完全平方公式变形的应用练习题
- 格式:doc
- 大小:79.50 KB
- 文档页数:2
乘法公式的拓展及常见题型整理一.公式拓展:拓展一:a 2 b 2 =(a b)2_2aba 2 1 = (a —)2- 2a a拓展二:(a b)2一(a _b)2=4ab(a b)2 = (a -b)24ab2 2 2a b =(a -b) 2ab a 2 4 = (a _丄)2 2 a a2 2 2 2 a b ]亠[a 「b 2a2b(a -b)2 = (a b)2 -4ab拓展三:a 2• b 2c 2=(a b c)2_2ab _2ac _2bc 拓展四:杨辉三角形(a b)‘ 二 a 3 3a 2b 3ab 2 b 3 (a b)4 二 a 4 4a 3b 6a 2b 2 4ab 3 b 4拓展五: 立方和与立方差(一) 公式倍比(1) ________________________________________________________ 如果 a - b=3, a - c = 1,那么 a - b i 亠 lb - c i 亠 i.c - a 的值是 __________________ — 1⑵ x y =1,则一 x 2 xy y 2=2 22 + 2⑶已知口 X(X_1) _(x 2_y) = -2,贝y -L _xy= __________2(二) 公式组合例题:已知(a+b) 2=7,(a-b) 2=3, 求值:(1)a 2+b 2(2)ab例题:已知a b =4,求ab 。
a 3b 3 = (a b)(a 2 _ab b 2) a 3 _b 3 二(a _b)(a 2 ab b 2).常见题型:⑴若(a —b)2=7, (a+b)2 =13,则a 2+b 2= ___________________ , ab = ________⑵设(5a + 3b ) 2= (5a — 3b ) 2+ A ,贝U A= __________ ⑶若(x _ y)2= (x • y)2a ,贝H a 为 __________⑷如果(x-y)2• M ^(x y)2,那么M 等于 ________________⑸已知(a+b) 2=m (a — b) 2=n ,贝U ab 等于 ________2 2⑹若(2a-3b) =(2a3b) N,则N 的代数式是 _________________⑺已知(a ,b)2=7,(a-b)2 =3,求 a 2 b 2 ab 的值为 _______________ 。
平方差、完全平方公式专项练习题完全平方式常见的变形有:ab b a b a 2)(222-+=+ ab b a b a 2)(222+-=+ab b a b a 4)(22=--+)(bc ac ab c b a c b a 222)(2222---++=++1.已知()5,3a b ab -==求2()a b +与223()a b +的值。
2.已知6,4a b a b +=-=求ab 与22a b +的值。
3.已知224,4a b a b +=+=求22a b 与2()a b -的值。
4.已知(a +b)2=60,(a -b)2=80,求a 2+b 2及a b 的值5.已知6,4a b ab +==,求22223a b a b ab ++的值。
6.已知 2()16,4,a b ab +==求223a b+与2()a b -的值。
7.已知16x x -=,求221x x+的值 8.0132=++x x ,求(1)221x x +(2)441x x +9.已知m 2+n 2-6m+10n+34=0,求m+n 的值10.已知0136422=+-++y x y x ,y x 、都是有理数,求y x 的值。
11.已知222450x y x y +--+=,求21(1)2x xy --的值。
12.试说明不论x,y 取何值,代数式226415x y x y ++-+的值总是正数。
13、已知三角形 ABC 的三边长分别为a,b,c 且a,b,c 满足等式22223()()a b c a b c ++=++,请说明该三角形是什么三角形?整式的乘法、平方差公式、完全平方公式、整式的除法一、填空1、若a 2+b 2-2a +2b +2=0,则a 2004+b 2005=________.2、一个长方形的长为(2a +3b ),宽为(2a -3b ),则长方形的面积为________.3、5-(a -b )2的最大值是________,当5-(a -b )2取最大值时,a 与b 的关系是________.4.要使式子0.36x 2+41y 2成为一个完全平方式,则应加上________. 5.(4a m+1-6a m )÷2a m -1=________.6.29×31×(302+1)=________.7.已知x 2-5x +1=0,则x 2+21x=________. 8.已知(2005-a )(2003-a )=1000,请你猜想(2005-a )2+(2003-a )2=________.二、相信你的选择9.若x 2-x -m =(x -m )(x +1)且x ≠0,则m 等于A.-1B.0C.1D.210.(x +q )与(x +51)的积不含x 的一次项,猜测q 应是 A.5 B.51 C.-51 D.-5 11.下列四个算式:①4x 2y 4÷41xy =xy 3;②16a 6b 4c ÷8a 3b 2=2a 2b 2c ;③9x 8y 2÷3x 3y =3x 5y ; ④(12m 3+8m 2-4m )÷(-2m )=-6m 2+4m +2,其中正确的有A.0个B.1个C.2个D.3个12.设(x m -1y n +2)·(x 5m y -2)=x 5y 3,则m n 的值为A.1B.-1C.3D.-313.计算[(a 2-b 2)(a 2+b 2)]2等于A.a 4-2a 2b 2+b 4B.a 6+2a 4b 4+b 6C.a 6-2a 4b 4+b 6D.a 8-2a 4b 4+b 814.已知(a +b )2=11,ab =2,则(a -b )2的值是A.11B.3C.5D.1915.若x 2-7xy +M 是一个完全平方式,那么M 是 A.27y 2 B.249y 2 C.449y 2 D.49y 2 16.若x ,y 互为不等于0的相反数,n 为正整数,你认为正确的是A.x n 、y n 一定是互为相反数B.(x1)n 、(y 1)n 一定是互为相反数 C.x 2n 、y 2n 一定是互为相反数 D.x 2n -1、-y 2n -1一定相等1.下列多项式乘法,能用平方差公式进行计算的是( )A.(x+y)(-x -y)B.(2x+3y)(2x -3z)C.(-a -b)(a -b)D.(m -n)(n -m)2.下列计算正确的是( )A.(2x+3)(2x -3)=2x 2-9B.(x+4)(x -4)=x 2-4C.(5+x)(x -6)=x 2-30 D.(-1+4b)(-1-4b)=1-16b 23.下列多项式乘法,不能用平方差公式计算的是( )A.(-a -b)(-b+a)B.(xy+z)(xy -z)C.(-2a -b)(2a+b)D.(0.5x -y)(-y -0.5x)4.(4x 2-5y)需乘以下列哪个式子,才能使用平方差公式进行计算( )A.-4x 2-5yB.-4x 2+5yC.(4x 2-5y)2D.(4x+5y)25.a 4+(1-a)(1+a)(1+a 2)的计算结果是( )A.-1B.1C.2a 4-1D.1-2a 46.下列各式运算结果是x 2-25y 2的是( )A.(x+5y)(-x+5y)B.(-x -5y)(-x+5y)C.(x -y)(x+25y)D.(x -5y)(5y -x)三、考查你的基本功17.计算(1)(a -2b +3c )2-(a +2b -3c )2;(2)[ab (3-b )-2a (b -21b 2)](-3a 2b 3);(3)-2100×0.5100×(-1)2005÷(-1)-5;(4)[(x +2y )(x -2y )+4(x -y )2-6x ]÷6x .18.(6分)解方程x (9x -5)-(3x -1)(3x +1)=5.五、探究拓展与应用20.计算.(2+1)(22+1)(24+1)=(2-1)(2+1)(22+1)(24+1)=(22-1)(22+1)(24+1)=(24-1)(24+1)=(28-1).根据上式的计算方法,请计算(3+1)(32+1)(34+1)…(332+1)-2364的值. 1.当代数式532++x x 的值为7时,求代数式2932-+x x 的值.2.已知2083-=x a ,1883-=x b ,1683-=x c ,求:代数式bc ac ab c b a ---++222的值。
完全平方公式的变形及其应用多项式乘法的完全平方公式的变形形式很多,且应用广泛,下面结合例题,介绍完全平方公式的变形“公式”及其应用。
一、变式1:2a +2b =()2a b +-2ab这样因为:由()2a b +=2a +2b +2ab ,移项,得2a +2b =()2a b +-2ab 。
例1 已知x +y =5,xy =2,求下列各式的值:(1)2x +2y ;(2)4x +4y . 解 由变式1,得(1)2x +2y =()2x y +-2xy =25-2×2=21.(2)4x +4y =()222x y +-222x y =221-2×4=433. 二、变式2:2a +2b =()2a b -+2ab这是因为:由()2a b -=2a -2ab +2b ,移项,得2a +2b =()2a b -+2ab 。
例2 已知a -1a =5,求2a +21a的值。
解 由变式2,得2a +21a =21a a ⎛⎫- ⎪⎝⎭+2=25+2=27. 三、变式3:ab =12()()222a b a b ⎡⎤+-+⎣⎦ 这是因为:由()2a b +=2a +2b +2ab ,得2ab =()2a b +-(2a +2b ),两边同除以2,得ab =12()()222a b a b ⎡⎤+-+⎣⎦。
例3 已知a +b =7,2a +2b =29,求ab 的值。
解 由变式3,得ab =12()()222a b a b ⎡⎤+-+⎣⎦=12[27-29]=10. 四、变式4:ab =12()()222a b a b ⎡⎤+--⎣⎦ 这是因为:由()2a b -=2a -2ab +2b ,移项得2ab =(2a +2b )-()2a b -,两边同除以2,得ab =12()()222a b a b ⎡⎤+--⎣⎦。
例4 已知a -b =3,2a +2b =5,求ab 的值。
解 由变式4,得ab =12()()222a b a b ⎡⎤+--⎣⎦=12[5-23]=-2.五、变式5:()2a b +=()2a b -+4ab这是因为:()2a b +=2a +2b +2ab =(2a +2b -2ab )+4ab =()2a b -+4ab 。
完全平方公式专项练习60题(有答案)1.(1)(x+y﹣z)(x+y+z);(2)(x+y)2﹣(x﹣y)2.2.已知a﹣b=3,ab=2,求:(1)(a+b)2 (2)a2﹣6ab+b2的值.3.已知(a+b)2=6,(a﹣b)2=2,试比较a2+b2与ab的大小.4.已知(x+y)2=7,(x﹣y)2=3.求:(1)x2+y2的值;(2)x4+y4的值;(3)x6+y6的值.5.已知a2+b2=13,ab=6,求a+b的值.6.已知x+y=3,x2+y2﹣3xy=4.求下列各式的值:(1)xy;(2)x3y+xy3.7.阅读理解:求代数式y2+4y+8的最小值.解:∵y2+4y+8=(y2+4y+4)+4=(y+2)2+4≥4∴当y=﹣2时,代数式y2+4y+8的最小值是4.仿照应用(1):求代数式m2+2m+3的最小值.仿照应用(2):求代数式﹣m2+3m+的最大值.8.已知a2+b2=1,a﹣b=,求a2b2与(a+b)4的值.9.已知实数a,b满足a(a+2)﹣(a2+b)=6,求4a2﹣4ab+b2﹣8a+4b﹣15的值.10.99.82.11.用乘法公式计算:.12.利用公式求2×20092﹣20102﹣20082的值.13.已知:x2+3x+1=0,求的值.14.已知,试求的值.15.已知a2+3a+1=0,求:①,②,③.16.已知x﹣y=6,xy=﹣8,(1)求x2+y2的值;(2)求代数式的值.17.已知(2012﹣a)•(2010﹣a)=2011,求(2012﹣a)2+(2010﹣a)2的值.18.已知x+y=1,求x2+xy+y2的值.19.如果a+b+c=0,,求(a+1)2+(b+2)2+(c+3)2的值.20.已知a+b=3,ab=﹣10,求下列各式的值.(1)a2+b2(2)a2﹣ab+b2(3)(a﹣b)2.21.若(x﹣z)2﹣4(x﹣y)(y﹣z)=0,试求x+z与y的关系.22.证明:(a+b+c)2+a2+b2+c2=(a+b)2+(b+c)2+(a+c)2.23.已知a+b+c=1,a2+b2+c2=2,求ab+bc+ca的值.24.运用完全平方公式计算(1)(x+y)2 (2)(2a+3b)2 (3)(4)(5)(a﹣1)2 (6).25.运用完全平方公式计算(1)100.22 (2)98×98 (3)372(4)(5)20082 (6).26.已知(a+b)2=3,(a﹣b)2=23,求代数式a2+b2﹣3ab的值.27.已知a+b+c=1,a2+b2+c2=2,a3+b3+c3=3,求(1)abc的值:(2)a4+b4+c4的值.28.已知m=4x2﹣12xy+10y2+4y+9,当x、y各取何值时,m的值最小?29.计算:5062+1012×505+5052﹣10102.30.先阅读下面的内容,再解决问题,例题:若m2+2mn+2n2﹣6n+9=0,求m和n的值.