水土保持与环境环境生态环境研究中心拟录取学生名单资料
- 格式:doc
- 大小:34.50 KB
- 文档页数:2
第一届中国水土保持学会科学技术奖获奖项目等级项目名称完成人完成单位获奖项目编号一等黄土区基于水平衡的水土保持林草覆被及林分结构设计技术朱清科毕华兴张建军魏天兴张宇清张学培查同刚张岩尹忠东李永芳北京林业大学SBXH2007-J-1-01二等水土保持生态环境建设对黄河水资源和泥沙影响评价方法研究陈江南王云璋徐建华王国庆熊维新康玲玲穆兴民吴发启金双彦史学建李雪梅1.水利部黄河水利委员会黄河水利科学研究院2.水利部黄河水利委员会水文局3.中国科学院水利部水土保持研究所4.西北农林科技大学SBXH2007-J-2-01二等黄土高原农果复合型生态农业运行机制与关键调控技术研究吴发启李凯荣黄占斌朱德兰王健李会科杜翠萍佘雕张青峰杜文才徐军宏1.西北农林科技大学2.中国科学院、水利部水土保持研究所3.陕西省延安市农科所SBXH2007-J-2-02二等水土保持辅助规划设计软件史明昌黄兆伟计文琦李团宏刘瑜高勇郑国柱于波曹刚马海宽张瑞霞北京地拓科技发展有限公司SBXH2007-J-2-03二等岩质坡面喷混植生技术成果转化与推广张长印吴卫文章梦涛李光辉王富永袁建平许峰王康宾邹东平鲁胜力丛佩娟1.水利部水土保持监测中心2.深圳市如茵生态环境建设有限公司SBXH2007-J-2-04三等金沙江流域退耕还林(竹、草)综合配套技术研究与试验示范李昆方向京毕玉芬廖声熙孟广涛张春华李贵祥1.中国林业科学研究院资源昆虫研究所2.云南农业大学3.云南省林业科学院4.鹤庆县林业局5.彝良县林业局SBXH2007-J-3-01三等高塬沟壑区果园集雨节水灌溉技术示范与研究李怀有陈智汉郭永乐王斌闫剑张西宁安润莲1.水利部黄河水利委员会西峰水土保持科学试验站2.水利部黄河水利委员会黄河上中游管理局SBXH2007-J-3-02三等齐家川示范区径流高效利用技术体系研究赵安成李怀有郭锐刘文宏王斌张西宁水利部黄河水利委员会西峰水土保持科学试验站SBXH2007-J-3-03三等矿区废弃地植被综合恢复王兵赵广东苏铁成白秀兰李刚1.中国林业科学研究院森林生态环境与保护研究所SBXH2007-J-3-04技术研究门树海关树军2.辽宁省抚顺矿业集团有限责任公司林业处3.辽宁省抚顺市环境监测站三等小流域坝系监测方法及评价系统研究党维勤王晓马三保艾绍周王秦湘赵牡丹高银富1.水利部黄河水利委员绥德水土保持科学试验站2.西北大学3.黑龙江省水土保持科学研究所SBXH2007-J-3-05三等高等级公路建设中水土流失预测模式及对策研究宋国平谭认贾志宏贺曦谭昌明四川省交通厅公路规划勘察设计研究院SBXH2007-J-3-06三等豫西山区雨水集蓄利用技术研究及工程示范双瑞陈维杰范宗桂张国亮路振广李重新吴培林1.河南省水土保持监督监测总站2.河南省水利科学研究院3.河南省汝阳县水利电力勘测设计室4.河南省汝阳县水土保持科技推广站5.河南省嵩县水土保持科学研究所SBXH2007-J-3-07三等花岗岩侵蚀区水土保持植物优化组合技术区域试验与示范左长清杨洁谢颂华喻荣岗张华明胡建民彭冬水江西省水土保持研究所SBXH2007-J-3-08三等四川丘陵生态保护型高效农业发展模式与技术研究赵燮京邓家林刘永红朱钟麟吴晓军夏先玖赵小蓉1.四川省农业科学院土壤肥料研究所2.四川省农业科学院作物研究所3.四川省农业科学院园艺研究所4.四川省畜牧科学研究院5.四川省农业厅SBXH2007-J-3-09三等广东省高速公路用地的生态恢复与水土保持研究李定强卓慕宁郑煜基贺新良吴志峰林锡奎莫顶勋1.广东省生态环境与土壤研究所2.广东省长大公路工程有限公司3.广东南粤物流实业有限公司SBXH2007-J-3-10三等浙江省开发建设项目水土流失成因及防治技术研究陈晨宇廖承彬陈奉良叶永棋李健杜运领尉全恩1.浙江省水土保持委员会办公室2.中国水电顾问集团华东勘测设计研究院SBXH2007-J-3-11三等黄河流域水土保持数据库朱小勇曹炜喻权刚王峰周鸿文1.水利部黄河水利委员会水土保持局SBXH2007-J-3-12表结构与信息代码编制规定郭玉涛陈平2.水利部黄河水利委员会黄河上中游管理局三等叶用型沙棘育种研究邰源临卢顺光金争平温秀凤顾玉凯李永海张红梅1.水利部沙棘开发管理中心2.高原圣果沙棘制品有限公司SBXH2007-J-3-13三等小流域水土保持生态经济型治理模式研究张志芬张国权吴文奇李洪源张旭孙广军吴志远1.