H-65黄铜板
- 格式:doc
- 大小:105.00 KB
- 文档页数:2
中 国英 国日 本法 国德 国原苏联GB (YB )AISI SAEB.S.JIS NFDIM(ГOCT)碳素结8EN2A/1S9CK 8构钢08FEN2A/1SPCH108КП10EN2A S10C XC10C10,CK101010FEN2ASPH210КП15EN2E S15C XC12C15,CK151515F EN2B 15КП20EN3A S20C XC18C20,C222020F EN2C SPH320КП30EN4S30CXC323045C10121010EN8S45C XC45C45,CK4545C10101010C10151015C10201020C10201020C10301030C10451045合金结15Mn C11151115En14A SB46XC1214Mn414Г构钢20MnC10221022En3C,4S21—XC18—20Г30MnC10331033En5D,En5K —XC32—30Г50MnC10521052En43A,En 43B,En43—XC48—50Г1006分类美 国1008常用金属材料中外牌号对照1.黑色金属材料牌号对照(表8—65)表8—65 黑色金属材料牌号对照20Mn2En41A,S92,S514——20Mn520Г23T35,3T4530Mn2S92,S514,3T35,3T45—32M530Mn530Г240Mn2~En15A—40M5—40Г250Mn2~55M5—50Г220MnV ———20MnV6—42MnV ———42MnV7—15Cr ~En206SCr2112C315Cr315X 20Cr En207SCr2218C320Cr420X 40Cr En18,S117SCr438C441Cr440X 50CrEn48———50X5115中 国英 国日 本法 国德 国原苏联GB (YB )AISI SAEB.S.JIS NF DIM (ГOCT)合金结15CrMn——16MC516MCr515X Г,18X Г构钢20CrMn ——20MC520MCr520X Г40CrMn ————40X Г25CrMnSi ————25X ГC 30CrMnSi————30X ГC13,201,321—13301340分类美 国—51205140—————(续)51,505,15235CrMnSiA————35XГCA 20CrV22CrV420Xф40CrV42CrV440XфA 45CrV En5018CrMnTi18XГT 30CrMnTi30XГT 40CrMnTi40XГT12CrMo1501-620CrB12CD413CrMo4412XM20CrMo CDS12,CDS110SCM2218CD420CrMo520ХM 30CrMo SCM230ХM 35CrMo En19B SCM3 35CD434CrMo435ХM22CrMnMo40CrMnMoEn19C18XГM24CrMoV24CrMoV5538XГM,40XГM35CrMoV35CrMoV535XMфA30Cr2MoV En40C,S10630CD1230CrMoV9~25X2Mф25Cr2Mo1VA ~25X2Mф30Cr2Ni2 WVA 30X2HBфA38CrMoAlAEn41B SACMI45CAD6-1234CrAlMo538XMЮA ~411938CrWVAlAEn40C38 XBфЮA 61206140—61454118 411938CrAlA 34CrAl 38X ЮAE4132E4135中 国英 国日 本法 国德 国原苏联GB (YB )AISI SAEB.S.JIS NF DIM (ГOCT)12CrNi2ASNC2116NC1114NiCr1012XH2A 12CrNi3A En36A,En36B SNC2214NC1214NiCr1412XH3A 12Cr2Ni4A En39A,En 39B12NC1512X2H4A30CrNi3A SNC230NC1128NiCr1030XH3A37CrNi3A 37XH3A18Cr2Ni4WA18XHBA 40CrNiW 40CrHBA 30Cr2Ni2WVA30X2H2B фA40CrNiMo A En110,S95,S118SNCM835NCD536CrNiMo 440XHMA40B45B40MnB45MnB20CrMnB 20X ГP40CrMnB 40X ГP65En43E SUP2,SW R7XC65CK676575SUP3,SW R9~XC70,XC80C75,MK757560Mn En43J 60Г60SiMnEn45ASUP660SiMn660C Г4130~411941406470E(AMS)分类美 国合金结构钢E3310,3310,3310H 2515,2515H 3435~TS14B35H ~TS14B50H 50B2050B40H4340~TS14B3550B46H C10651065(续)65Mn En43E65Г50Si2Mn ~45S751Si750C2106055Si2MnEn45,142955S655Si755C2C1065106550CrVAEn47SUP1050CV450CrV450X фAT7A XC65 fins C70W1у7A T8D1SKU3XC85coura ntsC85W2у8XC85 fins T8AXC85 fins C85W1у8A T10D1SK3XC95finsC100W2у10中 国英 国日 本法 国德 国原苏联GB (YB )AISI SAE B.S.JISNF DIM (ГOCT)碳素工T10A XC95extra -fins C100W1у10A 具钢T12D1SK2,SKU2XC120fins C115W2у12T12A XC120extr a-fins C110W1у12A T8MnA SK5C85WSу8ГA 合金工9Mn2V 80M890MnV8具钢6SiCr 64SiCr56XC 9SiCr 90CrSi59XC 4SiCrV 45SiCrV64XC Cr2100C6105Cr5X Cr06SKS8110Cr2X05Cr12Steel for clod SKD1Z200C12X210Cr12X12working AlCrMn80M8145Cr6X Г5CrMnMo SKT555NCD7-0340CrMnM o75X ГM 5CrNiMo SKT465NCDV06-0255NiCrMo V65XHMCrWS SKS1120WC45-02X130W5XB5Cr12WSKD 2~X210CrW 123Cr2W8V AlW-Cr SKD5Z30WC09-03X30WCrV 