解:∵m2+2mn+2n2﹣6n+9=0∴m2+2mn+n2+n2﹣6n+9=0∴(m+n)2+(n﹣3)2=0∴m+n=0,n﹣3=0∴m=﹣3,n=3问题(1)若x2+2y2﹣2xy+4y+4=0,求x y的值.(2)已知a,b,c是△ABC的三边长,满足a2+b2=10a+8b﹣41,且c是△ABC中最长的边,求c的取值范围.31.如果36x2+(m+1)xy+25y2是一个完全平方式,求m的值.32.已知多项式4x2+1,添上一项,使它成为一个完全平方式,你有哪几种方法?33.如果x2+2(m﹣2)x+9是完全平方式,那么m的值等于_________ .34.已知a2﹣4a+4+9b2+6b+1=0,求a、b的值.35.试说明:(a2+3a)(a2+3a+2)+1是一个完全平方式.36.已知a=2002,b=2003,c=2004,求a2+b2+c2﹣ab﹣ac﹣bc的值.37.代数式(a+1)(a+2)(a+3)(a+4)+1是一个完全平方式吗?请说明你的理由.38.已知(a+1)(a+2)(a+3)(a+4)+m是一个完全平方式,求常数m的值.39.x,y都是自然数,求证:x2+y+1和y2+4x+3的值不能同时是完全平方.40.试求出所有整数n,使得代数式2n2+n﹣29的值是某两个连续自然数的平方和.41.若x2+2xy+y2﹣a(x+y)+25是完全平方式,求a的值.42.已知二次三项式9x2﹣(m+6)x+m﹣2是一个完全平方式,试求m的值.43.观察下列等式:1×32×5+4=72=(12+4×1+2)22×42×6+4=142=(22+4×2+2)23×52×7+4=232=(32+4×3+2)24×62×8+4=342=(42+4×4+2)2…(1)根据你发现的规律,12×142×16+4是哪一个正整数的平方;(2)请把n(n+2)2(n+4)+4写成一个整数的平方的形式.44.(1)当a=﹣2,b=1时,求两个代数式(a+b)2与a2+2ab+b2的值;(2)当a=﹣2,b=﹣3时,再求以上两个代数式的值;(3)你能从上面的计算结果中,发现上面有什么结论.结论是:_________ ;(4)利用你发现的结论,求:19652+1965×70+352的值.45.当a=﹣3,b=1,时,分别求代数式(a﹣b)2与a2﹣2ab+b2的值,并比较计算结果;你有什么发现?利用你发现的结果计算:20122﹣2×2012×2011+20112.46.一个正整数a恰好等于另一个正整数b的平方,则称正整数a为完全平方数.如64=82,64就是一个完全平方数;若a=29922+29922×29932+29932.求证:a是一个完全平方数.47.用图说明公式:(a+b+c+d)2=a2+b2+c2+d2+2ab+2ac+2ad+2bc+2bd+2cd.48.观察如图图形由左到右的变化,计算阴影部分的面积,并用面积的不同表达形式写出相应的代数恒等式.49.如图所示:(1)指出图中有多少个边长为a的正方形?有多少个边长为b的正方形?有多少个两边长分别为a和b的矩形?(2)请在图中指出面积为(a+2b)2的图形,利用乘法公式计算结果,并利用图形的关系验证相应的结果.50.计算:(1)(x3n+1)(x3n﹣1)﹣(x3n﹣1)2;(2)(2x n+1)2(﹣2x n+1)2﹣16(x n+1)2(x n﹣1)2.51.阅读下列文字:我们知道对于一个图形,通过不同的方法计算图形的面积时,可以得到一个数学等式,例如由图(a)可以得到a2+3ab+2b2=(a+2b)(a+b).请解答下列问题:(1)写出图(b)中所表示的数学等式_________ ;(2)试画出一个长方形,使得计算它的面积能得到2a2+3ab+b2=(2a+b)(a+b).52.如图是用四个长、宽分别为a、b(a>b)的相同长方形和一个小正方形镶嵌而成的正方形图案.(1)用含有a、b的代数式表示小正方形的面积.(用两种不同的形式来表示)(2)如果已知大正方形图案的面积为28,小正方形的面积是6,求a2+b2+ab的值.53.图1是一个长为2a,宽为2b的长方形,沿图中虚线剪开,可分成四块小长方形.(1)你认为图1的长方形面积等于_________ ;(2)将四块小长方形拼成一个图2的正方形.请用两种不同的方法求图2中阴影部分的面积.方法1:_________ ;方法2:_________ ;(3)观察图2直接写出代数式(a+b)2、(a﹣b)2、ab之间的等量关系_________ ;(4)把四块小长方形不重叠地放在一个长方形的内部(如图3),未被覆盖的部分用阴影表示.求两块阴影部分的周长和(用含m、n的代数式表示).54.已知x1,x2,x3,…,x n中每一个数值只能取﹣2,0,1中的一个,且满足x1+x2+…+x n=﹣17,x12+x22+…+x n2=37,求x13+x23+…+x n3的值.55.我国宋朝数学家杨辉在他的著作《详解九章算法》中提出“杨辉三角”(如图),此图揭示了(a+b)n(n为非负整数)展开式的项数及各项系数的有关规律.例如:(a+b)0=1,它只有一项,系数为1;(a+b)1=a+b,它有两项,系数分别为1,1,系数和为2;(a+b)2=a2+2ab+b2,它有三项,系数分别为1,2,1,系数和为4;(a+b)3=a3+3a2b+3ab2+b3,它有四项,系数分别为1,3,3,1,系数和为8;…根据以上规律,解答下列问题:(1)(a+b)4展开式共有_________ 项,系数分别为_________ ;(2)(a+b)n展开式共有_________ 项,系数和为_________ .56.阅读下列材料并解答后面的问题:利用完全平方公式(a±b)2=a2±2ab+b2,通过配方可对a2+b2进行适当的变形,如a2+b2=(a+b)2﹣2ab或a2+b2=(a﹣b)2+2ab.从而使某些问题得到解决.例:已知a+b=5,ab=3,求a2+b2的值.解:a2+b2=(a+b)2﹣2ab=52﹣2×3=19.问题:(1)已知a+=6,则a2+= _________ ;(2)已知a﹣b=2,ab=3,求a4+b4的值.57.阅读材料:把形如ax2+bx+c的二次三项式(或其一部分)配成完全平方式的方法叫做配方法.配方法的基本形式是完全平方公式的逆写,即a2±2ab+b2=(a±b)2.例如:(x﹣1)2+3、(x﹣2)2+2x、(x﹣2)2+x2是x2﹣2x+4的三种不同形式的配方(即“余项”分别是常数项、一次项、二次项﹣﹣见横线上的部分).请根据阅读材料解决下列问题:(1)比照上面的例子,写出x2﹣4x+2三种不同形式的配方;(2)将a2+ab+b2配方(至少两种形式);(3)已知a2+b2+c2﹣ab﹣3b﹣2c+4=0,求a+b+c的值.58.1261年,我国宋代数学家杨辉写了一本书《详解九章算术》.书中记载了一个用数字排成的三角形我们叫作杨辉三角形(a+b)0=1 (1)(a+b)1=a+b…1 1(a+b)2=a2+2ab+b2…1 2 1(a+b)3=a3+3a2b+3ab2+b3…1 3 3 1(a+b)4=a4+4a3b+6a2b2+4ab3+b4…••1 4 6 4 1(1)请写出第五行的数字_________ ;(2)第n行杨辉三角形数字与(a+b)n的展开结果关系如上图所示,请写出(a+b)5的展开结果;(3)已知(a﹣b)1=a﹣b,(a﹣b)2=a2﹣2ab+b2,(a﹣b)3=a3﹣3a2b+3ab2﹣b3(a﹣b)4=a4﹣4a3b+6a2b2﹣4ab3+b4.请写出(a﹣b)5的展开结果.59.先阅读下面一段文字,然后猜想,解答问题:由32=9=4+5,发现有32+42=52成立;又52=25=12+13,仍然有52+122=132;而72=49=24+25,还是有72+242=252…(1)猜想92=81=x+y(x、y均为正整数,且x<y),并且92+x2=y2,则x= _________ ,y= _________ .(2)是否大于1的奇数都有上面这样的规律?证明你的猜想.60.操作与探究(1)比较下列两个算式结果的大小(在横线上填“>”“=”“<”(每空1分)①32+42_________ 2×3×4;②()2+()2_________ 2××;③(﹣2)2+(﹣3)2_________ 2×(﹣2)×(﹣3);④(﹣)2+(﹣)2_________ 2×(﹣)×(﹣)⑤(﹣4)2+(﹣4)2_________ 2×(﹣4)×(﹣4)…(2)观察并归纳(1)中的规律,用含a,b的一个关系式把你的发现表示出来.(3)若已知mn=8,且m,n都是正数,试求2m2+2n2的最小值.参考答案:1.解:(1)原式=(x+y)2﹣z2=x2+2xy+y2﹣z2;(2)原式=(x+y+x﹣y)(x+y﹣x+y)=4xy.2.解:(1)将a﹣b=3两边平方得:(a﹣b)2=a2+b2﹣2ab=9,把ab=2代入得:a2+b2=13,则(a+b)2=a2+b2+2ab=13+4=17;(2)a2﹣6ab+b2=a2+b2﹣6ab=13﹣12=13.解:∵(a+b)2=a2+b2+2ab=6①,(a﹣b)2=a2+b2﹣2ab=2②,∴①+②得:2(a2+b2)=8,即a2+b2=4;①﹣②得:4ab=4,即ab=14.解:(1)∵(x+y)2=7,(x﹣y)2=3,x2+2xy+y2=7,x2﹣2xy+y2=3,∴x2+y2=5,xy=1;(2)x4+y4=(x2+y2)2﹣2x2y2=25﹣2=23;(3)x6+y6=(x2+y2)(x4﹣x2y2+y4)=5×(23﹣1)=1105.解:∵a2+b2=13,ab=6,(a+b)2=a2+2ab+b2=a2+b2+2ab=13+2×6=25,∴a+b==±5.6.解:(1)∵x+y=3,∴(x+y)2=9,∴x2+y2+2xy=9,∴x2+y2=9﹣2xy,代入x2+y2﹣3xy=4,∴9﹣2xy﹣3xy=4,解得:xy=1.(2)∵x2+y2﹣3xy=4,xy=1,∴x2+y2=7,又∵x3y+xy3=xy(x2+y2),∴x3y+xy3=1×7=77.解:应用(1)m2+2m+3=(m2+2m+1)+2=(m+1)2+2≥2,∴当m=﹣1时,m2+2m+3的最小值是2,应用(2)﹣m2+3m+=﹣(m2﹣3m+)++=﹣(m﹣)2+3≤3,∴当m=时,﹣m2+3m+的最大值是38.解:a2+b2=1,a﹣b=,∴(a﹣b)2=a2+b2﹣2ab,∴ab=﹣[(a﹣b)2﹣(a2+b2)]=﹣×(﹣1)=,∴a2b2=(ab)2=()2=;∵(a+b)2=(a﹣b)2+4ab=+4×=,∴(a+b)4=[(a+b)2]2=9.解:∵a(a+2)﹣(a2+b)=6,∴a2+2a﹣a2﹣b=6,∴2a﹣b=6,原式=(2a﹣b)2﹣4(2a﹣b)﹣15,当2a﹣b=6时,原式=62﹣4×6﹣15=﹣3 10.解:99.82=(100﹣0.2)2,=1002﹣2×100×0.2+0.22,=10000﹣40+0.04,=9960.0411.解:===164012.解:设a=2009,原式=2a2﹣(a+1)2﹣(a﹣1)2=2a2﹣a2﹣2a﹣1﹣a2+2a﹣1=﹣213.解:∵x≠0,∴已知方程变形得:x+3+=0,即x+=﹣3,则x2+=(x+)2﹣2=9﹣2=714.解:对式子两边平方得,a2+﹣2=,∴a2+=,∴()2=a2++2,=+2,=,∴=±15.解:①∵a2+3a+1=0,∴a≠0,∴在等式的两边同时除以a,得a+3+=0,∴a+=﹣3;②由①知,a+=﹣3,则(a+)2=+2=9,解得,=7;③由②知,=7,则()2=+2=49,解得,=4716.解:(1)∵x﹣y=6,xy=﹣8,∴(x﹣y)2=x2+y2﹣2xy,∴x2+y2=(x﹣y)2+2xy=36﹣16=20;(2)∵(x+y+z)2+(x﹣y﹣z)(x﹣y+z)﹣z(x+y),=(x2+y2+z2+2xy+2xz+2yz)+[(x﹣y)2﹣z2]﹣xz﹣yz,=x2+y2+z2+xy+xz+yz+x2+y2﹣xy﹣z2﹣xz﹣yz,=x2+y2,又∵x2+y2=20,∴原式=2017.解:∵(2012﹣a)•(2010﹣a)=2011,∴(2012﹣a)2+(2010﹣a)2=[(2012﹣a)﹣(2010﹣a)]2+2(2012﹣a)(2010﹣a)=4+2×2011=402618.解:x2+xy+y2=(x+y)2=×1=.19.解:由,去分母,得(b+2)(c+3)+(a+1)(c+3)+(a+1)(b+2)=0,而(a+1)2+(b+2)2+(c+3)2=[(a+1)+(b+2)+(c+3)]2﹣2[(b+2)(c+3)+(a+1)(c+3)+(a+1)(b+2)] =(a+b+c+6)2=(0+6)2=3620.解:(1)a2+b2=(a+b)2﹣2ab=9+20=29;(2)a2﹣ab+b2=(a+b)2﹣3ab=9+30=39;(3)原式=(a+b)2﹣4ab=9+49=5821.解:∵x﹣z=x﹣y+y﹣z,∴原式可化为[(x﹣y)+(y﹣z)]2﹣4(x﹣y)(y﹣z)=0,(x﹣y)2﹣2(x﹣y)(y﹣z)+(y﹣z)2=0,(x﹣y﹣y+z)2=0,∴x+z=2y22.证明:(a+b+c)2+a2+b2+c2=[(a+b)+c]2+a2+b2+c2,=(a+b)2+2(a+b)c+c2+a2+b2+c2,=(a+b)2+2ac+2bc+c2+a2+b2+c2,=(a+b)2+(a2+2ac+c2)+(b2+2bc+c2),=(a+b)2+(a+c)2+(b+c)223.解:∵a+b+c=1,∴(a+b+c)2=a2+b2+c2+2ab+2bc+2ac=1,∵a2+b2+c2=2,∴2+2ab+2bc+2ac=1,解得ab+bc+ac=﹣24.