全国经纬度汇总表(全)
- 格式:xls
- 大小:301.50 KB
- 文档页数:68
中国城市经纬度表中国城市经纬度表城市经度纬度城市经度纬度北京 116:28E 39:54N 青岛 120:19E 36:04N天津 117:10E 39:10N 郑州 113:42E 34:44N石家庄 114:26E 38:03N 开封 114:23E 34:52N 保定 115:28E 38:53N 洛阳 112:26E 34:43N唐山 118:09E 39:37N 许昌 113:48E 34:00N秦皇岛 119:37E 39:54N 新乡 113:54E 35:18N 张家口 114:55E 40:51N 武汉 114:20E 30:37N 承德 117:52E 40:59N 宜昌 111:15E 30:42N太原 112:33E 37:51N 沙市 112:17E 30:16N大同 113:13E 40:07N 长沙 112:55E 28:12N临汾 111:31E 36:05N 衡阳 112:34E 26:55N长治 113:13E 36:05N 湘潭 112:51E 27:54N呼和浩特 111:38E 40:48N 常德 111:39E 29:00N 包头 110:00E 40:35N 广州 113:18E 23:10N海拉尔 119:43E 49:14N 汕头 116:40E 23:21N 沈阳 123:23E 41:48N 韶关 113:33E 24:48N大连 121:38E 38:54N 海口 110:10E 20:03N鞍山 123:00E 41:04N 南宁 108:21E 22:47N锦州 121:09E 41:09N 桂林 110:10E 25:18N长春 125:18E 43:55N 柳州 109:19E 24:20N吉林 126:36E 43:48N 悟州 111:18E 23:28N哈尔滨 126:38E 45:45N 成都 104:04E 30:39N 齐齐哈尔 123:55E 47:22N 重庆 106:33E 29:33N 牡丹江 129:36E 44:35N 内江 105:03E 29:35N 上海 121:26E 31:12N 泸州 105:27E 28:54N南京 118:46E 32:03N 万县 108:22E 30:48N 无锡 120:18E 31:35N 贵阳 106:43E 26:34N 苏州 120:39E 31:20N 遵义 106:53E 27:45N 徐州 117:12E 34:16N 昆明 102:42E 25:03N 杭州 120:10E 30:15N 拉萨 91:02E 29:39N宁波 121:34E 29:53N 日喀则 88:49E 29:16N 温州 120:38E 28:00N 西安 108:55E 34:15N 金华 119:49E 29:10N 宝鸡 107:09E 34:21N 合肥 117:16E 31:51N 延安 109:26E 36:35N 芜湖 118:20E 31:21N 兰州 103:50E 36:03N 安庆 117:02E 30:32N 天水 105:33E 34:35N 福州 119:19E 26:02N 酒泉 98:30E 39:44N厦门 118:04E 24:26N 西宁 101:49E 36:37N 泉州 118:37E 24:54N 银川 106:13E 38:28N 南昌 115:53E 28:41N 乌鲁木齐 87:36E 43:46N 九江 115:59E 29:43N 哈密 93:27E 42:50N赣州 114:56E 25:51N 喀什 75:59E 39:27N济南 117:02E 36:40N 和田 79:55E 37:07N烟台 121:20E 37:33N 台北 121:31E 25:02N。
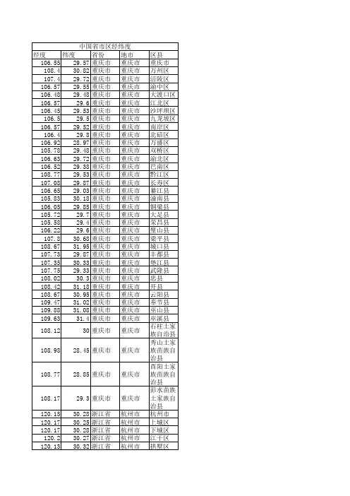
中国城市经纬度汇总北京市市中心经纬度:(116.41667,39.91667)上海市区经纬度:(121.43333,34.50000)天津市区经纬度:(117.20000,39.13333)香港经纬度:(114.10000,22.20000)广州经纬度:(113.23333,23.16667)珠海经纬度:(113.51667,22.30000)深圳经纬度:(114.06667,22.61667)杭州经纬度:(120.20000,30.26667)重庆市区经纬度:(106.45000, 29.56667)青岛经纬度:(120.33333,36.06667)厦门经纬度:(118.10000,24.46667)福州经纬度:(119.30000,26.08333)兰州经纬度:(103.73333,36.03333)贵阳经纬度:(106.71667,26.56667)长沙经纬度:(113.00000,28.21667)南京经纬度:(118.78333,32.05000)南昌经纬度:(115.90000,28.68333)沈阳经纬度:(123.38333,41.80000)太原经纬度:(112.53333,37.86667)成都经纬度:(104.06667,30.66667)拉萨经纬度:(91.00000,29.60000)乌鲁木齐经纬度:(87.68333,43.76667)昆明经纬度:(102.73333,25.05000)西安经纬度:(108.95000,34.26667)西宁经纬度:(101.75000,36.56667)银川经纬度:(106.26667,38.46667)兰浩特经纬度:(122.08333,46.06667)哈尔滨经纬度:(126.63333,45.75000)长春经纬度:(125.35000,43.88333)武汉经纬度:(114.31667,30.51667)郑州经纬度:(113.65000,34.76667)石家庄经纬度:(114.48333,38.03333)三亚经纬度:(109.50000,18.20000)海口经纬度:(110.35000,20.01667)澳门经纬度:(113.50000,22.20000)2、中国主要城市经纬度查询(精确到二级省市):所在省城市名纬度经度安徽省合肥北纬31.52 东经117.17安徽省安庆北纬30.31 东经117.02安徽省蚌埠北纬32.56 东经117.21安徽省亳州北纬33.52 东经115.47安徽省巢湖北纬31.36 东经117.52安徽省滁州北纬32.18 东经118.18安徽省贵池北纬30.39 东经117.28 安徽省淮北北纬33.57 东经116.47 安徽省淮南北纬32.37 东经116.58 安徽省黄山北纬29.43 东经118.18 安徽省界首北纬33.15 东经115.21 安徽省六安北纬31.44 东经116.28 安徽省马鞍山北纬31.43 东经118.28 安徽省明光北纬32.47 东经117.58 安徽省宿州北纬33.38 东经116.58 安徽省天长北纬32.41 东经118.59 安徽省铜陵北纬30.56 东经117.48 安徽省芜湖北纬31.19 东经118.22 安徽省宣州北纬30.57 东经118.44 澳门澳门市北纬21.33 东经115.07 北京市北京市北纬39.55 东经116.24 福建省福州北纬26.05 东经119.18 福建省长乐北纬25.58 东经119.31 福建省福安北纬27.06 东经119.39 福建省福清北纬25.42 东经119.23 福建省建瓯北纬27.03 东经118.20 福建省建阳北纬27.21 东经118.07 福建省晋江北纬24.49 东经118.35 福建省龙海北纬24.26 东经117.48 福建省龙岩北纬25.06 东经117.01 福建省南安北纬24.57 东经118.23 福建省南平北纬26.38 东经118.10 福建省宁德北纬26.39 东经119.31 福建省莆田北纬24.26 东经119.01 福建省泉州北纬24.56 东经118.36 福建省三明北纬26.13 东经117.36 福建省邵武北纬27.20 东经117.29 福建省石狮北纬24.44 东经118.38 福建省武夷山北纬27.46 东经118.02 福建省厦门北纬24.27 东经118.06 福建省永安北纬25.58 东经117.23 福建省漳平北纬25.17 东经117.24 福建省漳州北纬24.31 东经117.39 甘肃省兰州北纬36.04 东经103.51 甘肃省白银北纬36.33 东经104.12 甘肃省敦煌北纬40.08 东经94.41甘肃省嘉峪关北纬39.48 东经98.14 甘肃省金昌北纬38.28 东经102.10 甘肃省酒泉北纬39.44 东经98.31甘肃省平凉北纬35.32 东经106.40 甘肃省天水北纬34.37 东经105.42 甘肃省武威北纬37.56 东经102.39 甘肃省西峰北纬35.45 东经107.40 甘肃省玉门北纬39.49 东经97.35 甘肃省张掖北纬38.56 东经100.26 广东省广州北纬23.08 东经113.14 广东省潮阳北纬23.16 东经116.36 广东省潮州北纬23.40 东经116.38 广东省澄海北纬23.28 东经116.46 广东省从化北纬23.33 东经113.33 广东省东莞北纬23.02 东经113.45 广东省恩平北纬22.12 东经112.19 广东省佛山北纬23.02 东经113.06 广东省高明北纬22.53 东经112.50 广东省高要北纬23.02 东经112.26 广东省高州北纬21.54 东经110.50 广东省鹤山北纬22.46 东经112.57 广东省河源北纬23.43 东经114.41 广东省花都北纬23.23 东经113.12 广东省化州北纬21.39 东经110.37 广东省惠阳北纬22.48 东经114.28 广东省惠州北纬23.05 东经114.22 广东省江门北纬22.35 东经113.04 广东省揭阳北纬22.32 东经116.21 广东省开平北纬22.22 东经112.40 广东省乐昌北纬25.09 东经113.21 广东省雷州北纬20.54 东经110.04 广东省廉江北纬21.37 东经110.17 广东省连州北纬24.48 东经112.23 广东省罗定北纬22.46 东经111.33 广东省茂名北纬21.40 东经110.53 广东省梅州北纬24.19 东经116.07 广东省南海北纬23.01 东经113.09 广东省番禺北纬22.57 东经113.22 广东省普宁北纬23.18 东经116.10 广东省清远北纬23.42 东经113.01 广东省三水北纬23.10 东经112.52 广东省汕头北纬23.22 东经116.41 广东省汕尾北纬22.47 东经115.21 广东省韶关北纬24.48 东经113.37 广东省深圳北纬22.33 东经114.07 广东省顺德北纬22.50 东经113.15广东省台山北纬22.15 东经112.48广东省吴川北纬21.26 东经110.47广东省新会北纬22.32 东经113.01广东省兴宁北纬24.09 东经115.43广东省阳春北纬22.10 东经111.48广东省阳江北纬21.50 东经111.58广东省英德北纬24.10 东经113.22广东省云浮北纬22.57 东经112.02广东省增城北纬23.18 东经113.49广东省湛江北纬21.11 东经110.24广东省肇庆北纬23.03 东经112.27广东省中山北纬22.31 东经113.22广东省珠海北纬22.17 东经113.34广西自治区南宁北纬22.48 东经108.19 广西自治区北海北纬21.28 东经109.07 广西自治区北流北纬22.42 东经110.21 广西自治区百色北纬23.54 东经106.36 广西自治区防城港北纬21.37 东经108.20 广西自治区贵港北纬23.06 东经109.36 广西自治区桂林北纬25.17 东经110.17 广西自治区桂平北纬23.22 东经110.04 广西自治区河池北纬24.42 东经108.03 广西自治区合山北纬23.47 东经108.52 广西自治区柳州北纬23.19 东经109.24 广西自治区赁祥北纬22.07 东经106.44 广西自治区钦州北纬21.57 东经108.37 广西自治区梧州北纬23.29 东经111.20 广西自治区玉林北纬22.38 东经110.09 广西自治区宜州北纬24.28 东经108.40 贵州省贵阳北纬26.35 东经106.42贵州省安顺北纬26.14 东经105.55贵州省毕节北纬27.18 东经105.18贵州省赤水北纬28.34 东经105.42贵州省都匀北纬26.15 东经107.31贵州省凯里北纬26.35 东经107.58贵州省六盘水北纬26.35 东经104.50贵州省清镇北纬26.33 东经106.27贵州省铜仁北纬27.43 东经109.12贵州省兴义北纬25.05 东经104.53贵州省遵义北纬27.42 东经106.55海南省海口北纬20.02 东经110.20海南省儋州北纬19.31 东经109.34海南省琼海北纬19.14 东经110.28海南省三亚北纬18.14 东经109.31 海南省通什北纬18.46 东经109.31 河北省石家庄北纬38.02 东经114.30 河北省安国北纬38.24 东经115.20 河北省保定北纬38.51 东经115.30 河北省霸州北纬39.06 东经116.24 河北省泊头北纬38.04 东经116.34 河北省沧州北纬38.18 东经116.52 河北省承德北纬40.59 东经117.57 河北省定州北纬38.30 东经115.00 河北省丰南北纬39.34 东经118.06 河北省高碑店北纬39.20 东经115.51 河北省蒿城北纬38.02 东经114.50 河北省邯郸北纬36.36 东经114.28 河北省河间北纬38.26 东经116.05 河北省衡水北纬37.44 东经115.42 河北省黄骅北纬38.21 东经117.21 河北省晋州北纬38.02 东经115.02 河北省冀州北纬37.34 东经115.33 河北省廓坊北纬39.31 东经116.42 河北省鹿泉北纬38.04 东经114.19 河北省南宫北纬37.22 东经115.23 河北省秦皇岛北纬39.55 东经119.35 河北省任丘北纬38.42 东经116.07 河北省三河北纬39.58 东经117.04 河北省沙河北纬36.51 东经114.30 河北省深州北纬38.01 东经115.32 河北省唐山北纬39.36 东经118.11 河北省武安北纬36.42 东经114.11 河北省邢台北纬37.04 东经114.30 河北省辛集北纬37.54 东经115.12 河北省新乐北纬38.20 东经114.41 河北省张家口北纬40.48 东经114.53 河北省涿州北纬39.29 东经115.59 河北省遵化北纬40.11 东经117.58 河南省郑州北纬34.46 东经11340河南省安阳北纬36.06 东经114.21 河南省长葛北纬34.12 东经113.47 河南省登封北纬34.27 东经113.02 河南省邓州北纬32.42 东经112.05 河南省巩义北纬34.46 东经112.58 河南省鹤壁北纬35.54 东经114.11 河南省辉县北纬35.27 东经113.47河南省济源北纬35.04 东经112.35河南省开封北纬34.47 东经114.21河南省灵宝北纬34.31 东经110.52河南省林州北纬36.03 东经113.49河南省漯河北纬33.33 东经114.02河南省洛阳北纬34.41 东经112.27河南省南阳北纬33.00 东经112.32河南省平顶山北纬33.44 东经113.17 河南省濮阳北纬35.44 东经115.01河南省沁阳北纬35.05 东经112.57河南省汝州北纬34.09 东经112.50河南省三门峡北纬34.47 东经111.12 河南省商丘北纬34.26 东经115.38河南省卫辉北纬35.24 东经114.03河南省舞钢北纬33.17 东经113.30河南省项城北纬33.26 东经114.54河南省荥阳北纬34.46 东经113.21河南省新密北纬34.31 东经113.22河南省新乡北纬35.18 东经113.52河南省信阳北纬32.07 东经114.04河南省新郑北纬34.24 东经113.43河南省许昌北纬34.01 东经113.49河南省偃师北纬34.43 东经112.47河南省义马北纬34.43 东经111.55河南省禹州北纬34.09 东经113.28河南省周口北纬33.37 东经114.38河南省驻马店北纬32.58 东经114.01 黑龙江省哈尔滨北纬45.44 东经126.36 黑龙江省阿城北纬45.32 东经126.58 黑龙江省安达北纬46.24 东经125.18 黑龙江省北安北纬48.15 东经126.31 黑龙江省大庆北纬46.36 东经125.01 黑龙江省富锦北纬47.15 东经132.02 黑龙江省海林北纬44.35 东经129.21 黑龙江省海伦北纬47.28 东经126.57 黑龙江省鹤岗北纬47.20 东经130.16 黑龙江省黑河北纬50.14 东经127.29 黑龙江省佳木斯北纬46.47 东经130.22 黑龙江省鸡西北纬45.17 东经130.57 黑龙江省密山北纬45.32 东经131.50 黑龙江省牡丹江北纬44.35 东经129.36 黑龙江省讷河北纬48.29 东经124.51 黑龙江省宁安北纬44.21 东经129.28黑龙江省齐齐哈尔北纬47.20 东经123.57 黑龙江省七台河北纬45.48 东经130.49 黑龙江省双城北纬45.22 东经126.15黑龙江省尚志北纬45.14 东经127.55黑龙江省双鸭山北纬46.38 东经131.11 黑龙江省绥芬河北纬44.25 东经131.11 黑龙江省绥化北纬46.38 东经126.59黑龙江省铁力北纬46.59 东经128.01黑龙江省同江北纬47.39 东经132.30黑龙江省五常北纬44.55 东经127.11黑龙江省五大连池北纬48.38 东经126.07 黑龙江省伊春北纬47.42 东经128.56黑龙江省肇东北纬46.04 东经125.58湖北省武汉北纬30.35 东经114.17湖北省安陆北纬31.15 东经113.41湖北省当阳北纬30.50 东经111.47湖北省丹江口北纬32.33 东经108.30湖北省大冶北纬30.06 东经114.58湖北省恩施北纬30.16 东经109.29湖北省鄂州北纬30.23 东经114.52湖北省广水北纬31.37 东经113.48湖北省洪湖北纬29.48 东经113.27湖北省黄石北纬30.12 东经115.06湖北省黄州北纬30.27 东经114.52湖北省荆门北纬31.02 东经112.12湖北省荆沙北纬30.18 东经112.16湖北省老河口北纬32.23 东经111.40湖北省利川北纬30.18 东经108.56湖北省麻城北纬31.10 东经115.01湖北省浦圻北纬29.42 东经113.51湖北省潜江北纬30.26 东经112.53湖北省石首北纬29.43 东经112.24湖北省十堰北纬32.40 东经110.47湖北省随州北纬31.42 东经113.22湖北省天门北纬60.39 东经113.10湖北省武穴北纬29.51 东经115.33湖北省襄樊北纬32.02 东经112.08湖北省咸宁北纬29.53 东经114.17湖北省仙桃北纬30.22 东经113.27湖北省孝感北纬30.56 东经113.54湖北省宜昌北纬30.42 东经111.17湖北省宜城北纬31.42 东经112.15湖北省应城北纬30.57 东经113.33湖北省枣阳北纬32.07 东经112.44湖北省钟祥北纬31.10 东经112.34 湖南省长沙北纬28.12 东经112.59 湖南省常德北纬29.02 东经111.51 湖南省郴州北纬25.46 东经113.02 湖南省衡阳北纬26.53 东经112.37 湖南省洪江北纬27.07 东经109.59 湖南省怀化北纬27.33 东经109.58 湖南省津市北纬29.38 东经111.52 湖南省吉首北纬28.18 东经109.43 湖南省耒阳北纬26.24 东经112.51 湖南省冷水江北纬27.42 东经111.26 湖南省冷水滩北纬26.26 东经111.35 湖南省涟源北纬27.41 东经111.41 湖南省醴陵北纬27.40 东经113.30 湖南省临湘北纬29.29 东经113.27 湖南省浏阳北纬28.09 东经113.37 湖南省娄底北纬27.44 东经111.59 湖南省汨罗北纬28.49 东经113.03 湖南省韶山北纬27.54 东经112.29 湖南省邵阳北纬27.14 东经111.28 湖南省武冈北纬26.43 东经110.37 湖南省湘潭北纬27.52 东经112.53 湖南省湘乡北纬27.44 东经112.31 湖南省益阳北纬28.36 东经112.20 湖南省永州北纬26.13 东经111.37 湖南省沅江北纬28.50 东经112.22 湖南省岳阳北纬29.22 东经113.06 湖南省张家界北纬29.08 东经110.29 湖南省株洲北纬27.51 东经113.09 湖南省资兴北纬25.58 东经113.13 吉林省长春北纬43.54 东经125.19 吉林省白城北纬45.38 东经122.50 吉林省白山北纬41.56 东经126.26 吉林省大安北纬45.30 东经124.18 吉林省德惠北纬44.32 东经125.42 吉林省敦化北纬43.22 东经128.13 吉林省公主岭北纬43.31 东经124.49 吉林省和龙北纬42.32 东经129.00 吉林省桦甸北纬42.58 东经126.44 吉林省珲春北纬42.52 东经130.22 吉林省集安北纬41.08 东经126.11 吉林省蛟河北纬43.42 东经127.21 吉林省吉林北纬43.52 东经126.33吉林省辽源北纬42.54 东经125.09 吉林省临江北纬41.49 东经126.53 吉林省龙井北纬42.46 东经129.26 吉林省梅河口北纬42.32 东经125.40 吉林省舒兰北纬44.24 东经126.57 吉林省四平北纬43.10 东经124.22 吉林省松原北纬45.11 东经124.49 吉林省洮南北纬45.20 东经122.47 吉林省通化北纬41.43 东经125.56 吉林省图们北纬42.57 东经129.51 吉林省延吉北纬42.54 东经129.30 吉林省愉树北纬44.49 东经126.32 江苏省南京北纬32.03 东经118.46 江苏省常熟北纬31.39 东经120.43 江苏省常州北纬31.47 东经119.58 江苏省丹阳北纬32.00 东经119.32 江苏省东台北纬32.51 东经120.19 江苏省高邮北纬32.47 东经119.27 江苏省海门北纬31.53 东经121.09 江苏省淮安北纬33.30 东经119.09 江苏省淮阴北纬33.36 东经119.02 江苏省江都北纬32.26 东经119.32 江苏省姜堰北纬32.34 东经120.08 江苏省江阴北纬31.54 东经120.17 江苏省靖江北纬32.02 东经120.17 江苏省金坛北纬31.46 东经119.33 江苏省昆山北纬31.23 东经120.57 江苏省连去港北纬34.36 东经119.10 江苏省溧阳北纬31.26 东经119.29 江苏省南通北纬32.01 东经120.51 江苏省邳州北纬34.19 东经117.59 江苏省启乐北纬31.48 东经121.39 江苏省如皋北纬32.23 东经120.33 江苏省宿迁北纬33.58 东经118.18 江苏省苏州北纬31.19 东经120.37 江苏省太仓北纬31.27 东经121.06 江苏省泰兴北纬32.10 东经120.01 江苏省泰州北纬32.30 东经119.54 江苏省通州北纬32.05 东经121.03 江苏省吴江北纬31.10 东经120.39 江苏省无锡北纬31.34 东经120.18 江苏省兴化北纬32.56 东经119.50 江苏省新沂北纬34.22 东经118.20江苏省盐在北纬33.22 东经120.08 江苏省扬中北纬32.14 东经119.49 江苏省扬州北纬32.23 东经119.26 江苏省宜兴北纬31.21 东经119.49 江苏省仪征北纬32.16 东经119.10 江苏省张家港北纬31.52 东经120.32 江苏省镇江北纬32.11 东经119.27 江西省南昌北纬28.40 东经115.55 江西省德兴北纬28.57 东经117.35 江西省丰城北纬28.12 东经115.48 江西省赣州北纬28.52 东经114.56 江西省高安北纬28.25 东经115.22 江西省吉安北纬27.07 东经114.58 江西省景德镇北纬29.17 东经117.13 江西省井冈山北纬26.34 东经114.10 江西省九江北纬29.43 东经115.58 江西省乐平北纬28.58 东经117.08 江西省临川北纬27.59 东经116.21 江西省萍乡北纬27.37 东经113.50 江西省瑞昌北纬29.40 东经115.38 江西省瑞金北纬25.53 东经116.01 江西省上饶北纬25.27 东经117.58 江西省新余北纬27.48 东经114.56 江西省宜春北纬27.47 东经114.23 江西省鹰潭北纬28.14 东经117.03 江西省樟树北纬28.03 东经115.32 辽宁省沈阳北纬41.48 东经123.25 辽宁省鞍山北纬41.07 东经123.00 辽宁省北票北纬41.48 东经120.47 辽宁省本溪北纬41.18 东经123.46 辽宁省朝阳北纬41.34 东经120.27 辽宁省大连北纬38.55 东经121.36 辽宁省丹东北纬40.08 东经124.22 辽宁省大石桥北纬40.37 东经122.31 辽宁省东港北纬39.53 东经124.08 辽宁省凤城北纬40.28 东经124.02 辽宁省抚顺北纬41.51 东经123.54 辽宁省阜新北纬42.01 东经121.39 辽宁省盖州北纬40.24 东经122.21 辽宁省海城北纬40.51 东经122.43 辽宁省葫芦岛北纬40.45 东经120.51 辽宁省锦州北纬41.07 东经121.09 辽宁省开原北纬42.32 东经124.02辽宁省凌海北纬41.10 东经121.21辽宁省凌源北纬41.14 东经119.22辽宁省盘锦北纬41.07 东经122.03辽宁省普兰店北纬39.23 东经121.58辽宁省铁法北纬42.28 东经123.32辽宁省铁岭北纬42.18 东经123.51辽宁省瓦房店北纬39.37 东经122.00辽宁省兴城北纬40.37 东经120.41辽宁省新民北纬41.59 东经122.49辽宁省营口北纬40.39 东经122.13辽宁省庄河北纬39.41 东经122.58内自治区呼和浩特北纬40.48 东经111.41 内自治区包头北纬40.39 东经109.49内自治区赤峰北纬42.17 东经118.58内自治区东胜北纬39.48 东经109.59内自治区二连浩特北纬43.38 东经111.58 内自治区额尔古纳北纬50.13 东经120.11 内自治区丰镇北纬40.27 东经113.09内自治区根河北纬50.48 东经121.29内自治区海拉尔北纬49.12 东经119.39 内自治区霍林郭勒北纬45.32 东经119.38 内自治区集宁北纬41.02 东经113.06内自治区临河北纬40.46 东经107.22内自治区满洲里北纬49.35 东经117.23 内自治区通辽北纬43.37 东经122.16内自治区乌兰浩特北纬46.03 东经122.03 内自治区乌海北纬39.40 东经106.48内自治区锡林浩特北纬43.57 东经116.03 内自治区牙克石北纬49.17 东经120.40 内自治区扎兰屯北纬48.00 东经122.47 宁夏自治区银川北纬38.27 东经106.16 宁夏自治区青铜峡北纬37.56 东经105.59 宁夏自治区石嘴山北纬39.02 东经106.22 宁夏自治区吴忠北纬37.59 东经106.11 青海省西宁北纬36.38 东经101.48青海省德令哈北纬37.22 东经97.23青海省格尔木北纬36.26 东经94.55山东省济南北纬36.40 东经117.00山东省安丘北纬36.25 东经119.12山东省滨州北纬37.22 东经118.02山东省昌邑北纬39.52 东经119.24山东省德州北纬37.26 东经116.17山东省东营北纬37.27 东经118.30山东省高密北纬36.22 东经119.44 山东省菏泽北纬35.14 东经115.26 山东省胶南北纬35.53 东经119.58 山东省胶州北纬36.17 东经120.00 山东省即墨北纬36.22 东经120.28 山东省济宁北纬35.23 东经116.33 山东省莱芜北纬36.12 东经117.40 山东省莱西北纬36.52 东经120.31 山东省莱阳北纬36.58 东经120.42 山东省莱州北纬37.10 东经119.57 山东省乐陵北纬37.44 东经117.12 山东省聊城北纬36.26 东经115.57 山东省临清北纬36.51 东经115.42 山东省临沂北纬35.03 东经118.20 山东省龙口北纬37.39 东经120.21 山东省蓬莱北纬37.48 东经120.45 山东省平度北纬36.47 东经119.58 山东省青岛北纬36.03 东经120.18 山东省青州北纬36.42 东经118.28 山东省曲阜北纬35.36 东经116.58 山东省日照北纬35.23 东经119.32 山东省荣成北纬37.10 东经122.25 山东省乳山北纬36.54 东经121.31 山东省寿光北纬36.53 东经118.44 山东省泰安北纬36.11 东经117.08 山东省滕州北纬35.06 东经117.09 山东省潍坊北纬36.43 东经119.06 山东省威海北纬37.31 东经122.07 山东省文登北纬37.12 东经122.03 山东省新泰北纬35.54 东经117.45 山东省烟台北纬37.32 东经121.24 山东省兖州北纬35.32 东经116.49 山东省禹城北纬36.56 东经116.39 山东省枣庄北纬34.52 东经117.33 山东省章丘北纬36.43 东经117.32 山东省招远北纬37.21 东经120.23 山东省诸城北纬35.59 东经119.24 山东省淄博北纬36.48 东经118.03 山东省邹城北纬35.24 东经116.58 山西省太原北纬37.54 东经112.33 山西省长治北纬36.11 东经113.06 山西省大同北纬40.06 东经113.17 山西省高平北纬35.48 东经112.55山西省河津北纬35.35 东经110.41 山西省侯马北纬35.37 东经111.21 山西省霍州北纬36.34 东经111.42 山西省介休北纬37.02 东经111.55 山西省晋城北纬35.30 东经112.51 山西省临汾北纬36.05 东经111.31 山西省潞城北纬36.21 东经113.14 山西省朔州北纬39.19 东经112.26 山西省孝义北纬37.08 东经111.48 山西省忻州北纬38.24 东经112.43 山西省阳泉北纬37.51 东经113.34 山西省永济北纬34.52 东经110.27 山西省原平北纬38.43 东经112.42 山西省榆次北纬37.41 东经112.43 山西省运城北纬35.02 东经110.59 陕西省西安北纬34.17 东经108.57 陕西省安康北纬32.41 东经109.01 陕西省宝鸡北纬34.22 东经107.09 陕西省韩城北纬35.28 东经110.27 陕西省汉中北纬33.04 东经107.01 陕西省华阴北纬34.34 东经110.05 陕西省商州北纬33.52 东经109.57 陕西省铜川北纬35.06 东经109.07 陕西省渭南北纬34.30 东经109.30 陕西省咸阳北纬34.20 东经108.43 陕西省兴平北纬34.18 东经108.29 陕西省延安北纬36.35 东经109.28 陕西省榆林北纬38.18 东经109.47 上海市上海市北纬31.14 东经121.29 四川省成都北纬30.40 东经104.04 四川省巴中北纬31.51 东经106.43 四川省崇州北纬30.39 东经103.40 四川省达川北纬31.14 东经107.29 四川省德阳北纬31.09 东经104.22 四川省都江堰北纬31.01 东经103.37 四川省峨眉山北纬29.36 东经103.29 四川省涪陵北纬29.42 东经107.22 四川省广汉北纬30.58 东经104.15 四川省广元北纬32.28 东经105.51 四川省华蓥北纬30.26 东经106.44 四川省简阳北纬30.24 东经104.32 四川省江油北纬31.48 东经104.42 四川省阆中北纬31.36 东经105.58四川省泸州北纬28.54 东经105.24四川省绵阳北纬31.30 东经104.42四川省南充北纬30.49 东经106.04四川省内江北纬29.36 东经105.02四川省攀枝花北纬26.34 东经101.43四川省彭州北纬30.59 东经103.57四川省邛崃北纬30.26 东经103.28四川省遂宁北纬30.31 东经105.33四川省万县北纬30.50 东经108.21四川省万源北纬32.03 东经108.03四川省西昌北纬27.54 东经102.16四川省雅安北纬29.59 东经102.59四川省宜宾北纬28.47 东经104.34四川省自贡北纬29.23 东经104.46四川省资阳北纬30.09 东经104.38台湾省台北市北纬25.03 东经121.30天津市天津市北纬39.02 东经117.12西藏自治区拉萨北纬29.39 东经91.08西藏自治区日喀则北纬29.16 东经88.51 香港香港市北纬21.23 东经115.12新疆自治区乌鲁木齐北纬43.45 东经87.36 新疆自治区阿克苏北纬41.09 东经80.19 新疆自治区阿勒泰北纬47.50 东经88.12 新疆自治区阿图什北纬39.42 东经76.08 新疆自治区博乐北纬44.57 东经82.08新疆自治区昌吉北纬44.02 东经87.18新疆自治区阜康北纬44.09 东经87.58新疆自治区哈密北纬42.50 东经93.28新疆自治区和田北纬37.09 东经79.55新疆自治区克拉玛依北纬45.36 东经84.51 新疆自治区喀什北纬39.30 东经75.59新疆自治区库尔勒北纬41.46 东经86.07 新疆自治区奎屯北纬44.27 东经84.56新疆自治区石河子北纬44.18 东经86.00 新疆自治区塔城北纬46.46 东经82.59新疆自治区吐鲁番北纬42.54 东经89.11 新疆自治区伊宁北纬43.55 东经81.20云南省昆明北纬25.04 东经102.42云南省保山北纬25.08 东经99.10云南省楚雄北纬25.01 东经101.32云南省大理北纬25.34 东经100.13云南省东川北纬26.06 东经103.12云南省个旧北纬23.21 东经103.09云南省开远北纬23.43 东经103.13 云南省曲靖北纬25.30 东经103.48 云南省瑞丽北纬24.00 东经97.50云南省思茅北纬22.48 东经100.58 云南省畹町北纬24.06 东经98.04云南省宣威北纬26.13 东经104.06 云南省玉溪北纬24.22 东经102.32 云南省昭通北纬27.20 东经103.42 浙江省杭州北纬30.16 东经120.10 浙江省慈溪北纬30.11 东经121.15 浙江省东阳北纬29.16 东经120.14 浙江省奉化北纬29.39 东经121.24 浙江省富阳北纬30.03 东经119.57 浙江省海宁北纬30.32 东经120.42 浙江省湖州北纬30.52 东经120.06 浙江省建德北纬29.29 东经119.16 浙江省江山北纬28.45 东经118.37 浙江省嘉兴北纬30.46 东经120.45 浙江省金华北纬29.07 东经119.39 浙江省兰溪北纬29.12 东经119.28 浙江省临海北纬28.51 东经121.08 浙江省丽水北纬28.27 东经119.54 浙江省龙泉北纬28.04 东经119.08 浙江省宁波北纬29.52 东经121.33 浙江省平湖北纬30.42 东经121.01 浙江省衢州北纬28.58 东经118.52 浙江省瑞安北纬27.48 东经120.38 浙江省上虞北纬30.01 东经120.52 浙江省绍兴北纬30.00 东经120.34 浙江省台州北纬28.41 东经121.27 浙江省桐乡北纬30.38 东经120.32 浙江省温岭北纬28.22 东经121.21 浙江省温州北纬28.01 东经120.39 浙江省萧山北纬30.09 东经120.16 浙江省义乌北纬29.18 东经120.04 浙江省乐清北纬28.08 东经120.58 浙江省余杭北纬30.26 东经120.18 浙江省余姚北纬30.02 东经121.10 浙江省永康北纬29.54 东经120.01 浙江省舟山北纬30.01 东经122.06 浙江省诸暨北纬29.43 东经120.14 重庆市重庆市北纬29.35 东经106.33 重庆市合川市北纬30.02 东经106.15重庆市南川市北纬29.10 东经107.05 重庆市永川市北纬29.23 东经105.53。