9-33X2B8CrWMnSteel for clod SKS3180M8105WCr6working CXB Г5CrW2Si SKS41~45WC20-405XB2CCr12MoV Type (A)2SKD11Z200C12X165CrMoV12X12MWSKU8100WC15-04~120W4B1弹簧钢1074926092556150碳素工具钢W1-0.8C W1-0.8C-Special W1-1.0CW1-1.2C- Special2分类美 国W1-1.0C-Special W1-1.2C L4V1G(AMS)L1D3L6D 6~H21F1(续)W2SKS7115W8B2W9Cr4V2(A)14%W SKH6Z70WD12ABCP9W18Cr4V (A)18%W SKH2Z80W18S18-0-1,B18P18,P ф1W12Cr4V 4MoZ125WV,15-W S112-1-4,EV4P9ф5,P14ф4W6Mo5Cr4V2SKH93343W2Mn9Cr 4VCo8中 国英 国日 本法 国德 国原苏联GB (YB )AISI SAE B.S.JIS NFDIM(ГOCT)1Cr17Mn6Ni5NSUS20112X17Г9AH41Cr18Mn8Ni4284S16SUS20212X17Г9AH42Cr13Mn9Ni420X13H4Г91Cr17Ni7301S21SUS301Z12CN17.071Cr17Ni8SUS301JI X12CrNi1771Cr18Ni9302S25SUS302Z10CN18.09X12CrNi18812X18H91Cr18Ni9S i3SUS302B 0Cr19Ni9304S15SUS304Z6CN18.0X5CrNi1808X18H1000Cr9Ni11304S12SUS304L Z2CN18.0X2CrNi1803X18H110Cr19Ni9SUS304N10Cr19Ni10NbNSUS304N200Cr18Ni10N SUS304LN Z2CN18.10NX2CrNiN18101Cr18Ni12305S19SUS305Z18CN18.12X5CrNi181112X18H12T0Cr23Ni13SUS309S 0Cr25Ni20SUS310S0Cr17Ni12Mo2316S16SUS316Z6CND17.12X5CrNiMo 181008X17H13M2T00Cr17Ni14Mo2316S12SUS316L Z2CND17.12X2CrNiMo 181003X17H13M20Cr17Ni12Mo2N SUS316N00Cr17Ni13Mo2N SUS316LN Z2CND17.12NX2CrNiMo N18120Cr18Ni12Mo2Ti 320S17Z6CNDT17-12X10CrNiM oTi181008X17H13M2T1Cr18Ni12Mo2Ti 10X17H13M2T 0Cr18Ni12Mo2Cu2SUS316JI 00Cr18Ni14Mo2Cu2SUS316JIL高速钢T7T1M2M42分类美 国 锈201,S2*******,S2*******,S3*******B,S3*******,S3*******L,S0*******N,S30451XM21,S30452305,S30500301,S3*******S,S3*******S,S3*******,S3*******L,S31603(续)316N,S316510Cr18Ni12Mo3Ti Z6CNDT17-1308X17H15M3T1Cr18Ni12Mo3Ti 10X17H13M3T0Cr19Ni13Mo3317S16SUS31708X17H15M3T00Cr19Ni13Mo3317S12SUS317LZ2CND19.15X2CrNiMo 181603X16H15M3中 国英 国日 本法 国德 国原苏联GB (YB )AISI SAEB.S.JIS NFDIM(ГOCT)0Cr18Ni16Mo5SUS317JI0Cr18Ni11Ti321S20SUS321Z6CNT18.10X10CrNiTi 18908X18H10T1Cr18Ni9T iX10CrNiTi 18912X18H10T0Cr18Ni11N6347S17SUS347Z6CNNb18.10X10CrNiN b18908X18H12T 0Cr18Ni13Si4SUSXM15JI00Cr18Ni5Mo3Si21Cr18Ni11Si4AlTi 15X18H12-C4T101Cr21Ni5T 1X21H5T0Cr21Ni5Mo2SUS329JI 0Cr13Al 405S17SUS405Z6CA13X7CrA11300Cr12SUS410L 1Cr15SUS4291Cr17430S15SUS430Z8C17X8Cr1712X1700Cr17434S19SUS430LX 1Cr17Mo SUS434Z8CD17.0X6CrMo1700Cr17Mo SUS436L 00Cr18Mo 2SUS44400Cr30Mo 2SUS447J100Cr27Mo SUSXM27Z01CD26.1Cr12403S17SUS4031Cr13410S21SUS410Z12C13X10Cr1312X130Cr13SUS410S Z6C13X7Cr1308X132Cr13420S37SUS420J1Z20C13X20Cr1320X133Cr13420S45SUS420J230X133Cr16SUS429J1分中 国美 国英 国日 本法 国德 国原苏联不 锈 钢分类美 国317,S3*******L,S31703405,S4*******,S4*******,S43000不 锈 钢321,S32100347,S34700XM15,S38100XM27,S4*******,S40300410434,S4340018Cr2Mo410S,S4*******,S42000(续)2.