人教版PEP小学英语三下单词默写(带四线格)word版本
- 格式:doc
- 大小:99.51 KB
- 文档页数:3
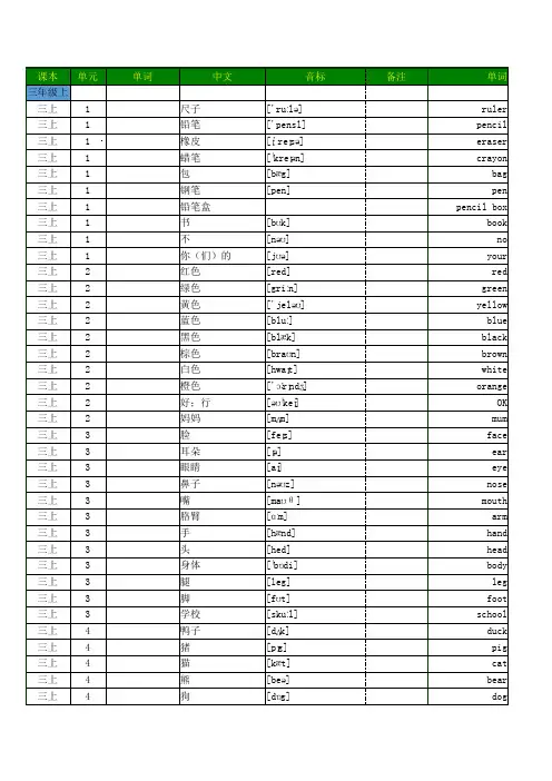
人教版PEP 小学英语三年级下单词默写(中英版) Unit 1 Welcom e back to school ! 1. 英国 _________________ 2. 加拿大 _________________ 3. 美国 _________________ 4. 中国 _________________ 5. 她 _________________ 6. 学生 _________________7. 学生;(尤指)小学生 _______ 8. 他 _________________ 9. 教师 _________________ 10. 男孩 _________________ 11. 和;与 _______________ 12. 女孩 _________________ 13. 新的 _________________ 14. 朋友 _________________15. 今天 _________________Unit 2 My family 1. 父亲;爸爸 ______________2. (口语)爸爸;爹爹 ______3. 男人 __________________4. 女人 __________________5. 母亲;妈妈 ____________6. 姐;妹 ________________7. 兄;弟 ___________________8. (外)祖母 _______________9. (口语)(外)祖母 _______ 10. (外)祖父 _______________11.(口语)(外)祖父_______12.家;家庭_________________ Unit 3 At the zoo1.瘦的___________________2.胖的;肥的_____________3.高的___________________4.矮的;短的_____________5.长的___________________6.小的___________________7.大的___________________8.长颈鹿_________________9.这么;那么_____________10.儿童___________________11.儿童(的复数)_________12.尾巴___________________Unit 4 Where is my car?1.在......上_________________2.在......里_________________3.在......下面_______________4.椅子____________________5.书桌____________________6.帽子____________________7.球_____________________8.小汽车_________________9.小船___________________10.地图___________________11.玩具___________________12.盒;箱_________________Unit 5 Do you like pears?1.梨___________________2.苹果_________________3.橙子_________________4.香蕉_________________5.西瓜_________________6.草莓___________________7.葡萄___________________8.买_____________________9.水果___________________Unit 6 How many?1.十一_________________2.十二_________________3.十三_________________4.十四_________________5.十五_________________6.十六_________________7.十七_________________8.十八_________________9.十九_________________10.二十_________________11.风筝_________________12.美丽的_______________。
小学英语单词默写
人教版小学英语·三年级下册·单词表
Unit 1
教师学生
朋友再见
早上好
下午好
男孩女孩新的朋友中国美国
英国学生;(尤指)小学生
加拿大今天
Unit 2
父亲;爸爸母亲;妈妈
外祖母口语(外)祖母
(外)祖父口语(外)祖父
爸爸(口语) 妈妈(口语)
兄弟姐妹
男人女人家;家庭
Unit 3
长颈鹿(child的复数)孩子瘦的胖的高的
大的这么;那么尾巴
Unit 4
在……上在……里椅子
球小汽车船
地图玩具盒;箱
Unit 5
西瓜草莓
香蕉橙子
买梨水果
苹果葡萄
Unit 6
十一十二
十三十四
十五十六
十七十八
十九二十风筝美丽的。
小学英语单词默写
人教版小学英语·三年级下册·单词表
Unit 1
教师学生
朋友再见
早上好
下午好
男孩女孩新的朋友中国美国
英国学生;(尤指)小学生
加拿大今天
Unit 2
父亲;爸爸母亲;妈妈
外祖母口语(外)祖母
(外)祖父口语(外)祖父
爸爸(口语) 妈妈 (口语)兄弟姐妹
男人女人家;家庭
Unit 3
长颈鹿(child的复数)孩子瘦的胖的高的
大的这么;那么尾巴
Unit 4
在……上在……里椅子
球小汽车船
地图玩具盒;箱
Unit 5
西瓜草莓
香蕉橙子
买梨水果
苹果葡萄
Unit 6
十一十二
十三十四
十五十六
十七十八
十九二十风筝美丽的。
英语四线格(可输入单词)
第一单元
UK Canada USA China she
英国加拿大美国中国她student pupil he teacher boy 学生小学生他老师男孩
and girl new friend today
和女孩新的朋友今天
