(完整版)平方差、完全平方公式专项练习题
- 格式:doc
- 大小:190.51 KB
- 文档页数:5
平方差公式专项练习题一、选择题1.平方差公式(a+b)(a-b)=a2-b2中字母a,b表示()A.只能是数B.只能是单项式C.只能是多项式D.以上都可以2.下列多项式的乘法中,可以用平方差公式计算的是()A.(a+b)(b+a)B.(-a+b)(a-b)C.(13a+b)(b-13a)D.(a2-b)(b2+a)3.下列计算中,错误的有()①(3a+4)(3a-4)=9a2-4;②(2a2-b)(2a2+b)=4a2-b2;③(3-x)(x+3)=x2-9;④(-x+y)·(x+y)=-(x-y)(x+y)=-x2-y2.A.1个B.2个C.3个D.4个4.若x2-y2=30,且x-y=-5,则x+y的值是()A.5 B.6 C.-6 D.-5二、填空题5.(-2x+y)(-2x-y)=______.6.(-3x2+2y2)(______)=9x4-4y4.7.(a+b-1)(a-b+1)=(_____)2-(_____)2.8.两个正方形的边长之和为5,边长之差为2,那么用较大的正方形的面积减去较小的正方形的面积,差是_____.三、计算题9.利用平方差公式计算:2023×2113.10.计算:(a+2)(a2+4)(a4+16)(a-2).(1)(2+1)(22+1)(24+1)…(22n+1)+1(n是正整数);(2)(3+1)(32+1)(34+1)…(32008+1)-401632.2.(一题多变题)利用平方差公式计算:2009×2007-20082.(1)一变:利用平方差公式计算:22007200720082006-⨯.(2)二变:利用平方差公式计算:22007200820061⨯+.二、知识交叉题3.(科内交叉题)解方程:x(x+2)+(2x+1)(2x-1)=5(x2+3).C卷:课标新型题1.(规律探究题)已知x≠1,计算(1+x)(1-x)=1-x2,(1-x)(1+x+x2)=1-x3,(1-x)(•1+x+x2+x3)=1-x4.(1)观察以上各式并猜想:(1-x)(1+x+x2+…+x n)=______.(n为正整数)(2)根据你的猜想计算:①(1-2)(1+2+22+23+24+25)=______.②2+22+23+…+2n=______(n为正整数).③(x-1)(x99+x98+x97+…+x2+x+1)=_______.(3)通过以上规律请你进行下面的探索:①(a-b)(a+b)=_______.②(a-b)(a2+ab+b2)=______.③(a-b)(a3+a2b+ab2+b3)=______.完全平方公式变形的应用完全平方式常见的变形有:ab b a b a 2)(222-+=+,ab b a b a 2)(222+-=+ab b a b a 4)(22=--+)(,bc ac ab c b a c b a 222)(2222---++=++ 练一练 A 组: 1.已知()5,3a b ab -==求2()a b +与223()a b +的值。
七年级数学下---平方差、完全平方公式专项练习题平方差:一、选择题1.平方差公式〔a+b〕〔a-b〕=a2-b2中字母a,b表示〔〕A.只能是数 B.只能是单项式 C.只能是多项式 D.以上都可以2.以下多项式的乘法中,可以用平方差公式计算的是〔〕A.〔a+b〕〔b+a〕 B.〔-a+b〕〔a-b C.〔13a+b〕〔b-13a〕 D.〔a2-b〕〔b2+a〕3.以下计算中,错误的有〔〕 A.1个 B.2个 C.3个 D.4个①〔3a+4〕〔3a-4〕=9a2-4;②〔2a2-b〕〔2a2+b〕=4a2-b2;③〔3-x〕〔x+3〕=x2-9;④〔-x+y〕·〔x+y〕=-〔x-y〕〔x+y〕=-x2-y2.4.假设x2-y2=30,且x-y=-5,那么x+y的值是〔〕A.5 B.6 C.-6 D.-5 二、填空题: 5、〔a+b-1〕〔a-b+1〕=〔_____〕2-〔_____〕2.6.〔-2x+y〕〔-2x-y〕=______.7.〔-3x2+2y2〕〔______〕=9x4-4y4.8.两个正方形的边长之和为5,边长之差为2,那么用较大的正方形的面积减去较小的正方形的面积,差是_____.三、计算题9.利用平方差公式计算:2023×2113.10.计算:〔a+2〕〔a2+4〕〔a4+16〕〔a-2〕.B卷:提高题1.计算:〔1〕〔2+1〕〔22+1〕〔24+1〕…〔22n+1〕+1〔n是正整数〕;〔2〕〔3+1〕〔32+1〕〔34+1〕…〔32021+1〕-401632.2.式计算:2021×2007-20212.3.解方程:x〔x+2〕+〔2x+1〕〔2x-1〕=5〔x2+3〕.〔1〕计算:22007200720082006-⨯.〔2〕计算:22007200820061⨯+.4.广场内有一块边长为2a米的正方形草坪,经统一规划后,南北方向要缩短3米,东西方向要加长3米,那么改造后的长方形草坪的面积是多少?5.以下运算正确的选项是〔〕 A.a3+a3=3a6 B.〔-a〕3·〔-a〕5=-a8C.〔-2a2b〕·4a=-24a6b3 D.〔-13a-4b〕〔13a-4b〕=16b2-19a26.计算:〔a+1〕〔a-1〕=______.C卷:课标新型题1.〔规律探究题〕x≠1,计算〔1+x〕〔1-x〕=1-x2,〔1-x〕〔1+x+x2〕=1-x3,〔1-x〕〔•1+x+x2+x3〕=1-x4.〔1〕观察以上各式并猜想:〔1-x〕〔1+x+x2+…+x n〕=______.〔n为正整数〕〔2〕根据你的猜想计算:①〔1-2〕〔1+2+22+23+24+25〕=______.②2+22+23+…+2n=______〔n为正整数〕.③〔x-1〕〔x99+x98+x97+…+x2+x+1〕=_______.〔3〕通过以上规律请你进展下面的探索:①〔a -b 〕〔a+b 〕=_______. ②〔a -b 〕〔a 2+ab+b 2〕=______. ③〔a -b 〕〔a 3+a 2b+ab 2+b 3〕=______.2.〔结论开放题〕请写出一个平方差公式,使其中含有字母m ,n 和数字4.完全平方公式变形的应用完全平方式常见的变形有:ab b a b a 2)(222-+=+;ab b a b a 2)(222+-=+ab b a b a 4)(22=--+)(;bc ac ab c b a c b a 222)(2222---++=++1、m 2+n 2-6m+10n+34=0,求m+n 的值2、0136422=+-++y x y x ,y x 、都是有理数,求y x 的值。
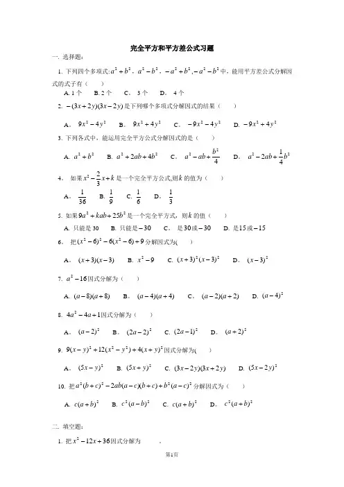
完全平方和平方差公式习题一. 选择题:1. 下列四个多项式:22b a +,22b a -,22b a +-,22b a --中,能用平方差公式分解因式的式子有( )A. 1个B. 2个 C 。
