高中解析几何秒杀公式大全 高中解析几何解题套路
- 格式:pdf
- 大小:74.40 KB
- 文档页数:2
解析几何考点和答题技巧归纳一、解析几何的难点从解题的两个基本环节看:1、翻译转化:将几何关系恰当转化(准确,简单),变成尽量简单的代数式子(等式 / 不等式),或反之…2、消元求值:对所列出的方程 / 不等式进行变形,化简,消元, 计算,最后求出所需的变量的值/范围 等等难点:上述两个环节中 ⎩⎪⎨⎪⎧变量、函数/方程/不等式的思想灵活性和技巧性分类讨论综合应用其他的代数几何知不小的计算量二、复习建议分两个阶段,两个层次复习: 1、基础知识复习:落实基本问题的解决,为后面的综合应用做好准备。
这个阶段主要突出各种曲线本身的特性,以及解决解析问题的一般性工作的落实,如: ① 直线和圆:突出平面几何知识的应用(d 和r 的关系!);抛物线:突出定义在距离转化上的作用,以及设点消元上与椭圆双曲线的不同之处。
② 圆锥曲线的定义、方程、基本量(a 、b 、c 、p )的几何意义和计算③ 直线和圆锥曲线的位置关系的判断(公共点的个数)④ 弦长、弦中点问题的基本解法⑤ 一般程序性工作的落实:设点、设直线(讨论?形式?)、联立消元、列韦达结论… 中的计算、讨论、验…2、综合复习:重点攻坚翻译转化和消元求值的能力① 引导学生在 “解题路径规划”的过程中理解解析法:变量、等式(方程/函数)、不等式的思想② 积累常见的翻译转化, 建立常见问题的解决模式③ 一定量的训练, 提高运算的准确性、速度, 提高书写表达的规范性、严谨性● 具体说明1、引导学生在“解题路径规划”的过程中理解解析法:变量、等式(方程/函数)、不等式的思想建议在例题讲解时,总是在具体计算之前进行“解题路径规划”:① 条件和结论与哪几个变量相关?解决问题需要设哪些变量?② 能根据什么条件列出几个等式和不等式?它们之间独立吗?够用了吗?③ 这些等式/不等式分别含有什么变量?如何消元求解最方便?④ 根据这些等式和不等式,能变形、消元后得到什么形式的结论(能消掉哪些变量?得到两个变量的新等式/不等式?变量的范围?求出变量的值?)好处: ①选择合适的方法;②避免中途迷失[注] 关于消元常用的消元法: ⎩⎪⎨⎪⎧代入消元加减/乘除消元韦达定理整体代入消掉交点坐标 点差法 弦中点与弦斜率的等量关系 ……换元,消元的能力非常重要2、积累常见翻译转化,建立常见问题的解决模式(1)常见的翻译转化:① 点在曲线上 点的坐标满足曲线方程② 直线与二次曲线的交点⎣⎢⎡点坐标满足直线方程点坐标满足曲线方程x 1 + x 2 = …‚ x 1x 2= …y 1 + y 2 = …‚ y 1y 2 = … ③ 两直线AB 和CD 垂直 01AB CD AB CD k k ⎡⋅=⎢⋅=-⎣④ 点A 与B 关于直线l 对称⎩⎨⎧中: AB 的中点l 垂: AB ⊥l ⑤ 直线与曲线相切 ⎣⎡圆: d = r 一般二次曲线: 二次项系数 ≠ 0 且∆ = 0⑥ 点(x 0,y 0)在曲线的一侧/内部/外部 代入后 f (x 0,y 0) > 0或f (x 0,y 0) < 0⑦ ABC 为锐角 或 零角 BA → ∙ BC → > 0⑧ 以AB 为直径的圆过点C⎣⎢⎡CA → ∙ CB → = 0|CA |2 + |CB |2 = |AB |2 ⑨ AD 平分BAC → ⎣⎢⎢⎡AD ⊥x 轴或y 轴时:k BA = − k AC AD 上点到AB 、AC 的距离相等AD →∥(AB → + AC →)⑩ 等式恒成立系数为零或对应项系数成比例○11 A 、B 、C 共线 → ⎣⎢⎢⎡AB →∥BC→k AB = k BC C 满足直线AB 的方程……[注] 关于直线与圆锥曲线相交的列式与消元:① 如果几何关系与两个交点均有关系,尤其是该关系中,两个交点具有轮换对称性,那么可优先尝试利用韦达定理得到交点坐标的方程,然后整体消元如果几何关系仅与一个交点相关, 那么优先尝试“设点代入”(交点坐标代入直线方程和曲线方程);② 如果几何关系翻译为交点的坐标表示后, 与x 1 + x 2, y 1 + y 2相关 (如:弦的中点的问题),还可尝试用 “点差法”(“代点相减” 法) 来整体消元,但仍需保证∆ > 0(2)建立常见题型的“模式化”解决方法 (不能太过模式化,也不能没有模式化)如:① 求曲线方程: ⎩⎪⎨⎪⎧待定系数法直译法定义法相关点法参数法… 难度较大,上海常考的是待定系数法、定义法和相关点法。
(完整版)高中数学解析几何公式大全一、直线方程1. 点斜式:y y1 = m(x x1),其中m是直线的斜率,(x1, y1)是直线上的一个点。
2. 斜截式:y = mx + b,其中m是直线的斜率,b是直线在y轴上的截距。
3. 一般式:Ax + By + C = 0,其中A、B、C是常数。
二、圆的方程1. 标准式:(x a)2 + (y b)2 = r2,其中(a, b)是圆心的坐标,r是圆的半径。
2. 一般式:x2 + y2 + Dx + Ey + F = 0,其中D、E、F是常数。
三、椭圆的方程1. 标准式:((x h)2/a2) + ((y k)2/b2) = 1,其中(a, b)是椭圆的半长轴和半短轴,(h, k)是椭圆中心的坐标。
2. 一般式:((x h)2/a2) + ((y k)2/b2) 1 = 0,其中(a, b)是椭圆的半长轴和半短轴,(h, k)是椭圆中心的坐标。
四、双曲线的方程1. 标准式:((x h)2/a2) ((y k)2/b2) = 1,其中(a, b)是双曲线的实轴和虚轴,(h, k)是双曲线中心的坐标。
2. 一般式:((x h)2/a2) ((y k)2/b2) 1 = 0,其中(a, b)是双曲线的实轴和虚轴,(h, k)是双曲线中心的坐标。
五、抛物线的方程1. 标准式:y2 = 4ax,其中a是抛物线的焦点到准线的距离。
2. 一般式:y2 = 4ax + b,其中a是抛物线的焦点到准线的距离,b是抛物线在y轴上的截距。
六、直线与圆的位置关系1. 判定直线与圆的位置关系:计算直线到圆心的距离d与圆的半径r的关系。
如果d < r,直线与圆相交;如果d = r,直线与圆相切;如果d > r,直线与圆相离。