解:(1)原式=x2+2xy+y2;(2)原式=4a2+12ab+9b2;(3)原式=m2+4m+16;(4)原式=x2+x+;(5)原式=a2﹣2a+1;(6)原式=﹣2ab+9b225.(1)原式=(100+0.2)2=10000+40+0.04=10040.04;(2)原式=(100﹣2)2=10000﹣400+4=9604;(3)原式=(40﹣3)2=1600﹣240+9=1351;(4)原式=(20+)2=400+20+=420;(5)原式=(2000+8)2=4000000+32000+64=4032064;(6)原式=(14+)2=196++=217.26.解:∵(a+b)2=a2+2ab+b2=3①,(a﹣b)2=a2﹣2ab+b2=23②,∴①+②得:2(a2+b2)=26,即a2+b2=13,①﹣②得:4ab=﹣20,即ab=﹣5,则原式=13+15=2827.解:(1)(a+b+c)2=a2+b2+c2+2(ab+bc+ac),即1=2+2(ab+bc+ac),∴ab+bc+ac=﹣,a3+b3+c3﹣3abc=(a+b+c)(a2+b2+c2﹣ab﹣ac﹣bc),即3﹣3abc=2+,∴abc=;(2)(a+b+c)(a3+b3+c3)=a4+b4+c4+7(ab+bc+ac)﹣abc(a+b+c),即:3=a4+b4+c4+7×(﹣)﹣×1,a4+b4+c4=28.解:m=4x2﹣12xy+10y2+4y+9=(2x﹣3y)2+(y+2)2+5,由于m等于两个非负数的和加上5,所以最小值是0+5=5,即m=5,即2x﹣3y=0,y+2=0,∴x=﹣3,y=﹣2.故m=5,x=﹣3,y=﹣229.解:原式=5062+2×506×505+5052﹣10102=(506+505)2﹣10102=10112﹣10102=(1011+1010)(1011﹣1010)=202130.解:(1)x2+2y2﹣2xy+4y+4=x2﹣2xy+y2+y2+4y+4=(x﹣y)2+(y+2)2=0,∴x﹣y=0,y+2=0,解得x=﹣2,y=﹣2,∴x y=(﹣2)﹣2=;(2)∵a2+b2=10a+8b﹣41,∴a2﹣10a+25+b2﹣8b+16=0,即(a﹣5)2+(b﹣4)2=0,a﹣5=0,b﹣4=0,解得a=5,b=4,∵c是△ABC中最长的边,∴5≤c<931.解:∵36x2+(m+1)xy+25y2=(6x)2+(m+1)xy+(5y)2,∴(m+1)xy=±2•6x•5y,∴m+1=±60,∴m=59或﹣6132.解:4x,﹣4x,4x4设所求的一项是y,则①当y是中间项时,∵4x2+1±y是完全平方式,∴4x2+y+1=(2x+1)2,∴4x2±y+1=4x2+4x+1,∴y=±4x;②当y是尾项时,1=2×2x•,则y=.不合题意,舍去33.解:∵x2+2(m﹣2)x+9是一个完全平方式,∴这两个数是x和3,∴2(m﹣2)=±6,解得m=5或﹣1,故答案为m1=5,m2=﹣134.解:∵a2﹣4a+4+9b2+6b+1=(a﹣2)2+(3b+1)2=0,而(a﹣2)2≥0,(3b+1)2≥0,∴a﹣2=0,3b+1=0,解得a=2,b=﹣35.证明:(a2+3a)(a2+3a+2)+1,=(a2+3a)2+2(a2+3a)+1,=(a2+3a+1)2,∴(a2+3a)(a2+3a+2)+1是一个完全平方式36.解:∵2(a2+b2+c2﹣ab﹣ac﹣bc),=a2+b2﹣2ab+a2+c2﹣2ac+b2+c2﹣2bc,=(a﹣b)2+(a﹣c)2+(b﹣c)2,=(2002﹣2003)2+(2002﹣2004)2+(2003﹣2004)2=1+4+1,=6,∴a2+b2+c2﹣ab﹣ac﹣bc=337.解:原式=(a+1)(a+4)(a+2)(a+3)+1=(a2+5a+4)(a2+5a+6)+1=(a2+5a)2+10(a2+5a)+25=(a2+5a+5)2.则代数式是完全平方式38.解:(a+1)(a+2)(a+3)(a+4)+m,=(a+1)(a+4)(a+2)(a+3)+m,=(a2+5a+4)(a2+5a+6)+m,=(a2+5a)2+10(a2+5a)+24+m,∵多项式是一个完全平方式,∴24+m=25,∴m=139.解:设x2+y+1和y2+4x+3的值能同时是完全平方,那么有x2+y+1=(x+1)2,y2+4x+3=(y+)2,∴y=2x,4x=2y,即y=2x,x=y,又∵x、y是自然数,∴y必是无理数,∴与已知矛盾,故x2+y+1和y2+4x+3的值不能同时是完全平方40.解:设两个连续自然数是x、x+1,则根据题意知2n2+n﹣29=x2+(x+1)2,化简为2x2+2x+30﹣2n2﹣n=0 ①∴x==②因为x是自然数,所以4n2+2n﹣59必为某个整数的平方(完全平方数),因此设4n2+2n﹣59=k2③∴n==④因为n是整数,所以4k2+237必为某个整数的平方(完全平方数),设4k2+237=a2⑤则有a2﹣4k2=237,即(a+2k)(a﹣2k)=237,所以有或,解之得或由⑤式得4k2+237=1192或412,代入④式得n1=10,n2=﹣30,∴符合条件的整数n是10或﹣3041.解:原式=(x+y)2﹣a(x+y)+52,∵原式为完全平方式,∴﹣a(x+y)=±2×5•(x+y),解得a=±1042.解:∵9x2﹣(m+6)x+m﹣2=(3x)2﹣(m+6)x+()2,∴±(m+6)=2•3•,两边平方并整理得,m2﹣24m+108=0,解得m1=6,m2=18,所以m的值为6或1843.解:(1)由题意,可得12×142×16+4=(122+4×12+2)2=1942;(2)n(n+2)2(n+4)+4=(n2+4n+2)244.解:(1)当a=﹣2,b=1时,(a+b)2=1,a2+2ab+b2=1(2)当a=﹣2,b=﹣3时,(a+b)2=25,a2+2ab+b2=25(3)(a+b)2=a2+2ab+b2(4)原式=19652+2×1965×35+352=(1965+35)2=400000045.解:当a=﹣3,b=1时,(a﹣b)2=(﹣3﹣1)2=16,a2﹣2ab+b2=(﹣3)2﹣2×(﹣3)×1+12=9+6+1=16,∴(a﹣b)2=a2﹣2ab+b2;根据结果,20122﹣2×2012×2011+20112=(2012﹣2011)2=1 46.证明:令2992=m,则2993=m+1,于是a=m2+m2•(m+1)2+(m+1)2,=m4+2m3+3m2+2m+1,=m4+2m3+2m2+m2+2m+1,=(m2)2+2•m2•(m+1)+(m+1)2,=(m2+m+1)2,所以是a一个完全平方数47.解:依题意,画一个边长是a+b+c+d的正方形,则(a+b+c+d)2=a2+ab+ac+ad+ab+b2+bc+bd+ac+bc+c2+cd+ad+bd+cd+d2=a2+b2+c2+d2+2ab+2ac+2ad+2bc+2bd+2cd48.解:左边图形的阴影部分面积为:(a+b)2﹣(a﹣b)2,右边图形的阴影部分面积为:a×4b=4ab,根据两图形的阴影部分面积相等可得,(a+b)2﹣(a﹣b)2=4ab.故答案为:(a+b)2﹣(a﹣b)2=4ab49.解:(1)图中有1个边长为a的正方形;有4个边长为b的正方形;有4个两边长分别为a和b的矩形;(2)图形中最大正方形的面积为(a+2b)2=a2+4ab+4b2;最大正方形的边长为a+2b,故面积为(a+2b)2;最大正方形的面积S=a2+4ab+4b2,故(a+2b)2=a2+4ab+4b250.解:(1)原式=x6n﹣1﹣x6n+2x3n﹣1=2x3n﹣2.(2)原式=[(1+2x n)(1﹣2x n)]2﹣16[(x n+1)(x n﹣1)]2=(1﹣4x2n)2﹣16(x2n﹣1)2=1﹣8x2n+16x4n﹣16x4n+32x2n﹣16=24x2n﹣1551.解:(1)由图形可知:2a2+5ab+2b2=(a+2b)(2a+b);(2)52.解:(1)∵如图是用四个长、宽分别为a、b(a>b)的相同长方形和一个小正方形镶嵌而成的正方形图案,∴小正方形的面积为:(a﹣b)2或(a+b)2﹣4ab;(2)∵大正方形图案的面积为28,小正方形的面积是6,∴(a+b)2﹣4ab=6,∴28﹣4ab=6,∴ab=,∴a2+b2+ab=(a+b)2﹣ab=28﹣=22.553.解:(1)长方形面积=2a•2b=4ab;(2)方法1:S阴影部分=(a+b)2﹣4ab;方法2:S阴影部分=(a﹣b)2;(3)根阴影部分的面相等得到(a+b)2﹣4ab=(a﹣b)2;(4)两块阴影部分的周长和=2a+2(n﹣2b)+2×2b+2(n﹣a)=4n.故答案为4ab;(a+b)2﹣4ab;S阴影部分=(a﹣b)254.解:设有p个x取1,q个x取﹣2,有,(5分)解得,(5分)所以原式=1×13+9×(﹣2)3=﹣71.55.解:(1)根据题意知,(a+b)4的展开后,共有5项,各项系数分别为1、(1+3)、(3+3)、(3+1)、1,即:1、4、6、4、1;(2)当a=b=1时,(a+b)n=2n.故答案为:(1)5,1,4,6,4,1;(2)n+1,2n56.解:(1)∵=a2+2∴a2+=﹣2=34;(2)∵a﹣b=2,ab=3,∴a2+b2=(a﹣b)2+2ab,=4+2×3,=10,a2b2=9,∴a4+b4=(a2+b2)2﹣2a2b2,=100﹣2×9,=8257.解:(1)x2﹣4x+2的三种配方分别为:x2﹣4x+2=(x﹣2)2﹣2,x2﹣4x+2=(x+)2﹣(2+4)x,x2﹣4x+2=(x ﹣)2﹣x2;(2)a2+ab+b2=(a+b)2﹣ab,a2+ab+b2=(a+b)2+b2;(3)a2+b2+c2﹣ab﹣3b﹣2c+4,=(a2﹣ab+b2)+(b2﹣3b+3)+(c2﹣2c+1),=(a2﹣ab+b2)+(b2﹣4b+4)+(c2﹣2c+1),=(a ﹣b)2+(b﹣2)2+(c﹣1)2=0,从而有a ﹣b=0,b﹣2=0,c﹣1=0,即a=1,b=2,c=1,∴a+b+c=458.解:(1)根据题意可推出第五行的数字为:1、5、10、10、5、1,(2)(a+b)5=(a+b)3(a+b)2=a5+5a4b+10a3b2+10a2b3+5ab4+b5,(3)(a﹣b)5=(a﹣b)3(a﹣b)2=(a3﹣3a2b+3ab2﹣b3)(a2﹣2ab+b2)=a5﹣5a4b+10a3b2﹣10a2b3+5ab4﹣b5.故答案为1、5、10、10、5、159.解:(1)92=81=40+41,且92+402=412,第21 页共22 页故答案为:40,41.(2)(2n﹣1)2+(2n2﹣2n)2=(2n2﹣2n+1)2,证明:(2n﹣1)2+(2n2﹣2n)2=4n2﹣4n+1+4n4﹣8n3+8n2﹣4n+1,(2n2﹣2n+1)2=4n4﹣8n3+8n2﹣4n+1,即(2n﹣1)2+(2n2﹣2n)2=(2n2﹣2n+1)2,故答案为:40,4160.解:(1)32+42>2×3×4;②()2+()2>2××;③(﹣2)2+(﹣3)2>2×(﹣2)×(﹣3);④(﹣)2+(﹣)2>2×(﹣)×(﹣)⑤(﹣4)2+(﹣4)2=2×(﹣4)×(﹣4)…故答案为>、>、>、>、=;(2)a2+b2≥2ab;(3)∵m2+n2≥2mn,而mn=8,∴m2+n2≥16,∴2m2+2n2的最小值为32第22 页共22 页。
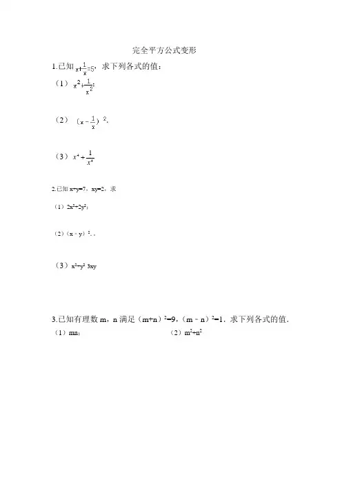
完全平方公式变形1.已知,求下列各式的值: (1);(2).(3)441x x2.已知x+y=7,xy=2,求(1)2x 2+2y 2;(2)(x ﹣y )2.。
(3)x 2+y 2-3xy3.已知有理数m ,n 满足(m+n )2=9,(m ﹣n )2=1.求下列各式的值.(1)mn ; (2)m 2+n 2平方差公式的应用1.(a+b﹣c)(a﹣b+c)=a2﹣()2.2.()﹣64m2n2=(a+)(﹣8mn)3.已知x2﹣y2=12,x﹣y=4,则x+y=.4.(x﹣y)(x+y)(x2+y2)(x4+y4)…(x2n+y2n)=.5..(﹣3x+2y)()=﹣9x2+4y2.6.记x=(1+2)(1+22)(1+24)(1+28)…(1+2n),且x+1=2128,则n=.7.计算:=.8.已知a﹣b=1,a2﹣b2=﹣1,则a4﹣b4=.9.一个三角形的底边长为(2a+4)厘米,高为(2a﹣4)厘米,则这个三角形的面积为.10观察下列等式19×21=202﹣1,28×32=302﹣22,37×43=402﹣32,…,已知m,n 为实数,仿照上述的表示方法可得:mn=.11.正方形Ⅰ的周长比正方形Ⅱ的周长长96cm,它们的面积相差960cm2,求这两个正方形的边长12如图,第一个图中两个正方形如图所示放置,将第一个图改变位置后得到第二个图,两图阴影部分的面积相等,则该图可验证的一个初中数学公式为.以下为提高题(请班级前20名学生会做)13.如果一个正整数能表示为两个连续偶数的平方差,那么称这个这个正整数为“神秘数”,如:4=22﹣02,12=42﹣22,20=62﹣42,因此4,12,20这三个数都是“神秘数”.若60是一个“神秘数”,则60可以写成两个连续偶数的平方差为:60=.14.20082﹣20072+20062﹣20052+…+22﹣12=.15.(32+1)(34+1)(38+1)…(364+1)×8+1=.16.(3a+3b+1)(3a+3b﹣1)=899,则a+b=.17.化简式子,其结果是.完全平方式专练1..x2+3x+=(x+)2;x2﹣+2=(x)2.2.x2﹣+=(x﹣)2.若(3x+2y)2=(3x﹣2y)2+A,则代数式A为.(x﹣2y)2+=(x+2y)2.3..若x2+kxy+49y2是一个完全平方式,则k=.4..