3个 D 。
4个2. )23)(23(y x y x -+-是下列哪个多项式分解因式的结果( )A 。
2249y x -B 。
2249y x +C 。
2249y x -- D. 2249y x +-3. 下列各式中,能运用完全平方公式分解因式的是( ) A. 22b a + B. 2242b ab a ++ C 。
422b ab a +- D 。
22412b ab a +- 4。
如果k x x +-322是一个完全平方公式,则k 的值为( ) A 。
361 B. 91 C. 61 D 。
31 5. 如果22259b kab a ++是一个完全平方式,则k 的值( )A. 只能是30B. 只能是30- C 。
是30或30- D. 是15或15-6。
把9)6(6)6(222+---x x 分解因式为( )A 。
)3)(3(-+x x B. 92-x C. 22)3()3(-+x x D 。
2)3(-x 7. 162-a 因式分解为( )A. )8)(8(+-a a B 。
)4)(4(+-a a C 。
)2)(2(+-a a D. 2)4(-a8. 1442+-a a 因式分解为( )A 。
2)2(-aB 。
2)22(-a C. 2)12(-a D 。
2)2(+a 9. 2222)(4)(12)(9y x y x y x ++-+-因式分解为( )A 。
2)5(y x - B. 2)5(y x + C. )23)(23(y x y x +- D. 2)25(y x -10. 把2222)())((2)(c a b c b c a ab c b a -++--+分解因式为( )A. 2)(b a c +B. 22)(b a c -C. 2)(b a c + D 。
平方差公式专项练习题A卷:基础题一、选择题1.平方差公式(a+b)(a-b)=a2-b2中字母a,b表示()A.只能是数B.只能是单项式C.只能是多项式D.以上都可以2.下列多项式的乘法中,可以用平方差公式计算的是()A.(a+b)(b+a)B.(-a+b)(a-b)C.(13a+b)(b-13a)D.(a2-b)(b2+a)3.下列计算中,错误的有()①(3a+4)(3a-4)=9a2-4;②(2a2-b)(2a2+b)=4a2-b2;③(3-x)(x+3)=x2-9;④(-x+y)·(x+y)=-(x-y)(x+y)=-x2-y2.A.1个B.2个C.3个D.4个4.若x2-y2=30,且x-y=-5,则x+y的值是()A.5 B.6 C.-6 D.-5二、填空题5.(-2x+y)(-2x-y)=______.6.(-3x2+2y2)(______)=9x4-4y4.7.(a+b-1)(a-b+1)=(_____)2-(_____)2.8.两个正方形的边长之和为5,边长之差为2,那么用较大的正方形的面积减去较小的正方形的面积,差是_____.三、计算题9.利用平方差公式计算:2023×2113.10.计算:(a+2)(a2+4)(a4+16)(a-2).B卷:提高题一、七彩题1.(多题-思路题)计算:(1)(2+1)(22+1)(24+1)…(22n+1)+1(n是正整数);(2)(3+1)(32+1)(34+1)…(32008+1)-401632.2.(一题多变题)利用平方差公式计算:2009×2007-20082.(1)一变:利用平方差公式计算:22007200720082006-⨯.(2)二变:利用平方差公式计算:22007 200820061⨯+.二、知识交叉题3.(科内交叉题)解方程:x(x+2)+(2x+1)(2x-1)=5(x2+3).三、实际应用题4.广场内有一块边长为2a米的正方形草坪,经统一规划后,南北方向要缩短3米,东西方向要加长3米,则改造后的长方形草坪的面积是多少?四、经典中考题5.(2007,,3分)下列运算正确的是()A.a3+a3=3a6B.(-a)3·(-a)5=-a8C.(-2a2b)·4a=-24a6b3D.(-13a-4b)(13a-4b)=16b2-19a26.(2008,,3分)计算:(a+1)(a-1)=______.C卷:课标新型题1.(规律探究题)已知x≠1,计算(1+x)(1-x)=1-x2,(1-x)(1+x+x2)=1-x3,(1-x)(•1+x+x2+x3)=1-x4.(1)观察以上各式并猜想:(1-x)(1+x+x2+…+x n)=______.(n为正整数)(2)根据你的猜想计算:①(1-2)(1+2+22+23+24+25)=______.②2+22+23+…+2n=______(n为正整数).③(x-1)(x99+x98+x97+…+x2+x+1)=_______.(3)通过以上规律请你进行下面的探索:①(a-b)(a+b)=_______.②(a-b)(a2+ab+b2)=______.③(a-b)(a3+a2b+ab2+b3)=______.2.(结论开放题)请写出一个平方差公式,使其中含有字母m,n和数字4.3.从边长为a 的大正方形纸板中挖去一个边长为b 的小正方形纸板后,•将剩下的纸板沿虚线裁成四个相同的等腰梯形,如图1-7-1所示,然后拼成一个平行四边形,如图1-7-2所示,分别计算这两个图形阴影部分的面积,结果验证了什么公式?请将结果与同伴交流一下.完全平方公式变形的应用完全平方式常见的变形有:ab b a b a 2)(222-+=+ab b a b a 2)(222+-=+ab b a b a 4)(22=--+)(bc ac ab c b a c b a 222)(2222---++=++1、已知m 2+n 2-6m+10n+34=0,求m+n 的值2、已知0136422=+-++y x y x ,y x 、都是有理数,求y x 的值。
公式变形【1 】一.基本题1.(-2x+y)(-2x-y)=______.2.(-3x2+2y2)(______)=9x4-4y4.3.(a+b-1)(a-b+1)=(_____)2-(_____)2.4.两个正方形的边长之和为5,边长之差为2,那么用较大的正方形的面积减去较小的正方形的面积,差是_____.5.应用平方差公式盘算:2023×2113.2009×2007-20082.6.盘算:(a+2)(a2+4)(a4+16)(a-2).(2+1)(22+1)(24+1)…(22n+1)+1(n是正整数);(3+1)(32+1)(34+1)…(32008+1)-401632.22007200720082006-⨯.22007200820061⨯+.7.解方程:x(x+2)+(2x+1)(2x-1)=5(x2+3).8(纪律探讨题)已知x≠1,盘算(1+x)(1-x)=1-x2,(1-x)(1+x+x2)=1-x3,(1-x)(•1+x+x2+x3)=1-x4.