网上公告面试分组名单
- 格式:xls
- 大小:37.50 KB
- 文档页数:7
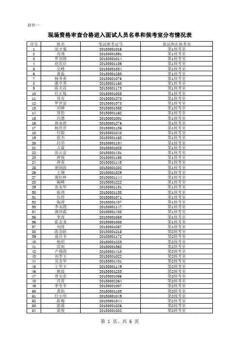
辽宁省水利厅所属事业单位2021年面向社会公开招聘事业编制工作人员面试公告文章属性•【制定机关】辽宁省水利厅•【公布日期】2021.10.18•【字号】•【施行日期】2021.10.18•【效力等级】地方规范性文件•【时效性】现行有效•【主题分类】行政机构设置和编制管理正文辽宁省水利厅所属事业单位2021年面向社会公开招聘事业编制工作人员面试公告按照《辽宁省水利厅所属事业单位2021年面向社会公开招聘事业编制工作人员公告》规定,现将面试工作安排公告如下:一、面试名单经现场资格审查合格进入面试的人员名单附后,分组顺序由计算机随机抽取产生(附件1)。
二、面试时间面试时间:2021年10月23日(周六)第一组:开考时间8:00,入场时间7:00。
第二组:开考时间13:30,入场时间12:30。
三、面试地点沈阳市考试院(大东区小东路231号)。
四、有关要求1.考生须携带笔试准考证、本人二代居民身份证或临时身份证原件、考试前48小时内新冠肺炎核酸检测阴性报告(电子版、纸质版均可),出示“辽事通健康码”、“通信大数据行程卡”绿码参加面试,并按要求测量体温,凡经防疫副主考确认有疑似新冠肺炎症状的考生,不得参加面试。
2.考生要对面试前14天行程及“辽事通健康码”、“通信大数据行程卡”绿码、新冠肺炎核酸检测阴性报告的真实性负责,并写出书面承诺(附件2),进入候考室后交给工作人员。
由于提供不实信息等所造成的一切后果,由考生自负。
3.参加面试的考生须在考前1小时到达考点。
考前半小时开始考生抽签。
考生抽签开始时仍未到达候考室的,剩余签号为该面试考生顺序号。
开考后仍未到达候考室的,视为自动弃权。
4.考生进入候考室前要接受安检,须将手机、电子手环、电子手表等通讯工具和电子设备关闭后由工作人员统一保管。
对不按要求上交所携带通讯工具和电子设备并擅自使用的,取消面试资格。
5.面试开始前,在同一考场的考生通过抽签确定面试顺序,并持序号牌参加面试。
【导语】2022年国家公务员考试已进⼊⾯试阶段,为了让考⽣及时获悉相关⾯试事宜,今天为您精⼼整理了2022年⼴东黄埔海关考试录⽤国家公务员⾯试公告,供各位考⽣的查阅,更多国家公务员考试⽅⾯的资讯,请关注的更新。
根据公务员法和公务员录⽤有关规定,现就2022年度黄埔海关录⽤公务员⾯试有关事宜通知如下: ⼀、⾯试名单 详见附件1。
⼆、⾯试确认 请进⼊⾯试的考⽣于2022年3⽉4⽇24时前确认是否参加⾯试,确认⽅式为电⼦邮件。
要求如下: (⼀)发送电⼦邮件⾄hphgkl@。
(⼆)电⼦邮件标题统⼀写成“XXX确认参加黄埔海关XX职位⾯试”,具体内容详见附件2。
(三)如上报名时填报的通讯地址、联系⽅式等信息发⽣变化,请在电⼦邮件中注明。
(四)逾期未确认的,视为⾃动放弃⾯试资格。