2. 直线与圆的交点:解直线方程和圆的方程,得到两个交点的坐标。
七、直线与椭圆的位置关系1. 判定直线与椭圆的位置关系:将直线方程代入椭圆方程,得到一个关于x的一元二次方程。
高中解析几何秒杀公式及解题套路高中解析几何秒杀公式是什幺,解析几何解题套路有哪些,怎幺能用一套完整的思路做所有类似的题目?把所有类型题都搞定?下面是高中解析几何秒杀公式及解题套路,希望你看完能上岸。
1高考解析几何的统一解题套路以高考解析几何为例1、问题都是以平面上的点、直线、曲线如圆、椭圆、抛物线、双曲线这三大类几何元素为基础构成的图形的问题2、演绎规则就是代数的演绎规则,或者说就是列方程、解方程的规则。
当然,能用代数规则处理的问题必须是代数形式的,比如,平面上的点、直线、曲线构成的图形能用代数方法来处理,前提是构成这些图形的点、直线、曲线必须是代数形式的。
有了以上两点认识,我们可以毫不犹豫地下这幺一个结论,那就是解决高考解析几何问题无外乎做两项工作1、几何问题代数化。
2、用代数规则对代数化后的问题进行处理。
至此,我们可以发掘出一套规整的高考解析几何的统一解题套路步骤1:把题目中的点、直线、曲线这三大类基础几何元素用代数形式表示出来(一化)步骤2:把题目中的点与直线、曲线的从属关系用代数形式表示出来(二代)说明:这里的“从属关系”指的是什幺?实际上,在解析几何中,“点”是比直线、曲线更基础的几何元素——任何几何图形,包括直线和曲线,都被视为是由一个个的“点”构成的(用数学语言来表达:任何几何图形,包括直线和曲线,都是由点构成的集合)。
但为了使我们的解题套路各步骤之间条例更分明。
我们把点、直线、曲线视为构成任何其它几何图形的基础。
所以,这里的“从属关系”是点与直线、曲线的属于关系问题——如果某个点在某条直线或曲线上,那幺这个点的坐标就可代入这条直线或曲线的方程。
步骤3:图形。
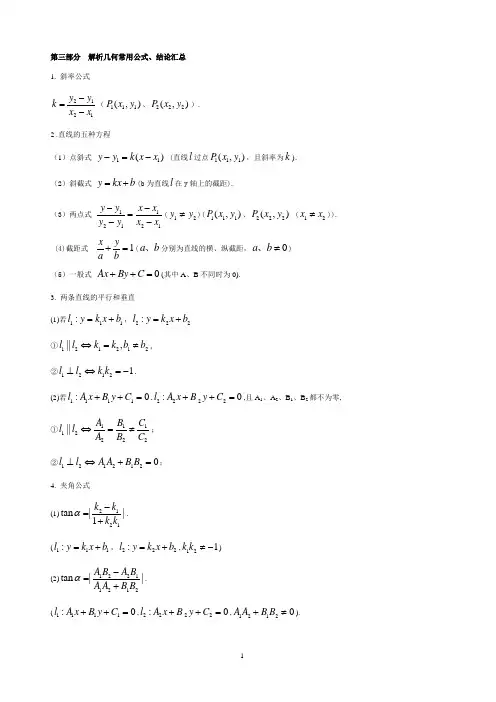
第三部分 解析几何常用公式、结论汇总 1. 斜率公式2121y y k x x -=-(111(,)P x y 、222(,)P x y ).2 .直线的五种方程 (1)点斜式 11()y y k x x -=- (直线l 过点111(,)P x y ,且斜率为k ).(2)斜截式y kx b =+(b 为直线l 在y 轴上的截距).(3)两点式112121y y x x y y x x --=--(12y y ≠)(111(,)P x y 、222(,)P x y (12x x ≠)).(4)截距式 1x ya b+=(a b 、分别为直线的横、纵截距,0a b ≠、) (5)一般式0Ax By C ++=(其中A 、B 不同时为0).3. 两条直线的平行和垂直 (1)若111:l y k x b =+,222:l y k x b =+①121212||,ll k k b b ⇔=≠; ②12121ll k k ⊥⇔=-.(2)若1111:0l A x B y C ++=,2222:0l A x B y C ++=,且A 1、A 2、B 1、B 2都不为零,①11112222||A B C ll A B C ⇔=≠;②1212120ll A A B B ⊥⇔+=;4. 夹角公式 (1)2121tan ||1k k k k α-=+.(111:l y k x b =+,222:l y k x b =+,121k k ≠-)(2)12211212tan ||A B A B A A B B α-=+.(1111:0l A x B y C ++=,2222:0l A x B y C ++=,12120A A B B +≠).直线12l l ⊥时,直线l 1与l 2的夹角是2π.5.1l 到2l 的角公式(1)2121tan 1k k k k α-=+.(111:l y k x b =+,222:l y k x b =+,121k k ≠-)(2)12211212tan A B A B A A B B α-=+.(1111:0l A x B y C ++=,2222:0l A x B y C ++=,12120A A B B +≠).直线12l l ⊥时,直线l 1到l 2的角是2π.6.四种常用直线系方程(1)定点直线系方程:经过定点000(,)P x y 的直线系方程为00()y y k x x -=-(除直线0x x =),其中k 是待定的系数; 经过定点000(,)P x y 的直线系方程为00()()0A x x B y y -+-=,其中,A B 是待定的系数.(2)共点直线系方程:经过两直线1111:0l A x B y C ++=,2222:0l A x B y C ++=的交点的直线系方程为111222()()0A x B y C A x B y C λ+++++=(除2l ),其中λ是待定的系数.(3)平行直线系方程:直线y kx b =+中当斜率k 一定而b 变动时,表示平行直线系方程.与直线0Ax By C ++=平行的直线系方程是0Ax By λ++=(0λ≠),λ是参变量.(4)垂直直线系方程:与直线0Ax By C++= (A ≠0,B ≠0)垂直的直线系方程是0Bx Ay λ-+=,λ是参变量.7 .点到直线的距离d =(点00(,)P x y ,直线l :0Ax By C ++=).8.0Ax By C ++>或0<所表示的平面区域设直线:0l Ax By C ++=,则0Ax By C ++>或0<所表示的平面区域是:若0B≠,当B 与Ax By C ++同号时,表示直线l 的上方的区域;当B 与Ax By C ++异号时,表示直线l 的下方的区域.简言之,同号在上,异号在下.若0B=,当A 与Ax By C ++同号时,表示直线l 的右方的区域;当A 与Ax By C ++异号时,表示直线l 的左方的区域. 