(1)不雅察以上各式并猜测:(1-x)(1+x+x2+…+x n)=______.(n为正整数)(2)依据你的猜测盘算:①(1-2)(1+2+22+23+24+25)=______.②2+22+23+…+2n=______(n为正整数).③(x-1)(x99+x98+x97+…+x2+x+1)=_______.(3)经由过程以上纪律请你进行下面的摸索:①(a-b)(a+b)=_______.②(a-b)(a2+ab+b2)=______.③(a-b)(a3+a2b+ab2+b3)=______.完整平方法罕有的变形有:abbaba2)(222-+=+abbaba2)(222+-=+abbaba4)(22=--+)(bcacabcbacba222)(2222---++=++1、已知m2+n2-6m+10n+34=0,求m+n的值2、已知0136422=+-++y x y x ,y x 、都是有理数,求y x 的值.3.已知 2()16,4,a b ab +==求223a b +与2()a b -的值.演习: ()5,3a b ab -==求2()a b +与223()a b +的值.2.已知6,4a b a b +=-=求ab 与22a b +的值.3、已知224,4a b a b +=+=求22a b 与2()a b -的值.4、已知(a +b)2=60,(a -b)2=80,求a 2+b 2及a b 的值5.已知6,4a b ab +==,求22223a b a b ab ++的值.6.已知222450x y x y +--+=,求21(1)2x xy --的值.7.已知16x x -=,求221x x+的值.8.0132=++x x ,求(1)221x x +(2)441xx +9试解释不管x,y 取何值,代数式226415x y x y ++-+的值老是正数.10.已知三角形ABC 的三边长分离为a,b,c 且a,b,c 知足等式22223()()a b c a b c ++=++,请解释该三角形是什么三角形?“整体思惟”在整式运算中的应用1.当代数式532++x x 的值为7时,求代数式2932-+x x 的值.2、已知2083-=x a ,1883-=x b ,1683-=x c ,求:代数式bc ac ab c b a ---++222的值.3.已知4=+y x ,1=xy ,求代数式)1)(1(22++y x 的值4.已知2=x 时,代数式10835=-++cx bx ax ,求当2-=x 时,代数式835-++cx bx ax 的值5.若123456786123456789⨯=M ,123456787123456788⨯=N试比较M 与N 的大小整式的乘法.平方差公式.完整平方公式.整式的除法 一.请精确填空1.若a 2+b 2-2a +2b +2=0,则a 2004+b 2005=________.2.一个长方形的长为(2a +3b ),宽为(2a -3b ),则长方形的面积为________.3.5-(a -b )2的最大值是________,当5-(a -b )2取最大值时,a 与b 的关系是________.x 2+41y 2成为一个完整平方法,则应加上________. 5.(4a m+1-6a m )÷2a m -1=________. ×31×(302+1)=________.x 2-5x +1=0,则x 2+21x=________.8.已知(2005-a )(2003-a )=1000,请你猜测(2005-a )2+(2003-a )2=________. 二.信任你的选择x 2-x -m =(x -m )(x +1)且x ≠0,则m 等于A.-1B.0C.110.(x +q )与(x +51)的积不含x 的一次项,猜测q 应是A.5B.51C.-51D.-511.下列四个算式:①4x 2y 4÷41xy =xy 3;②16a 6b 4c ÷8a 3b 2=2a 2b 2c ;③9x 8y 2÷3x 3y =3x 5y ; ④(12m 3+8m 2-4m )÷(-2m )=-6m 2+4m +2,个中精确的有12.设(x m -1y n +2)·(x 5m y -2)=x 5y 3,则m n 的值为 A.1B.-1C.3D.-313.盘算[(a 2-b 2)(a 2+b 2)]2等于A.a 4-2a 2b 2+b 4B.a 6+2a 4b 4+b 6C.a 6-2a 4b 4+b 6D.a 8-2a 4b 4+b 814.已知(a +b )2=11,ab =2,则(a -b )2的值是 A.11 B.3C.5x 2-7xy +M 是一个完整平方法,那么M 是 A.27y 2B.249y 2C.449y 2y 2 x ,y 互为不等于0的相反数,n 为正整数,你以为精确的是A.x n.y n必定是互为相反数 B.(x1)n .(y 1)n 必定是互为相反数C.x 2n .y 2n 必定是互为相反数D.x 2n -1.-y 2n -1必定相等 三.考核你的根本功(1)(a -2b +3c )2-(a +2b -3c )2;(2)[ab (3-b )-2a (b -21b 2)](-3a 2b 3);(3)-2100×100×(-1)2005÷(-1)-5;(4)[(x +2y )(x -2y )+4(x -y )2-6x ]÷6x .18.(6分)解方程 x (9x -5)-(3x -1)(3x +1)=5. 四.生涯中的数学×106 m/h,请你推算一下第二宇宙速度是飞机速度的若干倍?五.探讨拓展与应用 20.盘算.(2+1)(22+1)(24+1)=(2-1)(2+1)(22+1)(24+1)=(22-1)(22+1)(24+1) =(24-1)(24+1)=(28-1). 依据上式的盘算办法,请盘算(3+1)(32+1)(34+1)…(332+1)-2364的值.用恰当的办法盘算 (1)20022003200220022⨯-(2)2222221247484950-++-+-(3)⎪⎭⎫ ⎝⎛-⎪⎭⎫ ⎝⎛-⎪⎭⎫ ⎝⎛-⎪⎭⎫ ⎝⎛-2222200411411311211 (4)()()()()1212121264842++++整合与拓展一 变号后应用:()()()()()2525555522+-=--=-+-=---b b b b b b二 交流地位后应用: ()()()()2255555b b b b b -=--+-=---三 持续应用:()()()()()4222111111xx x xx x -=+-=+-+四 整体应用:()()()[]()1111222-+=-+=-+++b a b a b a b a 五 逆向应用:2222221247484950-++-+-=()()()()()()12124748474849504950-+++-++-+()127522599339599=⨯+=++=六 先拆项再应用:()()99964100002100210021009810222=-=-=-+=⨯七 先添因式再应用:()()()()1212121264842++++=()()()()1212121212264422-+++-=()()()()()31231212312121212864646444-=+-=++-。
