哈工大土木工程研究生录取名单2013
- 格式:doc
- 大小:164.50 KB
- 文档页数:5
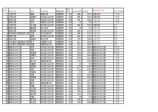
姓名毕业院校考试方式初试成绩复试总成绩总成绩拟录取专业奖学金等级谭真暨南大学全国统考381 226.2 607.2 工程力学二等奖梁明阳哈尔滨工业大学全国统考326 209.2 535.2 工程力学三等奖王军哈尔滨工业大学全国统考338 190.4 528.4 工程力学三等奖王洋内蒙古工业大学全国统考342 184 526 工程力学三等奖王义振哈尔滨工业大学全国统考337 185.8 522.8 工程力学其它童庆海四川大学全国统考361 157 518 工程力学其它席早阳哈尔滨工业大学全国统考345 169.8 514.8 工程力学其它王海东北石油大学全国统考345 169.2 514.2 工程力学其它赵琦哈尔滨工业大学全国统考353 160.2 513.2 工程力学其它田始轩四川大学全国统考334 175.8 509.8 工程力学其它罗飞太原理工大学全国统考339 184.2 523.2 固体力学其它朱雷安徽农业大学全国统考339 170.2 509.2 固体力学其它李丹哈尔滨工业大学推荐免试422 247.4 669.4 建筑与土木工程特等奖刘琪哈尔滨工业大学推荐免试422 243.2 665.2 建筑与土木工程特等奖李清朋哈尔滨工业大学推荐免试422 235.6 657.6 建筑与土木工程特等奖邓峥云哈尔滨工业大学推荐免试422 222.8 644.8 建筑与土木工程一等奖林涛哈尔滨工业大学推荐免试422 219.6 641.6 建筑与土木工程一等奖陈小华西南科技大学推荐免试422 216.2 638.2 建筑与土木工程一等奖刘鹏宇哈尔滨工业大学推荐免试422 215 637 建筑与土木工程一等奖范恒申哈尔滨工业大学推荐免试422 213.8 635.8 建筑与土木工程一等奖李阳哈尔滨工业大学推荐免试422 213.4 635.4 建筑与土木工程一等奖何晓云哈尔滨工业大学推荐免试422 213 635 建筑与土木工程一等奖刘强哈尔滨工业大学推荐免试422 212.8 634.8 建筑与土木工程一等奖李晓倩哈尔滨工业大学推荐免试422 212.4 634.4 建筑与土木工程一等奖张璐哈尔滨工业大学推荐免试422 205.6 627.6 建筑与土木工程一等奖杨冲西南交通大学推荐免试422 205.4 627.4 建筑与土木工程一等奖乔鑫哈尔滨工业大学推荐免试422 202.6 624.6 建筑与土木工程一等奖石立旺哈尔滨工业大学推荐免试422 202.2 624.2 建筑与土木工程一等奖**东哈尔滨工业大学推荐免试422 198.2 620.2 建筑与土木工程一等奖熊志恒哈尔滨工业大学推荐免试422 194.6 616.6 建筑与土木工程一等奖刘靓哈尔滨工业大学推荐免试422 194 616 建筑与土木工程一等奖张云龙哈尔滨工业大学推荐免试422 189.2 611.2 建筑与土木工程一等奖张立征哈尔滨工业大学推荐免试422 186.8 608.8 建筑与土木工程二等奖刘宗玉河南大学推荐免试422 182.4 604.4 建筑与土木工程二等奖曾广江哈尔滨工业大学推荐免试422 181.6 603.6 建筑与土木工程二等奖李世达哈尔滨工业大学推荐免试422 180.6 602.6 建筑与土木工程二等奖余萍哈尔滨工业大学全国统考360 240.2 600.2 建筑与土木工程二等奖江金豹哈尔滨工业大学推荐免试422 171.8 593.8 建筑与土木工程二等奖王聪哈尔滨工业大学推荐免试422 