宁夏大学人文学院2019年硕士研究生招生复试(面试)安排表
- 格式:xls
- 大小:35.00 KB
- 文档页数:1
XX大学2019年人文社会科学学院硕士研究生复试通知人文学院考生:根据您的初试成绩和我校复试分数线,同意您参加我校人文社会科学学院社会学、心理学、社会工作、艺术设计、音乐专业复试。
请社会工作专业考生持以下材料,于2019年3月23日上午9:00—11:30到XX大学新校区(旗山校区)人文学院办公楼204室报到并进行资格审查;社会学、心理学、艺术设计和音乐专业考生持以下材料,于2019年3月24日下午14:30—16:30到XX大学新校区(旗山校区)人文学院办公楼210室报到并进行资格审查。
(1)本科毕业证书、学位证书原件(普通全日制应届生带学生证)及各一张复印件,2019年9月1日前可以取得国家承认的本科毕业证书的成人高等学力教育应届本科毕业生、自学考试和网络教育届时可毕业本科生需提供在学成绩单和可按时毕业的培养单位(或省市自考办)证明;(2)往届生提供教育部学历证书电子注册备案表、应届生提供教育部学籍在线验证报告[考生可以在中国高等教育学生信息网(******)通过在线验证打印此备案表或验证报告,无法在线验证的考生需提供中国高等教育学历认证报告],境外学历需提供教育部留学服务中心出具的国外学历学位认证书;(3)大学期间成绩单(加盖所在大学或档案所在单位红色/蓝色公章);(4)准考证;(5)身份证原件及一张复印件(正反面复印在同一张);(6)政审表(格式附件处下载,请勿沿用往年表格,应届本科毕业生由就读学校所在学院的党委出具,在职人员由所在人事主管部门或组织部门出具,其他由档案所在部门或居委会出具);(7)1张近期1寸免冠彩照(留在自己手上,不用交到学院,体检时使用。
体检有关事宜登陆我校研究生主页或人文学院网站查询),以上所交材料考生都需在其正面亲笔签名确认真实性,(8)考生资格审查表(表3,附件处下载,请勿沿用往年表格,个人基本信息填写完整);(9)考生复试表(表4,附件处下载,请勿沿用往年表格,个人基本信息填写完整);(10)考生自做简历一份(可附本科成绩单、成果、奖项等复印件,需贴一寸照片);(11)如若考生自愿调剂至非全日制,请签订《调剂申请表》及《自愿调剂承诺书》(附件处下载)在规定时间内将以上两份表格电子版发送至*********@,同时纸质版交至人文学院205室转杨老师,申请截止日期3月27日,逾期无效。
生命科学学院2019年硕士研究生招生复试工作细则复试工作是硕士研究生考试的重要组成部分,是保证生源质量的关键环节,为保证我院硕士研究生招生复试工作公平、公正、公开进行,根据《教育部办公厅关于进一步规范和加强研究生考试招生工作的通知》(教学厅[2019]2号)、《教育部关于印发<2019年全国硕士研究生招生工作管理规定>的通知》(教学[2018]5号)、《教育部关于加强硕士研究生招生复试工作的指导意见》(教学[2006]4号)、《宁夏大学2019年硕士研究生招生复试工作办法》,结合生命科学学院的实际情况,特制订本细则。
一、复试工作原则(一)坚持科学选拔。
根据本学科对高层次人才的要求,采用多样化的考察方式、方法,确保生源质量。
(二)坚持公平、公正、公开的原则。
做到政策透明、程序规范、结果公开。
(三)坚持全面考察,择优录取、宁缺勿滥,在对考生德智体全面考察的基础上,突出对专业素质、实践能力以及创新能力等方面的考核。
(四)坚持客观评价。
业务课考核成绩实行量化,综合素质考核也应有明确的量化结果。
二、复试组织(一)学院成立招生复试工作领导小组,组长由院长担任,实行组长负责制,成员包括各二级学位点的学科带头人、学术骨干、硕士生导师,制订复试工作具体方案等。
(三)按专业和复试人数组成复试小组,对参加复试的小组成员进行专门培训。
每个复试小组成员不少于5人。
复试小组成员包括专业的硕士生导师,指定1人为组长。
复试小组的主要职责为:1. 在学院工作领导小组的指导下具体实施面试和实践能力等考核;2. 负责确定考生面试具体内容、评分标准、程序,并具体组织实施。