平方差公式专项练习题A卷:基础题一、选择题1.平方差公式(a+b)(a-b)=a2-b2中字母a,b表示()A.只能是数B.只能是单项式C.只能是多项式D.以上都可以2.下列多项式的乘法中,可以用平方差公式计算的是()A.(a+b)(b+a)B.(-a+b)(a-b)C.(13a+b)(b-13a)D.(a2-b)(b2+a)3.下列计算中,错误的有()①(3a+4)(3a-4)=9a2-4;②(2a2-b)(2a2+b)=4a2-b2;③(3-x)(x+3)=x2-9;④(-x+y)·(x+y)=-(x-y)(x+y)=-x2-y2.A.1个B.2个C.3个D.4个4.若x2-y2=30,且x-y=-5,则x+y的值是()A.5 B.6 C.-6 D.-5二、填空题5.(-2x+y)(-2x-y)=______.6.(-3x2+2y2)(______)=9x4-4y4.7.(a+b-1)(a-b+1)=(_____)2-(_____)2.8.两个正方形的边长之和为5,边长之差为2,那么用较大的正方形的面积减去较小的正方形的面积,差是_____.三、计算题9.利用平方差公式计算:2023×2113.10.计算:(a+2)(a2+4)(a4+16)(a-2).B卷:提高题一、七彩题1.(多题-思路题)计算:(1)(2+1)(22+1)(24+1)…(22n+1)+1(n是正整数);(2)(3+1)(32+1)(34+1)…(32008+1)-401632.2.(一题多变题)利用平方差公式计算:2009×2007-20082.(1)一变:利用平方差公式计算:22007200720082006-⨯.(2)二变:利用平方差公式计算:22007 200820061⨯+.二、知识交叉题3.(科内交叉题)解方程:x(x+2)+(2x+1)(2x-1)=5(x2+3).三、实际应用题4.广场内有一块边长为2a米的正方形草坪,经统一规划后,南北方向要缩短3米,东西方向要加长3米,则改造后的长方形草坪的面积是多少?四、经典中考题5.(2007,,3分)下列运算正确的是()A.a3+a3=3a6B.(-a)3·(-a)5=-a8C.(-2a2b)·4a=-24a6b3D.(-13a-4b)(13a-4b)=16b2-19a26.(2008,,3分)计算:(a+1)(a-1)=______.C卷:课标新型题1.(规律探究题)已知x≠1,计算(1+x)(1-x)=1-x2,(1-x)(1+x+x2)=1-x3,(1-x)(•1+x+x2+x3)=1-x4.(1)观察以上各式并猜想:(1-x)(1+x+x2+…+x n)=______.(n为正整数)(2)根据你的猜想计算:①(1-2)(1+2+22+23+24+25)=______.②2+22+23+…+2n=______(n为正整数).③(x-1)(x99+x98+x97+…+x2+x+1)=_______.(3)通过以上规律请你进行下面的探索:①(a-b)(a+b)=_______.②(a-b)(a2+ab+b2)=______.③(a-b)(a3+a2b+ab2+b3)=______.2.(结论开放题)请写出一个平方差公式,使其中含有字母m,n和数字4.3.从边长为a 的大正方形纸板中挖去一个边长为b 的小正方形纸板后,•将剩下的纸板沿虚线裁成四个相同的等腰梯形,如图1-7-1所示,然后拼成一个平行四边形,如图1-7-2所示,分别计算这两个图形阴影部分的面积,结果验证了什么公式?请将结果与同伴交流一下.完全平方公式变形的应用完全平方式常见的变形有:ab b a b a 2)(222-+=+ab b a b a 2)(222+-=+ab b a b a 4)(22=--+)(bc ac ab c b a c b a 222)(2222---++=++1、已知m 2+n 2-6m+10n+34=0,求m+n 的值2、已知0136422=+-++y x y x ,y x 、都是有理数,求y x 的值。
完整版)平方差公式与完全平方公式练习题1.计算以下多项式的积:1) $x^2-1$2) $m^2-4$3) $(2x)^2-1$4) $x^2-25y^2$2.哪些多项式可以用平方差公式相乘?1) 可以2) 可以3) 可以4) 可以5) 可以6) 可以3.计算:1) $9x^2-4$2) $4a^2-3b^2$3) $4y^2-x^2$4.简便计算:1) $9996$2) $-y^2-3y+10$5.计算:1) $4y^2-xy-2x^2$2) $25-4x^2$3) $-0.5x^4+0.25x^2$4) $12x$5) $.75$6) $9999$6.证明:两个连续奇数的积加上1一定是一个偶数的平方。
假设两个连续奇数为$(2n+1)$和$(2n+3)$,它们的积为$(2n+1)(2n+3)=4n^2+8n+3$,加上1后得到$4n^2+8n+4=(2n+2)^2$,是一个偶数的平方。
7.求证:$(m+5)^2-(m-7)^2$一定是24的倍数。
m+5)^2-(m-7)^2=(m^2+10m+25)-(m^2-14m+49)=24m-24$。
是24的倍数。
完全平方公式(一)1.应用完全平方公式计算:1) $16m^2+8mn+n^2$2) $y^2-6y+9$3) $a^2+2ab+b^2$4) $b^2-2ab+a^2$2.简便计算:1) $$2) $9801$3) $50$4) $50$3.计算:1) $16x^2-8xy+y^2$2) $9a^4-24a^3b+16a^2b^2$3) $10xy^2-y^4$4) $-9a^2-2ab-3b^2$5) $6x^2-3xy+3y^2$4.在下列多项式中,哪些是由完全平方公式得来的?1) 是2) 是3) 不是4) 是5) 是完全平方公式(二)1.运用法则:1) $a+\dfrac{b-c}{2}$2) $a-\dfrac{b-c}{2}$3) $a-\dfrac{b+c}{2}$4) $a+\dfrac{b+c}{2}$2.判断下列运算是否正确:1) 正确2) 错误3) 正确4) 错误3.计算:1) $x^2-4y^2+12x-12y+9$2) $a^2+b^2+c^2+2ab+2ac+2bc$3) $6x+9$4) $2x^2+16x+19$4.计算:dfrac{1}{x^2}+\dfrac{1}{x}+\dfrac{1}{4}$1+\dfrac{1}{x}+\dfrac{1}{x^2}$dfrac{1}{c^2}+\dfrac{1}{c}+\dfrac{1}{4}$1.求(a-b+2c)²和(a+b+c)²-(a-b-c)²的结果。