171.8 593.8 建筑与土木工程二等奖陈楠吉林大学全国统考382 211 593 建筑与土木工程二等奖安士龙哈尔滨工业大学推荐免试422 147.6 569.6 建筑与土木工程二等奖薛常喜青岛理工大学全国统考333 207.6 540.6 建筑与土木工程三等奖杜志涛哈尔滨工业大学全国统考344 196.2 540.2 建筑与土木工程三等奖杨海光东北石油大学全国统考422 115.4 537.4 建筑与土木工程三等奖栾帅哈尔滨工业大学全国统考358 170.6 528.6 建筑与土木工程三等奖孙兆敬青岛理工大学全国统考336 191 527 建筑与土木工程三等奖曲翔宇哈尔滨工业大学全国统考383 143 526 建筑与土木工程三等奖封云哈尔滨工业大学全国统考358 167 525 建筑与土木工程三等奖潘奕康哈尔滨工业大学全国统考358 166.8 524.8 建筑与土木工程其它李倩廊坊师范学院全国统考364 148.4 512.4 建筑与土木工程其它邵帅哈尔滨工业大学推荐免试422 243 665 结构工程特等奖陈智成哈尔滨工业大学推荐免试422 242 664 结构工程特等奖宋毛毛哈尔滨工业大学推荐免试422 236.8 658.8 结构工程特等奖马骥哈尔滨工业大学推荐免试422 235.4 657.4 结构工程特等奖苏芳迪河南大学推荐免试422 233.8 655.8 结构工程特等奖潘雁翀哈尔滨工业大学推荐免试422 233.4 655.4 结构工程特等奖刘佳哈尔滨工业大学推荐免试422 231.4 653.4 结构工程特等奖李江东哈尔滨工业大学推荐免试422 229.6 651.6 结构工程特等奖吴志海武汉大学推荐免试422 229 651 结构工程特等奖房明哈尔滨工业大学推荐免试422 222.6 644.6 结构工程一等奖刘发军哈尔滨工业大学推荐免试422 221 643 结构工程一等奖丁尧哈尔滨工业大学推荐免试422 220 642 结构工程一等奖王召钦哈尔滨工业大学推荐免试422 218.8 640.8 结构工程一等奖于鑫垚哈尔滨工业大学推荐免试422 217 639 结构工程一等奖王宣鼎哈尔滨工业大学推荐免试422 214.4 636.4 结构工程一等奖付学宝哈尔滨工业大学推荐免试422 213.4 635.4 结构工程一等奖吴斌天津大学推荐免试422 211.8 633.8 结构工程一等奖来鹏飞哈尔滨工业大学推荐免试422 210.4 632.4 结构工程一等奖陈龙哈尔滨工业大学推荐免试422 209.8 631.8 结构工程一等奖孔伟明大连理工大学推荐免试422 208.6 630.6 结构工程一等奖张荣西南交通大学推荐免试422 208.4 630.4 结构工程一等奖梁婷婷哈尔滨工业大学推荐免试422 208.2 630.2 结构工程一等奖孙洪宇西南交通大学推荐免试422 206 628 结构工程一等奖彭体顺哈尔滨工业大学推荐免试422 203.8 625.8 结构工程一等奖曹勇西安建筑科技大学全国统考406 218.8 624.8 结构工程一等奖侯富涛黑龙江八一农垦大学全国统考407 211 618 结构工程一等奖黄涛天津大学全国统考408 207.8 615.8 结构工程一等奖吴峰哈尔滨工业大学全国统考408 206.4 614.4 结构工程一等奖宋曰良山东大学全国统考404 207.6 611.6 结构工程一等奖徐金龙哈尔滨工业大学推荐免试422 188.2 610.2 结构工程二等奖王燕丽昆明理工大学推荐免试422 186.6 608.6 结构工程二等奖杨丰源哈尔滨工业大学推荐免试422 183.8 605.8 