有色金属材料牌号对照(表8—66)表8—66 有色金属材料牌号对照类GB(YB)ASTM,(SAE) B.S.JIS NF DIMГOCT工1070A10801A A1080A00业106010,701,060A1070(A199.6)A0纯1050A EC10501B A105A5A199.5A1铝10351030AД1 120011001C A1100A4A99A2 8A061200A1200AД防5040Д12锈5A025052N4A-5052A-G2AlMg2AMГ铝5A035154N5A-5154A-G3AlMg3AMГ3 5A055056N6A-5056A-G5AlMg5AMГ55A06AMГ6N7AMГ75056N6A-5056A-G5AlMg5AMГ5П5356AMГ5B 3A213003N3A-3003A-M1AlMn AMЦ硬2A012117L86A2117A-U2G AlCuMg0.5Д18П铝2A02BД17Д3П2A04Д19П2A06Д19Д2 2B112017A2017A-U4G AlCuMg1Д1П2B122024H14A2024A-U4G1AlCuMg2Д16П2A10B652A112017DTD A2017A-U4G AlCuMg1Д12A122024A2024A-U4G1AlCuMg2Д162A13AM42A162219A-U6MTД202A172021Д21锻6063H9A6063A-GS AlMgSi0.5AЛД铝6A026061H20A6061AlMgSiCu AB 2A50AK62B50H11AK6-12618H16A2N01A-U2GN AK4-1 2A80A-U2N AK42A902018A2018A-U4N AK22A142014H15A2014A-U4SG AlCuSiMg AK8超7A03B94硬7A047075A7075A-Z5GU AlZnMg1.5B95铝7076B95-17049A-Z8GU B967A097075A7075A-Z5GU AlZnMgC u1.5变MB1AIMIA DTD737,142,118MA1形MB2AZ31C MAG111M1MgAl3Zn MA2镁MB3MA2-1合MB4AZ61A MAG121M2MgAl6Zn MA3金MB6MA4 MB7A280X88B AZ61A MgAl7Zn MA5MB8AZ80A AM537MA8MB15AK60A DTD5031,5041AK60A BM65-1工TA1Ti-35A IMI115KS50BT1-0业TA2Ti-50A IMI125KS60BT1-1纯TA3Ti-65A IMI135KS85BT1-2钛钛TA4Ti-2Al48-T2合TA548-OT3金TA6BT5 TA7Ti-5Al-2Sn IMIB6KS115AS BT5-1TA8BT10TB1BT15钛TB2合TC1IMI315OT4-1金TC2OT4 TC3BT6CTC4Ti-6A-4V IMI137T-A6V BT6TC5BT3TC6BT3-1TC7AT6TC8BT8TC9BT9TC10Ti-6A-6V-2SnT-A6V6Sn2T3M2 T4M3 TU1101EOFCuP MB1 TU2102C103OF-CuP MB2黄H90220DTD713,CZ101RBs2Ms90Л90铜H80240DTD711,CZ103RBs4Ms80Л80H70260CZ106BsP1Ms70Л70H62280CZ119Bs3Л62 HPb63-3353216Ms63PЛC63-3 HPb59-1CZ111PbBs13Ms58ЛC59-1 HSn70-1443CZ112BsTF1SoMs71ЛO70-1 HSn62-1462NbsBE1ЛO62-1HAl60-1-1ЛAЖ60-1-1HMn58-2ЛMЦ58-2HFe59-1-1ЛЖМЦ59-1-1青QSn4-3MSnBZ4БРОЦ4-3铜QSn4-4-4B139BZ BC6MSnBZ4PbБРОЦC4-4-4QSn6.5-0.1B139,B159407-3SnBZ6БРОФ6.5-0.15QSn6.5-0.4519PBB2БРОФ6.5-0.4QSn7-0.2БРОФ7-0.2铜QAl9-2БРAMЦ9-2QAl9-4AB1БРAЖ9-4QAl10-3-1.5БРAЖM Ц10-3-1.5QAl10-4-4AMS46402033AB5NiAlBZ БРAЖH10-4-4QBe2172BeCu2БРБ2QBe1.7170BeCuP1БРБHT1.7QBe1.9БРБHT1.9序号中日板材类别日本标准牌号备注SPCSPCC普通用途冷轧板或带SPCD拉深用深拉深用SPCEN深拉深用(无时效)SPHSPHC普通用途热轧钢板(带)SPHD拉深用SPHE深拉深用冷轧不锈钢板(带)SUS××CP(SUS××CS)××为具体钢种代号数热轧不锈钢板(带)SUS××HP(SUS××HS)字(下同)SPGSPG1一般用途SPG2弯曲加工用SPG3拉深用SPG4结构件用SPTSPTE电镀锡板SPTE-D差后电镀锡板1冷轧薄钢板2热轧薄钢板(带)表8—67 中日板(带)材表示方法对照34镀锌薄钢板5镀锡薄钢板3. 中日板(带)材表示方法对照(表8—67)SPTH 热电镀锡板冷轧电工钢板S ××热轧电工钢板S ××F 铝板A ××P 铝带A ××R-0材软质-硬H 材硬-硬H 材铝板-硬质铝带H 材冷轧后自然时效-H 材-R 材铜板(带)纯铜板(带)RBSP (RBSR )黄铜板(带)BSP (BSR )磷青铜板(带)PBP (PBR )锌白铜板(带)NSP (NSR )白铜板(带)CNP (CNR )9钛板TP 678板。
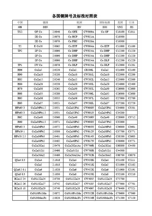
各国铜牌号及标准对照表铜合金牌号对照表一、铅黄铜牌号对照表:多为黄铜板二、普通黄铜牌号对照表三、紫铜牌号对照表常用铜合金牌号化学成分--中国牌号一、铅黄铜系列二、普通黄铜系列三、紫铜系列一、铅黄铜系列二、普通黄铜系列三、紫铜系列二、普通黄铜系列三、紫铜系列二、普通黄铜系列三、紫铜系列二、普通黄铜系列三、紫铜系列一、铅黄铜系列二、普通黄铜系列三、紫铜系列英国标准化学成分对照表标准号:BSG017-1981欧标材质标准(EN12164)化学成份注:CuZn36Pb2As(CW602N) As砷含量:0.02-0.05;Mn含量<0.1。
铜合金管棒型材常见缺陷分析1、过热、过烧:定义:金属在加热或加工过程,由于温度高、时间长岛之组织及晶粒出大现象称为过热,严重过热时晶间决不低熔点组元熔化或晶界弱化现象称为过烧。
产生原因:a、加热温度高、时间长或局部长时间处于高温源处;b、热挤压终了温度过高或者在高温区停留时间长;c、合金中存在低熔点组元或低熔点杂质较多。
2、裂纹或开裂:定义:管棒型材表面出现连续或间断不规则裂纹,轻微的称为裂纹,严重的称为开裂。
产生原因:a、铸造锭中存在裂纹、夹杂、缩孔、疏松、冷隔或其他有害杂质或结晶组织、化学成分严重不均匀;b、铸锭中存在较大应力或加工工艺不当产生较大应力;c、挤压速度过快,加工率过大;d、热处理工艺不当,加工或热处理处于材料的脆性温度区。
3、缩尾:定义:缩尾是挤制品尾部的一种特殊缺陷。
在挤压末期,由于金属紊流,铸锭表面的氧化皮,润滑剂等污物往往流入其中,而导致金属之间的分层。
产生原因:a、挤压尾部金属流动紊乱;b、铸锭表面、次表面有缺陷,挤压筒有润滑剂等污染物。
4、鼓泡定义:经挤制、拉制、退货后的产品表面沿着加工方向拉长的条状鼓起,解剖开后为一空腔,这种鼓起称为鼓泡。
