013·北京高考)已知点A (1,-1),B (3,0),C (2,1).若平面区域D 由所有满足AP =λAB +μAC (1≤λ≤2,0≤μ≤1)的点P 组成,则D 的面积为________.学审题——审条件之审视隐含设P 点坐标―→AP 、AB 、AC 坐标――――――――――――→AP =λAB +μAC关于λ,μ,x ,y 方程组―→求出λ,μ―→关于x ,y 不等组―→作出可行域―→D 的面积.[解析] 设P (x ,y ),则AP =(x -1,y +1).由题意知AB =(2,1),AC =(1,2).由AP=λAB +μAC 知(x -1,y +1)=λ(2,1)+μ(1,2),即⎩⎪⎨⎪⎧2λ+μ=x -1,λ+2μ=y +1.∴⎩⎪⎨⎪⎧λ=2x -y -33,μ=2y -x +33,∵1≤λ≤2,0≤μ≤1,∴⎩⎪⎨⎪⎧3≤2x -y -3≤6,0≤2y -x +3≤3.作出不等式组表示的平面区域(如图阴影部分),由图可知平面区域D 为平行四边形,可求出M (4,2),N (6,3),故|MN |= 5.又x -2y =0与x -2y -3=0之间的距离为d =35,故平面区域D 的面积为S =5×35=3.[答案] 3本题由AP =λAB +μAC 把平面向量转化为线性规划问题,求解的易误点是由⎩⎪⎨⎪⎧2λ+μ=x -1,λ+2μ=y +1求x ,y 的范围然后计算面积时,出现面积变大,错误的原因是多次运用不等式的运算性质时,不等式之间出现了不等价变形.本题采用线性规划知识求解.二、预测押题不能少1.已知O 为坐标原点,A 点的坐标为(1,2),点P 的坐标(x ,y )满足约束条件⎩⎪⎨⎪⎧x +|y |≤1,x ≥0,则z =OA ·OP 的最大值为( ) A .-2 B .-1 C .1D .2解析:选D 如图作可行域,z =OA ·OP =x +2y ,显然在B (0,1)处z max =2.故选D.一、经典例题领悟好[例2] 已知O 为坐标原点,对于函数f (x )=a sin x +b cos x ,称向量OM =(a ,b )为函数f (x )的伴随向量,同时称函数f (x )为向量OM 的伴随函数.(1)设函数g (x )=sin(π2+x )+2cos(π2-x ),试求g (x )的伴随向量OM 的模;(2)记ON =(1,3)的伴随函数为h (x ),求使得关于x 的方程h (x )-t =0在[0,π2]内恒有两个不相等实数解的实数t 的取值范围.[解] (1)∵g (x )=sin(π2+x )+2cos(π2-x )=2sin x +cos x ,∴OM =(2,1),∴|OM |=22+12= 5.(2)由已知可得h (x )=sin x + 3 cos x =2sin(x +π3),∵0≤x ≤π2,∴π3≤x +π3≤5π6,∴h (x )∈[1,2].∵当x +π3∈[π3,π2]时,即x ∈[0,π6]时,函数h (x )单调递增,且h (x )∈[3,2];当x +π3∈(π2,5π6]时,即x ∈(π6,π2]时,函数h (x )单调递减,且h (x )∈[1,2).∴使得关于x 的方程h (x )-t =0在[0,π2]内恒有两个不相等实数解的实数t 的取值范围为[3,2).解决平面向量与三角函数结合的题目,首先要根据向量的运算性质将向量问题转化为三角函数,然后利用三角公式进行恒等变换,转化为题目中所要求的问题.而本题求解需要在理解新定义的基础上把问题转化为常规类型,运用三角函数的诱导公式、两角和与差的三角函数公式进行化简运算,同时也伴随着平面向量的坐标运算.二、预测押题不能少2.设a =(cos α,(λ-1)sin α),b =(cos β,sin β) >0,0<<<2λαβπ⎛⎫⎪⎝⎭是平面上的两个向量,若向量a +b 与a -b 互相垂直.(1)求实数λ的值;(2)若a ·b =45,且tan β=43,求tan α的值.解:(1)由题设,可得(a +b )·(a -b )=0, 即|a |2-|b |2=0.