平方差公式专项练习题A卷:基础题一、选择题1.平方差公式a+ba-b=a2-b2中字母a,b表示A.只能是数B.只能是单项式C.只能是多项式D.以上都可以2.下列多项式的乘法中,可以用平方差公式计算的是A.a+bb+a B.-a+ba-bC.13a+bb-13a D.a2-bb2+a3.下列计算中,错误的有①3a+43a-4=9a2-4;②2a2-b2a2+b=4a2-b2;③3-xx+3=x2-9;④-x+y·x+y=-x-yx+y=-x2-y2.A.1个B.2个C.3个D.4个4.若x2-y2=30,且x-y=-5,则x+y的值是A.5 B.6 C.-6 D.-5二、填空题5.-2x+y-2x-y=______.6.-3x2+2y2______=9x4-4y4.7.a+b-1a-b+1=_____2-_____2.8.两个正方形的边长之和为5,边长之差为2,那么用较大的正方形的面积减去较小的正方形的面积,差是_____.三、计算题9.利用平方差公式计算:2023×2113.10.计算:a+2a2+4a4+16a-2.B卷:提高题一、七彩题1.多题-思路题计算:12+122+124+1…22n+1+1n是正整数;23+132+134+1…32008+1-401632.2.一题多变题利用平方差公式计算:2009×2007-20082.1一变:利用平方差公式计算:22007200720082006-⨯.2二变:利用平方差公式计算:22007 200820061⨯+.二、知识交叉题3.科内交叉题解方程:xx+2+2x+12x-1=5x2+3.三、实际应用题4.广场内有一块边长为2a米的正方形草坪,经统一规划后,南北方向要缩短3米,东西方向要加长3米,则改造后的长方形草坪的面积是多少四、经典中考题5.2007,泰安,3分下列运算正确的是A.a3+a3=3a6B.-a3·-a5=-a8C.-2a2b·4a=-24a6b3D.-13a-4b13a-4b=16b2-19a26.2008,海南,3分计算:a+1a-1=______.C卷:课标新型题1.规律探究题已知x≠1,计算1+x1-x=1-x2,1-x1+x+x2=1-x3, 1-x•1+x+x2+x3=1-x4.1观察以上各式并猜想:1-x1+x+x2+…+x n=______.n为正整数2根据你的猜想计算:①1-21+2+22+23+24+25=______.②2+22+23+…+2n=______n为正整数.③x-1x99+x98+x97+…+x2+x+1=_______.3通过以上规律请你进行下面的探索:①a-ba+b=_______.②a-ba2+ab+b2=______.③a-ba3+a2b+ab2+b3=______.2.结论开放题请写出一个平方差公式,使其中含有字母m,n和数字4.3.从边长为a 的大正方形纸板中挖去一个边长为b 的小正方形纸板后,•将剩下的纸板沿虚线裁成四个相同的等腰梯形,如图1-7-1所示,然后拼成一个平行四边形,如图1-7-2所示,分别计算这两个图形阴影部分的面积,结果验证了什么公式 请将结果与同伴交流一下.完全平方公式变形的应用完全平方式常见的变形有:ab b a b a 2)(222-+=+ab b a b a 2)(222+-=+ab b a b a 4)(22=--+)(bc ac ab c b a c b a 222)(2222---++=++1、已知m 2+n 2-6m+10n+34=0,求m+n 的值2、已知0136422=+-++y x y x ,y x 、都是有理数,求y x 的值;3.已知 2()16,4,a b ab +==求223a b +与2()a b -的值;练一练 A 组:1.已知()5,3a b ab -==求2()a b +与223()a b +的值;2.已知6,4a b a b +=-=求ab 与22a b +的值;3、已知224,4a b a b +=+=求22a b 与2()a b -的值;4、已知a +b 2=60,a -b 2=80,求a 2+b 2及a b 的值B 组:5.已知6,4a b ab +==,求22223a b a b ab ++的值;6.已知222450x y x y +--+=,求21(1)2x xy --的值;7.已知16x x -=,求221x x +的值;8、0132=++x x ,求1221x x +2441x x +9、试说明不论x,y 取何值,代数式226415x y x y ++-+的值总是正数;C 组:10、已知三角形ABC 的三边长分别为a,b,c 且a,b,c 满足等式22223()()a b c a b c ++=++,请说明该三角形是什么三角形整式的乘法、平方差公式、完全平方公式、整式的除法B 卷综合运用题 姓名:一、请准确填空1、若a 2+b 2-2a +2b +2=0,则a 2004+b 2005=________.2、一个长方形的长为2a +3b ,宽为2a -3b ,则长方形的面积为________.3、5-a -b 2的最大值是________,当5-a -b 2取最大值时,a 与b 的关系是________.4.要使式子+41y 2成为一个完全平方式,则应加上________.5.4a m+1-6a m ÷2a m -1=________.×31×302+1=________.7.已知x 2-5x +1=0,则x 2+21x =________.8.已知2005-a 2003-a =1000,请你猜想2005-a 2+2003-a 2=________.二、相信你的选择9.若x 2-x -m =x -mx +1且x ≠0,则m 等于A.-110.x +q 与x +51的积不含x 的一次项,猜测q 应是B.51C.-51D.-511.下列四个算式:①4x 2y 4÷41xy =xy 3;②16a 6b 4c ÷8a 3b 2=2a 2b 2c ;③9x 8y 2÷3x 3y =3x 5y ;④12m 3+8m 2-4m ÷-2m =-6m 2+4m +2,其中正确的有个 个 个 个12.设x m -1y n +2·x 5m y -2=x 5y 3,则m n 的值为B.-1 D.-313.计算a 2-b 2a 2+b 22等于-2a 2b 2+b 4 +2a 4b 4+b 6 -2a 4b 4+b 6 -2a 4b 4+b 814.已知a +b 2=11,ab =2,则a -b 2的值是15.若x 2-7xy +M 是一个完全平方式,那么M 是27 249 44916.若x ,y 互为不等于0的相反数,n 为正整数,你认为正确的是、y n 一定是互为相反数 B.x 1n 、y 1n一定是互为相反数、y 2n 一定是互为相反数 -1、-y 2n -1一定相等三、考查你的基本功17.