鼓泡多呈长条形,表面光滑,剖开内部有金属光泽,个别伴生氧化物或其他夹杂。
产生原因:a、铸锭中有气孔、缩孔、夹杂等缺陷,经挤压、拉伸、冷轧后沿加工方向形成分层;b、挤压筒润滑剂过量;c、挤制品缩尾未切除干净,经进一步拉伸后形成分层。
钣金常用材料钣金加工中,常用的材料之一是不锈钢板,代号为SUS或STAINLESS STEEL。
常见的型号有SUS304(18-8不锈钢,无磁性)、SUS301(弹簧不锈钢,轻微磁性)和SUS430(有磁性,较易生锈)。
其抗拉强度为53kgf/mm2以上,材料厚度为0.1~10.0mm,而材料宽度最宽为5’(1524mm),一般为4’,即1219mm或1250mm,可依需要裁切小于1524mm之任意尺寸。
材料长度可依需要裁切任意尺寸,一般为8’,即2438mm或2500mm。
不锈钢板表面呈金属白色光泽,不易生锈,可分为雾面、亮面、镜面、拉丝面等。
为保护表面,经常贴上PVC保护膜。
不适宜做电镀,但适宜做冷冻、空调、家电、装饰结构件。
另一种常用的钣金材料是冷轧钢板,代号为SPCC或CRS。
常见的型号有SPCD(抽拉用冷板)和SPCE(深抽用冷板)。
其硬度为HRB1/2H=74~89、1/4H=65~80、1/8H=50~71、H=89以上,抗拉强度为28kgf/mm以上,材料厚度为0.25~3.2mm,3.2mm以上材料必须订制。
材料宽度最宽为5’(1524mm),一般为4’即1219mm或1250mm,可依需要裁切小于1524mm之任意尺寸。
材料长度可依需要裁切任意尺寸,一般为8’即2438mm或2500mm。
冷轧钢板表面呈铁灰色光泽,易刮伤、生锈,加工时须注意保护并快速转序。
适宜做电镀(镀五彩锌、镀白锌、镀镍、镀锡等)、烤漆、喷粉等工件。
其比重为7.85.在计算重量时,可使用公式:长(m)×宽(m)×厚(mm)×比重=公斤(kg)。
例如,SUS304 2.0×1220×2440的重量为2.0×1.22×2.44×7.95=44.65kg;SUS430 1.0×1000×2000的重量为1×1×2×7.95=15.9kg。
◆◇废旧金属常用专业词汇◇◆废铜Copper Scrap(中文)(英文)(备注)#1 光亮铜线 #1 bare bright bare[b ε?] 裸露的干净通讯线铜米 clean cable nodules nodules['n?dju:l] 小结#1铜管 candy candy:ISRI标准上专指# 1铜管水箱紫铜管(干净) tube of copper radiators (clean) radiator ['reidieit?] 散热器#2铜(92-93%) #2 copper (92-93%)马达铜(91-92%) motor copper (91-92%) motor ['m?ut?]马达紫杂铜(79-81%) mixed copper scrap(79-81%) scrap[skr?p] 碎片美国柜装黄铜( Fe<2%) USA honey (Fe﹤2%)H59 黄杂铜(含杂≈7%) H59 honey (impurity rate ≈7%) impurity [im'pju?r?ti]杂质H 代表这种铜材为黄铜,就是铜跟锌的合金59为含铜量美国柜装黄铜水箱 USA brass radiator brass[br?:s] 黄铜brass 只含一种 (要么只有杆,要么只有带,等等)honey 包含多种 (同时包含杆,带,或板,等等 ) 电解铜(国标) copper cathode (domestic standard) cathode['k? θ?ud] 阴极国标无氧杆 8mm oxygen-free copper rod 8mm oxygen ['?ksid??n] 氧8mm 指的是直径国标低氧杆 8mm low-oxygen copper rod 8mm rod [r?d] 杆国标成品铜线( 1.13-2.52mm) copper wire (1.13-2.52mm) 1.13-2.52mm 指的是直径因此处具体标准已给出,无需再说“ domesticstandard”高精度 H65铜带(0.3-0.8mm,Y2) high grade H65 copper strapstrap [str?p] 带(0.3-0.8mm,y2) H 代表这种铜材为黄铜65为含铜量0.3-0.8mm为厚度引铸非标黄铜枝Ф14-120 rod brass (14mm-120mm) Φ: 直径符号紫铜边料(干净) clean copper clippings clipping [klipi?] 碎片磷铜边料(高精度) high grade phosphor copperphosphor['f?sf?] 磷光体clippings镀白磷铜边料 tinned phosphor-copper clippings tinned ['tind]镀锡的镀白黄铜边料 tinned brass clippings65 黄铜边料(干净) 65 brass clippings(clean) 65为含铜量铜铝水箱( Cu≈45%.Al ≈53%) Al/Cu radiator (Cu≈45% Al ≈53%)带铁铜铝水箱 irony Al/Cu radiator irony ['ai?ni] 含铁的(Cu≈45%.Al≈43%.Fe≈10%)(Cu≈45%.Al≈43%.Fe≈10%)变压器铜(94-95%) copper transformer(94-95%) transformer [tr?ns'f?:m?]变压器干净杂线铜米 (95-96%) clean copper nodules (95-96%)紫铜砖(93%) copper brick (93%) brick [brik] 砖- 1 -◆◇废旧金属常用专业词汇◇◆覆铜板红料 (Cu≈45%) copper clad laminate (Cu≈45%) laminate ['l?mineit] 薄片 clad [kl?d] 覆盖的干净镀锡铜线clean tinned copper wire干净镀锡铜网 clean tinned copper net锡口铜(90-91%) tinned copper scrap (90-91%)镀铅铜粗线lead-coated copper wire lead [led] 铅火烧线(97-98%) burnt wire (97-98%)干净铜水箱 clean copper radiator Radiator [ 'reidieit ?] 