代入a ,b 的坐标,可得cos 2α+(λ-1)2sin 2α-cos 2β-sin 2β=0, 所以(λ-1)2sin 2α-sin 2α=0. 因为0<α<π2,故sin 2α≠0,所以(λ-1)2-1=0,解得λ=2或λ=0(舍去,因为λ>0). 故λ=2.(2)由(1)及题设条件,知a ·b =cos αcos β+sin αsin β=cos(α-β)=45.因为0<α<β<π2,所以-π2<α-β<0.所以sin(α-β)=-35,tan(α-β)=-34.所以tan α=tan[(α-β)+β]=tan (α-β)+tan β1-tan (α-β)tan β=-34+431-⎝⎛⎭⎫-34×43=724.所以tan α=724.近年,其形式体现了“新”.解决此类问题,首先需要分析新定义的特点,把新定义所叙述的问题的本质弄清楚,通过转化思想解决,这是破解新定义信息题难点的关键所在.一、经典例题领悟好[例3] (2012·广东高考)对任意两个非零的平面向量α和β,定义α∘β=α·ββ·β.若两个非零的平面向量a ,b 满足a 与b 的夹角θ∈⎝⎛⎭⎫π4,π2,且a ∘b 和b ∘a 都在集合⎩⎨⎧⎭⎬⎫⎪⎪n 2n ∈Z 中,则a ∘b =( )A.52B.32 C .1D.12[解析] a ∘b =a ·b b 2=|a ||b ||b |2cos θ=|a ||b |cos θ,b ∘a =|b ||a |·cos θ,因为|a |>0,|b |>0,0<cos θ<22,且a ∘b 、b ∘a ∈⎩⎨⎧⎭⎬⎫n 2n ∈Z ,所以|a ||b |cos θ=n 2,|b ||a |cos θ=m 2,其中m ,n ∈N *,两式相乘,得m ·n4=cos 2θ.因为0<cos θ<22,所以0<cos 2θ<12,得到0<m ·n <2, 故m =n =1,即a ∘b =12.[答案] D本题把向量的数量积、夹角、不等式和集合等问题通过新定义有机结合在一起.解答本题的关键是明确a ∘b 与b ∘a 在集合Z 2n n ⎧⎫∈⎨⎬⎩⎭中的实际意义是|a ||b |cos θ与|b ||a |cos θ都能表示成n2(n ∈Z )的形式. 二、预测押题不能少3.在平面斜坐标系xOy 中,∠xOy =45°,点P 的斜坐标定义为“若OP =x 0e 1+y 0e 2(其中e 1,e 2分别为与斜坐标系的x 轴,y 轴同方向的单位向量),则点P 的坐标为(x 0,y 0)”.若F 1(-1,0),F 2(1,0),且动点M (x ,y )满足|1MF |=|2MF |,则点M 在斜坐标系中的轨迹方程为( )A .x -2y =0B .x +2y =0 C.2x -y =0D.2x +y =0解析:选D 依题意,1MF =(-1-x ,-y )=(-1-x )e 1-y e 2,2MF =(1-x ,-y )=(1-x )e 1-y e 2,由|1MF |=|2MF |,得1MF 2=2MF 2,∴[(-1-x )e 1-y e 2]2=[(1-x )e 1-y e 2]2,∴4x +4y e 1·e 2=0.∵∠xOy =45°,∴e 1·e 2=22,故2x +2y =0, 即2x +y =0.1.设x ,y ∈R ,向量a =(x,1),b =(1,y ),c =(2,-4),且a ⊥c, b ∥c ,则|a +b |=( ) A.5 B.10 C .2 5D .10解析:选B 由题意可知⎩⎪⎨⎪⎧ 2x -4=0,-4-2y =0,解得⎩⎪⎨⎪⎧x =2,y =-2.故a +b =(3,-1),|a +b |=10.2.(2013·河北省质量监测)已知平面向量a =(x 1,y 1),b =(x 2,y 2),若|a |=2,|b |=3,a ·b =-6,则x 1+y 1x 2+y 2的值为( )A.23 B .-23C.56D .-56解析:选B 由已知得,向量a =(x 1,y 1)与b =(x 2,y 2)反向,3a +2b =0,即3(x 1,y 1)+2(x 2,y 2)=(0,0),得x 1=-23x 2,y 1=-23y 2,故x 1+y 1x 2+y 2=-23.3.