若4a2﹣(k﹣1)a+9是一个关于a的完全平方式,则k=.5.若多项式a2﹣12ab+kb2是完全平方式,则常数k的值为.6.若是一个完全平方式,则k=.7.已知x2+16x+k是完全平方式,则常数k等于.8.若x﹣y=2,则代数式x2﹣y2﹣4y的值为.9.已知三项式4x2++1是一个完全平方式,但是其中一项看不清了,你认为这一项应该是(写出所有你认为正确的答案).10.若y(x﹣1)﹣x(y﹣1)=5,则﹣xy=.11.已知a2+b2=13,ab=6,则a4﹣2a2b2+b4=.以下为提高题(请班级前20名学生会做)12.已知(2015﹣a)(2013﹣a)=2014,则(2015﹣a)2+(2013﹣a)2的值为.13.已知x2﹣4x﹣1=0,则x2+=.14已知(x+y)2﹣2x﹣2y+1=0,则x+y=.15.已知a+b+c=9,a2+b2+c2=35,则ab+bc+ca=.公式与拼图练习1.方法写出一个代数恒等式是.2.正方形卡片A类1张、B类4张和长方形卡片C类4张,如果要用这9张卡片拼成一个正方形,则这个正方形的边长为.3.从图1到图2的变化过程可以发现的代数结论是()A.(a+b)(a﹣b)=a2﹣b2B.a2﹣b2=(a+b)(a﹣b)C.(a+b)2=a2+2ab+b2D.a2+2ab+b2=(a+b)24.如图,大正方形的边长为m,小正方形的边长为n,若用x、y表示四个相同长方形的两边长(x>y),给出以下关系式:①x+y=m;②x﹣y=n;③xy=.其中正确的关系式的个数有()A.0个B.1个C.2个D.3个5.如图,在边长为a的正方形中剪去一个边长为b小正方形(a>b),把剩下的部分拼成一个梯形,请利用甲、乙两图验证我们本学期学过的一个乘法公式.6.如图①是一个长为2a,宽为2b的长方形纸片,其长方形的面积显然为4ab,现将此长方形纸片沿图中虚线剪开,分成4个小长方形,然后拼成一个如图②的一个长方形.(1)图②中阴影正方形EFGH的边长为;(2)观察图②,代数式(a﹣b)2表示哪个图形的面积?代数式(a+b)2呢?(3)用两种不同方法表示图②中的阴影正方形EFGH的面积,并写出关于代数式(a+b)2、(a﹣b)2和4ab之间的等量关系.(4)根据(3)题中的等量关系,解决如下问题:若a+b=7,ab=5,求(a﹣b)2的值.。
完全平方公式30道题一、完全平方公式基础计算(10道题)1. 计算(a + 3)^2解析:根据完全平方公式(a + b)^2=a^2 + 2ab+b^2,这里a=a,b = 3。
所以(a+3)^2=a^2+2× a×3 + 3^2=a^2 + 6a+9。
2. 计算(x 5)^2解析:根据完全平方公式(a b)^2=a^2-2ab + b^2,这里a=x,b = 5。
所以(x 5)^2=x^2-2× x×5+5^2=x^2-10x + 25。
3. 计算(2m+1)^2解析:根据完全平方公式(a + b)^2=a^2 + 2ab+b^2,这里a = 2m,b=1。
所以(2m + 1)^2=(2m)^2+2×2m×1+1^2=4m^2 + 4m+1。
4. 计算(3n 2)^2解析:根据完全平方公式(a b)^2=a^2-2ab + b^2,这里a = 3n,b = 2。
所以(3n-2)^2=(3n)^2-2×3n×2+2^2 = 9n^2-12n + 4。
5. 计算(a + b)^2,其中a = 2x,b=3y解析:先将a = 2x,b = 3y代入完全平方公式(a + b)^2=a^2+2ab + b^2,得到(2x+3y)^2=(2x)^2+2×2x×3y+(3y)^2=4x^2 + 12xy+9y^2。
6. 计算(m n)^2,其中m = 5a,n=2b解析:把m = 5a,n = 2b代入完全平方公式(a b)^2=a^2-2ab + b^2,这里a = 5a,b = 2b,所以(5a-2b)^2=(5a)^2-2×5a×2b+(2b)^2=25a^2-20ab + 4b^2。
7. 计算(4x+3)^2解析:根据完全平方公式(a + b)^2=a^2 + 2ab+b^2,这里a = 4x,b = 3。
完全平方公式的变形及其应用专题练习一、选择题1、若a +b =7,ab =5,则(a -b )2=( ).A. 27B. 29C. 30D. 32答案:B解答:(a -b )2=a 2-2ab +b 2=(a +b )2-4ab将a +b =7,ab =5代入可得:原式=29.选B.2、设(5a +3b )2=(5a -3b )2+A ,则A =( ).A. 30abB. 60abC. 15abD. 12ab答案:B解答:A =(5a +3b )2-(5a -3b )2=(5a +3b +5a -3b )(5a +3b -5a +3b )=10a ·6b=60ab .选B.3、已知x +1x =3,则下列三个等式:①x 2+21x =7②x -1x 2x 2-6x =-2中,正确的有().A. ①②B. ①③C. ②③D. ①②③答案:B解答:①∵x +1x =3,∴(x +1x )2=32,∴x 2+2+21x =9,∴x 2+21x =7.∴①正确.②∵(x -1x )2=x 2-2+21x =7-2=5,∴x -1x =②错误③∵x+1x=3,∴x2+1=3x,∴x2-3x=-1,∴2x2-6-=-2.③正确4、若实数n满足(n-2015)2+(2014-n)2=1,则代数式(n-2015)(2014-n)的值为().A. 1B. 0C. 12D. -1答案:B解答:设n-2015=a,2014-n=b,∴a2+b2=(a+b)2-2ab=12-2ab,∴1-2ab=1ab=0,∴(n-2015)(2014-n)=0.二、填空题5、已知(x+y)2=32,xy=4,则(x-y)2=______.答案:16解答:(x-y)2=(x+y)2-4xy=32-4×4=16.6、a2+b2=17,ab=4,则a+b=______.答案:±5解答:∵a2+b2=17,ab=4,∴(a+b)2=a2+2ab+b2=17+8=25,∴a+b=±5.7、已知a>b,ab=2且a2+b2=5,则a-b=______.答案:1解答:∵a>b,即a-b>0,ab=2且a2+b2=5,∴(a-b)2=a2+b2-2ab=5-4=1,则a -b =1,故答案为:1.8、已知a +b =5,ab =3,则a 2+b 2=______.答案:19解答:把知a +b =5两边平方,可得:a 2+2ab +b 2=25,把ab =3代入得:a 2+b 2=25-6=19,故答案为:19.9、已知(m -n )2=8,mn =2,则m 2+n 2=______.答案:12解答:m 2+n 2=(m -n )2+2mn=8+2×2=12.10、如果m 2+3m -1=0,则m 2+21m =______. 答案:11解答:由已知,m ≠0, ∴213m m m+-=0, 即:m -=-3,m 2+21m =(m -1m)2+2=(-3)2+2=11. 11、已知长为a ,宽为b 的长方形的周长为14,面积为10,则a 2+b 2=______. 答案:29解答:∵周长为14,∴2(a +b )=14,即a +b =7,∵面积为10,∴ab =10,a 2+b 2=(a +b )2-2ab ,=49-20,=29.12、已知实数a 、b 满足ab =2,a +b =3,则代数式a 2+b 2的值等于______. 答案:5解答:a 2+b 2=(a +b )2-2ab =32-2×2=9-4=5故答案为:5.13、已知a +b =2,ab =-1,则3a +ab +3b =______;a 2+b 2=______. 答案:5;6解答:∵a +b =2,ab =-1,∴3a +ab +3b =3(a +b )+ab =3×2+(-1)=5,a 2+b 2=(a +b )2-2ab =22-2×(-1)=4+2=6.14、已知a -b =3,ab =-1,则a 2+b 2=______,(a +b )2=______. 答案:7;5解答:∵a -b =3,∴(a -b )×(a -b )=3×3=9,∴a 2-ab -ab +b 2=9,即a 2+b 2=9+2ab , 又∵ab =-1,∴a 2+b 2=9+2×(-1)=9-2=7;原式=(a -b )2+4ab ,( )=9+(-4),=5.故答案为:7;5.15、已知x +1x =5,那么x 2+21x=______. 答案:23 解答:∵x +1x=5, ∴x 2+21x =(x +1x )2-2=25-2=23. 16、已知xy +x +y =5,x 2y +xy 2=7,则x 2y 2+2xy +1+x 2+y 2的值为______. 答案:12解答:令xy =a ,x +y =b ,则xy +x +y =a +b =5,x 2y +xy 2=xy (x +y )=ab =7.原式=x 2y 2+1+(x +y )2=a 2+b 2+1=(a +b )2-2ab +1=52-14+1=12. 故答案为:12.17、已知实数a 、b 满足(a +b )2=1,(a -b )2=25,求a 2+b 2+ab =______.答案:7解答:a 2+b 2=()()222a b a b -++=13,ab =()()224a b a b -+-=-6,a 2+b 2+ab =718、已知(200-a )(198-a )=999,那么(200-a )2+(198-a )2=______. 答案:2002解答:∵(200-a )(198-a )=999,(200-a )-(198-a )=2,∴(200-a )2+(198-a )2=[(200-a )-(198-a )]2+2(200-a )(198-a )=2002.19、已知:a -1a =2,则a 2+21a =______,a 4+41a =______. 答案:6;34解答:∵a 2+21a =(a -1a )2+2×a ×1a , ∴a 2+21a=4+2=6, ∵a 4+41a =(a 2+21a )2-2×a 2×21a, ∴a 4+41a=36-2=34. 三、解答题20、已知a +b =3,ab =-10.求:(1)a 2+b 2的值.(2)(a -b )2的值.答案:(1)29(2)49.解答:(1)∵a +b =3,ab =-10,a 2+b 2=(a +b )2-2ab =9+20=29. (2)∵a +b =3,ab =-10,∴(a -b )2=(a +b )2-4ab =9-4×(-10)=49.21、已知x2+y2=25,x+y=7,求x-y的值.答案:x-y=±1.解答:∵x+y=7,∴(x+y)2=x2+2xy+y2=49,∵x2+y2=25,∴2xy=24,∴(x-y)2=x2+y2-2xy=25-24=1.∴x-y=±1.22、已知x+y=5,xy=3,求x2+y2,x3+y3,x4+y4,x6+y6的值.答案:19;80;343;6346.解答:x2+y2=(x+y)2-2xy=19;x3+y3=(x+y)(x2-xy+y2)=80;x4+y4=(x2+y2)2-2x2y2=192-2×9=343;x6+y6=(x3+y3)2-2x3y3=6346.23、已知x+y=3,(x+3)(y+3)=20.(1)求xy的值.(2)求x2+y2+4xy的值.答案:(1)2.(2)13.解答:(1)∵(x+3)(y+3)=20,∴(x+3)(y+3)=xy+3(x+y)+9=20,∵x+y=3,∴xy=20-9-3×3=2.(2)∵x+y=3,∴(x+y)2=x2+y2+2xy=9,∴x2+y2+4xy=x2+y2+2xy+2xy=9+4=13.24、已知a+b=5,ab=3.(1)求a2b+ab2的值.(2)求a2+b2的值.(3)求(a2-b2)2的值.答案:(1)15.(2)19.(3)325.解答:(1)原式=ab (a +b )=3×5=15. (2)原式=(a +b )2-2ab =52-2×3=25-6=19. (3)原式=(a 2-b 2)2=(a -b )2(a +b )2=25(a -b )2=25[(a +b )2-4ab ]=25×(25-4×3)=25×13=325.25、已知x -1x =32,x >0,求: (1)x 2+21x . (2)x +1x. (3)x 3-31x的值. 答案:(1)174(2)52(3)638解答:(1)x 2+21x=(x -1x )2+2=(32)2+2=174. (2)(x +1x )2=x 2+21x +2=174+2=254,解得x +1x =±52, 又因x >0,可知x +1x >0,故x +1x =52. (3)x 3-31x =(x -1x )3+3(x -1x )=(32)3+3×32=638, 或x 3-31x =(x -1x )(x 2+21x +1)=32×(174+1)=638. 26、两个不相等的实数a ,b 满足a 2+b 2=5. (1)若ab =2,求a +b 的值.(2)若a2-2a=m,b2-2b=m,求a+b和m的值.答案:(1)a+b=±3.(2)a+b=2,m=.解答:(1)∵a2+b2=5,ab=2,∴(a+b)2=a2+2ab+b2=5+2×2=9,∴a+b=±3.(2)∵a2-2a=m,b2-2b=m,∴a2-2a=b2-2b,a2-2a+b2-2b=2m,∴a2-b2-2(a-b)=0,∴(a-b)(a+b-2)=0,∵a≠b,∴a+b-2=0,∴a+b=2,∵a2-2a+b2-2b=2m,∴a2+b2-2(a+b)=2m,∵a2+b2=5,∴5-2×2=2m,解得:m=12,即a+b=2,m=12.。
