中级微观经济学:利润最大化
- 格式:ppt
- 大小:330.50 KB
- 文档页数:8
第19章利润最大化一、判断题1.利润最大化行为弱公理是指厂商只有较弱的利润最大化动机。
()【答案】F【解析】利润最大化行为弱公理是指竞争性厂商的供给量是产品价格的增函数,每种要素的需求函数是该要素价格的减函数。
弱公理也是利润最大化条件推导得出的,因此不能说厂商具有较弱的利润最大化动机。
2.不变要素就是在使用过程中与产量水平成固定比例的生产要素。
()【答案】F【解析】不变要素是指其数量不受产量水平影响的要素,是企业固定数量的生产要素,即使企业的产量为零,企业仍然要为此要素支付成本;可变要素是指其数量随产量水平变化而变化的要素。
3.某要素边际产量等于在其他要素投入量保持不变的条件下生产函数对该要素的偏导数。
()【答案】T【解析】要素的边际产量是在其他要素投入量保持不变的条件下,增加一单位要素所引起的产量增加量,即在其他要素投入量保持不变的条件下生产函数对该要素的偏导数。
4.若初始阶段要素x的边际产品价值随要素x投入的增加而上升,那么此时要素x边际产品价值等于要素价格也是厂商利润最大化条件。
()【答案】F【解析】厂商要素投入在边际产量递增阶段,不能直接套用利润最大化的一阶条件。
当边际产量递增时,企业应该增加要素使用量。
5.若追求利润最大化的竞争性厂商面临产品价格提高,而且所有其他价格保持不变,那么厂商的产量不可能下降的。
()【答案】T【解析】由利润最大化的弱公理∆p∆y≥0,由于∆p>0,∆y≥0是必然成立的。
6.若某竞争性行业中厂商生产函数均呈规模报酬不变的特点,那么他们的长期利润水平一定为零。
()【答案】T【解析】对于在所有产量水平上都具有不变的规模报酬的一家竞争企业而言,惟一可能的长期利润水平是零。
假设长期均衡时,厂商实现了利润最大化,且长期利润水平为正。
此时,若要素投入量增加一倍,产量将增加一倍,利润也将翻番,这与初始的长期均衡状态相矛盾,所以长期利润水平一定为零。
7.与消费理论对应,厂商利润最大化下也可能存在“吉芬要素”,这类要素价格下降反而引起对其需求的下降。
利润最大化目标的具体内容
利润最大化目标是企业管理中一个非常重要的概念,它的含义是指企业通过优化生产、销售和运营策略,实现企业在一定时期内收益的最大化。
具体来说,这个目标通常包含以下几个方面的内容:
1. 生产效率最大化:企业通过改进生产过程、提高生产效率、降低生产成本等手段,使企业在生产过程中创造最大的价值。
2. 销售收入最大化:企业通过合理的定价、促销、拓展销售渠道等手段,增加产品销售量,提高销售收入,实现利润最大化。
3. 运营成本最小化:企业通过优化采购、降低库存、控制费用等手段,降低运营成本,提高盈利能力。
4. 风险管理最小化:企业通过建立健全的风险管理体系、加强内部控制等手段,降低企业在经营过程中面临的各种风险,实现利润最大化。
5. 品牌价值最大化:企业通过提升产品质量、加强品牌宣传等手段,提高品牌知名度和美誉度,增加品牌价值,实现利润最大化。
总的来说,利润最大化目标是一个综合性的目标,它需要企业在多个方面进行优化和改进,以达到实现最大利润的目的。
同时,企业也需要根据市场环境、自身状况等因素制定具体的经营策略,以实现利润最大化目标。
第三节 利润最大化和竞争型供给3。
1利润最大化 利润最大化假说经理一定会考虑股东的利益最大化吗?考虑长期的经理和考虑短期的经理行为的差异,为什么给经理期权等长期才兑现的目标,即经理也变成持股票者,可以消除一部分经理和股东利益的差别? 3.2边际收益、边际成本和利润最大化 厂商的利润为:()()()q R q C q π=-当()()()[()()]()()0MR q MC q d q d R q C q dR q dC q dq dq dq dqπ-==-= 厂商获得最大利润,也即()()MR q MC q =3。
2。
1竞争性厂商的需求和边际收益第三节 利润最大化和竞争型供给(1)竞争型厂商的需求线是一条水平线,需求弹性是多大呢? (2)边际收益呢?(),R q Pq MR P == 3。
2。
1竞争性厂商的需求和边际收益 在完全竞争下()0()d q P MC q dqπ=⇔= 实际上()()()()(())0()'()()()'()1()(1)()()(1)()()||MR q MR q MR q d q d P q q MC q P q q P q MC q dq dq P q q P q MC q P q MC q P q πε=⇔==⇔+=+=⇔-=3.3选择短期产量1()()P MC q q MC P -=⇒=图2.a 竞争性厂商的需求 图2.b 行业面临的需求微观经济学讲义 第三章 厂商理论 第三节 利润最大化和竞争型供给3.4竞争性厂商的短期供给曲线如图4中边际成本线,保本点以上的部分,即黑粗线所示部分。
1(),()c q MC P P MC q -=>Q图4 竞争性厂商的定价:亏损状态c q*2qQ图3 竞争性厂商的定价:盈利状态*1q3。
4.1厂商对投入品价格的反应3.4.1短期市场供给曲线逻辑:假定市场存在n 个厂商,市场总供给为1()()()ni i Q P q P D P ===∑,即每个厂商将价格是为给定,然后所有的厂商的供给构成市场的供给,市场供给和总需求共同决定这个P ,然后给定市场均衡的P ,每个厂商提供具体P 下的供给。
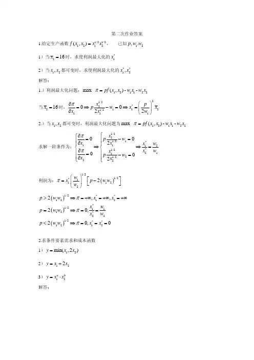
第二次作业答案1.给定生产函数1/21/21212(,)f x x x x =, 已知12,.p w w1)当216x =时,求使利润最大化的*1x2)当12,x x 都可变时,求使利润最大化的**12,x x解答:1.)利润最大化问题:121122max (,)--pf x x w x w x π= 当216x =时,21/2*21121/21110022x p p w x x x x w π⎛⎞∂=⇒−=⇒=⎜⎟∂⎝⎠ 2.)当12,x x 都可变时,利润最大化问题为121122max (,)--pf x x w x w x π= 求解一阶条件为:1/2211/2*1112*1/221121/222002002x p w x x x w x w x p w x x ππ⎧∂⎧=−=⎪⎪∂⎪⎪⇒⇒=⎨⎨∂⎪⎪=−=⎪⎪∂⎩⎩ 利润为:()1/21/2*111222w x p w w w π⎛⎞⎡⎤=−⎜⎟⎣⎦⎝⎠ ()()()1/2**1212*1/21112*221/2**12122,,20,20,0p w w x x x w p w w x w p w w x x πππ>⇒=+∞=+∞=+∞=⇒==<⇒===2.求条件要素需求和成本函数1)12min(,2)y x x =2)122y x x =+3)12a by x x =⋅解答:3.已知生产函数为min(3,4)y K L =,1)作出y=100时的等产量线;2)推导出边际技术替代率函数;3)讨论其规模报酬情况。