各地经纬度汇总直辖市各市经纬度查询北京市北纬39.55 东经116.24天津市北纬39.02 东经117.12上海市北纬31.14 东经121.29重庆市北纬29.35 东经106.33香港特别行政区北纬21.23 东经115.12 澳门特别行政区北纬21.33 东经115.07 台湾省各市经纬度查询台北市北纬25.03 东经121.30西藏自治区各市经纬度查询拉萨北纬29.39 东经91.08日喀则北纬29.16 东经88.51湖北省各市经纬度查询武汉北纬30.35 东经114.17安陆北纬31.15 东经113.41当阳北纬30.50 东经111.47丹江口北纬32.33 东经108.30大冶北纬30.06 东经114.58恩施北纬30.16 东经109.29鄂州北纬30.23 东经114.52广水北纬31.37 东经113.48洪湖北纬29.48 东经113.27黄石北纬30.12 东经115.06黄州北纬30.27 东经114.52荆门北纬31.02 东经112.12荆沙北纬30.18 东经112.16老河口北纬32.23 东经111.40利川北纬30.18 东经108.56浦圻北纬29.42 东经113.51 潜江北纬30.26 东经112.53 石首北纬29.43 东经112.24 十堰北纬32.40 东经110.47 随州北纬31.42 东经113.22 天门北纬60.39 东经113.10 武穴北纬29.51 东经115.33 襄樊北纬32.02 东经112.08 咸宁北纬29.53 东经114.17 仙桃北纬30.22 东经113.27 孝感北纬30.56 东经113.54 宜昌北纬30.42 东经111.17 宜城北纬31.42 东经112.15 应城北纬30.57 东经113.33 枣阳北纬32.07 东经112.44 枝城北纬30.23 东经111.27 钟祥北纬31.10 东经112.34 湖南省各市经纬度查询长沙北纬28.12 东经112.59 常德北纬29.02 东经111.51 郴州北纬25.46 东经113.02 衡阳北纬26.53 东经112.37 洪江北纬27.07 东经109.59 怀化北纬27.33 东经109.58 津市北纬29.38 东经111.52 吉首北纬28.18 东经109.43 耒阳北纬26.24 东经112.51 冷水江北纬27.42 东经111.26 冷水滩北纬26.26 东经111.35醴陵北纬27.40 东经113.30 临湘北纬29.29 东经113.27 浏阳北纬28.09 东经113.37 娄底北纬27.44 东经111.59 汨罗北纬28.49 东经113.03 韶山北纬27.54 东经112.29 邵阳北纬27.14 东经111.28 武冈北纬26.43 东经110.37 湘潭北纬27.52 东经112.53 湘乡北纬27.44 东经112.31 益阳北纬28.36 东经112.20 永州北纬26.13 东经111.37 沅江北纬28.50 东经112.22 岳阳北纬29.22 东经113.06 张家界北纬29.08 东经110.29 株洲北纬27.51 东经113.09 资兴北纬25.58 东经113.13 广东省各市经纬度查询广州北纬23.08 东经113.14 潮阳北纬23.16 东经116.36 潮州北纬23.40 东经116.38 澄海北纬23.28 东经116.46 从化北纬23.33 东经113.33 东莞北纬23.02 东经113.45 恩平北纬22.12 东经112.19 佛山北纬23.02 东经113.06 高明北纬22.53 东经112.50 高要北纬23.02 东经112.26 高州北纬21.54 东经110.50河源北纬23.43 东经114.41 花都北纬23.23 东经113.12 化州北纬21.39 东经110.37 惠阳北纬22.48 东经114.28 惠州北纬23.05 东经114.22 江门北纬22.35 东经113.04 揭阳北纬22.32 东经116.21 开平北纬22.22 东经112.40 乐昌北纬25.09 东经113.21 雷州北纬20.54 东经110.04 廉江北纬21.37 东经110.17 连州北纬24.48 东经112.23 罗定北纬22.46 东经111.33 茂名北纬21.40 东经110.53 梅州北纬24.19 东经116.07 南海北纬23.01 东经113.09 番禺北纬22.57 东经113.22 普宁北纬23.18 东经116.10 清远北纬23.42 东经113.01 三水北纬23.10 东经112.52 汕头北纬23.22 东经116.41 汕尾北纬22.47 东经115.21 韶关北纬24.48 东经113.37 深圳北纬22.33 东经114.07 顺德北纬22.50 东经113.15 四会北纬23.21 东经112.41 台山北纬22.15 东经112.48 吴川北纬21.26 东经110.47 新会北纬22.32 东经113.01阳春北纬22.10 东经111.48 阳江北纬21.50 东经111.58 英德北纬24.10 东经113.22 云浮北纬22.57 东经112.02 增城北纬23.18 东经113.49 湛江北纬21.11 东经110.24 肇庆北纬23.03 东经112.27 中山北纬22.31 东经113.22 珠海北纬22.17 东经113.34 广西壮族自治区各市经纬度查询南宁北纬22.48 东经108.19 北海北纬21.28 东经109.07 北流北纬22.42 东经110.21 百色北纬23.54 东经106.36 防城港北纬21.37 东经108.20 贵港北纬23.06 东经109.36 桂林北纬25.17 东经110.17 桂平北纬23.22 东经110.04 河池北纬24.42 东经108.03 合山北纬23.47 东经108.52 柳州北纬23.19 东经109.24 赁祥北纬22.07 东经106.44 钦州北纬21.57 东经108.37 青塘北纬22.26 东经108.82 梧州北纬23.29 东经111.20 玉林北纬22.38 东经110.09 宜州北纬24.28 东经108.40 四川省各市经纬度查询成都北纬30.40 东经104.04崇州北纬30.39 东经103.40 达川北纬31.14 东经107.29 德阳北纬31.09 东经104.22 都江堰北纬31.01 东经103.37 峨眉山北纬29.36 东经103.29 涪陵北纬29.42 东经107.22 广汉北纬30.58 东经104.15 广元北纬32.28 东经105.51 华蓥北纬30.26 东经106.44 简阳北纬30.24 东经104.32 江油北纬31.48 东经104.42 阆中北纬31.36 东经105.58 乐山北纬29.36 东经103.44 泸州北纬28.54 东经105.24 绵阳北纬31.30 东经104.42 南充北纬30.49 东经106.04 内江北纬29.36 东经105.02 攀枝花北纬26.34 东经101.43 彭州北纬30.59 东经103.57 邛崃北纬30.26 东经103.28 遂宁北纬30.31 东经105.33 万县北纬30.50 东经108.21 万源北纬32.03 东经108.03 西昌北纬27.54 东经102.16 雅安北纬29.59 东经102.59 宜宾北纬28.47 东经104.34 自贡北纬29.23 东经104.46 资阳北纬30.09 东经104.38 浙江省各市经纬度查询慈溪北纬30.11 东经121.15 东阳北纬29.16 东经120.14 奉化北纬29.39 东经121.24 富阳北纬30.03 东经119.57 海宁北纬30.32 东经120.42 湖州北纬30.52 东经120.06 建德北纬29.29 东经119.16 江山北纬28.45 东经118.37 嘉兴北纬30.46 东经120.45 金华北纬29.07 东经119.39 兰溪北纬29.12 东经119.28 临海北纬28.51 东经121.08 丽水北纬28.27 东经119.54 龙泉北纬28.04 东经119.08 宁波北纬29.52 东经121.33 平湖北纬30.42 东经121.01 衢州北纬28.58 东经118.52 瑞安北纬27.48 东经120.38 上虞北纬30.01 东经120.52 绍兴北纬30.00 东经120.34 台州北纬28.41 东经121.27 桐乡北纬30.38 东经120.32 温岭北纬28.22 东经121.21 温州北纬28.01 东经120.39 萧山北纬30.09 东经120.16 义乌北纬29.18 东经120.04 乐清北纬28.08 东经120.58 余杭北纬30.26 东经120.18 余姚北纬30.02 东经121.10舟山北纬30.01 东经122.06 诸暨北纬29.43 东经120.14 陕西省各市经纬度查询西安北纬34.17 东经108.57 安康北纬32.41 东经109.01 宝鸡北纬34.22 东经107.09 韩城北纬35.28 东经110.27 汉中北纬33.04 东经107.01 华阴北纬34.34 东经110.05 商州北纬33.52 东经109.57 铜川北纬35.06 东经109.07 渭南北纬34.30 东经109.30 咸阳北纬34.20 东经108.43 兴平北纬34.18 东经108.29 延安北纬36.35 东经109.28 榆林北纬38.18 东经109.47 甘肃省各市经纬度查询兰州北纬36.04 东经103.51 白银北纬36.33 东经104.12 敦煌北纬40.08 东经94.41 嘉峪关北纬39.48 东经98.14 金昌北纬38.28 东经102.10 酒泉北纬39.44 东经98.31 临夏北纬35.37 东经103.12 平凉北纬35.32 东经106.40 天水北纬34.37 东经105.42 武威北纬37.56 东经102.39 西峰北纬35.45 东经107.40 玉门北纬39.49 东经97.35重庆市各区经纬度查询合川市北纬30.02 东经106.15 江津市北纬29.18 东经106.16 南川市北纬29.10 东经107.05 永川市北纬29.23 东经105.53 宁夏回族自治区各市经纬度查询银川北纬38.27 东经106.16青铜峡北纬37.56 东经105.59 石嘴山北纬39.02 东经106.22 吴忠北纬37.59 东经106.11内蒙古自治区各市经纬度查询呼和浩特北纬40.48 东经111.41 包头北纬40.39 东经109.49赤峰北纬42.17 东经118.58东胜北纬39.48 东经109.59二连浩特北纬43.38 东经111.58 额尔古纳北纬50.13 东经120.11 丰镇北纬40.27 东经113.09根河北纬50.48 东经121.29海拉尔北纬49.12 东经119.39 霍林郭勒北纬45.32 东经119.38 集宁北纬41.02 东经113.06临河北纬40.46 东经107.22满洲里北纬49.35 东经117.23 通辽北纬43.37 东经122.16乌兰浩特北纬46.03 东经122.03 乌海北纬39.40 东经106.48锡林浩特北纬43.57 东经116.03 牙克石北纬49.17 东经120.40青海省各市经纬度查询西宁北纬36.38 东经101.48 德令哈北纬37.22 东经97.23 格尔木北纬36.26 东经94.55 江西省各市经纬度查询南昌北纬28.40 东经115.55 德兴北纬28.57 东经117.35 丰城北纬28.12 东经115.48 赣州北纬28.52 东经114.56 高安北纬28.25 东经115.22 吉安北纬27.07 东经114.58 景德镇北纬29.17 东经117.13 井冈山北纬26.34 东经114.10 九江北纬29.43 东经115.58 乐平北纬28.58 东经117.08 临川北纬27.59 东经116.21 萍乡北纬27.37 东经113.50 瑞昌北纬29.40 东经115.38 瑞金北纬25.53 东经116.01 上饶北纬25.27 东经117.58 新余北纬27.48 东经114.56 宜春北纬27.47 东经114.23 鹰潭北纬28.14 东经117.03 樟树北纬28.03 东经115.32 安徽省各市经纬度查询合肥北纬31.52 东经117.17 安庆北纬30.31 东经117.02 蚌埠北纬32.56 东经117.21 亳州北纬33.52 东经115.47滁州北纬32.18 东经118.18 阜阳北纬32.54 东经115.48 贵池北纬30.39 东经117.28 淮北北纬33.57 东经116.47 淮南北纬32.37 东经116.58 黄山北纬29.43 东经118.18 界首北纬33.15 东经115.21 六安北纬31.44 东经116.28 马鞍山北纬31.43 东经118.28 明光北纬32.47 东经117.58 宿州北纬33.38 东经116.58 天长北纬32.41 东经118.59 铜陵北纬30.56 东经117.48 芜湖北纬31.19 东经118.22 宣州北纬30.57 东经118.44 贵州省各市经纬度查询贵阳北纬26.35 东经106.42 安顺北纬26.14 东经105.55 毕节北纬27.18 东经105.18 赤水北纬28.34 东经105.42 都匀北纬26.15 东经107.31 凯里北纬26.35 东经107.58 六盘水北纬26.35 东经104.50 清镇北纬26.33 东经106.27 铜仁北纬27.43 东经109.12 兴义北纬25.05 东经104.53 遵义北纬27.42 东经106.55 辽宁省各市经纬度查询沈阳北纬41.48 东经123.25北票北纬41.48 东经120.47 本溪北纬41.18 东经123.46 朝阳北纬41.34 东经120.27 大连北纬38.55 东经121.36 丹东北纬40.08 东经124.22 大石桥北纬40.37 东经122.31 东港北纬39.53 东经124.08 凤城北纬40.28 东经124.02 抚顺北纬41.51 东经123.54 阜新北纬42.01 东经121.39 盖州北纬40.24 东经122.21 海城北纬40.51 东经122.43 葫芦岛北纬40.45 东经120.51 锦州北纬41.07 东经121.09 开原北纬42.32 东经124.02 辽阳北纬41.16 东经123.12 凌海北纬41.10 东经121.21 凌源北纬41.14 东经119.22 盘锦北纬41.07 东经122.03 普兰店北纬39.23 东经121.58 铁法北纬42.28 东经123.32 铁岭北纬42.18 东经123.51 瓦房店北纬39.37 东经122.00 兴城北纬40.37 东经120.41 新民北纬41.59 东经122.49 营口北纬40.39 东经122.13 庄河北纬39.41 东经122.58 河北省各市经纬度查询石家庄北纬38.02 东经114.30保定北纬38.51 东经115.30 霸州北纬39.06 东经116.24 泊头北纬38.04 东经116.34 沧州北纬38.18 东经116.52 承德北纬40.59 东经117.57 定州北纬38.30 东经115.00 丰南北纬39.34 东经118.06 高碑店北纬39.20 东经115.51 蒿城北纬38.02 东经114.50 邯郸北纬36.36 东经114.28 河间北纬38.26 东经116.05 衡水北纬37.44 东经115.42 黄骅北纬38.21 东经117.21 晋州北纬38.02 东经115.02 冀州北纬37.34 东经115.33 廓坊北纬39.31 东经116.42 鹿泉北纬38.04 东经114.19 南宫北纬37.22 东经115.23 秦皇岛北纬39.55 东经119.35 任丘北纬38.42 东经116.07 三河北纬39.58 东经117.04 沙河北纬36.51 东经114.30 深州北纬38.01 东经115.32 唐山北纬39.36 东经118.11 武安北纬36.42 东经114.11 邢台北纬37.04 东经114.30 辛集北纬37.54 东经115.12 新乐北纬38.20 东经114.41 张家口北纬40.48 东经114.53遵化北纬40.11 东经117.58 河南省各市经纬度查询郑州北纬34.46 东经113.40 安阳北纬36.06 东经114.21 长葛北纬34.12 东经113.47 登封北纬34.27 东经113.02 邓州北纬32.42 东经112.05 巩义北纬34.46 东经112.58 鹤壁北纬35.54 东经114.11 辉县北纬35.27 东经113.47 焦作北纬35.14 东经113.12 济源北纬35.04 东经112.35 开封北纬34.47 东经114.21 灵宝北纬34.31 东经110.52 林州北纬36.03 东经113.49 漯河北纬33.33 东经114.02 洛阳北纬34.41 东经112.27 南阳北纬33.00 东经112.32 平顶山北纬33.44 东经113.17 濮阳北纬35.44 东经115.01 沁阳北纬35.05 东经112.57 汝州北纬34.09 东经112.50 三门峡北纬34.47 东经111.12 商丘北纬34.26 东经115.38 卫辉北纬35.24 东经114.03 舞钢北纬33.17 东经113.30 项城北纬33.26 东经114.54 荥阳北纬34.46 东经113.21 新密北纬34.31 东经113.22信阳北纬32.07 东经114.04 新郑北纬34.24 东经113.43 许昌北纬34.01 东经113.49 偃师北纬34.43 东经112.47 义马北纬34.43 东经111.55 禹州北纬34.09 东经113.28 周口北纬33.37 东经114.38 驻马店北纬32.58 东经114.01 山东省各市经纬度查询济南北纬36.40 东经117.00 安丘北纬36.25 东经119.12 滨州北纬37.22 东经118.02 昌邑北纬39.52 东经119.24 德州北纬37.26 东经116.17 东营北纬37.27 东经118.30 肥城北纬36.14 东经116.46 高密北纬36.22 东经119.44 菏泽北纬35.14 东经115.26 胶南北纬35.53 东经119.58 胶州北纬36.17 东经120.00 即墨北纬36.22 东经120.28 济宁北纬35.23 东经116.33 莱芜北纬36.12 东经117.40 莱西北纬36.52 东经120.31 莱阳北纬36.58 东经120.42 莱州北纬37.10 东经119.57 乐陵北纬37.44 东经117.12 聊城北纬36.26 东经115.57 临清北纬36.51 东经115.42龙口北纬37.39 东经120.21 蓬莱北纬37.48 东经120.45 平度北纬36.47 东经119.58 青岛北纬36.03 东经120.18 青州北纬36.42 东经118.28 曲阜北纬35.36 东经116.58 日照北纬35.23 东经119.32 荣成北纬37.10 东经122.25 乳山北纬36.54 东经121.31 寿光北纬36.53 东经118.44 泰安北纬36.11 东经117.08 滕州北纬35.06 东经117.09 潍坊北纬36.43 东经119.06 威海北纬37.31 东经122.07 文登北纬37.12 东经122.03 新泰北纬35.54 东经117.45 烟台北纬37.32 东经121.24 兖州北纬35.32 东经116.49 禹城北纬36.56 东经116.39 枣庄北纬34.52 东经117.33 章丘北纬36.43 东经117.32 招远北纬37.21 东经120.23 诸城北纬35.59 东经119.24 淄博北纬36.48 东经118.03 邹城北纬35.24 东经116.58。
【上海市】上海上海经度:121.48 纬度:31.22; 上海嘉定经度:121.24 纬度:31.4;上海宝山经度:121.48 纬度:31.41; 上海川沙经度:121.7 纬度:31.19;上海南汇经度:121.76 纬度:31.05; 上海奉贤经度:121.46 纬度:30.92;上海松江经度:121.24 纬度:31; 上海金山经度:121.16 纬度:30.89;上海青浦经度:121.1 纬度:31.15; 上海崇明经度:121.4 纬度:31.73; 【云南省】云南昆明经度:102.73 纬度:25.04; 云南富民经度:102.48 纬度:25.21; 云南晋宁经度:102.58 纬度:24.68; 云南呈贡经度:102.79 纬度:24.9;云南安宁经度:102.44 纬度:24.95; 云南昭通经度:103.7 纬度:29.32;云南永善经度:103.63 纬度:28.22; 云南大关经度:103.91 纬度:27.74; 云南彝良经度:104.06 纬度:27.61; 云南鲁甸经度:103.54 纬度:27.21; 云南绥江经度:103.97 纬度:28.58; 云南盐津经度:104.28 纬度:28.08; 云南威信经度:105.05 纬度:27.85; 云南镇雄经度:104.86 纬度:27.42; 云南巧家经度:102.92 纬度:26.9; 云南永富经度:104.38 纬度:28.62; 云南曲靖经度:103.79 纬度:25.51; 云南宣威经度:104.09 纬度:26.24; 云南富源经度:104.24 纬度:25.67; 云南师宗经度:103.97 纬度:24.85; 云南嵩明经度:103.03 纬度:25.35; 云南会泽经度:103.27 纬度:26.41; 云南沽益经度:103.82 纬度:25.62; 云南罗平经度:104.3 纬度:24.88;云南陆良经度:104.64 纬度:25.04; 云南宜良经度:103.12 纬度:24.9;云南马龙经度:103.61 纬度:25.41; 云南路南经度:103.24 纬度:24.77; 云南寻甸经度:103.25 纬度:25.56; 云南玉溪经度:102.52 纬度:24.35; 云南华宁经度:102.93 纬度:24.26; 云南通海经度:102.75 纬度:24.09; 云南澄江经度:102.91 纬度:24.68; 云南江川经度:102.73 纬度:24.27; 云南易门经度:102.15 纬度:24.67; 云南元江经度:102 纬度:23.59;云南新平经度:101.98 纬度:24.06; 云南峨山经度:102.38 纬度:24.16; 云南思茅经度:101 纬度:22.79; 云南普洱经度:101.03 纬度:23.07; 云南镇沅经度:100.88 纬度:23.9; 云南景东经度:100.82 纬度:24.42; 云南景谷经度:100.71 纬度:23.5; 云南黑江经度:101.71 纬度:23.4; 云南澜沦经度:99.97 纬度:22.55; 云南西盟经度:99.47 纬度:22.73; 云南江城经度:101.88 纬度:22.58; 云南孟连经度:99.55 纬度:22.32; 云南临沦经度:100.09 纬度:23.88; 云南云县经度:100.12 纬度:24.44; 云南镇康经度:99.02 纬度:23.92; 云南永德经度:99.25 纬度:24.03; 云南凤庆经度:99.92 纬度:24.58; 云南双江经度:99.85 纬度:23.45; 云南沧源经度:99.24 纬度:23.15; 云南耿马经度:99.41 纬度:23.56; 云南保由经度:99.18 纬度:25.12; 云南施甸经度:99.15 纬度:24.69; 云南腾冲经度:98.51 纬度:25.01; 云南昌宁经度:99.61 纬度:24.82; 云南龙陵经度:98.7 纬度:24.58; 云南丽江经度:100.25 纬度:26.86; 云南华坪经度:101.24 纬度:26.63; 云南永胜经度:100.76 纬度:26.71; 云南宁蒗经度:100.82 纬度:27.29; 云南文山经度:104.24 纬度:23.37; 云南广南经度:105.09 纬度:24.05; 云南西畴经度:104.68 纬度:23.42; 云南麻栗坡经度:104.71 纬度:23.12;云南马关经度:104.4 纬度:23.01; 云南丘北经度:104.19 纬度:24.03; 云南砚山经度:104.35 纬度:23.62; 云南富宁经度:105.6 纬度:23.62;云南个旧经度:102.43 纬度:23.35; 云南弥勒经度:103.43 纬度:24.41;云南蒙自经度:103.41 纬度:23.36; 云南元阳经度:102.81 纬度:23.17;云南红河经度:102.42 纬度:23.35; 云南石屏经度:102.48 纬度:23.73;云南泸西经度:103.76 纬度:24.52; 云南金平经度:103.24 纬度:22.77;云南开远经度:103.23 纬度:23.7; 云南绿春经度:102.42 纬度:23.01;云南建水经度:102.79 纬度:23.64; 云南河口经度:103.98 纬度:22.52;云南屏边经度:103.67 纬度:22.68; 云南景淇经度:100.79 纬度:22;云南勐海经度:100.5 纬度:21.95; 云南勐腊经度:101.56 纬度:21.48;云南楚雄经度:101.54 纬度:25.01; 云南元谋经度:101.85 纬度:25.7;云南武定经度:102.36 纬度:25.55; 云南禄丰经度:102.08 纬度:25.15;云南南华经度:101.26 纬度:25.21; 云南大姚经度:101.34 纬度:25.73;云南永仁经度:101.7 纬度:26.07; 云南禄劝经度:102.45 纬度:25.58;云南牟定经度:101.58 纬度:25.32; 云南双柏经度:101.67 纬度:24.68;云南姚安经度:101.24 纬度:25.4; 云南下关经度:100.24 纬度:25.45;云南剑川经度:99.88 纬度:26.53; 云南洱源经度:99.94 纬度:26.1;云南宾川经度:100.55 纬度:25.82; 云南弥渡经度:100.52 纬度:25.34;云南永平经度:99.52 纬度:25.45; 云南鹤庆经度:100.18 纬度:26.55;云南大理经度:100.19 纬度:25.69; 云南漾濞经度:99.98 纬度:25.68;云南云龙经度:99.39 纬度:25.9; 云南祥云经度:100.56 纬度:25.48;云南巍山经度:100.33 纬度:25.23; 云南南涧经度:100.51 纬度:25.04;云南潞西经度:98.6 纬度:24.41; 云南陇川经度:97.96 纬度:24.33;云南盈江经度:97.93 纬度:24.69; 云南畹町经度:98.08 纬度:24.08;云南瑞丽经度:97.83 纬度:24; 云南梁河经度:98.3 纬度:24.78;云南泸水经度:98.82 纬度:25.97; 云南碧江经度:98.95 纬度:26.55;云南福贡经度:98.92 纬度:26.89; 云南兰坪经度:99.29 纬度:26.49;云南贡山经度:98.65 纬度:27.73; 云南中甸经度:99.72 纬度:27.78;云南德钦经度:98.93 纬度:28.49; 云南维西经度:99.27 纬度:27.15;【其它岛屿省】城市:其它岛屿钓鱼岛经度:123.33 纬度:25;城市:其它岛屿黄岩岛经度:117.51 纬度:15.07;【内蒙古省】内蒙古呼和浩特经度:111.65 纬度:40.82; 内蒙古上默特左旗经度:111.13 纬度:40.72; 内蒙古托克托经度:111.15 纬度:40.28; 内蒙古包头经度:110 纬度:40.58;内蒙古上默特右旗经度:110.52 纬度:40.55; 内蒙古固阳经度:110.03 纬度:41.03;内蒙古乌海经度:106.82 纬度:39.67; 内蒙古集宁经度:113.08 纬度:41.03;内蒙古兴和经度:113.97 纬度:40.88; 内蒙古清水河经度:111.65 纬度:39.92;内蒙古武川经度:111.42 纬度:41.12; 内蒙古卓资经度:112.52 纬度:40.93;内蒙古商都经度:113.53 纬度:41.58; 内蒙古丰镇经度:113.15 纬度:40.45;内蒙古凉城经度:112.48 纬度:40.52; 内蒙古和林格尔经度:111.8 纬度:40.4;内蒙古化德经度:114 纬度:41.9; 察哈尔右翼后旗未匹配到经度!未匹配到维度!察哈尔右翼中旗未匹配到经度!未匹配到维度!察哈尔右翼前旗未匹配到经度!未匹配到维度!内蒙古四子王旗经度:111.68 纬度:41.37; 达尔罕茂明安联合旗未匹配到经度!未匹配到维度!内蒙古二连浩特经度:111.96 纬度:43.65 ;内蒙古阿巴哈纳尔旗经度:116.08 纬度:43.95; 内蒙古多伦经度:116.48 纬度:42.18; 内蒙古阿巴嘎旗经度:114.97 纬度:44.03;内蒙古西乌珠穆沁旗经度:117.58 纬度:44.6; 内蒙古东乌珠穆沁旗经度:116.97 纬度:45.53;内蒙古苏尼特左旗经度:113.7 纬度:43.85; 内蒙古苏尼特右旗经度:112.95 纬度:42.47 ; 内蒙古太仆寺旗经度:115.3 纬度:41.9; 内蒙古正镶白旗经度:115 纬度:42.32;内蒙古正蓝旗经度:116.02 纬度:42.25; 内蒙古镶黄旗经度:113.83 纬度:42.25;内蒙古海拉尔经度:119.73 纬度:29.22; 内蒙古满洲里经度:117.47 纬度:49.58;内蒙古陈巴尔虎旗经度:119.45 纬度:49.33; 内蒙古额尔古纳右旗经度:120.08 纬度:50.45; 内蒙古额尔古纳左旗经度:121.52 纬度:50.8; 内蒙古喜桂图旗经度:120.73 纬度:49.3;内蒙古阿荣旗经度:123.5 纬度:48.13;内蒙古布特哈旗经度:122.78 纬度:47.98;内蒙古新巴尔虎左旗经度:116.82 纬度:48.67;内蒙古新巴尔虎右旗经度:118.23 纬度:48.22;内蒙古鄂伦春自治旗经度:123.7 纬度:50.58;莫力达瓦达斡尔族自治旗未匹配到经度!未匹配到维度!鄂温克族自治旗未匹配到经度!未匹配到维度!内蒙古通辽经度:122.28 纬度:43.63;内蒙古开鲁经度:121.32 纬度:43.62;科尔沁左翼后旗未匹配到经度!未匹配到维度!科尔沁左翼中旗未匹配到经度!未匹配到维度!内蒙古库伦旗经度:121.75 纬度:42.72;内蒙古奈曼旗经度:120.65 纬度:42.85;内蒙古扎鲁特旗经度:120.87 纬度:44.55;内蒙古赤峰经度:118.87 纬度:42.28;内蒙古宁城经度:119.32 纬度:41.62;内蒙古林西经度:118.02 纬度:43.62;内蒙古喀喇沁旗经度:118.67 纬度:41.95;内蒙古敖汉旗经度:119.87 纬度:42.3;内蒙古翁牛特旗经度:119 纬度:42.97;内蒙古巴林右旗经度:118.65 纬度:43.52;内蒙古巴林左旗经度:119.35 纬度:43.98;内蒙古阿鲁科尔沁旗经度:120.05 纬度:43.97;内蒙古克什克腾旗经度:117.48 纬度:43.28;内蒙古伊克昭盟经度:110 纬度:39.83;内蒙古东胜县经度:110 纬度:39.83;内蒙古准格尔旗经度:111.13 纬度:39.68;内蒙古乌审旗经度:109.03 纬度:38.38;内蒙古伊金霍洛旗经度:109.77 纬度:39.25;内蒙古鄂托克旗经度:107.97 纬度:39.12;内蒙古鄂托克前旗经度:107.43 纬度:38.18;内蒙古杭锦旗经度:108.7 纬度:39.83;内蒙古达拉特旗经度:110.02 纬度:40.42;内蒙古临河经度:107.37 纬度:40.78;内蒙古五原经度:108.28 纬度:41.12;内蒙古杭锦后旗经度:107.12 纬度:40.88;内蒙古乌拉特中旗经度:108.52 纬度:41.55;内蒙古乌拉特前旗经度:108.65 纬度:40.75;内蒙古乌拉特后旗经度:108.52 纬度:40.88;内蒙古阿拉善左旗经度:105.68 纬度:38.85;内蒙古阿拉善右旗经度:101.68 纬度:39.2;内蒙古额济纳旗经度:100.88 纬度:41.9;内蒙古乌兰浩特经度:122.08 纬度:46.07;内蒙古突泉经度:121.5 纬度:45.4;科尔沁右翼前旗未匹配到经度!未匹配到维度!科尔沁右翼中旗未匹配到经度!未匹配到维度!【北京市】北京北京经度:116.46 纬度:39.92;北京平谷经度:117.1 纬度:40.13;北京密云经度:116.85 纬度:40.37;北京顺义经度:116.65 纬度:40.13;北京通县经度:116.67 纬度:39.92;北京怀柔经度:116.62 纬度:40.32;北京大兴经度:116.33 纬度:39.73;北京房山经度:115.98 纬度:39.72;【吉林省】吉林长春经度:125.35 纬度:43.88;吉林吉林经度:126.57 纬度:43.87;吉林农安经度:125.15 纬度:44.45;吉林德惠经度:125.68 纬度:44.52;吉林榆树经度:126.55 纬度:44.83;吉林九台经度:126.83 纬度:44.15;吉林双阳经度:125.68 纬度:43.53;吉林永吉经度:126.57 纬度:43.87;吉林舒兰经度:126.97 纬度:44.4;吉林蛟河经度:127.33 纬度:43.75;吉林桦甸经度:126.72 纬度:42.97;吉林磐石经度:126.03 纬度:42.93;吉林延吉经度:129.52 纬度:42.93;吉林汪清经度:129.75 纬度:43.32;城吉林珲春经度:130.35 纬度:42.85;吉林图们经度:129.83 纬度:42.98;吉林和龙经度:129 纬度:42.52;吉林安图经度:128.3 纬度:42.58;吉林敦化经度:128.18 纬度:43.35;吉林通化经度:125.92 纬度:41.49;吉林柳河经度:125.7 纬度:40.88;吉林海龙经度:125.65 纬度:42.53;吉林靖宇经度:126.8 纬度:42.38; 吉林浑江经度:126.4 纬度:41.97; 吉林抚松经度:127.27 纬度:42.33; 吉林集安经度:126.17 纬度:41.15; 吉林长白经度:128.17 纬度:41.43; 吉林四平经度:124.37 纬度:43.17; 吉林梨树经度:124.33 纬度:43.32; 吉林怀德经度:124.82 纬度:43.5; 吉林伊通经度:125.32 纬度:43.33; 吉林辽源经度:125.15 纬度:42.97; 吉林东丰经度:125.5 纬度:42.68; 吉林双辽经度:123.5 纬度:43.52; 吉林白城经度:122.82 纬度:45.63; 吉林大安经度:124.18 纬度:45.5; 吉林扶余经度:124.82 纬度:45.2; 吉林乾安经度:124.02 纬度:45;吉林长岭经度:123.97 纬度:44.3; 吉林通榆经度:123.13 纬度:44.82; 吉林洮安经度:122.75 纬度:45.35; 【四川省】四川成都经度:104.06 纬度:30.67; 四川金堂经度:104.32 纬度:30.88; 四川双流经度:104.94 纬度:30.57; 四川蒲江经度:103.29 纬度:30.2; 四川郫县经度:103.86 纬度:30.8; 四川新都经度:104.13 纬度:30.82; 四川来易经度:102.15 纬度:26.9; 四川盐边经度:101.56 纬度:26.9; 四川温江经度:103.81 纬度:30.97; 四川灌县经度:103.61 纬度:31.04; 四川彭县经度:103.94 纬度:30.99; 四川什邡经度:104.16 纬度:31.13; 四川广汉经度:104.25 纬度:30.99; 四川新津经度:103.78 纬度:30.42; 四川邛崃经度:103.47 纬度:30.42; 四川大邑经度:103.53 纬度:30.58; 四川崇庆经度:103.69 纬度:30.63; 四川绵阳经度:104.73 纬度:31.48; 四川江油经度:104.7 纬度:31.8; 四川青川经度:105.21 纬度:32.59; 四川平武经度:104.52 纬度:32.42; 四川光元经度:105.86 纬度:32.44; 四川旺苍经度:106.33 纬度:32.25;四川梓潼经度:105.16 纬度:31.64; 四川三台经度:105.06 纬度:31.1; 四川盐亭经度:105.35 纬度:31.23; 四川射洪经度:105.31 纬度:30.9; 四川遂宁经度:105.58 纬度:30.52; 四川蓬溪经度:105.74 纬度:30.78; 四川中江经度:104.68 纬度:31.06; 四川德阳经度:104.37 纬度:31.13; 四川绵竹经度:104.19 纬度:31.32; 四川安县经度:104.41 纬度:31.64; 四川北川经度:104.44 纬度:31.89; 四川内江经度:105.04 纬度:29.59; 四川乐至经度:105.02 纬度:30.3; 四川安岳经度:105.3 纬度:30.12; 四川威远经度:104.7 纬度:29.57; 四川资中经度:104.85 纬度:29.81; 四川资阳经度:104.6 纬度:30.19; 四川简阳经度:104.53 纬度:30.38; 四川隆昌经度:105.25 纬度:29.64; 四川宜宾经度:104.56 纬度:29.77; 四川富顺经度:104.97 纬度:29.24; 四川南溪经度:104.96 纬度:28.87; 四川江安经度:105.06 纬度:28.71; 四川纳溪经度:105.38 纬度:28.77; 四川泸县经度:105.46 纬度:28.96; 四川合江经度:105.78 纬度:28.79; 四川泸州经度:105.39 纬度:28.91; 四川古蔺经度:105.79 纬度:28.03; 四川叙水经度:105.44 纬度:28.19; 四川长宁经度:104.91 纬度:28.6; 四川兴文经度:105.06 纬度:28.36; 四川琪县经度:104.81 纬度:28.38; 四川高县经度:104.52 纬度:28.4; 四川筠连经度:104.53 纬度:28.16; 四川屏由经度:104.15 纬度:28.68; 四川乐由经度:103.73 纬度:29.59; 四川夹江经度:103.59 纬度:29.75; 四川洪雅经度:103.38 纬度:29.95; 四川丹棱经度:103.53 纬度:30.04; 四川青神经度:103.81 纬度:29.86; 四川眉由经度:103.81 纬度:30.05; 四川彭由经度:103.83 纬度:30.22; 四川井研经度:104.06 纬度:29.67;四川犍为经度:103.93 纬度:29.21; 四川沐川经度:103.98 纬度:28.96; 四川娥眉经度:103.5 纬度:29.62; 四川马边经度:103.53 纬度:28.87; 四川峨边经度:103.25 纬度:29.23; 四川金口经度:103.13 纬度:29.24; 四川涪陵经度:107.36 纬度:29.7; 四川垫江经度:107.34 纬度:30.36; 四川丰都经度:107.7 纬度:29.89; 四川石柱经度:108.13 纬度:29.98; 四川秀山经度:108.97 纬度:28.47; 四川西阳经度:108.75 纬度:28.85; 四川黔江经度:108.81 纬度:29.53; 四川彭水经度:108.19 纬度:29.29; 四川武隆经度:108.72 纬度:29.29; 四川南川经度:107.13 纬度:29.15; 四川万县经度:108.35 纬度:30.83; 四川开县经度:108.39 纬度:31.23; 四川城口经度:108.67 纬度:31.98; 四川巫溪经度:109.6 纬度:31.42; 四川巫山经度:109.86 纬度:31.1; 四川奉节经度:109.52 纬度:31.06; 四川云阳经度:108.89 纬度:30.99; 四川忠县经度:108.03 纬度:30.33; 四川梁平经度:107.78 纬度:30.66; 四川南允经度:106.06 纬度:30.8; 四川苍溪经度:105.96 纬度:31.75; 四川阆中经度:105.97 纬度:31.75; 四川仪陇经度:106.38 纬度:31.52; 四川南部经度:106.03 纬度:31.34; 四川西允经度:105.84 纬度:31.01; 四川营山经度:106.57 纬度:31.07; 四川蓬安经度:106.44 纬度:31.04; 四川广安经度:106.61 纬度:30.48; 四川岳池经度:106.43 纬度:30.55; 四川武胜经度:106.3 纬度:30.38; 四川华云经度:106.74 纬度:30.41; 四川达县经度:107.49 纬度:31.23; 四川万源经度:108.06 纬度:32.07; 四川宜汉经度:107.71 纬度:31.39; 四川开江经度:107.87 纬度:31.1; 四川邻水经度:106.91 纬度:30.36; 四川大竹经度:107.21 纬度:30.75;四川南江经度:106.83 纬度:32.36; 四川巴中经度:106.73 纬度:31.86; 四川平昌经度:107.11 纬度:31.59; 四川通江经度:108.24 纬度:31.95; 四川百沙经度:108.18 纬度:32;四川雅安经度:102.97 纬度:29.97; 四川芦山经度:102.91 纬度:30.17; 四川名山经度:103.06 纬度:30.09; 四川荣经经度:102.81 纬度:29.79; 四川汉源经度:102.66 纬度:29.4;四川石棉经度:102.38 纬度:29.21; 四川天全经度:102.78 纬度:30.09; 四川宝兴经度:102.84 纬度:30.36; 四川马尔康经度:102.22 纬度:31.92; 四川红原经度:102.55 纬度:31.79; 四川阿坝经度:101.72 纬度:31.93; 四川若尔盖经度:102.94 纬度:33.62; 四川黑水经度:102.95 纬度:32.06; 四川松潘经度:103.61 纬度:32.64; 四川南坪经度:104.19 纬度:33.23; 四川汶川经度:103.61 纬度:31.46; 四川理县经度:103.16 纬度:31.42; 四川小金经度:102.34 纬度:30.97; 四川金川经度:102.03 纬度:31.48; 四川壤塘经度:100.97 纬度:32.3;四川茂汶经度:103.89 纬度:31.67; 四川康定经度:101.95 纬度:30.04; 四川炉霍经度:100.65 纬度:31.38; 四川甘孜经度:99.96 纬度:31.64;四川新龙经度:100.28 纬度:30.96; 四川白玉经度:98.83 纬度:32.23;四川德格经度:98.57 纬度:31.81;四川石渠经度:98.06 纬度:33.01;四川色达经度:100.35 纬度:32.3;四川泸定经度:102.25 纬度:29.92; 四川丹巴经度:101.87 纬度:30.85; 四川九龙经度:101.53 纬度:29.01; 四川雅江经度:101 纬度:30.03;四川道孚经度:101.14 纬度:30.99; 四川理塘经度:100.28 纬度:30.03; 四川乡城经度:99.78 纬度:28.93;四川稻城经度:100.31 纬度:29.04; 四川巴塘经度:99 纬度:30;四川西昌经度:102.29 纬度:27.92;四川昭觉经度:102.83 纬度:28.03;四川甘洛经度:102.74 纬度:28.96;四川雷波经度:103.62 纬度:28.21;四川宁南经度:102.76 纬度:27.07;四川会东经度:102.55 纬度:26.74;四川会理经度:102.21 纬度:26.67;四川德昌经度:102.15 纬度:27.4;四川美姑经度:103.14 纬度:28.33;四川金阳经度:103.22 纬度:27.73;四川布拖经度:102.8 纬度:27.7;四川普格经度:102.52 纬度:27.38;四川喜德经度:102.42 纬度:28.33;四川越西经度:102.49 纬度:28.66;四川盐源经度:101.51 纬度:27.42;四川冕宁经度:102.15 纬度:28.58;四川木里经度:101.25 纬度:27.9;【天津省】天津天津经度:117.2 纬度:39.13;天津宁河经度:117.83 纬度:39.33;天津静海经度:116.92 纬度:38.93;天津蓟县经度:117.4 纬度:40.05;天津宝坻经度:117.3 纬度:39.75;天津武清经度:117.05 纬度:39.4;【宁夏回族自治区省】宁夏回族自治区银川经度:106.27 纬度:38.47; 宁夏回族自治区永宁经度:106.24 纬度:38.28; 宁夏回族自治区贺兰经度:106.35 纬度:38.55; 宁夏回族自治区石嘴山经度:106.39 纬度:39.04; 宁夏回族自治区平罗经度:106.54 纬度:38.91; 宁夏回族自治区陶乐经度:106.69 纬度:38.82; 宁夏回族自治区吴忠经度:106.21 纬度:37.99; 宁夏回族自治区同心经度:105.94 纬度:36.97; 宁夏回族自治区灵武经度:106.34 纬度:38.1;宁夏回族自治区中宁经度:105.66 纬度:37.48; 宁夏回族自治区盐池经度:107.41 纬度:37.78; 宁夏回族自治区中卫经度:105.18 纬度:37.51; 宁夏回族自治区青铜峡经度:106.07 纬度:38.02; 宁夏回族自治区固原经度:106.28 纬度:36.01; 宁夏回族自治区西吉经度:105.7 纬度:35.97;宁夏回族自治区泾源经度:106.33 纬度:35.5;宁夏回族自治区海原经度:105.64 纬度:36.56; 宁夏回族自治区隆德经度:106.11 纬度:35.63;【安徽省】安徽合肥经度:117.27 纬度:31.86; 安徽长丰经度:117.16 纬度:32.47; 安徽淮南经度:116.98 纬度:32.62; 安徽凤台经度:116.71 纬度:32.68; 安徽淮北经度:116.77 纬度:33.97; 安徽濉溪经度:116.76 纬度:33.92; 安徽芜湖经度:118.38 纬度:31.33; 