三、放弃⾯试的处理 放弃⾯试的考⽣请填写《放弃⾯试资格声明》(详见附件3),经本⼈签名,于2022年3⽉4⽇24时前发送扫描件⾄hphgkl@。
未在规定时间内填报放弃声明,⼜因个⼈原因不参加⾯试的,招录单位将视情节上报中央公务员主管部门并记⼊诚信档案。
四、报送材料 请考⽣于2022年3⽉6⽇前通过电⼦邮件将以下材料扫描件发送到hphgkl@接受资格复审,未按照规定时间发送相关材料的考⽣,将视为放弃⾯试资格: 1.本⼈⾝份证、学⽣证或⼯作证扫描件。
2.公共科⽬笔试准考证扫描件。
3.考试报名登记表扫描件(贴好照⽚,如实、详细填写个⼈学习、⼯作经历,时间必须连续,并注明各学习阶段是否在职学习,取得何种学历和学位)。
4.本(专)科、研究⽣各阶段学历、学位证书扫描件,所报职位要求的外语等级证书、职业资格证书扫描件等材料。
5.报考职位所要求的基层⼯作经历有关材料扫描件。
在党政机关、事业单位、国有企业⼯作过的考⽣,需提供单位⼈事部门出具的基层⼯作经历材料,并注明起⽌时间和⼯作地点;在其它经济组织、社会组织等单位⼯作过的考⽣,需提供相应劳动合同或缴纳社保材料。
湖北省商务厅关于湖北省贸易发展服务中心选调工作人员考试面试公告文章属性•【制定机关】湖北省商务厅•【公布日期】2019.11.11•【字号】•【施行日期】2019.11.11•【效力等级】地方规范性文件•【时效性】现行有效•【主题分类】机关工作正文湖北省商务厅关于湖北省贸易发展服务中心选调工作人员考试面试公告根据省贸易发展服务中心选调工作人员工作安排,经笔试、资格审查,现将湖北省贸易发展服务中心选调工作人员考试面试有关事项公告如下:一、面试人员名单(见附件)二、面试时间地点时间:2019年11月17日(星期日)上午8:00整,提前15分钟到,8:00未到达候考室的作弃权处理。
地点:省商务厅机关2楼2号会议室。
地址:湖北省武汉市江岸区江汉北路8号。
三、有关注意事项1.面试时,考生须携带处于有效期内的二代身份证和工作证(或单位介绍信)参加,考生不得向考官报告本人和家庭人员的姓名及本人的工作单位、考号、籍贯等信息。
2.面试和候考期间实行封闭管理,考生不得随身携带手机等通讯工具,如已带入候考室的应予关闭,并交工作人员统一保管。
凡未交工作人员统一保管而自行携带的,不论开机与否,一经发现,即取消面试资格。
3.面试当天,考生须在省商务厅机关2楼集中封闭候考。
4.考生放弃面试的,应在考试前三天以书面或手机短信、微信等形式通知面试组织方。
5.请进入面试考生近期不要变更联系方式,注意保持手机畅通。
6.其他有关事宜,请详见先前印发的《省贸易发展服务中心选调工作人员考试公告》。
7.面试期间考生交通食宿自行解决。
联系人:刘聪,************。
附件:省贸易发展服务中心选调工作人员考试面试人员名单湖北省商务厅2019年11月11日附件省贸易发展服务中心选调工作人员考试面试人员名单。
