重要矿种最低开采规模表
- 格式:doc
- 大小:65.50 KB
- 文档页数:2
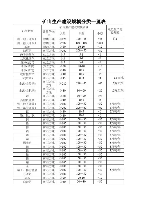
矿山生产建设规模分类一览表
注1:富煤地区山西、内蒙古、陕西为15万吨/年;北京、河北、辽宁、吉林、黑龙江、山东、安徽、甘肃、青海、宁夏、新疆为9万吨/年;云南、贵州、四川为6万吨/年;湖北、湖南、浙江、广东、广西、福建、江西等南方缺煤地区为3万吨/年。
来源:国土资源部国土资发[2004]208号文《关于调整部分矿种矿山生产建设规模标准的通知》
国土资源综合利用
矿区矿产资源划分标准-储量规模
说明:
1.确定矿产资源储量规模依据的单元:
(1)石油:油田天然气、二氧化碳气:气田
(2)地热:地热田
(3)固体矿产(煤除外):矿床
(4)地下水、矿泉水:水源地
2.确定矿产资源储量规模依据的矿产资源储量:
(1)石油、天然气、二氧化碳气:地质储量
(2)地热:地热能。
(3)固体矿产:基础储量+资源量(仅限331、332、333),相当于《固体矿产地质勘探规范总则》(GB13908-92)中的A+B+C+D+E(表内)储量。
(4)地下水、矿泉水:允许开采量
3.存在共生矿产的矿区,矿产资源储量规模以矿产资源储量规模最大的矿种确定。
4.中型及小型规模不含其上限数字。
海、宁夏、新疆为9万吨/年;云南、贵州、四川为6万吨/年;湖北、湖南、浙江、广东、广西、福建、江西等南方缺煤地区为3万吨/年。
国土资源综合利用
矿区矿产资源划分标准-储量规模
说明:
1.确定矿产资源储量规模依据的单元:
(1)石油:油田天然气、二氧化碳气:气田
(2)地热:地热田
(3)固体矿产(煤除外):矿床
(4)地下水、矿泉水:水源地
2.确定矿产资源储量规模依据的矿产资源储量:
(1)石油、天然气、二氧化碳气:地质储量
(2)地热:地热能。
(3)固体矿产:基础储量+资源量(仅限331、332、333),相当于《固体矿产地质勘探规范总则》(GB13908-92)中的A+B+C+D+E(表内)储量。
(4)地下水、矿泉水:允许开采量
3.存在共生矿产的矿区,矿产资源储量规模以矿产资源储量规模最大的矿种确定。
4.中型及小型规模不含其上限数字。
附件二矿山生产建设规模分类一览表(国土资发[2004]208号)其他贵金属矿石万吨≥10 10-5 <5新调整铁(地下开采)矿石万吨-30 3万吨/年≥100 <30 100铁(露天开采)-20060 矿石万吨新调整5万吨/<60 年≥200锰矿石万吨<5 /年10-5 ≥10 2万5<510铬、钛、矿石万1矿石万100万1030<30矿石万1030<30万100矿石万<30万3010100矿石万<30万1001030矿石万1030<30100万矿石万1030万<30100矿石万3010万铝土<30100矿石万万1030100<30矿石万万<303010100矿石万<301003010矿石万1003010<30矿石万1030<30100矿石万3010<30100稀土稀有金矿石万<301003010万新调石灰矿石万<50100501020矿石万硅<101020.白云岩矿石万吨≥50 50-30 <3020-10 耐火粘土矿石万吨<10 ≥2010-≥10 5 <5 矿石万吨萤石/年≥50 矿石万吨硫铁矿 50-20 <20 5万自然矿石万31030<10新调矿石万万磷10011030<30矿石万310蛇纹<103051矿石万<510硼20矿石万210岩盐、井<1020湖210矿石万<10新调<530钾35矿石万<10矿石万50105芒按小型矿山归矿石万雄黄砷雌黄按小型矿山归矿石万毒1103<3万克金刚发证权限按中型划分矿山生产建设规模按矿石宝型矿山归按小型矿山归云工业云1石棉万石2新调<1<5矿石万1105重晶矿石万<1030310石<55110矿石万滑石.长石矿石万吨≥20 20-10 <10新调整高岭土、瓷土等≥10 <5 -105 矿石万吨膨润土 <5 -5 矿石万吨≥10 10矿石万吨<5 10-5 叶蜡石≥10矿石万<10310沸新调30石墨万石<0.310.3玻璃用砂30砂新调矿石万<10103水泥用砂60新调20<20矿石万6万立方<510建筑石51砖建筑用砂矿石万30<636新调粘矿石万303<66页新万1015矿泉<5:富煤地区山西、内蒙古、陕西1万年;北京、河北、辽宁、吉林、黑龙江、山东、安徽甘肃、青海、宁夏、新疆万年;云南、贵州、四川万年;湖北、湖南、浙江、广东广西、福建、江西等南方缺煤地区万年根据矿井生产能力的大小,我国把矿井(地下开采)划分为大、中、小三类。