内蒙古通辽市水土保持局2.内蒙古通辽市水利技术推广站3.内蒙古通辽市库伦旗水务局水保站4.内蒙古通辽市奈曼旗水保局5.内蒙古兴安盟水务局水保站SBXH2007-J-3-14三等低山丘陵区沟壑水土保持三维梯级治理开发模式研究丁福俊吴钢戴武刚李春华杨春胡加琪王再祥1.辽宁省朝阳市水土保持工作总站2.中国科学院生态环境研究中心SBXH2007-J-3-15三等水土保持与绿化技术的绿化植生带技术推广应用匡尚富胡春宏王向东苏晓波曹文洪万育生徐永年中国水利水电科学研究院SBXH2007-J-3-16三等福建省人为水土流失调查与综合防治研究陈善沐林文莲王维明徐玉华陈明华吴清泉王二朋福建省水土保持监督站SBXH2007-J-3-17三等辽宁省东部山区水土保持生态自我修复研究侯俊华霍进臣高云彪刘君牛萍邵子玉李仁辉辽宁省水土保持局SBXH2007-J-3-18三等程海环湖生态防护林营造示范方向京雷玮孟广涛李贵祥王丽张正海刘开瑞1.云南省林业科学院2.云南省永胜县林业局SBXH2007-J-3-19三等水土保持术语(国家标准)张学俭牛崇桓鲁胜利王礼先佟伟力郭志贤苗光忠1.水利部水保司2.陕西省水土保持局3.水利部黄河水利委员会黄河上中游管理局4.水利部长江水利委员会水土保持局SBXH2007-J-3-20。
2017年西北农林科技大学水土保持研究所水土保持与荒漠化防治专业拟参加复试考生名单(按考生编号排序)考生编号姓名政治理论外国语业务课一业务课二总分107127114043593陈晨5862108106334 107127114043613郭晋伟6344136110353 107127114043617孔令颖654912985328 107127114043619王一菲7267136130405 107127114093603张岛53555692256 107127114113609赵晓翠4848103103302 107127121053597侯芳彬6961118119367 107127121053601岳秋星676311898346 107127121053627汪建芳6068129111368 107127121053634杜好田676075108310 107127121153637贾培龙6152104124341 107127121153642白春昱6255122107346 107127121153643李程程5060129115354 107127121153653赵春敬7560145116396 107127121403626张文博644787114312 107127122073587王举凤6866100122356 107127122073594张鹏飞6548142104359 107127122073595杨茹珍476696116325 107127135113586张玉玉5246119103320 107127135133632吕国利646560100289 107127135133635胡亚楠5545134109343 107127136013598叶苗泰7457134118383 107127136013605连秋晗454212082289 107127136013620师宏强6048112111331 107127136013621周俊杰615110497313 107127136013646陈卓鑫7661144119400 107127137023614李伟佳6456134128382 107127137093592蓝郭华6350138108359 107127137093599魏芙蓉646511184324 107127137093616吴蕾6551135100351 107127137093639梁思琦6656120101343 107127137093651姚乐6370115118366 107127141053606翁正鹏60468375264 107127141053641乔磊磊5954118130361 107127141053652王松伟604512097322 107127141213625李政辉645184106305 107127142083631马戌6153108121343 107127142203590谷举6459143107373 107127142203604吴旋53568291282 107127143063589扶松林637315086372 