2013年贵州省公务员考试面试公告和名单面试:省公务员主管部门负责省直及垂管系统职位的面试考务工作,有关市(州)公务员主管部门负责本辖区内职位的面试考务工作。
全省设9个面试考区。
省直及垂管系统面试考区设在贵阳市;有关市(州)面试考区设在本市(州)政府所在地城市。
面试采用结构化方式进行,面试成绩按百分制计算。
面试人员为公示无异议的资格复审合格人员。
通过资格复审后的考生人数与职位招考计划数达不到3:1比例最后1名或2名的考生,其面试成绩须达到本考场当日面试实考考生平均分及以上,方能进入下一环节。
未参加面试的考生取消进入下一环节资格。
面试时间和地点由省、有关市(州)公务员主管部门另行通知。
总成绩计算:考生总成绩按百分制计算。
其中,笔试成绩百分制折算后占60%,面试成绩百分制折算后占40%.笔试、面试成绩和总成绩均按“四舍五入法”保留小数点后两位数字。
同一职位考生总成绩名次出现末位并列的,笔试成绩高的考生进入下一环节,若笔试成绩相同的,以《行政职业能力测验》科目成绩高者进入下一环节。
体检:体检根据职位招考计划数按总成绩由高到低等额确定体检对象;放弃体检或体检不合格的,取消进入下一环节资格,空缺职位不予递补。
体检必须在省、有关市(州)公务员主管部门指定的县及县以上综合性医院、在规定时间内进行并做出体检结论,其他结论、鉴定一律不予认可。
体检标准按《公务员录用体检通用标准(试行)》(国人部发〔2005〕1号)、《公务员录用体检操作手册(试行)》、《关于修订〈公务员录用体检通用标准(试行)〉及〈公务员录用体检操作手册〉(试行)的通知》(人社部发〔2010〕19号)及《关于印发公务员录用体检特殊标准(试行)的通知》(人社部发〔2010〕82号)等有关规定执行。
对主检医生认为需要做进一步检查的,省、市(州)公务员主管部门依据职责权限经研究后进行检查。
体检结果由现场纪检监察人员、体检医生和体检考生本人当场签字确认;体检考生对体检有关项目要求复查的,采取当场提出申请、当场复查的方式进行。
考官:高飞考场:5区506 岗位:会计会计第1组:(12人)面试时间:14:00陈来名、肖亚理、余艳冰、陈昱璇、陈嫣妮、陈舒婷、陈珊珊、张龙、杨小华、庄小晶、王玉凤、李敏琦会计第2组:(12人)入场时间:14:55陈娜琳、吴晓婧、郭婉玉、卢玉真、黄惠娇、周琳、黄月娇、林静、黄锦桂、余辉腾、陈惠玲、王巧玲会计第3组:(12人)入场时间:15:50郑丽芬、许清配、杨茵茵、陈得仲、张毓珑、魏裕涛、林芳芳、陈庆芬、陈丽玲、林丽淑、何东梅、白惠琼会计第4组:(13人)入场时间:16:45黄雪凤、赖少红、张世丹、陆燕玲、林贞岚、张雅云、佘飞婵、陈淑芬、王月琼、颜志红、吴燕真、王丽苹、吴婷婷考官:林妍考场:5区403 