附件二矿山生产建设规模分类一览表(国土资发[2004]208号)其他贵金属矿石万吨≥10 10-5 <5新调整铁(地下开采)矿石万吨-30 3万吨/年≥100 <30 100铁(露天开采)-20060 矿石万吨新调整5万吨/<60 年≥200锰矿石万吨<5 /年10-5 ≥10 2万5<510铬、钛、矿石万1矿石万100万1030<30矿石万1030<30万100矿石万<30万3010100矿石万<30万1001030矿石万1030<30100万矿石万1030万<30100矿石万3010万铝土<30100矿石万万1030100<30矿石万万<303010100矿石万<301003010矿石万1003010<30矿石万1030<30100矿石万3010<30100稀土稀有金矿石万<301003010万新调石灰矿石万<50100501020矿石万硅<101020.白云岩矿石万吨≥50 50-30 <3020-10 耐火粘土矿石万吨<10 ≥2010-≥10 5 <5 矿石万吨萤石/年≥50 矿石万吨硫铁矿 50-20 <20 5万自然矿石万31030<10新调矿石万万磷10011030<30矿石万310蛇纹<103051矿石万<510硼20矿石万210岩盐、井<1020湖210矿石万<10新调<530钾35矿石万<10矿石万50105芒按小型矿山归矿石万雄黄砷雌黄按小型矿山归矿石万毒1103<3万克金刚发证权限按中型划分矿山生产建设规模按矿石宝型矿山归按小型矿山归云工业云1石棉万石2新调<1<5矿石万1105重晶矿石万<1030310石<55110矿石万滑石.长石矿石万吨≥20 20-10 <10新调整高岭土、瓷土等≥10 <5 -105 矿石万吨膨润土 <5 -5 矿石万吨≥10 10矿石万吨<5 10-5 叶蜡石≥10矿石万<10310沸新调30石墨万石<0.310.3玻璃用砂30砂新调矿石万<10103水泥用砂60新调20<20矿石万6万立方<510建筑石51砖建筑用砂矿石万30<636新调粘矿石万303<66页新万1015矿泉<5:富煤地区山西、内蒙古、陕西1万年;北京、河北、辽宁、吉林、黑龙江、山东、安徽甘肃、青海、宁夏、新疆万年;云南、贵州、四川万年;湖北、湖南、浙江、广东广西、福建、江西等南方缺煤地区万年根据矿井生产能力的大小,我国把矿井(地下开采)划分为大、中、小三类。
矿产资源储量规模划分标准序号矿种名称单位规模1 大型中型小型煤(煤田) 原煤(亿吨) ≥5010~50 <10(矿区) 原煤(亿吨) ≥52~5 <2(井田) 原煤(亿吨) ≥10.5~1 <0.52 油页岩矿石(亿吨) ≥202~20 <23 石油原油(万吨) ≥100001000~10000 <10004 天然气气量(亿立方米) ≥30050~300 <505 铀(地浸砂岩型) 金属(吨) ≥100003000~10000 <3000(其他类型) 金属(吨) ≥30001000~3000 <10006 地热电(热)能(兆瓦) ≥5010~50 <107 铁(贫矿) 矿石(亿吨) ≥10.1~1 <0.1(富矿) 矿石(亿吨) ≥0.50.05~0.5 <0.058 锰矿石(万吨) ≥2000200~2000 <2009 铬铁矿矿石(万吨) ≥500100~500 <10010 钒V2O5(万吨) ≥10010~100 <1011 钛(金红石原生矿) TiO2(万吨) ≥205~20 <5续表序号矿种名称单位规模大型中型小型11 (金红石砂矿) 矿物(万吨) ≥102~10 <2(钛铁矿原生矿) TiO2(万吨) ≥50050~500 <50(钛铁矿砂矿) 矿物(万吨) ≥10020~100 <2012 铜金属(万吨) ≥5010~50 <1013 铅金属(万吨) ≥5010~50 <1014 锌金属(万吨) ≥5010~50 <1015 铝土矿矿石(万吨) ≥2000500~2000 <50016 镍金属(万吨) ≥102~10 <217 钴金属(万吨) ≥20.2~2 <0.218 钨WO3(万吨) ≥51~5 <119 锡金属(万吨) ≥40.5~4 <0.520 铋金属(万吨) ≥51~5 <121 钼金属(万吨) ≥101~10 <122 汞金属(吨) ≥2000500~2000 <50023 锑金属(万吨) ≥101~10 <124 镁(冶镁白云岩)(冶镁菱镁矿) 矿石(万吨) ≥50001000~5000 <100025 铂族金属(吨) ≥102~10 <226 金(岩金) 金属(吨) ≥205~20 <5(砂金) 金属(吨) ≥82~8 <227 银金属(吨) ≥1000200~1000 <20028 铌(原生矿) Nb2O5(万吨) ≥101~10 <1(砂矿) 