安徽铜陵经度:117.82 纬度:30.93; 安徽蚌埠经度:117.34 纬度:32.93; 安徽马鞍山经度:118.48 纬度:31.56; 安徽安庆经度:117.03 纬度:30.52; 安徽宿州经度:116.97 纬度:33.63; 安徽宿县经度:116.97 纬度:33.63; 安徽砀山经度:116.34 纬度:34.42; 安徽萧县经度:116.93 纬度:34.19; 安徽吴壁经度:117.55 纬度:33.55; 安徽泗县经度:117.89 纬度:33.49; 安徽五河经度:117.87 纬度:33.14; 安徽固镇经度:117.32 纬度:33.33; 安徽怀远经度:117.19 纬度:32.95; 安徽滁州经度:118.31 纬度:32.33; 安徽嘉山经度:117.98 纬度:32.78; 安徽天长经度:119 纬度:32.68;安徽来安经度:118.44 纬度:32.44; 安徽全椒经度:118.27 纬度:32.1;安徽定远经度:117.68 纬度:32.52; 安徽凤阳经度:117.4 纬度:32.86;安徽巢湖经度:117.87 纬度:31.62; 安徽巢县经度:117.87 纬度:31.62; 安徽肥东经度:117.47 纬度:31.89; 安徽含山经度:118.11 纬度:31.7;安徽和县经度:118.37 纬度:31.7;安徽无为经度:117.75 纬度:31.3;安徽卢江经度:117.29 纬度:31.23; 安徽宣城经度:118.73 纬度:31.95; 安徽当涂经度:118.49 纬度:31.55; 安徽郎溪经度:119.17 纬度:31.14; 安徽广德经度:119.41 纬度:30.89; 安徽泾县经度:118.41 纬度:30.68; 安徽南陵经度:118.32 纬度:30.91; 安徽繁昌经度:118.21 纬度:31.07; 安徽宁国经度:118.95 纬度:30.62; 安徽青阳经度:117.84 纬度:30.64;安徽休宁经度:118.19 纬度:29.81; 安徽旌得经度:118.53 纬度:30.28; 安徽绩溪经度:118.57 纬度:30.07; 安徽歙县经度:118.44 纬度:29.88; 安徽祁门经度:117.7 纬度:29.86; 安徽黟县经度:117.92 纬度:29.93; 安徽太平经度:118.13 纬度:30.28; 安徽石台经度:117.48 纬度:30.19; 安徽桐城经度:116.94 纬度:31.04; 安徽纵阳经度:117.21 纬度:30.69; 安徽怀宁经度:116.63 纬度:30.41; 安徽望江经度:116.69 纬度:30.12; 安徽宿松经度:116.13 纬度:30.15; 安徽太湖经度:116.27 纬度:30.42; 安徽岳西经度:116.36 纬度:30.84; 安徽潜山经度:116.53 纬度:30.62; 安徽东至经度:116.99 纬度:30.08; 安徽贵池经度:117.48 纬度:30.66; 安徽六安经度:116.49 纬度:31.73; 安徽霍丘经度:116.27 纬度:32.32; 安徽寿县经度:116.78 纬度:32.57; 安徽肥西经度:117.15 纬度:31.7; 安徽舒城经度:116.94 纬度:31.45; 安徽霍山经度:116.32 纬度:31.38; 安徽金寨经度:115.87 纬度:31.67; 安徽阜阳经度:115.81 纬度:32.89; 安徽毫县经度:116.76 纬度:33.86; 安徽涡阳经度:116.21 纬度:33.49; 安徽蒙城经度:116.55 纬度:33.25; 安徽利辛经度:116.19 纬度:33.12; 安徽颖上经度:116.26 纬度:32.62; 安徽阜南经度:115.6 纬度:32.63; 安徽临泉经度:115.24 纬度:33.06; 安徽界首经度:115.34 纬度:33.24; 安徽太和经度:115.61 纬度:33.16; 【山东省】山东济南经度:117 纬度:36.65;山东历城经度:117.07 纬度:36.69; 山东长清经度:116.73 纬度:36.55; 山东章丘经度:117.53 纬度:36.72; 山东青岛经度:120.33 纬度:36.07; 山东崂山经度:120.42 纬度:36.15; 山东胶南经度:119.97 纬度:35.88;山东胶县经度:120 纬度:36.28;山东淄博经度:118.05 纬度:36.78; 山东枣庄经度:117.57 纬度:34.86; 山东滕县经度:117.17 纬度:35.09; 山东东营经度:118.49 纬度:37.46; 山东垦利经度:118.54 纬度:37.59; 山东利津经度:118.25 纬度:37.49; 山东德州经度:116.29 纬度:37.45; 山东宁津经度:116.8 纬度:37.64; 山东乐陵经度:117.22 纬度:37.74; 山东商河经度:117.15 纬度:37.31; 山东济阳经度:117.2 纬度:36.97; 山东禹城经度:116.66 纬度:36.95; 山东夏津经度:116 纬度:36.95;山东陵县经度:116.58 纬度:37.34; 山东庆云经度:117.37 纬度:37.37; 山东临邑经度:116.86 纬度:37.2; 山东齐河经度:116.76 纬度:36.79; 山东平原经度:116.44 纬度:37.16; 山东武城经度:116.08 纬度:37.2; 山东滨州经度:118.03 纬度:37.36; 山东滨县经度:117.97 纬度:37.47; 山东广饶经度:118.41 纬度:37.04; 山东桓台经度:118.12 纬度:36.95; 山东邹平经度:117.75 纬度:36.89; 山东阳信经度:117.58 纬度:37.65; 山东沾化经度:118.14 纬度:37.7; 山东博兴经度:118.12 纬度:37.12; 山东高青经度:117.66 纬度:37.18; 山东惠民经度:117.51 纬度:17.49; 山东无棣经度:117.58 纬度:37.73; 山东潍坊经度:119.1 纬度:36.62; 山东潍县经度:119.22 纬度:36.77; 山东平度经度:119.97 纬度:36.77; 山东诸城经度:119.42 纬度:35.99; 山东安丘经度:119.2 纬度:36.42; 山东临朐经度:118.53 纬度:36.5; 山东寿光经度:118.73 纬度:36.86; 山东昌邑经度:119.41 纬度:36.86; 山东高密经度:119.75 纬度:36.38; 山东五莲经度:119.2 纬度:35.74; 山东昌乐经度:118.83 纬度:36.69; 山东高都经度:118.47 纬度:36.69;山东牟平经度:121.59 纬度:37.38; 山东文登经度:122.05 纬度:37.2; 山东海阳经度:121.17 纬度:36.76; 山东莱阳经度:120.71 纬度:36.97; 山东栖霞经度:120.83 纬度:37.28; 山东掖县经度:119.93 纬度:37.18; 山东长岛经度:120.73 纬度:37.91; 山东威海经度:122.1 纬度:37.5; 山东福山经度:121.27 纬度:37.49; 山东荣成经度:122.41 纬度:37.16; 山东乳山经度:121.52 纬度:36.89; 山东莱西经度:120.53 纬度:36.86; 山东招远经度:120.38 纬度:37.35; 山东黄县经度:120.51 纬度:37.64; 山东蓬莱经度:120.75 纬度:37.8; 山东临沂经度:118.35 纬度:35.05; 山东沂水经度:118.64 纬度:35.78; 山东日照经度:119.46 纬度:35.42; 山东临沭经度:118.73 纬度:34.89; 山东仓山经度:118.03 纬度:34.84; 山东平邑经度:117.63 纬度:35.49; 山东沂源经度:118.17 纬度:36.18; 山东沂南经度:118.47 纬度:35.54; 山东营县经度:118.83 纬度:35.57; 山东莒南经度:118.83 纬度:35.17; 山东郯城经度:118.35 纬度:34.61; 山东费县经度:117.97 纬度:35.26; 山东蒙阴经度:117.95 纬度:35.7; 山东泰安经度:117.13 纬度:36.18; 山东莱芜经度:117.67 纬度:36.19; 山东肥城经度:116.76 纬度:36.24; 山东平阴经度:116.46 纬度:36.29; 山东新汶经度:117.67 纬度:35.86; 山东新泰经度:117.76 纬度:35.91; 山东宁阳经度:116.8 纬度:35.76; 山东东平经度:116.3 纬度:35.91; 山东济宁经度:116.59 纬度:35.38; 山东兖州经度:116.83 纬度:35.54; 山东泗水经度:117.27 纬度:35.65; 山东鱼台经度:116.65 纬度:35;山东嘉祥经度:116.34 纬度:35.41; 山东汶上经度:116.49 纬度:35.71; 山东曲阜经度:116.98 纬度:35.59;山东微山经度:117.12 纬度:34.8; 山东金乡经度:116.32 纬度:35.07; 山东荷泽经度:115.43 纬度:35.24; 山东郓城经度:115.94 纬度:35.59; 山东巨野经度:116.08 纬度:35.38; 山东单县经度:116.07 纬度:34.82; 山东曹县经度:115.53 纬度:34.83; 山东鄄城经度:115.5 纬度:35.57; 山东梁山经度:116.1 纬度:35.8; 山东成武经度:115.88 纬度:34.97; 山东定陶经度:115.57 纬度:35.07; 山东东明经度:115.08 纬度:35.31; 山东聊城经度:115.97 纬度:36.45; 山东高唐经度:116.23 纬度:36.86; 山东东阿经度:116.23 纬度:36.32; 山东莘县经度:115.67 纬度:36.24; 山东临清经度:115.72 纬度:36.68; 山东茌平经度:116.27 纬度:36.58; 山东阳谷经度:115.78 纬度:36.11; 山东冠县经度:115.45 纬度:35.47; 【山西省】山西太原经度:112.53 纬度:37.87; 山西阳曲经度:112.65 纬度:38.05; 山西娄烦经度:111.78 纬度:38.05; 山西清徐经度:112.33 纬度:37.62; 山西大同经度:113.3 纬度:40.12; 山西阳泉经度:113.57 纬度:37.85; 山西长治经度:113.08 纬度:36.18; 山西天镇经度:114.08 纬度:40.42; 山西灵丘经度:114.2 纬度:39.47; 山西怀仁经度:113.1 纬度:39.82; 山西山阴经度:112.82 纬度:39.52; 山西平鲁经度:112.12 纬度:39.53; 山西右玉经度:112.33 纬度:40.18; 山西阳高经度:113.72 纬度:40.38; 山西广灵经度:113.27 纬度:39.75; 山西浑源经度:113.68 纬度:39.7; 山西应县经度:113.18 纬度:39.58; 山西朔县经度:112.42 纬度:39.32; 山西左云经度:112.67 纬度:40.02; 山西忻县经度:112.7 纬度:38.38; 山西代县经度:112.97 纬度:39.07; 山西五台经度:113.32 纬度:38.72;山西保德经度:111.09 纬度:38.01; 山西河曲经度:111.17 纬度:39.38; 山西神池经度:112.17 纬度:39.1; 山西原平经度:112.7 纬度:38.73; 山西繁峙经度:113.28 纬度:39.2; 山西定襄经度:112.95 纬度:38.5; 山西岢岚经度:111.58 纬度:38.7; 山西五寨经度:111.82 纬度:38.93; 山西偏关经度:111.47 纬度:39.45; 山西宁武经度:112.28 纬度:39;山西榆次经度:112.72 纬度:37.68; 山西孟县经度:113.37 纬度:38.01; 山西昔阳经度:113.68 纬度:37.62; 山西左权经度:113.35 纬度:37.07; 山西太谷经度:112.53 纬度:37.42; 山西平遥经度:112.18 纬度:37.2; 山西灵石经度:111.77 纬度:36.83; 山西寿阳经度:113.17 纬度:37.88; 山西平定经度:113.62 纬度:37.79; 山西和顺经度:113.55 纬度:37.33; 山西榆社经度:112.97 纬度:37.08; 山西祁县经度:112.33 纬度:37.36; 山西介休经度:111.88 纬度:37.03; 山西离石经度:111.13 纬度:37.53; 山西兴县经度:111.22 纬度:38.47; 山西方由经度:111.24 纬度:37.86; 山西岚县经度:111.62 纬度:38.28; 山西交城经度:112.14 纬度:37.55; 山西文水经度:112.02 纬度:37.42; 山西汾阳经度:111.75 纬度:37.27; 山西孝义经度:111.8 纬度:37.12; 山西交口经度:111.2 纬度:36.97; 山西石楼经度:110.83 纬度:37;山西中阳经度:111.17 纬度:37.37; 山西临县经度:110.95 纬度:37.95; 山西柳林经度:110.85 纬度:37.45; 山西襄垣经度:113.02 纬度:36.55; 山西黎城经度:113.4 纬度:36.56; 山西壶关经度:113.23 纬度:35.11; 山西高平经度:112.88 纬度:35.48; 山西阳城经度:112.38 纬度:35.84; 山西长子经度:112.87 纬度:36.13; 山西沁源经度:112.32 纬度:36.5;山西武乡经度:112.83 纬度:36.83; 山西平顺经度:113.43 纬度:36.19; 山西陵川经度:113.27 纬度:35.78; 山西晋城经度:112.83 纬度:35.52; 山西沁水经度:112.15 纬度:35.67; 山西屯留经度:112.87 纬度:36.32; 山西沁县经度:112.68 纬度:36.75; 山西临汾经度:111.5 纬度:36.08; 山西汾西经度:111.53 纬度:36.63; 山西安泽经度:112.2 纬度:36.15; 山西古县经度:111.9 纬度:36.29; 山西翼城经度:111.68 纬度:35.73; 山西曲沃经度:111.33 纬度:35.63; 山西吉县经度:110.65 纬度:36.12; 山西大宁经度:110.72 纬度:36.47; 山西侯马经度:111.45 纬度:35.03; 山西永和经度:110.64 纬度:36.62; 山西洪洞经度:111.68 纬度:36.25; 山西霍县经度:111.72 纬度:36.57; 山西浮山经度:111.83 纬度:35.97; 山西襄汾经度:111.43 纬度:35.86; 山西乡宁经度:110.8 纬度:35.97; 山西蒲县经度:111.07 纬度:36.42; 山西运城经度:110.97 纬度:35.03; 山西闻喜经度:111.2 纬度:35.37; 山西垣曲经度:111.63 纬度:35.3; 山西芮城经度:110.68 纬度:34.71; 山西临猗经度:110.78 纬度:35.15; 山西新绛经度:111.22 纬度:35.62; 山西河津经度:110.7 纬度:35.58; 山西夏县经度:111.22 纬度:35.12; 山西绛县经度:111.58 纬度:35.48; 山西平陆经度:111.2 纬度:34.12; 山西永济经度:110.42 纬度:34.88; 山西万荣经度:110.83 纬度:35.42; 山西稷山经度:110.97 纬度:35.6; 【广东省】广东广州经度:113.23 纬度:23.16; 广东花县经度:113.19 纬度:23.4; 广东新十经度:114.2 纬度:24.09; 广东增城经度:113.81 纬度:23.13; 广东从化经度:113.55 纬度:23.57; 广东龙门经度:114.25 纬度:23.75;广东海口经度:110.35 纬度:20.02;广东汕头经度:116.69 纬度:23.39;广东洪江经度:110.38 纬度:21.2;广东茂名经度:110.88 纬度:21.68;广东佛山经度:113.11 纬度:23.05;广东江门经度:113.06 纬度:22.61;广东深圳经度:114.07 纬度:22.62;广东宝安经度:113.85 纬度:22.58;广东珠海经度:113.52 纬度:22.3;广东韶关经度:113.62 纬度:24.84;广东曲江经度:113.58 纬度:24.68;广东乐昌经度:113.35 纬度:25.14;广东仁化经度:113.73 纬度:25.11;广东南雄经度:114.33 纬度:25.14;广东广东翁源经度:114.13 纬度:24.36; 广东佛岗经度:113.52 纬度:23.86;广东英德经度:113.38 纬度:24.17;广东清远经度:113.01 纬度:23.7;广东阳山经度:112.65 纬度:24.48;广东连县经度:112.4 纬度:24.77;广东连山经度:112.07 纬度:24.59;广东连南经度:112.28 纬度:24.77;:广东惠州经度:114.4 纬度:23.09;广东惠阳经度:114.4 纬度:23.09;广东博罗经度:114.28 纬度:23.18;广东河源经度:114.68 纬度:23.73;广东连平经度:114.48 纬度:24.39;广东和平经度:114.89 纬度:24.45;广东龙川经度:115.25 纬度:24.09;广东紫金经度:115.18 纬度:23.64;广东惠东经度:114.7 纬度:22.97;广东东莞经度:113.75 纬度:23.04;广东梅州经度:116.1 纬度:24.55;广东梅县经度:116.1 纬度:24.55;广东平远经度:117.9 纬度:24.59;广东蕉岭经度:116.18 纬度:24.66;广东大埔经度:116.7 纬度:24.34;广东丰顺经度:116.18 纬度:23.78;广东五华经度:115.75 纬度:23.93;广东兴宁经度:115.75 纬度:24.15;广东潮州经度:116.63 纬度:23.68;广东澄海经度:116.8 纬度:23.48;广东潮安经度:116.63 纬度:23.68;广东南澳经度:117.03 纬度:23.44; 广东潮阳经度:116.61 纬度:23.27; 广东惠来经度:116.29 纬度:23.07; 广东陆丰经度:117.64 纬度:22.95; 广东海丰经度:117.33 纬度:22.98; 广东普宁经度:116.17 纬度:23.29; 广东揭西经度:115.82 纬度:23.45; 广东揭阳经度:116.35 纬度:23.55; 广东南海经度:113.11 纬度:23.05; 广东三水经度:112.89 纬度:23.18; 广东顺德经度:113.24 纬度:22.84; 广东中山经度:113.38 纬度:22.52; 广东斗门经度:113.25 纬度:22.2; 广东新会经度:113.02 纬度:22.52; 广东鹤山经度:112.94 纬度:22.76; 广东开平经度:112.68 纬度:22.36; 广东台山经度:112.78 纬度:22.27; 广东恩平经度:112.29 纬度:22.21; 广东高明经度:112.76 纬度:21.71; 广东廉江经度:110.27 纬度:21.63; 广东化州经度:110.59 纬度:21.64; 广东高州经度:110.83 纬度:21.95; 广东信宜经度:110.9 纬度:22.36; 广东阳春经度:111.78 纬度:22.16; 广东阳江经度:111.95 纬度:21.85; 广东电白经度:110.99 纬度:21.52; 广东吴川经度:110.78 纬度:21.43; 广东徐闻经度:110.17 纬度:20.34; 广东海康经度:110.07 纬度:20.91; 广东遂溪经度:110.24 纬度:21.39; 广东肇庆经度:112.44 纬度:23.05; 广东高要经度:112.44 纬度:23.05; 广东怀集经度:112.18 纬度:23.93; 广东广宁经度:112.43 纬度:23.14; 广东四会经度:112.68 纬度:23.36; 广东新兴经度:112.2 纬度:22.68; 广东云浮经度:112.02 纬度:22.93; 广东罗定经度:111.56 纬度:22.77; 广东郁南经度:111.51 纬度:23.23; 广东德庆经度:111.75 纬度:23.15; 广东封开经度:111.48 纬度:23.45; 【广西省】广西南宁经度:108.33 纬度:22.84;。
中国地理各地方经纬度表广东。
广东省广州的经纬度北纬23.08东经113.14广东省潮阳的经纬度北纬23.16东经116.36广东省潮州的经纬度北纬23.40东经116.38广东省澄海的经纬度北纬23.28东经116.46广东省从化的经纬度北纬23.33东经113.33广东省东莞的经纬度北纬23.02东经113.45广东省恩平的经纬度北纬22.12东经112.19广东省佛山的经纬度北纬23.02东经113.06广东省高明的经纬度北纬22.53东经112.50广东省高要的经纬度北纬23.02东经112.26广东省高州的经纬度北纬21.54东经110.50广东省鹤山的经纬度北纬22.46东经112.57广东省河源的经纬度北纬23.43东经114.41广东省花都的经纬度北纬23.23东经113.12广东省化州的经纬度北纬21.39东经110.37广东省惠阳的经纬度北纬22.48东经114.28广东省惠州的经纬度北纬23.05东经114.22广东省江门的经纬度北纬22.35东经113.04广东省揭阳的经纬度北纬22.32东经116.21广东省开平的经纬度北纬22.22东经112.40广东省乐昌的经纬度北纬25.09东经113.21广东省雷州的经纬度北纬20.54东经110.04广东省廉江的经纬度北纬21.37东经110.17广东省连州的经纬度北纬24.48东经112.23广东省罗定的经纬度北纬22.46东经111.33广东省茂名的经纬度北纬21.40东经110.53广东省梅州的经纬度北纬24.19东经116.07广东省南海的经纬度北纬23.01东经113.09广东省番禺的经纬度北纬22.57东经113.22广东省普宁的经纬度北纬23.18东经116.10广东省清远的经纬度北纬23.42东经113.01广东省三水的经纬度北纬23.10东经112.52广东省汕头的经纬度北纬23.22东经116.41广东省汕尾的经纬度北纬22.47东经115.21广东省韶关的经纬度北纬24.48东经113.37广东省深圳的经纬度北纬22.33东经114.07广东省顺德的经纬度北纬22.50东经113.15广东省四会的经纬度北纬23.21东经112.41广东省台山的经纬度北纬22.15东经112.48广东省吴川的经纬度北纬21.26东经110.47广东省新会的经纬度北纬22.32东经113.01广东省兴宁的经纬度北纬24.09东经115.43 广东省阳春的经纬度北纬22.10东经111.48 广东省阳江的经纬度北纬21.50东经111.58 广东省英德的经纬度北纬24.10东经113.22 广东省云浮的经纬度北纬22.57东经112.02 广东省增城的经纬度北纬23.18东经113.49 广东省湛江的经纬度北纬21.11东经110.24 广东省肇庆的经纬度北纬23.03东经112.27 广东省中山的经纬度北纬22.31东经113.22 广东省珠海的经纬度北纬22.17东经113.34 安徽。
中国各城市的地理位置经纬度【直辖市】 北京市 北纬 39°55 东经 116°24 上海市 北纬 31°14 东经 121°29 天津市 北纬 39°02 东经 117°12 重庆市 北纬 29°35 东经 106°33 (重庆市各区) 合川市 北纬 30°02 东经 106°15 江津市 北纬 29°18 东经 106°16 南川市 北纬 29°10 东经 107°05 永川市 北纬 29°23 东经 105°53【安徽省】 合肥 北纬 31°52 东经 117°17 安庆 北纬 30°31 东经 117°02 蚌埠 北纬 32°56 东经 117°21 亳州 北纬 33°52 东经 115°47 巢湖 北纬 31°36 东经 117°52 滁州 北纬 32°18 东经 118°18 阜阳 北纬 32°54 东经 115°48 贵池 北纬 30°39 东经 117°28 淮北 北纬 33°57 东经 116°47 淮南 北纬 32°37 东经 116°58 黄山 北纬 29°43 东经 118°18 界首 北纬 33°15 东经 115°21 六安 北纬 31°44 东经 116°28 马鞍山 北纬 31°43 东经 118°28 明光 北纬 32°47 东经 117°58 宿州 北纬 33°38 东经 116°58 天长 北纬 32°41 东经 118°59 铜陵 北纬 30°56 东经 117°48 芜湖 北纬 31°19 东经 118°22 宣州 北纬 30°57 东经 118°44【福建省】 福州 北纬 26°05 东经 119°18 长乐 北纬 25°58 东经 119°31 福安 北纬 27°06 东经 119°39 福清 北纬 25°42 东经 119°23 建瓯 北纬 27°03 东经 118°20 建阳 北纬 27°21 东经 118°07 晋江 北纬 24°49 东经 118°35 龙海 北纬 24°26 东经 117°48 龙岩 北纬 25°06 东经 117°01 南安 北纬 24°57东经 118°23 南平 北纬 26°38 东经 118°10 宁德 北纬 26°39 东经 119°31 莆田 北纬 24°26 东经 119°01 泉州 北纬 24°56 东经 118°36 三明 北纬 26°13 东经 117°36 邵武 北纬 27°20 东经 117°29 石狮 北纬 24°44 东经 118°38 武夷山 北纬 27°46 东经 118°02 厦门 北纬 24°27 东经 118°06 永安 北纬 25°58 东经 117°23 漳平 北纬 25°17 东经 117°24 漳州 北纬 24°31 东经 117°39【广东省】 广州 北纬 23°08 东经 113°14 潮阳 北纬 23°16 东经 116°36 潮州 北纬 23°40 东经 116°38 澄海 北纬 23°28 东经 116°46 从化 北纬 23°33 东经 113°33 东莞 北纬 23°02 东经 113°45 恩平 北纬 22°12 东经 112°19 佛山 北纬 23°02 东经 113°06 高明 北纬 22°53 东经 112°50 高要 北纬 23°02 东经 112°26 高州 北纬 21°54 东经 110°50 鹤山 北纬 22°46 东经 112°57 河源 北纬 23°43 东经 114°41 花都 北纬 23°23 东经 113°12 化州 北纬 21°39 东经 110°37 惠阳 北纬 22°48 东经 114°28 惠州 北纬 23°05 东经 114°22 江门 北纬 22°35 东经 113°04 揭阳 北纬 22°32 东经 116°21 开平 北纬 22°22 东经 112°402 乐昌 北纬 25°09 东经 113°21 雷州 北纬 20°54 东经 110°04 廉江 北纬 21°37 东经 110°17 连州 北纬 24°48 东经 112°23 罗定 北纬 22°46 东经 111°33 茂名 北纬 21°40 东经 110°53 梅州 北纬 24°19 东经 116°07 南海 北纬 23°01 东经 113°09 番禺 北纬 22°57 东经 113°22 普宁 北纬23°18 东经 116°10 清远 北纬 23°42 东经 113°01 三水 北纬 23°10 东经 112°52 汕头 北纬 23°22 东经 116°41 汕尾 北纬 22°47 东经 115°21 韶关 北纬 24°48 东经 113°37 深圳 北纬 22°33 东经 114°07 顺德 北纬 22°50 东经 113°15 四会 北纬 23°21 东经 112°41 台山 北纬 22°15 东经 112°48 吴川 北纬 21°26 东经 110°47 新会 北纬 22°32 东经 113°01 兴宁 北纬 24°09 东经 115°43 阳春 北纬 22°10 东经 111°48 阳江 北纬 21°50 东经 111°58 英德 北纬 24°10 东经 113°22 云浮 北纬 22°57 东经 112°02 增城 北纬 23°18 东经 113°49 湛江 北纬 21°11 东经 110°24 肇庆 北纬 23°03 东经 112°27 中山 北纬 22°31 东经 113°22 珠海 北纬 22°17 东经 113°34【广西壮族自治区】 南宁 北纬 22°48 东经 108°19 北海 北纬 21°28 东经 109°07 北流 北纬 22°42 东经 110°21 百色 北纬 23°54 东经 106°36 防城港 北纬 21°37 东经 108°20 贵港 北纬 23°06 东经 109°36 桂林 北纬 25°17 东经 110°17 桂平 北纬 23°22 东经 110°04 河池 北纬 24°42 东经 108°03 合山 北纬 23°47 东经 108°52 柳州 北纬 23°19 东经 109°24 赁祥 北纬 22°07 东经 106°44 钦州 北纬 21°57 东经 108°37 梧州 北纬 23°29 东经 111°20 玉林 北纬 22°38 东经 110°09 宜州 北纬 24°28 东经 108°40【贵州省】 贵阳 北纬 26°35 东经 106°42 安顺 北纬 26°14 东经 105°55 毕节 北纬 27°18 东经 105°18 赤水 北纬 28°34东经 105°42 都匀 北纬 26°15 东经 107°31 凯里 北纬 26°35 东经 107°58 六盘水 北纬 26°35 东经 104°50 清镇 北纬 26°33 东经 106°27 铜仁 北纬 27°43 东经 109°12 兴义 北纬 25°05 东经 104°53 遵义 北纬 27°42 东经 106°55【甘肃省】 兰州 北纬 36°04 东经 103°51 白银 北纬 36°33 东经 104°12 敦煌 北纬 40°08 东经 94°41 嘉峪关 北纬 39°48 东经 98°14 金昌 北纬 38°28 东经 102°10 酒泉 北纬 39°44 东经 98°31 临夏 北纬 35°37 东经 103°12 平凉 北纬 35°32 东经 106°40 天水 北纬 34°37 东经 105°42 武威 北纬 37°56 东经 102°39 西峰 北纬 35°45 东经 107°40 玉门 北纬 39°49 东经 97°35 张掖 北纬 38°56 东经 100°26 【湖北省】 武汉 北纬 30°35 东经 114°17 安陆 北纬 31°15 东经 113°41 当阳 北纬 30°50 东经 111°473 丹江口 北纬 32°33 东经 108°30 大冶 北纬 30°06 东经 114°58 恩施 北纬 30°16 东经 109°29 鄂州 北纬 30°23 东经 114°52 广水 北纬 31°37 东经 113°48 洪湖 北纬 29°48 东经 113°27 黄石 北纬 30°12 东经 115°06 黄州 北纬 30°27 东经 114°52 荆门 北纬 31°02 东经 112°12 荆沙 北纬 30°18 东经 112°16 老河口 北纬 32°23 东经 111°40 利川 北纬 30°18 东经 108°56 麻城 北纬 31°10 东经 115°01 浦圻 北纬 29°42 东经 113°51 潜江 北纬 30°26 东经 112°53 石首 北纬 29°43 东经 112°24 十堰 北纬 32°40 东经 110°47 随州 北纬 31°42 东经113°22 天门 北纬 30°39 东经113°10 武穴 北纬 29°51 东经115°33 襄樊 北纬 32°02 东经112°08 咸宁 北纬 29°53 东经114°17 仙桃 北纬 30°22 东经113°27 孝感 北纬 30°56 东经113°54 宜昌 北纬 30°42 东经111°17 宜城 北纬 31°42 东经112°15 应城 北纬 30°57 东经113°33 枣阳 北纬 32°07 东经112°44 枝城 北纬 30°23 东经111°27 钟祥 北纬 31°10 东经112°34【湖南省】 长沙 北纬 28°12 东经 112°59 常德 北纬 29°02 东经 111°51 郴州 北纬 25°46 东经 113°02 衡阳 北纬 26°53 东经 112°37 洪江 北纬 27°07 东经 109°59 怀化 北纬 27°33 东经 109°58 津市 北纬 29°38 东经 111°52 吉首 北纬 28°18 东经 109°43 耒阳 北纬 26°24 东经 112°51 冷水江 北纬 27°42 东经 111°26 冷水滩 北纬 26°26 东经 111°35 涟源 北纬 27°41 东经 111°41 醴陵 北纬 27°40 东经 113°30 临湘 北纬 29°29 东经 113°27 浏阳 北纬 28°09 东经 113°37 娄底 北纬 27°44 东经 111°59 汨罗 北纬 28°49 东经 113°03 韶山 北纬 27°54 东经 112°29 邵阳 北纬 27°14 东经 111°28 武冈 北纬 26°43 东经 110°37 湘潭 北纬 27°52 东经 112°53 湘乡 北纬 27°44 东经 112°31 益阳 北纬 28°36 东经 112°20 永州 北纬 26°13 东经 111°37 沅江 北纬 28°50 东经 112°22 岳阳 北纬 29°22 东经 113°06 张家界 北纬 29°08 东经 110°29 株洲 北纬 27°51 东经 113°09 资兴 北纬 25°58 东经 113°13 【河北省】 石家庄 北纬 38°02 东经 114°30 安国 北纬 38°24东经 116°24 泊头 北纬 38°04 东经 116°34 沧州 北纬 38°18 东经 116°52 承德 北纬 40°59 东经 117°57 定州 北纬 38°30 东经 115°00 丰南 北纬 39°34 东经 118°06 高碑店 北纬 39°20 东经 115°51 蒿城 北纬 38°02 东经 114°50 邯郸 北纬 36°36 东经 114°28 河间 北纬 38°26 东经 116°05 衡水 北纬 37°44 东经 115°42 黄骅 北纬 38°21 东经 117°21 晋州 北纬 38°02 东经 115°02 冀州 北纬 37°34 东经 115°33 廓坊 北纬 39°31 东经 116°42 鹿泉 北纬 38°04 东经 114°19 南宫 北纬 37°22 东经 115°234 秦皇岛 北纬 39°55 东经 119°35 任丘 北纬 38°42 东经 116°07 三河 北纬 39°58 东经 117°04 沙河 北纬 36°51 东经 114°30 深州 北纬 38°01 东经 115°32 唐山 北纬 39°36 东经 118°11 武安 北纬 36°42 东经 114°11 邢台 北纬 37°04 东经 114°30 辛集 北纬 37°54 东经 115°12 新乐 北纬 38°20 东经 114°41 张家口 北纬 40°48 东经 114°53 涿州 北纬 39°29 东经 115°59 遵化 北纬 40°11 东经 117°58【河南省】 郑州 北纬 34°46 东经 113°40 安阳 北纬 36°06 东经 114°21 长葛 北纬 34°12 东经 113°47 登封 北纬 34°27 东经 113°02 邓州 北纬 32°42 东经 112°05 巩义 北纬 34°46 东经 112°58 鹤壁 北纬 35°54 东经 114°11 辉县 北纬 35°27 东经 113°47 焦作 北纬 35°14 东经 113°12 济源 北纬 35°04 东经 112°35 开封 北纬 34°47 东经 114°21 灵宝 北纬 34°31东经 114°02 洛阳 北纬 34°41 东经 112°27 南阳 北纬 33°00 东经 112°32 平顶山 北纬 33°44 东经 113°17 濮阳 北纬 35°44 东经 115°01 沁阳 北纬 35°05 东经 112°57 汝州 北纬 34°09 东经 112°50 三门峡 北纬 34°47 东经 111°12 商丘 北纬 34°26 东经 115°38 卫辉 北纬 35°24 东经 114°03 舞钢 北纬 33°17 东经 113°30 项城 北纬 33°26 东经 114°54 荥阳 北纬 34°46 东经 113°21 新密 北纬 34°31 东经 113°22 新乡 北纬 35°18 东经 113°52 信阳 北纬 32°07 东经 114°04 新郑 北纬 34°24 东经 113°43 许昌 北纬 34°01 东经 113°49 偃师 北纬 34°43 东经 112°47 义马 北纬 34°43 东经 111°55 禹州 北纬 34°09 东经 113°28 周口 北纬 33°37 东经 114°38 驻马店 北纬 32°58 东经 114°01【黑龙江省】 哈尔滨 北纬 45°44 东经 126°36 阿城 北纬 45°32 东经 126°58 安达 北纬 46°24 东经 125°18 北安 北纬 48°15 东经 126°31 大庆 北纬 46°36 东经 125°01 富锦 北纬 47°15 东经 132°02 海林 北纬 44°35 东经 129°21 海伦 北纬 47°28 东经 126°57 鹤岗 北纬 47°20 东经 130°16 黑河 北纬 50°14 东经 127°29 佳木斯 北纬 46°47 东经 130°22 鸡西 北纬 45°17 东经 130°57 密山 北纬 45°32 东经 131°50 牡丹江 北纬 44°35 东经 129°36 讷河 北纬 48°29 东经 124°51 宁安 北纬 44°21 东经 129°28 齐齐哈尔 北纬 47°20 东经 123°57七台河 北纬 45°48 东经 130°49 双城 北纬 45°22 东经 126°15 尚志 北纬 45°14 东经 127°55 双鸭山 北纬 46°38 东经 131°11 绥芬河 北纬 44°25 东经 131°11 绥化 北纬 46°38 东经 126°59 铁力 北纬 46°59 东经 128°01 同江 北纬 47°39 东经 132°30 五常 北纬 44°55 东经 127°11 五大连池 北纬 48°38 东经 126°07 伊春 北纬 47°42 东经 128°56 肇东 北纬 46°04 东经 125°58【海南省】5 海口 北纬 20°02 东经 110°20 儋州 北纬 19°31 东经 109°34 琼海 北纬 19°14 东经 110°28 琼山 北纬 19°59 东经 110°21 三亚 北纬 18°14 东经 109°31 通什 北纬 18°46 东经 109°31 三沙 北纬 16°50 东经 112°20 【吉林省】 长春 北纬 43°54 东经 125°19 白城 北纬 45°38 东经 122°50 白山 北纬 41°56 东经 126°26 大安 北纬 45°30 东经 124°18 德惠 北纬 44°32 东经 125°42 敦化 北纬 43°22 东经 128°13 公主岭 北纬 43°31 东经 124°49 和龙 北纬 42°32 东经 129°00 桦甸 北纬 42°58 东经 126°44 珲春 北纬 42°52 东经 130°22 集安 北纬 41°08 东经 126°11 蛟河 北纬 43°42 东经 127°21 吉林 北纬 43°52 东经 126°33 九台 北纬 44°09 东经 125°51 辽源 北纬 42°54 东经 125°09 临江 北纬 41°49 东经 126°53 龙井 北纬 42°46 东经 129°26 梅河口 北纬 42°32 东经 125°40 舒兰 北纬 44°24 东经 126°57 四平 北纬 43°10 东经 124°22 松原 北纬 45°11 东经 124°49 洮南 北纬 45°20 东经122°47 通化 北纬 41°43 东经 125°56 图们 北纬 42°57 东经 129°51 延吉 北纬 42°54 东经 129°30 愉树 北纬 44°49 东经 126°32【江西省】 南昌 北纬 28°40 东经 115°55 德兴 北纬 28°57 东经 117°35 丰城 北纬 28°12 东经 115°48 赣州 北纬 28°52 东经 114°56 高安 北纬 28°25 东经 115°22 吉安 北纬 27°07 东经 114°58 景德镇 北纬 29°17 东经 117°13 井冈山 北纬 26°34 东经 114°10 九江 北纬 29°43 东经 115°58 乐平 北纬 28°58 东经 117°08 临川 北纬 27°59 东经 116°21 萍乡 北纬 27°37 东经 113°50 瑞昌 北纬 29°40 东经 115°38 瑞金 北纬 25°53 东经 116°01 上饶 北纬 25°27 东经 117°58 新余 北纬 27°48 东经 114°56 宜春 北纬 27°47 东经 114°23 鹰潭 北纬 28°14 东经 117°03 樟树 北纬 28°03 东经 115°32【江苏省】 南京 北纬 32°03 东经 118°46 常熟 北纬 31°39 东经 120°43 常州 北纬 