岗位:会计、会计助理会计第5组:(17人)面试时间:14:00吴秀金、刘秋芬、李小玲、李志宏、陈雪娥、杜岑冰、赖秋莲、蔡墩煌、黄珊珊、黄雅芬、李玲玲、赵小珍、林旋雅、许艺娟、陈丽彬、吴仕玉、陈月红会计助理第1组:(11人)入场时间:15:10林燕华、邱虹、林惠玲、张细琼、邵晓静、张奕、王雅菲、吴志颖、蔡沙沙、洪鹭芸、林小红会计助理第2组:(11人)入场时间:16:00练妮、吴利娟、李锕芬、辛苏欢、赵晓燕、李燕、李丽婷、林捷、谢跃华、谢光炳、兰建云会计助理第3组:(11人)入场时间:16:50叶丽惠、戴娜玲、黄梅钦、连灿萍、蔡莹莹、吴韩英、傅玉琼、何新虹、林毅明、徐小华、范玉姬考官:孟志刚考场:5区504 岗位:出纳出纳第1组:(11人)面试时间:14:00陈晶晶、陈菲菲、陈丽萍、李美燕、方筱芳、方碧华、洪小蓉、洪淑琼、洪月琴、张佳芬、温春英出纳第2组:(11人)入场时间:14:55邱晓静、杨静雯、陈梅玉、黄晓玲、甘哲俊、林颖楠、王杰、陈晓军、曹佳森、邱如宇、林建艺出纳第3组:(12人)入场时间:15:50黄志呈、曾佳达、王凯南、温建新、陈敏、钟盛来、陈福清、苏阿欣、陈丽琴、吴宁、柯艺芬、罗春燕出纳第4组:(12人)入场时间:16:45侯婷婷、孙如兰、庄惠玲、林毓秀、陈碧旋、李宝兰、冯琪捷、林雅萍、林雅雅、黄美莲(学号:06121016)、黄培金、林璐考官:陈娜萍考场:5区205 岗位:出纳出纳第5组:(12人)面试时间:14:00彭玲玲、黄美莲(学号:06121085)、林登科、陈燕玲、许小燕、陈敏玲、张琴美、杜雅娜、李静萍、赖晓玲、陈淑环、周少娟出纳第6组:(12人)入场时间:14:55凌欣虹、邵娇亮、兰舒萍、阮玉敏、梁燕妮、谢化美、陈月云、卢永娜、庄振祥、陈麒伟、汤小虾、邱虹敏出纳第7组:(12人)入场时间:15:50林晓青、颜晓英、赖琼瑜、薛杨、林雯雅、方灵、柳雅玲、黄小萍、张忱、朱晓婷、叶静吟、蔡惠真出纳第8组:(10人)入场时间:16:45张建勰、陈俊彦、李坤鹰、陈景毅、陈厚希、刘长达、蔡雨强、张伟、杨斌、何颖考官:张秋艳考场:5区405岗位:外贸跟单员、业务内勤外贸跟单员第1组:(12人)面试时间:14:00肖佩琳、陈昌淮、杜彩珍、林杰、阮丽容、肖文源、张玲、林菁、王巧玲、蔡碧丽、何晶晶、蔡琳外贸跟单员第2组:(12人)入场时间:14:55洪青山、杨小燕、陈小贝、陈晓玲、李新娟、林建德、林娇凤、林锦、商盛、唐志顺、张小霞、黄辉超外贸跟单员第3组:(11人)入场时间:15:50蒋剑锐、曹慧平、洪巧巧、林阿全、林小凤、施永增、苏文泽、应小霞、朱电锦、王庆伟、陈小云业务内勤第1组:(13人)入场时间:16:40黄新婷、陈珍珍、黄宽宽、高月红、卢巧灵、林悦玲、李丹、李燕美、廖秀萍、魏小惠、薛莉花、叶福清、郑雅蓉考官:陈小奖考场:5区505岗位:业务内勤、会展策划专员业务内勤第2组:(12人)面试时间:14:00郑淑芬、孙婵、孙桃香、陈鹏燕、陈银贵、康惠珍、廖莉莉、林梓波、成翡、黄俊雄、纪小平、刘薇芳业务内勤第3组:(12人)入场时间:14:55潘金玲、潘晓晶、苏美辉、薛智惠、杨小婷、曾晓芬、朱颖、陈晓涵、刘如珊、许小彬、郑丽丽、钟惠玲会展策划专员第1组:(11人