复试小组成员必须现场独立评分。
评分记录和考生作答情况不得更改。
有直系亲属参加复试的教师应认真执行回避制度。
(四)各复试小组的面试方式、时间、试题难度和成绩评定标准原则上应统一。
(五)学院制订复试工作人员的遴选、培训办法和行为规范。
选派经验丰富、业务水平高、公道正派的人员参与复试工作;对所有人员进行政策、业务、纪律等方面的培训,使其明确工作纪律和工作程序、评判规则和评判标准;明确复试小组成员在复试工作中的权利、责任和纪律,规范其工作行为。
宁夏大学政法学院2019年硕士研究生招生复试工作安排宁夏大学政法学院2019年硕士研究生复试于3月28日开始。
复试由专业课笔试、专业课面试和英语水平测试三部分组成,具体工作安排如下:一、报到与资格审查。
报考政法学院的考生请于3月27日(星期三)8:30—17:30在宁夏大学贺兰山校区文荟楼8楼政法学院行政管理与社会学系教师工作室(802)报到、资格审查。
二、复试时间、地点等事宜安排特别提示:因考试人数较多,参加复试笔试的同学,进入考场时,请严格按照考场纪律,禁止携带任何通讯工具,并请按照监考老师的指引,有序就坐;无特殊情况,考试结束方可交卷,有序离场。
特别提示:参加英语测试的同学,进入模拟法庭候考时,可从三个入口处有序进入,入场后请按照专业桌签指示,按专业集中就坐,严格按照惯例人员要求,有序候考。
特别提示:1.参加面试的考生请于早上7:30点到达候考地点抽取面试序号,并集中听取面试要求。
考生禁止在候考地点和面试考场随身携带手机、耳机等任何电子设备和相关资料,具体注意事项请查看考场规则.2.因面试人数较多,候考期间不允许携带手机,故在午饭时段由工作人员统计人数,为各位考生订购午餐,请各位考生自备零钱,便于工作人员现场收取。
3.请各位考生携带好水杯、纸巾等生活必备品,学院也将为考生准备开水、矿泉水等后勤补给。
三、复试笔试考场规则1.考生应在考试开始之前了解清楚考场环境及有关注意事项。
2.每科开考前10分钟,考生凭准考证、二代身份证进入考场,对号入座。
入座后将准考证、身份证放在桌角,以便查对。
其它物件存放在监考人员指定的位置。
考生迟到15分钟不得入场;考试结束考生方可交卷出场,不得提前离开考场。
3.考生进入考场,不得携带任何书刊、报纸、稿纸和手机等通讯工具,或其它具有存储、编程、查询功能的电子用品。
考生携带规定以外的物品进入考场或者未按监考老师要求放指定位置的,按考试违纪处理,取消该科目的考试成绩。
考生携带与考试内容相关的材料或者存储有与考试内容相关资料的电子设备参加考试的,按考试作弊处理,其所报名参加考试的各科、各阶段成绩无效。
宁夏大学政法学院2019年硕士研究生招生复试工作安排宁夏大学政法学院2019年硕士研究生复试于3月28日开始。
复试由专业课笔试、专业课面试和英语水平测试三部分组成,具体工作安排如下:一、报到与资格审查。
报考政法学院的考生请于3月27日(星期三)8:30—17:30在宁夏大学贺兰山校区文荟楼8楼政法学院行政管理与社会学系教师工作室(802)报到、资格审查。
二、复试时间、地点等事宜安排特别提示:因考试人数较多,参加复试笔试的同学,进入考场时,请严格按照考场纪律,禁止携带任何通讯工具,并请按照监考老师的指引,有序就坐;无特殊情况,考试结束方可交卷,有序离场。
特别提示:参加英语测试的同学,进入模拟法庭候考时,可从三个入口处有序进入,入场后请按照专业桌签指示,按专业集中就坐,严格按照惯例人员要求,有序候考。
特别提示:1.参加面试的考生请于早上7:30点到达候考地点抽取面试序号,并集中听取面试要求。
考生禁止在候考地点和面试考场随身携带手机、耳机等任何电子设备和相关资料,具体注意事项请查看考场规则.2.因面试人数较多,候考期间不允许携带手机,故在午饭时段由工作人员统计人数,为各位考生订购午餐,请各位考生自备零钱,便于工作人员现场收取。
3.请各位考生携带好水杯、纸巾等生活必备品,学院也将为考生准备开水、矿泉水等后勤补给。
三、复试笔试考场规则1.考生应在考试开始之前了解清楚考场环境及有关注意事项。