107127144043615梁彩群626358123306 107127150133608董云云6751138107363 107127152113596贺瑶5754105117333 107127152113622蒋小董546284111311 107127153023588龙韶博626986100317 107127161150696岳荣6049100115324107127161150697何亮5863124111356 107127161150699李勃5767121104349 107127161150702于金鑫6156121111349 107127161150703潘泰臣614992100302 107127161150704窦少辉5166133119369 107127161150705白雪强6148104115328 107127161150706陈嘉钰6560120107352 107127161150707王颢霖5761113122353 107127161150708杨一凡5767110122356 107127161150709段红腾6355126123367 107127161150710陈卓6160137109367 107127161150711王文鑫7360137117387 107127161150712姜泓旭5545144113357 107127161150713赵满7071113129383 107127161150714张恒635798127345 107127161150715姚静6361124115363 107127161150716张玥65626593285 107127162023591苏蕊红60388193272 107127162023623王承书5256102114324 107127162043628左小锋6072111103346 107127162063585张统帅64497496283 107127162063630张闯娟604798112317 107127162063636赵佰礼514210889290 107127162063645徐瑞瑞6457112113346 107127162063647田小靖5360125122360 107127165013644杨佳燕645480113311。
第一届中国水土保持学会科学技术奖获奖项目等级项目名称完成人完成单位获奖项目编号一等黄土区基于水平衡的水土保持林草覆被及林分结构设计技术朱清科毕华兴张建军魏天兴张宇清张学培查同刚张岩尹忠东李永芳北京林业大学SBXH2007-J-1-01二等水土保持生态环境建设对黄河水资源和泥沙影响评价方法研究陈江南王云璋徐建华王国庆熊维新康玲玲穆兴民吴发启金双彦史学建李雪梅1.水利部黄河水利委员会黄河水利科学研究院2.水利部黄河水利委员会水文局3.中国科学院水利部水土保持研究所4.西北农林科技大学SBXH2007-J-2-01二等黄土高原农果复合型生态农业运行机制与关键调控技术研究吴发启李凯荣黄占斌朱德兰王健李会科杜翠萍佘雕张青峰杜文才徐军宏1.西北农林科技大学2.中国科学院、水利部水土保持研究所3.陕西省延安市农科所SBXH2007-J-2-02二等水土保持辅助规划设计软件史明昌黄兆伟计文琦李团宏刘瑜高勇郑国柱于波曹刚马海宽张瑞霞北京地拓科技发展有限公司SBXH2007-J-2-03二等岩质坡面喷混植生技术成果转化与推广张长印吴卫文章梦涛李光辉王富永袁建平许峰王康宾邹东平鲁胜力丛佩娟1.水利部水土保持监测中心2.深圳市如茵生态环境建设有限公司SBXH2007-J-2-04三等金沙江流域退耕还林(竹、草)综合配套技术研究与试验示范李昆方向京毕玉芬廖声熙孟广涛张春华李贵祥1.中国林业科学研究院资源昆虫研究所2.云南农业大学3.云南省林业科学院4.鹤庆县林业局5.彝良县林业局SBXH2007-J-3-01三等高塬沟壑区果园集雨节水灌溉技术示范与研究李怀有陈智汉郭永乐王斌闫剑张西宁安润莲1.水利部黄河水利委员会西峰水土保持科学试验站2.水利部黄河水利委员会黄河上中游管理局SBXH2007-J-3-02三等齐家川示范区径流高效利用技术体系研究赵安成李怀有郭锐刘文宏王斌张西宁水利部黄河水利委员会西峰水土保持科学试验站SBXH2007-J-3-03三等矿区废弃地植被综合恢复王兵赵广东苏铁成白秀兰李刚1.中国林业科学研究院森林生态环境与保护研究所SBXH2007-J-3-04技术研究门树海关树军2.