结构工程二等奖刘欢中南大学推荐免试422 178.2 600.2 结构工程二等奖陆正争哈尔滨工业大学全国统考406 194 600 结构工程二等奖丁思华哈尔滨工业大学推荐免试422 176.4 598.4 结构工程二等奖唱佳鸣哈尔滨工业大学全国统考379 209.4 588.4 结构工程二等奖路军中国海洋大学全国统考372 213.8 585.8 结构工程二等奖尹鹏太原理工大学全国统考399 182.6 581.6 结构工程二等奖杜文晨东北大学推荐免试422 159.4 581.4 结构工程二等奖徐文显哈尔滨工业大学全国统考402 179 581 结构工程二等奖陈君军哈尔滨工业大学全国统考399 181.6 580.6 结构工程二等奖周萌沈阳建筑大学全国统考364 211.4 575.4 结构工程二等奖刘志周燕山大学全国统考383 192.2 575.2 结构工程二等奖朱国靖东北石油大学全国统考410 164.6 574.6 结构工程二等奖徐景锋哈尔滨工业大学全国统考396 178 574 结构工程二等奖杨旭哈尔滨理工大学全国统考389 185 574 结构工程二等奖李茂光太原理工大学全国统考374 197.6 571.6 结构工程二等奖高仕军西安建筑科技大学全国统考376 190.2 566.2 结构工程二等奖焦贞贞黑龙江科技学院全国统考358 205.4 563.4 结构工程二等奖王传芳哈尔滨工业大学全国统考368 195.2 563.2 结构工程二等奖杨海洋哈尔滨工业大学全国统考370 193 563 结构工程二等奖宋中霜河南工业大学全国统考356 206.4 562.4 结构工程二等奖金芳合肥工业大学全国统考376 183.8 559.8 结构工程二等奖赵欣月清华大学推荐免试422 137.2 559.2 结构工程二等奖周强中国石油大学(华东) 全国统考373 186 559 结构工程二等奖苏峰烟台大学全国统考335 224 559 结构工程二等奖李秋稷哈尔滨工业大学全国统考377 177.2 554.2 结构工程二等奖石志响哈尔滨工业大学全国统考393 157.4 550.4 结构工程二等奖徐叶波湖南大学全国统考381 166.2 547.2 结构工程三等奖魏荟荟哈尔滨商业大学全国统考379 167.6 546.6 结构工程三等奖高新新吉林建筑工程学院全国统考368 177.2 545.2 结构工程三等奖王南中南大学全国统考344 197.8 541.8 结构工程三等奖李健强华北科技学院全国统考387 154.6 541.6 结构工程三等奖姚斌重庆大学全国统考355 186.6 541.6 结构工程三等奖席晓卿河北建筑工程学院全国统考389 244 633 结构工程(土木工程材料)一等奖韩旭东哈尔滨理工大学全国统考384 239.4 623.4 结构工程(土木工程材料)一等奖叶焕哈尔滨工业大学全国统考364 243.2 607.2 结构工程(土木工程材料)二等奖孔令超哈尔滨工业大学全国统考332 251 583 结构工程(土木工程材料)二等奖刘昊哈尔滨工业大学全国统考343 229.8 572.8 结构工程(土木工程材料)二等奖李华良哈尔滨工业大学全国统考332 225.4 557.4 结构工程(土木工程材料)二等奖李劲龙沈阳建筑大学全国统考356 185.4 541.4 结构工程(土木工程材料)三等奖马财龙新疆大学全国统考341 198.2 539.2 结构工程(土木工程材料)三等奖高品郑州大学全国统考338 193.8 531.8 结构工程(土木工程材料)三等奖唐莎安徽建筑工业学院全国统考342 187.8 529.8 结构工程(土木工程材料)三等奖陈绍东中国地质大学(北京) 