31°47 东经 119°58 丹阳 北纬 32°00 东经 119°32 东台 北纬 32°51 东经 120°19 高邮 北纬 32°47 东经 119°27 海门 北纬 31°53 东经 121°09 淮安 北纬 33°30 东经 119°09 淮阴 北纬 33°36 东经 119°02 江都 北纬 32°26 东经 119°32 姜堰 北纬 32°34 东经 120°08 江阴 北纬 31°54 东经 120°17 靖江 北纬 32°02 东经 120°17 金坛 北纬 31°46 东经 119°33 昆山 北纬 31°23 东经 120°57 连去港 北纬 34°36 东经 119°10 溧阳 北纬 31°26 东经 119°29 南通 北纬32°01 东经 120°51 邳州 北纬 34°19 东经 117°59 启乐 北纬 31°48 东经 121°39 如皋 北纬 32°23 东经 120°33 宿迁 北纬 33°58 东经 118°18 苏州 北纬 31°19 东经 120°37 太仓 北纬 31°27 东经 121°06 泰兴 北纬 32°10 东经 120°01 泰州 北纬 32°30 东经 119°546 通州 北纬 32°05 东经 121°03 吴江 北纬 31°10 东经 120°39 无锡 北纬 31°34 东经 120°18 兴化 北纬 32°56 东经 119°50 新沂 北纬 34°22 东经 118°20 徐州 北纬 34°15 东经 117°11 盐在 北纬 33°22 东经 120°08 扬中 北纬 32°14 东经 119°49 扬州 北纬 32°23 东经 119°26 宜兴 北纬 31°21 东经 119°49 仪征 北纬 32°16 东经 119°10 张家港 北纬 31°52 东经 120°32 镇江 北纬 32°11 东经 119°27【辽宁省】 沈阳 北纬 41°48 东经 123°25 鞍山 北纬 41°07 东经 123°00 北票 北纬 41°48 东经 120°47 本溪 北纬 41°18 东经 123°46 朝阳 北纬 41°34 东经 120°27 大连 北纬 38°55 东经 121°36 丹东 北纬 40°08 东经 124°22 大石桥 北纬 40°37 东经 122°31 东港 北纬 39°53 东经 124°08 凤城 北纬 40°28 东经 124°02 抚顺 北纬 41°51 东经 123°54 阜新 北纬 42°01 东经 121°39 盖州 北纬 40°24 东经 122°21 海城 北纬 40°51 东经 122°43 葫芦岛 北纬 40°45 东经 120°51 锦州 北纬 41°07 东经 121°09 开原 北纬 42°32 东经 124°02 辽阳 北纬 41°16 东经 123°12 凌海 北纬 41°10 东经 121°21 凌源 北纬 41°14 东经 119°22 盘锦 北纬 41°07 东经 122°03 普兰店 北纬 39°23 东经 121°58 铁法 北纬 42°28 东经 123°32 铁岭 北纬 42°18 东经 123°51 瓦房店 北纬 39°37 东经 122°00 兴城 北纬 40°37 东经 120°41 新民 北纬 41°59 东经 122°49 营口 北纬 40°39 东经 122°13 庄河 北纬 39°41 东经 122°58 【宁夏回族自治区】 银川 北纬 38°27 东经 106°16 青铜峡 北纬 37°56 东经 105°59 石嘴山 北纬 39°02 东经 106°22 吴忠 北纬 37°59 东经 106°11【内蒙古自治区】 呼和浩特 北纬 40°48 东经 111°41 包头 北纬 40°39 东经 109°49 赤峰 北纬 42°17 东经 118°58 东胜 北纬 39°48 东经 109°59 二连浩特 北纬 43°38 东经 111°58 额尔古纳 北纬 50°13 东经 120°11 丰镇 北纬 40°27 东经 113°09 根河 北纬 50°48 东经 121°29 海拉尔 北纬 49°12 东经 119°39 霍林郭勒 北纬 45°32 东经 119°38 集宁 北纬 41°02 东经 113°06 临河 北纬 40°46 东经 107°22 满洲里 北纬 49°35 东经 117°23 通辽 北纬 43°37 东经 122°16 乌兰浩特 北纬 46°03 东经 122°03 乌海 北纬 39°40 东经 106°48 锡林浩特 北纬 43°57 东经 116°03 牙克石 北纬 49°17 东经 120°40 扎兰屯 北纬 48°00 东经 122°47【青海省】 西宁 北纬 36°38 东经 101°48 德令哈 北纬 37°22 东经 97°23 格尔木 北纬 36°26 东经 94°55【四川省】 成都 北纬 30°40 东经 104°04 巴中 北纬 31°51 东经 106°43 崇州 北纬 30°39 东经 103°40 达川 北纬 31°14东经 107°29 德阳 北纬 31°09 东经 104°227 都江堰 北纬 31°01 东经 103°37 峨眉山 北纬 29°36 东经 103°29 涪陵 北纬 29°42 东经 107°22 广汉 北纬 30°58 东经 104°15 广元 北纬 32°28 东经 105°51 华蓥 北纬 30°26 东经 106°44 简阳 北纬 30°24 东经 104°32 江油 北纬 31°48 东经 104°42 阆中 北纬 31°36 东经 105°58 乐山 北纬 29°36 东经 103°44 泸州 北纬 28°54 东经 105°24 绵阳 北纬 31°30 东经 104°42 南充 北纬 30°49 东经 106°04 内江 北纬 29°36 东经 105°02 攀枝花 北纬 26°34 东经 101°43 彭州 北纬 30°59 东经 103°57 邛崃 北纬 30°26 东经 103°28 遂宁 北纬 30°31 东经 105°33 万县 北纬 30°50 东经 108°21 万源 北纬 32°03 东经 108°03 西昌 北纬 27°54 东经 102°16 雅安 北纬 29°59 东经 102°59 宜宾 北纬 28°47 东经 104°34 自贡 北纬 29°23 东经 104°46 资阳 北纬 30°09 东经 104°38【山东省】 济南 北纬 36°40 东经 117°00 安丘 北纬 36°25 东经 119°12 滨州 北纬 37°22 东经 118°02 昌邑 北纬 39°52 东经 119°24 德州 北纬 37°26 东经 116°17 东营 北纬 37°27 东经 118°30 肥城 北纬 36°14 东经 116°46 高密 北纬 36°22 东经 119°44 菏泽 北纬 35°14 东经 115°26 胶南 北纬 35°53 东经 119°58 胶州 北纬 36°17 东经 120°00 即墨 北纬 36°22 东经 120°28 济宁 北纬 35°23 东经 116°33 莱芜 北纬 36°12 东经 117°40 莱西 北纬 36°52 东经 120°31 莱阳 北纬 36°58东经 120°42 莱州 北纬 37°10 东经 119°57 乐陵 北纬 37°44 东经 117°12 聊城 北纬 36°26 东经 115°57 临清 北纬 36°51 东经 115°42 临沂 北纬 35°03 东经 118°20 龙口 北纬 37°39 东经 120°21 蓬莱 北纬 37°48 东经 120°45 平度 北纬 36°47 东经 119°58 青岛 北纬 36°03 东经 120°18 青州 北纬 36°42 东经 118°28 曲阜 北纬 35°36 东经 116°58 日照 北纬 35°23 东经 119°32 荣成 北纬 37°10 东经 122°25 乳山 北纬 36°54 东经 121°31 寿光 北纬 36°53 东经 118°44 泰安 北纬 36°11 东经 117°08 滕州 北纬 35°06 东经 117°09 潍坊 北纬 36°43 东经 119°06 威海 北纬 37°31 东经 122°07 文登 北纬 37°12 东经 122°03 新泰 北纬 35°54 东经 117°45 烟台 北纬 37°32 东经 121°24 兖州 北纬 35°32 东经 116°49 禹城 北纬 36°56 东经 116°39 枣庄 北纬 34°52 东经 117°33 章丘 北纬 36°43 东经 117°32 招远 北纬 37°21 东经 120°23 诸城 北纬 35°59 东经 119°24 淄博 北纬 36°48 东经 118°03 邹城 北纬 35°24 东经 116°58【山西省】 中阳 北纬 37°37 东经 112°17 太原 北纬 37°54 东经 112°33 长治 北纬 36°11 东经 113°06 大同 北纬 40°06 东经 113°17 高平 北纬 35°48 东经 112°55 古交 北纬 37°54 东经 112°09 河津 北纬 35°35 东经 110°41 侯马 北纬 35°37 东经 111°218 霍州 北纬 36°34 东经 111°42 介休 北纬 37°02 东经 111°55 晋城 北纬 35°30 东经 112°51 临汾 北纬36°05 东经 111°31 潞城 北纬 36°21 东经 113°14 朔州 北纬 39°19 东经 112°26 孝义 北纬 37°08 东经 111°48 忻州 北纬 38°24 东经 112°43 阳泉 北纬 37°51 东经 113°34 永济 北纬 34°52 东经 110°27 原平 北纬 38°43 东经 112°42 榆次 北纬 37°41 东经 112°43 运城 北纬 35°02 东经 110°59 【陕西省】西安 北纬 34°17 东经 108°57 安康 北纬 32°41 东经 109°01 宝鸡 北纬 34°22 东经 107°09 韩城 北纬 35°28 东经 110°27 汉中 北纬 33°04 东经 107°01 华阴 北纬 34°34 东经 110°05 商州 北纬 33°52 东经 109°57 铜川 北纬 35°06 东经 109°07 渭南 北纬 34°30 东经 109°30 咸阳 北纬 34°20 东经 108°43 兴平 北纬 34°18 东经 108°29 延安 北纬 36°35 东经 109°28 榆林 北纬 38°18 东经 109°47 【浙江省】 杭州 北纬 30°16 东经 120°10 慈溪 北纬 30°11 东经 121°15 东阳 北纬 29°16 东经 120°14 奉化 北纬 29°39 东经 121°24 富阳 北纬 30°03 东经 119°57 海宁 北纬 30°32 东经 120°42 湖州 北纬 30°52 东经 120°06 建德 北纬 29°29 东经 119°16 江山 北纬 28°45 东经 118°37 嘉兴 北纬 30°46 东经 120°45 金华 北纬 29°07 东经 119°39 兰溪 北纬 29°12 东经 119°28 临海 北纬 28°51 东经 121°08 丽水 北纬 28°27 东经 119°54 龙泉 北纬 28°04 东经 119°08 宁波 北纬 29°52 东经 121°33 平湖 北纬 30°42 东经 121°01 衢州 北纬 28°58 东经 118°52 瑞安 北纬 27°48 东经 120°38 上虞 北纬 30°01 东经 120°52 绍兴 北纬 30°00东经 120°34 台州 北纬 28°41 东经 121°27 桐乡 北纬 30°38 东经 120°32 温岭 北纬 28°22 东经 121°21 温州 北纬 28°01 东经 120°39 萧山 北纬 30°09 东经 120°16 义乌 北纬 29°18 东经 120°04 乐清 北纬 28°08 东经 120°58 余杭 北纬 30°26 东经 120°18 余姚 北纬 30°02 东经 121°10 永康 北纬 29°54 东经 120°01 舟山 北纬 30°01 东经 122°06 诸暨 北纬 29°43 东经 120°14【新疆维吾尔自治区】 乌鲁木齐 北纬 43°45 东经 87°36 阿克苏 北纬 41°09 东经 80°19 阿勒泰 北纬 47°50 东经 88°12 阿图什 北纬 39°42 东经 76°08 博乐 北纬 44°57 东经 82°08 昌吉 北纬 44°02 东经 87°18 阜康 北纬 44°09 东经 87°58 哈密 北纬 42°50 东经 93°28 和田 北纬 37°09 东经 79°55 克拉玛依 北纬 45°36 东经 84°51 喀什 北纬 39°30 东经 75°59 库尔勒 北纬 41°46 东经 86°07 奎屯 北纬 44°27 东经 84°56 石河子 北纬 44°18 东经 86°00 塔城 北纬 46°46 东经 82°59 吐鲁番 北纬 42°54 东经 89°11 伊宁 北纬 43°55 东经 81°20【西藏自治区】拉萨 北纬 29°39 东经 91°08 日喀则 北纬 29°16 东经 88°51【云南省】 昆明 北纬 25°04 东经 102°42 保山 北纬 25°08 东经 99°10 楚雄 北纬 25°01 东经 101°32 大理 北纬 25°34 东经 100°13 东川 北纬 26°06 东经 103°12 个旧 北纬 23°21东经 103°09 景洪 北纬 22°01 东经 100°48 开远 北纬 23°43 东经 103°13 曲靖 北纬 25°30 东经 103°48 瑞丽 北纬 24°00 东经 97°50 思茅 北纬 22°48 东经 100°58 畹町 北纬 24°06 东经 98°04 宣威 北纬 26°13 东经 104°06 玉溪 北纬 24°22 东经 102°32 昭通 北纬 27°20 东经 103°42【台湾省】 台北市 北纬 25°03 东经 121°30 【香港特别行政区】 北纬 21°23 东经 115°12 【澳门特别行政区】 北纬 21°33 东经 115°07 9。
中国各主要城市经纬度坐标中国各主要大城市经纬度数据1、中国各主要大城市经纬度数据:北京市市中心经纬度:(116.41667,39.91667)上海市区经纬度:(121.43333,34.50000)天津市区经纬度:(117.20000,39.13333)香港经纬度:(114.10000,22.20000)广州经纬度:(113.23333,23.16667)珠海经纬度:(113.51667,22.30000)深圳经纬度:(114.06667,22.61667)杭州经纬度:(120.20000,30.26667)重庆市区经纬度:(106.45000, 29.56667)青岛经纬度:(120.33333,36.06667)厦门经纬度:(118.10000,24.46667)福州经纬度:(119.30000,26.08333)兰州经纬度:(103.73333,36.03333)贵阳经纬度:(106.71667,26.56667)长沙经纬度:(113.00000,28.21667)南京经纬度:(118.78333,32.05000)南昌经纬度:(115.90000,28.68333)沈阳经纬度:(123.38333,41.80000)太原经纬度:(112.53333,37.86667)成都经纬度:(104.06667,30.66667)拉萨经纬度:(91.00000,29.60000)乌鲁木齐经纬度:(87.68333,43.76667)昆明经纬度:(102.73333,25.05000)西安经纬度:(108.95000,34.26667)西宁经纬度:(101.75000,36.56667)银川经纬度:(106.26667,38.46667)兰浩特经纬度:(122.08333,46.06667)哈尔滨经纬度:(126.63333,45.75000)武汉经纬度:(114.31667,30.51667)郑州经纬度:(113.65000,34.76667)石家庄经纬度:(114.48333,38.03333)三亚经纬度:(109.50000,18.20000)海口经纬度:(110.35000,20.01667)澳门经纬度:(113.50000,22.20000)2、中国主要城市经纬度查询(精确到二级省市):所在省城市名纬度经度安徽省合肥北纬31.52 东经117.17安徽省安庆北纬30.31 东经117.02安徽省蚌埠北纬32.56 东经117.21安徽省亳州北纬33.52 东经115.47安徽省巢湖北纬31.36 东经117.52安徽省滁州北纬32.18 东经118.18安徽省阜阳北纬32.54 东经115.48安徽省贵池北纬30.39 东经117.28安徽省淮北北纬33.57 东经116.47安徽省淮南北纬32.37 东经116.58安徽省黄山北纬29.43 东经118.18安徽省界首北纬33.15 东经115.21安徽省六安北纬31.44 东经116.28安徽省马鞍山北纬31.43 东经118.28安徽省明光北纬32.47 东经117.58安徽省宿州北纬33.38 东经116.58安徽省天长北纬32.41 东经118.59安徽省铜陵北纬30.56 东经117.48安徽省芜湖北纬31.19 东经118.22安徽省宣州北纬30.57 东经118.44澳门澳门市北纬21.33 东经115.07福建省福清北纬25.42 东经119.23福建省建瓯北纬27.03 东经118.20福建省建阳北纬27.21 东经118.07福建省晋江北纬24.49 东经118.35福建省龙海北纬24.26 东经117.48福建省龙岩北纬25.06 东经117.01福建省南安北纬24.57 东经118.23福建省南平北纬26.38 东经118.10福建省宁德北纬26.39 东经119.31福建省莆田北纬24.26 东经119.01福建省泉州北纬24.56 东经118.36福建省三明北纬26.13 东经117.36福建省邵武北纬27.20 东经117.29福建省石狮北纬24.44 东经118.38福建省武夷山北纬27.46 东经118.02福建省厦门北纬24.27 东经118.06福建省永安北纬25.58 东经117.23福建省漳平北纬25.17 东经117.24福建省漳州北纬24.31 东经117.39甘肃省兰州北纬36.04 东经103.51甘肃省白银北纬36.33 东经104.12甘肃省敦煌北纬40.08 东经94.41 甘肃省嘉峪关北纬39.48 东经98.14甘肃省金昌北纬38.28 东经102.10甘肃省酒泉北纬39.44 东经98.31甘肃省临夏北纬35.37 东经103.12甘肃省平凉北纬35.32 东经106.40甘肃省张掖北纬38.56 东经100.26广东省广州北纬23.08 东经113.14广东省潮阳北纬23.16 东经116.36广东省潮州北纬23.40 东经116.38广东省澄海北纬23.28 东经116.46广东省从化北纬23.33 东经113.33广东省东莞北纬23.02 东经113.45广东省恩平北纬22.12 东经112.19广东省佛山北纬23.02 东经113.06广东省高明北纬22.53 东经112.50广东省高要北纬23.02 东经112.26广东省高州北纬21.54 东经110.50广东省鹤山北纬22.46 东经112.57广东省河源北纬23.43 东经114.41广东省花都北纬23.23 东经113.12广东省化州北纬21.39 东经110.37广东省惠阳北纬22.48 东经114.28广东省惠州北纬23.05 东经114.22广东省江门北纬22.35 东经113.04广东省揭阳北纬22.32 东经116.21广东省开平北纬22.22 东经112.40广东省乐昌北纬25.09 东经113.21广东省雷州北纬20.54 东经110.04广东省廉江北纬21.37 东经110.17广东省连州北纬24.48 东经112.23广东省罗定北纬22.46 东经111.33广东省茂名北纬21.40 东经110.53广东省清远北纬23.42 东经113.01广东省三水北纬23.10 东经112.52广东省汕头北纬23.22 东经116.41广东省汕尾北纬22.47 东经115.21广东省韶关北纬24.48 东经113.37广东省深圳北纬22.33 东经114.07广东省顺德北纬22.50 东经113.15广东省四会北纬23.21 东经112.41广东省台山北纬22.15 东经112.48广东省吴川北纬21.26 东经110.47广东省新会北纬22.32 东经113.01广东省兴宁北纬24.09 东经115.43广东省阳春北纬22.10 东经111.48广东省阳江北纬21.50 东经111.58广东省英德北纬24.10 东经113.22广东省云浮北纬22.57 东经112.02广东省增城北纬23.18 东经113.49广东省湛江北纬21.11 东经110.24广东省肇庆北纬23.03 东经112.27广东省中山北纬22.31 东经113.22广东省珠海北纬22.17 东经113.34广西自治区南宁北纬22.48 东经108.19广西自治区北海北纬21.28 东经109.07广西自治区北流北纬22.42 东经110.21广西自治区百色北纬23.54 东经106.36广西自治区防城港北纬21.37 东经108.20广西自治区贵港北纬23.06 东经109.36广西自治区桂平北纬23.22 东经110.04广西自治区河池北纬24.42 东经108.03广西自治区合山北纬23.47 东经108.52广西自治区柳州北纬23.19 东经109.24广西自治区赁祥北纬22.07 东经106.44广西自治区钦州北纬21.57 东经108.37广西自治区梧州北纬23.29 东经111.20广西自治区玉林北纬22.38 东经110.09广西自治区宜州北纬24.28 东经108.40贵州省贵阳北纬26.35 东经106.42贵州省安顺北纬26.14 东经105.55贵州省毕节北纬27.18 东经105.18贵州省赤水北纬28.34 东经105.42贵州省都匀北纬26.15 东经107.31贵州省凯里北纬26.35 东经107.58贵州省六盘水北纬26.35 东经104.50贵州省清镇北纬26.33 东经106.27贵州省铜仁北纬27.43 东经109.12贵州省兴义北纬25.05 东经104.53贵州省遵义北纬27.42 东经106.55海南省海口北纬20.02 东经110.20海南省儋州北纬19.31 东经109.34海南省琼海北纬19.14 东经110.28海南省琼山北纬19.59 东经110.21海南省三亚北纬18.14 东经109.31海南省通什北纬18.46 东经109.31河北省石家庄北纬38.02 东经114.30河北省安国北纬38.24 东经115.20河北省保定北纬38.51 东经115.30河北省霸州北纬39.06 东经116.24河北省丰南北纬39.34 东经118.06河北省高碑店北纬39.20 东经115.51河北省蒿城北纬38.02 东经114.50河北省邯郸北纬36.36 东经114.28河北省河间北纬38.26 东经116.05河北省衡水北纬37.44 东经115.42河北省黄骅北纬38.21 东经117.21河北省晋州北纬38.02 东经115.02河北省冀州北纬37.34 东经115.33河北省廓坊北纬39.31 东经116.42河北省鹿泉北纬38.04 东经114.19河北省南宫北纬37.22 东经115.23河北省秦皇岛北纬39.55 东经119.35河北省任丘北纬38.42 东经116.07河北省三河北纬39.58 东经117.04河北省沙河北纬36.51 东经114.30河北省深州北纬38.01 东经115.32河北省唐山北纬39.36 东经118.11河北省武安北纬36.42 东经114.11河北省邢台北纬37.04 东经114.30河北省辛集北纬37.54 东经115.12河北省新乐北纬38.20 东经114.41河北省张家口北纬40.48 东经114.53河北省涿州北纬39.29 东经115.59河北省遵化北纬40.11 东经117.58河南省郑州北纬34.46 东经11340河南省安阳北纬36.06 东经114.21河南省鹤壁北纬35.54 东经114.11河南省辉县北纬35.27 东经113.47河南省焦作北纬35.14 东经113.12河南省济源北纬35.04 东经112.35河南省开封北纬34.47 东经114.21河南省灵宝北纬34.31 东经110.52河南省林州北纬36.03 东经113.49河南省漯河北纬33.33 东经114.02河南省洛阳北纬34.41 东经112.27河南省南阳北纬33.00 东经112.32河南省平顶山北纬33.44 东经113.17河南省濮阳北纬35.44 东经115.01河南省沁阳北纬35.05 东经112.57河南省汝州北纬34.09 东经112.50河南省三门峡北纬34.47 东经111.12河南省商丘北纬34.26 东经115.38河南省卫辉北纬35.24 东经114.03河南省舞钢北纬33.17 东经113.30河南省项城北纬33.26 东经114.54河南省荥阳北纬34.46 东经113.21河南省新密北纬34.31 东经113.22河南省新乡北纬35.18 东经113.52河南省信阳北纬32.07 东经114.04河南省新郑北纬34.24 东经113.43河南省许昌北纬34.01 东经113.49河南省偃师北纬34.43 东经112.47河南省义马北纬34.43 东经111.55黑龙江省哈尔滨北纬45.44 东经126.36黑龙江省阿城北纬45.32 东经126.58黑龙江省安达北纬46.24 东经125.18黑龙江省北安北纬48.15 东经126.31黑龙江省大庆北纬46.36 东经125.01黑龙江省富锦北纬47.15 东经132.02黑龙江省海林北纬44.35 东经129.21黑龙江省海伦北纬47.28 东经126.57黑龙江省鹤岗北纬47.20 东经130.16黑龙江省黑河北纬50.14 东经127.29黑龙江省佳木斯北纬46.47 东经130.22黑龙江省鸡西北纬45.17 东经130.57黑龙江省密山北纬45.32 东经131.50黑龙江省牡丹江北纬44.35 东经129.36黑龙江省讷河北纬48.29 东经124.51黑龙江省宁安北纬44.21 东经129.28黑龙江省齐齐哈尔北纬47.20 东经123.57黑龙江省七台河北纬45.48 东经130.49黑龙江省双城北纬45.22 东经126.15黑龙江省尚志北纬45.14 东经127.55黑龙江省双鸭山北纬46.38 东经131.11黑龙江省绥芬河北纬44.25 东经131.11黑龙江省绥化北纬46.38 东经126.59黑龙江省铁力北纬46.59 东经128.01黑龙江省同江北纬47.39 东经132.30黑龙江省五常北纬44.55 东经127.11黑龙江省五大连池北纬48.38 东经126.07黑龙江省伊春北纬47.42 东经128.56湖北省丹江口北纬32.33 东经108.30湖北省大冶北纬30.06 东经114.58湖北省恩施北纬30.16 东经109.29湖北省鄂州北纬30.23 东经114.52湖北省广水北纬31.37 东经113.48湖北省洪湖北纬29.48 东经113.27湖北省黄石北纬30.12 东经115.06湖北省黄州北纬30.27 东经114.52湖北省荆门北纬31.02 东经112.12湖北省荆沙北纬30.18 东经112.16湖北省老河口北纬32.23 东经111.40湖北省利川北纬30.18 东经108.56湖北省麻城北纬31.10 东经115.01湖北省浦圻北纬29.42 东经113.51湖北省潜江北纬30.26 东经112.53湖北省石首北纬29.43 东经112.24湖北省十堰北纬32.40 东经110.47湖北省随州北纬31.42 东经113.22湖北省天门北纬60.39 东经113.10湖北省武穴北纬29.51 东经115.33湖北省襄樊北纬32.02 东经112.08湖北省咸宁北纬29.53 东经114.17湖北省仙桃北纬30.22 东经113.27湖北省孝感北纬30.56 东经113.54湖北省宜昌北纬30.42 东经111.17湖北省宜城北纬31.42 东经112.15湖北省应城北纬30.57 东经113.33湖南省常德北纬29.02 东经111.51湖南省郴州北纬25.46 东经113.02湖南省衡阳北纬26.53 东经112.37湖南省洪江北纬27.07 东经109.59湖南省怀化北纬27.33 东经109.58湖南省津市北纬29.38 东经111.52湖南省吉首北纬28.18 东经109.43湖南省耒阳北纬26.24 东经112.51湖南省冷水江北纬27.42 东经111.26湖南省冷水滩北纬26.26 东经111.35湖南省涟源北纬27.41 东经111.41湖南省醴陵北纬27.40 东经113.30湖南省临湘北纬29.29 东经113.27湖南省浏阳北纬28.09 东经113.37湖南省娄底北纬27.44 东经111.59湖南省汨罗北纬28.49 东经113.03湖南省韶山北纬27.54 东经112.29湖南省邵阳北纬27.14 东经111.28湖南省武冈北纬26.43 东经110.37湖南省湘潭北纬27.52 东经112.53湖南省湘乡北纬27.44 东经112.31湖南省益阳北纬28.36 东经112.20湖南省永州北纬26.13 东经111.37湖南省沅江北纬28.50 东经112.22湖南省岳阳北纬29.22 东经113.06湖南省张家界北纬29.08 东经110.29湖南省株洲北纬27.51 东经113.09吉林省大安北纬45.30 东经124.18吉林省德惠北纬44.32 东经125.42吉林省敦化北纬43.22 东经128.13吉林省公主岭北纬43.31 东经124.49吉林省和龙北纬42.32 东经129.00吉林省桦甸北纬42.58 东经126.44吉林省珲春北纬42.52 东经130.22吉林省集安北纬41.08 东经126.11吉林省蛟河北纬43.42 东经127.21吉林省吉林北纬43.52 东经126.33吉林省九台北纬44.09 东经125.51吉林省辽源北纬42.54 东经125.09吉林省临江北纬41.49 东经126.53吉林省龙井北纬42.46 东经129.26吉林省梅河口北纬42.32 东经125.40吉林省舒兰北纬44.24 东经126.57吉林省四平北纬43.10 东经124.22吉林省松原北纬45.11 东经124.49吉林省洮南北纬45.20 东经122.47吉林省通化北纬41.43 东经125.56吉林省图们北纬42.57 东经129.51吉林省延吉北纬42.54 东经129.30吉林省愉树北纬44.49 东经126.32江苏省南京北纬32.03 东经118.46江苏省常熟北纬31.39 东经120.43江苏省常州北纬31.47 东经119.58江苏省丹阳北纬32.00 东经119.32江苏省淮阴北纬33.36 东经119.02江苏省江都北纬32.26 东经119.32江苏省姜堰北纬32.34 东经120.08江苏省江阴北纬31.54 东经120.17江苏省靖江北纬32.02 东经120.17江苏省金坛北纬31.46 东经119.33江苏省昆山北纬31.23 东经120.57江苏省连去港北纬34.36 东经119.10江苏省溧阳北纬31.26 东经119.29江苏省南通北纬32.01 东经120.51江苏省邳州北纬34.19 东经117.59江苏省启乐北纬31.48 东经121.39江苏省如皋北纬32.23 东经120.33江苏省宿迁北纬33.58 东经118.18江苏省苏州北纬31.19 东经120.37江苏省太仓北纬31.27 东经121.06江苏省泰兴北纬32.10 东经120.01江苏省泰州北纬32.30 东经119.54江苏省通州北纬32.05 东经121.03江苏省吴江北纬31.10 东经120.39江苏省无锡北纬31.34 东经120.18江苏省兴化北纬32.56 东经119.50江苏省新沂北纬34.22 东经118.20江苏省徐州北纬34.15 东经117.11江苏省盐在北纬33.22 东经120.08江苏省扬中北纬32.14 东经119.49江苏省扬州北纬32.23 东经119.26江西省南昌北纬28.40 东经115.55江西省德兴北纬28.57 东经117.35江西省丰城北纬28.12 东经115.48江西省赣州北纬28.52 东经114.56江西省高安北纬28.25 东经115.22江西省吉安北纬27.07 东经114.58江西省景德镇北纬29.17 东经117.13江西省井冈山北纬26.34 东经114.10江西省九江北纬29.43 东经115.58江西省乐平北纬28.58 东经117.08江西省临川北纬27.59 东经116.21江西省萍乡北纬27.37 东经113.50江西省瑞昌北纬29.40 东经115.38江西省瑞金北纬25.53 东经116.01江西省上饶北纬25.27 东经117.58江西省新余北纬27.48 东经114.56江西省宜春北纬27.47 东经114.23江西省鹰潭北纬28.14 东经117.03江西省樟树北纬28.03 东经115.32辽宁省沈阳北纬41.48 东经123.25辽宁省鞍山北纬41.07 东经123.00辽宁省北票北纬41.48 东经120.47辽宁省本溪北纬41.18 东经123.46辽宁省朝阳北纬41.34 东经120.27辽宁省大连北纬38.55 东经121.36辽宁省丹东北纬40.08 东经124.22辽宁省大石桥北纬40.37 东经122.31辽宁省盖州北纬40.24 东经122.21辽宁省海城北纬40.51 东经122.43辽宁省葫芦岛北纬40.45 东经120.51辽宁省锦州北纬41.07 东经121.09辽宁省开原北纬42.32 东经124.02辽宁省辽阳北纬41.16 东经123.12辽宁省凌海北纬41.10 东经121.21辽宁省凌源北纬41.14 东经119.22辽宁省盘锦北纬41.07 东经122.03辽宁省普兰店北纬39.23 东经121.58辽宁省铁法北纬42.28 东经123.32辽宁省铁岭北纬42.18 东经123.51辽宁省瓦房店北纬39.37 东经122.00辽宁省兴城北纬40.37 东经120.41辽宁省新民北纬41.59 东经122.49辽宁省营口北纬40.39 东经122.13辽宁省庄河北纬39.41 东经122.58内自治区呼和浩特北纬40.48 东经111.41内自治区包头北纬40.39 东经109.49内自治区赤峰北纬42.17 东经118.58内自治区东胜北纬39.48 东经109.59内自治区二连浩特北纬43.38 东经111.58内自治区额尔古纳北纬50.13 东经120.11内自治区丰镇北纬40.27 东经113.09 内自治区根河北纬50.48 东经121.29内自治区海拉尔北纬49.12 东经119.39内自治区霍林郭勒北纬45.32 东经119.38内自治区临河北纬40.46 东经107.22内自治区满洲里北纬49.35 东经117.23内自治区通辽北纬43.37 东经122.16内自治区乌兰浩特北纬46.03 东经122.03内自治区乌海北纬39.40 东经106.48内自治区锡林浩特北纬43.57 东经116.03内自治区牙克石北纬49.17 东经120.40内自治区扎兰屯北纬48.00 东经122.47宁夏自治区银川北纬38.27 东经106.16宁夏自治区青铜峡北纬37.56 东经105.59宁夏自治区石嘴山北纬39.02 东经106.22宁夏自治区吴忠北纬37.59 东经106.11青海省西宁北纬36.38 东经101.48 青海省德令哈北纬37.22 东经97.23青海省格尔木北纬36.26 东经94.55山东省济南北纬36.40 东经117.00山东省安丘北纬36.25 东经119.12山东省滨州北纬37.22 东经118.02山东省昌邑北纬39.52 东经119.24山东省德州北纬37.26 东经116.17山东省东营北纬37.27 东经118.30山东省肥城北纬36.14 东经116.46山东省高密北纬36.22 东经119.44山东省菏泽北纬35.14 东经115.26山东省胶南北纬35.53 东经119.58山东省胶州北纬36.17 东经120.00山东省即墨北纬36.22 东经120.28山东省济宁北纬35.23 东经116.33山东省莱芜北纬36.12 东经117.40山东省莱西北纬36.52 东经120.31山东省临清北纬36.51 东经115.42山东省临沂北纬35.03 东经118.20山东省龙口北纬37.39 东经120.21山东省蓬莱北纬37.48 东经120.45山东省平度北纬36.47 东经119.58山东省青岛北纬36.03 东经120.18山东省青州北纬36.42 东经118.28山东省曲阜北纬35.36 东经116.58山东省日照北纬35.23 东经119.32山东省荣成北纬37.10 东经122.25山东省乳山北纬36.54 东经121.31山东省寿光北纬36.53 东经118.44山东省泰安北纬36.11 东经117.08山东省滕州北纬35.06 东经117.09山东省潍坊北纬36.43 东经119.06山东省威海北纬37.31 东经122.07山东省文登北纬37.12 东经122.03山东省新泰北纬35.54 东经117.45山东省烟台北纬37.32 东经121.24山东省兖州北纬35.32 东经116.49山东省禹城北纬36.56 东经116.39山东省枣庄北纬34.52 东经117.33山东省章丘北纬36.43 东经117.32山东省招远北纬37.21 东经120.23山东省诸城北纬35.59 东经119.24山东省淄博北纬36.48 东经118.03山东省邹城北纬35.24 东经116.58山西省古交北纬37.54 东经112.09山西省河津北纬35.35 东经110.41山西省侯马北纬35.37 东经111.21山西省霍州北纬36.34 东经111.42山西省介休北纬37.02 东经111.55山西省晋城北纬35.30 东经112.51山西省临汾北纬36.05 东经111.31山西省潞城北纬36.21 东经113.14山西省朔州北纬39.19 东经112.26山西省孝义北纬37.08 东经111.48山西省忻州北纬38.24 东经112.43山西省阳泉北纬37.51 东经113.34山西省永济北纬34.52 东经110.27山西省原平北纬38.43 东经112.42山西省榆次北纬37.41 东经112.43山西省运城北纬35.02 东经110.59陕西省西安北纬34.17 东经108.57陕西省安康北纬32.41 东经109.01陕西省宝鸡北纬34.22 东经107.09陕西省韩城北纬35.28 东经110.27陕西省汉中北纬33.04 东经107.01陕西省华阴北纬34.34 东经110.05陕西省商州北纬33.52 东经109.57陕西省铜川北纬35.06 东经109.07陕西省渭南北纬34.30 东经109.30陕西省咸阳北纬34.20 东经108.43陕西省兴平北纬34.18 东经108.29四川省巴中北纬31.51 东经106.43四川省崇州北纬30.39 东经103.40四川省达川北纬31.14 东经107.29四川省德阳北纬31.09 东经104.22四川省都江堰北纬31.01 东经103.37四川省峨眉山北纬29.36 东经103.29四川省涪陵北纬29.42 东经107.22四川省广汉北纬30.58 东经104.15四川省广元北纬32.28 东经105.51四川省华蓥北纬30.26 东经106.44四川省简阳北纬30.24 东经104.32四川省江油北纬31.48 东经104.42四川省阆中北纬31.36 东经105.58四川省乐山北纬29.36 东经103.44四川省泸州北纬28.54 东经105.24四川省绵阳北纬31.30 东经104.42四川省南充北纬30.49 东经106.04四川省内江北纬29.36 东经105.02四川省攀枝花北纬26.34 东经101.43四川省彭州北纬30.59 东经103.57四川省邛崃北纬30.26 东经103.28四川省遂宁北纬30.31 东经105.33四川省万县北纬30.50 东经108.21四川省万源北纬32.03 东经108.03四川省西昌北纬27.54 东经102.16四川省雅安北纬29.59 东经102.59四川省宜宾北纬28.47 东经104.34。
直辖市各市经纬度查询北京市北纬39.55 东经116.24上海市北纬31.14 东经121。
29天津市北纬39.02 东经117。
12重庆市北纬29。
35 东经106。
33香港特别行政区北纬21.23 东经115.12澳门特别行政区北纬21.33 东经115.07 安徽省各市经纬度查询合肥北纬31。
52 东经117。
17安庆北纬30。
31 东经117。
02蚌埠北纬32.56 东经117。
21亳州北纬33.52 东经115.47巢湖北纬31.36 东经117。
52滁州北纬32.18 东经118.18阜阳北纬32.54 东经115。
48贵池北纬30.39 东经117。
28淮北北纬33.57 东经116.47淮南北纬32.37 东经116.58黄山北纬29.43 东经118.18界首北纬33。
15 东经115。
21六安北纬31.44 东经116.28马鞍山北纬31。
43 东经118。
28明光北纬32。
47 东经117.58宿州北纬33。
38 东经116。
58天长北纬32.41 东经118。
59铜陵北纬30.56 东经117.48芜湖北纬31.19 东经118.22宣州北纬30.57 东经118.44福建省各市经纬度查询福州北纬26.05 东经119。
18长乐北纬25.58 东经119.31福安北纬27.06 东经119。