(2013·哈尔滨四校联考)在△ABC 中,N 是AC 边上一点,且AN =12NC ,P 是BN上的一点,若AP =m AB +29AC ,则实数m 的值为( )A.19B.13 C .1D .3解析:选B 如图,因为AN =12NC ,所以AN =13AC ,AP =m AB +29AC =m AB +23AN ,因为B ,P ,N 三点共线,所以m +23=1,所以m =13.4.设非零向量a ,b ,c 满足|a |=|b |=|c |,a +b =c ,则向量a ,b 的夹角为( ) A .150° B .120° C .60°D .30°解析:选B 如图,作AB =a ,BC =b ,由三角形法则,可知a +b =AC =c ,又|a |=|b |=|c |,所以△ABC 是一个等边三角形,故∠B =60°,〈a ,b 〉=180°-60°=120°.5.(2013·昆明质检)在直角三角形ABC 中,∠C =π2,AC =3,取点D 使BD =2DA ,那么CD ·CA 等于( ) A .3 B .4 C .5D .6解析:选D 如图,CD =CB +BD .又∵BD =2DA ,∴CD =CB +23BA =CB +23(CA -CB ),即CD =23CA +13CB .∵∠C =π2,∴CA ·CB =0, ∴CD ·CA =⎝⎛⎭⎫23CA +13 CB ·CA =23CA 2+13CB ·CA =6. 6.(2013·湖南高考)已知a ,b 是单位向量,a ·b =0.若向量c 满足|c -a -b |=1,则|c |的最大值为( )A.2-1B. 2C.2+1D.2+2 解析:选C 建立平面直角坐标系,令向量a ,b 的坐标a =(1,0),b =(0,1),令向量c =(x ,y ),则有(x -1)2+(y -1)2=1,|c |的最大值为圆(x -1)2+(y -1)2=1上的动点到原点的距离的最大值,即圆心(1,1)到原点的距离加圆的半径,即2+1.7.(2013·山东高考)在平面直角坐标系xOy 中,已知OA =(-1,t ),OB =(2,2).若∠ABO =90°,则实数t 的值为________.解析:AB =OB -OA =(3,2-t ),由题意知OB ·AB =0,所以2×3+2(2-t )=0,t =5.答案:58.(2013·石家庄质量检测)在矩形ABCD 中,AB =2,BC =1,E 为BC 的中点,若F 为该矩形内(含边界)任意一点,则AE ·AF 的最大值为________.解析:以A 为坐标原点,AB 所在直线为x 轴,AD 所在直线为y 轴,建立平面直角坐标系,则E ⎝⎛⎭⎫2,12.设F (x ,y ), 则⎩⎪⎨⎪⎧ 0≤x ≤2,0≤y ≤1,AE ·AF =2x +12y . 令z =2x +12y ,当z =2x +12y 过点(2,1)时,AE ·AF 取最大值92. 答案:929.如图,在△ABC 中,点O 是BC 的中点.过点O 的直线分别交直线AB ,AC 于不同的两点M ,N ,若AB =m AM ,AC =n AN ,则m +n 的值为________.解析:AO =12(AB +AC ) =m 2AM +n 2AN . ∵M ,O ,N 三点共线,∴m 2+n 2=1, ∴m +n =2.答案:210.已知△ABC 的角A ,B ,C 所对的边分别是a ,b ,c ,设向量m =(a ,b ),n =(sin B ,sin A ),p =(b -2,a -2).(1)若m ∥n ,求证:△ABC 为等腰三角形;(2)若m ⊥p ,边长c =2,角C =π3,求△ABC 的面积. 解:(1)证明:∵m ∥n ,∴a sin A =b sin B.即a ·a 2R =b ·b 2R,其中R 是三角形ABC 外接圆半径, 故a =b ,即△ABC 为等腰三角形.(2)由题意可知m ·p =0,即a (b -2)+b (a -2)=0.