简言之,同号在右,异号在左.9.111222()()0A x B y C A x B y C ++++>或0<所表示的平面区域设曲线111222:()()0C A x B y C A x B y C ++++=(12120A A B B ≠),则 111222()()0A x B y C A x B y C ++++>或0<所表示的平面区域是: 111222()()0A x B y C A x B y C ++++>所表示的平面区域上下两部分; 111222()()0A x B y C A x B y C ++++<所表示的平面区域上下两部分.10. 圆的四种方程(1)圆的标准方程 222()()x a y b r -+-=.(2)圆的一般方程 220xy Dx Ey F ++++=(224D E F +->0).(3)圆的参数方程 cos sin x a r y b r θθ=+⎧⎨=+⎩.(4)圆的直径式方程 1212()()()()0x x x x y y y y --+--=(圆的直径的端点是11(,)A x y 、22(,)B x y ).11. 圆系方程(1)过点11(,)A x y ,22(,)B x y 的圆系方程是1212112112()()()()[()()()()]0x x x x y y y y x x y y y y x x λ--+--+-----=1212()()()()()0x x x x y y y y ax by c λ⇔--+--+++=,其中0ax by c ++=是直线AB 的方程,λ是待定的系数.(2)过直线l:Ax By C ++=与圆C:220x y Dx Ey F ++++=的交点的圆系方程是22()0x y Dx Ey F Ax By C λ+++++++=,λ是待定的系数. (3) 过圆1C :221110x y D x E y F ++++=与圆2C :222220x y D x E y F ++++=的交点的圆系方程是2222111222()0x y D x E yF x y D x E y F λ+++++++++=,λ是待定的系数.12.点与圆的位置关系 点00(,)P x y 与圆222)()(r b y a x =-+-的位置关系有三种若d=d r >⇔点P 在圆外;d r =⇔点P 在圆上;d r <⇔点P 在圆内.13.直线与圆的位置关系直线0=++C By Ax 与圆222)()(r b y a x =-+-的位置关系有三种:0<∆⇔⇔>相离r d ; 0=∆⇔⇔=相切r d ;0>∆⇔⇔<相交r d .其中22BA C Bb Aa d+++=.14.两圆位置关系的判定方法设两圆圆心分别为O 1,O 2,半径分别为r 1,r 2,d O O =21条公切线外离421⇔⇔+>r r d ; 条公切线外切321⇔⇔+=r r d ;条公切线相交22121⇔⇔+<<-r r d r r ; 条公切线内切121⇔⇔-=r r d ; 无公切线内含⇔⇔-<<210r r d .15.圆的切线方程 (1)已知圆220xy Dx Ey F ++++=.①若已知切点00(,)x y 在圆上,则切线只有一条,其方程是0000()()022D x xE y y x x y yF ++++++=.当00(,)x y 圆外时, 0000()()022D x xE y y x x y yF ++++++=表示过两个切点的切点弦方程. ②过圆外一点的切线方程可设为00()y y k x x -=-,再利用相切条件求k ,这时必有两条切线,注意不要漏掉平行于y 轴的切线.③斜率为k 的切线方程可设为y kx b =+,再利用相切条件求b ,必有两条切线.(2)已知圆222xy r +=.①过圆上的000(,)P x y 点的切线方程为200x x y y r +=;②斜率为k 的圆的切线方程为y kx =±16.椭圆22221(0)x y a b a b +=>>的参数方程是cos sin x a y b θθ=⎧⎨=⎩.17.椭圆22221(0)x y a b a b +=>>焦半径公式)(21c a x e PF +=,)(22x ca e PF -=.18.椭圆的的内外部(1)点00(,)P x y 在椭圆22221(0)x y a b a b +=>>的内部2200221x y a b ⇔+<.(2)点00(,)P x y 在椭圆22221(0)x y a b a b +=>>的外部2200221x y a b⇔+>.19. 椭圆的切线方程(1)椭圆22221(0)x y a b a b+=>>上一点00(,)P x y 处的切线方程是00221x x y y a b +=.(2)过椭圆22221(0)x y a b a b+=>>外一点00(,)P x y 所引两条切线的切点弦方程是00221x x y y a b +=.(3)椭圆22221(0)x y a b a b+=>>与直线0Ax By C ++=相切的条件是22222A aB b c +=.20.双曲线22221(0,0)x y a b a b -=>>的焦半径公式21|()|a PF e x c =+,22|()|a PF e x c=-.21.双曲线的内外部(1)点00(,)P x y 在双曲线22221(0,0)x y a b a b -=>>的内部2200221x y a b ⇔->.(2)点00(,)P x y 在双曲线22221(0,0)x y a b a b -=>>的外部2200221x y a b⇔-<.22.双曲线的方程与渐近线方程的关系(1)若双曲线方程为12222=-b y a x ⇒渐近线方程:22220x y a b -=⇔x a by ±=.(2)若渐近线方程为x a by ±=⇔0=±b y a x ⇒双曲线可设为λ=-2222by a x . (3)若双曲线与12222=-b y a x 有公共渐近线,可设为λ=-2222by a x (0>λ,焦点在x 轴上,0<λ,焦点在y 轴上).23. 双曲线的切线方程(1)双曲线22221(0,0)x y a b a b-=>>上一点00(,)P x y 处的切线方程是00221x x y y a b -=.(2)过双曲线22221(0,0)x y a b a b-=>>外一点00(,)P x y 所引两条切线的切点弦方程是00221x x y y a b -=.