水箱1#铜线(铜≈72%) 1# insulated copper wire (Cu≈72%) insulated [ in · su· la被tid隔]绝的2#铜线(铜≈50%-55%) 2# insulated copper wire(Cu≈50%-55% )1#2#混合铜线 1#2# mixed copper wire黄铜管 melon melon [ 'mel?n]铜铝变压器 Al/Cu transformer Transformer [ tr?ns'f ?:m ?]变压器2 号紫杂铜(铜≥ 94%) cliff (Cu ≥ 94%) Cliff [ klif ]铜铝电线Al/Cu cable黄铜屑 brass turning高级铜杂high grade copper bearing低级铜电线 low grade copper wire铜渣 copper dross dross [ dr?s] 渣废铝Aluminum Scrap(中文)(英文)(备注)国产A00 (送厂) domestic A00 (delivered to Nanhai)国产氧化铝alumina进口洁净6063 料 imported clean 6063 extrusion extrusion [ek'stru:??n]国产洁净6063 新料 domestic clean 6063 extrusion国产洁净6063 旧料 domestic clean 6063 extrusion scrap进口干净合金铝料 imported clean aluminum alloy extrusion干净港装报纸板 clean tablet ( litho sheet) tablet ['t?blit] 平板litho ['lai θ?u a]dj.=lithographic 平版印刷的sheet[?i:t] 薄片拆水箱铝( 85-87%) aluminum from radiator (85-87%)散装唛仔 bulk UBC bulk [b?lk] 大块UBC: Used Beverage['bev?rid?] Can 易拉罐中铝企业A00(华南地区) A00 from Chalco (south China market) Chalco 中国铝业电工圆铝杆( 9.5mm) electric aluminum rod coil 9.5mm coil [k?il] 圈,卷电泳铝材 electrophoresis aluminum profiles electrophoresis[,ilektr?f?'ri:sis]电泳喷涂铝材 spray-painting aluminum profiles spray-paint['spreipeint]喷涂profile ['pr?ufail] 型材- 2 -◆◇废旧金属常用专业词汇◇◆国标磨砂铝材 frosted aluminum profiles (domesticfrosted ['fr?:stid] 磨砂的standard)水箱铝复锭Al ingot (made by Al radiator) ingot ['i???t] 锭割胶铝线 EC wire EC: [i'n?m?l] Enamel-covered 漆包的割胶铝皮 clean Al from ACSR ACSR: Aluminum Conductor [k?n'd?kt?]Steel Reinforced[,ri:in'f?:s]钢芯铝线干净机件生铝clean industrial aluminum castings casting['k?:sti?]铸件机件生铝(Fe6%-8%) industrial aluminum castings (Fe6%-8%)变压器铝(94-95%) aluminum transformer (94-95%) transformer [tr?ns'f?:m?]变压器港装压块唛仔 (含杂≤4%) UBC baled densified (impurity≤4%) bale[beil] 把⋯打成大包densify ['densifai] 加密,变厚干净铝线pure aluminum wire生铝(Fe<3%) tense (Fe﹤3%)美国干净合金熟杂铝料 USA clean taint taint [teint] 混合旧铝合金板美国金属含量 93-95%切片铝料 zorba (93-95%) zorba ['z?:b?] 破碎混合金属废料,来源于汽车切片美国干净纯铝水箱 USA clean Al radiator铝屑 telic Telic [ 'telik ]6063 切头6063 clip clip [ kl?p] 切头带漆 6063 painted 6063 extrusion extrusion [ ex'tru · sion]带胶 6063 thermal 6063 extrusion thermal [ 'θ?:m ?l]热的,耐温的生杂铝(铁<2%) mixed cast (Fe<2%) Cast [ kɑ:st] 机铸生铝高级铝箔 high grade aluminum foil foil [f ??l] 箔胶皮铝线67% insulated aluminum wire 67%纯铝线段 EC wire nodules nodule ['n ?dju :l]小节废锌/铅/锡Zinc/Lead/Tin Scrap(中文)(英文)(备注)南华牌#0锌(批售价) Nanhua brand #0 Zn (Wholesale Price) wholesale['h?ulseil] 批发的(零售的 retail ['ri:teil] )广西、云南 #0(电解)批售价 electrolytic #0 Zn (Guangxi, Yunnan)云南、广西、湖南 # 1 (电解)批售 electrolytic # 1Zn (Yunnan, Guangxi,electrolytic [i,lektr?u'litik]电解的Hunan)贵州#1(火解)批售价 flame melting #1 Zn (Guizhou)#1 云锡锭 #1 tin ingot (Yunnan)电解铅锭#1(批售价) #1 electrolysis lead ingot electrolysis [,ilek'tr?lisis]电解干净蛇皮铅clean lead sheath from cable sheath[?i: θ(]电缆等的 ) 外皮铅皮 lead sheet sheet[?i:t] 薄片- 3 -◆◇废旧金属常用专业词汇◇◆铅渣 rents铅皮电缆 lead cable锡块(锡≥ 98%) ranch (Tin≥ 98%) ranch [ r?nt ?]