2.每科开考前10分钟,考生凭准考证、二代身份证进入考场,对号入座。
入座后将准考证、身份证放在桌角,以便查对。
其它物件存放在监考人员指定的位置。
考生迟到15分钟不得入场;考试结束考生方可交卷出场,不得提前离开考场。
3.考生进入考场,不得携带任何书刊、报纸、稿纸和手机等通讯工具,或其它具有存储、编程、查询功能的电子用品。
考生携带规定以外的物品进入考场或者未按监考老师要求放指定位置的,按考试违纪处理,取消该科目的考试成绩。
考生携带与考试内容相关的材料或者存储有与考试内容相关资料的电子设备参加考试的,按考试作弊处理,其所报名参加考试的各科、各阶段成绩无效。
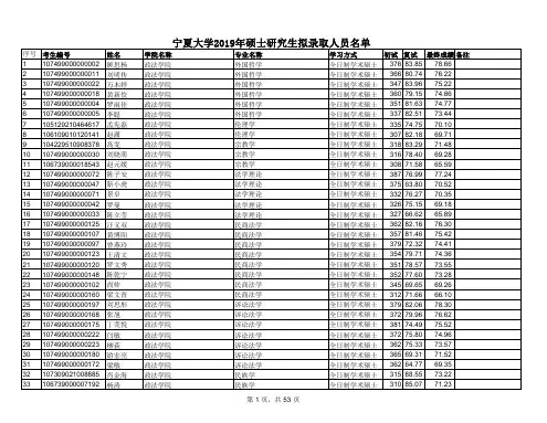
考生编号姓名学院名称专业名称学习方式初试复试最终成绩1.07499E+14马琪教育学院教育学原理全日制学术硕士36483.0876.91 1.07499E+14魏晓倩教育学院教育学原理全日制学术硕士36374.3173.28 1.07499E+14屈琳君教育学院教育学原理全日制学术硕士34678.4972.92 1.07499E+14姜丹教育学院教育学原理全日制学术硕士34377.4672.14 1.07499E+14秦鹏教育学院教育学原理全日制学术硕士33477.7571.18 1.07499E+14刘露教育学院教育学原理全日制学术硕士33477.4971.08 1.07499E+14杨逸教育学院教育学原理全日制学术硕士34175.21711.07499E+14张蓝教育学院教育学原理全日制学术硕士33968.5568.11.07499E+14黄一帆教育学院课程与教学论全日制学术硕士3518274.921.07499E+14谭颖教育学院课程与教学论全日制学术硕士33781.2872.951.07499E+14杜楠教育学院课程与教学论全日制学术硕士34079.772.681.07499E+14阚兵教育学院课程与教学论全日制学术硕士33677.571.321.07499E+14祁雪洋教育学院课程与教学论全日制学术硕士34175.7371.211.07499E+14安富宏教育学院课程与教学论全日制学术硕士34074.4770.591.07499E+14李聿霜教育学院少年儿童组织与思想意识教育全日制学术硕士34383.2274.451.07499E+14李政莹教育学院少年儿童组织与思想意识教育全日制学术硕士34577.0272.211.07499E+14路美玉教育学院心理学全日制学术硕士38090.2181.68 1.07499E+14王小芳教育学院心理学全日制学术硕士34083.8674.34 1.07499E+14吴静教育学院心理学全日制学术硕士35278.1473.5 1.07499E+14伏麟教育学院心理学全日制学术硕士32386.4273.33 1.07499E+14牛晓茹教育学院心理学全日制学术硕士33182.6272.77 1.07499E+14王薇教育学院心理学全日制学术硕士33581.1172.64 1.07499E+14锁倩倩教育学院心理学全日制学术硕士33279.3971.6 1.07499E+14简佩玲教育学院心理学全日制学术硕士32380.270.841.0719E+14马倩教育学院现代教育技术全日制专业硕士36087.6178.241.07499E+14季瑜教育学院现代教育技术全日制专业硕士33986.3675.221.07499E+14何瑞教育学院现代教育技术全日制专业硕士34583.9474.981.0248E+14姚月月教育学院现代教育技术全日制专业硕士33885.7574.861.07499E+14程莹教育学院现代教育技术全日制专业硕士32586.9273.771.07499E+14罗玥教育学院现代教育技术全日制专业硕士33882.0473.381.00569E+14赖丽婷教育学院现代教育技术全日制专业硕士35178.0273.331.07499E+14张悦教育学院现代教育技术全日制专业硕士33181.0672.141.02699E+14翟梅教育学院现代教