(3)双曲线22221(0,0)x y a b a b-=>>与直线0Ax By C ++=相切的条件是22222A aB b c -=.24. 抛物线px y 22=的焦半径公式抛物线22(0)y px p =>焦半径02p CF x =+. 过焦点弦长p x x px p x CD ++=+++=212122. 25.抛物线px y 22=上的动点可设为P ),2(2y py 或或)2,2(2pt pt P P (,)x y ,其中 22y px = .26.二次函数2224()24b ac b y ax bx c a x a a-=++=++(0)a ≠的图象是抛物线:(1)顶点坐标为24(,)24b ac b a a --;(2)焦点的坐标为241(,)24b ac b a a -+-;(3)准线方程是2414ac b y a--=. 27.抛物线的内外部 (1)点00(,)P x y 在抛物线22(0)y px p =>的内部22(0)y px p ⇔<>.点00(,)P x y 在抛物线22(0)y px p =>的外部22(0)y px p ⇔>>.(2)点00(,)P x y 在抛物线22(0)y px p =->的内部22(0)y px p ⇔<->.点00(,)P x y 在抛物线22(0)y px p =->的外部22(0)y px p ⇔>->.(3)点00(,)P x y 在抛物线22(0)x py p =>的内部22(0)x py p ⇔<>.点00(,)P x y 在抛物线22(0)xpy p =>的外部22(0)x py p ⇔>>.(4) 点00(,)P x y 在抛物线22(0)x py p =>的内部22(0)x py p ⇔<>.点00(,)P x y 在抛物线22(0)x py p =->的外部22(0)x py p ⇔>->.28. 抛物线的切线方程 (1)抛物线px y 22=上一点00(,)P x y 处的切线方程是00()y y p x x =+.(2)过抛物线px y 22=外一点00(,)P x y 所引两条切线的切点弦方程是00()y y p x x =+.(3)抛物线22(0)y px p =>与直线0Ax By C ++=相切的条件是22pB AC =.29.两个常见的曲线系方程 (1)过曲线1(,)0f x y =,2(,)0f x y =的交点的曲线系方程是12(,)(,)0f x y f x y λ+=(λ为参数).(2)共焦点的有心圆锥曲线系方程22221x y a k b k+=--,其中22max{,}k a b <.当22min{,}k a b >时,表示椭圆; 当2222min{,}max{,}ab k a b <<时,表示双曲线.30.直线与圆锥曲线相交的弦长公式AB =1212||||AB x x y y =-=-A ),(),,(2211y x B y x ,由方程⎩⎨⎧=+=0)y ,x (F b kx y 消去y 得到02=++c bx ax ,0∆>,α为直线AB 的倾斜角,k 为直线的斜率). 31.圆锥曲线的两类对称问题(1)曲线(,)0F x y =关于点00(,)P x y 成中心对称的曲线是00(2-,2)0F x x y y -=.(2)曲线(,)0F x y =关于直线0Ax By C ++=成轴对称的曲线是22222()2()(,)0A Ax By C B Ax By C F x y A B A B ++++--=++.32.“四线”一方程 对于一般的二次曲线220Ax Bxy Cy Dx Ey F +++++=,用0x x 代2x ,用0y y 代2y ,用002x y xy +代xy ,用02x x +代x ,用02y y+代y 即得方程 0000000222x y xy x x y yAx x B Cy y D E F ++++⋅++⋅+⋅+=,曲线的切线,切点弦,中点弦,弦中点方程均是此方程得到.。
高中解析几何秒杀公式数学秒杀秘诀大全
关于高中的解析几何有哪些秒杀公式帮助大家解题呢?又有哪些秘诀可供同学们学习呢?赶快跟小编来看一下吧!
1一化二代解析高中数学几何步骤一:(一化)
口诀:见点化点、见直线化直线、见曲线化曲线。
1、见点化点:“点”用平面坐标系上的坐标表示,只要是题目中提到的点都要加以坐标化;
2、见直线化直线:“直线”用二元一次方程表示,只要是题目中提到的直线都要加以方程化;
3、见曲线化曲线:“曲线(圆、椭圆、抛物线、双曲线)”用二元二次方程表示,只要是题目中提到的曲线都要加以方程化。
步骤二:点与直线、曲线从属关系的代数化(二代)
口诀:点代入直线、点代入曲线。
1、点代入直线:如果某个点在某条直线上,将点的坐标代入这条直线的方程;
2、点代入曲线:如果某个点在某条曲线上,将点的坐标代入这条曲线的方程;
1高中解题的秒杀秘诀1、点代入这两个点共同所在的直线把这两个点共同所在直线用点斜式方程(如y=kx+d)表示出来,将这两个点的坐标分别代入这条直线的方程;
2、将这条直线的方程代入这条曲线的方程,获得一个一元二次方程;
3、把这个一元二次方程的根用韦达定理来表示(这里表示出来的实际上就。
高中解析几何公式大全
1. 平行线:
a. 如果两条直线l和m都不存在相交点,则两条直线平行,记作
l⊥m。
2. 垂直线:
a. 如果l和m是两条直线,依次成一定关系,其中一条不与两条直线垂直,则记作:l∥m。
3. 中垂线:
a. 如果AB是一个两边均相等的三角形的边,那么以边AB为直径的圆的切线称为中垂线,记为MN,一般以AB的中点O作为圆心,则中垂线的一般方程为:y=x tan A/2+k。
4. 直角三角形:
a. 直角三角形由两条直角边和一条斜边组成,直角三角形有两个特性:斜腰两边乘积等于直角腰;斜腰平方等于两直腰之和。
5. 梯形:
a. 梯形由两条平行边、两条斜边组成,梯形有两个特性:四边中两个对角线之积等于对应对边之积;两腰之和等于斜边。
6. 双曲线:
a. 双曲线是自变量为x,因变量为y的曲线,它有一个特点:双曲线的抛物线式满足关系x^2/a^2 - y^2/b^2 = 1。
7. 伯努利曲线:
a. 伯努利曲线是一类双曲线,它有两条渐近线,它的抛物线方程式满足y^2 = x^3 + ax + b。