)入场时间:15:50周鑫、卢素珍、毛秋分、阙丽华、陈玮琦、翁春燕、杨静、杨敏、吴俊伟、安婷、曾美红会展策划专员第2组:(12人)入场时间:16:45黄春梅、蔡微微、傅清萍、胡艳芳、魏晓霞、罗真灵、陈晓、郑丽容、林秀娟、邱雅静、于超、李志龙考官:林嘉熹考场:5区204岗位:少儿英语教师、音乐音效少儿英语教师第1组:(11人)面试时间:14:00曾婷、吴奇雪、曾祥燕、黄明莎、高婷婷、陈杏、庄菁菁、陈露芳、蔡雪君、陈亚烦、黄跃迪少儿英语教师第2组:(11人)入场时间:14:55李琳、连雅玲、邱芳燕、邱远迎、王阿凸、吴晓彬、叶嘉怡、郑丹婕、张飞燕、王雅敏、陈悦少儿英语教师第3组:(11人)入场时间:15:50樊静、黄婷云、林丹尼、林琳、刘静仪、吴心宝、谢菁菁、张菊银、张亚真、张燕、陈凤音乐音效组:(10人)入场时间:16:45赵俊杰、庄毓惠、凌蕴娟、黄婷婷、谢淳岚、苏彩霞、陈倩旎、江春梅、叶思思、袁伟考官:刘明川考场:5区503岗位:营销专员、行政文员营销专员第1组:(11人)面试时间:14:00梁鑫、林秀姐、孙燕萍、戴冰冰、王雅利、林琳、张芳玲、张晓鹭、郭淑琼、洪巧微、陈瑞琪营销专员第2组:(12人)入场时间:14:55王淑完、杨苹、陈如娇、陈永玲、戴清娟、陈玲玲、沈燕玉、许燕清、苏玲珊、林琳萍、李惠、施小红营销专员第3组:(7人)入场时间:15:50行政文员第1组:(5人)入场时间:15:50陈桂林、陈学荟、李廷月、刘梅、陈雅婷、程蓉芬、汤维、李春林、陈美娟、陈娜燕、陈小娟、陈远鹏行政文员第2组:(12人)入场时间:16:45傅翠芬、何彩婷、洪阿梅、黄静宇、黄明凤、苏梅蓉、王超、王娜燕、叶兰、张婷婷、黄小夏、傅月华考官:白琳考场:5区404 岗位:行政文员行政文员第3组:(12人)面试时间:14:00江雪辉、吴锦江、洪荣凤、黄春花、詹惠川、张洁、郑巧婷、周瑞美、王墙薇、王银香、陈巧玲、池德平行政文员第4组:(12人)入场时间:14:55黄诗铨、陈艺娜、陈清霞、蔡铭锶、陈凤玲、陈用、许小婷、许杏瑜、张小勤、高若薇、潘琦、赵旭行政文员第5组:(12人)入场时间:15:50许丽敏、黄纯意、蔡姗娜、游冬才、王楚苓、柯娟玲、卢春平、林虹霞、蔡秋贤、蔡幼玲、蔡裕英、陈婉瑜行政文员第6组:(12人)入场时间:16:45陈艺君、黄缘缘、李婵娟、李雅端、林星、邱少琦、杨玲玲、杨巧梅、黄珊珊、林少芬、林德时、吴维娟。
关于公开选拔乡镇(街办)领导班子副职人选面试对象名单的公告按照《中共黄冈市委组织部关于公开选拔乡镇(街办)领导班子副职人选的公告》规定,经过组织报名、资格审查和笔试,根据各县(市、区)选拔数量与面试人员1:5的比例,按照笔试成绩从高分到低分排序,确定以下605名对象进入各县(市、区)公开选拔乡镇(街办)领导班子副职人选面试范围,请面试对象于5月24日(星期二)上午7:00前,携带个人身份证(准考证)到各县(市、区)委组织部指定的面试地点参加面试。