育技术全日制专业硕士33978.29721.00659E+14隋丽君教育学院现代教育技术全日制专业硕士33977.271.561.07499E+14王虹教育学院现代教育技术全日制专业硕士33179.4571.51.07499E+14陈玉欢教育学院现代教育技术全日制专业硕士32381.4771.351.07499E+14姬佳璐教育学院现代教育技术全日制专业硕士31882.8571.31.04759E+14高斐教育学院现代教育技术全日制专业硕士35669.6270.571.07499E+14董梅教育学院现代教育技术全日制专业硕士32179.9170.481.07499E+14李彤彤教育学院现代教育技术全日制专业硕士33775.0870.471.07499E+14范春亚教育学院现代教育技术全日制专业硕士32279.0770.271.07499E+14齐国娟教育学院现代教育技术全日制专业硕士32976.8670.221.07499E+14梁丽教育学院现代教育技术全日制专业硕士33076.2270.091.02709E+14张亚宁教育学院现代教育技术全日制专业硕士33175.4469.91.07499E+14祖丹妮教育学院现代教育技术全日制专业硕士32178.2669.821.07499E+14陈飞教育学院现代教育技术全日制专业硕士31978.8169.81.07499E+14柳一凡教育学院现代教育技术全日制专业硕士33273.3169.161.07499E+14郭晨雪教育学院现代教育技术全日制专业硕士32076.7669.11.03199E+14王笑远教育学院现代教育技术全日制专业硕士33173.0568.941.07499E+14杨杰教育学院现代教育技术全日制专业硕士33372.0968.81.00029E+14付云飞教育学院现代教育技术全日制专业硕士32671.9767.911.07499E+14代昕怡教育学院现代教育技术全日制专业硕士31774.5867.871.07499E+14陈施红教育学院现代教育技术全日制专业硕士32771.5567.861.07499E+14马丽芳教育学院现代教育技术全日制专业硕士29680.4167.681.07499E+14杨莹莹教育学院现代教育技术全日制专业硕士27287.2267.531.02699E+14王萌萌教育学院现代教育技术全日制专业硕士31673.7267.411.07499E+14李瑞霞教育学院现代教育技术全日制专业硕士32170.2466.621.07499E+14张政教育学院现代教育技术全日制专业硕士32170.2466.621.16469E+14陈祎譞教育学院现代教育技术全日制专业硕士33565.6666.461.07499E+14丁燕燕教育学院现代教育技术全日制专业硕士30773.566.241.03199E+14张妞教育学院小学教育全日制专业硕士38983.7880.19 1.05429E+14肖宇君教育学院小学教育全日制专业硕士37684.5478.94 1.02039E+14刘扬帆教育学院小学教育全日制专业硕士37385.2778.87 1.07499E+14董文姣教育学院小学教育全日制专业硕士36983.5377.69 1.07499E+14杜晓花教育学院小学教育全日制专业硕士37481.6877.55 1.01669E+14张兴妍教育学院小学教育全日制专业硕士36982.2177.16 1.07499E+14杨彤教育学院小学教育全日制专业硕士37276.5875.27 1.07499E+14杨菲教育学院小学教育全日制专业硕士36478.475.04 1.07499E+14吕鑫教育学院小学教育全日制专业硕士34283.4374.41 1.07499E+14高晓霞教育学院小学教育全日制专业硕士34380.7973.48 1.07499E+14邓玉萍教育学院小学教育全日制专业硕士34476.8572.02 1.07499E+14李聪琳教育学院小学教育全日制专业硕士33378.8671.5 1.07499E+14郭晓芸教育学院小学教育全日制专业硕士31869.5365.97 