39福清北纬25.42 东经119。
23建瓯北纬27.03 东经118.20建阳北纬27。
21 东经118.07晋江北纬24。
49 东经118.35龙海北纬24.26 东经117.48龙岩北纬25。
06 东经117.01南安北纬24。
57 东经118.23南平北纬26。
38 东经118.10宁德北纬26.39 东经119。
31莆田北纬24.26 东经119.01武夷山北纬27。
46 东经118.02厦门北纬24。
27 东经118。
06永安北纬25.58 东经117.23漳平北纬25.17 东经117。
中国各主要城市经纬度坐标中国各主要大城市经纬度数据1、中国各主要大城市经纬度数据:市市中心经纬度:<116.41667,39.91667>##市区经纬度:<121.43333,34.50000>##市区经纬度:<117.20000,39.13333>##经纬度:<114.10000,22.20000>广州经纬度:<113.23333,23.16667>珠海经纬度:<113.51667,22.30000>##经纬度:<114.06667,22.61667>杭州经纬度:<120.20000,30.26667>重庆市区经纬度:<106.45000, 29.56667>青岛经纬度:<120.33333,36.06667>厦门经纬度:<118.10000,24.46667>兰州经纬度:<103.73333,36.03333>贵阳经纬度:<106.71667,26.56667>长沙经纬度:<113.00000,28.21667>南京经纬度:<118.78333,32.05000>##经纬度:<115.90000,28.68333>沈阳经纬度:<123.38333,41.80000>太原经纬度:<112.53333,37.86667>成都经纬度:<104.06667,30.66667>##经纬度:<91.00000,29.60000>乌鲁木齐经纬度:<87.68333,43.76667>昆明经纬度:<102.73333,25.05000>西安经纬度:<108.95000,34.26667>西宁经纬度:<101.75000,36.56667>银川经纬度:<106.26667,38.46667>兰浩特经纬度:<122.08333,46.06667>哈尔滨经纬度:<126.63333,45.75000>武汉经纬度:<114.31667,30.51667>郑州经纬度:<113.65000,34.76667>石家庄经纬度:<114.48333,38.03333>##经纬度:<109.50000,18.20000>海口经纬度:<110.35000,20.01667>澳门经纬度:<113.50000,22.20000>2、中国主要城市经纬度查询<精确到二级省市>:所在省城市名纬度经度##省合肥北纬31.52 东经117.17##省安庆北纬30.31 东经117.02##省蚌埠北纬32.56 东经117.21##省亳州北纬33.52 东经115.47##省巢湖北纬31.36 东经117.52##省滁州北纬32.18 东经118.18##省阜阳北纬32.54 东经115.48##省淮北北纬33.57 东经116.47##省淮南北纬32.37 东经116.58##省黄山北纬29.43 东经118.18##省界首北纬33.15 东经115.21##省六安北纬31.44 东经116.28##省马鞍山北纬31.43 东经118.28 ##省明光北纬32.47 东经117.58##省宿州北纬33.38 东经116.58##省天长北纬32.41 东经118.59##省铜陵北纬30.56 东经117.48##省芜湖北纬31.19 东经118.22##省宣州北纬30.57 东经118.44澳门澳门市北纬21.33 东经115.07市市北纬39.55 东经116.24##省福州北纬26.05 东经119.18##省长乐北纬25.58 东经119.31##省福清北纬25.42 东经119.23##省建瓯北纬27.03 东经118.20##省建阳北纬27.21 东经118.07##省晋江北纬24.49 东经118.35##省龙海北纬24.26 东经117.48##省龙岩北纬25.06 东经117.01##省南安北纬24.57 东经118.23##省南平北纬26.38 东经118.10##省宁德北纬26.39 东经119.31 ##省莆田北纬24.26 东经119.01##省泉州北纬24.56 东经118.36##省三明北纬26.13 东经117.36##省石狮北纬24.44 东经118.38##省武夷山北纬27.46 东经118.02 ##省厦门北纬24.27 东经118.06##省永安北纬25.58 东经117.23##省漳平北纬25.17 东经117.24##省漳州北纬24.31 东经117.39甘肃省兰州北纬36.04 东经103.51甘肃省白银北纬36.33 东经104.12甘肃省敦煌北纬40.08 东经94.41甘肃省嘉峪关北纬39.48 东经98.14甘肃省金昌北纬38.28 东经102.10甘肃省酒泉北纬39.44 东经98.31甘肃省临夏北纬35.37 东经103.12甘肃省平凉北纬35.32 东经106.40甘肃省天水北纬34.37 东经105.42甘肃省武威北纬37.56 东经102.39甘肃省玉门北纬39.49 东经97.35甘肃省张掖北纬38.56 东经100.26广东省广州北纬23.08 东经113.14广东省潮阳北纬23.16 东经116.36广东省潮州北纬23.40 东经116.38广东省澄海北纬23.28 东经116.46广东省从化北纬23.33 东经113.33广东省东莞北纬23.02 东经113.45广东省恩平北纬22.12 东经112.19广东省佛山北纬23.02 东经113.06广东省高明北纬22.53 东经112.50广东省高要北纬23.02 东经112.26广东省高州北纬21.54 东经110.50广东省鹤山北纬22.46 东经112.57广东省河源北纬23.43 东经114.41广东省花都北纬23.23 东经113.12广东省惠阳北纬22.48 东经114.28广东省惠州北纬23.05 东经114.22广东省江门北纬22.35 东经113.04广东省揭阳北纬22.32 东经116.21广东省开平北纬22.22 东经112.40广东省乐昌北纬25.09 东经113.21广东省雷州北纬20.54 东经110.04广东省廉江北纬21.37 东经110.17广东省连州北纬24.48 东经112.23广东省罗定北纬22.46 东经111.33广东省## 北纬21.40 东经110.53广东省梅州北纬24.19 东经116.07广东省南海北纬23.01 东经113.09广东省番禺北纬22.57 东经113.22广东省普宁北纬23.18 东经116.10广东省清远北纬23.42 东经113.01广东省汕头北纬23.22 东经116.41广东省汕尾北纬22.47 东经115.21广东省韶关北纬24.48 东经113.37广东省## 北纬22.33 东经114.07广东省顺德北纬22.50 东经113.15广东省四会北纬23.21 东经112.41广东省台山北纬22.15 东经112.48广东省吴川北纬21.26 东经110.47广东省新会北纬22.32 东经113.01广东省兴宁北纬24.09 东经115.43广东省阳春北纬22.10 东经111.48广东省阳江北纬21.50 东经111.58广东省英德北纬24.10 东经113.22广东省云浮北纬22.57 东经112.02广东省增城北纬23.18 东经113.49广东省湛江北纬21.11 东经110.24广东省肇庆北纬23.03 东经112.27广东省中山北纬22.31 东经113.22广东省珠海北纬22.17 东经113.34##自治区南宁北纬22.48 东经108.19 ##自治区北海北纬21.28 东经109.07 ##自治区北流北纬22.42 东经110.21 ##自治区百色北纬23.54 东经106.36 ##自治区防城港北纬21.37 东经108.20 ##自治区贵港北纬23.06 东经109.36 ##自治区桂林北纬25.17 东经110.17 ##自治区桂平北纬23.22 东经110.04 ##自治区河池北纬24.42 东经108.03 ##自治区合山北纬23.47 东经108.52##自治区赁祥北纬22.07 东经106.44 ##自治区钦州北纬21.57 东经108.37 ##自治区梧州北纬23.29 东经111.20 ##自治区玉林北纬22.38 东经110.09 ##自治区宜州北纬24.28 东经108.40贵州省贵阳北纬26.35 东经106.42贵州省安顺北纬26.14 东经105.55贵州省毕节北纬27.18 东经105.18贵州省赤水北纬28.34 东经105.42贵州省都匀北纬26.15 东经107.31贵州省凯里北纬26.35 东经107.58贵州省六盘水北纬26.35 东经104.50贵州省清镇北纬26.33 东经106.27贵州省铜仁北纬27.43 东经109.12贵州省兴义北纬25.05 东经104.53贵州省遵义北纬27.42 东经106.55海南省儋州北纬19.31 东经109.34海南省琼海北纬19.14 东经110.28海南省琼山北纬19.59 东经110.21海南省## 北纬18.14 东经109.31海南省通什北纬18.46 东经109.31 ##省石家庄北纬38.02 东经114.30 ##省安国北纬38.24 东经115.20 ##省保定北纬38.51 东经115.30 ##省霸州北纬39.06 东经116.24 ##省泊头北纬38.04 东经116.34 ##省沧州北纬38.18 东经116.52 ##省承德北纬40.59 东经117.57 ##省定州北纬38.30 东经115.00 ##省丰南北纬39.34 东经118.06 ##省高碑店北纬39.20 东经115.51 ##省蒿城北纬38.02 东经114.50##省河间北纬38.26 东经116.05 ##省衡水北纬37.44 东经115.42 ##省黄骅北纬38.21 东经117.21 ##省晋州北纬38.02 东经115.02 ##省冀州北纬37.34 东经115.33 ##省廓坊北纬39.31 东经116.42 ##省鹿泉北纬38.04 东经114.19 ##省南宫北纬37.22 东经115.23 ##省秦皇岛北纬39.55 东经119.35 ##省任丘北纬38.42 东经116.07 ##省三河北纬39.58 东经117.04 ##省沙河北纬36.51 东经114.30 ##省深州北纬38.01 东经115.32 ##省唐山北纬39.36 东经118.11 ##省武安北纬36.42 东经114.11 ##省邢台北纬37.04 东经114.30##省新乐北纬38.20 东经114.41 ##省## 北纬40.48 东经114.53##省涿州北纬39.29 东经115.59 ##省遵化北纬40.11 东经117.58河南省郑州北纬34.46 东经11340河南省安阳北纬36.06 东经114.21河南省长葛北纬34.12 东经113.47河南省登封北纬34.27 东经113.02河南省邓州北纬32.42 东经112.05河南省巩义北纬34.46 东经112.58河南省鹤壁北纬35.54 东经114.11河南省## 北纬35.27 东经113.47河南省济源北纬35.04 东经112.35河南省开封北纬34.47 东经114.21河南省灵宝北纬34.31 东经110.52河南省## 北纬36.03 东经113.49河南省漯河北纬33.33 东经114.02河南省洛阳北纬34.41 东经112.27河南省南阳北纬33.00 东经112.32河南省平顶山北纬33.44 东经113.17河南省濮阳北纬35.44 东经115.01河南省沁阳北纬35.05 东经112.57河南省汝州北纬34.09 东经112.50河南省三门峡北纬34.47 东经111.12河南省商丘北纬34.26 东经115.38河南省卫辉北纬35.24 东经114.03河南省舞钢北纬33.17 东经113.30河南省项城北纬33.26 东经114.54河南省新密北纬34.31 东经113.22河南省新乡北纬35.18 东经113.52河南省信阳北纬32.07 东经114.04河南省新郑北纬34.24 东经113.43河南省许昌北纬34.01 东经113.49河南省偃师北纬34.43 东经112.47河南省义马北纬34.43 东经111.55河南省## 北纬34.09 东经113.28河南省周口北纬33.37 东经114.38河南省驻马店北纬32.58 东经114.01 ##省哈尔滨北纬45.44 东经126.36 ##省阿城北纬45.32 东经126.58##省安达北纬46.24 东经125.18##省北安北纬48.15 东经126.31##省大庆北纬46.36 东经125.01##省富锦北纬47.15 东经132.02##省海伦北纬47.28 东经126.57##省鹤岗北纬47.20 东经130.16##省黑河北纬50.14 东经127.29##省佳木斯北纬46.47 东经130.22 ##省鸡西北纬45.17 东经130.57##省密山北纬45.32 东经131.50##省牡丹江北纬44.35 东经129.36 ##省讷河北纬48.29 东经124.51##省宁安北纬44.21 东经129.28##省齐齐哈尔北纬47.20 东经123.57 ##省七台河北纬45.48 东经130.49 ##省双城北纬45.22 东经126.15##省尚志北纬45.14 东经127.55##省双鸭山北纬46.38 东经131.11 ##省绥芬河北纬44.25 东经131.11 ##省绥化北纬46.38 东经126.59##省同江北纬47.39 东经132.30##省五常北纬44.55 东经127.11##省五大连池北纬48.38 东经126.07##省伊春北纬47.42 东经128.56##省肇东北纬46.04 东经125.58湖北省武汉北纬30.35 东经114.17湖北省安陆北纬31.15 东经113.41湖北省当阳北纬30.50 东经111.47湖北省丹江口北纬32.33 东经108.30湖北省大冶北纬30.06 东经114.58湖北省恩施北纬30.16 东经109.29湖北省鄂州北纬30.23 东经114.52湖北省洪湖北纬29.48 东经113.27湖北省黄石北纬30.12 东经115.06湖北省黄州北纬30.27 东经114.52湖北省荆门北纬31.02 东经112.12湖北省荆沙北纬30.18 东经112.16湖北省老河口北纬32.23 东经111.40湖北省利川北纬30.18 东经108.56湖北省麻城北纬31.10 东经115.01湖北省浦圻北纬29.42 东经113.51湖北省潜江北纬30.26 东经112.53湖北省石首北纬29.43 东经112.24湖北省十堰北纬32.40 东经110.47湖北省随州北纬31.42 东经113.22湖北省天门北纬60.39 东经113.10湖北省武穴北纬29.51 东经115.33湖北省襄樊北纬32.02 东经112.08湖北省仙桃北纬30.22 东经113.27湖北省孝感北纬30.56 东经113.54湖北省宜昌北纬30.42 东经111.17湖北省宜城北纬31.42 东经112.15湖北省应城北纬30.57 东经113.33湖北省枣阳北纬32.07 东经112.44湖北省枝城北纬30.23 东经111.27湖北省钟祥北纬31.10 东经112.34湖南省长沙北纬28.12 东经112.59湖南省常德北纬29.02 东经111.51湖南省郴州北纬25.46 东经113.02湖南省衡阳北纬26.53 东经112.37湖南省洪江北纬27.07 东经109.59湖南省怀化北纬27.33 东经109.58湖南省津市北纬29.38 东经111.52湖南省吉首北纬28.18 东经109.43湖南省冷水江北纬27.42 东经111.26湖南省冷水滩北纬26.26 东经111.35湖南省涟源北纬27.41 东经111.41湖南省醴陵北纬27.40 东经113.30湖南省临湘北纬29.29 东经113.27湖南省浏阳北纬28.09 东经113.37湖南省娄底北纬27.44 东经111.59湖南省汨罗北纬28.49 东经113.03湖南省韶山北纬27.54 东经112.29湖南省邵阳北纬27.14 东经111.28湖南省武冈北纬26.43 东经110.37湖南省湘潭北纬27.52 东经112.53湖南省湘乡北纬27.44 东经112.31湖南省益阳北纬28.36 东经112.20湖南省永州北纬26.13 东经111.37湖南省沅江北纬28.50 东经112.22湖南省张家界北纬29.08 东经110.29湖南省株洲北纬27.51 东经113.09湖南省资兴北纬25.58 东经113.13##省长春北纬43.54 东经125.19##省白城北纬45.38 东经122.50##省白山北纬41.56 东经126.26##省大安北纬45.30 东经124.18##省德惠北纬44.32 东经125.42##省敦化北纬43.22 东经128.13 ##省公主岭北纬43.31 东经124.49##省和龙北纬42.32 东经129.00##省桦甸北纬42.58 东经126.44##省集安北纬41.08 东经126.11 ##省蛟河北纬43.42 东经127.21 ##省## 北纬43.52 东经126.33##省九台北纬44.09 东经125.51 ##省辽源北纬42.54 东经125.09 ##省临江北纬41.49 东经126.53 ##省龙井北纬42.46 东经129.26 ##省梅河口北纬42.32 东经125.40 ##省舒兰北纬44.24 东经126.57 ##省四平北纬43.10 东经124.22 ##省松原北纬45.11 东经124.49 ##省洮南北纬45.20 东经122.47 ##省通化北纬41.43 东经125.56 ##省图们北纬42.57 东经129.51 ##省延吉北纬42.54 东经129.30 ##省愉树北纬44.49 东经126.32##省常熟北纬31.39 东经120.43 ##省常州北纬31.47 东经119.58 ##省丹阳北纬32.00 东经119.32 ##省东台北纬32.51 东经120.19 ##省高邮北纬32.47 东经119.27 ##省海门北纬31.53 东经121.09 ##省淮安北纬33.30 东经119.09 ##省淮阴北纬33.36 东经119.02 ##省江都北纬32.26 东经119.32 ##省姜堰北纬32.34 东经120.08 ##省江阴北纬31.54 东经120.17 ##省靖江北纬32.02 东经120.17 ##省金坛北纬31.46 东经119.33 ##省## 北纬31.23 东经120.57##省连去港北纬34.36 东经119.10 ##省## 北纬31.26 东经119.29##省邳州北纬34.19 东经117.59 ##省启乐北纬31.48 东经121.39 ##省如皋北纬32.23 东经120.33 ##省宿迁北纬33.58 东经118.18 ##省苏州北纬31.19 东经120.37 ##省太仓北纬31.27 东经121.06 ##省泰兴北纬32.10 东经120.01 ##省泰州北纬32.30 东经119.54 ##省通州北纬32.05 东经121.03 ##省吴江北纬31.10 东经120.39 ##省无锡北纬31.34 东经120.18 ##省兴化北纬32.56 东经119.50 ##省新沂北纬34.22 东经118.20 ##省徐州北纬34.15 东经117.11 ##省盐在北纬33.22 东经120.08 ##省扬中北纬32.14 东经119.49##省宜兴北纬31.21 东经119.49 ##省仪征北纬32.16 东经119.10 ##省张家港北纬31.52 东经120.32 ##省镇江北纬32.11 东经119.27 ##省## 北纬28.40 东经115.55##省德兴北纬28.57 东经117.35 ##省丰城北纬28.12 东经115.48 ##省赣州北纬28.52 东经114.56 ##省高安北纬28.25 东经115.22 ##省吉安北纬27.07 东经114.58 ##省景德镇北纬29.17 东经117.13 ##省井冈山北纬26.34 东经114.10 ##省九江北纬29.43 东经115.58 ##省乐平北纬28.58 东经117.08 ##省临川北纬27.59 东经116.21##省萍乡北纬27.37 东经113.50##省瑞昌北纬29.40 东经115.38##省瑞金北纬25.53 东经116.01##省上饶北纬25.27 东经117.58##省新余北纬27.48 东经114.56##省宜春北纬27.47 东经114.23##省鹰潭北纬28.14 东经117.03##省樟树北纬28.03 东经115.32##省沈阳北纬41.48 东经123.25##省鞍山北纬41.07 东经123.00##省北票北纬41.48 东经120.47##省本溪北纬41.18 东经123.46##省朝阳北纬41.34 东经120.27##省大连北纬38.55 东经121.36##省大石桥北纬40.37 东经122.31 ##省东港北纬39.53 东经124.08 ##省凤城北纬40.28 东经124.02 ##省抚顺北纬41.51 东经123.54 ##省阜新北纬42.01 东经121.39 ##省盖州北纬40.24 东经122.21 ##省海城北纬40.51 东经122.43 ##省葫芦岛北纬40.45 东经120.51 ##省锦州北纬41.07 东经121.09 ##省开原北纬42.32 东经124.02 ##省辽阳北纬41.16 东经123.12 ##省凌海北纬41.10 东经121.21 ##省凌源北纬41.14 东经119.22 ##省盘锦北纬41.07 东经122.03 ##省普兰店北纬39.23 东经121.58 ##省铁法北纬42.28 东经123.32##省瓦房店北纬39.37 东经122.00##省兴城北纬40.37 东经120.41##省新民北纬41.59 东经122.49##省营口北纬40.39 东经122.13##省庄河北纬39.41 东经122.58内自治区呼和浩特北纬40.48 东经111.41内自治区包头北纬40.39 东经109.49内自治区赤峰北纬42.17 东经118.58内自治区东胜北纬39.48 东经109.59内自治区二连浩特北纬43.38 东经111.58内自治区额尔古纳北纬50.13 东经120.11内自治区丰镇北纬40.27 东经113.09内自治区根河北纬50.48 东经121.29内自治区海拉尔北纬49.12 东经119.39内自治区霍林郭勒北纬45.32 东经119.38内自治区集宁北纬41.02 东经113.06内自治区临河北纬40.46 东经107.22内自治区满洲里北纬49.35 东经117.23内自治区通辽北纬43.37 东经122.16内自治区乌兰浩特北纬46.03 东经122.03内自治区乌海北纬39.40 东经106.48内自治区锡林浩特北纬43.57 东经116.03内自治区牙克石北纬49.17 东经120.40内自治区扎兰屯北纬48.00 东经122.47宁夏自治区银川北纬38.27 东经106.16宁夏自治区青铜峡北纬37.56 东经105.59宁夏自治区石嘴山北纬39.02 东经106.22宁夏自治区吴忠北纬37.59 东经106.11青海省西宁北纬36.38 东经101.48青海省德令哈北纬37.22 东经97.23青海省格尔木北纬36.26 东经94.55##省济南北纬36.40 东经117.00##省安丘北纬36.25 东经119.12 ##省滨州北纬37.22 东经118.02 ##省昌邑北纬39.52 东经119.24 ##省德州北纬37.26 东经116.17 ##省东营北纬37.27 东经118.30 ##省肥城北纬36.14 东经116.46 ##省高密北纬36.22 东经119.44 ##省菏泽北纬35.14 东经115.26 ##省胶南北纬35.53 东经119.58 ##省胶州北纬36.17 东经120.00 ##省即墨北纬36.22 东经120.28 ##省济宁北纬35.23 东经116.33 ##省莱芜北纬36.12 东经117.40 ##省莱西北纬36.52 东经120.31##省莱州北纬37.10 东经119.57 ##省乐陵北纬37.44 东经117.12 ##省聊城北纬36.26 东经115.57 ##省临清北纬36.51 东经115.42 ##省临沂北纬35.03 东经118.20 ##省龙口北纬37.39 东经120.21 ##省蓬莱北纬37.48 东经120.45 ##省平度北纬36.47 东经119.58 ##省青岛北纬36.03 东经120.18 ##省青州北纬36.42 东经118.28 ##省曲阜北纬35.36 东经116.58 ##省日照北纬35.23 东经119.32 ##省荣成北纬37.10 东经122.25 ##省乳山北纬36.54 东经121.31 ##省寿光北纬36.53 东经118.44 ##省泰安北纬36.11 东经117.08##省潍坊北纬36.43 东经119.06 ##省威海北纬37.31 东经122.07 ##省文登北纬37.12 东经122.03 ##省新泰北纬35.54 东经117.45 ##省烟台北纬37.32 东经121.24 ##省兖州北纬35.32 东经116.49 ##省禹城北纬36.56 东经116.39 ##省枣庄北纬34.52 东经117.33 ##省章丘北纬36.43 东经117.32 ##省招远北纬37.21 东经120.23 ##省诸城北纬35.59 东经119.24 ##省淄博北纬36.48 东经118.03 ##省邹城北纬35.24 东经116.58 ##省太原北纬37.54 东经112.33 ##省长治北纬36.11 东经113.06 ##省大同北纬40.06 东经113.17##省古交北纬37.54 东经112.09 ##省河津北纬35.35 东经110.41 ##省侯马北纬35.37 东经111.21 ##省霍州北纬36.34 东经111.42 ##省介休北纬37.02 东经111.55 ##省晋城北纬35.30 东经112.51 ##省临汾北纬36.05 东经111.31 ##省潞城北纬36.21 东经113.14 ##省朔州北纬39.19 东经112.26 ##省孝义北纬37.08 东经111.48 ##省忻州北纬38.24 东经112.43 ##省阳泉北纬37.51 东经113.34 ##省永济北纬34.52 东经110.27 ##省原平北纬38.43 东经112.42 ##省榆次北纬37.41 东经112.43 ##省运城北纬35.02 东经110.59陕西省安康北纬32.41 东经109.01陕西省宝鸡北纬34.22 东经107.09陕西省韩城北纬35.28 东经110.27陕西省汉中北纬33.04 东经107.01陕西省华阴北纬34.34 东经110.05陕西省商州北纬33.52 东经109.57陕西省铜川北纬35.06 东经109.07陕西省渭南北纬34.30 东经109.30陕西省咸阳北纬34.20 东经108.43陕西省兴平北纬34.18 东经108.29陕西省延安北纬36.35 东经109.28陕西省榆林北纬38.18 东经109.47四川省成都北纬30.40 东经104.04四川省巴中北纬31.51 东经106.43四川省崇州北纬30.39 东经103.40四川省达川北纬31.14 东经107.29四川省德阳北纬31.09 东经104.22四川省都江堰北纬31.01 东经103.37四川省峨眉山北纬29.36 东经103.29四川省涪陵北纬29.42 东经107.22四川省广汉北纬30.58 东经104.15四川省广元北纬32.28 东经105.51四川省华蓥北纬30.26 东经106.44四川省简阳北纬30.24 东经104.32四川省江油北纬31.48 东经104.42四川省阆中北纬31.36 东经105.58四川省乐山北纬29.36 东经103.44四川省泸州北纬28.54 东经105.24四川省## 北纬30.49 东经106.04四川省内江北纬29.36 东经105.02四川省攀枝花北纬26.34 东经101.43四川省彭州北纬30.59 东经103.57四川省邛崃北纬30.26 东经103.28四川省遂宁北纬30.31 东经105.33四川省万县北纬30.50 东经108.21四川省万源北纬32.03 东经108.03四川省西昌北纬27.54 东经102.16四川省雅安北纬29.59 东经102.59四川省宜宾北纬28.47 东经104.34四川省自贡北纬29.23 东经104.46四川省资阳北纬30.09 东经104.38 ##省台北市北纬25.03 东经121.30 ##市##市北纬39.02 东经117.12##自治区## 北纬29.39 东经91.08##自治区## 北纬29.16 东经88.51## ##市北纬21.23 东经115.12##自治区乌鲁木齐北纬43.45 东经87.36 ##自治区阿克苏北纬41.09 东经80.19 ##自治区阿勒泰北纬47.50 东经88.12 ##自治区阿图什北纬39.42 东经76.08 ##自治区博乐北纬44.57 东经82.08##自治区昌吉北纬44.02 东经87.18##自治区阜康北纬44.09 东经87.58##自治区哈密北纬42.50 东经93.28##自治区和田北纬37.09 东经79.55##自治区克拉玛依北纬45.36 东经84.51 ##自治区喀什北纬39.30 东经75.59##自治区库尔勒北纬41.46 东经86.07 ##自治区奎屯北纬44.27 东经84.56##自治区石河子北纬44.18 东经86.00 ##自治区塔城北纬46.46 东经82.59##自治区吐鲁番北纬42.54 东经89.11 ##自治区伊宁北纬43.55 东经81.20云南省昆明北纬25.04 东经102.42云南省保山北纬25.08 东经99.10云南省楚雄北纬25.01 东经101.32云南省大理北纬25.34 东经100.13云南省东川北纬26.06 东经103.12云南省个旧北纬23.21 东经103.09云南省景洪北纬22.01 东经100.48云南省开远北纬23.43 东经103.13云南省曲靖北纬25.30 东经103.48云南省瑞丽北纬24.00 东经97.50云南省思茅北纬22.48 东经100.58云南省畹町北纬24.06 东经98.04云南省宣威北纬26.13 东经104.06云南省玉溪北纬24.22 东经102.32云南省昭通北纬27.20 东经103.42 ##省杭州北纬30.16 东经120.10 ##省慈溪北纬30.11 东经121.15 ##省东阳北纬29.16 东经120.14 ##省## 北纬29.39 东经121.24##省富阳北纬30.03 东经119.57 ##省## 北纬30.32 东经120.42##省湖州北纬30.52 东经120.06 ##省建德北纬29.29 东经119.16 ##省江山北纬28.45 东经118.37 ##省嘉兴北纬30.46 东经120.45 ##省金华北纬29.07 东经119.39 ##省兰溪北纬29.12 东经119.28 ##省临海北纬28.51 东经121.08##省龙泉北纬28.04 东经119.08 ##省宁波北纬29.52 东经121.33 ##省平湖北纬30.42 东经121.01 ##省衢州北纬28.58 东经118.52 ##省瑞安北纬27.48 东经120.38 ##省## 北纬30.01 东经120.52 ##省绍兴北纬30.00 东经120.34 ##省台州北纬28.41 东经121.27 ##省桐乡北纬30.38 东经120.32 ##省温岭北纬28.22 东经121.21 ##省温州北纬28.01 东经120.39 ##省萧山北纬30.09 东经120.16 ##省义乌北纬29.18 东经120.04 ##省乐清北纬28.08 东经120.58 ##省余杭北纬30.26 东经120.18 ##省余姚北纬30.02 东经121.10##省舟山北纬30.01 东经122.06##省## 北纬29.43 东经120.14重庆市重庆市北纬29.35 东经106.33重庆市合川市北纬30.02 东经106.15重庆市江津市北纬29.18 东经106.16重庆市南川市北纬29.10 东经107.05重庆市永川市北纬29.23 东经105.53。
全国经纬度表书城问道收藏于2011-11-26 阅读数:3204 被转藏:28公众公开原文来源转藏到我的图书馆推荐给朋友举报如果您在该网页中发现有色情、暴力、反动等不良内容,请联系我们:省份地市区县经度纬度北京市北京市北京市116.439.9北京市北京市天安门116.3839.9北京市北京市东城区116.4239.93北京市北京市西城区116.3739.92北京市北京市崇文区116.4339.88北京市北京市宣武区116.3539.87北京市北京市朝阳区116.4339.92北京市北京市丰台区116.2839.85北京市北京市石景山区116.2239.9北京市北京市海淀区116.339.95北京市北京市门头沟区116.139.93北京市北京市房山区116.1339.75北京市北京市通州区116.6539.92北京市北京市顺义区116.6540.13北京市北京市昌平区116.2340.22北京市北京市大兴区116.3339.73北京市北京市怀柔区116.6340.32北京市北京市平谷区117.1240.13北京市北京市密云县116.8340.37北京市北京市延庆县115.9740.45天津市天津市天津市117.239.12天津市天津市和平区117.239.12天津市天津市河东区117.2239.12天津市天津市河西区117.2239.12天津市天津市南开区117.1539.13天津市天津市河北区117.1839.15天津市天津市红桥区117.1539.17天津市天津市塘沽区117.6539.02天津市天津市汉沽区117.839.25天津市天津市大港区117.4538.83天津市天津市东丽区117.339.08天津市天津市西青区117.039.13天津市天津市津南区117.3838.98天津市天津市北辰区117.1339.22天津市天津市武清区117.0339.38天津市天津市宝坻区117.339.72天津市天津市滨海新区117.6839.03 天津市天津市宁河县117.8239.33天津市天津市静海县116.9238.93天津市天津市蓟县117.440.05河北省石家庄市石家庄市114.5238.05 河北省石家庄市长安区114.5238.05 河北省石家庄市桥东区114.538.05河北省石家庄市桥东区114.940.78河北省石家庄市桥东区114.537.07河北省石家庄市桥西区114.4737.05 河北省石家庄市桥西区114.8740.83 河北省石家庄市桥西区114.4738.03 河北省石家庄市新华区114.4738.05 河北省石家庄市新华区116.8738.32 河北省石家庄市井陉矿区114.0538.08 河北省石家庄市裕华区114.5238.02 河北省石家庄市井陉县114.1338.03 河北省石家庄市正定县114.5738.15 河北省石家庄市栾城县114.6537.88 河北省石家庄市行唐县114.5538.43 河北省石家庄市灵寿县114.3738.3河北省石家庄市高邑县114.637.6河北省石家庄市深泽县115.238.18河北省石家庄市赞皇县114.3837.67 河北省石家庄市无极县114.9738.18 河北省石家庄市平山县114.238.25河北省石家庄市元氏县114.5237.75 河北省石家庄市赵县114.7737.75河北省石家庄市辛集市115.2237.92 河北省石家庄市藁城市114.8338.03 河北省石家庄市晋州市115.0338.03 河北省石家庄市新乐市114.6838.35 河北省石家庄市鹿泉市114.338.08河北省唐山市唐山市118.239.63河北省唐山市路南区118.1739.63河北省唐山市路北区118.2239.63河北省唐山市古冶区118.4239.73河北省唐山市开平区118.2739.68河北省唐山市丰南区118.139.57河北省唐山市丰润区118.1739.83河北省唐山市滦县118.739.75河北省唐山市滦南县118.6839.5河北省唐山市乐亭县118.939.42河北省唐山市迁西县118.3240.15河北省唐山市玉田县117.7339.88河北省唐山市唐海县118.4539.27河北省唐山市遵化市117.9540.18河北省唐山市迁安市118.740.02河北省秦皇岛市秦皇岛市119.639.93河北省秦皇岛市海港区119.639.93河北省秦皇岛市山海关区119.7740.0河北省秦皇岛市北戴河区119.4839.83河北省秦皇岛市青龙满族自治县118.9540.4 河北省秦皇岛市昌黎县119.1739.7河北省秦皇岛市抚宁县119.2339.88河北省秦皇岛市卢龙县118.8739.88河北省邯郸市邯郸市114.4836.62河北省邯郸市邯山区114.4836.6河北省邯郸市丛台区114.4836.63河北省邯郸市复兴区114.4536.63河北省邯郸市峰峰矿区114.236.42河北省邯郸市邯郸县114.5336.6河北省邯郸市临漳县114.6236.35河北省邯郸市成安县114.6836.43河北省邯郸市大名县115.1536.28河北省邯郸市涉县113.6736.57河北省邯郸市磁县114.3736.35河北省邯郸市肥乡县114.836.55河北省邯郸市永年县114.4836.78河北省邯郸市邱县115.1736.82河北省邯郸市鸡泽县114.8736.92河北省邯郸市广平县114.9336.48河北省邯郸市馆陶县115.336.53河北省邯郸市魏县114.9336.37河北省邯郸市曲周县114.9536.78河北省邯郸市武安市114.236.7河北省邢台市邢台市114.4837.07河北省邢台市桥东区114.538.05河北省邢台市桥东区114.940.78河北省邢台市桥东区114.537.07河北省邢台市桥西区114.8740.83河北省邢台市桥西区114.4738.03河北省邢台市桥西区114.4737.05河北省邢台市邢台县114.537.08河北省邢台市临城县114.537.43河北省邢台市内丘县114.5237.3河北省邢台市柏乡县114.6837.5河北省邢台市隆尧县114.7737.35河北省邢台市任县114.6837.13河北省邢台市南和县114.6837.0河北省邢台市宁晋县114.9237.62河北省邢台市巨鹿县115.0337.22河北省邢台市新河县115.2537.53河北省邢台市广宗县115.1537.07河北省邢台市平乡县115.0337.07河北省邢台市威县115.2536.98河北省邢台市清河县115.6737.07河北省邢台市临西县115.536.85河北省邢台市南宫市115.3837.35河北省邢台市沙河市114.536.85河北省保定市保定市115.4738.87河北省保定市新市区115.4538.87河北省保定市北市区115.4838.87河北省保定市南市区115.538.85河北省保定市满城县115.3238.95河北省保定市清苑县115.4838.77河北省保定市涞水县115.7239.4河北省保定市阜平县114.1838.85河北省保定市徐水县115.6539.02河北省保定市定兴县115.77 (115,46 )39.27 (39,16)河北省保定市唐县114.9838.75河北省保定市高阳县115.7838.68河北省保定市容城县115.8739.05河北省保定市涞源县114.6839.35河北省保定市望都县115.1538.72河北省保定市安新县115.9338.92河北省保定市易县115.539.35河北省保定市曲阳县114.738.62河北省保定市蠡县115.5738.48河北省保定市顺平县115.1338.83河北省保定市博野县115.4738.45河北省保定市雄县116.138.98河北省保定市涿州市115.9739.48河北省保定市定州市114.9738.52河北省保定市安国市115.3238.42河北省保定市高碑店市115.8539.33河北省张家口市张家口市114.8840.82河北省张家口市桥东区114.538.05河北省张家口市桥东区114.940.78河北省张家口市桥东区114.537.07河北省张家口市桥西区114.8740.83河北省张家口市桥西区114.4738.03河北省张家口市桥西区114.4737.05河北省张家口市宣化区115.0540.6河北省张家口市下花园区115.2740.48河北省张家口市宣化县115.0240.55河北省张家口市张北县114.741.15河北省张家口市康保县114.6241.85河北省张家口市沽源县115.741.67河北省张家口市尚义县113.9741.08河北省张家口市蔚县114.5739.85河北省张家口市阳原县114.1740.12河北省张家口市怀安县114.4240.67河北省张家口市万全县114.7240.75河北省张家口市怀来县115.5240.4河北省张家口市涿鹿县115.2240.38河北省张家口市赤城县115.8340.92河北省张家口市崇礼县115.2740.97河北省承德市承德市117.9340.97河北省承德市双桥区117.9340.97河北省承德市双滦区117.7840.95河北省承德市鹰手营子矿区117.6540.55河北省承德市承德县118.1740.77河北省承德市兴隆县117.5240.43河北省承德市平泉县118.68 