全国统考363 198.4 561.4 岩土工程二等奖李崑武汉理工大学全国统考399 160.4 559.4 岩土工程二等奖王金元武汉大学全国统考359 189.4 548.4 岩土工程二等奖赵一鸣东北林业大学全国统考344 197 541 岩土工程三等奖李晓东黑龙江科技学院全国统考338 189.4 527.4 岩土工程三等奖张效禹河南大学全国统考379 148 527 岩土工程三等奖金龑哈尔滨工业大学全国统考344 173.8 517.8 岩土工程其它刘耀凯郑州大学全国统考345 171.4 516.4 岩土工程其它赵欣哈尔滨工业大学全国统考337 178.8 515.8 岩土工程其它连兴华哈尔滨工业大学全国统考328 187 515 岩土工程其它张云杰烟台大学全国统考338 176.8 514.8 岩土工程其它陆斌斌郑州大学全国统考347 167.8 514.8 岩土工程其它胡爽东北石油大学全国统考331 181.4 512.4 岩土工程其它刘进进东南大学推荐免试422 199.4 621.4 防灾减灾工程及防护工程一等奖吴清宇哈尔滨工业大学推荐免试422 189.2 611.2 防灾减灾工程及防护工程一等奖宁西占华侨大学全国统考397 212.2 609.2 防灾减灾工程及防护工程二等奖苑溦中国石油大学(华东) 全国统考410 187 597 防灾减灾工程及防护工程二等奖张洪福烟台大学全国统考385 207.8 592.8 防灾减灾工程及防护工程二等奖陈勇哈尔滨工业大学全国统考388 199 587 防灾减灾工程及防护工程二等奖肖圣超华东交通大学全国统考391 185.8 576.8 防灾减灾工程及防护工程二等奖赵博宇沈阳建筑大学全国统考361 204.8 565.8 防灾减灾工程及防护工程二等奖李建立东北林业大学全国统考349 212.8 561.8 防灾减灾工程及防护工程二等奖朱立伟石家庄铁道大学全国统考357 185 542 防灾减灾工程及防护工程三等奖赵仕钗安阳师范学院全国统考335 195.4 530.4 防灾减灾工程及防护工程三等奖张玉强哈尔滨工业大学全国统考358 170.8 528.8 防灾减灾工程及防护工程三等奖卢麒羽沈阳建筑大学全国统考351 176 527 防灾减灾工程及防护工程三等奖。
2011nian\市政环境工程学院微生物学*79202流体力学331市政工程*1593523供热、供燃气、通风及空调工程1392915★城市水资源2391水力学及河流动力学121环境科学与工程*2764619建筑与土木工程▲11315环境工程*▲193412注:小分执行学校分数线。
2010市政环境工程学院微生物学58180流体力学221市政工程﹡1753919供热、供燃气、通风及空调工程1203014城市水资源991水力学及河流动力学021环境科学与工程﹡2394722建筑与土木工程▲0189环境工程﹡▲122512小计61519079 2009市政环境工程学院微生物学5512流体力学13市政工程*2023521供热、供燃气、通风及空调工程1383219城市水资源993水力学及河流动力学21环境科学与工程*2614522环境工程*▲50类别:2009—2010哈工大考研录取名单,成绩|评论(0) |浏览(86)哈尔滨工业大学2008年市政工程初试、复试成绩排名2010-02-09 1:06哈尔滨工业大学水分析化学二OO七年硕士研究生考试试题考试科目:____水分析化学_________ 考试科目代码:[ 473 ]适用专业:____市政工程、城市水资源考生注意:答案务必写在答题纸上,并标明题号。
答在试题上无效。