计算1a -2b +3c 2-a +2b -3c 2;(2)ab 3-b -2ab -21b 2-3a 2b 3;(3)-2100××-12005÷-1-5;(4)x +2yx -2y +4x -y 2-6x ÷6x .18.6分解方程x 9x -5-3x -13x +1=5.四、生活中的数学19.6分如果运载人造星球的火箭的速度超过 km/s 俗称第二宇宙速度,则人造星球将会挣脱地球的束缚,成为绕太阳运行的恒星.一架喷气式飞机的速度为×106 m/h,请你推算一下第二宇宙速度是飞机速度的多少倍五、探究拓展与应用20.计算.2+122+124+1=2-12+122+124+1=22-122+124+1=24-124+1=28-1.根据上式的计算方法,请计算3+132+134+1…332+1-2364的值. “整体思想”在整式运算中的运用“整体思想”是中学数学中的一种重要思想,贯穿于中学数学的全过程,有些问题局部求解各个击破,无法解决,而从全局着眼,整体思考,会使问题化繁为简,化难为易,思路清淅,演算简单,复杂问题迎刃而解,现就“整体思想”在整式运算中的运用,略举几例解析如下,供同学们参考:1、当代数式532++x x 的值为7时,求代数式2932-+x x 的值.2、已知2083-=x a ,1883-=x b ,1683-=x c ,求:代数式bc ac ab c b a ---++222的值;3、已知4=+y x ,1=xy ,求代数式)1)(1(22++y x 的值4、已知2=x 时,代数式10835=-++cx bx ax ,求当2-=x 时,代数式 835-++cx bx ax 的值5、若123456786123456789⨯=M ,123456787123456788⨯=N试比较M 与N 的大小6、已知012=-+a a ,求2007223++a a 的值.。
平方差公式和完全平方公式(习题)例题示范例1:计算:23(1)(1)2(1)a a a -+---+.【操作步骤】(1)观察结构划部分:23(1)(1)2(1)a a a -+---+①②(2)有序操作依法则:辨识运算类型,依据对应的法则运算.第一部分:a -和a -符号相同,是公式里的“a ”,1和-1符号相反,是公式里的“b ”,可以用平方差公式;第二部分:可以用完全平方公式,利用口诀得出答案.(3)每步推进一点点.【过程书写】解:原式2223()12(21)a a a ⎡⎤=---++⎣⎦223(1)242a a a =----2233242a a a =----245a a =-- 巩固练习1.下列多项式乘法中,不能用平方差公式计算的是()A .()()x y y x ---+B .()()xy z xy z +-C .(2)(2)a b a b --+D .1122x y y x ⎛⎫⎛⎫--- ⎪⎪⎝⎭⎝⎭2.下列各式一定成立的是()A .222(2)42x y x xy y -=-+B .22()()a b b a -=-C .2221124a b a ab b ⎛⎫-=++ ⎪⎝⎭D .222(2)4x y x y +=+3.若2222(23)412x y x xy n y +=++,则n =__________.4.若222()44ax y x xy y -=++,则a =________.5.计算:①112233m n n m ⎛⎫⎛⎫--- ⎪⎪⎝⎭⎝⎭;②22()()()y x x y x y -++;③22(32)4x y y ---;④2()a b c +-;⑤296;⑥2112113111-⨯.6.运用乘法公式计算:①2(2)(2)(2)x y x y x y -+-+;②22(1)2(24)a a a +--+;③(231)(231)x y x y +--+;④3()a b -;⑤222233m m ⎛⎫⎛⎫+-- ⎪ ⎪⎝⎭⎝⎭;⑥2210199-.思考小结1.在利用平方差公式计算时要找准公式里面的a 和b ,我们把完全相同的“项”看作公式里的“_____”,只有符号不同的“项”看作公式里的“_____”,比如()()+---,_______是公式里的“a”,_______是公式里的“b”;同样x y z x y z在利用完全平方公式的时候,如果底数首项前面有负号,要把底数转为它的______去处理,比如22a b--=()(_______)2.根据两大公式填空:【参考答案】巩固练习1.C2.B3.±3。
平方差公式专项练习题A卷:基础题一、选择题1.平方差公式(a+b)(a-b)=a2-b2中字母a,b表示()A.只能是数B.只能是单项式C.只能是多项式D.以上都可以2.下列多项式的乘法中,可以用平方差公式计算的是()A.(a+b)(b+a)B.(-a+b)(a-b)C.(13a+b)(b-13a)D.(a2-b)(b2+a)3.下列计算中,错误的有()①(3a+4)(3a-4)=9a2-4;②(2a2-b)(2a2+b)=4a2-b2;③(3-x)(x+3)=x2-9;④(-x+y)·(x+y)=-(x-y)(x+y)=-x2-y2.A.1个B.2个C.3个D.4个4.若x2-y2=30,且x-y=-5,则x+y的值是()A.5 B.6 C.-6 D.-5二、填空题5.(-2x+y)(-2x-y)=______.6.(-3x2+2y2)(______)=9x4-4y4.7.(a+b-1)(a-b+1)=(_____)2-(_____)2.8.两个正方形的边长之和为5,边长之差为2,那么用较大的正方形的面积减去较小的正方形的面积,差是_____.三、计算题9.利用平方差公式计算:2023×2113.10.计算:(a+2)(a2+4)(a4+16)(a-2).B卷:提高题一、七彩题1.(多题-思路题)计算:(1)(2+1)(22+1)(24+1)…(22n+1)+1(n是正整数);(2)(3+1)(32+1)(34+1)…(32008+1)-401632.2.(一题多变题)利用平方差公式计算:2009×2007-20082.(1)一变:利用平方差公式计算:22007200720082006-⨯.(2)二变:利用平方差公式计算:22007 200820061⨯+.二、知识交叉题3.(科内交叉题)解方程:x(x+2)+(2x+1)(2x-1)=5(x2+3).三、实际应用题4.广场内有一块边长为2a米的正方形草坪,经统一规划后,南北方向要缩短3米,东西方向要加长3米,则改造后的长方形草坪的面积是多少?四、经典中考题5.(2007,泰安,3分)下列运算正确的是()A.a3+a3=3a6B.(-a)3·(-a)5=-a8C.(-2a2b)·4a=-24a6b3D.(-13a-4b)(13a-4b)=16b2-19a26.(2008,海南,3分)计算:(a+1)(a-1)=______.C卷:课标新型题1.(规律探究题)已知x≠1,计算(1+x)(1-x)=1-x2,(1-x)(1+x+x2)=1-x3,(1-x)(•1+x+x2+x3)=1-x4.