现将面试对象名单公告如下:一、黄州区(一)乡镇(街办)党政副职职位(选拔数量8名,面试对象41人):张智富熊仁前肖凰宋元博彭玲玲刘伟刘一帆杨铭祁新汪姿含华贞王林浩肖三平饶求生邱小兵黄煌张珮沈顶姜聪童铭占贤德邓鹏飞张丽玲刘小成余洋张怡佩刘张星龙涛饶莉莉阮乐易火红熊芸王江余晓雪彭俊洁蔡文琦张琦姚莹张坤黄芳陈冉(二)乡镇(街办)党外副职职位(选拔数量3名,面试对象16人):李小慧张燕汪丽琴肖复苏伊海清周静罗婧琳方婷婷夏艳周真吴喜华吴雪芬佘杭璘程璐陶田马海二、团风县(一)乡镇(街办)党政副职职位(选拔数量10名,面试对象50人):胡安琳杜泽磊李程唐琦冯珍商中胜卢琦孙瑄蔚王翔赵红军王玉凭於甲丰郭慧琴胡苏智王圣添万挺童胜刚漆源管鹏马战里杜志鹏刘卉芳高瑶袁晓颖孙川魏桢李玉荣胡涛杜志波魏敏高媛舒文慧袁权权童利平张培章树林王家宝丁雅李德花李祥龙军彭慧妮张尧倪福海龚永富邵峥夏世鹏余新周雯熊建(二)乡镇(街办)党外副职职位(选拔数量3名,面试对象15人):余小辉秦媛钱薇周衡邱彩菊王志峰王泰徐建荣孙燕贺建芳漆小文张询卢中华向瑜饶灵三、红安县(一)乡镇(街办)党政副职职位(选拔数量8名,面试对象40人):袁杜彭志鸿戴燕吴超凌晨徐旭保陈慧平张俊岳光明汪文浩范献鹏罗锋江新春张正文汪芳冯帆沈小华刘彩虹周璇夏华兴袁涛刘春琛盛文娟梅文詹欢王鹏陈静刘建新黄红星程玉枝余爱霞张晓涛蔡轩郭茂云王诗畅宋骞李敏霍欢欢石和锐陈丽君(二)乡镇(街办)党外副职职位(选拔数量3名,面试对象15人):朱建波秦文华秦觉飞汪映辉方彬江俊来德志卢保香陈站余敏燕杨慧斌宋新程小花刘彬张学辉四、麻城市(一)乡镇(街办)党政副职职位(选拔数量18名,面试对象90人):马卫林李薇张兴兰刘海兰罗金吴挺彭峰戴少平袁泉程慧泉林来澍曾超马浩熊伟赵欣欣付从武林龙张永芝杨梅朱力贺小锋夏利婕韩兆普刘萍刘文武梅鑫石嵩刘明朝吴正丽罗萍周令杨晓靖王光显徐世益胡雅杨稷栋沈丹玲夏冉冉陈萍张林刘晓琴梅倩王庆伟盛祥颜红尉熊炎常浩赵志钢刘鹤刘胜刘小萃柳威南红林吕浩娟胡灼鲍迪夏明利娄晨付凌瞿小曲蔡庆润周冠东郭伟孙雁王永辉梅威黄海张虹王辉刘亚龙何林燕章潜施胜林吴琦熊婷婷鲍业修邓仪生李婧藜戴洪国孙愿杨志宇韩来启陈包董伟江培友程环徐琨高加锋李滢滢张垲林(二)乡镇(街办)党外副职职位(选拔数量3名,面试对象16人):訚杰张星李庆占威段晶王鸿志戴太加金涛胡文燕张卫群丁保政潘世田李玮王应文李伟吴玉祥五、罗田县(一)乡镇(街办)党政副职职位(选拔数量6名,面试对象30人):肖绪贤汪乐郭平光吴小含史启芳章勇宛璐露陈新明李红军刘辉胡晓兰廖魁余意沈柳朱孝斌张楚涵杨哲黄正华杨烨徐海张鑫徐鸣刚江南汪浩肖伟黄炎苏亮胡博郑涛方洋(二)乡镇(街办)党外副职职位(选拔数量3名,面试对象15人):何碧玉詹栋屈晓华陈文朝李明王蔚李振华李琴汪猛匡镇何晓艳罗畅章远虎罗庆方溪六、英山县(一)乡镇(街办)党政副职职位(选拔数量6名,面试对象31人):严桥张旭涂梦佳胡凤平陈仕林杨宗林武运鑫杨晓宋达朝田来何鑫江成袁猛吴兆敏袁爽高金磊南诚周伟徐友恩熊立