矿物(吨) ≥2000500~2000 <50029 钽(原生矿) Ta2O5(吨) ≥1000500~1000 <500(砂矿) 矿物(吨) ≥500100~500 <10030 铍BeO(吨) ≥100002000~10000 <200031 锂(矿物锂矿) Li2O(万吨) ≥101~10 <1(盐湖锂矿) LiCl(万吨) ≥5010~50 <1032 锆(锆英石) 矿物(万吨) ≥205~20 <5继表序号矿种名称单位规模大型中型小型33 锶(天青石) SrSO4(万吨) ≥205~20 <534 铷(盐湖中的铷另计) Rb2O(吨) ≥2000500~2000<50035 铯Cs2O(吨) ≥2000500~2000 <50036 稀土(砂矿) 独居石(吨) ≥100001000~10000 <1000磷钇矿(吨) ≥5000500~5000 <500 (原生矿) TR2O3(万吨) ≥505~50 <5(风化壳矿床) (铈族氧化物)(万吨) ≥101~10 <1(风化壳矿床) (钇族氧化物)(万吨) ≥50.5~5 <0.537 钪Sc(吨) ≥102~10 <238 锗Ge(吨) ≥20050~200 <5039 镓Ga(吨) ≥2000400~2000 <40040 铟In(吨) ≥500100~500 <10041 铊Tl(吨) ≥500100~500 <10042 铪Hf(吨) ≥500100~500 <10043 铼Re(吨) ≥505~50 <544 镉Cd(吨) ≥3000500~3000 <50045 硒Se(吨) ≥500100~500 <10046 碲Te(吨) ≥500100~500 <10047 金刚石(原生矿) 矿物(万克拉) ≥10020~100 <20(砂矿) 矿物(万克拉) ≥5010~50 <1048 石墨(晶质) 矿物(万吨) ≥100 20~100 <20(隐晶质) 矿石(万吨) ≥1000100~1000 <10049 磷矿矿石(万吨) ≥5000500~5000 <50050 自然硫S(万吨) ≥500100~500 <10051 硫铁矿矿石(万吨) ≥3000200~3000 <20052 钾盐(固态) KCl(万吨) ≥1000100~1000 <100(液态) KCl(万吨) ≥5000500~5000 <500续表序号矿种名称单位规模大型中型小型53 硼(内生硼矿) B2O3(万吨) ≥5010~50 <1054 水晶(压电水晶) 单晶(吨) ≥20.2~2 <0.2(熔炼水晶) 矿物(吨) ≥10010~100 <10(光学水晶) 矿物(吨) ≥0.50.05~0.5 <0.05(工艺水晶) 矿物(吨) ≥0.50.05~0.5 <0.0555 刚玉矿物(万吨) ≥10.1~1 <0.156 蓝晶石矿物(万吨) ≥20050~200 <5057 硅灰石矿物(万吨) ≥10020~100 <2058 钠硝石NaNO3(万吨) ≥500100~500 <10059 滑石矿石(万吨) ≥500100~500 <10060 石棉(超基性岩型) 矿物(万吨) ≥50050~500 <50(镁质碳酸盐型) 矿物(万吨) ≥5010~50 <1061 蓝石棉矿物(吨) ≥1000100~1000 <10062 云母工业原料云母(吨) ≥1000200~1000 <20063 钾长石矿物(万吨) ≥10010~100 <1064 石榴子石矿物(万吨) ≥50050~500 <5065 叶蜡石矿石(万吨) ≥20050~200 <5066 蛭石矿石(万吨) ≥10020~100 <2067 沸石矿石(万吨) ≥5000500~5000 <50068 明矾石矿物(万吨) ≥1000200~1000 <20069 芒硝Na2SO4(万吨) ≥1000100~1000 <100(钙芒硝) Na2SO4(万吨) ≥100001000~10000 <100070 石膏矿石(万吨) ≥30001000~3000 <100071 重晶石矿石(万吨) ≥1000200~1000 <20072 毒重石矿石(万吨) ≥1000200~1000 <20073 天然碱(Na2CO3+NaHCO3)(万吨) ≥1000200~1000 <20074 冰洲石矿物(吨) ≥10.1~1 <0.175 菱镁矿矿石(亿吨) ≥0.50.1~0.5 <0.1续表序号矿种名称单位规模大型中型小型76 萤石(普通萤石) CaF2(万吨) ≥10020~100 <20(光学萤石) 矿物(吨) ≥10.1~1 <0.177 石灰岩(电石用灰岩)(制碱用灰岩)(化肥用灰岩)(熔剂用灰岩) 矿石(亿吨) ≥0.50.1~0.5 <0.1(玻璃用灰岩)(制灰用灰岩) 矿石(亿吨) ≥0.10.02~0.1 <0.02 (水泥用灰岩,包括白垩) 矿石(亿吨) ≥0.80.15~0.8<0.1578 泥灰岩矿石(亿吨) ≥0.50.1~0.5 <0.179 含钾岩石(包括含钾砂页岩) 矿石(亿吨) ≥10.2~1<0.280 白云岩(冶金用)(化肥用)(玻璃用) 矿石(亿吨) ≥0.50.1~0.5 <0.181 硅质原料(包括石英岩、砂岩、天然石英砂、脉石英、粉石英)(冶金用)(水泥配料用)(水泥标准砂) 矿石(万吨) ≥2000200~2000 <200 (玻璃用) 矿石(万吨) ≥1000200~1000 <200(铸型用) 矿石(万吨) ≥1000100~1000 <100(砖瓦用) 矿石(万立方米) ≥2000500~2000 <500(建筑用) 矿石(万立方米) ≥50001000~5000 <1000(化肥用) 矿石(万吨) ≥100002000~10000 <2000(陶瓷用) 矿石(万吨) ≥10020~100 <2082 天然油石矿石(万吨) ≥10010~100 <1083 硅藻土矿石(万吨) ≥1000200~1000 <20084 页岩(砖瓦用) 矿石(万立方米) ≥2000200~2000 <200(水泥配料用) 矿石(万吨) ≥5000500~5000 <500续表序号矿种名称单位规模大型中型小型85 高岭土(包括陶瓷土) 矿石(万吨) ≥500100~500 <10086 耐火粘土矿石(万吨) ≥1000200~1000 <20087 凹凸棒石矿石(万吨) ≥500100~500 <10088 海泡石粘土(包括伊利石粘土、累托石粘土) 矿石(万吨) ≥500100~500<10089 膨润土矿石(万吨) ≥5000500~5000 <50090 铁矾土矿石(万吨) ≥1000200~1000 <20091 其他粘土(铸型用粘土) 矿石(万吨) ≥1000200~1000 <200(砖瓦用粘土) 矿石(万吨) ≥2000500~2000 <500(水泥配料用粘土)(水泥配料用红土)(水泥配料用黄土)(水泥配料用泥岩) 矿石(万吨) ≥2000500~2000 <500 (保温材料用粘土) 矿石(万吨) ≥20050~200 <5092 橄榄岩(化肥用) 矿石(亿吨) ≥10.1~1 <0.193 蛇纹岩(化肥用) 矿石(亿吨) ≥10.1~1 <0.1(熔剂用) 矿石(亿吨) ≥0.50.1~0.5 <0.194 玄武岩(铸石用) 矿石(万吨) ≥1000200~1000 <20095 辉绿岩(铸石用) 矿石(万吨) ≥1000200~1000 <200(水泥用) 矿石(万吨) ≥2000200~2000 <20096 水泥混合材(安山玢岩)(闪长玢岩) 矿石(万吨) ≥2000200~2000 <20097 建筑用石材矿石(万立方米) ≥50001000~5000 <100098 饰面用石材矿石(万立方米) ≥1000200~1000 <20099 珍珠岩(包括黑曜岩、松脂岩) 矿石(万吨) ≥2000500~2000 <500100 浮石矿石(万吨) ≥30050~300 <50续表序号矿种名称单位规模大型中型小型101 粗面岩(水泥用)(铸石用) 矿石(万吨) ≥1000200~1000 <200102 凝灰岩(玻璃用) 矿石(万吨) ≥1000200~1000 <200(水泥用) 矿石(万吨) ≥2000200~1000 <200103 大理石(水泥用) 矿石(万吨) ≥2000200~2000 <200(玻璃用) 矿石(万吨) ≥50001000~5000 <1000104 板岩(水泥配料用) 矿石(万吨) ≥2000200~2000<200105 泥炭矿石(万吨) ≥1000100~1000 <100106 矿盐(包括地下卤水) NaCl(亿吨) ≥101~10 <1107 镁盐MgCl2/MgSO4(万吨) ≥50001000~5000 <1000 108 碘碘(吨) ≥5000500~5000 <500109 溴溴(吨) ≥500005000~50000 <5000110 砷砷(万吨) ≥50.5~5 <0.5111 地下水允许开采量(立方米/日) ≥10000010000~100000<10000112 矿泉水允许开采量(立方米/日) ≥5000500~5000 <500 113 二氧化碳气气量(亿立方米) ≥30050~300 <50说明:1.确定矿产资源储量规模依据的单元:(1)石油:油田天然气、二氧化碳气:气田(2)地势:地热田;(3)固体矿产(煤除外):矿床;(4)地下水、矿泉水:水源地。