解答:1)生产函数min(3,4)y K L =反映了资本和劳动在技术上必须以固定比例投入的情况。
2)由于K 和L 是不可以替代的,因此边际技术替代率为0.3)由于(),min(3,4)y f L K K L ==,所以(),min(3,4)=min (3,4) =min(3,4)=f L K K L K L K L yλλλλλλλ= 所以该生产函数为规模报酬不变。
中级微观经济学名词解释古诺模型一、古诺模型的概念古诺模型是指上世纪20年代经济学家安东尼奥·古诺(Antonio De Viti De Marco)所提出的一种宏观经济学分析模型。
这一模型主要用于研究经济体系中的资源配置和收入分配等问题,其核心是通过分析市场机制下各类经济主体之间的相互影响,从而揭示经济运行规律和社会福利最大化问题。
古诺模型在经济学领域有着广泛的应用,尤其是在微观经济学中,被用来研究市场的失灵和干预等问题。
二、古诺模型的基本假设古诺模型的分析基于一些基本假设,主要包括:1. 完全竞争市场:古诺模型假设市场是完全竞争的,即所有市场参与者是价格接受者,市场价格是受市场供求关系决定的,不存在垄断和劳动力市场的不完全竞争。
2. 用户利益最大化:古诺模型假设用户在购物商品和劳务时总是希望获得最大的消费福利,即满足最大的个人效用。
3. 生产者利润最大化:在古诺模型中,生产者总是希望通过生产和销售商品和劳务获得最大的经济利润,从而提高自己的生产效率和技术水平。
4. 市场出清:古诺模型假设市场在一定时期内总能达到供需平衡状态,即生产者提供的商品和劳务总是等于用户需求的总量,从而消除市场的过剩和短缺。
5. 完全信息:古诺模型假设市场参与者对市场信息是完全了解的,从而能够做出最理性的决策和行为。
6. 稳定价格水平:古诺模型假设市场价格是稳定的,不存在通货膨胀和通货紧缩等货币失衡现象。
三、古诺模型的分析框架在古诺模型中,经济体系主要包括用户、生产者和政府三个主要经济主体。
在此基础上,古诺模型建立了一套完整的分析框架,主要包括:1. 用户福利和效用最大化问题:古诺模型通过分析用户购物商品和劳务的需求行为,揭示了用户在市场中实现福利最大化的决策过程和行为规律。
通过效用函数和边际效用等概念,古诺模型能够量化分析不同用户的福利水平和效用水平,从而研究市场需求函数和价格弹性等问题。
2. 生产者利润最大化和成本最小化问题:古诺模型通过分析生产者的生产成本和生产效率等问题,揭示了生产者在市场中实现利润最大化和生产成本最小化的决策过程和行为规律。
中级微观经济学知识点微观经济学是研究经济系统中单一经济主体行为的经济学分支,包括个人、企业、政府及其他经济组织和市场。
它考察如何决策者通过资源有效地分配来满足需求,重点研究市场经济中的成本、收益和效率等问题。
以下是中级微观经济学知识点的概括。
一、产出及其成本1.1生产函数:它描述了生产过程中输入资源(比如原材料、劳动力等)与最终生产的输出结果的关系。
1.2成本曲线:它描述了生产一定量产品所需的平均成本(平均成本、边际成本等)和总成本的关系。
二、供求2.1供求模型:它描述了市场中供应和需求的关系,以及供求变化带来的价格变化。
2.2收益及其曲线:它描述了生产、消费和效率之间的关系,以及产品价格、消费者收益与制造方收益之间的关系。
三、对策3.1对策理论:它用数学建模的方法来研究双方在一定条件下如何博弈来获得最佳结果。
3.2双边市场:它研究在双边市场中,买方和卖方如何决策以达到最佳的交易结果。
四、公共经济学4.1公共货币:它描述了政府发行的货币和它们的相关性。
4.2税收政策:它研究了政府如何利用税收政策来调节国民收入和消费。
4.3政府干预:它描述了政府如何使用政策介入经济系统,以达到其目的。
五、经济效率5.1效率理论:它研究效用的分配,以及如何通过改变分配来提高总体效用。
5.2投入输出分析:它描述了经济生产系统中投入和输出之间的关系,以及能够改善经济效率的方法。
5.3收益最大化:它根据一定的利润最大化要求,研究最优资源配置方式。
总之,中级微观经济学知识点包括生产函数、成本曲线、供求模型、收益及其曲线、对策理论、双边市场、公共货币、税收政策、政府干预、效率理论、投入输出分析和收益最大化等。
深入研究中级微观经济学知识点,有助于我们更好地理解经济体系,从而推进经济发展。
《微观经济学:利润最大化与竞争性供给》问答与练习(英文版含答案)PROFIT MAXIMIZATION AND COMPETITIVE SUPPLY1. Why would a firm that incurs losses choose to produce rather than shut down?Losses occur when revenues do not cover total costs. Revenues could still be greater thanvariable costs, but not fixed costs. If a firm is incurring a loss, it will seek to minimizethat loss. In the short run, losses will be minimized as long as the firm covers its variablecosts. In the long run, all costs are variable. Thus, all costs must be covered if the firmis to remain in business.2. The supply curve for a firm in the short run is the short-run marginal cost curve (above the point of minimum average variable cost). Why is the supply curve in the long run not the long-run marginal cost curve (above the point of minimum average total cost)?In the