∴a +b =ab .由余弦定理可知4=a 2+b 2-ab =(a +b )2-3ab ,即(ab )2-3ab -4=0,∴ab =4(舍去ab =-1).故S =12ab sin C =12·4·sin π3= 3. 11.已知向量a =⎝⎛⎭⎫sin x ,34,b =(cos x ,-1). (1)当a ∥b 时,求cos 2x -sin 2x 的值;(2)设函数f (x )=2(a +b )·b .已知在△ABC 中,内角A ,B ,C 的对边分别为a ,b ,c ,若a = 3,b =2,sin B =63,求f (x )+4cos ⎝⎛⎭⎫2A +π6⎝⎛⎭⎫x ∈⎣⎡⎦⎤0,π3的取值范围. 解:(1)∵a ∥b ,∴34cos x +sin x =0,∴tan x =-34. ∴cos 2x -sin 2x =cos 2x -2sin x cos x sin 2x +cos 2x =1-2tan x 1+tan 2x =85. (2)f (x )=2(a +b )·b = 2sin ⎝⎛⎭⎫2x +π4+32. 由正弦定理,得a sin A =b sin B ,可得sin A =22, ∴A =π4. ∴f (x )+4cos ⎝⎛⎭⎫2A +π6=2sin ⎝⎛⎭⎫2x +π4-12. ∵x ∈⎣⎡⎦⎤0,π3,∴2x +π4∈⎣⎡⎦⎤π4,11π12. ∴32-1≤f (x )+4cos ⎝⎛⎭⎫2A +π6≤2-12.∴f (x )+4cos ⎝⎛⎭⎫2A +π6的取值范围为1122⎤⎥⎣⎦-. 12.已知向量OA =(λcos α,λsin α)(λ≠0),OB =(-sin β,cos β),其中O 为坐标原点.(1)若α-β=π6且λ=1,求向量OA 与OB 的夹角; (2)若|AB |≥2|OB |对任意实数α,β都成立,求实数λ的取值范围.解:(1)当λ=1时,OA =(cos α,sin α), 故|OA |=cos 2α+sin 2α=1, |OB |= (-sin β)2+cos 2β=1.OA ·OB =cos α·(-sin β)+sin αcos β=sin(α-β)=sin π6=12, 故cos 〈OA ,OB 〉=OA ·OB |OA ||OB |=12. 又因为〈OA ,OB 〉∈[0,π],所以〈OA ,OB 〉=π3. (2) AB =OB -OA =(-λcos α-sin β,-λsin α+cos β), 故|AB |≥2|OB |对任意实数α,β都成立,即(-λcos α-sin β)2+(-λsin α+cos β)2≥4对任意实数α,β都成立,整理得λ2+1+2λsin(β-α)≥4对任意实数α,β都成立. 因为-1≤sin(β-α)≤1,所以⎩⎪⎨⎪⎧ λ>0,λ2+1-2λ≥4或⎩⎪⎨⎪⎧λ<0,λ2+1+2λ≥4,解得λ≥3或λ≤-3.所以所求实数λ的取值范围为(-∞,-3]∪[3,+∞).。
平面向量训练题一、选择题:1.过△ABC 的重心任作一直线分别交AB ,AC 于点D 、E .若AD xAB =,AE yAC =,0xy ≠,则11x y+的值为( )(A )4 (B )3 (C )2 (D )12.已知下列命题中:(1)若k R ∈,且0kb =,则0k =或0b =, (2)若0a b ⋅=,则0a =或0b =(3)若不平行的两个非零向量b a ,,满足||||b a =,则0)()(=-⋅+b a b a (4)若a 与b 平行,则||||a b a b =⋅其中真命题的个数是( ) A .0 B .1 C .2 D .33.设00,a b 分别是与,a b 向的单位向量,则下列结论中正确的是( )A .00a b =B .001a b ⋅= C .00||||2a b += D .00||2a b +=4.已知向量)sin ,(cos θθ=,向量)1,3(-=则|2|-的最大值,最小值分别是( )A .0,24B .24,4C .16,0D .4,0☆5.