锡渣 tin dross旧锌废料 score score [ sk?:]废合金 Alloy Scrap(中文)(英文)(备注)优质环保合金压铸铝锭ADC12 high grade aluminum ADC12 ADC : Alloy Die-casting 合金压铸标准合金压铸铝锭ADC12 standard aluminum ADC12合金压铸铝锭( #7铝) aluminum alloy #7 alloy [?'l?i] 合金锌合金(压铸#3 料) #3 zinc alloy废不锈钢Stainless Steel Scra(中文)(英文)(备注)金川镍#1 # 1Jin Chuan nickel plates nickel ['nik?l]镍plate[pleit] 金属板316 回炉废料 316 stainless steel scrap进口 304回炉料 18/8 imported 304 sabot18/8 sabot['s?b?u]304边料(国产) (Ni≈7.6-7.8%) domestic 304 sabot (N≈i 7.6-7.8%)不锈钢回炉料 (Ni ≈7.0-7.2%) remelt stainless steel scrap(N≈i7.0-7.2%) remelt [ri:'melt] 再熔化301 回炉料 (Ni≈5.9-6.1%) 301 stainless steel scrap (N≈i5.9-6.1%)430 回炉料 430 solids solid ['s?lid]304/2B 卷板(张浦)0.4mm 304/2B rolling sheet 0.4mm (Zhangpu) sheet[?i:t] 薄片304No.1 卷板(热轧)3mm 304 No.1 hot rolled sheet3mm201No.1(台湾)大卷白皮 3 201 No.1 rolling sheet3mm (Taiwan)201 回炉料 201 stainless steel scrap201 回炉料(旧管料) 201 SS (old pipe scrap)201热轧窄带201 hot rolled narrow strap边角废钢 busheling bushel [ 'bu?l:]带铁不锈钢 irony stainless steel热轧夕钢片 hot rolled silicon steel sheet silicon [ 'silik ?n] 硅冷轧夕钢片 cold rolled silicon steel sheet马口铁tinplate tinplate [ 'tinpleit ]破碎料 Shredded Materials(中文)(英文)(备注)- 4 -◆◇废旧金属常用专业词汇◇◆破碎紫铜( 91-92%) shredded copper (91-92%) shredded[?redid]变成碎片的破碎紫铜( 89-90%) shredded copper (89-90%)破碎杂线头铜米( 90-92%) chopped copper nodule(s 90-92%) nodules['n?dju:l] 小结破碎黄铜( Fe≤3%) shredded brass (F≤e3%) brass[br?:s] 黄铜破碎黄铜水箱 shredded brass radiator radiator ['reidieit?] 散热器破碎铅大料 shredded lead (large size)破碎生铝(91-93%) shredded tens(e 91-93%)破碎锌(84-86%) shredded zinc(84-86%)破碎熟铝( 90-92%) shredded tain(t 90-92%)破碎不锈钢(Ni ≈7.7-7.9%) shredded stainless steel (N≈i7.7-7.9%)废黑色金属 Ferrous Scrap (ferrous ['fer?s]铁的 )(中文)(英文)(备注)冲花边料 scrap iron (leftover material) leftover ['left,?uv?] material边角料机件生铁cast iron cast[k?:st]铸件边角料(厚度≥4mm) stainless steel clippingsclipping [klipi?] 碎片(thickness≥4mm)统废mix steel scrap mix [miks] n. 混合废汽车马达 Cu≈13%.Al≈5%.Fe≈78% electric motor(Cu≈13%Fe≈78%Al ≈5%)螺纹钢(韶钢)12mm HRB335(Shaoguan)12mm螺纹钢(韶钢)18-25mm HRB335(Shaoguan)18-25mm高线(韶钢)Ф6.5mm Q235 (ShaoguanФ) 6.5mm Φ: 直径符号冷板(鞍钢)0.7mm cold rolled sheet (Anshan) 0.7mm sheet[?i:t] 薄片 rolled [r?uld]轧制的马达铁motor iron motor ['m?ut?]马达 iron ['ai?n] 铁生铁pig iron含镍生铁nickel pig iron铁合金 ferroalloy ferroalloy [ fer ?u'?l ?i]【注】HRB335:"H"为Hardness-硬度, "R"为ROCK WELL 即洛氐硬度 (洛克威尔为此硬度标准的发明人故以其姓氏为硬度标准之名 , "B"为洛氐硬度值里的 B 款, 335 是硬度值。
广东西南铜铝金属材料有限公司
联系电话135******** 刘涛
公司生产出售各种牌号规格铜材:H62黄铜线,铜线、铜棒、铜带、铜板、铜排、铜管、紫铜、青铜、磷铜、铍铜、材质有:H96(C2100)、H90(C2200)、H80(C2400)、H70(C2600)、H68(C2680)、H65(2700)、H63(C2720)、H62(C2800)、HP59-1黄铜棒、H62黄铜板,C1100紫铜板,T3紫铜板……T8紫铜板、磷青铜C5102、C5210、C5191、C1220、C1040、C111,黄铜带 C2680、C2200、C2720、C2600、C2620,纯紫铜C1020、C1100、黄铜带、C1201、C1220,紫铜箔、黄铜箔,GB状态有O、1/2H 、1/4H、3/4H、H、EH、SH,高精密 黄铜带、紫铜、磷铜。
同时经营日本NGK、韩国、美国复银铜带、铍青铜带、锡磷青铜带、国产高精度和普通度的黄铜带、锡磷青铜带、锌白铜、双金属带等.用 途:建筑、医疗、机械、五金加工、航空等
特 点:产品规格齐全,价格优惠,包装完好,铜质纯净,直线度好,库存量大,可提供材质证明和SGS报告 。
另外本公司还可以根据客户需求定做各种非标铜合金,欢迎来电订购!