short run, a change in the market price induces the profit-maximizing firm tochange its optimal level of output. This optimal output occurs when price is equal tomarginal cost, as long as marginal cost exceeds average variable cost. Therefore, thesupply curve of the firm is its marginal cost curve, above average variable cost. (Whenthe price falls below average variable cost, the firm will shut down.)In the long run, the firm adjusts its inputs so that its long-run marginal cost is equal tothe market price. At this level of output, it is operating on a short-run marginal costcurve where short-run marginal cost is equal to price. As the long-run price changes,the firm gradually changes its mix of inputs to minimize cost. Thus, the long-run supplyresponse is this adjustment from one set of short-run marginal cost curves to another.3. In long-run equilibrium, all firms in the industry earn zero economic profit. Why is this true?The theory of perfect competition explicitly assumes that there are no entry or exitbarriers to new participants in an industry. With free entry, positive economic profitsinduce new entrants. As these firms enter, the supply curve shifts to the right, causinga fall in the equilibrium price of the product. Entry will stop, and equilibrium will beachieved, when economic profits have fallen to zero.4. What is the difference between economic profit and producer surplus?While economic profit is the difference between total revenue and total cost, producersurplus is the difference between total revenue and total variable cost. The differencebetween economic profit and producer surplus is the fixed cost of production.5. Why do firms enter an industry when they know that in the long run economic profit will be zero?Firms enter an industry when they expect to earn economic profit. These short-runprofits are enough to encourage entry. Zero economic profits in the long run implynormal returns to the factors of production, including the labor and capital of the ownersof firms. For example, the owner of a small business might experience positiveaccounting profits before the foregone wages from running the business are subtractedfrom these profits. If the revenue minus other costs is just equal to what could be earnedelsewhere, then the owner is indifferent to staying in business or exiting.6. At the beginning of the twentieth century, there were many small American automobile manufacturers. At the end of the century, there are only three large ones. Suppose that this situation is not the result of lax federal enforcement of antimonopoly laws. How do you explain the decrease in the number of manufacturers? (Hint: What is the inherent cost structure of the automobile industry?) Automobile plants are highly capital-intensive. Assuming there have been noimpediments