完全平方公式专题训练试题精选(一)一.选择题(共30小题)1.(2014•六盘水)下列运算正确的是()A.(﹣2mn)2=4m2n2B.y2+y2=2y4C.(a﹣b)2=a2﹣b2D.m2+m=m32.(2014•本溪)下列计算正确的是()A.2a3+a2=3a5B.(3a)2=6a2C.(a+b)2=a2+b2D.2a2•a3=2a53.(2014•台湾)算式999032+888052+777072之值的十位数字为何?()A.1B.2C.6D.84.(2014•遵义)若a+b=2,ab=2,则a2+b2的值为()A.6B.4C.3D.25.(2014•南平模拟)下列计算正确的是()A.5a2﹣3a2=2 B.(﹣2a2)3=﹣6a6C.a3÷a=a2D.(a+b)2=a2+b2 6.(2014•拱墅区二模)如果ax2+2x+=(2x+)2+m,则a,m的值分别是()A.2,0 B.4,0 C.2,D.4,7.(2012•鄂州三月调考)已知,则的值为()A.B.C.D.无法确定8.(2012•西岗区模拟)下列运算正确的是()A.(x﹣y)2=x2﹣y2B.x2+y2=x2y2C.x2y+xy2=x3y3D.x2÷x4=x﹣29.(2011•天津)若实数x、y、z满足(x﹣z)2﹣4(x﹣y)(y﹣z)=0,则下列式子一定成立的是()A.x+y+z=0 B.x+y﹣2z=0 C.y+z﹣2x=0 D.z+x﹣2y=010.(2011•深圳)下列运算正确的是()A.x2+x3=x5B.(x+y)2=x2+y2C.x2•x3=x6D.(x2)3=x611.(2011•浦东新区二模)下列各式中,正确的是()A.a6+a6=a12B.a4•a4=a16C.(﹣a2)3=(﹣a3)2D.(a﹣b)2=(b﹣a)212.(2010•台湾)若a满足(383﹣83)2=3832﹣83×a,则a值为()A.83 B.383 C.683 D.76613.(2010•钦州)下列各式运算正确的是()A.3a2+2a2=5a4B.(a+3)2=a2+9 C.(a2)3=a5D.3a2•2a=6a314.(2009•娄底)下列计算正确的是()A.(a﹣b)2=a2﹣b2B.a2•a3=a5C.2a+3b=5ab D.3﹣2=115.(2009•海南)在下列各式中,与(a﹣b)2一定相等的是()A.a2+2ab+b2B.a2﹣b2C.a2+b2D.a2﹣2ab+b216.(2009•顺义区一模)下列运算正确的是()A.a2+3a2=4a4B.3a2.a=3a3C.(3a3)2=9a5D.(2a+1)2=4a2+1 17.(2008•海淀区二模)如果实数x,y满足,那么xy的值等于()A.1B.2C.3D.518.(2007•云南)已知x+y=﹣5,xy=6,则x2+y2的值是()A.1B.13 C.17 D.2519.(2007•湘潭)下列计算正确的()A.x2•x3=x6B.(x﹣1)2=x2﹣1 C.D.3x2y﹣x2y=2x2y20.(2005•福州)小马虎在下面的计算中只做对了一道题,他做对的题目是()A.(a﹣b)2=a2﹣b2B.(﹣2a3)2=4a6C.a3+a2=2a5D.﹣(a﹣1)=﹣a﹣121.(2005•日照)某校数学课外活动探究小组,在老师的引导下进一步研究了完全平方公式.结合实数的性质发现以下规律:对于任意正数a、b,都有a+b≥2成立.某同学在做一个面积为3 600cm2,对角线相互垂直的四边形风筝时,运用上述规律,求得用来作对角线用的竹条至少需要准备xcm.则x的值是()A.120B.60C.120 D.6022.(2005•黄冈)下列运算中正确的是()A.x5+x5=2x10B.﹣(﹣x)3•(﹣x)5=﹣x8C.(﹣2x2y)3•4x﹣3=﹣24x3y3D.(x﹣3y)(﹣x+3y)=x2﹣9y2 23.(2004•郑州)已知a=x+20,b=x+19,c=x+21,那么代数式a2+b2+c2﹣ab﹣bc﹣ac的值是()A.4B.3C.2D.124.(2004•临沂)如果x﹣=3,那么x2+=()A.5B.7C.9D.1125.(2003•宁夏)当x=﹣2时,代数式﹣x2+2x﹣1的值等于()A.9B.﹣9 C.1D.﹣126.(2001•重庆)已知,的值为()A.B.C.D.无解27.(1999•烟台)已知a+b=3,a3+b3=9,则ab等于()A.1B.2C.3D.428.(1999•南京)下列计算正确的是()A.(a+b)(a2+ab+b2)=a3+b3B.(a+b)2=a2+b2C.(a﹣b)(a2+2ab+b2)=a3﹣b3D.(a﹣b)2=a2﹣2ab+b229.(1998•台州)下列运算正确的是()A.B.(a+b)2=a2+b2C.|2﹣π|=π﹣2 D.(a2)3=a530.若M=3x2﹣8xy+9y2﹣4x+6y+13(x,y是实数),则M的值一定是()A.零B.负数C.正数D.整数完全平方公式专题训练试题精选(一)参考答案与试题解析一.选择题(共30小题)1.(2014•六盘水)下列运算正确的是()A.(﹣2mn)2=4m2n2B.y2+y2=2y4C.(a﹣b)2=a2﹣b2D.m2+m=m3考点:幂的乘方与积的乘方;合并同类项;完全平方公式.分析:运用积的乘方,合并同类项及完全平方公式计算即可.解答:解:A、(﹣2mn)2=4m2n2 故A选项正确;B、y2+y2=2y2,故B选项错误;C、(a﹣b)2=a2+b2﹣2ab故C选项错误;D、m2+m不是同类项,故D选项错误.故选:A.点评:本题主要考查了积的乘方,合并同类项及完全平方公式,熟记计算法则是关键.2.(2014•本溪)下列计算正确的是()A.2a3+a2=3a5B.(3a)2=6a2C.(a+b)2=a2+b2D.2a2•a3=2a5考点:单项式乘单项式;合并同类项;幂的乘方与积的乘方;完全平方公式.专题:计算题.分析:根据合并同类项法则、积的乘方、完全平方公式、单项式乘单项式判断即可.解答:解:A、2a3与a2不是同类项不能合并,故A选项错误;B、(3a)2=9a2,故B选项错误;C、(a+b)2=a2+2ab+b2,故C选项错误;D、2a2•a3=2a5,故D选项正确,故选:D.点评:本题考查了合并同类项法则、积的乘方、完全平方公式、单项式乘单项式,熟练掌握法则是解题的关键.3.(2014•台湾)算式999032+888052+777072之值的十位数字为何?()A.1B.2C.6D.8考点:完全平方公式.分析:分别得出999032、888052、777072的后两位数,再相加即可得到答案.解答:解:999032的后两位数为09,888052的后两位数为25,777072的后两位数为49,09+25+49=83,所以十位数字为8,故选:D.点评:本题主要考查了数的平方,计算出每个平方数的后两位是解题的关键.4.(2014•遵义)若a+b=2,ab=2,则a2+b2的值为()A.6B.4C.3D.2考点:完全平方公式.分析:利用a2+b2=(a+b)2﹣2ab代入数值求解.解答:解:a2+b2=(a+b)2﹣2ab=8﹣4=4,故选:B.点评:本题主要考查了完全平方公式的应用,解题的关键是牢记完全平方公式,灵活运用它的变化式.5.(2014•南平模拟)下列计算正确的是()A.5a2﹣3a2=2 B.(﹣2a2)3=﹣6a6C.a3÷a=a2D.(a+b)2=a2+b2考点:同底数幂的除法;合并同类项;幂的乘方与积的乘方;完全平方公式.分析:根据合并同类项,幂的乘方,同底数幂的除法及完全平方公式判定.解答:A、5a2﹣3a2=2a2≠2,故选项错误;B、(﹣2a2)3=﹣8a6≠﹣6a6,故选项错误;C,a3÷a=a2,故选项正确;D,(a+b)2≠a2+b2,故选项错误.故选:C.点评:本题主要考查了合并同类项,幂的乘方,同底数幂的除法及安全平方公式的运算,解题的关键是熟记法则运算6.(2014•拱墅区二模)如果ax2+2x+=(2x+)2+m,则a,m的值分别是()A.2,0 B.4,0 C.2,D.4,考点:完全平方公式.专题:计算题.分析:运用完全平方公式把等号右边展开,然后根据对应项的系数相等列式求解即可.解答:解:∵ax2+2x+=4x2+2x++m,∴,解得.故选D.点评:本题考查了完全平方公式,利用公式展开,根据对应项系数相等列式是求解的关键.7.(2012•鄂州三月调考)已知,则的值为()A.B.C.D.无法确定考点:完全平方公式.分析:把已知两边平方后展开求出a2+=8,再求出(a﹣)2的值,再开方即可.解答:解:∵a+=,∴两边平方得:(a+)2=10,展开得:a2+2a•+=10,∴a2+=10﹣2=8,∴(a﹣)2=a2﹣2a•+=a2+﹣2=8﹣2=6,∴a﹣=±,故选C.点评:本题考查了完全平方公式的灵活运用,注意:(a±b)2=a2±2ab+b2.8.(2012•西岗区模拟)下列运算正确的是()A.(x﹣y)2=x2﹣y2B.x2+y2=x2y2C.x2y+xy2=x3y3D.x2÷x4=x﹣2考点:完全平方公式;合并同类项;同底数幂的除法.分析:根据完全平方式:(x±y)2=x2±2xy+y2,与幂的运算即可求得答案.解答:解:A、(x﹣y)2=x2﹣2xy+y2,故此选项错误;B、x2+y2≠x2y2,故此选项错误;C、x2y+xy2=xy(x+y),故此选项错误;D、x2÷x4=x﹣2,故此选项正确.故选D.点评:此题考查了幂的性质与完全平方式等知识.题目比较简单,解题要细心.9.(2011•天津)若实数x、y、z满足(x﹣z)2﹣4(x﹣y)(y﹣z)=0,则下列式子一定成立的是()A.x+y+z=0 B.x+y﹣2z=0 C.y+z﹣2x=0 D.z+x﹣2y=0考点:完全平方公式.专题:计算题;压轴题.分析:首先将原式变形,可得x2+z2+2xz﹣4xy+4xz+4y2﹣4yz=0,则可得(x+z﹣2y)2=0,则问题得解.解答:解:∵(x﹣z)2﹣4(x﹣y)(y﹣z)=0,∴x2+z2﹣2xz﹣4xy+4xz+4y2﹣4yz=0,∴x2+z2+2xz﹣4xy+4y2﹣4yz=0,∴(x+z)2﹣4y(x+z)+4y2=0,∴(x+z﹣2y)2=0,∴z+x﹣2y=0.故选D.点评:此题考查了完全平方公式的应用.解题的关键是掌握:x2+z2+2xz﹣4xy+4y2﹣4yz=(x+z﹣2y)2.10.(2011•深圳)下列运算正确的是()A.x2+x3=x5B.(x+y)2=x2+y2C.x2•x3=x6D.(x2)3=x6考点:完全平方公式;合并同类项;同底数幂的乘法;幂的乘方与积的乘方.专题:计算题.分析:根据合并同类项的法则、完全平方公式、同底数幂的乘法以及幂的乘方的性质即可求得答案.解答:解:A、x2+x3≠x5,故本选项错误;B、(x+y)2=x2+y2+2xy,故本选项错误;C、x2•x3=x5,故本选项错误;D、(x2)3=x6,故本选项正确.故选D.点评:此题考查了合并同类项的法则、完全平方公式、同底数幂的乘法以及幂的乘方的性质.解题的关键是熟记公式.11.(2011•浦东新区二模)下列各式中,正确的是()A.a6+a6=a12B.a4•a4=a16C.(﹣a2)3=(﹣a3)2D.(a﹣b)2=(b﹣a)2考点:完全平方公式;合并同类项;同底数幂的乘法;幂的乘方与积的乘方.专题:计算题.分析:A、合并同类项,系数相加即可.B、同底数幂的乘法运算法则解答;C、幂的乘方的计算法则解答;D、完全平方公式的运用.解答:解:A、合并同类项,系数相加,指数与底数均不变.所以a6+a6=2a6.故本选项错误;B、同底数的幂的乘法,底数不变,指数相加.所以a4•a4=a8.故本选项错误;C、幂的乘方,底数不变,指数相乘,所以(﹣a2)3=﹣(﹣a3)2.故本选项错误;D、(a﹣b)2=[﹣(a﹣b)]2=(b﹣a)2.故本选项正确;故选D.点评:本题综合考查了完全平方公式、合并同类项、同底数幂的乘法、幂的乘方与积的乘方.此题是基础题,难度不大.12.(2010•台湾)若a满足(383﹣83)2=3832﹣83×a,则a值为()A.83 B.383 C.683 D.766考点:完全平方公式.分析:首先利用完全平方公式把(383﹣83)2展开,然后根据等式右边的结果即可得到a的值.解答:解:∵(383﹣83)2=3832﹣2×383×83+832,而(383﹣83)2=3832﹣83×a,∴﹣83×a=﹣2×383×83+832,∴a=683.故选C.点评:此题主要考查了完全平方公式,利用公式展开后即可得到关于所求字母的方程,解方程即可解决问题.13.(2010•钦州)下列各式运算正确的是()A.3a2+2a2=5a4B.(a+3)2=a2+9 C.(a2)3=a5D.3a2•2a=6a3考点:完全平方公式;合并同类项;同底数幂的乘法;幂的乘方与积的乘方.专题:计算题.分析:分别根据合并同类项、完全平方公式、幂的乘方和积的乘方以及同底数幂的乘法法则计算即可判断正误.解答:解:A、应为3a2+2a2=5a2,故本选项错误;B、应为(a+3)2=a2+6a+9,故本选项错误;C、应为(a2)3=a6,故本选项错误;D、3a2•2a=6a3,正确.故选D.点评:本题考查合并同类项法则,幂的乘方和积的乘方的性质,完全平方公式,需熟练掌握且区分清楚,才不容易出错.14.(2009•娄底)下列计算正确的是()A.(a﹣b)2=a2﹣b2B.a2•a3=a5C.2a+3b=5ab D.3﹣2=1考点:完全平方公式;合并同类项;同底数幂的乘法.分析:根据完全平方公式、同底数幂的乘法、合并同类项法则,对各选项分析判断后利用排除法求解.解答:解:A、应为(a﹣b)2=a2﹣2ab+b2,故本选项错误;B、a2•a3=a2+3=a5,正确;C、2a与3b不是同类项,不能合并,故本选项错误;D、3与2不是同类二次根式,不能合并,故本选项错误.故选B.点评:本题考查了完全平方公式,同底数幂的乘法,合并同类项,熟练掌握法则和性质是解题的关键,完全平方公式学生出错率比较高.15.