第二单元
father dad man woman mother 爸爸爸爸(口语)男人女人妈妈sister brother grandmother
姐姐,妹妹哥哥,弟弟(外)祖母grandma grandfather grandpa (外)祖母(外)祖父(外)祖父
family
家庭
第三单元
thin fat tall short long
瘦的胖的高的矮的,短的长的small big giraffe so children
小的大的长颈鹿那么儿童Child tail
儿童尾巴
第四单元
on in under chair desk cap 在上面在里面在下面椅子书桌帽子
ball car boat map toy box
球小汽车小船地图玩具盒子
第五单元
pear apple orange banana 梨苹果桔子,橙子香蕉watermelon strawberry
西瓜草莓
grape buy fruit
葡萄买水果
第六单元
eleven twelve thirteen
十一十二十三
fourteen fifteen sixteen
十四十五十六seventeen eighteen nineteen 十七十八十九twenty kite beautiful
二十风筝漂亮的。
三年级下册英语默写本人教PEP版姓名:班级:正序汉译英Unit 1英国加拿大美国中国她学生学生;(尤指)小学生他教师男孩和;与女孩新的朋友今天Unit 2父亲;爸爸(口语)爸爸;爹爹男人女人母亲;妈妈姐;妹兄;弟(外)祖母(口语)祖母(外)祖父(口语)祖父家;家庭Unit 3瘦的胖的;肥的高的矮的;短的长的小的大的长颈鹿这么;那么儿童(child的复数)尾巴Unit 4在……上面正序英译汉Unit 1 UKCanadaUSAChinashestudentpupilheteacherboyandgirlnewfriendtodayUnit 2 fatherdadmanwomanmothersisterbrother grandmother grandma grandfather grandpafamilyUnit 3 thinfattallshortlongsmallbiggiraffesochildrentailUnit 4 oninunderchairdeskcapballcarboatmaptoyboxUnit 5 pearappleorangebanana watermelon strawberrygrapebuyfruitUnit 6 eleventwelvethirteenfourteen fifteen sixteen seventeen eighteen nineteen twentykite beautiful乱序英译汉Unit 1 girlCanadapupilfriendUKshehestudentUSAteacherboyChinanewandtodayUnit 2 motherfatherdadmanfamilysisterbrother grandmawomangrandpa grandfather grandmotherUnit 3 thinchildrensmallfatshortlongtalltailgiraffebigsoUnit 4 captoyonballunderboatboxdeskchairmapcarinUnit 5 fruitgrapeapple watermelonbuybanana strawberrypearorangeUnit 6 twentykiteeighteenfifteen sixteen beautiful twelve nineteen eleven thirteen seventeen fourteen常用表达法默写Unit 1欢迎!你是哪里人?我是英国人。
英语四线格(可输入单词)
第一单元
UK Canada USA China she
英国加拿大美国中国她student pupil he teacher boy
学生小学生他老师男孩and girl new friend today
和女孩新的朋友今天
第二单元
father dad man woman mother 爸爸爸爸(口语)男人女人妈妈sister brother grandmother
姐姐,妹妹哥哥,弟弟(外)祖母grandma grandfather grandpa
(外)祖母(外)祖父(外)祖父
family
家庭
第三单元
thin fat tall short long
瘦的胖的高的矮的,短的长的small big giraffe so children 小的大的长颈鹿那么儿童Child tail
儿童尾巴
第四单元
on in under chair desk cap
在上面在里面在下面椅子书桌帽子ball car boat map toy box
球小汽车小船地图玩具盒子
第五单元
pear apple orange banana 梨苹果桔子,橙子香蕉watermelon strawberry
西瓜草莓
grape buy fruit
葡萄买水果
第六单元
eleven twelve thirteen
十一十二十三fourteen fifteen sixteen 十四十五十六seventeen eighteen nineteen 十七十八十九twenty kite beautiful
二十风筝漂亮的。