to competition, increasing returns to scale can reduce the number of firmsin the long run. As firms grow, their costs decrease with increasing returns to scale.Larger firms are able to sell their product for a lower price and push out smaller firms inthe long run. Increasing returns may cease at some level of output, leaving more thanone firm in the industry.7. Industry X is characterized by perfect competition, so every firm in the industry is earning zero economic profit. If the product price falls, no firms can survive. Do you agree or disagree? Discuss.Disagree. As the market price falls, firms cut their production. If price falls belowaverage total cost, firms continue to produce in the short run and cease production in thelong run. If price falls below average variable costs, firms cease production in the shortrun. Therefore, with a small decrease in price, i.e., less than the difference between theprice and average variable cost, firms can survive. With larger price decrease,i.e.,greater than the difference between price and minimum average cost, no firms survive.8. An increase in the demand for video films also increases the salaries of actors and actresses. Is the long-run supply curve for films likely to be horizontal or upward sloping? Explain.The long-run supply curve depends on the cost structure of the industry. If there is a fixedsupply of actors and actresses, as more films are produced, higher salaries must be offered.Therefore, the industry experiences increasing costs. In an increasing-cost industry, thelong-run supply curve is upward sloping. Thus, the supply curve for videos would beupward sloping.9. True or false: A firm should always produce at an output at which long-run average cost is minimized. Explain.False. In the long run, under perfect competition, firms should produce where averagecosts are minimized. The long-run average cost curve is formed by determining theminimum cost at every level of output. In the short run, however, the firm might not beproducing the optimal long-run output. Thus, if there are any fixed factors of production,the firm does not always produce where long-run average cost is minimized.10. Can there be constant returns to scale in an industry with an upward-sloping supply curve? Explain.Constant returns to scale imply that proportional increases in all inputs yield the sameproportional increase in output. Proportional increases in inputs can induce higherprices if the supply curves for these inputs are upward sloping. Therefore, constantreturns to scale does not always imply long-run horizontal supply curves.11. What assumptions are necessary for a market to be perfectly competitive? In light of what you have learned in this chapter, why is each of these assumptions important?The two primary assumptions of