(2009•海南)在下列各式中,与(a﹣b)2一定相等的是()A.a2+2ab+b2B.a2﹣b2C.a2+b2D.a2﹣2ab+b2考点:完全平方公式.分析:根据完全平方公式:(a﹣b)2=a2﹣2ab+b2.判定即可.解答:解:(a﹣b)2=a2﹣2ab+b2.故选D.点评:本题考查完全平方公式.(a﹣b)2=a2﹣2ab+b2.易错易混点:学生易把完全平方公式与平方差公式混在一起.16.(2009•顺义区一模)下列运算正确的是()A.a2+3a2=4a4B.3a2.a=3a3C.(3a3)2=9a5D.(2a+1)2=4a2+1考点:完全平方公式;合并同类项;同底数幂的乘法;幂的乘方与积的乘方.分析:根据合并同类项法则,同底数幂的乘法法则,积的乘方的性质,完全平方公式,对各选项分析判断后利用排除法求解.解答:解:A、错误,应等于4a2;B、3a2.a=3a3,正确;C、错误,应等于9a6;D、错误,应等于4a2+4a+1.故选B.点评:本题考查了合并同类项、同底数幂的乘法,积的乘方的性质,完全平方公式,熟练掌握法则、性质和公式并灵活运用是解题的关键.17.(2008•海淀区二模)如果实数x,y满足,那么xy的值等于()A.1B.2C.3D.5考点:完全平方公式;非负数的性质:偶次方;非负数的性质:算术平方根;解一元一次方程.专题:计算题.分析:根据已知得出+(y﹣2)2=0,根据算术平方根、完全平方的非负性得出=0,y﹣2=0,求出即可.解答:解:,+(y﹣2)2=0,∴=0,y﹣2=0,∴x=1,y=2∴xy=1×2=2.故选B.点评:本题主要考查对完全平方公式,非负数的性质﹣偶次方、算术平方根,解一元一次方程等知识点的理解和掌握,能得出=0和y﹣2=0是解此题的关键.18.(2007•云南)已知x+y=﹣5,xy=6,则x2+y2的值是()A.1B.13 C.17 D.25考点:完全平方公式.专题:计算题;压轴题.分析:先把所求式子变形为完全平方式,再把题中已知条件代入即可解答.解答:解:由题可知:x2+y2=x2+y2+2xy﹣2xy,=(x+y)2﹣2xy,=25﹣12,=13.故选B.点评:本题考查了同学们对完全平方公式灵活运用能力.19.(2007•湘潭)下列计算正确的()A.x2•x3=x6B.(x﹣1)2=x2﹣1 C.D.3x2y﹣x2y=2x2y考点:完全平方公式;算术平方根;合并同类项;同底数幂的乘法.分析:根据同底数相乘,底数不变指数相加,完全平方公式,算术平方根,合并同类项法则,对各选项分析判断后利用排除法求解.解答:解:A、应为x2•x3=x2+3=x5,故本选项错误;B、应为(x﹣1)2=x2﹣2x+1,故本选项错误;C、应为=3,故本选项错误;D、3x2y﹣x2y=(3﹣1)x2y=2x2y,正确.故选D.点评:本题考查同底数幂的乘法,完全平方公式,算术平方根,合并同类项的法则,熟练掌握运算性质和法则是解题的关键.20.(2005•福州)小马虎在下面的计算中只做对了一道题,他做对的题目是()A.(a﹣b)2=a2﹣b2B.(﹣2a3)2=4a6C.a3+a2=2a5D.﹣(a﹣1)=﹣a﹣1考点:完全平方公式;合并同类项;去括号与添括号;幂的乘方与积的乘方.分析:根据完全平方公式,积的乘方的性质进行计算.解答:解:A、错误,应等于a2﹣2ab+b2;B、正确;C、错误,a3与a2不是同类项,不能合并;D、错误,﹣(a﹣1)=﹣a+1.故选B.点评:本题主要考查完全平方公式,积的乘方,合并同类项,去括号法则,熟练掌握性质和法则是解题的关键,运用完全平方公式时同学们经常漏掉乘积二倍项而导致出错.21.(2005•日照)某校数学课外活动探究小组,在老师的引导下进一步研究了完全平方公式.结合实数的性质发现以下规律:对于任意正数a、b,都有a+b≥2成立.某同学在做一个面积为3 600cm2,对角线相互垂直的四边形风筝时,运用上述规律,求得用来作对角线用的竹条至少需要准备xcm.则x的值是()A.120B.60C.120 D.60考点:完全平方公式.专题:应用题;压轴题.分析:当一个四边形对角线长为a,b,且相互垂直时,其面积为:.解答:解:由题意得:=3600,则ab=7200,所以有a+b≥2,即a+b≥120.故选A.点评:此题是一道阅读理解类型题目,注意理解题目给出的条件,熟记对角线互相垂直的四边形的面积等于对角线乘积的一半是解题的关键.22.(2005•黄冈)下列运算中正确的是()A.x5+x5=2x10B.﹣(﹣x)3•(﹣x)5=﹣x8C.(﹣2x2y)3•4x﹣3=﹣24x3y3D.(x﹣3y)(﹣x+3y)=x2﹣9y2考点:完全平方公式;合并同类项;同底数幂的乘法;单项式乘单项式.分析:根据合并同类项,只把系数相加减,字母与字母的次数不变;同底数幂相乘,底数不变指数相加;积的乘方,等于把积的每一个因式分别乘方,再把所得的幂相乘,单项式的乘法法则;完全平方公式,对各选项计算后利用排除法求解.解答:解:A、应为x5+x5=2x5,故本选项错误;B、﹣(﹣x)3•(﹣x)5=﹣(﹣x)3+5=﹣x8,正确;C、应为(﹣2x2y)3•4x﹣3=﹣8x6y3•4x﹣3=﹣8x3y3,故本选项错误;D、(x﹣3y)(﹣x+3y)=﹣(x﹣3y)2,故本选项错误.故选B.点评:本题考查合并同类项、同底数幂的乘法,单项式的乘法,完全平方公式,熟练掌握运算法则和性质是解题的关键.23.(2004•郑州)已知a=x+20,b=x+19,c=x+21,那么代数式a2+b2+c2﹣ab﹣bc﹣ac的值是()A.4B.3C.2D.1考点:完全平方公式.专题:压轴题.分析:已知条件中的几个式子有中间变量x,三个式子消去x即可得到:a﹣b=1,a﹣c=﹣1,b﹣c=﹣2,用这三个式子表示出已知的式子,即可求值.解答:解:法一:a2+b2+c2﹣ab﹣bc﹣ac,=a(a﹣b)+b(b﹣c)+c(c﹣a),又由a=x+20,b=x+19,c=x+21,得(a﹣b)=x+20﹣x﹣19=1,同理得:(b﹣c)=﹣2,(c﹣a)=1,所以原式=a﹣2b+c=x+20﹣2(x+19)+x+21=3.故选B.法二:a2+b2+c2﹣ab﹣bc﹣ac,=(2a2+2b2+2c2﹣2ab﹣2bc﹣2ac),=[(a2﹣2ab+b2)+(a2﹣2ac+c2)+(b2﹣2bc+c2)],=[(a﹣b)2+(a﹣c)2+(b﹣c)2],=×(1+1+4)=3.故选B.点评:本题若直接代入求值会很麻烦,为此应根据式子特点选择合适的方法先进行化简整理,化繁为简,从而达到简化计算的效果,对完全平方公式的灵活运用是解题的关键.24.(2004•临沂)如果x﹣=3,那么x2+=()A.5B.7C.9D.11考点:完全平方公式.分析:根据完全平方公式:(a±b)2=a2±2ab+b2对等式两边平方整理即可求解.解答:解:原式=x2++2﹣2,=(x﹣)2+2,=9+2,=11.故选D.点评:本题主要考查完全平方公式,利用好乘积二倍项不含字母是解题的关键.25.(2003•宁夏)当x=﹣2时,代数式﹣x2+2x﹣1的值等于()A.9B.﹣9 C.1D.﹣1考点:完全平方公式.分析:先把代数式添加带“﹣”的括号,然后根据完全平方公式的逆用整理后代入数据计算即可.解答:解:﹣x2+2x﹣1,=﹣(x2﹣2x+1),=﹣(x﹣1)2,当x=﹣2时,原式=﹣(﹣2﹣1)2=﹣9.故选B.点评:本题考查完全平方公式,先添加带负号的括号是利用公式的关键.26.(2001•重庆)已知,的值为()A.B.C.D.无解考点:完全平方公式;实数的性质.分析:根据绝对值的性质去掉绝对值号,然后利用完全平方公式转化未知的式子变成已知的式子,求解即可.解答:解:(1)当a为负数时,整理得,+a=1,两边都平方得=1,∴=﹣1∴不合题意,应舍去.(2)当a为正数时,则,整理得,﹣a=1,两边都平方得=1,∴(+a)2=+2=5.解得=±.∵a是正数,∴值为.故选B.点评:本题考查了完全平方公式,关键是利用完全平方公式转化未知的式子为已知的式子.绝对值的性质:一个正数的绝对值是它本身;一个负数的绝对值是它的相反数;0的绝对值是0.27.(1999•烟台)已知a+b=3,a3+b3=9,则ab等于()A.1B.2C.3D.4考点:完全平方公式.专题:计算题.分析:根据条件a+b=3,两边平方可求得a2+b2=9﹣2ab,再把条件a3+b3=9展成(a+b)和ab的形式,整体代入即可求得ab的值.解答:解:∵a+b=3,∴(a+b)2=a2+2ab+b2=9,∴a2+b2=9﹣2ab,∵a3+b3=(a+b)(a2﹣ab+b2)=(a+b)[(a+b)2﹣3ab)]=9,∴ab=2.故选B.点评:主要考查了完全公式的应用.要注意完全平方公式:(a±b)2=a2±2ab+b2,对a3+b3的准确分解是解本题的关键.28.(1999•南京)下列计算正确的是()A.(a+b)(a2+ab+b2)=a3+b3B.(a+b)2=a2+b2C.(a﹣b)(a2+2ab+b2)=a3﹣b3D.(a﹣b)2=a2﹣2ab+b2考点:完全平方公式.分析:根据多项式的乘法和完全平方公式,对各选项计算后利用排除法求解.解答:解:A、应为(a+b)(a2﹣ab+b2)=a3+b3,故本选项错误;B、应为(a+b)2=a2+2ab+b2,故本选项错误;C、应为(a﹣b)(a2+ab+b2)=a3﹣b3,故本选项错误;D、(a﹣b)2=a2﹣2ab+b2,正确.故选D.点评:本题主要考查完全平方公式和立方和(差)公式,熟记公式是解题的关键.29.(1998•台州)下列运算正确的是()A.B.(a+b)2=a2+b2C.|2﹣π|=π﹣2 D.(a2)3=a5考点:完全平方公式;算术平方根;幂的乘方与积的乘方.分析:是49的算术平方根,结果是7,(a+b)2是完全平方公式,结果应该有三项,绝对值的结果应该是非负数,幂的乘方,底数不变,指数相乘,应该是(a2)3=a6.解答:解:A、根据算术平方根的意义得:=7,故本选项错误;B、根据完全平方公式得:(a+b)2=a2+2ab+b2,故本选项错误;C、绝对值的意义可得,结果正确;D、幂的乘方得:(a2)3=a2×3=a6,故本选项错误.故选C.点评:本题主要考查了算术平方根,完全平方公式,绝对值的性质,幂的乘方的性质,熟练掌握运算性质和公式是解题的关键.30.若M=3x2﹣8xy+9y2﹣4x+6y+13(x,y是实数),则M的值一定是()A.零B.负数C.正数D.整数考点:完全平方公式;非负数的性质:偶次方.分析:本题可将M进行适当变形,将M的表达式转换为几个完全平方式的和,然后根据非负数的性质来得出M 的取值范围.解答:解:M=3x2﹣8xy+9y2﹣4x+6y+13,=(x2﹣4x+4)+(y2+6y+9)+2(x2﹣4xy+4y2),=(x﹣2)2+(y+3)2+2(x﹣2y)2>0.故选C.点评:本题主要考查了非负数的性质,将M的表达式根据完全平方公式的特点进行变形是解答本题的关键.。
完全平方公式的变形与应用我们学习了完全平方公式:2222)(b ab a b a +±=±,它是多项式乘法中非常重要的公式,如果将两个公式适当加以变形,其用途更广泛,作用更大.下面结合几例加以说明:一、移项变形1、222()2a b a b ab +=+-;2、222()2a b a b ab +=-+.例1 (1)(2010浙江宁波)若3=+y x ,1=xy ,则=+22y x ___________.(2)已知6,4a b ab -==,求22a b +的值.分析:(1)利用完全平方公式的变形1,先将22x y +变形为(x y +)2-2xy ,然后代入求值.(2)利用完全平方公式的变形2,先将22b a +变形为2()2a b ab -+,然后代入求值. 解:(1)x 2+y 2=(x y +)2-2xy =32-2=7;(2)2222()262436844a b a b ab +=-+=+⨯=+=.二、两公式相加变形3、2222()()2()a b a b a b ++-=+.例2 已知2222,3)(,7)(y x y x y x +=-=+求的值。
解:利用以上变形3得:52372)()(2222=+=-++=+y x y x y x 例3 已知6,4a b a b +=-=求22a b +的值.分析:利用以上变形3可求出22a b +的值.解:因为2222()()2()a b a b a b ++-=+,6,4a b a b +=-=.所以36+16=222()a b +,即222()a b +=52.所以22a b +=26.三、两公式相减变形4、22()()4a b a b ab +--=例4 已知2()16a b +=,3ab =,求2()a b -的值. 分析:利用以上变形4,可求出2()a b -的值. 解:因为22()()4a b a b ab +--=,2()16a b +=,3ab =, 所以16-2()a b -=4×3,所以2()a b -=4.例5已知216,8c ab b a +==+,求2012()a b c -+的值。
完全平方公式变形公式及常见题型加法形式的完全平方公式:(a + b)² = a² + 2ab + b²减法形式的完全平方公式:(a - b)² = a² - 2ab + b²这两个公式可以用来解决一些常见的数学题型,包括因式分解、求根、化简等。
下面将分别介绍这些题型并给出解题方法和例题。
1.因式分解:如果一个二次多项式可以进行因式分解,它的形式可以表示为(x+a)²或者(x-a)²。
通过比较系数,可以求解出a的值。
例题:将多项式x²+6x+9进行因式分解。
解:这个多项式可以整理成(x+3)²的形式,所以其因式分解为(x+3)²。
2.求根:可以利用完全平方公式来求解一个二次方程的根。