设,a b 是非零向量,若函数f (x )=(x a +b )·(a -x b )的图象是一条直线,则必有 ( )A .⊥a bB .∥a bC .||||=a bD .||||≠a b6.设点(2,0)A ,(4,2)B ,若点P 在直线AB 上,且AB =2AP ,则点P 的坐标为( )A .(3,1)B .(1,1)-C .(3,1)或(1,1)-D .无数多个7.在平行四边形ABCD 中,E 、F 分别是BC 、CD 的中点,DE 交AF 于H ,记、 分别为a 、b ,则=( )A .52a -54b B .52a +54b C .-52a +54b D .-52a -54b☆8.设向量a=(1,-3),b=(-2,4),c =(-1,-2),若表示向量4a ,4b -2c ,2(a -c ),d 的有向线段首尾相连能构成四边形,则向量d 为( )A .(2,6)B .(-2,6)C .(2,-6)D .(-2,-6)9.若平面向量b 与向量)2,1(-=a 的夹角是o180,且53||=b ,则=b ( )A .)6,3(-B .)6,3(-C .)3,6(-D .)3,6(-10.向量(2,3)a =,(1,2)b =-,若ma b +与2a b -平行,则m 等于A .2-B .2C .21D .12-11.设3(,sin )2a α=,1(cos ,)3b α=,且//a b ,则锐角α为( )AB C E FDHA .030B .060C .075D .04512.设πθ20<≤,已知两个向量()θθsin ,cos 1=,()θθcos 2,sin 22-+=OP ,则向量21P P 长度的最大值是( )A.2B.3C.23D.3213.若平面向量与向量)1,2(=平行,且52||=,则=( )A .)2,4(B .)2,4(--C .)3,6(-D .)2,4(或)2,4(--☆14.点P 在平面上作匀速直线运动,速度向量(4,3)v =-(即点P 的运动方向与v 相同,且每秒移动的距离为v 个单位).设开始时点P 的坐标为(-10,10),则5秒后点P 的坐标为( ) A (-2,4) B (-30,25) C (10,-5) D (5,-10)☆15.设(43)=,a ,a 在b 上的投影为2,b 在x 轴上的投影为2,且||14≤b ,则b 为( ) A .(214),B .227⎛⎫-⎪⎝⎭, C .227⎛⎫- ⎪⎝⎭,D .(28),☆16.若向量a 与b 不共线,a ·b ≠0,且c =b b a a a a ⎪⎭⎫⎝⎛∙∙-,则向量a 与c 的夹角为 ( )A. 0B.6π C. 3π D. 2π ☆17.平面向量a =(x ,y ),b =(x 2,y 2),c =(1,1),d =(2,2),若a ·c =b ·d =1,则这样的向量a 有 ( )A. 1个B. 2个C. 多于2个D. 不存在 ☆18.P 是△ABC 所在平面上一点,若PA PC PC PB PB PA ⋅=⋅=⋅,则P 是△ABC 的( )A 外心B 内心C 重心D 垂心☆19.O 是平面上一定点,A 、B 、C 是平面上不共线的三个点,动点P 满足OP =OA +λ(AB AC|AB ||AC |+),),[∞+∈λ0,则点P 的轨迹一定通过△ABC 的( )A 外心B 内心C 重心D 垂心 二、填空题:20.平面向量,a b 中,若(4,3)a =-,b =1,且5a b ⋅=,则向量=____。
21.若3a =,2b =,且与的夹角为060,则a b -= 。
22.把平面上一切单位向量归结到共同的始点,那么这些向量的终点所构成的图形是_____。
23.已知)1,2(=a与)2,1(=b ,要使b t a +最小,则实数t 的值为___________。
24.已知向量(1,2)a →=,(2,3)b →=-,(4,1)c →=,若用→a 和→b 表示→c ,则→c =____。
25.若||1,||2,a b c a b ===+,且c a ⊥,则向量a 与b 的夹角为 . 26.若菱形ABCD 的边长为2,则AB CB CD -+=__________。