perfect competition are (1) all firms in the industry areprice takers, and (2) there is free entry and exit of firms from the market. This chapterdiscusses how competitive equilibrium is achieved under these assumptions. In particular,we have seen that in a competitive equilibrium, price is equal to marginal cost. Bothassumptions insure this equilibrium condition in the long run. In the short run, pricecould be greater than average cost, implying positive economic profits. With free entryand exit, positive economic profits would encourage other firms to enter. This entryexerts downward pressure on price until price is equal to both marginal cost andminimum average cost.12. Suppose a competitive industry faces an increase in demand (i.e., the curve shifts upward). What are the steps by which a competitive market insures increased output? Does your answer change if the government imposes a price ceiling?If demand increases with fixed supply, price and profits increase. The price increaseinduces the firms in the industry to increase output. Also, with positive profit, firmsenter the industry, shifting the supply curve to the right. With an effective price ceiling,profit will be lower than without the ceiling, reducing the incentive for firms to enter theindustry. With zero economic profit, no firms enter and there is no shift in the supplycurve.13. The government passes a law that allows a substantial subsidy for every acre of land used to grow tobacco. How does this program affect the long-run supply curve for tobacco?A subsidy to tobacco pro duction decreases the firm’s costs of production. These costdecreases encourage other firms to enter tobacco production, and the supply curve for theindustry shifts out.1. From the data in Table 8.2, show what happens to the firm’s output ch oice and profit if the price of the product falls from $40 to $35.The table below shows the firm’s revenue and cost information when the price falls to $35.At a price of $35, the firm should produce seven units to maximize profits, because this isthe point closest to where price equals marginal cost without having marginal cost exceedprice.2. Again, from the data in Table 8.2, show what happens to the firm’s output choice and profit if the fixed cost of production increases from $50 to $100, and then to $150. What general conclusion can you reach about the effects of fixed costs on the firm’s output choice?The table below shows the firm’s revenue and cost information for Fixed Cost, FC of 50,100, and 150.With fixed costs of 100, the firm maximizes profit at 8 units of output. It also minimizeslosses with fixed costs of 150 at the same level. Fixed costs do not influence the optimalquantity, because they do not influence marginal cost.3. Suppose you are the manager of a watchmaking firm operating