题号一二三四总分分数 20 40 40 50 150分一. 基本概念(2×5=20分)1 水质指标2 色度3 同离子效应4 掩蔽作用5 间接电位分析6 色谱流出曲线7 共振线 8 总残渣 9 溴酸钾法 10 酸度二. 论述题(5×8=40分)1 试论分子光谱产生的原因及其表达方法。
2 为什么要对色谱柱进行老化处理。
3 金属指示剂在应用时会出现那些问题,怎样防止。
4 基准物质应符合哪些条件。
5 如何确定地表水中碱度的组成形式。
6提高氧化还原反应速度的技术措施。
7 怎样通过试验方法评价分析方法准确度和精密度。
附件3:
(公章)
2013学年度普通高等学校国家奖学金获奖学生初
学校名称:哈尔滨工业大第 页,共 页
第 页,共 页
第 页,共 页
第 页,共 页
第 页,共 页
第 页,共 页
第 页,共 页
第 页,共 页
第 页,共 页
第 页,共 页
第 页,共 页
第 页,共 页
第 页,共 页
第 页,共 页
第 页,共 页
第 页,共 页
第 页,共 页
第 页,共 页
第 页,共 页
第 页,共 页
第 页,共 页
第 页,共 页
第 页,共 页
第 页,共 页
第 页,共 页
第 页,共 页
第 页,共 页
第 页,共 页
第 页,共 页
第 页,共 页
第 页,共 页
第 页,共 页
第 页,共 页
第 页,共 页
获奖学生初审名单表
填表日期: 2013 年 9 月 27 日
第 页,共 页
第 页,共 页
第 页,共 页
第 页,共 页
第 页,共 页
第 页,共 页
第 页,共 页
第 页,共 页
第 页,共 页
第 页,共 页
第 页,共 页
第 页,共 页
第 页,共 页
第 页,共 页
第 页,共 页
第 页,共 页。
土木工程学院2010年硕士研究生拟录取名单姓名毕业学校总成绩拟录取专业奖学金等级备注张东青哈尔滨工业大学674.4 结构工程(土木工程材料)特等 1 索松山哈尔滨工业大学667.2 建筑与土木工程特等 2 王庆贺哈尔滨工业大学666.6 结构工程特等 3 李凤泉哈尔滨工业大学665.8 建筑与土木工程特等 4 张磊哈尔滨工业大学652.8 结构工程特等 5 景志涛哈尔滨工业大学648.2 结构工程特等 6 张胤同济大学647.8 结构工程特等7 张振哈尔滨工业大学644.2 建筑与土木工程特等8 郑志刚哈尔滨工业大学643 结构工程特等9 谷勇西南科技大学642.6 结构工程特等10 陈亮大连海事大学642.6 结构工程特等11 蒋中国哈尔滨工业大学642.2 建筑与土木工程特等12 牛奔浙江大学642.2 结构工程一等13 高广燕哈尔滨工业大学641.2 结构工程一等14 黄明哈尔滨工业大学641.2 结构工程一等15 罗敏哈尔滨工业大学641 结构工程一等16 张倬西南交通大学640.8 防灾减灾工程及防护工程一等17 洪财滨哈尔滨工业大学636.4 结构工程一等18 张月乔哈尔滨工业大学635.6 结构工程一等19 胡海波郑州大学635.3 结构工程一等20 曾庆龙哈尔滨工业大学635.2 结构工程一等21 刘革哈尔滨工业大学634.8 建筑与土木工程一等22 董晓晨哈尔滨工业大学633.2 结构工程一等23 陈喆哈尔滨工业大学632.2 结构工程一等24 颜於滕中国矿业大学631 结构工程一等25 王宇哈尔滨工业大学630.8 结构工程一等26 万乐西南交通大学630.4 结构工程一等27 胡庆荣哈尔滨工业大学630.2 结构工程一等28 闫天泽哈尔滨工业大学629.2 建筑与土木工程一等29 陈旭哈尔滨工程大学628.5 结构工程一等30 金鑫哈尔滨工业大学628.5 结构工程一等31 张强强哈尔滨工业大学627 