1.07499E+14杨婷教育学院小学教育全日制专业硕士27968.1660.74 1.04759E+14孟瑞瑞教育学院教育技术学全日制学术硕士35176.3772.67 1.07499E+14余学花教育学院教育技术学全日制学术硕士30982.3670.02 1.05119E+14李柱教育学院教育技术学全日制学术硕士30877.4867.95 1.07499E+14樊甜甜教育学院教育技术学全日制学术硕士28475.6464.34 1.1066E+14张倩教育学院教育管理非全日制33083.9573.18 1.00289E+14阎晓晨教育学院教育管理非全日制34178.5772.35 1.05749E+14蔡莎教育学院教育管理非全日制32382.8571.9 1.07499E+14童晓燕教育学院教育管理非全日制33179.9771.71 1.00289E+14张红教育学院教育管理非全日制32080.8970.76 1.07499E+14刘倩教育学院教育管理非全日制33376.6170.61.07499E+14李瑜教育学院教育管理非全日制31478.0670.11.03469E+14李倩教育学院教育管理非全日制31879.7770.07 1.07499E+14高培馨教育学院教育管理非全日制31875.6169.61.07499E+14马玉琴教育学院教育管理非全日制33768.6569.1 1.07499E+14吴香怡教育学院教育管理非全日制32073.49691.04599E+14杨晓硕教育学院教育管理非全日制32475.2568.98 1.07499E+14吴海鸥教育学院教育管理非全日制30976.7468.981.07499E+14高洁教育学院教育管理非全日制31079.4468.98 1.02469E+14崔粲教育学院教育管理非全日制31875.9468.54 1.0719E+14冉晓英教育学院教育管理非全日制32473.2468.18 1.07499E+14苏耀霞教育学院教育管理非全日制29082.7267.89 1.02699E+14俞婕教育学院教育管理非全日制31674.7567.82 1.0446E+14巩浩教育学院教育管理非全日制31971.867 1.07499E+14马东峰教育学院教育管理非全日制26586.266.2831178.3568.66 1.07499E+14张丽萍教育学院教育学原理全日制学术硕士32178.8570.06 1.07499E+14洪建美教育学院小学教育全日制专业硕士备注双少生双少生双少生双少生三支一扶初试+10特岗初试+10特岗初试+10特岗初试+10特岗初试+10双少生双少生双少生少数民族骨干计划少数民族骨干计划。
宁夏大学硕士讨论生招生考试考生进入复试的初试2 宁夏大学2019年硕士研究生招生考试考生进入复试的初试成绩基本要求
根据我校2019年初试成绩,经宁夏大学招生领导小组审定通过《宁夏大学2019年硕士研究生招生考试考生进入复试的初试成绩基本要求》,请符合我校复试基本要求的考生随时关注研究生院硕士研究生复试工作安排的。
退役大学生士兵计划(不包含会计、公共管理、工商管理、管理):总分不低于248分,单科(满分=100分)不低于30分,单科(满分100分)不低于45分;退役大学生士兵计划公共管理、工商管理、管理专业总分不低于130,会计专业总分不低于155,单科(满分=100分)不低于37分,单科(满分100分)不低于74分.。
宁夏大学教育学院2019年攻读硕士学位研究生复试工作安排一、参加复试考生1、初试报考院校为宁夏大学且分数线满足宁夏大学2019年硕士研究生招生考试进入复试初试成绩基本要求。
2、通过中国研究生招生信息网收到我校复试通知且确认参加我校复试的调剂考生。