辽宁省抚顺矿业集团有限责任公司林业处3.辽宁省抚顺市环境监测站三等小流域坝系监测方法及评价系统研究党维勤王晓马三保艾绍周王秦湘赵牡丹高银富1.水利部黄河水利委员绥德水土保持科学试验站2.西北大学3.黑龙江省水土保持科学研究所SBXH2007-J-3-05三等高等级公路建设中水土流失预测模式及对策研究宋国平谭认贾志宏贺曦谭昌明四川省交通厅公路规划勘察设计研究院SBXH2007-J-3-06三等豫西山区雨水集蓄利用技术研究及工程示范双瑞陈维杰范宗桂张国亮路振广李重新吴培林1.河南省水土保持监督监测总站2.河南省水利科学研究院3.河南省汝阳县水利电力勘测设计室4.河南省汝阳县水土保持科技推广站5.河南省嵩县水土保持科学研究所SBXH2007-J-3-07三等花岗岩侵蚀区水土保持植物优化组合技术区域试验与示范左长清杨洁谢颂华喻荣岗张华明胡建民彭冬水江西省水土保持研究所SBXH2007-J-3-08三等四川丘陵生态保护型高效农业发展模式与技术研究赵燮京邓家林刘永红朱钟麟吴晓军夏先玖赵小蓉1.四川省农业科学院土壤肥料研究所2.四川省农业科学院作物研究所3.四川省农业科学院园艺研究所4.四川省畜牧科学研究院5.四川省农业厅SBXH2007-J-3-09三等广东省高速公路用地的生态恢复与水土保持研究李定强卓慕宁郑煜基贺新良吴志峰林锡奎莫顶勋1.广东省生态环境与土壤研究所2.广东省长大公路工程有限公司3.广东南粤物流实业有限公司SBXH2007-J-3-10三等浙江省开发建设项目水土流失成因及防治技术研究陈晨宇廖承彬陈奉良叶永棋李健杜运领尉全恩1.浙江省水土保持委员会办公室2.中国水电顾问集团华东勘测设计研究院SBXH2007-J-3-11三等黄河流域水土保持数据库朱小勇曹炜喻权刚王峰周鸿文1.水利部黄河水利委员会水土保持局SBXH2007-J-3-12表结构与信息代码编制规定郭玉涛陈平2.水利部黄河水利委员会黄河上中游管理局三等叶用型沙棘育种研究邰源临卢顺光金争平温秀凤顾玉凯李永海张红梅1.水利部沙棘开发管理中心2.高原圣果沙棘制品有限公司SBXH2007-J-3-13三等小流域水土保持生态经济型治理模式研究张志芬张国权吴文奇李洪源张旭孙广军吴志远1.内蒙古通辽市水土保持局2.内蒙古通辽市水利技术推广站3.内蒙古通辽市库伦旗水务局水保站4.内蒙古通辽市奈曼旗水保局5.内蒙古兴安盟水务局水保站SBXH2007-J-3-14三等低山丘陵区沟壑水土保持三维梯级治理开发模式研究丁福俊吴钢戴武刚李春华杨春胡加琪王再祥1.辽宁省朝阳市水土保持工作总站2.中国科学院生态环境研究中心SBXH2007-J-3-15三等水土保持与绿化技术的绿化植生带技术推广应用匡尚富胡春宏王向东苏晓波曹文洪万育生徐永年中国水利水电科学研究院SBXH2007-J-3-16三等福建省人为水土流失调查与综合防治研究陈善沐林文莲王维明徐玉华陈明华吴清泉王二朋福建省水土保持监督站SBXH2007-J-3-17三等辽宁省东部山区水土保持生态自我修复研究侯俊华霍进臣高云彪刘君牛萍邵子玉李仁辉辽宁省水土保持局SBXH2007-J-3-18三等程海环湖生态防护林营造示范方向京雷玮孟广涛李贵祥王丽张正海刘开瑞1.云南省林业科学院2.云南省永胜县林业局SBXH2007-J-3-19三等水土保持术语(国家标准)张学俭牛崇桓鲁胜利王礼先佟伟力郭志贤苗光忠1.水利部水保司2.陕西省水土保持局3.水利部黄河水利委员会黄河上中游管理局4.水利部长江水利委员会水土保持局SBXH2007-J-3-20。
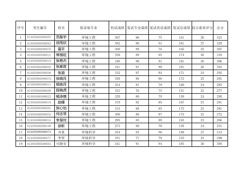
是否拟录取环境科学与工程学院环境科学与工程学院环境科学与工程学院环境科学与工程学院环境科学与工程学院环境科学与工程学院环境科学与工程学院环境科学与工程学院环境科学与工程学院环境科学与工程学院环境科学与工程学院环境科学与工程学院环境科学与工程学院环境科学与工程学院环境科学与非定向就业非定向就业非定向就业非定向就业非定向就业非定向就业非定向就业非定向就业录取类别非定向就业非定向就业非定向就业非定向就业非定向就业非定向就业非定向就业是是是是是是是是是是是是是是是霍达马嘉蔓付婧懿张绪申石天晶董朔瑜王阳姓名范文琦杨淞潆李兰馨刘传奇周逸梁金慧洪桥峰苏慧1.00229E+141.00229E+141.00229E+141.00229E+141.00229E+141.00229E+141.00229E+