41.0河北省承德市滦平县117.3340.93河北省承德市隆化县117.7241.32河北省承德市丰宁满族自治县116.6541.2河北省承德市宽城满族自治县118.4840.6河北省承德市围场满族蒙古族自治县117.7541.93 河北省沧州市沧州市116.8338.3河北省沧州市新华区114.4738.05河北省沧州市新华区116.8738.32河北省沧州市运河区116.8538.32河北省沧州市沧县116.8738.3河北省沧州市青县116.8238.58河北省沧州市东光县116.5337.88河北省沧州市海兴县117.4838.13河北省沧州市盐山县117.2238.05河北省沧州市肃宁县115.8338.43河北省沧州市南皮县116.738.03河北省沧州市吴桥县116.3837.62河北省沧州市献县116.1238.18河北省沧州市孟村回族自治县117.138.07 河北省沧州市泊头市116.5738.07河北省沧州市任丘市116.138.72河北省沧州市黄骅市117.3538.37河北省沧州市河间市116.0838.43河北省廊坊市廊坊市116.739.52河北省廊坊市安次区116.6839.52河北省廊坊市广阳区116.7239.53河北省廊坊市固安县116.339.43河北省廊坊市永清县116.539.32河北省廊坊市香河县117.039.77河北省廊坊市大城县116.6338.7河北省廊坊市文安县116.4738.87河北省廊坊市大厂回族自治县116.9839.88 河北省廊坊市霸州市116.439.1河北省廊坊市三河市117.0739.98河北省衡水市衡水市115.6837.73河北省衡水市桃城区115.6837.73河北省衡水市枣强县115.7237.52河北省衡水市武邑县115.8837.82河北省衡水市武强县115.9838.03河北省衡水市饶阳县115.7338.23河北省衡水市安平县115.5238.23河北省衡水市故城县115.9737.35河北省衡水市景县116.2737.7河北省衡水市阜城县116.1537.87河北省衡水市冀州市115.5737.57河北省衡水市深州市115.5538.02山西省太原市太原市112.5537.87山西省太原市小店区112.5737.73山西省太原市迎泽区112.5737.87山西省太原市杏花岭区112.5737.88山西省太原市尖草坪区112.4837.93山西省太原市万柏林区112.5237.87山西省太原市晋源区112.4837.73山西省太原市清徐县112.3537.6山西省太原市阳曲县112.6738.07山西省太原市娄烦县111.7838.07山西省太原市古交市112.1737.92山西省大同市大同市113.340.08山西省大同市城区113.2840.08山西省大同市城区113.637.85山西省大同市城区113.1236.22山西省大同市矿区113.1740.03 山西省大同市矿区113.5737.87 山西省大同市南郊区113.1340.0 山西省大同市新荣区113.1540.27 山西省大同市阳高县113.7540.37 山西省大同市天镇县114.0840.42 山西省大同市广灵县114.2839.77 山西省大同市灵丘县114.2339.43 山西省大同市浑源县113.6839.7 山西省大同市左云县112.740.0 山西省大同市大同县113.640.03 山西省阳泉市阳泉市113.5737.85 山西省阳泉市城区113.2840.08 山西省阳泉市城区113.637.85山西省阳泉市城区113.1236.22 山西省阳泉市城区112.8335.5山西省阳泉市矿区113.1740.03 山西省阳泉市矿区113.5737.87 山西省阳泉市郊区113.5837.93 山西省阳泉市郊区113.1236.2山西省阳泉市平定县113.6237.8 山西省阳泉市盂县113.438.08山西省长治市长治市113.1236.2 山西省长治市城区113.2840.08 山西省长治市城区113.637.85山西省长治市城区113.1236.22 山西省长治市城区112.8335.5山西省长治市郊区113.5837.93 山西省长治市郊区113.1236.2山西省长治市长治县113.0336.05 山西省长治市襄垣县113.0536.53 山西省长治市屯留县112.8836.32 山西省长治市平顺县113.4336.2 山西省长治市黎城县113.3836.5 山西省长治市壶关县113.236.12 山西省长治市长子县112.8736.12 山西省长治市武乡县112.8536.83 山西省长治市沁县112.736.75山西省长治市沁源县112.3336.5 山西省长治市潞城市113.2236.33 山西省晋城市晋城市112.8335.5 山西省晋城市城区113.2840.08 山西省晋城市城区113.637.85山西省晋城市城区112.8335.5山西省晋城市沁水县112.1835.68 山西省晋城市阳城县112.4235.48 山西省晋城市陵川县113.2735.78 山西省晋城市泽州县112.8335.5 山西省晋城市高平市112.9235.8 山西省朔州市朔州市112.4339.33 山西省朔州市朔城区112.4339.33 山西省朔州市山阴县112.8239.52 山西省朔州市应县113.1839.55 山西省朔州市右玉县112.4739.98 山西省朔州市怀仁县113.0839.83 山西省晋中市晋中市112.7537.68 山西省晋中市榆次区112.7537.68 山西省晋中市榆社县112.9737.07 山西省晋中市左权县113.3737.07 山西省晋中市和顺县113.5737.33 山西省晋中市昔阳县113.737.62 山西省晋中市寿阳县113.1837.88 山西省晋中市太谷县112.5537.42 山西省晋中市祁县112.3337.35 山西省晋中市平遥县112.1737.18 山西省晋中市灵石县111.7736.85 山西省晋中市介休市111.9237.03 山西省运城市运城市110.9835.02 山西省运城市盐湖区110.9835.02 山西省运城市临猗县110.7735.15 山西省运城市万荣县110.8335.42 山西省运城市闻喜县111.2235.35 山西省运城市稷山县110.9735.6 山西省运城市新绛县111.2235.62 山西省运城市绛县111.5735.48 山西省运城市垣曲县111.6735.3 山西省运城市夏县111.2235.15 山西省运城市平陆县111.2234.83 山西省运城市芮城县110.6834.7 山西省运城市河津市110.735.6 山西省忻州市忻州市112.7338.42 山西省忻州市忻府区112.7338.42 山西省忻州市定襄县112.9538.48 山西省忻州市五台县113.2538.73 山西省忻州市代县112.9539.07 山西省忻州市繁峙县113.2539.18山西省忻州市宁武县112.339.0山西省忻州市静乐县111.9338.37山西省忻州市神池县112.239.08山西省忻州市五寨县111.8538.9山西省忻州市岢岚县111.5738.7山西省忻州市河曲县111.1339.38山西省忻州市偏关县111.539.43山西省忻州市原平市112.738.73山西省临汾市临汾市111.5236.08山西省临汾市尧都区111.5236.08山西省临汾市曲沃县111.4735.63山西省临汾市翼城县111.7235.73山西省临汾市襄汾县111.4335.88山西省临汾市洪洞县111.6736.25山西省临汾市古县111.9236.27山西省临汾市安泽县112.2536.15山西省临汾市浮山县111.8335.97山西省临汾市吉县110.6836.1山西省临汾市乡宁县110.8335.97山西省临汾市大宁县110.7536.47山西省临汾市隰县110.9336.7山西省临汾市永和县110.6336.77山西省临汾市蒲县111.0836.42山西省临汾市汾西县111.5736.65山西省临汾市侯马市111.3535.62山西省临汾市霍州市111.7236.57山西省吕梁市吕梁市111.1337.52山西省吕梁市离石区111.1337.52山西省吕梁市文水县112.0237.43山西省吕梁市交城县112.1537.55山西省吕梁市兴县111.1238.47山西省吕梁市临县110.9837.95山西省吕梁市柳林县110.937.43山西省吕梁市石楼县110.8337.0山西省吕梁市岚县111.6738.28山西省吕梁市方山县111.2337.88山西省吕梁市中阳县111.1837.33山西省吕梁市交口县111.236.97山西省吕梁市孝义市111.7737.15山西省吕梁市汾阳市111.7837.27内蒙古自治区呼和浩特市呼和浩特市111.7340.83 内蒙古自治区呼和浩特市新城区111.6540.87内蒙古自治区呼和浩特市回民区111.640.8内蒙古自治区呼和浩特市玉泉区111.6740.75内蒙古自治区呼和浩特市赛罕区111.6840.8内蒙古自治区呼和浩特市土默特左旗111.1340.72内蒙古自治区呼和浩特市托克托县111.1840.27内蒙古自治区呼和浩特市和林格尔县111.8240.38内蒙古自治区呼和浩特市清水河县111.6839.92内蒙古自治区呼和浩特市武川县111.4541.08内蒙古自治区包头市包头市109.8340.65内蒙古自治区包头市东河区110.0240.58内蒙古自治区包头市昆都仑区109.8340.63内蒙古自治区包头市青山区109.940.65内蒙古自治区包头市石拐区110.2740.68内蒙古自治区包头市九原区109.9740.6内蒙古自治区包头市土默特右旗110.5240.57内蒙古自治区包头市固阳县110.0541.03内蒙古自治区包头市达尔罕茂明安联合旗110.4341.7 内蒙古自治区乌海市乌海市106.8239.67内蒙古自治区乌海市海勃湾区106.8339.7内蒙古自治区乌海市海南区106.8839.43内蒙古自治区乌海市乌达区106.739.5内蒙古自治区赤峰市赤峰市118.9242.27内蒙古自治区赤峰市红山区118.9742.28内蒙古自治区赤峰市元宝山区119.2842.03内蒙古自治区赤峰市松山区118.9242.28内蒙古自治区赤峰市阿鲁科尔沁旗120.0843.88内蒙古自治区赤峰市巴林左旗119.3843.98内蒙古自治区赤峰市巴林右旗118.6743.52内蒙古自治区赤峰市林西县118.0543.6内蒙古自治区赤峰市克什克腾旗117.5343.25内蒙古自治区赤峰市翁牛特旗119.0242.93内蒙古自治区赤峰市喀喇沁旗118.741.93内蒙古自治区赤峰市宁城县119.3341.6内蒙古自治区赤峰市敖汉旗119.942.28内蒙古自治区通辽市通辽市122.2743.62内蒙古自治区通辽市科尔沁区122.2743.62内蒙古自治区通辽市科尔沁左翼中旗123.3244.13内蒙古自治区通辽市科尔沁左翼后旗122.3542.95内蒙古自治区通辽市开鲁县121.343.6内蒙古自治区通辽市库伦旗121.7742.73内蒙古自治区通辽市奈曼旗120.6542.85内蒙古自治区通辽市扎鲁特旗120.9244.55内蒙古自治区通辽市霍林郭勒市119.6545.53内蒙古自治区鄂尔多斯市鄂尔多斯市109.839.62内蒙古自治区鄂尔多斯市东胜区110.039.82内蒙古自治区鄂尔多斯市达拉特旗110.0340.4内蒙古自治区鄂尔多斯市准格尔旗111.2339.87内蒙古自治区鄂尔多斯市鄂托克前旗107.4838.18内蒙古自治区鄂尔多斯市鄂托克旗107.9839.1内蒙古自治区鄂尔多斯市杭锦旗108.7239.83内蒙古自治区鄂尔多斯市乌审旗108.8538.6内蒙古自治区鄂尔多斯市伊金霍洛旗109.7339.57内蒙古自治区呼伦贝尔市呼伦贝尔市119.7749.22内蒙古自治区呼伦贝尔市海拉尔区119.7749.22内蒙古自治区呼伦贝尔市阿荣旗123.4748.13内蒙古自治区呼伦贝尔市鄂伦春自治旗123.7250.58内蒙古自治区呼伦贝尔市鄂温克族自治旗119.7549.13 内蒙古自治区呼伦贝尔市陈巴尔虎旗119.4349.32内蒙古自治区呼伦贝尔市新巴尔虎左旗118.2748.22内蒙古自治区呼伦贝尔市新巴尔虎右旗116.8248.67内蒙古自治区呼伦贝尔市满洲里市117.4549.58内蒙古自治区呼伦贝尔市牙克石市120.7349.28内蒙古自治区呼伦贝尔市扎兰屯市122.7547.98内蒙古自治区呼伦贝尔市额尔古纳市120.1850.23内蒙古自治区呼伦贝尔市根河市121.5250.78内蒙古自治区巴彦淖尔市巴彦淖尔市107.4240.75内蒙古自治区巴彦淖尔市临河区107.440.75内蒙古自治区巴彦淖尔市五原县108.2741.1内蒙古自治区巴彦淖尔市磴口县107.0240.33内蒙古自治区巴彦淖尔市乌拉特前旗108.6540.72内蒙古自治区巴彦淖尔市乌拉特中旗108.5241.57内蒙古自治区巴彦淖尔市乌拉特后旗107.0741.1内蒙古自治区巴彦淖尔市杭锦后旗107.1540.88内蒙古自治区乌兰察布市乌兰察布市113.12 40.98内蒙古自治区乌兰察布市集宁区113.141.03内蒙古自治区乌兰察布市卓资县112.5740.9内蒙古自治区乌兰察布市化德县114.041.9内蒙古自治区乌兰察布市商都县113.5341.55内蒙古自治区乌兰察布市兴和县113.8840.88内蒙古自治区乌兰察布市凉城县112.4840.53内蒙古自治区乌兰察布市察哈尔右翼前旗113.22 40.78 内蒙古自治区乌兰察布市察哈尔右翼中旗112.6341.27 内蒙古自治区乌兰察布市察哈尔右翼后旗113.1841.45 内蒙古自治区乌兰察布市四子王旗111.741.52内蒙古自治区乌兰察布市丰镇市113.1540.43内蒙古自治区兴安盟兴安盟122.0546.08内蒙古自治区兴安盟乌兰浩特市122.0546.08内蒙古自治区兴安盟阿尔山市119.9347.18内蒙古自治区兴安盟科尔沁右翼前旗121.9246.07内蒙古自治区兴安盟科尔沁右翼中旗121.4745.05内蒙古自治区兴安盟扎赉特旗122.946.73内蒙古自治区兴安盟突泉县121.5745.38内蒙古自治区锡林郭勒盟锡林郭勒盟116.0743.95 内蒙古自治区锡林郭勒盟二连浩特市111.9843.65 内蒙古自治区锡林郭勒盟锡林浩特市116.0743.93 内蒙古自治区锡林郭勒盟阿巴嘎旗114.9744.02内蒙古自治区锡林郭勒盟苏尼特左旗113.6343.85 内蒙古自治区锡林郭勒盟苏尼特右旗112.6542.75 内蒙古自治区锡林郭勒盟东乌珠穆沁旗116.9745.52 内蒙古自治区锡林郭勒盟西乌珠穆沁旗117.644.58 内蒙古自治区锡林郭勒盟太仆寺旗115.2841.9内蒙古自治区锡林郭勒盟镶黄旗113.8342.23内蒙古自治区锡林郭勒盟正镶白旗115.042.3内蒙古自治区锡林郭勒盟正蓝旗116.042.25内蒙古自治区锡林郭勒盟多伦县116.4742.18内蒙古自治区阿拉善盟阿拉善盟105.6738.83内蒙古自治区阿拉善盟阿拉善左旗105.6738.83内蒙古自治区阿拉善盟阿拉善右旗101.6839.2内蒙古自治区阿拉善盟额济纳旗101.0741.97辽宁省沈阳市沈阳市123.4341.8辽宁省沈阳市和平区123.441.78辽宁省沈阳市沈河区123.4541.8辽宁省沈阳市大东区123.4741.8辽宁省沈阳市皇姑区123.4241.82辽宁省沈阳市铁西区122.9541.12辽宁省沈阳市铁西区123.3541.8辽宁省沈阳市苏家屯区123.3341.67辽宁省沈阳市东陵区123.4741.77辽宁省沈阳市新城子区123.5242.05辽宁省沈阳市于洪区123.341.78辽宁省沈阳市辽中县122.7241.52辽宁省沈阳市康平县123.3542.75辽宁省沈阳市法库县123.442.5辽宁省沈阳市新民市122.8242.0辽宁省大连市大连市121.6238.92辽宁省大连市中山区121.6338.92辽宁省大连市西岗区121.638.92辽宁省大连市沙河口区121.5838.9辽宁省大连市甘井子区121.5738.95辽宁省大连市旅顺口区121.2738.82辽宁省大连市金州区121.739.1辽宁省大连市长海县122.5839.27辽宁省大连市瓦房店市122.039.62辽宁省大连市普兰店市121.9539.4辽宁省大连市庄河市122.9839.7辽宁省鞍山市鞍山市122.9841.1辽宁省鞍山市铁东区122.9841.1辽宁省鞍山市铁西区122.9541.12辽宁省鞍山市铁西区123.3541.8辽宁省鞍山市立山区123.041.15辽宁省鞍山市千山区122.9741.07辽宁省鞍山市台安县122.4241.38辽宁省鞍山市岫岩满族自治县123.2840.28 辽宁省鞍山市海城市122.740.88辽宁省抚顺市抚顺市123.9841.88辽宁省抚顺市新抚区123.8841.87辽宁省抚顺市东洲区124.0241.85辽宁省抚顺市望花区123.7841.85辽宁省抚顺市顺城区123.9341.88辽宁省抚顺市抚顺县123.941.88辽宁省抚顺市新宾满族自治县125.0341.73 辽宁省抚顺市清原满族自治县124.9242.1 辽宁省本溪市本溪市123.7741.3辽宁省本溪市平山区123.7741.3辽宁省本溪市溪湖区123.7741.33辽宁省本溪市明山区123.8241.3辽宁省本溪市南芬区123.7341.1辽宁省本溪市本溪满族自治县124.1241.3 辽宁省本溪市桓仁满族自治县125.3541.27 辽宁省丹东市丹东市124.3840.13辽宁省丹东市元宝区124.3840.13辽宁省丹东市振兴区124.3540.08辽宁省丹东市振安区124.4240.17辽宁省丹东市宽甸满族自治县124.7840.73 辽宁省丹东市东港市124.1539.87辽宁省丹东市凤城市124.0740.45辽宁省锦州市锦州市121.1341.1辽宁省锦州市古塔区121.1241.13辽宁省锦州市凌河区121.1541.12辽宁省锦州市太和区121.141.1辽宁省锦州市黑山县122.1241.7辽宁省锦州市义县121.2341.53辽宁省锦州市凌海市121.3541.17辽宁省营口市营口市122.2340.67辽宁省营口市站前区122.2740.68辽宁省营口市西市区122.2240.67辽宁省营口市鲅鱼圈区122.1240.27辽宁省营口市老边区122.3740.67辽宁省营口市盖州市122.3540.4辽宁省营口市大石桥市122.540.65辽宁省阜新市阜新市121.6742.02辽宁省阜新市海州区121.6542.02辽宁省阜新市太平区121.6742.02辽宁省阜新市清河门区121.4241.75辽宁省阜新市细河区121.6842.03辽宁省阜新市阜新蒙古族自治县121.7542.07 辽宁省阜新市彰武县122.5342.38辽宁省辽阳市辽阳市123.1741.27辽宁省辽阳市白塔区123.1741.27辽宁省辽阳市文圣区123.1841.27辽宁省辽阳市宏伟区123.241.2辽宁省辽阳市弓长岭区123.4541.13辽宁省辽阳市太子河区123.1841.25辽宁省辽阳市辽阳县123.0741.22辽宁省辽阳市灯塔市123.3341.42辽宁省盘锦市盘锦市122.0741.12辽宁省盘锦市双台子区122.0541.2辽宁省盘锦市兴隆台区122.0741.12辽宁省盘锦市大洼县122.0740.98辽宁省盘锦市盘山县122.0241.25辽宁省铁岭市铁岭市123.8342.28辽宁省铁岭市银州区123.8542.28辽宁省铁岭市清河区124.1542.53辽宁省铁岭市铁岭县123.8342.3辽宁省铁岭市西丰县124.7242.73辽宁省铁岭市昌图县124.142.78辽宁省铁岭市调兵山市123.5542.47辽宁省铁岭市开原市124.0342.55辽宁省朝阳市朝阳市120.4541.57辽宁省朝阳市双塔区120.4541.57辽宁省朝阳市龙城区120.4341.6辽宁省朝阳市朝阳县120.4741.58辽宁省朝阳市建平县119.6341.4辽宁省朝阳市北票市120.7741.8辽宁省朝阳市凌源市119.441.25辽宁省葫芦岛市葫芦岛市120.8340.72辽宁省葫芦岛市连山区120.8740.77辽宁省葫芦岛市龙港区120.9340.72辽宁省葫芦岛市南票区120.7541.1辽宁省葫芦岛市绥中县120.3340.32辽宁省葫芦岛市建昌县119.840.82辽宁省葫芦岛市兴城市120.7240.62吉林省长春市长春市125.3243.9吉林省长春市南关区125.3343.87吉林省长春市宽城区125.3243.92吉林省长春市朝阳区125.2843.83吉林省长春市二道区125.3743.87吉林省长春市绿园区125.2543.88吉林省长春市双阳区125.6743.52吉林省长春市农安县125.1844.43吉林省长春市九台市125.8344.15吉林省长春市榆树市126.5544.82吉林省长春市德惠市125.744.53吉林省吉林市吉林市126.5543.83吉林省吉林市昌邑区126.5743.88吉林省吉林市龙潭区126.5743.92吉林省吉林市船营区126.5343.83吉林省吉林市丰满区126.5743.82吉林省吉林市永吉县126.543.67吉林省吉林市蛟河市127.3343.72吉林省吉林市桦甸市126.7342.97吉林省吉林市舒兰市126.9544.42吉林省吉林市磐石市126.0542.95吉林省四平市四平市124.3543.17吉林省四平市铁西区124.3543.15吉林省四平市铁东区124.3843.17吉林省四平市梨树县124.3343.32吉林省四平市伊通满族自治县125.343.35 吉林省四平市公主岭市124.8243.5吉林省四平市双辽市123.543.52吉林省辽源市辽源市125.1342.88吉林省辽源市龙山区125.1242.9吉林省辽源市西安区125.1542.92吉林省辽源市东丰县125.5342.68吉林省辽源市东辽县125.042.92吉林省通化市通化市125.9341.73吉林省通化市东昌区125.9541.73吉林省通化市二道江区126.0341.77吉林省通化市通化县125.7541.68吉林省通化市辉南县126.0342.68吉林省通化市柳河县125.7342.28吉林省通化市梅河口市125.6842.53吉林省通化市集安市126.1841.12吉林省白山市白山市126.4241.93吉林省白山市八道江区126.441.93吉林省白山市抚松县127.2842.33吉林省白山市靖宇县126.842.4吉林省白山市长白朝鲜族自治县128.241.42吉林省白山市临江市126.941.8吉林省松原市松原市124.8245.13吉林省松原市宁江区124.845.17吉林省松原市长岭县123.9844.28吉林省松原市乾安县124.0245.02吉林省松原市扶余县126.0244.98吉林省白城市白城市122.8345.62吉林省白城市洮北区122.8545.62吉林省白城市镇赉县123.245.85吉林省白城市通榆县123.0844.82吉林省白城市洮南市122.7845.33吉林省白城市大安市124.2845.5吉林省延边朝鲜族自治州延边朝鲜族自治州129.542.88 吉林省延边朝鲜族自治州延吉市129.542.88吉林省延边朝鲜族自治州图们市129.8342.97吉林省延边朝鲜族自治州敦化市128.2343.37吉林省延边朝鲜族自治州珲春市130.3742.87吉林省延边朝鲜族自治州龙井市129.4242.77吉林省延边朝鲜族自治州和龙市129.042.53吉林省延边朝鲜族自治州汪清县129.7543.32吉林省延边朝鲜族自治州安图县128.943.12黑龙江省哈尔滨市哈尔滨市126.5345.8黑龙江省哈尔滨市道里区126.6245.77黑龙江省哈尔滨市南岗区126.6845.77黑龙江省哈尔滨市道外区126.6545.78黑龙江省哈尔滨市香坊区126.6845.72黑龙江省哈尔滨市平房区126.6245.62黑龙江省哈尔滨市松北区126.5545.8黑龙江省哈尔滨市呼兰区126.5845.9黑龙江省哈尔滨市依兰县129.5546.32黑龙江省哈尔滨市方正县128.8345.83黑龙江省哈尔滨市宾县127.4845.75黑龙江省哈尔滨市巴彦县127.446.08黑龙江省哈尔滨市木兰县128.0345.95黑龙江省哈尔滨市通河县128.7545.97黑龙江省哈尔滨市延寿县128.3345.45黑龙江省哈尔滨市双城市126.3245.37黑龙江省哈尔滨市尚志市127.9545.22黑龙江省哈尔滨市五常市127.1544.92黑龙江省齐齐哈尔市齐齐哈尔市123.9547.33黑龙江省齐齐哈尔市龙沙区123.9547.32黑龙江省齐齐哈尔市建华区123.9547.35。
中国各省市经纬度
河南省东经110°21′ ~116°39′,北纬31°23′~36°22′之间
湖北省北纬29°05′~33°20′,东经108°21′~116°07′
湖南省湘长沙
广东省粤广州
海南省位于东经108度37分,-111度05分,北纬18度10分,-20度10分之间
四川省介于东经97°21′-108°31′和北纬26°03′-34°19′之间
贵州省介于东经103°36′~109°35′、北纬24°37′~29°13′之间云南省
陕西省东经105°29′~111°15′和北纬31°42′~39°35′之间
甘肃省介于北纬32°11′~42°57′、东经92°13′~108°46′之间
青海省青西宁
西藏自治区藏拉萨
广西壮族自治区位于北纬20°54′~26°23′,东经104°29′~112°04′
内蒙古自治区东起东经126度29分,西北东经97度10分
宁夏回族自治区位于北纬35’14,-39'23,东经104’17,~107'39,之间
新疆维吾尔自治区新乌鲁木齐
香港特别行政区位于东经114°15′,北纬22°15′
澳门地区简称澳,1999年12月20MACAO MACAU,别名濠江、濠海、濠镜、马交、濠澳、香山澳等。
全国经纬度国内主要城市经纬度表(参考表)安徽省合肥的经纬度北纬31.52东经117.17安徽省安庆的经纬度北纬30.31东经117.02安徽省蚌埠的经纬度北纬32.56东经117.21安徽省亳州的经纬度北纬33.52东经115.47安徽省巢湖的经纬度北纬31.36东经117.52安徽省滁州的经纬度北纬32.18东经118.18安徽省阜阳的经纬度北纬32.54东经115.48安徽省贵池的经纬度北纬30.39东经117.28安徽省淮北的经纬度北纬33.57东经116.47安徽省淮南的经纬度北纬32.37东经116.58安徽省黄山的经纬度北纬29.43东经118.18安徽省界首的经纬度北纬33.15东经115.21安徽省六安的经纬度北纬31.44东经116.28安徽省马鞍山的经纬度北纬31.43东经118.28安徽省明光的经纬度北纬32.47东经117.58安徽省宿州的经纬度北纬33.38东经116.58安徽省天长的经纬度北纬32.41东经118.59安徽省铜陵的经纬度北纬30.56东经117.48安徽省芜湖的经纬度北纬31.19东经118.22安徽省宣州的经纬度北纬30.57东经118.44澳门澳门的经纬度北纬21.33东经115.07北京市北京的经纬度北纬39.55东经116.24福建省福州的经纬度北纬26.05东经119.18福建省长乐的经纬度北纬25.58东经119.31福建省福安的经纬度北纬27.06东经119.39福建省福清的经纬度北纬25.42东经119.23福建省建瓯的经纬度北纬27.03东经118.20福建省建阳的经纬度北纬27.21东经118.07福建省晋江的经纬度北纬24.49东经118.35福建省龙海的经纬度北纬24.26东经117.48福建省龙岩的经纬度北纬25.06东经117.01福建省南安的经纬度北纬24.57东经118.23福建省南平的经纬度北纬26.38东经118.10福建省宁德的经纬度北纬26.39东经119.31福建省莆田的经纬度北纬24.26东经119.01福建省泉州的经纬度北纬24.56东经118.36福建省三明的经纬度北纬26.13东经117.36福建省邵武的经纬度北纬27.20东经117.29福建省石狮的经纬度北纬24.44东经118.38福建省武夷山的经纬度北纬27.46东经118.02福建省厦门的经纬度北纬24.27东经118.06福建省永安的经纬度北纬25.58东经117.23福建省漳平的经纬度北纬25.17东经117.24福建省漳州的经纬度北纬24.31东经117.39甘肃省兰州的经纬度北纬36.04东经103.51甘肃省白银的经纬度北纬36.33东经104.12甘肃省敦煌的经纬度北纬40.08东经94.41甘肃省嘉峪关的经纬度北纬39.48东经98.14甘肃省金昌的经纬度北纬38.28东经102.10甘肃省酒泉的经纬度北纬39.44东经98.31甘肃省临夏的经纬度北纬35.37东经103.12甘肃省平凉的经纬度北纬35.32东经106.40甘肃省天水的经纬度北纬34.37东经105.42甘肃省武威的经纬度北纬37.56东经102.39甘肃省西峰的经纬度北纬35.45东经107.40甘肃省玉门的经纬度北纬39.49东经97.35甘肃省张掖的经纬度北纬38.56东经100.26广东省广州的经纬度北纬23.08东经113.14广东省潮阳的经纬度北纬23.16东经116.36广东省潮州的经纬度北纬23.40东经116.38广东省澄海的经纬度北纬23.28东经116.46广东省从化的经纬度北纬23.33东经113.33广东省东莞的经纬度北纬23.02东经113.45广东省恩平的经纬度北纬22.12东经112.19广东省佛山的经纬度北纬23.02东经113.06广东省高明的经纬度北纬22.53东经112.50广东省高要的经纬度北纬23.02东经112.26广东省高州的经纬度北纬21.54东经110.50广东省鹤山的经纬度北纬22.46东经112.57广东省河源的经纬度北纬23.43东经114.41广东省花都的经纬度北纬23.23东经113.12广东省化州的经纬度北纬21.39东经110.37广东省惠阳的经纬度北纬22.48东经114.28广东省惠州的经纬度北纬23.05东经114.22广东省江门的经纬度北纬22.35东经113.04广东省揭阳的经纬度北纬22.32东经116.21广东省开平的经纬度北纬22.22东经112.40广东省乐昌的经纬度北纬25.09东经113.21广东省雷州的经纬度北纬20.54东经110.04广东省廉江的经纬度北纬21.37东经110.17广东省连州的经纬度北纬24.48东经112.23广东省罗定的经纬度北纬22.46东经111.33广东省茂名的经纬度北纬21.40东经110.53广东省梅州的经纬度北纬24.19东经116.07广东省南海的经纬度北纬23.01东经113.09广东省番禺的经纬度北纬22.57东经113.22广东省普宁的经纬度北纬23.18东经116.10广东省清远的经纬度北纬23.42东经113.01广东省三水的经纬度北纬23.10东经112.52广东省汕头的经纬度北纬23.22东经116.41广东省汕尾的经纬度北纬22.47东经115.21广东省韶关的经纬度北纬24.48东经113.37广东省深圳的经纬度北纬22.33东经114.07广东省顺德的经纬度北纬22.50东经113.15广东省四会的经纬度北纬23.21东经112.41广东省台山的经纬度北纬22.15东经112.48广东省吴川的经纬度北纬21.26东经110.47广东省新会的经纬度北纬22.32东经113.01广东省兴宁的经纬度北纬24.09东经115.43广东省阳春的经纬度北纬22.10东经111.48广东省阳江的经纬度北纬21.50东经111.58广东省英德的经纬度北纬24.10东经113.22广东省云浮的经纬度北纬22.57东经112.02广东省增城的经纬度北纬23.18东经113.49广东省湛江的经纬度北纬21.11东经110.24广东省肇庆的经纬度北纬23.03东经112.27广东省中山的经纬度北纬22.31东经113.22广东省珠海的经纬度北纬22.17东经113.34广西自治区南宁的经纬度北纬22.48东经108.19广西自治区北海的经纬度北纬21.28东经109.07广西自治区北流的经纬度北纬22.42东经110.21广西自治区百色的经纬度北纬23.54东经106.36广西自治区防城港的经纬度北纬21.37东经108.20广西自治区贵港的经纬度北纬23.06东经109.36广西自治区桂林的经纬度北纬25.17东经110.17广西自治区桂平的经纬度北纬23.22东经110.04广西自治区河池的经纬度北纬24.42东经108.03广西自治区合山的经纬度北纬23.47东经108.52广西自治区柳州的经纬度北纬23.19东经109.24广西自治区赁祥的经纬度北纬22.07东经106.44广西自治区钦州的经纬度北纬21.57东经108.37广西自治区梧州的经纬度北纬23.29东经111.20广西自治区玉林的经纬度北纬22.38东经110.09广西自治区宜州的经纬度北纬24.28东经108.40贵州省贵阳的经纬度北纬26.35东经106.42贵州省安顺的经纬度北纬26.14东经105.55贵州省毕节的经纬度北纬27.18东经105.18贵州省赤水的经纬度北纬28.34东经105.42贵州省都匀的经纬度北纬26.15东经107.31贵州省凯里的经纬度北纬26.35东经107.58贵州省六盘水的经纬度北纬26.35东经104.50贵州省清镇的经纬度北纬26.33东经106.27贵州省铜仁的经纬度北纬27.43东经109.12贵州省兴义的经纬度北纬25.05东经104.53贵州省遵义的经纬度北纬27.42东经106.55海南省海口的经纬度北纬20.02东经110.20海南省儋州的经纬度北纬19.31东经109.34海南省琼海的经纬度北纬19.14东经110.28海南省琼山的经纬度北纬19.59东经110.21海南省三亚的经纬度北纬18.14东经109.31海南省通什的经纬度北纬18.46东经109.31河北省石家庄的经纬度北纬38.02东经114.30河北省保定的经纬度北纬38.51东经115.30河北省霸州的经纬度北纬39.06东经116.24河北省泊头的经纬度北纬38.04东经116.34河北省沧州的经纬度北纬38.18东经116.52河北省承德的经纬度北纬40.59东经117.57河北省定州的经纬度北纬38.30东经115.00河北省丰南的经纬度北纬39.34东经118.06河北省高碑店的经纬度北纬39.20东经115.51河北省蒿城的经纬度北纬38.02东经114.50河北省邯郸的经纬度北纬36.36东经114.28河北省河间的经纬度北纬38.26东经116.05河北省衡水的经纬度北纬37.44东经115.42河北省黄骅的经纬度北纬38.21东经117.21河北省晋州的经纬度北纬38.02东经115.02河北省冀州的经纬度北纬37.34东经115.33河北省廓坊的经纬度北纬39.31东经116.42河北省鹿泉的经纬度北纬38.04东经114.19河北省南宫的经纬度北纬37.22东经115.23河北省秦皇岛的经纬度北纬39.55东经119.35河北省任丘的经纬度北纬38.42东经116.07河北省三河的经纬度北纬39.58东经117.04河北省沙河的经纬度北纬36.51东经114.30河北省深州的经纬度北纬38.01东经115.32河北省唐山的经纬度北纬39.36东经118.11河北省武安的经纬度北纬36.42东经114.11河北省邢台的经纬度北纬37.04东经114.30河北省辛集的经纬度北纬37.54东经115.12河北省新乐的经纬度北纬38.20东经114.41河北省涿州的经纬度北纬39.29东经115.59河北省遵化的经纬度北纬40.11东经117.58河南省郑州的经纬度北纬34.46东经11340河南省安阳的经纬度北纬36.06东经114.21河南省长葛的经纬度北纬34.12东经113.47河南省登封的经纬度北纬34.27东经113.02河南省邓州的经纬度北纬32.42东经112.05河南省巩义的经纬度北纬34.46东经112.58河南省鹤壁的经纬度北纬35.54东经114.11河南省辉县的经纬度北纬35.27东经113.47河南省焦作的经纬度北纬35.14东经113.12河南省济源的经纬度北纬35.04东经112.35河南省开封的经纬度北纬34.47东经114.21河南省灵宝的经纬度北纬34.31东经110.52河南省林州的经纬度北纬36.03东经113.49河南省漯河的经纬度北纬33.33东经114.02河南省洛阳的经纬度北纬34.41东经112.27河南省南阳的经纬度北纬33.00东经112.32河南省平顶山的经纬度北纬33.44东经113.17河南省濮阳的经纬度北纬35.44东经115.01河南省沁阳的经纬度北纬35.05东经112.57河南省汝州的经纬度北纬34.09东经112.50河南省三门峡的经纬度北纬34.47东经111.12河南省商丘的经纬度北纬34.26东经115.38河南省卫辉的经纬度北纬35.24东经114.03河南省舞钢的经纬度北纬33.17东经113.30河南省项城的经纬度北纬33.26东经114.54河南省荥阳的经纬度北纬34.46东经113.21河南省新密的经纬度北纬34.31东经113.22河南省新乡的经纬度北纬35.18东经113.52河南省新郑的经纬度北纬34.24东经113.43河南省许昌的经纬度北纬34.01东经113.49河南省偃师的经纬度北纬34.43东经112.47河南省义马的经纬度北纬34.43东经111.55河南省禹州的经纬度北纬34.09东经113.28河南省周口的经纬度北纬33.37东经114.38河南省驻马店的经纬度北纬32.58东经114.01黑龙江省哈尔滨的经纬度北纬45.44东经126.36黑龙江省阿城的经纬度北纬45.32东经126.58黑龙江省安达的经纬度北纬46.24东经125.18黑龙江省北安的经纬度北纬48.15东经126.31黑龙江省大庆的经纬度北纬46.36东经125.01黑龙江省富锦的经纬度北纬47.15东经132.02黑龙江省海林的经纬度北纬44.35东经129.21黑龙江省海伦的经纬度北纬47.28东经126.57黑龙江省鹤岗的经纬度北纬47.20东经130.16黑龙江省黑河的经纬度北纬50.14东经127.29黑龙江省佳木斯的经纬度北纬46.47东经130.22黑龙江省鸡西的经纬度北纬45.17东经130.57黑龙江省密山的经纬度北纬45.32东经131.50黑龙江省牡丹江的经纬度北纬44.35东经129.36黑龙江省讷河的经纬度北纬48.29东经124.51黑龙江省宁安的经纬度北纬44.21东经129.28黑龙江省齐齐哈尔的经纬度北纬47.20东经123.57黑龙江省七台河的经纬度北纬45.48东经130.49黑龙江省双城的经纬度北纬45.22东经126.15黑龙江省尚志的经纬度北纬45.14东经127.55黑龙江省双鸭山的经纬度北纬46.38东经131.11黑龙江省绥芬河的经纬度北纬44.25东经131.11黑龙江省绥化的经纬度北纬46.38东经126.59黑龙江省铁力的经纬度北纬46.59东经128.01黑龙江省同江的经纬度北纬47.39东经132.30黑龙江省五常的经纬度北纬44.55东经127.11黑龙江省五大连池的经纬度北纬48.38东经126.07黑龙江省伊春的经纬度北纬47.42东经128.56黑龙江省肇东的经纬度北纬46.04东经125.58湖北省武汉的经纬度北纬30.35东经114.17湖北省安陆的经纬度北纬31.15东经113.41湖北省当阳的经纬度北纬30.50东经111.47湖北省丹江口的经纬度北纬32.33东经108.30湖北省大冶的经纬度北纬30.06东经114.58湖北省恩施的经纬度北纬30.16东经109.29湖北省鄂州的经纬度北纬30.23东经114.52湖北省广水的经纬度北纬31.37东经113.48湖北省洪湖的经纬度北纬29.48东经113.27湖北省黄石的经纬度北纬30.12东经115.06湖北省黄州的经纬度北纬30.27东经114.52湖北省荆门的经纬度北纬31.02东经112.12湖北省荆沙的经纬度北纬30.18东经112.16湖北省老河口的经纬度北纬32.23东经111.40湖北省利川的经纬度北纬30.18东经108.56湖北省麻城的经纬度北纬31.10东经115.01湖北省浦圻的经纬度北纬29.42东经113.51湖北省潜江的经纬度北纬30.26东经112.53湖北省石首的经纬度北纬29.43东经112.24湖北省十堰的经纬度北纬32.40东经110.47湖北省随州的经纬度北纬31.42东经113.22湖北省天门的经纬度北纬60.39东经113.10湖北省武穴的经纬度北纬29.51东经115.33湖北省襄樊的经纬度北纬32.02东经112.08湖北省咸宁的经纬度北纬29.53东经114.17湖北省仙桃的经纬度北纬30.22东经113.27湖北省孝感的经纬度北纬30.56东经113.54湖北省宜昌的经纬度北纬30.42东经111.17湖北省宜城的经纬度北纬31.42东经112.15湖北省应城的经纬度北纬30.57东经113.33湖北省枣阳的经纬度北纬32.07东经112.44湖北省枝城的经纬度北纬30.23东经111.27湖北省钟祥的经纬度北纬31.10东经112.34湖南省长沙的经纬度北纬28.12东经112.59湖南省常德的经纬度北纬29.02东经111.51湖南省郴州的经纬度北纬25.46东经113.02湖南省衡阳的经纬度北纬26.53东经112.37湖南省洪江的经纬度北纬27.07东经109.59湖南省怀化的经纬度北纬27.33东经109.58湖南省津市的经纬度北纬29.38东经111.52湖南省吉首的经纬度北纬28.18东经109.43湖南省耒阳的经纬度北纬26.24东经112.51湖南省冷水江的经纬度北纬27.42东经111.26湖南省冷水滩的经纬度北纬26.26东经