in a competitive market. Your cost of production is given by C = 100 + Q2, where Q is the level of output and C is total cost. (The marginal cost of production is 2Q. The fixed cost of production is $100.)a. If the price of watches is $60, how many watches should you produce to maximize profit?Profits are maximized where marginal cost is equal to marginal revenue. Here,marginal revenue is equal to $60; recall that price equals marginal revenue in acompetitive market:60 = 2Q, or Q = 30.b. What will the profit level be?Profit is equal to total revenue minus total cost:π = (60)(30) - (100 + 302) = $800.c. At what minimum price will the firm produce a positive output?A firm will produce in the short run if the revenues it receives are greater than its variablecosts. Remember that the firm’s short-run supply curve is its marginal cost curve abovethe minimum of average variable cost. Here, average variable cost is VCQQQQ ==2.Also, MC is equal to 2Q. So, MC is greater than AVC for any quantity greater than 0. This means that the firm produces in the short run as long as price is positive.4. Use the same information as in Exercise 1 to answer the following.a. Derive the firm’s short-run supply curve. (Hint: you may want to plot the appropriate costcurves.)The firm’s short-run supply curve is its marginal cost curve above average variable cost.The table below lists marginal cost, total cost, variable cost, fixed cost, and averagevariable cost.Q P TR TC MC TVC TFC AVC0 40 0 50 -50 ___ 0 50 ___1 40 40 100 -60 50 50 50 50.02 40 80 128 -48 28 78 50 39.03 40 120 148 -28 20 98 50 32.74 40 160 162 -2 14 112 50 28.05 40 200 180 20 18 130 50 26.06 40 240 200 40 20 150 50 25.07 40 280 222 58 22 172 50 24.68 40 320 260 60 38 210 50 26.3b. If 100 identical firms are in the market, what is the industry supply curve?For 100 firms with identical cost structures, the market supply curve is the horizontalsummation of each firm’s output at each price.Figure 8.4.b5. A sales tax of $1 per unit of output is placed on one firm whose product sells for $5 in a competitive industry.a. How will this tax affect the cost curves for the firm?With the imposition of a $1 tax on a single firm, all its cost curves shift up by $1.b. What will happen to the firm’s price, output, and profit in the short run?Since the firm is a price-taker in a competitive market, the imposition of the tax on onlyone firm does not change the market price. Since the firm’s short-run supply curve is itsmarginal cost curve above average variable cost and that marginal cost curve has shiftedup (inward), the firm supplies less to the market at every price. Profits are lower atevery quantity.c. What will happen in the long run?If the tax is placed on a single firm, that firm will go out of business.6. Suppose that a competitive