8. 圆的方程式:
a. 如果O为圆心,则圆的方程式可写成:(x-x_0)^2 +(y-y_0)^2 = r^2,其中r为圆的半径,x_0和y_0分别为圆心的横纵坐标。
高中数学干货:必背的48条秒杀型公式和学习方法除了课本上的常规公式之外,掌握一些必备的秒杀型公式能够帮你在考试的时候节省大量的时间,这次的分享就是48条爆强的秒杀公式,直接往下看!1、适用条件:[直线过焦点],必有ecosA=(x-1)/(x+1),其中A为直线与焦点所在轴夹角,是锐角。
x为分离比,必须大于1。
注上述公式适合一切圆锥曲线。
如果焦点内分(指的是焦点在所截线段上),用该公式;如果外分(焦点在所截线段延长线上),右边为(x+1)/(x-1),其他不变。
2、函数的周期性问题(记忆三个):(1)若f(x)=-f(x+k),则T=2k;(2)若f(x)=m/(x+k)(m不为0),则T=2k;(3)若f(x)=f(x+k)+f(x-k),则T=6k。
注意点:a.周期函数,周期必无限b.周期函数未必存在最小周期,如:常数函数。
c.周期函数加周期函数未必是周期函数,如:y=sinxy=sin派x相加不是周期函数。
3、关于对称问题(无数人搞不懂的问题)总结如下:(1)若在R上(下同)满足:f(a+x)=f(b-x)恒成立,对称轴为x=(a+b)/2;(2)函数y=f(a+x)与y=f(b-x)的图像关于x=(b-a)/2对称;(3)若f(a+x)+f(a-x)=2b,则f(x)图像关于(a,b)中心对称4、函数奇偶性:(1)对于属于R上的奇函数有f(0)=0;(2)对于含参函数,奇函数没有偶次方项,偶函数没有奇次方项(3)奇偶性作用不大,一般用于选择填空5、数列爆强定律:(1)等差数列中:S奇=na中,例如S13=13a7(13和7为下角标);(2)等差数列中:S(n)、S(2n)-S(n)、S(3n)-S(2n)成等差(3)等比数列中,上述2中各项在公比不为负一时成等比,在q=-1时,未必成立4,等比数列爆强公式:S(n+m)=S(m)+q2mS (n)可以迅速求q6、数列的终极利器,特征根方程。
高三备考:数学解析几何公式大全
高三备考:数学解析几何公式大全【】:高三第一轮备考已如期而至,紧张而又忙碌的复习阶段你是否已经掌握了相关的知识点呢?以下是查字典数学网小编为大家整理的高考数学解析几何公式大全,希望能对大家的复习有所帮助,相信认真复习的你一定能够在不就的考试中取得优异的成绩。
高考数学解析几何公式大全如下:
1、直线
两点距离、定比分点直线方程
|AB|=| |
|P1P2|=
y-y1=k(x-x1)
y=kx+b
两直线的位置关系夹角和距离
或k1=k2,且b1b2
l1与l2重合
或k1=k2且b1=b2
l1与l2相交
或k1k2
l2l2
或k1k2=-1 l1到l2的角
l1与l2的夹角
焦半径|MF1|=ex0+a,|MF2|=ex0-a 抛物线y2=2px(p0)
焦点F
准线方程
坐标轴的平移
这里(h,k)是新坐标系的原点在原坐标系中的坐标。
【总结】高考数学解析几何公式大全一文到这里就为您介绍完毕了,怎么样,看了之后是不是受益良多呢?想要了解更多高三备考指导,请继续关注查字典数学网高中频道。
圆锥曲线解题套路综述高考解析几何解题套路及各步骤操作规则:步骤一:(一表)把题目中的点、直线、曲线这三大类基础几何元素用代数形式表示出来;口诀:见点化点、见直线化直线、见曲线化曲线。
1、见点化点:“点”用平面坐标系上的坐标表示,只要是题目中提到的点都要加以坐标化;2、见直线化直线:“直线”用二元一次方程表示,只要是题目中提到的直线都要加以方程化;3、见曲线化曲线:“曲线(圆、椭圆、抛物线、双曲线)”用二元二次方程表示,只要是题目中提到的曲线都要加以方程化。
步骤二:(二代)把题目中的点与直线、曲线从属关系用代数形式表示出来;如果某个点在某条直线或曲线上,那么这个点的坐标就可代入这条直线或曲线的方程。
口诀:点代入直线、点代入曲线。
1、点代入直线:如果某个点在某条直线上,将点的坐标代入这条直线的方程;2、点代入曲线:如果某个点在某条曲线上,将点的坐标代入这条曲线的方程;这样,每代入一次就会得到一个新的方程,方程逐一列出后,这些方程都是获得最后答案的基础,最后就是解方程组的问题了。
在方程组的求解中,我们发现一个特殊情况,即如果题目中有两个点在同一条曲线上,将它们的坐标代入曲线方程后能够直接求解的可以直接求解,如果不能直接求解的,则采用下面这套等效规则来处理可以达到同样的处理效果,并让方程组的求解更简单,具体过程:1、点代入这两个点共同所在的直线:把这两个点共同所在直线用点斜式方程(如)表示出来,将这两个点的坐标分别代入这条直线的方程;2、将这条直线的方程代入这条曲线的方程,获得一个一元二次方程;3、把这个一元二次方程的二次项系数不等于零的条件列出来;4、把这个一元二次方程的判别式列出来;5、把这个一元二次方程的根用韦达定理来表示(这里表示出来的实际上就是这两个点的坐标之间的相互关系式)。
步骤三:(三译)图形构成特点的代数化,或者说其它附加条件的代数化。
前面两个步骤都是高度模式化的,他们构成了解决所有问题的基础。
高中数学秒杀型推论函数1.抽貌函数的周期⑴f(a±x)=f(b±x)I=|b-a|(2)f(a±x)=-f(b±x)I=2|b-a|(3)f(x-a)+f(x+a)=f(x)T=6u(4)f(x-u)=f(x+a)I=2u(5)f(x+u)=-f(x)T=2a.奇偶函数概念的推广及其周明:(1)雨于函数f(X).若存在常数a.使得f(a-x)=f(a+x).则称f(x)为广义(I)型偶函数.且当有两个相异实数a. b同时满足时.f(x)为周明函数T=2|b-a|(2)若f(a-x)=-f(a+x).则f(x)是广义(I )型奇函数,当有两个相异实数a,b同时满足时,f(x)为周期函数T=21b-a|3.抽象函数的对称性(1)若f(x)满足f(a+x)+f(b-x)=c则函数关于(学,;)成中心对称(充要)(2)若f(x)满足f(a+x)=f(b-x)则函数关于直线炉号成轴对称(充要)4.