111.35湖南省涟源的经纬度北纬27.41东经111.41湖南省醴陵的经纬度北纬27.40东经113.30湖南省临湘的经纬度北纬29.29东经113.27湖南省浏阳的经纬度北纬28.09东经113.37湖南省娄底的经纬度北纬27.44东经111.59湖南省汨罗的经纬度北纬28.49东经113.03湖南省韶山的经纬度北纬27.54东经112.29湖南省邵阳的经纬度北纬27.14东经111.28湖南省武冈的经纬度北纬26.43东经110.37湖南省湘潭的经纬度北纬27.52东经112.53湖南省湘乡的经纬度北纬27.44东经112.31湖南省益阳的经纬度北纬28.36东经112.20湖南省永州的经纬度北纬26.13东经111.37湖南省沅江的经纬度北纬28.50东经112.22湖南省岳阳的经纬度北纬29.22东经113.06湖南省张家界的经纬度北纬29.08东经110.29湖南省株洲的经纬度北纬27.51东经113.09湖南省资兴的经纬度北纬25.58东经113.13吉林省长春的经纬度北纬43.54东经125.19吉林省白城的经纬度北纬45.38东经122.50吉林省白山的经纬度北纬41.56东经126.26吉林省大安的经纬度北纬45.30东经124.18吉林省德惠的经纬度北纬44.32东经125.42吉林省敦化的经纬度北纬43.22东经128.13吉林省公主岭的经纬度北纬43.31东经124.49吉林省和龙的经纬度北纬42.32东经129.00吉林省桦甸的经纬度北纬42.58东经126.44吉林省珲春的经纬度北纬42.52东经130.22吉林省集安的经纬度北纬41.08东经126.11吉林省蛟河的经纬度北纬43.42东经127.21吉林省吉林的经纬度北纬43.52东经126.33吉林省九台的经纬度北纬44.09东经125.51吉林省辽源的经纬度北纬42.54东经125.09吉林省临江的经纬度北纬41.49东经126.53吉林省龙井的经纬度北纬42.46东经129.26吉林省梅河口的经纬度北纬42.32东经125.40吉林省舒兰的经纬度北纬44.24东经126.57吉林省四平的经纬度北纬43.10东经124.22吉林省松原的经纬度北纬45.11东经124.49吉林省洮南的经纬度北纬45.20东经122.47吉林省通化的经纬度北纬41.43东经125.56吉林省图们的经纬度北纬42.57东经129.51吉林省延吉的经纬度北纬42.54东经129.30吉林省愉树的经纬度北纬44.49东经126.32江苏省南京的经纬度北纬32.03东经118.46江苏省常熟的经纬度北纬31.39东经120.43江苏省常州的经纬度北纬31.47东经119.58江苏省丹阳的经纬度北纬32.00东经119.32江苏省东台的经纬度北纬32.51东经120.19江苏省高邮的经纬度北纬32.47东经119.27江苏省海门的经纬度北纬31.53东经121.09江苏省淮安的经纬度北纬33.30东经119.09江苏省淮阴的经纬度北纬33.36东经119.02江苏省江都的经纬度北纬32.26东经119.32江苏省姜堰的经纬度北纬32.34东经120.08江苏省江阴的经纬度北纬31.54东经120.17江苏省靖江的经纬度北纬32.02东经120.17江苏省金坛的经纬度北纬31.46东经119.33江苏省昆山的经纬度北纬31.23东经120.57江苏省连去港的经纬度北纬34.36东经119.10江苏省溧阳的经纬度北纬31.26东经119.29江苏省南通的经纬度北纬32.01东经120.51江苏省邳州的经纬度北纬34.19东经117.59江苏省启乐的经纬度北纬31.48东经121.39江苏省如皋的经纬度北纬32.23东经120.33江苏省宿迁的经纬度北纬33.58东经118.18江苏省苏州的经纬度北纬31.19东经120.37江苏省泰兴的经纬度北纬32.10东经120.01江苏省泰州的经纬度北纬32.30东经119.54江苏省通州的经纬度北纬32.05东经121.03江苏省吴江的经纬度北纬31.10东经120.39江苏省无锡的经纬度北纬31.34东经120.18江苏省兴化的经纬度北纬32.56东经119.50江苏省新沂的经纬度北纬34.22东经118.20江苏省徐州的经纬度北纬34.15东经117.11江苏省盐在的经纬度北纬33.22东经120.08江苏省扬中的经纬度北纬32.14东经119.49江苏省扬州的经纬度北纬32.23东经119.26江苏省宜兴的经纬度北纬31.21东经119.49江苏省仪征的经纬度北纬32.16东经119.10江苏省张家港的经纬度北纬31.52东经120.32江苏省镇江的经纬度北纬32.11东经119.27江西省南昌的经纬度北纬28.40东经115.55江西省德兴的经纬度北纬28.57东经117.35江西省丰城的经纬度北纬28.12东经115.48江西省赣州的经纬度北纬28.52东经114.56江西省高安的经纬度北纬28.25东经115.22江西省吉安的经纬度北纬27.07东经114.58江西省景德镇的经纬度北纬29.17东经117.13江西省井冈山的经纬度北纬26.34东经114.10江西省九江的经纬度北纬29.43东经115.58江西省乐平的经纬度北纬28.58东经117.08江西省临川的经纬度北纬27.59东经116.21江西省萍乡的经纬度北纬27.37东经113.50江西省瑞昌的经纬度北纬29.40东经115.38江西省瑞金的经纬度北纬25.53东经116.01江西省新余的经纬度北纬27.48东经114.56江西省宜春的经纬度北纬27.47东经114.23江西省鹰潭的经纬度北纬28.14东经117.03江西省樟树的经纬度北纬28.03东经115.32辽宁省沈阳的经纬度北纬41.48东经123.25辽宁省鞍山的经纬度北纬41.07东经123.00辽宁省北票的经纬度北纬41.48东经120.47辽宁省本溪的经纬度北纬41.18东经123.46辽宁省朝阳的经纬度北纬41.34东经120.27辽宁省大连的经纬度北纬38.55东经121.36辽宁省丹东的经纬度北纬40.08东经124.22辽宁省大石桥的经纬度北纬40.37东经122.31辽宁省东港的经纬度北纬39.53东经124.08辽宁省凤城的经纬度北纬40.28东经124.02辽宁省抚顺的经纬度北纬41.51东经123.54辽宁省阜新的经纬度北纬42.01东经121.39辽宁省盖州的经纬度北纬40.24东经122.21辽宁省海城的经纬度北纬40.51东经122.43辽宁省葫芦岛的经纬度北纬40.45东经120.51辽宁省锦州的经纬度北纬41.07东经121.09辽宁省开原的经纬度北纬42.32东经124.02辽宁省辽阳的经纬度北纬41.16东经123.12辽宁省凌海的经纬度北纬41.10东经121.21辽宁省凌源的经纬度北纬41.14东经119.22辽宁省盘锦的经纬度北纬41.07东经122.03辽宁省普兰店的经纬度北纬39.23东经121.58辽宁省铁法的经纬度北纬42.28东经123.32辽宁省铁岭的经纬度北纬42.18东经123.51辽宁省瓦房店的经纬度北纬39.37东经122.00辽宁省兴城的经纬度北纬40.37东经120.41辽宁省新民的经纬度北纬41.59东经122.49辽宁省营口的经纬度北纬40.39东经122.13辽宁省庄河的经纬度北纬39.41东经122.58内蒙古自治区呼和浩特的经纬度北纬40.48东经111.41内蒙古自治区包头的经纬度北纬40.39东经109.49内蒙古自治区赤峰的经纬度北纬42.17东经118.58内蒙古自治区东胜的经纬度北纬39.48东经109.59内蒙古自治区二连浩特的经纬度北纬43.38东经111.58内蒙古自治区额尔古纳的经纬度北纬50.13东经120.11内蒙古自治区丰镇的经纬度北纬40.27东经113.09内蒙古自治区根河的经纬度北纬50.48东经121.29内蒙古自治区海拉尔的经纬度北纬49.12东经119.39内蒙古自治区霍林郭勒的经纬度北纬45.32东经119.38内蒙古自治区集宁的经纬度北纬41.02东经113.06内蒙古自治区临河的经纬度北纬40.46东经107.22内蒙古自治区满洲里的经纬度北纬49.35东经117.23内蒙古自治区通辽的经纬度北纬43.37东经122.16内蒙古自治区乌兰浩特的经纬度北纬46.03东经122.03内蒙古自治区乌海的经纬度北纬39.40东经106.48内蒙古自治区锡林浩特的经纬度北纬43.57东经116.03内蒙古自治区牙克石的经纬度北纬49.17东经120.40内蒙古自治区扎兰屯的经纬度北纬48.00东经122.47宁夏自治区银川的经纬度北纬38.27东经106.16宁夏自治区青铜峡的经纬度北纬37.56东经105.59宁夏自治区石嘴山的经纬度北纬39.02东经106.22宁夏自治区吴忠的经纬度北纬37.59东经106.11青海省西宁的经纬度北纬36.38东经101.48青海省德令哈的经纬度北纬37.22东经97.23青海省格尔木的经纬度北纬36.26东经94.55山东省济南的经纬度北纬36.40东经117.00山东省安丘的经纬度北纬36.25东经119.12山东省滨州的经纬度北纬37.22东经118.02山东省昌邑的经纬度北纬39.52东经119.24山东省德州的经纬度北纬37.26东经116.17山东省东营的经纬度北纬37.27东经118.30山东省肥城的经纬度北纬36.14东经116.46山东省高密的经纬度北纬36.22东经119.44山东省菏泽的经纬度北纬35.14东经115.26山东省胶南的经纬度北纬35.53东经119.58山东省胶州的经纬度北纬36.17东经120.00山东省即墨的经纬度北纬36.22东经120.28山东省济宁的经纬度北纬35.23东经116.33山东省莱芜的经纬度北纬36.12东经117.40山东省莱西的经纬度北纬36.52东经120.31山东省莱阳的经纬度北纬36.58东经120.42山东省莱州的经纬度北纬37.10东经119.57山东省聊城的经纬度北纬36.26东经115.57山东省临清的经纬度北纬36.51东经115.42山东省临沂的经纬度北纬35.03东经118.20山东省龙口的经纬度北纬37.39东经120.21山东省蓬莱的经纬度北纬37.48东经120.45山东省平度的经纬度北纬36.47东经119.58山东省青岛的经纬度北纬36.03东经120.18山东省青州的经纬度北纬36.42东经118.28山东省曲阜的经纬度北纬35.36东经116.58山东省日照的经纬度北纬35.23东经119.32山东省荣成的经纬度北纬37.10东经122.25山东省乳山的经纬度北纬36.54东经121.31山东省寿光的经纬度北纬36.53东经118.44山东省泰安的经纬度北纬36.11东经117.08山东省滕州的经纬度北纬35.06东经117.09山东省潍坊的经纬度北纬36.43东经119.06山东省威海的经纬度北纬37.31东经122.07山东省文登的经纬度北纬37.12东经122.03山东省新泰的经纬度北纬35.54东经117.45山东省烟台的经纬度北纬37.32东经121.24山东省兖州的经纬度北纬35.32东经116.49山东省禹城的经纬度北纬36.56东经116.39山东省枣庄的经纬度北纬34.52东经117.33山东省章丘的经纬度北纬36.43东经117.32山东省招远的经纬度北纬37.21东经120.23山东省诸城的经纬度北纬35.59东经119.24山东省淄博的经纬度北纬36.48东经118.03山西省太原的经纬度北纬37.54东经112.33山西省长治的经纬度北纬36.11东经113.06山西省大同的经纬度北纬40.06东经113.17山西省高平的经纬度北纬35.48东经112.55山西省古交的经纬度北纬37.54东经112.09山西省河津的经纬度北纬35.35东经110.41山西省侯马的经纬度北纬35.37东经111.21山西省霍州的经纬度北纬36.34东经111.42山西省介休的经纬度北纬37.02东经111.55山西省晋城的经纬度北纬35.30东经112.51山西省临汾的经纬度北纬36.05东经111.31山西省潞城的经纬度北纬36.21东经113.14山西省朔州的经纬度北纬39.19东经112.26山西省孝义的经纬度北纬37.08东经111.48山西省忻州的经纬度北纬38.24东经112.43山西省阳泉的经纬度北纬37.51东经113.34山西省永济的经纬度北纬34.52东经110.27山西省原平的经纬度北纬38.43东经112.42山西省榆次的经纬度北纬37.41东经112.43山西省运城的经纬度北纬35.02东经110.59陕西省西安的经纬度北纬34.17东经108.57陕西省安康的经纬度北纬32.41东经109.01陕西省宝鸡的经纬度北纬34.22东经107.09陕西省韩城的经纬度北纬35.28东经110.27陕西省汉中的经纬度北纬33.04东经107.01陕西省华阴的经纬度北纬34.34东经110.05陕西省商州的经纬度北纬33.52东经109.57陕西省铜川的经纬度北纬35.06东经109.07陕西省渭南的经纬度北纬34.30东经109.30陕西省咸阳的经纬度北纬34.20东经108.43陕西省兴平的经纬度北纬34.18东经108.29陕西省延安的经纬度北纬36.35东经109.28陕西省榆林的经纬度北纬38.18东经109.47上海市上海的经纬度北纬31.14东经121.29四川省成都的经纬度北纬30.40东经104.04四川省巴中的经纬度北纬31.51东经106.43四川省崇州的经纬度北纬30.39东经103.40四川省达川的经纬度北纬31.14东经107.29四川省德阳的经纬度北纬31.09东经104.22四川省都江堰的经纬度北纬31.01东经103.37四川省峨眉山的经纬度北纬29.36东经103.29四川省涪陵的经纬度北纬29.42东经107.22四川省广汉的经纬度北纬30.58东经104.15四川省广元的经纬度北纬32.28东经105.51四川省华蓥的经纬度北纬30.26东经106.44四川省简阳的经纬度北纬30.24东经104.32四川省江油的经纬度北纬31.48东经104.42四川省阆中的经纬度北纬31.36东经105.58四川省乐山的经纬度北纬29.36东经103.44四川省泸州的经纬度北纬28.54东经105.24四川省绵阳的经纬度北纬31.30东经104.42四川省南充的经纬度北纬30.49东经106.04四川省内江的经纬度北纬29.36东经105.02四川省攀枝花的经纬度北纬26.34东经101.43四川省彭州的经纬度北纬30.59东经103.57四川省邛崃的经纬度北纬30.26东经103.28四川省遂宁的经纬度北纬30.31东经105.33。
中国主要城市经纬度查询2021-03-261 中国主要城市经纬度查询【直辖市】北京市北纬39°55 东经116°24 上海市北纬31°14 东经121°29 天津市北纬39°02 东经117°12 重庆市北纬29°35 东经106°33 (重庆市各区)合川市北纬30°02东经106°15 江津市北纬29°18 东经106°16 南川市北纬29°10 东经107°05 永川市北纬29°23 东经105°53【安徽省】合肥北纬31°52 东经117°17 安庆北纬30°31 东经117°02 蚌埠北纬32°56 东经117°21 亳州北纬33°52 东经115°47 巢湖北纬31°36 东经117°52 滁州北纬32°18 东经118°18 阜阳北纬32°54 东经115°48 贵池北纬30°39 东经117°28 淮北北纬33°57 东经116°47 淮南北纬32°37 东经116°58 黄山北纬29°43 东经118°18 界首北纬33°15 东经115°21 六安北纬31°44 东经116°28 马鞍山北纬31°43 东经118°28 明光北纬32°47 东经117°58 宿州北纬33°38 东经116°58 天长北纬32°41 东经118°59 铜陵北纬30°56 东经117°48 芜湖北纬31°19 东经118°22 宣州北纬30°57 东经118°44【福建省】福州北纬26°05 东经119°18 长乐北纬25°58 东经119°31 福安北纬27°06 东经119°39 福清北纬25°42 东经119°23 建瓯北纬27°03 东经118°20 建阳北纬27°21 东经118°07 晋江北纬24°49 东经118°35 龙海北纬24°26 东经117°48 龙岩北纬25°06 东经117°01 南安北纬24°57 东经118°23 南平北纬26°38 东经118°10 宁德北纬26°39 东经119°31 莆田北纬24°26 东经119°01 泉州北纬24°56 东经118°36 三明北纬26°13 东经117°36 邵武北纬27°20 东经117°29 石狮北纬24°44 东经118°38 武夷山北纬27°46 东经118°02 厦门北纬24°27 东经118°06 永安北纬25°58 东经117°23 漳平北纬25°17 东经117°24 漳州北纬24°31 东经117°39【广东省】广州北纬23°08 东经113°14 潮阳北纬23°16 东经116°36 潮州北纬23°40 东经116°38 澄海北纬23°28 东经116°46 从化北纬23°33 东经113°33 东莞北纬23°02 东经113°45 恩平北纬22°12 东经112°19 佛山北纬23°02 东经113°06 高明北纬22°53 东经112°50 高要北纬23°02 东经112°26 高州北纬21°54 东经110°50 鹤山北纬22°46东经112°57 河源北纬23°43 东经114°41 花都北纬23°23 东经113°12 化州北纬21°39 东经110°37 惠阳北纬22°48 东经114°28 惠州北纬23°05 东经114°22 江门北纬22°35 东经113°04 揭阳北纬22°32 东经116°21 开平北纬22°22 东经112°402 乐昌北纬25°09 东经113°21 雷州北纬20°54 东经110°04 廉江北纬21°37 东经110°17 连州北纬24°48 东经112°23 罗定北纬22°46 东经111°33 茂名北纬21°40 东经110°53 梅州北纬24°19 东经116°07 南海北纬23°01 东经113°09 番禺北纬22°57 东经113°22 普宁北纬23°18 东经116°10 清远北纬23°42 东经113°01 三水北纬23°10 东经112°52 汕头北纬23°22 东经116°41 汕尾北纬22°47 东经115°21 韶关北纬24°48 东经113°37 深圳北纬22°33 东经114°07 顺德北纬22°50 东经113°15 四会北纬23°21 东经112°41 台山北纬22°15 东经112°48 吴川北纬21°26 东经110°47 新会北纬22°32 东经113°01 兴宁北纬24°09 东经115°43 阳春北纬22°10 东经111°48 阳江北纬21°50 东经111°58 英德北纬24°10 东经113°22 云浮北纬22°57 东经112°02 增城北纬23°18 东经113°49 湛江北纬21°11 东经110°24 肇庆北纬23°03 东经112°27 中山北纬22°31 东经113°22 珠海北纬22°17 东经113°34【广西壮族自治区】南宁北纬22°48 东经108°19 北海北纬21°28 东经109°07 北流北纬22°42 东经110°21 百色北纬23°54 东经106°36 防城港北纬21°37 东经108°20 贵港北纬23°06 东经109°36 桂林北纬25°17 东经110°17 桂平北纬23°22 东经110°04 河池北纬24°42 东经108°03 合山北纬23°47 东经108°52 柳州北纬23°19 东经109°24 赁祥北纬22°07 东经106°44 钦州北纬21°57东经108°37 梧州北纬23°29 东经111°20 玉林北纬22°38 东经110°09 宜州北纬24°28 东经108°40【贵州省】贵阳北纬26°35 东经106°42 安顺北纬26°14 东经105°55 毕节北纬27°18 东经105°18 赤水北纬28°34 东经105°42 都匀北纬26°15 东经107°31 凯里北纬26°35 东经107°58 六盘水北纬26°35 东经104°50 清镇北纬26°33 东经106°27 铜仁北纬27°43 东经109°12 兴义北纬25°05 东经104°53 遵义北纬27°42 东经106°55【甘肃省】兰州北纬36°04 东经103°51 白银北纬36°33 东经104°12敦煌北纬40°08 东经94°41 嘉峪关北纬39°48 东经98°14 金昌北纬38°28 东经102°10 酒泉北纬39°44 东经98°31 临夏北纬35°37 东经103°12 平凉北纬35°32 东经106°40 天水北纬34°37 东经105°42 武威北纬37°56 东经102°39 西峰北纬35°45 东经107°40 玉门北纬39°49 东经97°35 张掖北纬38°56 东经100°26 【湖北省】武汉北纬30°35 东经114°17 安陆北纬31°15 东经113°41 当阳北纬30°50 东经111°473 丹江口北纬32°33 东经108°30 大冶北纬30°06 东经114°58 恩施北纬30°16 东经109°29 鄂州北纬30°23 东经114°52 广水北纬31°37 东经113°48 洪湖北纬29°48 东经113°27 黄石北纬30°12 东经115°06 黄州北纬30°27 东经114°52 荆门北纬31°02 东经112°12荆沙北纬30°18 东经112°16 老河口北纬32°23 东经111°40 利川北纬30°18 东经108°56 麻城北纬31°10 东经115°01 浦圻北纬29°42 东经113°51 潜江北纬30°26 东经112°53 石首北纬29°43 东经112°24 十堰北纬32°40 东经110°47 随州北纬31°42 东经113°22 天门北纬30°39 东经113°10 武穴北纬29°51 东经115°33 襄樊北纬32°02 东经112°08 咸宁北纬29°53 东经114°17 仙桃北纬30°22 东经113°27 孝感北纬30°56 东经113°54 宜昌北纬30°42 东经111°17 宜城北纬31°42 东经112°15 应城北纬30°57 东经113°33 枣阳北纬32°07 东经112°44 枝城北纬30°23 东经111°27 钟祥北纬31°10 东经112°34【湖南省】长沙北纬28°12 东经112°59 常德北纬29°02 东经111°51 郴州北纬25°46 东经113°02 衡阳北纬26°53 东经112°37 洪江北纬27°07 东经109°59 怀化北纬27°33 东经109°58 津市北纬29°38 东经111°52 吉首北纬28°18 东经109°43 耒阳北纬26°24 东经112°51 冷水江北纬27°42 东经111°26 冷水滩北纬26°26 东经111°35 涟源北纬27°41 东经111°41 醴陵北纬27°40 东经113°30 临湘北纬29°29 东经113°27 浏阳北纬28°09 东经113°37 娄底北纬27°44 东经111°59 汨罗北纬28°49 东经113°03 韶山北纬27°54 东经112°29 邵阳北纬27°14 东经111°28 武冈北纬26°43 东经110°37 湘潭北纬27°52 东经112°53 湘乡北纬27°44 东经112°31 益阳北纬28°36 东经112°20 永州北纬26°13 东经111°37 沅江北纬28°50 东经112°22 岳阳北纬29°22 东经113°06 张家界北纬29°08 东经110°29 株洲北纬27°51 东经113°09 资兴北纬25°58 东经113°13 【河北省】石家庄北纬38°02 东经114°30 安国北纬38°24 东经115°20 保定北纬38°51 东经115°30 霸州北纬39°06 东经116°24 泊头北纬38°04 东经116°34 沧州北纬38°18 东经116°52 承德北纬40°59 东经117°57 定州北纬38°30 东经115°00 丰南北纬39°34 东经118°06 高碑店北纬39°20 东经115°51 蒿城北纬38°02 东经114°50 邯郸北纬36°36 东经114°28 河间北纬38°26 东经116°05 衡水北纬37°44 东经115°42 黄骅北纬38°21 东经117°21 晋州北纬38°02 东经115°02 冀州北纬37°34 东经115°33 廓坊北纬39°31 东经116°42 鹿泉北纬38°04 东经114°19 南宫北纬37°22 东经115°234 秦皇岛北纬39°55 东经119°35 任丘北纬38°42 东经116°07 三河北纬39°58 东经117°04 沙河北纬36°51 东经114°30 深州北纬38°01 东经115°32 唐山北纬39°36 东经118°11 武安北纬36°42 东经114°11 邢台北纬37°04 东经114°30 辛集北纬37°54 东经115°12 新乐北纬38°20 东经114°41 张家口北纬40°48 东经114°53 涿州北纬39°29 东经115°59 遵化北纬40°11 东经117°58【河南省】郑州北纬34°46 东经113°40 安阳北纬36°06 东经114°21 长葛北纬34°12 东经113°47 登封北纬34°27 东经113°02 邓州北纬32°42 东经112°05 巩义北纬34°46 东经112°58 鹤壁北纬35°54 东经114°11 辉县北纬35°27 东经113°47 焦作北纬35°14 东经113°12 济源北纬35°04 东经112°35 开封北纬34°47 东经114°21 灵宝北纬34°31 东经110°52 林州北纬36°03 东经113°49 漯河北纬33°33 东经114°02 洛阳北纬34°41 东经112°27 南阳北纬33°00 东经112°32 平顶山北纬33°44 东经113°17 濮阳北纬35°44 东经115°01 沁阳北纬35°05 东经112°57 汝州北纬34°09 东经112°50 三门峡北纬34°47 东经111°12 商丘北纬34°26 东经115°38 卫辉北纬35°24 东经114°03 舞钢北纬33°17 东经113°30 项城北纬33°26 东经114°54 荥阳北纬34°46 东经113°21 新密北纬34°31 东经113°22 新乡北纬35°18 东经113°52 信阳北纬32°07 东经114°04 新郑北纬34°24 东经113°43 许昌北纬34°01 东经113°49 偃师北纬34°43 东经112°47 义马北纬34°43 东经111°55 禹州北纬34°09 东经113°28 周口北纬33°37 东经114°38 驻马店北纬32°58 东经114°01【黑龙江省】哈尔滨北纬45°44 东经126°36 阿城北纬45°32 东经126°58 安达北纬46°24 东经125°18 北安北纬48°15 东经126°31 大庆北纬46°36 东经125°01 富锦北纬47°15 东经132°02 海林北纬44°35 东经129°21 海伦北纬47°28 东经126°57 鹤岗北纬47°20 东经130°16 黑河北纬50°14 东经127°29 佳木斯北纬46°47 东经130°22 鸡西北纬45°17 东经130°57 密山北纬45°32 东经131°50 牡丹江北纬44°35 东经129°36 讷河北纬48°29 东经124°51 宁安北纬44°21 东经129°28 齐齐哈尔北纬47°20 东经123°57 七台河北纬45°48 东经130°49 双城北纬45°22东经126°15 尚志北纬45°14 东经127°55 双鸭山北纬46°38 东经131°11 绥芬河北纬44°25 东经131°11 绥化北纬46°38 东经126°59 铁力北纬46°59 东经128°01 同江北纬47°39 东经132°30 五常北纬44°55 东经127°11 五大连池北纬48°38 东经126°07 伊春北纬47°42 东经128°56 肇东北纬46°04 东经125°58【海南省】5 海口北纬20°02 东经110°20 儋州北纬19°31 东经109°34 琼海北纬19°14 东经110°28 琼山北纬19°59 东经110°21 三亚北纬18°14 东经109°31 通什北纬18°46 东经109°31 三沙北纬16°50 东经112°20 【吉林省】长春北纬43°54 东经125°19 白城北纬45°38 东经122°50 白山北纬41°56 东经126°26 大安北纬45°30 东经124°18 德惠北纬44°32 东经125°42敦化北纬43°22 东经128°13 公主岭北纬43°31 东经124°49 和龙北纬42°32 东经129°00 桦甸北纬42°58 东经126°44 珲春北纬42°52 东经130°22 集安北纬41°08 东经126°11 蛟河北纬43°42 东经127°21 吉林北纬43°52 东经126°33 九台北纬44°09 东经125°51 辽源北纬42°54 东经125°09 临江北纬41°49 东经126°53 龙井北纬42°46 东经129°26 梅河口北纬42°32 东经125°40 舒兰北纬44°24 东经126°57 四平北纬43°10 东经124°22 松原北纬45°11 东经124°49 洮南北纬45°20 东经122°47 通化北纬41°43 东经125°56 图们北纬42°57 东经129°51 延吉北纬42°54 东经129°30 愉树北纬44°49 东经126°32【江西省】南昌北纬28°40 东经115°55 德兴北纬28°57 东经117°35 丰城北纬28°12 东经115°48 赣州北纬28°52 东经114°56 高安北纬28°25 东经115°22 吉安北纬27°07 东经114°58 景德镇北纬29°17 东经117°13 井冈山北纬26°34 东经114°10 九江北纬29°43 东经115°58 乐平北纬28°58 东经117°08 临川北纬27°59 东经116°21 萍乡北纬27°37 东经113°50 瑞昌北纬29°40 东经115°38 瑞金北纬 25°53 东经116°01 上饶北纬25°27 东经117°58 新余北纬27°48 东经114°56 宜春北纬27°47 东经114°23 鹰潭北纬28°14 东经117°03 樟树北纬28°03 东经115°32【江苏省】南京北纬32°03 东经118°46 常熟北纬31°39 东经120°43 常州北纬31°47 东经119°58 丹阳北纬32°00 东经119°32 东台北纬32°51 东经120°19 高邮北纬32°47 东经 119°27 海门北纬31°53 东经121°09 淮安北纬33°30 东经119°09 淮阴北纬33°36 东经119°02 江都北纬32°26 东经119°32 姜堰北纬32°34 东经120°08 江阴北纬31°54 东经120°17 靖江北纬32°02 东经120°17 金坛北纬31°46 东经119°33 昆山北纬31°23 东经120°57 连去港北纬34°36 东经119°10 溧阳北纬31°26 东经119°29 南通北纬32°01 东经120°51 邳州北纬34°19 东经117°59 启乐北纬31°48 东经121°39 如皋北纬32°23 东经120°33 宿迁北纬33°58 东经118°18 苏州北纬31°19 东经120°37 太仓北纬31°27 东经121°06 泰兴北纬32°10 东经120°01 泰州北纬32°30 东经119°546 通州北纬32°05 东经121°03 吴江北纬31°10 东经120°39 无锡北纬31°34 东经120°18 兴化北纬32°56 东经119°50 新沂北纬34°22 东经118°20 徐州北纬34°15 东经117°11 盐在北纬33°22 东经120°08 扬中北纬32°14 东经119°49 扬州北纬32°23 东经119°26 宜兴北纬31°21 东经119°49 仪征北纬32°16 东经119°10 张家港北纬31°52 东经120°32 镇江北纬32°11 东经119°27【辽宁省】沈阳北纬41°48 东经123°25 鞍山北纬41°07 东经123°00 北票北纬41°48 东经120°47 本溪北纬41°18 东经123°46 朝阳北纬41°34 东经120°27 大连北纬38°55 东经121°36 丹东北纬40°08 东经124°22 大石桥北纬40°37 东经122°31 东港北纬39°53 东经124°08 凤城北纬40°28 东经124°02 抚顺北纬41°51 东经123°54 阜新北纬42°01 东经121°39 盖州北纬40°24 东经122°21 海城北纬40°51 东经122°43 葫芦岛北纬40°45 东经120°51 锦州北纬41°07 东经121°09 开原北纬42°32 东经124°02 辽阳北纬41°16 东经123°12 凌海北纬41°10 东经121°21 凌源北纬41°14 东经119°22 盘锦北纬41°07 东经122°03 普兰店北纬39°23 东经121°58 铁法北纬42°28 东经123°32 铁岭北纬42°18 东经123°51 瓦房店北纬39°37 东经122°00 兴城北纬40°37 东经120°41 新民北纬41°59 东经122°49 营口北纬40°39 东经122°13 庄河北纬39°41 东经122°58 【宁夏回族自治区】银川北纬38°27 东经106°16 青铜峡北纬37°56 东经105°59 石嘴山北纬39°02 东经106°22 吴忠北纬37°59 东经106°11【内蒙古自治区】呼和浩特北纬40°48 东经111°41 包头北纬40°39 东经 109°49 赤峰北纬42°17 东经118°58 东胜北纬39°48 东经109°59 二连浩特北纬43°38 东经111°58 额尔古纳北纬50°13 东经120°11 丰镇北纬40°27 东经113°09 根河北纬50°48 东经121°29 海拉尔北纬49°12 东经119°39 霍林郭勒北纬45°32 东经119°38 集宁北纬41°02 东经113°06 临河北纬40°46 东经107°22 满洲里北纬49°35 东经117°23 通辽北纬43°37 东经122°16 乌兰浩特北纬46°03 东经122°03 乌海北纬39°40 东经106°48 锡林浩特北纬43°57 东经116°03 牙克石北纬49°17 东经120°40 扎兰屯北纬48°00 东经122°47【青海省】西宁北纬36°38 东经101°48 德令哈北纬37°22 东经97°23 格尔木北纬36°26 东经94°55【四川省】成都北纬30°40 东经104°04 巴中北纬31°51 东经106°43 崇州北纬30°39 东经103°40 达川北纬31°14 东经107°29 德阳北纬31°09 东经104°227 都江堰北纬31°01 东经103°37 峨眉山北纬29°36 东经103°29 涪陵北纬29°42 东经107°22 广汉北纬30°58 东经104°15 广元北纬32°28 东经105°51 华蓥北纬30°26 东经106°44 简阳北纬30°24 东经104°32 江油北纬31°48 东经104°42 阆中北纬 31°36 东经105°58 乐山北纬29°36 东经103°44 泸州北纬28°54 东经105°24 绵阳北纬31°30 东经104°42 南充北纬30°49 东经106°04 内江北纬29°36 东经105°02 攀枝花北纬26°34 东经101°43 彭州北纬30°59 东经103°57 邛崃北纬30°26 东经103°28 遂宁北纬30°31 东经105°33 万县北纬30°50 东经108°21 万源北纬32°03 东经108°03 西昌北纬27°54 东经102°16 雅安北纬29°59 东经102°59 宜宾北纬28°47 东经104°34 自贡北纬29°23 东经104°46 资阳北纬30°09 东经104°38【山东省】济南北纬36°40 东经117°00 安丘北纬36°25 东经119°12 滨州北纬37°22 东经118°02 昌邑北纬39°52 东经119°24 德州北纬37°26 东经116°17 东营北纬37°27 东经118°30 肥城北纬36°14 东经116°46 高密北纬36°22 东经119°44 菏泽北纬35°14 东经115°26 胶南北纬35°53 东经119°58 胶州北纬36°17 东经120°00 即墨北纬36°22 东经120°28 济宁北纬35°23 东经116°33 莱芜北纬36°12 东经117°40 莱西北纬36°52 东经120°31 莱阳北纬36°58 东经120°42 莱州北纬37°10 东经119°57 乐陵北纬37°44 东经117°12 聊城北纬36°26 东经115°57 临清北纬36°51 东经115°42 临沂北纬35°03 东经118°20 龙口北纬37°39 东经120°21 蓬莱北纬37°48 东经120°45 平度北纬36°47 东经119°58 青岛北纬36°03 东经120°18 青州北纬36°42 东经118°28 曲阜北纬35°36 东经116°58 日照北纬35°23 东经119°32 荣成北纬37°10 东经122°25 乳山北纬36°54东经121°31 寿光北纬36°53 东经118°44 泰安北纬36°11 东经117°08 滕州北纬35°06 东经117°09 潍坊北纬36°43 东经119°06 威海北纬37°31 东经122°07 文登北纬37°12 东经122°03 新泰北纬35°54 东经117°45 烟台北纬37°32 东经121°24 兖州北纬35°32 东经116°49 禹城北纬36°56 东经116°39 枣庄北纬34°52 东经117°33 章丘北纬36°43 东经117°32 招远北纬37°21 东经120°23 诸城北纬35°59 东经119°24 淄博北纬36°48 东经118°03 邹城北纬35°24 东经116°58【山西省】中阳北纬37°37 东经112°17 太原北纬37°54 东经112°33 长治北纬36°11 东经113°06 大同北纬40°06 东经113°17 高平北纬35°48 东经112°55 古交北纬37°54 东经112°09 河津北纬35°35 东经110°41 侯马北纬35°37 东经111°218 霍州北纬36°34 东经111°42 介休北纬37°02 东经111°55 晋城北纬35°30 东经112°51 临汾北纬36°05 东经111°31 潞城北纬36°21 东经113°14 朔州北纬39°19 东经112°26 孝义北纬37°08 东经111°48 忻州北纬38°24 东经112°43 阳泉北纬37°51 东经113°34 永济北纬34°52 东经110°27 原平北纬38°43 东经112°42 榆次北纬37°41 东经112°43 运城北纬35°02 东经110°59 【陕西省】西安北纬34°17 东经108°57 安康北纬32°41 东经109°01 宝鸡北纬34°22 东经107°09 韩城北纬35°28 东经110°27 汉中北纬33°04 东经107°01 华阴北纬34°34 东经110°05 商州北纬33°52 东经109°57 铜川北纬35°06 东经109°07 渭南北纬34°30 东经109°30 咸阳北纬34°20 东经108°43 兴平北纬34°18 东经108°29 延安北纬36°35 东经109°28 榆林北纬38°18 东经109°47 【浙江省】杭州北纬30°16 东经120°10 慈溪北纬30°11 东经121°15 东阳北纬29°16 东经120°14 奉化北纬29°39 东经121°24 富阳北纬30°03 东经119°57 海宁北纬30°32 东经120°42 湖州北纬30°52 东经 120°06 建德北纬29°29 东经119°16 江山北纬28°45 东经118°37 嘉兴北纬30°46 东经120°45 金华北纬29°07 东经119°39 兰溪北纬29°12 东经119°28 临海北纬28°51 东经121°08 丽水北纬28°27 东经119°54 龙泉北纬28°04 东经119°08 宁波北纬29°52 东经121°33 平湖北纬30°42 东经121°01 衢州北纬28°58 东经118°52 瑞安北纬27°48 东经120°38 上虞北纬30°01 东经120°52 绍兴北纬30°00 东经120°34 台州北纬28°41 东经121°27 桐乡北纬30°38 东经120°32 温岭北纬28°22 东经121°21 温州北纬28°01 东经120°39 萧山北纬30°09 东经120°16 义乌北纬29°18 东经120°04 乐清北纬28°08 东经120°58 余杭北纬30°26 东经120°18 余姚北纬30°02 东经121°10 永康北纬29°54 东经120°01 舟山北纬30°01 东经122°06 诸暨北纬29°43 东经120°14【新疆维吾尔自治区】乌鲁木齐北纬43°45 东经87°36 阿克苏北纬41°09 东经80°19 阿勒泰北纬47°50 东经88°12 阿图什北纬39°42 东经76°08 博乐北纬44°57 东经82°08 昌吉北纬44°02 东经87°18 阜康北纬44°09 东经87°58 哈密北纬42°50 东经93°28 和田北纬37°09 东经79°55 克拉玛依北纬45°36 东经84°51 喀什北纬39°30 东经75°59 库尔勒北纬41°46 东经86°07 奎屯北纬44°27 东经84°56 石河子北纬44°18 东经86°00 塔城北纬46°46 东经82°59 吐鲁番北纬42°54 东经89°11 伊宁北纬43°55 东经81°20【西藏自治区】拉萨北纬29°39 东经91°08 日喀则北纬29°16 东经88°51【云南省】昆明北纬25°04东经102°42 保山北纬25°08 东经99°10 楚雄北纬25°01 东经101°32 大理北纬25°34 东经100°13 东川北纬26°06 东经103°12 个旧北纬23°21 东经103°09 景洪北纬22°01 东经100°48 开远北纬23°43 东经103°13 曲靖北纬25°30 东经103°48 瑞丽北纬24°00 东经97°50 思茅北纬22°48 东经100°58 畹町北纬24°06 东经98°04 宣威北纬26°13 东经104°06 玉溪北纬24°22 东经102°32 昭通北纬27°20 东经103°42【台湾省】台北市北纬25°03 东经121°30 【香港特别行政区】北纬21°23 东经115°12 【澳门特别行政区】北纬21°33 东经115°07 9本站是提供个人知识管理的网络存储空间,所有内容均由用户发布,不代表本站观点。