我公司诚待您的来电
C7521富有深冲性能。
用途:液晶体振元件外壳,晶体客壳,电位器用滑动片,医疗机械,建筑,管乐器。
钢材重量的计算方法⑴毛重是“净重”的对称,是钢材本身和包装材料合计的总重量。
运输企业计算运费时按毛重计算。
但钢材购销中是按净重计算。
⑵净重是“毛重”的对称。
钢材毛重减去包装材料重量后的重量,即实际重量,称之为净重。
在钢材购销中一般按净重计算。
⑶皮重钢材包装材料的重量,称之为皮重。
⑷重量吨按钢材毛重计算运费时使用的重量单位。
其法定计量单位为吨(1000kg),还有长吨(英制重量单位1016.16kg)、短吨(美制重量单位907.18kg)。
⑸计费重量亦称“计费吨”或“运费吨”。
运输部门收取运费的钢材重量。
不同的运输方式,有不同的计算标准和方法。
如铁路整车运输,一般以所使用的货车标记载重作为计费重量。
公路运输则是结合车辆的载重吨位收取运费。
铁路、公路的零担,则以毛重若干公斤为起码计费重量,不足时进整。
钢材理论重量计算钢材理论重量计算的计量单位为公斤( kg )。
其基本公式为:W (重量, kg ) = F (断面积 mm2 )× L (长度, m )×ρ(密度, g/cm3 )× 1/1000钢的密度为: 7.85g/cm3 ,各种钢材理论重量计算公式如下:名称(单位)计算公式符号意义计算举例圆钢盘条(kg/m)W= 0.006165 ×d 2 d = 直径mm 直径100 mm 的圆钢,求每m 重量。
每m 重量= 0.006165 ×1002=61.65kg螺纹钢(kg/m)W= 0.00617 ×d 2 d= 断面直径mm 断面直径为12 mm 的螺纹钢,求每m 重量。
每m 重量=0.00617 ×12 2=0.89kg方钢(kg/m)W= 0.00785 ×a 2 a= 边宽mm 边宽20 mm 的方钢,求每m 重量。
每m 重量= 0.00785 ×202=3.14kg扁钢(kg/m)W= 0.00785 ×b ×d b= 边宽mmd= 厚mm 边宽40 mm ,厚5mm 的扁钢,求每m 重量。
铜管的硬度检测方法1、焊接纯铜管在关于黄铜管的美国标准ASTMB36、B36M-91a和关于铜管的美国标准ASTMB152-92中都述及“洛氏硬度试验是检验各种状态黄铜(或纯铜)是否符合拉伸强度或晶粒大小要求最快而方便的方法”据美国标准ASTMB447-92a《焊接铜管》,焊接铜管的硬度用洛氏或表面洛氏硬度计检测。
各种状态的焊接铜管,其力学性能应符合表1和表2的规定。
据美国标准ASTMB587-88《焊接黄铜管》,焊接黄铜管的硬度用洛氏或表面洛氏硬度计检测。
各种状态焊接黄铜管的力学性能应符合表3和表4的规定毫米)的贺管、以及较大尺寸的两内平行表面间距离等于或大于3/15(4.76毫米)的矩形管(包括方形管)。
洛氏硬度值不能用于其他任何类型管。
洛氏硬度试验应在管材内表面上进行。
每个试样的洛氏硬度值应至少为三个读数的算术平均值。
用来测定所规定洛氏硬度的合适设备不易买到时,可根据供需双方协议采用其他洛氏标度和数值。
B.未规定最小晶料度,但是产品必须具有完全再结晶的晶粒组织结构。
3、无缝纯铜管据美国标准ASTMB75M-92a《无缝铜管》,无缝铜管的硬度用洛氏或表面洛氏硬度计检测。
各种状态无缝铜管的力学性能如表5所示。
毫米矩形管(包括方形管)。
洛氏硬度试验应在管材的内表面进行。
如没有合适的设备来测定所规定的洛氏硬度,根据需方与供方之间的协议,可采用其他洛氏硬度标尺和数据。
B.些洛氏硬度值只适用于壁厚≥0.40毫米管材,内径≥3.00毫米圆管和平行表面间的内距离为≥5.0毫米矩形管(包括方形管)。
一切其他管材洛氏硬度值均不能适用。
洛氏硬度试验应在管材的内表面上进行。
如没有合适的设备来测定所规定的洛氏硬度。
根据需方与供方之间的协议,可采用其他洛氏硬度标度和数据。
4、无缝黄铜管据美国标准ASTMB5M-91《无缝黄铜管》,无缝黄铜管的硬度用洛氏或表面洛氏硬度计检测。
各种状态的无缝黄铜管的力学性如表6、表7所示。
黄铜材质信息进口黄铜材质证明H62 H63 H65,黄铜棒,黄铜的成分、性能与应用黄铜是铜与锌的合金。
最简单的黄铜是铜-锌二元合金,称为简单黄铜或普通黄铜,改变黄铜中锌的含量可以得到不同机械性能的黄铜。
黄铜中锌的含量越高,其强度也较高,塑性稍低。
工业中采用的黄铜含锌量不超过45%,含锌量再高将会产生脆性,使合金性能变坏。
在黄铜中加1%的锡能显著改善黄铜的抗海水和海洋大气腐蚀的能力,因此称为“海军黄铜”。
锡能改善黄铜的切削加工性能。
铅黄铜即我们通常所说的易削国标铜。
加铅的主要目的是改善切削加工性和提高耐磨性,铅对黄铜的强度影响不大。
雕刻铜也是铅黄铜的一种。
多数黄铜具有良好色泽、加工性、延展性,易于电镀或涂装。
常用牌号有:H65、H62、H59、Hpb63-3、Hpb62-3、Hpb60-2、Hpb59-3、Hpb59-1、Hpb58-3等典型牌号化学成分,%Cu Fe Pb Ni Zn 杂质总和H68[C2620] 67.0-70.0 0.1 0.03 0.5 余量 0.3H65[C2680] 63.5-68.0 0.1 0.03 0.5 余量 0.3H62 60.5-63.5 0.15 0.08 0.5 余量 0.5H59 57.0-60.0 0.3 0.5 0.5 余量 1HPb59-1铅黄铜 57.0-60.0 0.5 0.8-1.9 1 余量 1品名称中国标准牌号国外相近牌号规格(mm)特点与用途国际标准美国日本英国德国板:厚度0.5-3.0mm宽度:610(最大)长度2500(最大)带:厚度0.15-3.00mm宽度610(最大)延展性及深冲性能优异,可镀性好。
用于建筑、日用装饰品、汽车散热片、电器接插件、管乐器等。