洛必达法贝!],设连续可导函数f(x)和g(x)|irn f(x)=f'(x)Hm f(x)=f'(x) E"g(x)g,(x)Rx)*g(x)g'(x) g(x)TO g(x)^oo二、三角1.三角形恒等式4B B C C A (1)在△中,tan-tan-+t an-tan-+tan-tan-=1222222coMcotB+cotBcotC+cotCcotA=1 (2)正切定理&余切定理:任非Ri△中,有tanA+tanB+tanC-taii^tanBtanCA b c ABCcot一 +cot一+cot-=cot一cot一cot一222222 (3)sinA+sinB+sinC=4cos-cos-cos-ABCcosA+cosB+cosC=1 +4sin—sin—sin222(4)sin2A+sin2B+sin2C=2+ZcosAcosBcosCcos2A+cos2B+cos2C=1-2cx)sAcosBcosC (5)2sinAcosBcosC=eye2sinAcosBcosC+sinBcosAcosC+sinCcosAcosB=sinAsinBsinC>cosAsinBsinC=eyecosAsinBsinC+cosBsinAsinC+cosCsinAsinB=cosAcosBcosC一12.任意三角形射影定理(又称第一余弦定理):在ZiABC中a=bcosC+ccosB;h=ccosA+acosC:c-acosB+bcosA3.任意三角形内切圆半径(S为面积),a十u十c外接圆半径R=^=危=七=矗欧拉不等式:R>2r1.梅涅劳斯定理如下图,E.D.F三点共线的充要条件是竺Y竺乂四EA^DC35.塞瓦定理如下图,Al)、BE、CF三线共点的充要条件是AF BD CE访x无=16.斯特瓦尔特定理:如下图,设已知左ABC及其底边上B、C两点间的一点D,则WA1P XDC+AC2XBD-/\D2 XBC=BCxDCxBD7、和差化积公式(只记忆第一条)•I.er、,x+g a—8sin a+sm〃二2sin—-一 os—;—・qc h+£sin zr~si n"=Zcos―-—sin—-—4cos a i cos#=2cqs?;)cos?,'o O a+P«—p cos2-cos/7=-2si n—-—sin——8、积化和差公式Q cos(a+p)-cos(a-P) sin a sm p二---------------2cos acos(a+g)+cos(a一3)2cos3-.c sin(a+B)+sin(a-B)sin a cos p=-------------sin(a+p)-sin(a-p)cos a sm p=-------;------9、万能公式10.三角混合不等式:若xC(0.;),sinx <x<tcinx5当x»0时sinx^x^tauxIL海伦公式变式如下图,图中的圆为大三角形的内切圆,大三角形三边长分别为a.h・c.大三角形面积为S=qxyz(x+y+z)=(a+b+c)(a+b-c)(a+c-b)(b+c-a)*12.双曲函数-X 定义双曲正弦函数Sinhx二二一,双曲余弦函数coshx二二一易知(1)奇偶性:sinhx为奇函数.coshx为偶函数(2)导函数:(si nhx)=coshx,(coshx)=sinhx两角和:sinh(x+y)=sinhxcoshy+coshxsinhycosh(x+y)=coshxcoshy+sinhxsinhy(4)复数域:sinh(ix)=isin(x)(5)cosh定义域:xCR(ix) =icos(x)(6)值域:sinhxCR,coshx£[l,+«□)13.三角形三边a. b.c成等差数列.则讪=;614.三角形不等式(1)在锐角△中.si nA+sinB+sinC>cosA+cosB+cosCtanA+tanB+tanC>cotA+cotB+cotC(2)在△中,x2 +y2+z2>2yzcosA+2xzcosB+2zycosC(3)在△中,sinA>sinB<=>cos2A>cos2B15.ASA的面积公式:a2sinBsinC b2sinAsinC c2sinAsinBS=-------------=--------------=--------------2sin(B+C)2sin(A+C)2sin(A+B)三、成1.欧拉公式(泰勒级数推出)cos e+isine=cM2.棣莫弗定理(欧拉公式推出)(cos sin0)''二c os(nO)+isin(n。
解析几何常规题型及方法〔 1〕中点弦问题具有斜率的弦中点问题,常用设而不求法〔点差法〕:设曲线上两点为(x1 , y1 ) , ( x2 , y2 ) ,代入方程,然后两方程相减,再应用中点关系及斜率公式,消去四个参数。
典型例题给定双曲线 x2y 2 1 。
过A〔2,1〕的直线与双曲线交于两点P1及 P2,求线段 P1 P2的中点P2的轨迹方程。
〔 2〕焦点三角形问题椭圆或双曲线上一点P,与两个焦点F1、 F2构成的三角形问题,常用正、余弦定理搭桥。
典型例题x2y 21 上任一点, F1 (c,0) , F2 ( c,0) 为焦点, PF1 F2, PF2 F1。
设 P(x,y) 为椭圆2b2asin();〔1〕求证离心率esinsin〔2〕求|PF1|3PF2 |3的最值。
〔 3〕直线与圆锥曲线位置关系问题直线与圆锥曲线的位置关系的根本方法是解方程组,进而转化为一元二次方程后利用判别式,应特别注意数形结合的方法典型例题抛物线方程 y 2p (x 1) ( p 0),直线 x y t与 x轴的交点在抛物线准线的右边。
(1〕求证:直线与抛物线总有两个不同交点(2〕设直线与抛物线的交点为A 、 B,且 OA ⊥ OB,求 p 关于 t 的函数 f(t) 的表达式。
(4〕圆锥曲线的有关最值〔范围〕问题圆锥曲线中的有关最值〔范围〕问题,常用代数法和几何法解决。
<1> 假设命题的条件和结论具有明显的几何意义,一般可用图形性质来解决。
<2> 假设命题的条件和结论表达明确的函数关系式,那么可建立目标函数〔通常利用二次函数,三角函数,均值不等式〕求最值。