(1)观察以上各式并猜想:(1-x)(1+x+x2+…+x n)=______.(n为正整数)(2)根据你的猜想计算:①(1-2)(1+2+22+23+24+25)=______.②2+22+23+…+2n=______(n为正整数).③(x-1)(x99+x98+x97+…+x2+x+1)=_______.(3)通过以上规律请你进行下面的探索:①(a-b)(a+b)=_______.②(a-b)(a2+ab+b2)=______.③(a-b)(a3+a2b+ab2+b3)=______.2.(结论开放题)请写出一个平方差公式,使其中含有字母m,n和数字4.3.从边长为a的大正方形纸板中挖去一个边长为b的小正方形纸板后,•将剩下的纸板沿虚线裁成四个相同的等腰梯形,如图1-7-1所示,然后拼成一个平行四边形,如图1-7-2所示,分别计算这两个图形阴影部分的面积,结果验证了什么公式?请将结果与同伴交流一下.完全平方公式变形的应用完全平方式常见的变形有:ab b a b a 2)(222-+=+ab b a b a 2)(222+-=+ab b a b a 4)(22=--+)(bc ac ab c b a c b a 222)(2222---++=++1、已知m 2+n 2-6m+10n+34=0,求m+n 的值2、已知0136422=+-++y x y x ,y x 、都是有理数,求y x 的值。
平方差公式专项练习题A卷:基础题一、选择题1.平方差公式(a+b)(a-b)=a2-b2中字母a,b表示()A.只能是数B.只能是单项式C.只能是多项式D.以上都可以2.下列多项式的乘法中,可以用平方差公式计算的是()A.(a+b)(b+a)B.(-a+b)(a-b)C.(13a+b)(b-13a)D.(a2-b)(b2+a)3.下列计算中,错误的有()①(3a+4)(3a-4)=9a2-4;②(2a2-b)(2a2+b)=4a2-b2;③(3-x)(x+3)=x2-9;④(-x+y)·(x+y)=-(x-y)(x+y)=-x2-y2.A.1个B.2个C.3个D.4个4.若x2-y2=30,且x-y=-5,则x+y的值是()A.5 B.6 C.-6 D.-5二、填空题5.(-2x+y)(-2x-y)=______.6.(-3x2+2y2)(______)=9x4-4y4.7.(a+b-1)(a-b+1)=(_____)2-(_____)2.8.两个正方形的边长之和为5,边长之差为2,那么用较大的正方形的面积减去较小的正方形的面积,差是_____.三、计算题9.计算:(1)2023×2113.(2)(a+2)(a2+4)(a4+16)(a-2).B卷:提高题1.计算:(1)(2+1)(22+1)(24+1)…(22n+1)+1(n是正整数);(2)(3+1)(32+1)(34+1)…(32008+1)-401632.2.(一题多变题)利用平方差公式计算:2009×2007-20082.(1)一变:利用平方差公式计算:22007200720082006-⨯.(2)二变:利用平方差公式计算:22007200820061⨯+.3.解方程:x(x+2)+(2x+1)(2x-1)=5(x2+3).三、实际应用题4.广场内有一块边长为2a米的正方形草坪,经统一规划后,南北方向要缩短3米,东西方向要加长3米,则改造后的长方形草坪的面积是多少?四、经典中考题5.下列运算正确的是()A.a3+a3=3a6B.(-a)3·(-a)5=-a8C.(-2a2b)·4a=-24a6b3D.(-13a-4b)(13a-4b)=16b2-19a26.计算:(a+1)(a-1)=______.C卷:课标新型题1.(规律探究题)已知x≠1,计算(1+x)(1-x)=1-x2,(1-x)(1+x+x2)=1-x3,(1-x)(•1+x+x2+x3)=1-x4.(1)观察以上各式并猜想:(1-x)(1+x+x2+…+x n)=______.(n为正整数)(2)根据你的猜想计算:①(1-2)(1+2+22+23+24+25)=______.②2+22+23+…+2n =______(n 为正整数).③(x -1)(x 99+x 98+x 97+…+x 2+x+1)=_______.(3)通过以上规律请你进行下面的探索:①(a -b )(a+b )=_______. ②(a -b )(a 2+ab+b 2)=______. ③(a -b )(a 3+a 2b+ab 2+b 3)=______.完全平方公式变形的应用完全平方式常见的变形有:ab b a b a 2)(222-+=+ab b a b a 2)(222+-=+ab b a b a 4)(22=--+)(bc ac ab c b a c b a 222)(2222---++=++1、已知m 2+n 2-6m+10n+34=0,求m+n 的值2、已知0136422=+-++y x y x ,y x 、都是有理数,求y x 的值。
平方差公式专项练习题一、选择题1.平方差公式(a+b)(a-b)=a2-b2中字母a,b表示()A.只能是数 B.只能是单项式 C.只能是多项式 D.以上都可以2.下列多项式的乘法中,可以用平方差公式计算的是()A.(a+b)(b+a) B.(-a+b)(a-b C.(13a+b)(b-13a) D.(a2-b)(b2+a)3.下列计算中,错误的有()①(3a+4)(3a-4)=9a2-4;②(2a2-b)(2a2+b)=4a2-b2;③(3-x)(x+3)=x2-9;④(-x+y)·(x+y)=-(x-y)(x+y)=-x2-y2.A.1个 B.2个 C.3个 D.4个4.若x2-y2=30,且x-y=-5,则x+y的值是()A.5 B.6 C.-6 D.-55.计算:(1)(2+1)(22+1)(24+1)…(22n+1)+1(n是正整数);(2)(3+1)(32+1)(34+1)…(32008+1)-401632.6.利用平方差公式计算:2009×2007-20082.(1)一变:22007200720082006-⨯.(2)二变:22007 200820061⨯+.7.(规律探究题)已知x≠1,计算(1+x)(1-x)=1-x2,(1-x)(1+x+x2)=1-x3,(1-x)(1+x+x2+x3)=1-x4 ……(1)观察以上各式并猜想:(1-x)(1+x+x2+……+x n)=______.(n为正整数)(2)根据你的猜想计算:①(1-2)(1+2+22+23+24+25)=______.② 2+22+23+……+2n=______(n为正整数).③(x-1)(x99+x98+x97+……+x2+x+1)=_______.(3)通过以上规律请你进行下面的探索:①(a-b)(a+b)=_______.②(a-b)(a2+ab+b2)=______.③(a-b)(a3+a2b+ab2+b3)=______.完全平方式常见的变形有:ab b a b a 2)(222-+=+ ab b a b a 2)(222+-=+abb a b a 4)(22=--+)(bc ac ab c b a c b a 222)(2222---++=++1.已知()5,3a b ab -==求2()a b +与223()a b +的值。