27.若向量||1,||2,||2,a b a b ==-=则||a b += 。
☆28.在ABC ∆中,O 为中线AM 上一个动点,若AM=2,则)(OC OB OA +∙的最小值是____ _. ☆29.设向量c b a ,,满足()b ac b a c b a ⊥⊥-=++,,0b,若1=,则++ 的值是☆30.如图2, AB OM //, 点P 在由射线OM ,线段OB 及AB 的延长线围成的区域内(不含边界)运动, 且y x +=, 则x 的取值范围是__________; 当21-=x 时, y 的取值范围是__________. 三、解答题: 31.求与向量(1,2)a =,(2,1)b =夹角相等的单位向量c 的坐标. 32.(1)已知|a |=4,|b |=3,(2a -3b )·(2a +b )=61,求a 与b 的夹角θ; (2)设=(2,5),=(3,1),=(6,3),在上是否存在点M ,使 ⊥,若存在,求出点M 的坐标,若不存在,请说明理由.33.已知点A 、B 、C 的坐标分别为A (3,0),B (0,3),C (cosα,sinα),α∈(23,2ππ)。
(1)若||||AC CB =,求角α的值; (2)若AC CB ⋅=1,求aa a tan 12sin sin 22++的值.34.已知a =(αcos ,αsin ),b =(βcos ,βsin ),a 与b 之间有关系式|k a +b |=3|a -k b |,其中k >0.(1)用k 表示a 、b ;(2)求a ·b 的最小值,并求此时,a 与b 的夹角θ的大小.图2O ABPM平面向量训练题参考答案一、选择题:1.解析:取△ABC 为正三角形易得11x y+=3.选B . 评析:本题考查向量的有关知识,如果按常规方法就比较难处理,但是用特殊值的思想就比较容易处理,考查学生灵活处理问题的能力.2.C (1)是对的;(2)仅得a b ⊥;(3)2222()()0a b a b a b a b +⋅-=-=-= (4)平行时分00和0180两种,cos a b a b a b θ=⋅=±⋅ 3.C 因为是单位向量,00||1,||1a b ==4.D 2(2cos 3,2sin 1),|2|(2cos a b a b θθθ-=-+-=-==,最大值为4,最小值为0☆5.A f (x )的图象是一直线,则f (x )是x 的一次式.而f (x )展开后有x 的二次-x 2a·b ,故-a·b=0⇒a ⊥b , 6.C 设(,)P x y ,由AB =2AP 得2AB AP =,或2AB AP =-,(2,2),(2,)AB AP x y ==-,即(2,2)2(2,),3,1,x y x y =-==(3,1)P ;(2,2)2(2,),1,1,x y x y =--==-(1,1)P -7.B 过E 作EG ∥BA 交AF 于G ,EG=23CF=23DF ,=54☆8.D 解:设d =(x ,y ),因为4a =(4,-12),4b -2c =(-6,20),2(a -c )=(4,-2),依题意,有4a +(4b -2c )+2(a -c )+d =0,解得x =-2,y =-6,9.A 设(,2),0b ka k k k ==-<,而53||=b 3,(3,6)k b ==-=- 10.D (2,3)(1,2)(21,32)ma b m m m m +=+-=-+2(2,3)(2,4)(4,1)a b -=--=-,则121128,2m m m -+=+=-11.D 0031sin cos ,sin 21,290,4523ααααα⨯====12.C 12(2sin cos ,2cos sin ),PP θθθθ=+---122(2PP ===13.D 设(2,),b ka k k ==,而||25b =,则,(4,2),(4,2)k b ==±=--或 ☆14.C 设5秒后点P 运动到点A,则5PA PO OA V =+=∴(20,15)(10,10)OA =-+-=(10,-5).☆15.B 由题意可知a 与b 的夹角为4π,且b 的终点在直线x=2上。