二、复试日程安排1、报名、资格审查时间: 3月27日8:30——17:302、报名、资格审查地点: 文荟楼8楼党团活动室3、复试时间安排:英语听力与口语水平测试:3月28日上午8:30-12:00专业课面试:3月29日上午8:30-12:00专业课笔试:3月30日下午14:30-16:30同等学力考生加试专业课另行安排4、英语听力与口语水平测试:(1)专业:教育学原理、课程与教学论、小学教育、教育管理地点:教育学院文荟楼心理系办公室(2)专业:少年儿童与思想意识教育、应用心理学、教育技术学、现代教育技术地点:教育学院文荟楼教育系办公室考生备考地点:教育学院文荟楼918会议室5、专业课面试、笔试地点:专业课面试:(1)少年儿童组织与思想意识教育、教育学原理、小学教育: 教育技术系办公室(2)课程教学论、教育管理: 教育系办公室(3)应用心理学:心理系办公室(4)教育技术学、现代教育技术:第一组:地点:文荟楼5楼507室第二组:地点:文荟楼5楼537室专业课笔试:文荟楼4楼404、406、408室6、体检(请各位考生严格按时间、分组安排体检):时间:3月30日上午7:30开始(政法学院、经济管理学院、新闻传播学院、教育学院、音乐学院、体育学院、美术学院)地点:请考生空腹自行前往宁夏回族自治区第三人民医院,银川市西夏区怀远东路499号(老火车站向西100米),乘车Brt1线、102路、306路均可到达(站名:中西医结合医院站)。
三、资格审查复试时进行资格审查,考生需携带下列材料:1、近期正面免冠一寸彩色照片一张,贴体检表(报到时领取);2、初试考生准考证和身份证(须两证齐全方可参加复试);3、2019年宁夏大学硕士研究生招生复试考生资格审查单,参加复试考生需按资格审查单中需要项目准备所有资料;4、少数民族上线考生须持户口本和身份证原件及复印件;享受少数民族照顾政策上线考生须交《宁夏大学接受定向培养硕士学位研究生协议书》(一式三份,双面打印,研究生院网站下载中心处下载);享受加分政策考生相关证明材料;退役大学生士兵计划相关入伍、退出现役证明材料等。
宁夏大学生命科学学院2019年硕士研究生招生复试工作安排根据“宁夏大学2019年攻读硕士学位研究生复试工作安排”有关规定,经生命科学学院研究生招生复试工作领导小组研究,对学院2019年硕士研究生招生复试工作做如下安排:附:一、复试笔试考场规则1.考生应当自觉服从监考员等考试工作人员管理,不得以任何理由妨碍监考员等考试工作人员履行职责,不得扰乱考场及其他相关工作地点的秩序。
2.考生凭本人准考证和身份证提前15分钟到达考场。
应当主动接受监考员按规定对其进行的身份验证核查、安全检查和随身物品检查等。
3.考生只准携带省级教育招生考试机构规定的考试用品,如黑色字迹签字笔,以及铅笔、橡皮等。
不得携带任何书刊、报纸、稿纸、图片、资料、具有通讯功能的工具(如手机、照相设备、扫描设备等)或者有存储、编程、查询功能的电子用品以及涂改液、修正带等物品进入考场。
考生在考场内不得传递文具、用品等。
4.考生入场后,对号入座,将准考证、身份证放在桌子左/右上角以便核验。
《准考证》正、反两面在使用期间均不得涂改或书写。
考生领到答题卡、答题纸、试卷后,应当在指定位置和规定的时间内准确清楚地填涂姓名、考生编号等信息,按照省级教育招生考试机构的要求粘贴条形码等。
凡漏贴条形码的,凡漏填、错填或者字迹不清的答卷影响评卷结果,责任由考生自负。
遇试卷、答题卡、答题纸等分发错误及试卷字迹不清、漏印、重印、缺页等问题,可举手询问;涉及试题内容的疑问,不得向监考员询问。
5.开考信号发出后,考生方可开始答题。
6.开考15分钟后,迟到考生不准进入考场参加当科考试,不允许提前交卷,考试结束后方可交卷。
考生交卷出场后不得再进场续考,也不得在考试机构规定的区域逗留或者交谈。
7.考生应当在答题纸的密封线以外或者答题卡规定的区域答题。
不得用规定以外的笔和纸答题,写在草稿纸或者规定区域以外的答案一律无效,不得在答卷、答题卡上做任何标记。
答题过程中只能用同一类型和颜色字迹的笔。