141.00229E+14考生编号1.00229E+141.00229E+141.00229E+141.00229E+141.00229E+141.00229E+141.00229E+14环境科学工程环境科学工程环境科学工程环境科学工程环境科学工程环境科学工程环境科学工程环境科学工程环境科学工程录取专业名称环境科学工程环境科学工程环境科学工程环境科学工程环境科学工程环境科学工程83000830008300083000830008300083000830008300083000学院名称录取专业代码830008300083000830008300013131313131313131313学院代码1313131313工程学院环境科学与工程学院环境科学与工程学院环境科学与工程学院环境科学与工程学院环境科学与工程学院环境科学与工程学院环境科学与工程学院环境科学与工程学院环境科学与工程学院环境科学与工程学院环境科学与工程学院环境科学与工程学院环境科学与工程学院环境科学与工程学院环境科学与工程学院环境科学与非定向就业非定向就业非定向就业非定向就业非定向就业非定向就业非定向就业非定向就业非定向就业非定向就业非定向就业非定向就业非定向就业非定向就业非定向就业非定向就业是是是是是是是是是是是是是是是是孙菽含周洁邱景琮赵光普吴婉琪吴琳秀闫燕军黄雯翟晴雨耿男男吴倩李祎杨丹丹张子萌董顺琪杨帅1.00229E+141.00229E+141.00229E+141.00229E+141.00229E+141.00229E+141.00229E+141.00229E+141.00229E+141.00229E+141.00229E+141.00229E+141.00229E+141.00229E+141.00229E+141.00229E+14环境科学工程环境科学工程环境科学工程环境科学工程环境科学工程环境科学工程环境科学工程环境科学工程环境科学工程环境科学工程环境科学工程环境科学工程环境科学工程程环境科学工程环境科学工程环境科学工程8300083000830008300083000830008300083000830008300083000830008300083000830008300013131313131313131313131313131313工程学院环境科学与工程学院环境科学与工程学院环境科学与工程学院环境科学与工程学院环境科学与工程学院环境科学与工程学院环境科学与工程学院环境科学与工程学院环境科学与工程学院环境科学与工程学院环境科学与工程学院环境科学与工程学院环境科学与工程学院环境科学与工程学院环境科学与工程学院非定向就业非定向就业非定向就业非定向就业非定向就业非定向就业非定向就业非定向就业非定向就业定向就业非定向就业非定向就业非定向就业非定向就业非定向就业非定向就业是是是是是是是是是是是是是是是是尤欣雨谭玄同刘国军孟环程政乔彭少茵屈越童王仕达赵猛王亚如窦旭丹杨志斌刘文芬李丹吴婉琪邰艳风1.00229E+141.00229E+141.00229E+141.00229E+141.00229E+141.00229E+141.00229E+141.00229E+141.00229E+141.00229E+141.00229E+141.00229E+141.00229E+141.00229E+141.00229E+141.00229E+14环境工程环境工程环境工程环境工程环境工程环境工程环境工程环境工程环境工程环境工程环境科学工程环境科学工程环境工程环境工程环境工程环境工程8522985229852298522985229852298522985229852298522985229830008300085229852298522913131313131313131313131313131313环境科学与工程学院环境科学与工程学院环境科学与工程学院环境科学与工程学院环境科学与工程学院环境科学与工程学院环境科学与工程学院环境科学与工程学院环境科学与工程学院环境科学与工程学院环境科学与工程学院环境科学与工程学院环境科学与工程学院环境科学与工程学院环境科学与工程学院环境科学与非定向就业非定向就业非定向就业非定向就业非定向就业非定向就业非定向就业非定向就业非定向就业非定向就业非定向就业非定向就业非定向就业非定向就业非定向就业非定向就业是是是是是是是是是是是是是是是是王巧张越卢成龙崔环宇信林婷蔡博铨陈淼石冰钰胡兰兰吴林禹韩梦霞梁家豪赵晓琦王林