例题:求方程x²+6x+9=0的根。
解:可以通过变形公式x²+6x+9=(x+3)²得到,然后令(x+3)²=0,可以得到x=-3、所以方程的根为x=-33.化简:通过利用完全平方公式的变形,可以化简一个复杂的二次多项式。
例题:化简多项式x²+8x+16解:这个多项式可以整理成(x+4)²的形式。
4.求面积和周长:通过完全平方公式,可以求解一个平方区域的面积和周长。
例题:一个正方形的边长为x,求其周长和面积。
解:正方形的周长为4x,面积为x²。
5.求最值:通过完全平方公式,可以求解一个多项式的最大值或最小值。
例题:求多项式y = ax² + bx + c 的最小值。
解:可以通过完全平方公式将该多项式转化为(x+p)²+q的形式,从而得到最小值为q。
这只是完全平方公式的一些常见应用,还有很多其他的题型和解题方法。
希望这些例题和解题方法能够帮助你更好地理解和应用完全平方公式。
典型例题例1利用完全平方公式计算:(1);(2);(3).分析:这几个题都符合完全平方公式的特征,可以直接应用该公式进行计算.解:(1);(2);(3).说明:(1)必须注意观察式子的特征,必须符合完全平方公式,才能应用该公式;(2)在进行两数和或两数差的平方时,应注意将两数分别平方,避免出现的错误.例2计算:(1);(2);(3).分析:(2)题可看成,也可看成;(3)题可看成,也可以看成,变形后都符合完全平方公式.解:(1)(2)原式或原式(3)原式或原式说明:把题目变形为符合公式标准的形式有多种方式,做题时要灵活运用.例3用完全平方公式计算:(1);(2);(3).分析:第(1)小题,直接运用完全平方公式为公式中a,为公式中b,利用差的平方计算;第(2)小题应把化为再利用和的平方计算;第(3)小题,可把任意两项看作公式中a,如把作为公式中的a,作为公式中的b,再两次运用完全平方公式计算.解:(1) =(2) =(3)=说明:运用完全平方公式计算要防止出现以下错误:,.例4运用乘法公式计算:(1);(2);(3).分析:第(1)小题先用平方差公式计算前两个因式的积,再利用完全平方式计算.第(2)小题,根据题目特点,两式中都有完全相同的项,和互为相反数的项b,所以先利用平方差公式计算与的积,再利用完全平方公式计算;第三小题先需要利用幂的性质把原式化为,再利用乘法公式计算.解:(1)原式=(2)原式==(3)原式==.说明:计算本题时先观察题目特点,灵活运用所学过的乘法公式和幂的性质,以达到简化运算的目的.例5 计算:(1);(2);(3).分析:(1)和(3)首先我们都可以用完全平方公式展开,然后合并同类项;第(2)题可以先根据平方差公式进行计算,然后如果还可以应用公式,我们继续应用公式.解:(1);(2);(3).说明:当相乘的多项式是两个三项式时,在观察时应把其中的两项看成一个整体来研究.。
14.2完全平方公式专项训练题(含答案)完全平方公式课时练习 A. 100' + 1 B. 101 区 C. 100+100 X1+1 D. 1001+2 X100+1、选择题(每小题5分,共30 分)1?计算(a+b)(-a-b)的结果是(B. -a -b卜C. a -2ab+bD. -a -2ab-b2. 设(3m+2n)=(3m-2n)+P,贝U P 的值是(A. 12mnB. 24mnC. 6mnD. 48mn 10.若(a+b)2=9,(a-b)2=1,贝U ab 的值为()A. 2B. -2C. 8D. -811.若(a+b)2=36,(a-b) 2=4,贝U a +b 的值为(A. 9B. 40C. 20D. -2012.化简:(m+1) -(1-m)(1+m)正确的结果是()4.已知a +b =25,且ab=12,则a+b的值是(A. -a *-2a-1B. a■■-1C. -a -1D. -a +2a-18. 若x+y=10,xy=24,则x +y E的值为()18. ______________________________ 多项式4x +1加上一个单项式后能成为一个整式的完全平方, 符合条件的这个单项式是 .A. 52B. 148C. 58D. 769. 计算101 等于 ( ) 19. (a+b)(-b-a)= ______20. 已知a+b=6,ab=5,则代数式a+b的值是 ______________3.若x -kxy+9y是一个完全平方式,则k值为(A. 2mB. 2m+2C. 2m +2mD. 0 A. 3 B. 6 C. ± D. ±1 13.已知a =4,则a+ ()的值是()A. 1B. ±C. 7D. ±5.下列运算正确的是A. (a-2b) (a-2b)=a l;-4bB. (P-q) =P -q14. 设(5a+3b) =(5a-3b) +A,贝A=( )A. 30abB.60abC. 15abD.12ab15. 若x +y =(x+y) +A=(x-y) +B,贝U A,B 各等于()C. (a+2b) (a-2b)=-a -2bD. (-s-t) -=s +2st+t■■6.下列等式成立的是()A. (-x-1 ) =(x-1) B. (-x-1) =(x+1)卜C. (-x+1) =(x+1)D. (x+1) =(x-1)7.计算(a+1)(-a-1)的结果是()A. -2xy,2xy B. -2xy,-2xy C. 2xy,-2xy D. 2xy,2xy二、填空题(每小题5分,共25分)16. 计算:(-x-y ) - = ___________17. X: +y】=(x+y) 2- _______ = (x-y) 2+ _________ .A. a -bA. 4B. 16C. 14D. 15请你写出三、解答题(每题10分,共50分)21. 计算999的结果.22. 解方程2(x-1) +(x-2)(x+2)=3x(x-5)23. 已知:x+y=3,xy=1 ,试求:(1) x +y 的值;(2) (x-y)的值.1 124. 已知a+ =6,求(a-)-的值.a a25. 已知a,b是有理数,试说明a +b -2a-4b+8的值是正数第十四章第二节完全平方公式课时练习一、选择题(每小题5分,共30分)1. 计算(a+b)( -a-b)的结果是( )A. a -bB. -a -bC. a -2ab+bD. -a -2ab-b【答案】D【解析】解:(a+b)( -a-b) =- (a+b)( a+b) =- ( a2+2ab+b2) =-a2-2ab-b2-故选D.2. 设(3m+2n) = (3m-2n) +P,贝U P 的值是( )A. 12mnB. 24mnC. 6mnD. 48mn【解析】解:T( 3m+2n) 2=9m2+4n2+12mn=9m2+4n2-12mn+24mn= (3m-2n) 2+24mn,P=24mn.故选B .3. 若x -kxy+9y是一个完全平方式,则k值为( )A. 3B. 6C. ±D. ±1【答案】C【解析】解:T x2-kxy+9y2是一个完全平方公式,?- x2-kxy+9y2 = (x±3y) 2,.?.k应该是土6 .故选C.点睛:本题主要考查了完全平方公式,根据两平方项确定出这两个数,再根据乘积二倍项求解是解题关键.4. 已知a +b =25,且ab=12,则a+b的值是( )A. 1B. ±1C. 7D. ±7【答案】D【解析】解:T a2+b2=25,ab=12,? a2+b2+2ab= (a+b)2=25+2 X12=49,? a+b=±7 .故选D.5. 下列运算正确的是()A. (a-2b) (a-2b)=a -4bB. (P-q) =P -qC. (a+2b) (a-2b)=-a -2bD. (-s-t) =s +2st+t【答案】D【解析】解:A . ( a-2b) (a-2b) =a2+4b2-4ab,所以本题错误;C. ( a+2b) (a-2b) = a2-4b2,所以本题错误;D. (-s-t) 2=s2+2st+t2,本题正确.故选D .6. 下列等式成立的是( )A. ( -x-1) =(x-1)B. (-x-1) =(x+1)C. (-x+1)F=(x+1)D. (x+1)=(x-1)【答案】B【解析】解:A . ( -x-1)2=( x+1)2,所以本题错误;B. (-x-1) 2 = (x+1) 2,本题正确;C. ( -x+1) 2= (x-1) 2,所以本题错误;D. (加)2工(x-1) 2,所以本题错误.故选B .7?计算(a+1) (-a-1)的结果是()A. -a --2a-1B. a」-1C. -a -1D. -a +2a-1【答案】A【解析】解:(a+1) (-a-1) =- (a+1)( a+1) =- (a+1) 2=-a2-2a-1.故选A .8. 若x+y=10 , xy=24,则x +y E的值为()A. 52B. 148C. 58D. 76【答案】A【解析】解:( x+y) 2= x2+y2+2xy=100,A x2+y2=100-2xy=100-48=52 .故9. 计算101 等于 ( )A. 1001 + 1B. 101 ZC. 100+100 X1+1D. 100+2 X100+1【答案】D【解析】解:1012= ( 100+1) =1002+2 X100+1 .故选D .10. 若(a+b) 2=9,( a-b) 2=1,则ab的值为()A. 2B. -2C. 8D. -8【答案】A【解析】解:(a+b) 2- (a-b) 2=2ab- (-2ab) =4ab=9-1,二ab=2.故选A.11. 若(a+b) 2=36, ( a-b) 2=4,贝V a +b 的值为()A. 9B. 40C. 20D. -20【答案】C【解析】解:(a+b) 2+ (a-b) 2=2 (a2+b2) =36+4 , a2+b2=20 .故选C.12. 化简:(m+1) -(1-m)(1+m)正确的结果是()A. 2mB. 2m+2C. 2m +2mD. 0【答案】C【解析】解:(m+1) 2 - (1-m)( 1 + m) = m2+2 m+1-1+ m2=2 m2+2m.故选C.【答案】BB. ( p-q) 2=p2+q2-2pq,所以本题错误;点睛:本题考查了平方差公式和完全平方公式的应用,能正确运用公式展开是解此题的关键.13.已知a+"=4,则a】+ (\泊勺值是()aA. 4B. 16C. 14D. 15 【答案】C【解析】解:(a+ -)a2= a2+(4a2+2=16,a2+ (-)2=14.故选C fl14. 设(5a+3b) =(5a-3b) +A,贝U A=( )A. 30abB.60abC. 15abD.12ab【答案】B【解析】T (5a+3b)2=(5a-3b)2+AA=(5a+3b) 2- (5a- 3b)2=(5a+3b+5a- 3b)(5a+3b- 5a+3b)=60ab, 故选B.15. 若x +y =(x+y)卜+A=(x-y) +B,贝U A, B各等于()A. -2xy , 2xyB. -2xy , -2xyC. 2xy , -2xyD. 2xy , 2xy【答案】A【解析】解: x2+y2= ( x+y) +A= (x-y) +B;2 2 2 2 2 2x +y = x +y +2xy+A= x +y -2xy+BA=-2xy, B=2xy.故选A .点睛:本题考查了完全平方公式,两数的平方和,再加上或减去它们积的2倍,就构成了一个完全平方式,熟记公式结构及其变形是解题的关键. 二、填空题(每小题5分,共25分)16. 计算:(_x_y ) 2 = _________【答案】x +y +2xy【解析】解:(-x-y) 2=[- (x+y) ] 2= x2+y2+2xy.故答案为:x2+y2+2xy.17. X: +y】=(x+y)2- _______ = (x-y) 2+ ________ .【答案】(1). 2xy (2). 2xy【解析】解:x2+y2= (x+y) 2- (2xy) = (x-y) 2+2xy.故答案为:-2xy, 2xy.18. 多项式4x +1加上一个单项式后能成为一个整式的完全平方,请你写出符合条件的这个单项式是______________ .【答案】±4x【解析】解:4x2+1= (2x+1) 2-4x; 4x2+1= (2x-1) 2+4x.故答案为:±4x.点睛:本题是完全平方公式的应用;两数的平方和,再加上或减去它们积的2倍,就构成了一个完全平方式.注意积的2倍的符号,避免漏解. 19. (a+b)(-b-a)= _______【答案】-a -b -2ab【解析1解:5+切(4a) = ^2ab故答案为:V兀庐加b20. 已知a+b=6,ab=5,则代数式a+b的值是 ______________【答案】26【解析】解:?/ a2+b2= (a+b) 2-2ab=36-2 為=26.故答案为:26.三、解答题(每题10分,共50分)21. 计算999的结果.【答案】998001【解析】试题分析:原式变形后,利用完全平方公式化简即可得到结果试题解析:解:9992=( 1000-1)2=10002+1-2000=998001 .22. 解方程2(x-1) +(x-2)(x+2)=3x(x-5)【答案】x=11【解析】试题分析:用完全平方公式和平方差公式展开后,合并即可得到结论?试题解析:解: 2 ( x-1) 2+ ( x-2)( x+2) =3x (x-5)2x2+2-4x+x2-4=3x2-15x3x2-3x2-4x+15x=22x=_111点睛:本题考查了完全平方公式、平方差公式以及全并同类项,熟练掌握运算法则是解答本题的关键.23. 已知:x+y=3,xy=1 ,试求:(1) x +y 的值;(2) (x-y)的值.【答案】(1)7(2)5【解析】试题分析:(1)根据变形即可;(2)根据(X 斗叙、,整体代入即可?试题解析:解:(1) x2+y2= (x+y) 2 -2xy=9-2=7 ;(2)( x-y) 2=斗+ 疔-4野=9-4=5 ?点睛:本题考查了完全平方公式的变形运用.熟练掌握公式及其变形的方法是解题的关键.1124.已知a f =6,求(a- 的值a【答案】32【解析】试题分析:扌把i + ■ =6a两边平方,把;丄】利用完全平方公式展开整理即可求解.试题解析:解:??但”-a"a1+ —+ 2 ■36,1 ,?旷+ ,1 , 3 1—?a iT25.已知a, b是有理数,试说明a+b -2a-4b+8的值是正数.【答案】证明见解析【解析】试题分析:先把常数项8拆为1+4+3 ,再分组凑成完全平方式, 从而判断它的非负性.试题解析:解:原式=a2+b2-2a-4b+8=a2+b2-2a-4b+1+4+3=(a-1) 2+ (b-2) 2+3( a-1) 2>0 ( b-2) 2>0 ( a-1) 2+ ( b-2) 2+3 >3二a2+b2-2a-4b+8的值是正数.。