典型例题抛物线 y2=2px(p>0) ,过 M 〔 a,0〕且斜率为 1 的直线 L 与抛物线交于不同的两点 A 、 B , |AB|≤ 2p〔 1〕求 a 的取值范围;〔2〕假设线段 AB 的垂直平分线交x 轴于点 N ,求△ NAB 面积的最大值。
高三数学复习解析几何公式盘点数学在科学进展和现代生活生产中的应用专门广泛,以下是查字典数学网为大伙儿整理的高三数学复习解析几何公式,期望能够解决您所遇到的相关问题,加油,查字典数学网一直陪伴您。
1、直线两点距离、定比分点直线方程|AB|=| ||P1P2|=y-y1=k(x-x1)y=kx+b两直线的位置关系夹角和距离或k1=k2,且b1b2l1与l2重合或k1=k2且b1=b2l1与l2相交或k1k2l2l2或k1k2=-1 l1到l2的角l1与l2的夹角点到直线的距离2.圆锥曲线圆椭圆标准方程(x-a)2+(y-b)2=r2圆心为(a,b),半径为R一样方程x2+y2+Dx+Ey+F=0其中圆心为( ),半径r(1)用圆心到直线的距离d和圆的半径r判定或用判别式判定直线与圆的位置关系(2)两圆的位置关系用圆心距d与半径和与差判定椭圆焦点F1(-c,0),F2(c,0)(b2=a2-c2)离心率准线方程焦半径|MF1|=a+ex0,|MF2|=a-ex0双曲线抛物线双曲线焦点F1(-c,0),F2(c,0)(a,b0,b2=c2-a2)离心率准线方程焦半径|MF1|=ex0+a,|MF2|=ex0-a抛物线y2=2px(p0)焦点F准线方程坐标轴的平移那个地点(h,k)是新坐标系的原点在原坐标系中的坐标。
要练说,先练胆。
说话胆小是幼儿语言进展的障碍。
许多幼儿当众说话时显得可怕:有的结巴重复,面红耳赤;有的声音极低,自讲自听;有的低头不语,扯衣服,扭身子。
总之,说话时外部表现不自然。
我抓住练胆那个关键,面向全体,偏向差生。
一是和幼儿建立和谐的语言交流关系。
每当和幼儿讲话时,我总是笑脸相迎,声音亲切,动作亲昵,排除幼儿恐惧心理,让他能主动的、自由自在地和我交谈。
二是注重培养幼儿敢于当众说话的适应。
或在课堂教学中,改变过去老师讲学生听的传统的教学模式,取消了先举手后发言的约束,多采取自由讨论和谈话的形式,给每个幼儿较多的当众说话的机会,培养幼儿爱说话敢说话的爱好,对一些说话有困难的幼儿,我总是认真地耐心地听,热情地关心和鼓舞他把话说完、说好,增强其说话的勇气和把话说好的信心。
高中解析几何秒杀公式大全高中解析几何解题套路高中解析几何秒杀公式大全高中解析几何解题套路高中解析几何秒杀公式是什么,解析几何解题套路有哪些,怎么能用一套完整的思路做所有类似的题目?下面跟大家分享一下高中解析几何秒杀公式大全,高中解析几何解题套路,希望对你有帮助。
公式总结解题套路各步骤操作规则口诀:见点化点、见直线化直线、见曲线化曲线。
1、见点化点:点用平面坐标系上的坐标表示,只要是高中解析几何题目中提到的点都要加以坐标化;2、见直线化直线:直线用二元一次方程表示,只要是高中解析几何题目中提到的直线都要加以方程化;3、见曲线化曲线:曲线(圆、椭圆、抛物线、双曲线)用二元二次方程表示,只要是高中解析几何题目中提到的曲线都要加以方程化; 备注:大家在学习本教材的例题时,可翻阅教科书回顾这些内容,以加深印象,如直线有五种表示方法哪种情形对应哪种方法表示;圆、椭圆、抛物线、双曲线的方程怎么列。
口诀:点代入直线、点代入曲线。
1、点代入直线:如果某个点在某条直线上,将点的坐标代入这条直线的方程;2、点代入曲线:如果某个点在某条曲线上,将点的坐标代入这条曲线的方程;备注1:这样,每代入一次就会得到一个新的方程,这些方程都是获得高中解析几何最后答案的基础。
备注2:方程逐一列出后,最后就是解方程组的问题了。
在方程组的求解中,我们发现一个特殊情况,即如果题目中有两个点在同一条曲线上,将它们的坐标代入曲线方程后不能直接算出常数结果,则采用下面这套等效规则来处理可以达到同样的处理效果,并让方程组的求解更简单。
高中解析几何等效规则的口诀,点代入这两个点共同所在的直线、直线代入曲线。
1、点代入这两个点共同所在的直线把这两个点共同所在直线用点斜式方程(如y=kx+d)表示出来,将这两个点的坐标分别代入这条直线的方程;2、将这条直线的方程代入这条曲线的方程,获得一个一元二次方程;3、把这个一元二次方程的根用韦达定理来表示(这里表示出来的实际上就是这两个点的坐标之间的相互关系式);4、把这个一元二次方程的二次项系数不等于零的条件列出来;5、把这个一元二次方程的判别式?>0列出来。
高考数学知识总结:解析几何公式大全一、标准方程:中心在原点,焦点在x轴上的椭圆标准方程:(x2/a2)+(y2/b2)=1其中a>b>0,c>0,c2=a2-b2.2.中心在原点,焦点在y轴上的椭圆标准方程:(x2/b2) +(y2/a2)=1其中a>b>0,c>0,c2=a2-b2.参数方程:X=acosY=bsin(为参数)二、双曲线文字语言定义:平面内一个动点到一个定点与一条定直线的距离之比是一个大于1的常数e。
定点是双曲线的焦点,定直线是双曲线的准线,常数e是双曲线的离心率。
标准方程:1.中心在原点,焦点在x轴上的双曲线标准方程:(x2/a2)-(y2/b2)=1其中a>0,b>0,c2=a2+b2.2.中心在原点,焦点在y轴上的双曲线标准方程:(y2/a2)-(x2/b2)=1.其中a>0,b>0,c2=a2+b2.参数方程:x=asecy=btan(为参数)直角坐标(中心为原点):x2/a2-y2/b2=1(开口方向为x 轴)y2/a2-x2/b2=1(开口方向为y轴)三、抛物线参数方程x=2pt2y=2pt(t为参数)t=1/tan(tan为曲线上点与坐标原点确定直线的斜率)特别地,t可等于0直角坐标y=ax2+bx+c(开口方向为y轴,a0)x=ay2+by+c(开口方向为x轴,a0)圆锥曲线(二次非圆曲线)的统一极坐标方程为=ep/(1-ecos)其中e表示离心率,p为焦点到准线的距离。
焦点到最近的准线的距离等于exa圆锥曲线的焦半径(焦点在x轴上,F1F2为左右焦点,P(x,y),长半轴长为a焦半径圆锥曲线上任意一点到焦点的距离成为焦半径。