林孙博宇吴洪宇1.00229E+141.00229E+141.0023E+141.00229E+141.0023E+141.00229E+141.00229E+141.00229E+141.00229E+141.00229E+141.00229E+141.00229E+141.00229E+141.00229E+141.00229E+141.00229E+14环境工程环境工程环境工程环境工程环境工程环境工程环境工程环境工程环境工程环境工程环境工程环境工程环境工程环境工程环境工程环境工程8522985229852298522985229852298522985229852298522985229852298522985229852298522913131313131313131313131313131313工程学院环境科学与工程学院环境科学与工程学院环境科学与工程学院环境科学与工程学院环境科学与工程学院环境科学与工程学院环境科学与工程学院环境科学与工程学院环境科学与工程学院环境科学与工程学院环境科学与工程学院环境科学与工程学院环境科学与工程学院环境科学与工程学院环境科学与工程学院环境科学与非定向就业非定向就业非定向就业非定向就业非定向就业非定向就业非定向就业非定向就业非定向就业非定向就业非定向就业非定向就业非定向就业非定向就业非定向就业非定向就业是是是是是是是是是是是是是是是是黄江浩庞阔孙海莹柴婧杰张丹丹商帅帅赵汗青李骜任杰张红凯张复港刘娜衡贝贝郑鑫吾陈旭东王彦杰1.00229E+141.00229E+141.00229E+141.00229E+141.00229E+141.00229E+141.00229E+141.00229E+141.00229E+141.00229E+141.00229E+141.00229E+141.00229E+141.00229E+141.00229E+141.00229E+14环境工程环境工程环境工程环境工程环境工程环境工程环境工程环境工程环境工程环境工程环境工程环境工程环境工程环境工程环境工程环境工程8522985229852298522985229852298522985229852298522985229852298522985229852298522913131313131313131313131313131313工程学院环境科学与工程学院环境科学与工程学院环境科学与工程学院环境科学与工程学院环境科学与工程学院环境科学与工程学院环境科学与工程学院环境科学与工程学院环境科学与工程学院环境科学与工程学院环境科学与工程学院环境科学与工程学院环境科学与工程学院环境科学与工程学院非定向就业非定向就业非定向就业非定向就业非定向就业非定向就业非定向就业非定向就业非定向就业非定向就业非定向就业非定向就业非定向就业非定向就业非定向就业是是是是是是是是是是是是是是是李世玲徐丹丹李慧颖戚美娟张佳男严思敏陈盈万雅倩吴胜民马振坤邸林栓于文泽柴婧杰张欣然董森1.00229E+141.00229E+141.00229E+141.00229E+141.00229E+141.00229E+141.00229E+141.00229E+141.00229E+141.00229E+141.00229E+141.00229E+141.00229E+141.00229E+141.00229E+14环境工程环境工程环境工程环境工程环境工程环境工程环境工程环境工程环境工程环境工程环境工程环境工程环境工程环境工程环境工程852298522985229852298522985229852298522985229852298522985229852298522985229131313131313131313131313131313录取学习方式备注全日制全日制全日制全日制全日制全日制全日制全日制全日制全日制全日制全日制全日制全日制全日制全日制全日制全日制全日制全日制全日制全日制全日制全日制全日制全日制全日制全日制全日制全日制全日制少数民族骨干计划全日制全日制全日制全日制全日制全日制全日制全日制全日制全日制全日制全日制全日制全日制全日制全日制全日制全日制全日制全日制全日制全日制全日制全日制全日制全日制全日制全日制全日制全日制全日制全日制全日制全日制全日制全日制全日制全日制全日制全日制全日制全日制全日制全日制全日制全日制全日制全日制全日制全日制全日制全日制全日制全日制全日制全日制全日制全日制全日制全日制全日制非全日制非全日制。