结构工程一等32 刘也哈尔滨工业大学626.2 结构工程一等33 冯立燕四川大学626 结构工程一等34 刘莹哈尔滨工业大学626 建筑与土木工程一等35柴艳飞中国地质大学(武汉)625.6 岩土工程一等36娄永杰武汉大学625 结构工程一等37 郑浩琴北京交通大学623.6 结构工程一等38 王磊武汉理工大学621.4 结构工程一等39 薛瑞天津大学620.8 结构工程一等40 赵辉河南大学620 结构工程一等41孟永杰天津大学620 结构工程一等42 王睿哈尔滨工业大学620 结构工程一等43 王有宝重庆大学619 结构工程一等44 闫世杰天津大学619 结构工程一等45 汪承华同济大学617.4 结构工程一等46 王博东北大学617.4 结构工程一等47 刘栋东北大学616 结构工程一等48 潘晓兰燕山大学614.4 结构工程一等49 钟杰哈尔滨工业大学614 结构工程一等50 倪晋峰东北林业大学613.4 结构工程一等51 李玉芳西南交通大学612.4 建筑与土木工程一等52 王文韬哈尔滨工业大学611 防灾减灾工程及防护工程一等53 林琦哈尔滨工业大学607.2 防灾减灾工程及防护工程二等54 任凯天津大学606.7 结构工程二等55 周宇大连理工大学604.8 结构工程二等56 尹弘峰哈尔滨工业大学603.6 结构工程二等57 王春圆哈尔滨工业大学603.4 建筑与土木工程二等58 吴春哈尔滨工业大学601 建筑与土木工程二等59 马亚文哈尔滨工业大学600.6 建筑与土木工程二等60 梁国俊黑龙江科技学院598.2 防灾减灾工程及防护工程二等61 井一村哈尔滨工业大学598 结构工程二等62 王亮西南交通大学597 建筑与土木工程二等63 武坤芳昆明理工大学596.8 结构工程二等64 方明哈尔滨工业大学596.4 建筑与土木工程二等65 李兆杨哈尔滨工业大学596.2 结构工程二等66 郑志燕山大学592.8 结构工程二等67 于妍妍中国农业大学592.4 结构工程二等68 朱建于东南大学592.2 结构工程二等69 芮建辉清华大学591.8 结构工程二等70 王小龙哈尔滨工业大学588.6 结构工程二等 71 王赟哈尔滨工业大学587.2 结构工程二等72 林少远哈尔滨工业大学585.4 建筑与土木工程二等73 王梦杰西南交通大学584.6 结构工程二等74 方庆贺青岛理工大学582.4 防灾减灾工程及防护工程二等74 卢全深河北工程学院582.2 结构工程二等75 张辉哈尔滨工业大学582.2 结构工程二等 76 蔺媛媛吉林大学581.6 结构工程二等 77 杜江月哈尔滨工业大学579 建筑与土木工程二等78 刘淼哈尔滨工业大学578.8 结构工程二等79 邰晓峰哈尔滨理工大学578.2 结构工程二等80 李靖哈尔滨工业大学577.4 建筑与土木工程二等81 王东辉哈尔滨工业大学577.2 结构工程二等82 洪斌东北林业大学577.2 结构工程(土木工程材料)二等83 符程俊东北林业大学575.2 结构工程二等84姜宝峰哈尔滨工业大学572.4 岩土工程二等85 林基聪哈尔滨工业大学567.2 结构工程二等86 及五限哈尔滨理工大学564.4 结构工程二等87 李志会哈尔滨理工大学560.8 岩土工程二等88 高松召长安大学559.8 结构工程二等89 李章嘉哈尔滨工业大学557.2 结构工程二等90 朱芳华中科技大学556.8 结构工程二等91 孙雨洋黑龙江科技学院555.6 岩土工程二等92 张俊苹安阳师范学院549.6 防灾减灾工程及防护工程二等93 杨格武汉理工大学549.6 防灾减灾工程及防护工程二等94 朱田田烟台大学544 