圆锥曲线左右焦点为F1、F2,其上任意一点为P(x,y),则焦半径为:椭圆|PF1|=a+ex|PF2|=a-ex双曲线P在左支,|PF1|=-a-ex|PF2|=a-exP在右支,|PF1|=a+ex|PF2|=-a+exP在下支,|PF1|=-a-ey|PF2|=a-eyP在上支,|PF1|=a+ey|PF2|=-a+ey抛物线|PF|=x+p/2圆锥曲线的切线方程圆锥曲线上一点P(x0,y0)的切线方程以x0x代替x2,以。
高中解析几何公式大全1. 平面解析几何公式1.1 直线方程- 一般式直线方程:$Ax + By + C = 0$- 点斜式直线方程:$y - y_1 = k(x - x_1)$- 两点式直线方程:$\frac{x - x_1}{x_2 - x_1} = \frac{y -y_1}{y_2 - y_1}$1.2 距离公式- 两点间距离公式:$AB = \sqrt{(x_2 - x_1)^2 + (y_2 - y_1)^2}$1.3 中点公式- 两点中点公式:$M\left(\frac{x_1+x_2}{2},\frac{y_1+y_2}{2}\right)$1.4 斜率公式- 直线斜率公式:$k = \frac{y_2 - y_1}{x_2 - x_1}$1.5 垂直/平行线判定公式- 斜率相乘为-1时,两直线垂直;斜率相等时,两直线平行2. 空间解析几何公式2.1 点和向量坐标表示- 一点坐标:$P(x, y, z)$- 向量坐标:$\vec{AB}=(x_2 - x_1, y_2 - y_1, z_2 - z_1)$2.2 向量公式- 两点连线向量:$\vec{AB}=(x_2 - x_1, y_2 - y_1, z_2 - z_1)$ - 向量加法:$\vec{AB} + \vec{BC} = \vec{AC}$- 向量数量积:$\vec{a} \cdot \vec{b} = ab\cos\theta$2.3 平面方程- 法线向量公式:$ax + by + cz + d = 0$2.4 空间距离公式- 两点间距离公式:$AB = \sqrt{(x_2 - x_1)^2 + (y_2 - y_1)^2 + (z_2 - z_1)^2}$3. 圆的解析几何公式3.1 圆的标准方程- 圆的标准方程:$(x - a)^2 + (y - b)^2 = r^2$3.2 圆的一般方程- 圆的一般方程:$x^2 + y^2 + Dx + Ey + F = 0$3.3 切线公式- 点与圆的切线公式:$y - y_1 = k(x - x_1) \pm \sqrt{r^2 - (x - x_1)^2}$以上是一些高中解析几何中常用的公式,希望对你有帮助!。
高中解析几何秒杀公式解析几何是数学必考的内容,高考数学中的解析几何的公式又非常多,那么考生如何秒杀高考数学解析几何的公式呢?高考数学解析几何有哪些解题技巧呢?如何秒杀高考数学圆锥曲线1.根据题设的已知条件,利用待定系数法列出二元二次方程,求出椭圆的方程,并化为标准方程。
2.直线设为斜截式y=kx+m,将直线与椭圆联立得到如图一元二次方程。
注意该式子具有普适性。
3.通常要验证判别式大于零(因为无论是该经验所给的弦长公式还是韦达定理都是在判别式大于零的情况下才有意义,若题目给出直线与椭圆相交则略去该步,多写不扣分)。
4.直接写出需要的弦长公式或韦达定理。
可以省去至少5分钟,而且不会算错。
5恒成立问题的证明可能会与导数,不等式交汇。
恒成立问题的证伪只要找到反例即可。
存在性问题通常是存在的,方法是提出无关的未知数。
6.最后别忘了写综上所述。
如何秒杀高考数学直线和圆的方程 1.理解直线的斜率的概念,掌握过两点的直线的斜率公式,掌握直线方程的点斜式、两点式、一般式,并能根据条件熟练地求出直线方程。
2.掌握两条直线平行与垂直的条件,两条直线所成的角和点到直线的距离公式,能够根据直线的方程判断两条直线的位置关系。
3.了解二元一次不等式表示平面区域。
4.了解线性规划的意义,并会简单的应用。
5.了解解析几何的基本思想,了解坐标法。
6.掌握圆的标准方程和一般方程,了解参数方程的概念,理解圆的参数方程。
如何秒杀高考数学立体几何平行、垂直位置关系:1.由已知想性质,由求证想判定,即分析法与综合法相结合寻找证题思路。
2.利用题设条件的性质适当添加辅助线(或面)是解题的常用方法之一。
3.三垂线定理及其逆定理在题中使用的频率最高,在证明线线垂直时应优先考虑。
空间角的计算方法:主要步骤:一作、二证、三算;若用向量,那就是一证、二算。
1.两条异面直线所成的角:平移法,补形法,向量法。
2.直线和平面所成的角分为作出直线和平面所成的角,关键是作垂线,找射影转化到同一三角形中计算,或用向量计算,和用公式计算。
高中解析几何秒杀公式大全高中解析几何解题套路
高中解析几何秒杀公式是什幺,解析几何解题套路有哪些,怎幺能用一套完整的思路做所有类似的题目?下面小编跟大家分享一下高中解析几何秒杀公式大全,高中解析几何解题套路,希望对你有帮助。
公式总结
小编推荐:牢记神奇公式知识点秒杀高考物理
解题套路各步骤操作规则 高中解析几何解题步骤一:(一化)口诀:见点化点、见直线化直线、见曲线化曲线。
1、见点化点:“点”用平面坐标系上的坐标表示,只要是高中解析几何题目中提到的点都要加以坐标化;2、见直线化直线:“直线”用二元一次方程表示,只要是高中解析几何题目中提到的直线都要加以方程化;3、见曲线化曲线:“曲线(圆、椭圆、抛物线、双曲线)”用二元二次方程表示,只要是高中解析几何题目中提到的曲线都要加以方程化;备注:大家在学习本教材的例题时,可翻阅教科书回顾这些内容,以加深印象,如直线有五种表示方法——哪种情形对应哪种方法表示;圆、椭圆、抛物线、双曲线的方程怎幺列。
解析几何解题步骤二:点与直线、曲线从属关系的代数化(二代)口诀:点代入直线、点代入曲线。
1、点代入直线:如果某个点在某条直线上,将点的坐标代入这条直线的方程;2、点代入曲线:如果某个点在某条曲线上,将点的坐标代入这条曲线的方程;备注1:这样,每代入一次就会得到一个新的方程,这些方程都是获得高中解析几何最后答案的基础。
备注2:方程逐一列出后,最后就是解方程组的问题了。
在方程组的。