firm’s marginal cost of producing output q is given byMC(q) = 3 + 2q. Assume that the market price of the firm’s product is $9:a. What level of output will the firm produce?To maximize profits, the firm should set marginal revenue equal to marginal cost. Giventhe fact that this firm is operating in a competitive market, the market price it faces isequal to marginal revenue. Thus, the firm should set the market price equal to marginalcost to maximize its profits:9 = 3 + 2q, or q = 3.Total revenue is price times quantity:TR = ($9)(3) = $27.Profit is total revenue minus total cost:= $27 - $21 = $6.Therefore, the firm is earning positive economic profits.8. A competitive industry is in long-run equilibrium. A sales tax is then placed on all firms in the industry. What do you expect to happen to the price of the product, the number of firms in the industry, and the output of each firm in the long run?With the imposition of a sales tax on all firms, the supply curve shifts up and a newequilibrium will result with a lower quantity and a higher price. This shift in supplyrepresents lower production for all firms.*9. A sales tax of 10 percent is placed on half the firms (the polluters) in a competitive industry. The revenue is paid to the remaining firms (the nonpolluters) as a 10 percent subsidy on the value of output sold.a. Assuming that all firms have identical constant long-run average costs before the sales tax-subsidy policy, what do you expect to happen to the price of the product, the output of each of the firms, and industry output, in the short run and the long run? (Hint: How does price relate to industry input?)The price of the product depends on the quantity produced by all firms in the industry.The immediate response to the sales-tax=subsidy policy is a reduction in quantity bypolluters and an increase in quantity by non-polluters. If a long-run competitiveequilibrium existed before the sales-tax=subsidy policy, price would have been equal tomarginal cost and long-run minimum average cost. For the polluters, the price after thesales tax is below long-run average cost; therefore, in the long run, they will exit theindustry. Furthermore, after the subsidy, the non-polluters earn economic profits thatwill encourage the entry of non-polluters. If this is a constant cost industry and the lossof the polluters’ output is compensated by an increase in the non-polluters’ output, theprice will remain constant.b. Can such a policy always be achieved with a balanced budget in which tax revenues are equal tosubsidy payments? Why? Explain.As the polluters exit and non-polluters enter the industry, revenues from pollutersdecrease and the subsidy to the non-polluters increases. This imbalance occurs whenthe first polluter leaves the industry and persist’s ever after.。