附件2:2019年硕士研究生招生第一批复试日程安排表(专业主课、专业面试等)日期时间工作内容地点备注3月26日(周二)下午1:30-4:001.全体考生报到2.资格审查舞蹈楼一楼大厅全体考生(含全日制与非全日制)3月27日(周三)上午7:30-8:00检录处附中楼一楼入口处第一次检录上午8:00-11:00专业主课(笔试)附中楼01中国音乐史03民族音乐学04世界民族音乐05音乐文化遗产保护与传承专业主课(笔试)02西方音乐史06音乐分析08舞蹈教育理论研究21作曲专业主课(听写部分)22视唱练耳上午8:00-1.专业主课2.专业面试3.思想政治素质和品德考核29美声演唱74美声演唱(非全日制)30民族声乐演唱27钢琴演奏28艺术指导23合唱指挥24乐队指挥管弦系各研究方向国乐系各研究方向(古筝演奏方向除外)34古筝演奏78古筝演奏(非全日制)26音乐教育72音乐教育(非全日制)31流行音乐演唱1.专业主课2.专业面试3.思想政治素质和品德考核4.同等学力及跨专业考生加试49舞蹈表演50舞蹈创编3月27日(周三)中午1:00-1:30检录处附中楼一楼入口处第二次检录下午1:30-1.专业面试2.思想政治素质和品德考核附中楼06音乐分析21作曲22视唱练耳下午1:30-1.专业面试2.思想政治素质和品德考核附中楼01中国音乐史02西方音乐史03民族音乐学04世界民族音乐05音乐文化遗产保护与传承1.专业面试2.思想政治素质和品德考核3.同等学力及跨专业考生加试科目08舞蹈教育理论研究下午3:00-3:30检录处附中楼一楼入口处第三次检录下午5:30-6:00检录处附中楼一楼入口处除舞蹈表演、舞蹈创编方向外加试考生下午6:00-加试科目《乐理》附中楼除舞蹈表演、舞蹈创编方向外加试考生加试科目《视唱练耳》2019年硕士研究生招生第一批复试日程安排表(英语口语及听力测试、心理测试等)日期时间工作内容地点备注3月27日(周三)上午8:00-全体考生考试结束英语口语及听力测试附中楼考生在专业主课、专业面试结束后,至英语口语及听力测试考场进行测试3月26日(周二)下午1:30-4:30心理测试综合教学楼机房考生可在规定的时间段自行选择时间前往机房进行心理测试3月27日(周三)上午8:00-11:30下午1:30-4:303月28日(周四)。
宁夏大学2019年MPAcc复试内容及参考书推荐宁夏大学2019年会计专硕(MPAcc )复试科目包括笔试和面试两部分,为便于广大考生在复试阶段复习专业课更具针对性,以下是小编为大家整理的“宁夏大学2019年会计专硕(MPAcc)复试内容及参考书推荐”的相关内容。
注:宁夏大学2018年MPAcc报录人数统计:报考人数759人,录取45人宁夏大学会计专硕研究方向01 企业财务会计02 公司理财03 审计理论与事务宁夏大学会计专硕复试内容复试内容包括专业课笔试,政治笔试,综合能力面试,英语口语水平测试。
专业课笔试。
会计专业硕士(MPAcc)笔试科目为《会计学》与《财务管理》的综合命题考试(二合一)。
专业课笔试命题由宁夏大学初试命题工作管理规定进行命制并妥善保管。
政治笔试。
试题按宁夏大学初试命题工作管理规定进行命制并妥善保管。
综合能力面试。
面试采用试题事先命制、装袋,考生现场抽题回答的形式进行。
面试内容包括现场抽题回答,评委提问两个环节。
英语口语水平测试。
由宁夏大学经济管理学院聘请英语专业教师对考生进行英语口语水平测试。
内容包括朗读,自我介绍与问答,口头作文三个环节。
复试总分为100分,其中专业课笔试占40%,政治理论成绩占5%,综合能力面试占35%,英语听力与口语水平测试占20%。
专业课笔试时间为2小时,政治笔试1小时,综合能力面试时间每个考生不少于20分钟,英语口语水平测试每个考生不少于10分钟。
宁夏大学会计专硕复试考试科目及参考书推荐1、复试科目:会计参考书:2018年度注册会计师全国统一考试辅导教材——会计出版社:中国财政经济出版社作者:中国注册会计师协会2、复试科目:财务管理参考书:2018年度注册会计师全国统一考试辅导教材——财务管理出版社:中国财政经济出版社作者:中国注册会计师协会宁夏大学会计专硕同等学力加试科目与参考书推荐加试:管理会计、审计学1、管理会计(100分)参考教材:《管理会计学》(第四版),孙茂竹主编,中国人民大学出版社2、审计学(100分)参考教材:《审计学》(第七版),秦荣生、卢春泉主编,中国人民大学出版社。