防灾减灾工程及防护工程二等95 刘继东西安建筑科技大学543.6 防灾减灾工程及防护工程二等96 杨诗君武汉理工大学542.8 防灾减灾工程及防护工程二等97 袁健临沂师范学院542.7 岩土工程二等98 王自柯新疆大学542.2 结构工程(土木工程材料)二等99刘丽鹤中国石油大学(北京)539.2 结构工程二等100杨松重庆大学539.2 结构工程二等101 张红河北工业大学539.2 岩土工程二等102 郝自强大庆石油学院538 结构工程二等103 韦伟哈尔滨工业大学538 岩土工程二等104 王道博大庆石油学院536.8 结构工程二等105 孙田田哈尔滨理工大学530.8 岩土工程二等106 李波四川大学528.4 防灾减灾工程及防护工程三等107 梁金艳太原理工大学527.6 防灾减灾工程及防护工程三等108 严雨河南科技大学527.6 工程力学三等109 毛维帅山东理工大学527.2 结构工程三等110 李青华烟台大学523.6 岩土工程三等111 李国君哈尔滨工业大学523 结构工程(土木工程材料)三等112 冯新辉山东农业大学522.8 岩土工程三等113 宋晓东沈阳建筑大学522.4 工程力学三等114 王明江哈尔滨工业大学521.6 建筑与土木工程三等115 张猛华中科技大学521 结构工程(土木工程材料)三等116 王乾宇哈尔滨工业大学519.4 工程力学三等117 邱星玮黑龙江科技学院519.2 工程力学三等118 张玉栋郑州大学518 结构工程(土木工程材料)三等119 徐伟帆哈尔滨工业大学517.2 建筑与土木工程三等120 王子健南京工业大学517 防灾减灾工程及防护工程三等121 谢玉见河北建筑工程学院516.6 岩土工程三等122 张朋朋吉林大学515.8 结构工程(土木工程材料)三等123 王富源黑龙江科技学院513 工程力学三等124 吴明哈尔滨工业大学513 建筑与土木工程三等125 姜海洋大庆石油学院512.4 岩土工程三等126 谷守杰郑州大学512 岩土工程三等127谭文武株洲工学院511.4 工程力学三等128暴立南中国农业大学510.6 建筑与土木工程三等129韦承勋哈尔滨工业大学510.4 工程力学三等130赵淑芹山东农业大学508.4 岩土工程三等131邱慧芳山东大学507.2 建筑与土木工程三等132王鑫东北林业大学507.2 结构工程(土木工程材料)三等133王章化兰州大学506.6 工程力学三等134王鹏亮哈尔滨理工大学506.6 工程力学其他135赵卓北京交通大学505.8 结构工程(土木工程材料)其他136于磊西北农林科技大学504.6 结构工程(土木工程材料)其他137梁磊哈尔滨理工大学504.6 结构工程(土木工程材料)其他138王加辉烟台大学504 建筑与土木工程其他139姜海峰四川大学503 工程力学其他140吴静新烟台大学496.6 建筑与土木工程其他141彭玲河北大学495.4 固体力学其他142张剑菲东北林业大学495.2 建筑与土木工程其他143武玉涛黑龙江工程学院494.8 建筑与土木工程其他144徐伟东哈尔滨工业大学491.6 建筑与土木工程其他145李晓艳内蒙古农业大学491.6 固体力学其他146于素慧黑龙江工程学院489.4 固体力学其他147王琦哈尔滨工业大学489 建筑与土木工程其他148郭立波哈尔滨工业大学488 建筑与土木工程其他149王宇哈尔滨工业大学487.6 建筑与土木工程其他150冯悦哈尔滨工业大学487.2 建筑与土木工程其他151胡日钦毕力内蒙古大学405.4 结构工程其他少数民族骨干计划格张国峰哈尔滨工业大学598.8 结构工程(土木工程材料)委托培养单考。