水陈文军程意王锦鹏杨威李京李宪左巧云李敏杰乐伟王小林赵青华(二)乡镇(街办)党外副职职位(选拔数量2名,面试对象10人):王颖付小康何君周奉凤董盾舟段文龙王涛舒晓波周平展刘奕甫七、浠水县(一)乡镇(街办)党政副职职位(选拔数量5名,面试对象25人):姚斌郭红英舒朗李欣唐丽娜曾辉胡嫚蔡婷婷夏五一何先哲曹瑜蔡莹卓熊静徐旭华杨文汇华小章杨天琴游炎烽蔡文英董喜亮陈钰王志娟胡惊雷徐鹏严刚(二)乡镇(街办)党外副职职位(选拔数量1名,面试对象 5人):王春光艾锋熊思蔡伟文徐东升八、蕲春县(一)乡镇(街办)党政副职职位(选拔数量15名,面试对象75人):徐红霞苏华刚李义肖娥刘志勇姚俊尹志勇王鹏张圆任宴炎张勋舒玲玲黄晓兵占小虎管浩梅新武凌敏徐蕾李响李浩顾政夏晖黄兰兰高强余雅婷黄丽张光富余俊吴细白邓焱发洪凯邓承雪李汉良吴丽娟方芳郭倩芳王学成伊珉敏肖算胡文娟陈科宇胡开明常乐陈柏元何晓亮罗俊陈樱何欢梅益曹金保张政蔡婷婷胡晓辉程方进田琦熊腾飞王琼欧阳婷陈莎段归沈朝明高尚张满王雷董亦男胡文祥石凯王玉明甘霖宋少奎刘芳张炎云余可肖群张恋(二)乡镇(街办)党外副职职位(选拔数量3名,面试对象15人):蔡梦方敏顾小生胡杜胡庆郑彬李强郝召覃志商彬徐昊伊旭东於在龙陈瑜郭光祥九、武穴市(一)乡镇(街办)党政副职职位(选拔数量9名,面试对象45人):解铭席桂训乾陈海森张琳玲黄长春王平游红亮蔡志斌陈飞卜召峰杨伟王彪张筱丽胡超苏玉杰宁橙野汪祖水夏明忠熊欢杨志刚高威张菁史培培陈辉雷伟马致富柏任明殷腾梅银国高亚玲卢青王磊胡钦杨志云罗云龙周子欢陈海轮朱灿健吴奕江郑珍珍宋必芳夏瑶瑶冯子文陈雄志向颖(二)乡镇(街办)党外副职职位(选拔数量3名,面试对象15人):张金烨张颖张志伟毛婷婷汤林超黄河肖斐张丽珍郭宝洪张云王超郭鹏宋星海胡志文卫利琼十、黄梅县(一)乡镇(街办)党政副职职位(选拔数量8名,面试对象41人):周胜周力孙群力周吉红程力席想楼胡俊芸毕峰刘振兴邱华陈伟沈安琴童静铮邓泽敏邵金平李晓娟宛胜高武李雯田力胡彬蒋彦王子羊熊友华戴新红毛维李晖陈婷柳霞黄维吴丹徐勋徐刚汤展华厦周杰郑鉴峰刘涛朱冠华洪亮谢琴(二)乡镇(街办)党外副职职位(选拔数量3名,面试对象15人):陈克焱石卫王韬石灿军张宇乐陈芳田广丰查竹兵曾鹏蒋超陈成何专熊飞汪莉向汪健特此公告。
参加面试人员名单(共194人)语文组共37人面试时间面试对象总面试人数6月11日上午7:40抽签语文:郭静洁、李茜、邱能静、周纯婷、张倩倩、徐子君、李芳玲、冯小燕、江华、邵佳英、谢晓云、彭兰、石霄虹、周南韵、罗珊、张甲、童敏、黄晶韩硕、王懿苗20下午13:40抽签语文:陶艳、潘珊珊、张琳苑、王岩、方杏、胡一婧、周梦敏、施辉、陈惠芩、谢玉莹、龙桃花、贺彩芳、袁梦瑶、陈琳、姚紫妍、张易寒、张丽17政史地组共17人面试时间面试对象总面试人数6月11日上午7:40抽签政治:翟娜、朱倩倩、陈芳冰、骆佳佳、陈梦姝、郗云霞、韩薇、高桂丽地理:徐锦文、张群、严佑盛、孙扬萍、徐熙玲、张锴、熊英利历史:卢