(完整版)人教版PEP小学英语三年级下单词默写(中英版)人教版PEP小学英语三年级下单词默写(中英版)Unit 1 Welcome back to school!1.英国_________________2.加拿大_________________3.美国_________________4.中国_________________5.她_________________6.学生_________________7.学生;(尤指)小学生_______8.他_________________9.教师_________________10.男孩_________________11.和;与_______________12.女孩_________________13.新的_________________14.朋友_________________15.今天_________________Unit 2 My family1.父亲;爸爸______________2.(口语)爸爸;爹爹______3.男人__________________4.女人__________________5.母亲;妈妈____________6.姐;妹________________7.兄;弟___________________8.(外)祖母_______________9.(口语)(外)祖母_______10.(外)祖父_______________11.(口语)(外)祖父_______12.家;家庭_________________Unit 3 At the zoo1.瘦的___________________2.胖的;肥的_____________3.高的___________________4.矮的;短的_____________5.长的___________________6.小的___________________7.大的___________________8.长颈鹿_________________9.这么;那么_____________10.儿童___________________11.儿童(的复数)_________12.尾巴___________________Unit 4 Where is my car?1.在......上_________________2.在......里_________________3.在......下面_______________4.椅子____________________5.书桌____________________6.帽子____________________7.球_____________________8.小汽车_________________9.小船___________________10.地图___________________11.玩具___________________12.盒;箱_________________Unit 5 Do you like pears?1.梨___________________2.苹果_________________3.橙子_________________4.香蕉_________________5.西瓜_________________6.草莓___________________7.葡萄___________________8.买_____________________9.水果___________________ Unit 6 How many?1.十一_________________2.十二_________________3.十三_________________4.十四_________________5.十五_________________6.十六_________________7.十七_________________8.十八_________________9.十九_________________10.二十_________________11.风筝_________________12.美丽的_______________。
人教版小学英语三年级下册单词默写表Unit 1男孩、女孩、教师、学生,这些都是我们身边常见的人物角色。
我的朋友是一个非常有趣的人,他总能给我带来愉快的体验。
无论是早上好、下午好还是晚上好,我们都要彼此问候。
遇见和碰见是我们生活中常见的场景。
有些事情也太神奇了,让我们不禁感到惊奇。
每当有新朋友加入我们的圈子时,我们都要热情地欢迎他们。
回到家中,我们要向家人问好,表达我们的关心和爱意。
每个新的一天都是全新的开始,我们要充满期待和热情。
哪里有问题,我们要积极寻找解决方案。
你和你们都是我们生活中不可或缺的一部分。
从小学到现在,我们已经走过了很长一段路。
美国是一个充满机遇和挑战的国家。
再一次见到老朋友时,我们总会感到特别的亲切。
看见美丽的风景和感受自然的力量,总能让我们心情愉悦。
班级同学们是我们一起成长的伙伴,我们要彼此关心和支持。
我们每个人都有自己的梦想和追求,我们要为之努力奋斗。
今天是一个特别的日子,让我们一起庆祝这个美好的时刻。
小姐,请你帮我找一下这本书在哪里。
在生活中,我们要时刻保持警惕,小心留神。
如果我们做错了什么,就要勇于承认错误并道歉。
蚂蚁是一种非常勤劳的昆虫,它们的生活十分有趣。
XXX是一种非常健康的水果,它富含营养物质。
先生,请进来坐一下,我马上就好。
蛋是一种非常营养的食物,它可以提供我们所需的多种营养成分。
Unit 2爸爸和妈妈是我们生命中最重要的人物角色。
男人和女人都有自己的性格和特点,我们要尊重彼此。
祖母和祖父是我们家庭的重要支柱,我们要感恩他们的付出。
姐妹和兄弟是我们人生中最亲密的伙伴,我们要彼此关心和支持。
让我们一起努力,共同实现我们的梦想和目标。
太好了,我们终于完成了这项艰巨的任务。
真的确实,我们需要更多的时间和精力来完成这件事情。
我们要相互合作,共同完成我们的任务。
多么美好的一天,让我们充满热情和活力。
家庭是我们生命中最温暖的港湾,我们要珍惜和维护它。
加油,不管遇到什么困难,我们都要坚持不懈地努力。
小学英语单词默写
人教版小学英语·三年级下册·单词表
Unit 1
教师学生
朋友再见
早上好
下午好
男孩女孩新的朋友中国美国
英国学生;(尤指)小学生
加拿大今天
Unit 2
父亲;爸爸母亲;妈妈
外祖母口语(外)祖母
(外)祖父口语(外)祖父
爸爸(口语) 妈妈(口语)
兄弟姐妹
男人女人家;家庭
Unit 3
长颈鹿(child的复数)孩子瘦的胖的高的
大的这么;那么尾巴
Unit 4
在……上在……里椅子
球小汽车船
地图玩具盒;箱
Unit 5
西瓜草莓
香蕉橙子
买梨水果
苹果葡萄
Unit 6
十一十二
十三十四
十五十六
十七十八
十九二十风筝美丽的。