完全平方公式变形公式专题文档编制序号:[KKIDT-LLE0828-LLETD298-POI08]半期复习(3)—— 完全平方公式变形公式及常见题型一.公式拓展:拓展一:ab b a b a 2)(222-+=+ ab b a b a 2)(222+-=+拓展二:ab b a b a 4)()(22=--+ ()()222222a b a b a b ++-=+拓展三:bc ac ab c b a c b a 222)(2222---++=++拓展四:杨辉三角形拓展五: 立方和与立方差二.常见题型:(一)公式倍比例题:已知b a +=4,求ab b a ++222。
(1)1=+y x ,则222121y xy x ++= (2)已知xy 2y x ,y x x x -+-=---2222)()1(则=(二)公式变形 (1)设(5a +3b )2=(5a -3b )2+A ,则A=(2)若()()x y x y a-=++22,则a 为 (3)如果22)()(y x M y x +=+-,那么M 等于(4)已知(a+b)2=m ,(a —b)2=n ,则ab 等于(5)若N b a b a ++=-22)32()32(,则N 的代数式是 (三)“知二求一”1.已知x ﹣y=1,x 2+y 2=25,求xy 的值.2.若x+y=3,且(x+2)(y+2)=12.(1)求xy 的值;(2)求x 2+3xy+y 2的值.3.已知:x+y=3,xy=﹣8,求:(1)x 2+y 2(2)(x 2﹣1)(y 2﹣1).4.已知a ﹣b=3,ab=2,求:(1)(a+b )2(2)a 2﹣6ab+b 2的值.(四)整体代入例1:2422=-y x ,6=+y x ,求代数式y x 35+的值。
例2:已知a= 201x +20,b=201x +19,c=201x +21,求a 2+b 2+c 2-ab -bc -ac 的值 ⑴若499,7322=-=-y x y x ,则y x 3+=⑵若2=+b a ,则b b a 422+-= 若65=+b a ,则b ab a 3052++= ⑶已知a 2+b 2=6ab 且a >b >0,求 ba b a -+的值为 ⑷已知20042005+=x a ,20062005+=x b ,20082005+=x c ,则代数式ca bc ab c b a ---++222的值是 .(五)杨辉三角请看杨辉三角(1),并观察下列等式(2):根据前面各式的规律,则(a+b )6= .(六)首尾互倒1.已知m 2﹣6m ﹣1=0,求2m 2﹣6m+= .2.阅读下列解答过程:已知:x ≠0,且满足x 2﹣3x=1.求:的值. 解:∵x 2﹣3x=1,∴x 2﹣3x ﹣1=0∴,即. ∴==32+2=11. 请通过阅读以上内容,解答下列问题:已知a ≠0,且满足(2a+1)(1﹣2a )﹣(3﹣2a )2+9a 2=14a ﹣7,求:(1)的值;(2)的值.(七)数形结合1.如图(1)是一个长为2m ,宽为2n 的长方形,沿图中的虚线剪开均分成四个小长方形,然后按图(2)形状拼成一个正方形.(1)你认为图(2)中的阴影部分的正方形边长是多少(2)请用两种不同的方法求图(2)阴影部分的面积;(3)观察图(2),你能写出下列三个代数式之间的等量关系吗三个代数式:(m+n )2,(m ﹣n )2,mn .(4)根据(3)题中的等量关系,解决下列问题:若a+b=7,ab=5,求(a ﹣b )2的值.2.附加题:课本中多项式与多项式相乘是利用平面几何图形的面积来表示的,例如:(2a+b)(a+b)=2a2+3ab+b2就可以用图1或图2的面积来表示.(1)请写出图3图形的面积表示的代数恒等式;(2)试画出一个几何图形,使它的面积能表示(a+b)(a+3b)=a2+4ab+3b2.(八)规律探求15.有一系列等式:1×2×3×4+1=52=(12+3×1+1)22×3×4×5+1=112=(22+3×2+1)23×4×5×6+1=192=(32+3×3+1)24×5×6×7+1=292=(42+3×4+1)2…(1)根据你的观察、归纳、发现的规律,写出8×9×10×11+1的结果(2)试猜想n(n+1)(n+2)(n+3)+1是哪一个数的平方,并予以证明.。
完全平方公式变形题完全平方公式,这可是初中数学里的重要“角色”呀!就像我们生活中的钥匙,能打开好多数学难题的“锁”。
先来说说完全平方公式到底是啥。
它有两个:(a + b)² = a² + 2ab +b²,(a - b)² = a² - 2ab + b²。
这两个公式看着简单,可一旦变起形来,那花样可就多了。
比如说,给你一个式子 a² + 2ab + b² = 25,让你求 a + b 的值。
这时候就得想到完全平方公式啦,因为 a² + 2ab + b²不就是 (a + b)²嘛!所以 (a + b)² = 25,那 a + b 不就是 ±5 嘛。
我记得之前给学生讲这部分内容的时候,有个学生就迷糊了。
那是个胖胖的小男孩,眉头皱得紧紧的,手里的笔都快被他捏断了。
我走到他身边,问他咋啦。
他一脸苦相地说:“老师,我怎么觉得这公式变形就像孙悟空七十二变,我根本抓不住它!”我笑着跟他说:“别着急,咱们慢慢来,把它当成一个爱捉迷藏的小伙伴,你得细心去找它的规律。
”然后我带着他一步一步地分析题目,从最基础的公式开始,慢慢引导他。
最后,当他终于弄明白的时候,那脸上的笑容,比吃了蜜还甜。
再看这道题:已知 a - b = 3,ab = 2,求 a² + b²的值。
这时候就得把(a - b)²展开,得到 a² - 2ab + b² = 9 ,然后把 ab = 2 代入,就能算出 a² + b²的值啦。
还有像这样的变形:已知 (a + b)² = 16,(a - b)² = 4 ,求 ab 的值。
这就得把两个式子展开,然后相减,通过一番计算就能得出 ab 的值。
完全平方公式的变形题在解题过程中,一定要细心,千万别漏了什么项。
乘法公式的拓展及常见题型整理欧阳光明(2021.03.07)一.公式拓展:拓展一:ab b a b a 2)(222-+=+ab b a b a 2)(222+-=+ 拓展二:ab b a b a 4)()(22=--+()()222222a b a b a b ++-=+ 拓展三:bc ac ab c b a c b a 222)(2222---++=++ 拓展四:杨辉三角形 拓展五: 立方和与立方差 二.常见题型: (一)公式倍比例题:已知b a +=4,求ab b a ++222。
⑴如果1,3=-=-c a b a ,那么()()()222a c c b b a -+-+-的值是 ⑵1=+y x ,则222121y xy x ++= ⑶已知xy 2y x ,y x x x -+-=---2222)()1(则=(二)公式组合例题:已知(a+b)2=7,(a-b)2=3, 求值: (1)a 2+b 2 (2)ab⑴若()()a b a b -=+=22713,,则a b 22+=____________,a b =_________⑵设(5a +3b )2=(5a -3b )2+A ,则A=⑶若()()x y x y a-=++22,则a 为⑷如果22)()(y x M y x +=+-,那么M 等于 ⑸已知(a+b)2=m ,(a —b)2=n ,则ab 等于⑹若N b a b a ++=-22)32()32(,则N 的代数式是⑺已知,3)(,7)(22=-=+b a b a 求ab b a ++22的值为。
⑻已知实数a,b,c,d 满足53=-=+bc ,ad bd ac ,求))((2222d c b a ++(三)整体代入例1:2422=-y x ,6=+y x ,求代数式y x 35+的值。
例2:已知a=201x +20,b=201x +19,c=201x +21,求a 2+b 2+c 2-ab -bc -ac 的值⑴若499,7322=-=-y x y x ,则y x 3+=⑵若2=+b a ,则b b a 422+-= 若65=+b a ,则b ab a 3052++= ⑶已知a 2+b 2=6ab 且a >b >0,求ba ba -+的值为 ⑷已知20042005+=x a ,20062005+=xb ,20082005+=xc ,则代数式ca bc ab c b a ---++222的值是. (四)步步为营例题:3⨯(22+1)⨯(24+1)⨯(28+1)⨯(162+1)6⨯)17(+⨯(72+1)⨯(74+1)⨯(78+1)+1()()()()()224488a b a b a b a b a b -++++222222122009201020112012-++-+- ⎪⎭⎫ ⎝⎛-2211⎪⎭⎫⎝⎛-2311⎪⎭⎫⎝⎛-2411…⎪⎭⎫ ⎝⎛-2201011(五)分类配方例题:已知03410622=++-+n m n m ,求n m +的值。
完全平方公式变形公式及常见题型一.公式拓展:拓展一:ab b a b a 2)(222-+=+ ab b a b a 2)(222+-=+2)1(1222-+=+a a a a 2)1(1222+-=+aa a a 拓展二:ab b a b a 4)()(22=--+ ()()222222a b a b a b ++-=+ab b a b a 4)()(22+-=+ ab b a b a 4)()(22-+=-拓展三:bc ac ab c b a c b a 222)(2222---++=++拓展四:杨辉三角形3223333)(b ab b a a b a +++=+4322344464)(b ab b a b a a b a ++++=+拓展五: 立方和与立方差))((2233b ab a b a b a +-+=+ ))((2233b ab a b a b a ++-=-二.常见题型:(一)公式倍比 例题:已知b a +=4,求ab b a ++222。
(1)1=+y x ,则222121y xy x ++= (2)已知xy 2y x ,y x x x -+-=---2222)()1(则=(二)公式变形(1)设(5a +3b )2=(5a -3b )2+A ,则A=(2)若()()x y x y a-=++22,则a 为 (3)如果22)()(y x M y x +=+-,那么M 等于(4)已知(a+b)2=m ,(a —b)2=n ,则ab 等于(5)若N b a b a ++=-22)32()32(,则N 的代数式是(三)“知二求一”1.已知x ﹣y=1,x 2+y 2=25,求xy 的值.2.若x+y=3,且(x+2)(y+2)=12.(1)求xy 的值;(2)求x 2+3xy+y 2的值.3.已知:x+y=3,xy=﹣8,求:(1)x 2+y 2(2)(x 2﹣1)(y 2﹣1).4.已知a ﹣b=3,ab=2,求:(1)(a+b )2(2)a 2﹣6ab+b 2的值.(四)整体代入例1:2422=-y x ,6=+y x ,求代数式y x 35+的值。
完全平方公式和平方差公式的变形题在咱们的数学学习中啊,完全平方公式和平方差公式那可是相当重要的知识点!这俩公式就像一对形影不离的好兄弟,经常在各种数学题里出没。
咱们先来说说完全平方公式,(a+b)² = a² + 2ab + b²,(a - b)² = a² - 2ab + b²。
这两个公式看起来简单,可一旦变形,那可就花样百出啦!比如说,给你一个式子 a² + 2ab + b²,让你写出它等于(a + b)²,这就是一个简单的变形题。
我记得之前有个同学,在做这种变形题的时候,那叫一个抓耳挠腮。
他看着题目,嘴里还念念有词:“这咋变啊,感觉像变魔术一样!”我走过去一看,发现他连公式都记错了。
我就跟他说:“你得先把公式记牢了,就像你记住自己的名字一样,不能记错呀!”然后我给他举了个例子,假如 a = 3,b = 4 ,那(a + b)²就是(3 + 4)² = 49 ,而 a² +2ab + b²就是 3² + 2×3×4 + 4²,算一算,也是 49 。
这么一对比,他恍然大悟,“哦,原来是这样啊!”咱们再看看平方差公式,a² - b² = (a + b)(a - b)。
这个公式的变形题也不少。
比如给你个式子 9x² - 25 ,让你因式分解,这就得用到平方差公式啦,它可以变成(3x + 5)(3x - 5)。
曾经在课堂上,我出了一道类似的题目让大家做。
有个同学特别积极,一下子就举手说:“老师,我做完啦!”我过去一看,发现他做错了。
他把 9x² - 25 写成了(9x + 25)(9x - 25)。
我就问他:“你再仔细想想,9x²是不是等于(3x)²呀?25 是不是等于 5²呀?”他一拍脑袋,“哎呀,我太着急了,没仔细想!”其实啊,做这些变形题,关键就是要对公式熟悉得不能再熟悉,就像熟悉自己的手指一样。