姿璇、廖佳婉17外语组共35人面试时间面试对象总面试人数6月11日上午7:40抽签英语:曾春燕、刘梦园、陈婧、纪贤萍、张木春、李朦、周燕华、张楚莹、徐倩、张玲、周侨、邢凡、王雪、肖艾婷、姚翠、李发发、鄢培、昌小丽、许常娥、梁倩20下午13:40抽签英语:张雪莹、周圆、谢亚琴、江朦朦、李珊珊、熊少明、刘素影、熊祺娜、柯孥孥、魏霜霜、任一涛、郑文莉、周梦霞、郭瑜萍日语:朱贵珍15理科一组共38人面试时间面试对象总面试人数6月11日上午7:40抽签数学:甘其、张琴、冷海丽、蔡黄仪、陈辉、陈涛、李丹、陈启明、周璇、周慎友、陈倩文、邹小倩、李晓燕、陆彪、胡琪、高钰莹、刘艳、喻荣萍物理:胡传芳、游云帆20下午13:40抽签数学:兰观华、夏金凤、徐茜纯、曾秦、李艳萍、刘家湖、许奇青、兰小霞、吴礼华、林珠、周欣、孔秀华、邹恒丽、丘嘉敏、柯文静、罗华兰物理:朱建媛、赖冠伊18理科二组共38人面试时间面试对象总面试人数6月11日上午7:40抽签生物:熊星纯、程林、陶莹莹数学:朱惠臣、曹彩霞、曹圆芳、段召忠、包行菊、潘虹、冯兴来、熊娟、吴敏、向周敏化学:陈莎莎、徐静、李颖、余燕华信息技术:王秋景、张丽林、朱珠20下午13:40抽签生物:罗新新、周英、平定、李谕数学:卢小梦、冷敏芳、江训龙、冷百翊、林萍、刘顺英周雅琼、王志华化学:漆亮亮、蔡文娟、穆晶、邓玉婷信息技术:闵月月、曹慧军18综合组共29人面试时间面试对象总面试人数6月11日上午7:40抽签心理健康:刘钰、胡惠迪、罗妍体育:潘兴美术:占静、王丹琦、余巍、周莹、桑佳晨、陈瑾、殷绮、俞玉音乐:张丹丹、胡璞琳中专电子:李洁、万幸、胡美龄中专会计:余杰中专市场营销:张思中专影视:巴露20下午美术:夏佳佳、蔡雨昕、邱浩炜、付子轩、刘洋、廖梦林913:40中专护理:吴丹、柯瑾、赵逸平抽签。
2024年国考面试名单分2批公布
2024国考面试名单分2批公布
①中央机关及其直属机构考试录用公务员首批面试名单。
②中央机关及其直属机构考试录用公务员调剂进入面试人员名单,在调剂完成后公布。
如果不在第一批面试名单的考生,且符合调剂条件的,可以参加调剂。
调剂成功进入第二批面试名单,即调剂面试名单。
除此之外,没有其他拟进入面试名单。
招考期间出现空缺的职位或者招录机关由于新增用人需求需要及时补充人员的职位,将面向社会统一进行补充录用。
国考面试名单如何确定?
根据《招考简章》中规定的面试人数与计划录用人数的比例(比例见职位表,一般有3:1、5:1),按照笔试成绩从高到低的顺序确定各职位进入面试的人选,并在考录专题网站上公布。
通过公共科目笔试最低合格分数线的人数与计划录用人数比例未达到规定面试比例的招考职位,将进行调剂。
2024年国考笔试成绩发布后如何判断自己是否进面?
历年惯例,国考成绩发布以后,考生查询笔试成绩只能看到自己的各科成绩与总分、笔试合格最低分数线。
提醒大家,判断是否进入面试要看公布的面试名单。
如果没有进入面试,查询不到笔试成绩排名。