2.已知6,4a b a b +=-=求ab 与22a b +的值。
3.已知224,4a b a b +=+=求22a b 与2()a b -的值。
4.已知(a +b)2=60,(a -b)2=80,求a 2+b 2及a b 的值5.已知6,4a b ab +==,求22223a b a b ab ++的值。
6.已知 2()16,4,a b ab +==求223a b +与2()a b -的值。
7.已知16x x-=,求221x x+的值 8.0132=++x x ,求(1)221xx +(2)441xx +9.已知m 2+n 2-6m+10n+34=0,求m+n 的值 10.已知0136422=+-++y x y x ,y x 、都是有理数,求yx的值。
11.已知222450x y x y +--+=,求21(1)2x xy --的值。
12.试说明不论x,y 取何值,代数式226415x y x y ++-+的值总是正数。
13、已知三角形ABC 的三边长分别为a,b,c 且a,b,c 满足等式22223()()a b c a b c ++=++,请说明该三角形是什么三角形?整式的乘法、平方差公式、完全平方公式、整式的除法 一、填空1、若a 2+b 2-2a +2b +2=0,则a 2004+b 2005=________.2、一个长方形的长为(2a +3b ),宽为(2a -3b ),则长方形的面积为________.3、5-(a -b )2的最大值是________,当5-(a -b )2取最大值时,a 与b 的关系是________.4.要使式子0.36x 2+41y 2成为一个完全平方式,则应加上________.5.(4a m+1-6a m )÷2a m -1=________. 6.29×31×(302+1)=________.7.已知x 2-5x +1=0,则x 2+21x=________.8.已知(2005-a )(2003-a )=1000,请你猜想(2005-a )2+(2003-a )2=________. 二、相信你的选择9.若x 2-x -m =(x -m )(x +1)且x ≠0,则m 等于A.-1B.0C.1D.210.(x +q )与(x +51)的积不含x 的一次项,猜测q 应是A.5B.51C.-51D.-511.下列四个算式:①4x 2y 4÷41xy =xy 3;②16a 6b 4c ÷8a 3b 2=2a 2b 2c ;③9x 8y 2÷3x 3y =3x 5y ; ④(12m 3+8m 2-4m )÷(-2m )=-6m 2+4m +2,其中正确的有A.0个B.1个C.2个D.3个 12.设(x m -1y n +2)·(x 5m y -2)=x 5y 3,则m n 的值为 A.1 B.-1 C.3 D.-313.计算[(a 2-b 2)(a 2+b 2)]2等于 A.a 4-2a 2b 2+b 4 B.a 6+2a 4b 4+b 6 C.a 6-2a 4b 4+b 6 D.a 8-2a 4b 4+b 8 14.已知(a +b )2=11,ab =2,则(a -b )2的值是 A.11 B.3 C.5 D.19 15.若x 2-7xy +M 是一个完全平方式,那么M 是 A.27y 2 B.249y 2 C.449y 2 D.49y 2 16.若x ,y 互为不等于0的相反数,n 为正整数,你认为正确的是 A.x n 、y n 一定是互为相反数 B.(x1)n、(y 1)n 一定是互为相反数C.x 2n 、y 2n 一定是互为相反数D.x 2n -1、-y 2n -1一定相等 1.下列多项式乘法,能用平方差公式进行计算的是( )A.(x+y)(-x -y)B.(2x+3y)(2x -3z)C.(-a -b)(a -b)D.(m -n)(n -m) 2.下列计算正确的是( )A.(2x+3)(2x -3)=2x 2-9 B.(x+4)(x -4)=x 2-4 C.(5+x)(x -6)=x 2-30 D.(-1+4b)(-1-4b)=1-16b 23.下列多项式乘法,不能用平方差公式计算的是( )A.(-a -b)(-b+a)B.(xy+z)(xy -z)C.(-2a -b)(2a+b)D.(0.5x -y)(-y -0.5x)4.(4x 2-5y)需乘以下列哪个式子,才能使用平方差公式进行计算( ) A.-4x 2-5y B.-4x 2+5y C.(4x 2-5y)2 D.(4x+5y)25.a 4+(1-a)(1+a)(1+a 2)的计算结果是( )A.-1B.1C.2a 4-1D.1-2a 4 6.下列各式运算结果是x 2-25y 2的是( )A.(x+5y)(-x+5y)B.(-x -5y)(-x+5y)C.(x -y)(x+25y)D.(x -5y)(5y -x) 三、考查你的基本功17.计算(1)(a -2b +3c )2-(a +2b -3c )2;(2)[ab (3-b )-2a (b -21b 2)](-3a 2b 3);(3)-2100×0.5100×(-1)2005÷(-1)-5;(4)[(x +2y )(x -2y )+4(x -y )2-6x ]÷6x .18.(6分)解方程x (9x -5)-(3x -1)(3x +1)=5.五、探究拓展与应用 20.计算.(2+1)(22+1)(24+1)=(2-1)(2+1)(22+1)(24+1)=(22-1)(22+1)(24+1) =(24-1)(24+1)=(28-1).根据上式的计算方法,请计算(3+1)(32+1)(34+1)…(332+1)-2364的值.1.当代数式532++x x 的值为7时,求代数式2932-+x x 的值.2.已知2083-=x a ,1883-=x b ,1683-=x c ,求:代数式bc ac ab c b a ---++222的值。
3.已知4=+y x ,1=xy ,求代数式)1)(1(22++y x 的值4.已知2=x 时,代数式10835=-++cx bx ax , 求当2-=x 时,代数式835-++cx bx ax 的值5.已知012=-+a a ,求2007223++a a 的值.6.计算(a+1)(a-1)(2a +1)(4a +1)(8a +1).7.计算:2481511111(1)(1)(1)(1)22222+++++. 8.计算:22222110099989721-+-++- .9.计算:2222211111(1)(1)(1)(1)(1)23499100-----.平方差公式基础题一、选择题。