又因为||14≤b 。
☆16.D 由题意得a ·c = a ·⎪⎭⎫ ⎝⎛∙∙-b b a a a a = a ·a - ()b a b a a a ∙⨯∙∙= a ·a - a ·a = 0, 因此a 与c 的夹角是2π. ☆17.A 依题意得⎪⎩⎪⎨⎧=+=+21122y x y x ,2122=+y x表示以原点O 为圆心,22为半径的圆,由点到直线的距离公式可得圆心到直线x+y =1的距离d =2221=,故直线与圆相切,只有一个交点,故x 、y 只有一组解.☆18.D 由0=⋅-⋅⋅=⋅得.即0,0)(=⋅=-⋅即, 则AB PC BC PA CA PB ⊥⊥⊥,,同理所以P 为ABC ∆的垂心.☆19. B||AB 表示AB ||AC 表示AC 方向上的单位向量,AB AC |AB ||AC |+在∠BAC 的平分线上,故P 点的轨迹过三角形的内心.二、填空题:20.43(,)55- 5,c o s ,1,,a b a a b a b a b=<>==方向相同,143(,)555b a ==- 21222()2927a b a b a a b b -=-=-+=-=22.圆 以共同的始点为圆心,以单位1为半径的圆 23.45-22222()258a tb a tb a tab t b t t +=+=++=++45t =-时即可 24.(2,1)- 设c xa yb →=+,则(,2)(2,3)(2,23)(4,1)x x y y x y x y +-=-+= 24,231,2,1x y x y x y -=+===- 25.0120221()0,0,c o s 2a b a a b a a a b a ba bθ-+=+====-,或画图来做26.2 2AB CB CD AB BC CD AC CD AD -+=++=+== 27 由平行四边形中对角线的平方和等于四边的平方和得☆28.-2 如图,-=⋅⋅=+⋅2)(22⋅-≥,=取等号.即)(+⋅的最小值为:-2.☆29.4 作图,a b c 、、构成等腰直角三角形 ()()()()⎪⎪⎨⎧===∙∙=∙⇒⎪⎪⎩⎪⎪⎨⎧=+-=∙=∙-∙=-⇒⊥⊥-10000,b a b a()22=--=ba4=++☆30.(-∞,0) (21,23) 如图, AB OM //, 点P 在由 射线OM , 线段OB 及AB 的延长线围成的区域内(不含边界)运动, 且y x +=,由向量加法的平行四边形法则,OP 为平行四边形的对角线,该四边形应是以OB 和OA 的反向延长线为两邻边,∴ x 的取值范围是(-∞,0); 当21-=x 时,要使P 点落在指定区域内,即P 点应落在DE 上,CD=21OB ,CE=23OB ,∴ y 的取值范围是(21,23). 三、解答题:31.解:设(,)c x y =,则cos ,cos ,,a c b c <>=<>得22221x y x y x y +=+⎧⎨+=⎩,即x y ⎧=⎪⎪⎨⎪=⎪⎩或x y ⎧=⎪⎪⎨⎪=⎪⎩2(,22c=或(22-- 32.解:(1)∵(2-3)·(2+)=61,∴.6134422=-⋅- 又||=4,||=3,∴·=-6. ,21||||cos -=⋅=∴b a θ ∴θ=120°.(2)设存在点M ,且)10)(3,6(≤<==λλλλ).31,63(),35,62(λλλλ--=--=∴MB MA ,0)31)(35()63)(62(=--+--∴λλλλ211122114548110,:,(2,1)(,).31555OM OM λλλλ∴-+===∴==解得或或MOCBA∴存在M (2,1)或)511,522(M 满足题意. 33.解:(1)∵AC =(cos α-3, sin α), BC =(cos α, sin α-3).∴∣AC ∣=a a a sin 610sin )3(cos 22-=+-。