(ISO) (ASTM) (JIS) (BIS) (DIN)黄铜板带 H 90 CuZn10 C22000 C2200 CZ101 CuZn10H 70 CuZn30 C26000 C2600 CZ106 CuZn30H 68H 65 CuZn35 C26800 C2680 CZ107 CuZn36H 62牌号状态厚度(mm)抗拉强度(Mpa)伸长率(%)维氏硬度Hv中国标准H 90 M ≥0.3≥245≥35 --- GB/T2059-2000Y2 330-440 ≥5Y≥390≥3H 70H 68H 65 M ≥0.3≥290≥40 ---Y4 325-410 ≥35 75-125Y2 340-460 ≥25 85-145Y 390-530 ≥13 105-175T≥490≥4≥145M≥0.3≥290≥35 ---H 62 350-470 ≥20 85-145冷铆铅黄铜棒上海锴欣铜业提供图片黄铜矿。
纯铜、铜合金一、纯铜纯铜是玫瑰红色金属,表面形成氧化铜膜后呈紫色,故工业纯铜常称紫铜或电解铜。
密度为8-9g/cm3,熔点1083°C。
纯铜导电性很好,大量用于制造电线、电缆、电刷等;导热性好,常用来制造须防磁性干扰的磁学仪器、仪表,如罗盘、航空仪表等;塑性极好,易于热压和冷压力加工,可制成管、棒、线、条、带、板、箔等铜材。
纯铜产品有冶炼品及加工品两种。
分别见表6和表7。
表6冶炼铜的牌号、成分及用途表7加工铜的组别、牌号及成分二、铜合金(1)黄铜黄铜是铜与锌的合金。
最简单的黄铜是铜——锌二元合金,称为简单黄铜或普通黄铜。
改变黄铜中锌的含量可以得到不同机械性能的黄铜。
黄铜中锌的含量越高,其强度也较高,塑性稍低。
工业中采用的黄铜含锌量不超过45%,含锌量再高将会产生脆性,使合金性能变坏。
为了改善黄铜的某种性能,在一元黄铜的基础上加入其它合金元素的黄铜称为特殊黄铜。
常用的合金元素有硅、铝、锡、铅、锰、铁与镍等。
在黄铜中加铝能提高黄铜的屈服强度和抗腐蚀性,稍降低塑性。
含铝小于4%的黄铜具有良好的加工、铸造等综合性能。
在黄铜中加1%的锡能显著改善黄铜的抗海水和海洋大气腐蚀的能力,因此称为“海军黄铜”。
锡还能改善黄铜的切削加工性能。
黄铜加铅的主要目的是改善切削加工性和提高耐磨性,铅对黄铜的强度影响不大。
锰黄铜具有良好的机械性能、热稳定性和抗蚀性;在锰黄铜中加铝,还可以改善它的性能,得到表面光洁的铸件。
黄铜可分为铸造和压力加工两类产品。
常用加工黄铜的化学成分,见表8。
表8常用加工黄铜的化学成分(2)青铜青铜是历史上应用最早的一种合金,原指铜锡合金,因颜色呈青灰色,故称青铜。
为了改善合金的工艺性能和机械性能,大部分青铜内还加入其它合金元素,如铅、锌、磷等。
由于锡是一种稀缺元素,所以工业上还使用许多不含锡的无锡青铜,它们不仅价格便宜,还具有所需要的特种性能。
无锡青铜主要有铝青铜、铍青铜、锰青铜、硅青铜等。
广东盛源金属材料有限公司是中国金属材料协会成员,高素质的生产管理人员和现代化厂房,拥有一批知识渊博、经验丰富的技术人员,拥有先进的生产和检测设备,是生产金属材料的骨干企业,已通过ISO9001:2000标准质量体系认证、ISO14001环境体系认证。
在10余年的生产制造过程中,对产品的研发、推广、整合中形成了极强的核心竞争力,向市场提供可靠、质量稳定的产品。
是国内同行业中最大规模企业之一,可谓是佼佼者。
是宝钢一级代理商,常年销售山西太钢、日本(新日铁、住友)、台湾烨联、韩国(象麦、浦项)、上海宝钢、宁波宝新、广州联众等各大钢厂优质不锈钢材料。
产品主要有:不锈钢卷(带)材、不锈钢棒材、不锈钢线材、不锈钢六角棒等各种异型钢材等.主要材质有:SUS316L、316、304、304L、303、303F、302、301、310、310S、321、202、201等。
同时也代销进口的铜铝材等有色金属。
我公司奉行“诚信”的经营理念,创新进取,精益求精,内强素质,外塑形象!将真心诚意服务于客户,愿与新老客户携手共进、共创伟业! 竭诚欢迎各界朋友前来惠顾!
铜说明:
广东盛源金属材料有限公司东莞销售部长期供应进口、国产:铜材,铜带(黄铜带、磷铜带、铍铜带、紫铜带、红铜带、锡青铜带),铜板(黄铜板、磷铜板、青铜板、紫铜板、铍铜板、铝青铜板、硅青铜板、鉻锆铜板、锡青铜板),铜棒(黄铜棒、环保铜棒、磷青铜棒、紫铜棒、铍铜棒、铝青铜棒、硅青铜棒、鉻锆铜棒、锡青铜棒),铜线(黄铜线、紫铜线、环保铜线、硅青铜线、锡青铜线、磷铜线、铍铜线、),铜管(黄铜管、黄铜毛细管、紫铜管、磷铜管、铍铜管、青铜管、磷脱氧铜管),铜排,铜条,铜六角,铜方条等各种规格的异型材料;材质有:铅黄铜H59、H59-1、H59-2、C3604、C3602黄铜H60、H60-2、H63、H63-3、H65、H68、H70、H80、H90、H96;紫铜C1100、T1、T2、T3、T6、T8;磷铜C5291、C5210、C5240、C5211;铍铜C17200、C17500、C17000;锡青铜QSn4-3、QSn4-4-4、QSn6.5-0.1;铝青铜QAL9-2、QAL9-4、QAL10-4-4、QAl7等和各种材质的铝棒、铝板、铝管、铝带、铝线、铝排等等。
品质优良,规
格齐全,价格优惠,欢迎前来咨询订购!!!品质优越质量保证
!
铝说明:
广东盛源金属材料有限公司长期经营美国进口优质铝合金范
围:T6061-T6,6061-T651,A5052-H32,T7075-T651,7075-T6,
1100,1050,1060,2011,2014,
2017,2024,3003,6262,7022,7050,7072,6061,6101,6063,6066,6082,6082-T6,7075,505 0,5052,5056,5083,5086合金铝板/棒/管材等★经营国产优质铝材范
围:T6061-T6.A5052-H32,T7075-T651,6063,6082,
6082-T6,5083,5356,7050,6061,5052,1050,1060,2017,3003,491,L Y12,LC4,1xxx,7009等合金铝板/棒/管材,常备现货铝板/厚度如下: 6061 : 2 mm~235 mm;
7075 :2 mm~180 mm 5052 :2 mm~50 mm;5083:8 mm~60 mm
T7075-651:10mm~180mm 6063:2mm~70mm 2017 :10mm~60mmT6061-T6:4mm~254mm A5052-H32:0.6mm~5mm 整板规格为: 1220 mm x 2440 mm或1525 mmx 3050 mm感谢你查看我司信息!如有其他需要欢迎来电咨询,本公司将
免费送货服务!。