2、假设某消费者的效用函数为U XY =,X 和Y 表示两种商品,当效用为20单位、X 商品的消费量为5时,Y 商品的消费量是多少?这一商品消费组合对应的边际替代率是多少?如果这时的组合是达到消费者均衡的组合,那么X 和Y 两种商品的价格之比应为多少?① ∵U XY =当U=20时,由X=5得:y=80。
② 边际替代率③ 达到均衡时,故:.3、已知效用函数为1U X Y αα-=,求商品的边际替代率MRS XY 和MRS YX ,并求当X 和Y 的数量分别为4和12时的边际替代率。
解:11113(1)(1)(1)(1)(1)(1)3X XYY Y YX X MU X Y Y MRS MU X Y X MU X YX MRS MU X Y Y αααααααααααααααααααα------====------====4、假设某消费者的效用函数为22(,)U U X Y X Y ==,消费者的预算线是X Y I P X P Y =+,试求该约束条件下的最优化问题,并推导出消费者均衡的一阶条件,再推导出用参数表示的X 和Y 的需求函数。
解:22()X Y L X Y I P X P Y λ=+--......(1) (2)0X Y LI P X P Y λ∂=--=∂......(3) (1)除于(2)可得:......(4) 由(4)得:......(5) 将(5)代入(3)得: (6)将(6)代入(5)得: (7)答:(4)式为一阶条件,(6)、(7)式为需求函数。
5、一个消费者每期收入为192元,他有两种商品可以选择:商品A 和B ,他对两种商品的效用函数为U AB =,PA 为12元,PB 为8元。
根据他的收入,他要购买多少数量的A 和B 才能获得最大效用,最大效用为多少?如果商品B 的价格上涨一倍,即16元,要满足他原来的效用水平,需要增加多少收入?解:(1)最大效用问题(192128)L AB A B λ=+--......(1) (2)1921280LA B λ∂=--=∂......(3) (1)除以(2)可得: (4)(4)代入(3)可得:12B = (5)(5)代入(4)可得:8A =代入效用函数可得:81296U AB ==⨯=(2)最小支出问题:1216(96)L A B AB λ=++-......(1) ......(2) (3)(1)除以(2)得: (4)(4)代入(3)得:11.31A == (5)(5)代入(4)得:271.53I ==271.5319279.53I ∆=-=6、设效用函数为11212(,)()u x x x x ρρρ=+,其中,01ρ≠<。
第19章 利润最大化1.在短期内,如果不变生产要素的价格提高,利润会发生什么变化?答:在短期内,如果不变生产要素的价格提高,利润会降低。
厂商利润()()()00max max x x pf x z wx rz pf x z wx rz π≥≥⎡⎤=-+=--⎢⎥⎣⎦,,,其中r 和z 分别是固定要素的数量和价格。
特别地,短期内z 固定不变,所以r 和z 会以参数的形式出现在利润的表达式中。
所以,r 的提高会引起利润的下降。
2.如果某企业的生产技术能做到对于任何产量水平都是规模报酬递增的,在价格保持不变并且经营规模扩大一倍的情况下,它的利润会发生什么变化?答:它的利润会扩大到原来的两倍以上。
这是因为:对于一个处处规模报酬递增的企业,其生产函数满足()()f tx tf x >,其中1t >。
对任意的产量x ,其利润为()0max x pf x wx π≥=-,所以当企业生产规模扩大一倍后,其利润是 ()()00max 222max x x pf x wx pf x wx π≥≥⎡⎤=->-⎢⎥⎣⎦,因此其利润是原来的两倍以上。
3.如果一个企业在各种产出水平上都显示规模报酬递减,那么,把这个企业划分为两个相等规模的较小企业,它的总利润会发生什么变化?答:通过把一个企业分拆为规模更小的企业可以提高其总利润。
这是因为:对于一个处于规模报酬递减的企业,其生产函数满足()()f tx tf x <,其中1t >。
该企业的利润为:()()()0max x p w pf x wx pf x wx π**≥=-=-,,其中*x 是最优要素投入量。
若把该企业分成两个规模相等的小企业,则这两个小企业的总利润为:()1222x pf wx pf x wx ****⎡⎤⎛⎫->-⎢⎥ ⎪⎢⎥⎝⎭⎣⎦ 分拆后的总利润大于原来一个企业的利润,所以通过把一个企业分拆为规模更小的企业有利于提高其利润,而且分拆后的规模越小,则这些小企业的总利润就越高(比如在本题中,把企业分拆后的两个小企业再次按同样的方法分拆)。
第20章 利润最大化1.在短期内,如果不变生产要素的价格提高,利润会发生什么变化?答:在短期内,如果不变生产要素的价格提高,利润会降低。
理由如下: 厂商利润0max (,)()max (,)x x pf x z wx rz pf x z wx rz π≥≥=-+⎡⎤=--⎣⎦其中r 和z 分别是固定要素的数量和价格。
特别地,短期内z 固定不变,所以r 和z 会以参数的形式出现在利润的表达式中。
所以,r 的提高会引起利润的下降。
2.如果一家厂商处处都显示规模报酬递增,那么,在价格保持不变并且经营规模扩大一倍的情况下,它的利润会发生什么变化?答:它的利润会扩大到原来的两倍以上。
这是因为:对于一个处处规模报酬递增的企业,其生产函数满足f (tx )>tf (x ),其中t >1。
对任意的产量x ,其利润为0max ()x pf x wx π≥=-所以当企业生产规模扩大一倍后,其利润为:00max (2)22max ()x x pf x wx pf x wx π≥≥⎡⎤=->-⎣⎦ 因此,其利润是原来的两倍以上。
3.如果一家厂商在各种产出水平上都显示规模报酬递减,那么,把它分拆为两家规模相等的较小厂商,它的总利润会发生什么变化?答:通过把一个企业分拆为规模更小的企业可以提高其总利润。
这是因为:对于一个处于规模报酬递减的企业,其生产函数满足f (tx )<tf (x ),其中t >1。
该企业的利润为:**(,)max ()()x p w pf x wx pf x wx π≥=-=- 其中x *是最优要素投入量。
若把该企业分成两个规模相等的小企业,则这两个小企业的总利润为:2[pf (x */2)-0.5wx *]>pf (x *)-wx *分拆后的总利润大于原来一个企业的利润,所以通过把一个企业分拆为规模更小的企业有利于提高其利润,而且分拆后的规模越小,则这些小企业的总利润就越高(比如在本题中,把企业分拆后的两个小企业再次按同样的方法分拆)。