一、全国各城市经纬度对照表安徽省合肥117°17' 31°52'安徽省安庆117°02' 30°31'安徽省蚌埠117°21' 32°56'安徽省毫州115°47' 33°52'安徽省巢湖117°52' 31°36'安徽省滁州118°18' 32°18'安徽省阜阳115°48' 32°54'安徽省贵池117°28' 30°39'安徽省淮北116°47' 33°57'安徽省淮南116°58' 32°37'安徽省黄山118°18' 29°43'安徽省界首115°21' 33°15'安徽省六安116°28' 31°44'安徽省马鞍山118°28' 31°43'安徽省明光117°58' 32°47'安徽省宿州116°58' 33°38'安徽省天长118°59' 32°41'安徽省铜陵117°48' 30°56'安徽省芜湖118°22' 31°19'安徽省宣州118°44' 30°57'澳门澳门市115°07' 21°33'北京北京市116°24' 39°55'福建省福州119°18' 26°05'福建省长乐119°31' 25°58'福建省福安119°39' 27°06'福建省福清119°23' 25°42'福建省建瓯118°20' 27°03'福建省建阳118°07' 27°21'福建省晋江118°35' 24°49'福建省龙海117°48' 24°26'福建省龙岩117°01' 25°06'福建省南安118°23' 24°57'福建省南平118°10' 26°38'福建省宁德119°31' 26°39'福建省莆田119°01' 24°26'福建省泉州118°36' 24°56'福建省三明117°36' 26°13' 福建省邵武117°29' 27°20' 福建省石狮118°38' 24°44' 福建省武夷山118°02' 27°46' 福建省厦门118°06' 24°27' 福建省永安117°23' 25°58' 福建省漳平117°24' 25°17' 福建省漳州117°39' 24°31'甘肃省兰州103°51' 36°04' 甘肃省白银104°12' 36°33' 甘肃省敦煌94°41' 40°08' 甘肃省嘉峪关98°14' 39°48' 甘肃省金昌102°10' 38°28' 甘肃省酒泉98°31' 39°44' 甘肃省临夏103°12' 35°37' 甘肃省平凉106°40' 35°32' 甘肃省天水105°42' 34°37' 甘肃省武威102°39' 37°56' 甘肃省西峰107°40' 35°45' 甘肃省玉门97°35' 39°49' 甘肃省张掖100°26' 38°35'广东省广州113°14' 23°08' 广东省潮阳116°36' 23°16' 广东省潮州116°38' 23°40' 广东省澄海116°46' 23°28' 广东省从化113°33' 23°33' 广东省东莞113°45' 23°02' 广东省恩平112°19' 22°12' 广东省佛山113°06' 23°02' 广东省高明112°50' 22°53' 广东省高要112°26' 23°02' 广东省高州110°50' 21°54' 广东省鹤山112°57' 22°46' 广东省河源114°41' 23°43' 广东省花都113°12' 23°23' 广东省化州110°37' 21°39' 广东省惠阳114°28' 22°48' 广东省惠州114°22' 23°05' 广东省江门113°04' 22°35' 广东省揭阳116°21' 22°32' 广东省开平112°40' 22°22'广东省乐昌113°21' 25°09' 广东省雷州110°04' 20°54' 广东省廉江110°17' 21°37' 广东省连州112°23' 24°48' 广东省罗定111°33' 22°46' 广东省茂名110°53' 21°40' 广东省梅州116°07' 24°19' 广东省南海113°09' 23°01' 广东省番禺113°22' 22°57' 广东省普宁116°10' 23°18' 广东省清远113°01' 23°42' 广东省三水112°52' 23°10' 广东省汕头116°41' 23°22' 广东省汕尾115°21' 22°47' 广东省韶关113°37' 24°48' 广东省深圳114°07' 22°33' 广东省顺德113°15' 22°50' 广东省四会112°41' 23°21' 广东省台山112°48' 22°15' 广东省新会113°01' 22°32' 广东省兴宁115°43' 24°19' 广东省阳春111°48' 22°10' 广东省阳江111°58' 21°50' 广东省英德113°22' 24°10' 广东省云浮112°02' 22°57' 广东省增城113°48' 23°18' 广东省湛江110°24' 21°11' 广东省肇庆112°27' 23°03' 广东省中山113°22' 22°31' 广东省珠海113°34' 22°17'广西自治区南宁108°19' 22°48' 广西自治区北海109°07' 21°28' 广西自治区北流110°21' 22°42' 广西自治区百色106°36' 23°54' 广西自治区防城港108°20' 21°37' 广西自治区贵港109°36' 23°06' 广西自治区桂林110°17' 25°17' 广西自治区桂平110°04' 23°22' 广西自治区河池108°03' 24°42' 广西自治区合山108°52' 23°47' 广西自治区柳州109°24' 23°19' 广西自治区凭祥106°44' 22°07'广西自治区钦州108°37' 21°57' 广西自治区梧州111°20' 23°29' 广西自治区玉林110°09' 22°38' 广西自治区宜州108°40' 24°28'贵州省贵阳106°42' 26°35' 贵州省安顺105°55' 26°14' 贵州省毕节105°18' 27°18' 贵州省赤水105°42' 28°34' 贵州省都匀107°31' 26°15' 贵州省凯里107°58' 26°35' 贵州省六盘水104°50' 26°35' 贵州省清镇106°27' 26°33' 贵州省铜仁109°12' 27°43' 贵州省兴义104°53' 25°02' 贵州省遵义106°55' 27°42'海南省海口110°20' 20°02' 海南省儋州109°34' 19°31' 海南省琼山110°21' 19°59' 海南省三亚109°31' 18°14' 海南省通什109°31' 18°46'河北省石家庄114°30' 38°02' 河北省安国115°20' 38°24' 河北省保定115°30' 38°51' 河北省霸州116°24' 39°06' 河北省泊头116°34' 38°04' 河北省沧州116°52' 38°18' 河北省承德117°57' 40°59' 河北省定州115°00' 38°30' 河北省丰南118°06' 39°34' 河北省高碑店115°51' 39°20' 河北省蒿城114°50' 38°02' 河北省邯郸114°28' 36°36' 河北省河间116°05' 38°26' 河北省衡水115°42' 37°44' 河北省黄骅117°21' 38°21' 河北省晋州115°02' 38°02' 河北省冀州115°33' 37°34' 河北省廓坊116°42' 39°31' 河北省鹿泉114.°19' 38°04' 河北省南宫115°23' 37°22'河北省秦皇岛119°35' 39°55' 河北省任丘116°07' 38°42' 河北省三河117°04' 39°58' 河北省沙河114°30' 36°51' 河北省深州115°32' 38°01' 河北省唐山118°11' 39°36' 河北省武安114°11' 36°42' 河北省邢台114°30' 37°04' 河北省辛集115°12' 37°54' 河北省新乐114°41' 38°20' 河北省张家口114°53' 40°48' 河北省涿州115°59' 39°29' 河北省遵化117°58' 40°11'河南省郑州113°40' 34°46' 河南省安阳114°21' 36°06' 河南省长葛113°47' 34°12' 河南省登封113°02' 34°27' 河南省邓州112°05' 32°42' 河南省巩义112°58' 34°46' 河南省鹤壁114°11' 35°54' 河南省辉县113°47' 35°27' 河南省焦作113°12' 35°14' 河南省济源112°35' 35°04' 河南省开封114°21' 34°47' 河南省灵宝110°52' 34°31' 河南省林州113°49' 36°03' 河南省漯河114°02' 33°33' 河南省洛阳112°27' 34°41' 河南省南阳112°32' 33°00' 河南省平顶山113°17' 33°44' 河南省濮阳115°01' 35°44' 河南省沁阳112°57' 35°05' 河南省汝州112°50' 34°09' 河南省三门峡111°12' 34°47' 河南省商丘115°38' 34°26' 河南省卫辉114°03' 35°24' 河南省舞钢113°30' 33°17' 河南省项城114°54' 33°26' 河南省荥阳113°21' 34°46' 河南省新密113°22' 34°31' 河南省新乡113°52' 35°18' 河南省信阳114°04' 32°07'河南省新郑113°43' 34°24' 河南省许昌113°49' 33°01' 河南省偃师112°47' 33°43' 河南省义马111°55' 33°43' 河南省禹州113°28' 34°09' 河南省周口114°38' 33°37' 河南省驻马店114°01' 32°58'黑龙江省哈尔滨126°36' 45°44' 黑龙江省阿城126°58' 45°32' 黑龙江省安达125°18' 46°24' 黑龙江省北安126°31' 48°15' 黑龙江省大庆125°01' 46°36' 黑龙江省富锦132°02' 47°15' 黑龙江省海林129°21' 44°35' 黑龙江省海伦126°57' 47°28' 黑龙江省鹤岗130°16' 47°20' 黑龙江省黑河127°29' 50°14' 黑龙江省佳木斯130°22' 46°47' 黑龙江省鸡西130°57' 45°17' 黑龙江省密山131°50' 45°32' 黑龙江省牡丹江129°36' 44°35' 黑龙江省讷河124°51' 48°29' 黑龙江省宁安129°28' 44°21' 黑龙江省齐齐哈尔123°57' 47°20' 黑龙江省七台河130°49' 45°48' 黑龙江省双城126°15' 45°22' 黑龙江省尚志127°55' 45°14' 黑龙江省双鸭山131°11' 46°38' 黑龙江省绥芬河131°11' 44°25' 黑龙江省绥化126°59' 46°38' 黑龙江省铁力128°01' 46°59' 黑龙江省同江132°30' 47°39' 黑龙江省五常127°11' 44°55' 黑龙江省五大连池126°07' 48°38' 黑龙江省伊春128°56' 47°42' 黑龙江省肇东125°58' 46°04'湖北省武汉114°17' 30°35' 湖北省安陆113°41' 31°15' 湖北省当阳111°47' 30°50' 湖北省丹江口108°30' 32°33' 湖北省大冶114°58' 30°06'湖北省恩施109°29' 30°16' 湖北省鄂州114°52' 30°23' 湖北省广水113°48' 30°37' 湖北省洪湖113°27' 29°48' 湖北省黄石115°06' 30°12' 湖北省黄州114°52' 30°27' 湖北省荆门112°12' 31°02' 湖北省荆沙112°16' 30°18' 湖北省老河口111°40' 32°23' 湖北省利川108°56' 30°18' 湖北省麻城115°01' 31°10' 湖北省浦圻113°51' 29°42' 湖北省潜江112°53' 30°26' 湖北省石首112°24' 29°43' 湖北省十堰110°47' 32°40' 湖北省随州113°22' 31°42' 湖北省天门113°10' 60°39' 湖北省武穴115°33' 29°51' 湖北省襄樊112°08' 32°02' 湖北省咸宁114°17' 29°53' 湖北省仙桃113°27' 30°22' 湖北省孝感113°54' 30°56' 湖北省宜昌111°17' 30°42' 湖北省宜城112°15' 31°42' 湖北省应城113°33' 30°57' 湖北省枣阳112°44' 32°07' 湖北省枝城111°27' 30°23' 湖北省钟祥112°34' 31°10'湖南省长沙112°59' 28°12' 湖南省常德111°51' 29°02' 湖南省郴州113°02' 25°46' 湖南省衡阳112°37' 26°53' 湖南省洪江109°59' 27°07' 湖南省怀化109°58' 27°33' 湖南省津市111°52' 29°38' 湖南省吉首109°43' 28°18' 湖南省耒阳112°51' 26°24' 湖南省冷水江111°26' 27°42' 湖南省冷水滩111°35' 26°26' 湖南省涟源111°41' 27°41' 湖南省醴陵113°30' 27°40' 湖南省临湘113°27' 29°29'湖南省浏阳113°37' 28°09' 湖南省娄底111°59' 27°44' 湖南省汨罗113°03' 28°49' 湖南省韶山112°29' 27°54' 湖南省邵阳111°28' 27°14' 湖南省武冈110°37' 26°43' 湖南省湘潭112°53' 27°52' 湖南省湘乡112°31' 27°44' 湖南省益阳112°20' 28°36' 湖南省永州111°37' 26°13' 湖南省沅江112°22' 28°50' 湖南省岳阳113°06' 29°22' 湖南省张家界110°29' 29°08' 湖南省株洲113°09' 27°51' 湖南省资兴113°13' 25°58'吉林省长春125°19' 43°54' 吉林省白城122°50' 45°38' 吉林省白山126°26' 41°56' 吉林省大安124°18' 45°30' 吉林省德惠125°42' 44°32' 吉林省敦化128°13' 43°22' 吉林省公主岭124°49' 43°31' 吉林省和龙129°00' 42°32' 吉林省桦甸126°44' 42°58' 吉林省珲春130°22' 42°52' 吉林省集安126°11' 41°08' 吉林省蛟河127°21' 43°42' 吉林省吉林126°33' 43°52' 吉林省九台125°51' 44°09' 吉林省辽源125°09' 42°54' 吉林省临江126°53' 41°49' 吉林省龙井129°26' 42°46' 吉林省梅河口125°40' 42°32' 吉林省舒兰126°57' 44°24' 吉林省四平124°22' 43°10' 吉林省松原124°49' 45°11' 吉林省洮南122°47' 45°20' 吉林省通化125°56' 41°43' 吉林省图们129°51' 42°57' 吉林省延吉129°30' 42°54' 吉林省愉树126°32' 44°49'江苏省南京118°46' 32°03' 江苏省常熟120°43' 31°39' 江苏省常州119°58' 31°47' 江苏省丹阳119°32' 32°00' 江苏省东台120°19' 32°51' 江苏省高邮119°27' 32°47' 江苏省海门121°09' 31°53' 江苏省淮安119°09' 33°30' 江苏省淮阴119°02' 33°36' 江苏省江都119°32' 32°26' 江苏省姜堰120°08' 32°34' 江苏省江阴120°17' 31°54' 江苏省靖江120°17' 32°02' 江苏省金坛119°33' 31°46' 江苏省昆山120°57' 31°23' 江苏省连去港119°10' 34°36' 江苏省溧阳119°29' 31°26' 江苏省南通120°51' 32°01' 江苏省邳州117°59' 34°19' 江苏省启乐121°39' 31°48' 江苏省如皋120°33' 32°23' 江苏省宿迁118°18' 33°58' 江苏省苏州120°37' 31°19' 江苏省太仓121°06' 31°27' 江苏省泰兴120°01' 32°10' 江苏省泰州119°54' 32°30' 江苏省通州121°03' 32°05' 江苏省吴江120°39' 31°10' 江苏省无锡120°18' 31°34' 江苏省兴化119°50' 32°56' 江苏省新沂118°20' 34°22' 江苏省徐州117°11' 34°15' 江苏省盐在120°08' 33°22' 江苏省扬中119°49' 32°14' 江苏省扬州119°26' 32°23' 江苏省宜兴119°49' 31°21' 江苏省仪征119°10' 32°16' 江苏省张家港120°32' 31°52' 江苏省镇江119°27' 32°11'江西省南昌115°55' 28°40' 江西省德兴117°35' 28°57' 江西省丰城115°48' 28°12'江西省赣州114°56' 28°52' 江西省高安115°22' 28°25' 江西省吉安114°58' 27°07' 江西省景德镇117°13' 29°17' 江西省井冈山114°10' 26°34' 江西省九江115°58' 29°43' 江西省乐平117°08' 28°58' 江西省临川116°21' 27°59' 江西省萍乡113°50' 27°37' 江西省瑞昌115.°38' 29°40' 江西省瑞金116°01' 25°53' 江西省上饶117°58' 25°27' 江西省新余114°56' 27°48' 江西省宜春114°23' 27°47' 江西省鹰潭117°03' 28°14' 江西省樟树115°32' 28°03'辽宁省沈阳123°25' 41°48' 辽宁省鞍山123°00' 41°07' 辽宁省北票120°47' 41°48' 辽宁省本溪123°46' 41°18' 辽宁省朝阳120°27' 41°34' 辽宁省大连121°36' 38°55' 辽宁省丹东124°22' 40°08' 辽宁省大石桥122°31' 40°37' 辽宁省东港124°08' 39°53' 辽宁省凤城124°02' 40°28' 辽宁省抚顺123°54' 41°51' 辽宁省阜新121°39' 42°01' 辽宁省盖州122°21' 40°24' 辽宁省海城122°43' 40°51' 辽宁省葫芦岛120°51' 40°45' 辽宁省锦州121°09' 41°07' 辽宁省开原124°02' 42°32' 辽宁省辽阳123°12' 41°16' 辽宁省凌海121°21' 41°10' 辽宁省凌源119°22' 41°14' 辽宁省盘锦122°03' 41°07' 辽宁省普兰店121°58' 39°29' 辽宁省铁法123°32' 42°28' 辽宁省铁岭123°51' 42°18' 辽宁省瓦房店122°00' 39°37' 辽宁省兴城120°41' 40°37'辽宁省新民122°49' 41°59' 辽宁省营口122°13' 40°39' 辽宁省庄河122°58' 39°41'内蒙古自治区呼和浩特111°41' 40°48' 内蒙古自治区包头109°49' 40°39' 内蒙古自治区赤峰118°58' 42°17' 内蒙古自治区东胜109°59' 39°48' 内蒙古自治区二连浩特111°58' 43°38' 内蒙古自治区额尔古纳120°11' 50°13' 内蒙古自治区丰镇113°09' 40°27' 内蒙古自治区根河121°29' 50°48' 内蒙古自治区海拉尔119°39' 49°12' 内蒙古自治区霍林郭勒119°38' 45°32' 内蒙古自治区集宁113°06' 41°02' 内蒙古自治区临河107°22' 40°46' 内蒙古自治区满洲里117°23' 49°35' 内蒙古自治区通辽122°16' 43°37' 内蒙古自治区乌兰浩特122°03' 46°03' 内蒙古自治区乌海106°48' 39°40' 内蒙古自治区锡林浩特116°03' 43°57' 内蒙古自治区牙克石120°40' 49°17' 内蒙古自治区扎兰屯122°47' 48°00'宁夏自治区银川106°16' 38°27' 宁夏自治区青铜峡105°59' 37°56' 宁夏自治区石嘴山106°22' 39°02' 宁夏自治区吴忠106°11' 37°59'青海省西宁101°48' 36°38' 青海省德令哈97°23' 37°22' 青海省格尔木94°55' 36°26'山东省济南117°00' 36°40' 山东省安丘119°12' 36°25' 山东省滨州118°02' 37°22' 山东省昌邑119°24' 39°52' 山东省德州116°17' 37°26' 山东省东营118°30' 37°27' 山东省肥城116°46' 36°14' 山东省高密119°44' 36°22' 山东省菏泽115°26' 35°14' 山东省胶南119°58' 35°53'山东省胶州120°00' 36°17' 山东省即墨120°28' 36°22' 山东省济宁116°33' 35°23' 山东省莱芜117°40' 36°12' 山东省莱西120°31' 36°52' 山东省莱阳120°42' 36°58' 山东省莱州119°57' 37°10' 山东省乐陵117°12' 37°44' 山东省聊城115°57' 36°26' 山东省临清115°42' 36°51' 山东省临沂118°20' 35°03' 山东省龙口120°21' 37°39' 山东省蓬莱120°45' 37°48' 山东省平度119°58' 36°47' 山东省青岛120°18' 36°03' 山东省青州118°28' 36°42' 山东省曲阜116°58' 35°36' 山东省日照119°32' 35°23' 山东省荣成122°25' 37°10' 山东省乳山121°31' 36°54' 山东省寿光118°44' 36°53' 山东省泰安117°08' 36°11' 山东省滕州117°09' 35°06' 山东省潍坊119°06' 36°43' 山东省威海122°07' 37°31' 山东省文登122°03' 37°12' 山东省新泰117°45' 35°54' 山东省烟台121°24' 37°32' 山东省兖州116°49' 35°32' 山东省禹城116°39' 36°56' 山东省枣庄117°33' 34°52' 山东省章丘117°32' 36°43' 山东省招远120°23' 37°21' 山东省诸城119°24' 35°59' 山东省淄博118°03' 36°48' 山东省邹城116°58' 35°24'山西省太原112°33' 37°54' 山西省长治113°06' 36°11' 山西省大同113°17' 40°06' 山西省高平112°55' 35°48' 山西省古交112' 37°54'。
省份省份(简写)地市区县经度纬度北京市北京北京市北京市116.439.9北京市北京北京市天安门116.3839.9北京市北京北京市东城区116.4239.93北京市北京北京市西城区116.3739.92北京市北京北京市崇文区116.4339.88北京市北京北京市宣武区116.3539.87北京市北京北京市朝阳区116.4339.92北京市北京北京市丰台区116.2839.85北京市北京北京市石景山区116.2239.9北京市北京北京市海淀区116.339.95北京市北京北京市门头沟区116.139.93北京市北京北京市房山区116.1339.75北京市北京北京市通州区116.6539.92北京市北京北京市顺义区116.6540.13北京市北京北京市昌平区116.2340.22北京市北京北京市大兴区116.3339.73北京市北京北京市怀柔区116.6340.32北京市北京北京市平谷区117.1240.13北京市北京北京市密云县116.8340.37北京市北京北京市延庆县115.9740.45天津市天津天津市天津市117.239.12天津市天津天津市和平区117.239.12天津市天津天津市河东区117.2239.12天津市天津天津市河西区117.2239.12天津市天津天津市南开区117.1539.13天津市天津天津市河北区117.1839.15天津市天津天津市红桥区117.1539.17天津市天津天津市塘沽区117.6539.02天津市天津天津市汉沽区117.839.25天津市天津天津市大港区117.4538.83天津市天津天津市东丽区117.339.08天津市天津天津市西青区11739.13天津市天津天津市津南区117.3838.98天津市天津天津市北辰区117.1339.22天津市天津天津市武清区117.0339.38天津市天津天津市宝坻区117.339.72天津市天津天津市滨海新区117.6839.03天津市天津天津市宁河县117.8239.33天津市天津天津市静海县116.9238.93天津市天津天津市蓟县117.440.05河北省河北石家庄市石家庄市114.5238.05河北省河北石家庄市长安区114.5238.05河北省河北石家庄市桥东区114.538.05河北省河北石家庄市桥东区114.940.78河北省河北石家庄市桥东区114.537.07河北省河北石家庄市桥西区114.4737.05河北省河北石家庄市桥西区114.8740.83河北省河北石家庄市桥西区114.4738.03河北省河北石家庄市新华区114.4738.05河北省河北石家庄市新华区116.8738.32河北省河北石家庄市井陉矿区114.0538.08河北省河北石家庄市裕华区114.5238.02河北省河北石家庄市井陉县114.1338.03河北省河北石家庄市正定县114.5738.15河北省河北石家庄市栾城县114.6537.88河北省河北石家庄市行唐县114.5538.43河北省河北石家庄市灵寿县114.3738.3河北省河北石家庄市高邑县114.637.6河北省河北石家庄市深泽县115.238.18河北省河北石家庄市赞皇县114.3837.67河北省河北石家庄市无极县114.9738.18河北省河北石家庄市平山县114.238.25河北省河北石家庄市元氏县114.5237.75河北省河北石家庄市赵县114.7737.75河北省河北石家庄市辛集市115.2237.92河北省河北石家庄市藁城市114.8338.03河北省河北石家庄市晋州市115.0338.03河北省河北石家庄市新乐市114.6838.35河北省河北石家庄市鹿泉市114.338.08河北省河北唐山市唐山市118.239.63河北省河北唐山市路南区118.1739.63河北省河北唐山市路北区118.2239.63河北省河北唐山市古冶区118.4239.73河北省河北唐山市开平区118.2739.68河北省河北唐山市丰南区118.139.57河北省河北唐山市丰润区118.1739.83河北省河北唐山市滦县118.739.75河北省河北唐山市滦南县118.6839.5河北省河北唐山市乐亭县118.939.42河北省河北唐山市迁西县118.3240.15河北省河北唐山市玉田县117.7339.88河北省河北唐山市唐海县118.4539.27河北省河北唐山市遵化市117.9540.18河北省河北唐山市迁安市118.740.02河北省河北秦皇岛市秦皇岛市119.639.93河北省河北秦皇岛市海港区119.639.93河北省河北秦皇岛市山海关区119.7740河北省河北秦皇岛市北戴河区119.4839.83118.9540.4河北省河北秦皇岛市青龙满族自治县河北省河北秦皇岛市昌黎县119.1739.7河北省河北秦皇岛市抚宁县119.2339.88河北省河北秦皇岛市卢龙县118.8739.88河北省河北邯郸市邯郸市114.4836.62河北省河北邯郸市邯山区114.4836.6河北省河北邯郸市丛台区114.4836.63河北省河北邯郸市复兴区114.4536.63河北省河北邯郸市峰峰矿区114.236.42河北省河北邯郸市邯郸县114.5336.6河北省河北邯郸市临漳县114.6236.35河北省河北邯郸市成安县114.6836.43河北省河北邯郸市大名县115.1536.28河北省河北邯郸市涉县113.6736.57河北省河北邯郸市磁县114.3736.35河北省河北邯郸市肥乡县114.836.55河北省河北邯郸市永年县114.4836.78河北省河北邯郸市邱县115.1736.82河北省河北邯郸市鸡泽县114.8736.92河北省河北邯郸市广平县114.9336.48河北省河北邯郸市馆陶县115.336.53河北省河北邯郸市魏县114.9336.37河北省河北邯郸市曲周县114.9536.78河北省河北邯郸市武安市114.236.7河北省河北邢台市邢台市114.4837.07河北省河北邢台市桥东区114.538.05河北省河北邢台市桥东区114.940.78河北省河北邢台市桥东区114.537.07河北省河北邢台市桥西区114.8740.83河北省河北邢台市桥西区114.4738.03河北省河北邢台市桥西区114.4737.05河北省河北邢台市邢台县114.537.08河北省河北邢台市临城县114.537.43河北省河北邢台市内丘县114.5237.3河北省河北邢台市柏乡县114.6837.5河北省河北邢台市隆尧县114.7737.35河北省河北邢台市任县114.6837.13河北省河北邢台市南和县114.6837河北省河北邢台市宁晋县114.9237.62河北省河北邢台市巨鹿县115.0337.22河北省河北邢台市新河县115.2537.53河北省河北邢台市广宗县115.1537.07河北省河北邢台市平乡县115.0337.07河北省河北邢台市威县115.2536.98河北省河北邢台市清河县115.6737.07河北省河北邢台市临西县115.536.85河北省河北邢台市南宫市115.3837.35河北省河北邢台市沙河市114.536.85河北省河北保定市保定市115.4738.87河北省河北保定市新市区115.4538.87河北省河北保定市北市区115.4838.87河北省河北保定市南市区115.538.85河北省河北保定市满城县115.3238.95河北省河北保定市清苑县115.4838.77河北省河北保定市涞水县115.7239.4河北省河北保定市阜平县114.1838.85河北省河北保定市徐水县115.6539.02河北省河北保定市定兴县115.7739.27河北省河北保定市唐县114.9838.75河北省河北保定市高阳县115.7838.68河北省河北保定市容城县115.8739.05河北省河北保定市涞源县114.6839.35河北省河北保定市望都县115.1538.72河北省河北保定市安新县115.9338.92河北省河北保定市易县115.539.35河北省河北保定市曲阳县114.738.62河北省河北保定市蠡县115.5738.48河北省河北保定市顺平县115.1338.83河北省河北保定市博野县115.4738.45河北省河北保定市雄县116.138.98河北省河北保定市涿州市115.9739.48河北省河北保定市定州市114.9738.52河北省河北保定市安国市115.3238.42河北省河北保定市高碑店市115.8539.33河北省河北张家口市张家口市114.8840.82河北省河北张家口市桥东区114.538.05河北省河北张家口市桥东区114.940.78河北省河北张家口市桥东区114.537.07河北省河北张家口市桥西区114.8740.83河北省河北张家口市桥西区114.4738.03河北省河北张家口市桥西区114.4737.05河北省河北张家口市宣化区115.0540.6河北省河北张家口市下花园区115.2740.48河北省河北张家口市宣化县115.0240.55河北省河北张家口市张北县114.741.15河北省河北张家口市康保县114.6241.85河北省河北张家口市沽源县115.741.67河北省河北张家口市尚义县113.9741.08河北省河北张家口市蔚县114.5739.85河北省河北张家口市阳原县114.1740.12河北省河北张家口市怀安县114.4240.67河北省河北张家口市万全县114.7240.75河北省河北张家口市怀来县115.5240.4河北省河北张家口市涿鹿县115.2240.38河北省河北张家口市赤城县115.8340.92河北省河北张家口市崇礼县115.2740.97河北省河北承德市承德市117.9340.97河北省河北承德市双桥区117.9340.97河北省河北承德市双滦区117.7840.95河北省河北承德市鹰手营子矿区117.6540.55河北省河北承德市承德县118.1740.77河北省河北承德市兴隆县117.5240.43河北省河北承德市平泉县118.6841河北省河北承德市滦平县117.3340.93河北省河北承德市隆化县117.7241.32河北省河北承德市丰宁满族自治116.6541.2县河北省河北承德市宽城满族自治118.4840.6县河北省河北承德市围场满族蒙古117.7541.93族自治县河北省河北沧州市沧州市116.8338.3河北省河北沧州市新华区114.4738.05河北省河北沧州市新华区116.8738.32河北省河北沧州市运河区116.8538.32河北省河北沧州市沧县116.8738.3河北省河北沧州市青县116.8238.58河北省河北沧州市东光县116.5337.88河北省河北沧州市海兴县117.4838.13河北省河北沧州市盐山县117.2238.05河北省河北沧州市肃宁县115.8338.43河北省河北沧州市南皮县116.738.03河北省河北沧州市吴桥县116.3837.62河北省河北沧州市献县116.1238.18河北省河北沧州市孟村回族自治117.138.07县河北省河北沧州市泊头市116.5738.07河北省河北沧州市任丘市116.138.72河北省河北沧州市黄骅市117.3538.37河北省河北沧州市河间市116.0838.43河北省河北廊坊市廊坊市116.739.52河北省河北廊坊市安次区116.6839.52河北省河北廊坊市广阳区116.7239.53河北省河北廊坊市固安县116.339.43河北省河北廊坊市永清县116.539.32河北省河北廊坊市香河县11739.77河北省河北廊坊市大城县116.6338.7河北省河北廊坊市文安县116.4738.87116.9839.88河北省河北廊坊市大厂回族自治县河北省河北廊坊市霸州市116.439.1河北省河北廊坊市三河市117.0739.98河北省河北衡水市衡水市115.6837.73河北省河北衡水市桃城区115.6837.73河北省河北衡水市枣强县115.7237.52河北省河北衡水市武邑县115.8837.82河北省河北衡水市武强县115.9838.03河北省河北衡水市饶阳县115.7338.23河北省河北衡水市安平县115.5238.23河北省河北衡水市故城县115.9737.35河北省河北衡水市景县116.2737.7河北省河北衡水市阜城县116.1537.87河北省河北衡水市冀州市115.5737.57河北省河北衡水市深州市115.5538.02山西省山西太原市太原市112.5537.87山西省山西太原市小店区112.5737.73山西省山西太原市迎泽区112.5737.87山西省山西太原市杏花岭区112.5737.88山西省山西太原市尖草坪区112.4837.93山西省山西太原市万柏林区112.5237.87山西省山西太原市晋源区112.4837.73山西省山西太原市清徐县112.3537.6山西省山西太原市阳曲县112.6738.07山西省山西太原市娄烦县111.7838.07山西省山西太原市古交市112.1737.92山西省山西大同市大同市113.340.08山西省山西大同市城区113.2840.08山西省山西大同市城区113.637.85山西省山西大同市城区113.1236.22山西省山西大同市城区112.8335.5山西省山西大同市矿区113.1740.03山西省山西大同市矿区113.5737.87山西省山西大同市南郊区113.1340山西省山西大同市新荣区113.1540.27山西省山西大同市阳高县113.7540.37山西省山西大同市天镇县114.0840.42山西省山西大同市广灵县114.2839.77山西省山西大同市灵丘县114.2339.43山西省山西大同市浑源县113.6839.7山西省山西大同市左云县112.740山西省山西大同市大同县113.640.03山西省山西阳泉市阳泉市113.5737.85山西省山西阳泉市城区113.2840.08山西省山西阳泉市城区113.637.85山西省山西阳泉市城区113.1236.22山西省山西阳泉市城区112.8335.5山西省山西阳泉市矿区113.1740.03山西省山西阳泉市矿区113.5737.87山西省山西阳泉市郊区113.5837.93山西省山西阳泉市郊区113.1236.2山西省山西阳泉市平定县113.6237.8山西省山西阳泉市盂县113.438.08山西省山西长治市长治市113.1236.2山西省山西长治市城区113.2840.08山西省山西长治市城区113.637.85山西省山西长治市城区113.1236.22山西省山西长治市城区112.8335.5山西省山西长治市郊区113.5837.93山西省山西长治市郊区113.1236.2山西省山西长治市长治县113.0336.05山西省山西长治市襄垣县113.0536.53山西省山西长治市屯留县112.8836.32山西省山西长治市平顺县113.4336.2山西省山西长治市黎城县113.3836.5山西省山西长治市壶关县113.236.12山西省山西长治市长子县112.8736.12山西省山西长治市武乡县112.8536.83山西省山西长治市沁县112.736.75山西省山西长治市沁源县112.3336.5山西省山西长治市潞城市113.2236.33山西省山西晋城市晋城市112.8335.5山西省山西晋城市城区113.2840.08山西省山西晋城市城区113.637.85山西省山西晋城市城区113.1236.22山西省山西晋城市城区112.8335.5山西省山西晋城市沁水县112.1835.68山西省山西晋城市阳城县112.4235.48山西省山西晋城市陵川县113.2735.78山西省山西晋城市泽州县112.8335.5山西省山西晋城市高平市112.9235.8山西省山西朔州市朔州市112.4339.33山西省山西朔州市朔城区112.4339.33山西省山西朔州市山阴县112.8239.52山西省山西朔州市应县113.1839.55山西省山西朔州市右玉县112.4739.98山西省山西朔州市怀仁县113.0839.83山西省山西晋中市晋中市112.7537.68山西省山西晋中市榆次区112.7537.68山西省山西晋中市榆社县112.9737.07山西省山西晋中市左权县113.3737.07山西省山西晋中市和顺县113.5737.33山西省山西晋中市昔阳县113.737.62山西省山西晋中市寿阳县113.1837.88山西省山西晋中市太谷县112.5537.42山西省山西晋中市祁县112.3337.35山西省山西晋中市平遥县112.1737.18山西省山西晋中市灵石县111.7736.85山西省山西晋中市介休市111.9237.03山西省山西运城市运城市110.9835.02山西省山西运城市盐湖区110.9835.02山西省山西运城市临猗县110.7735.15山西省山西运城市万荣县110.8335.42山西省山西运城市闻喜县111.2235.35山西省山西运城市稷山县110.9735.6山西省山西运城市新绛县111.2235.62山西省山西运城市绛县111.5735.48山西省山西运城市垣曲县111.6735.3山西省山西运城市夏县111.2235.15山西省山西运城市平陆县111.2234.83山西省山西运城市芮城县110.6834.7山西省山西运城市河津市110.735.6山西省山西忻州市忻州市112.7338.42山西省山西忻州市忻府区112.7338.42山西省山西忻州市定襄县112.9538.48山西省山西忻州市五台县113.2538.73山西省山西忻州市代县112.9539.07山西省山西忻州市繁峙县113.2539.18山西省山西忻州市宁武县112.339山西省山西忻州市静乐县111.9338.37山西省山西忻州市神池县112.239.08山西省山西忻州市五寨县111.8538.9山西省山西忻州市岢岚县111.5738.7山西省山西忻州市河曲县111.1339.38山西省山西忻州市偏关县111.539.43山西省山西忻州市原平市112.738.73山西省山西临汾市临汾市111.5236.08山西省山西临汾市尧都区111.5236.08山西省山西临汾市曲沃县111.4735.63山西省山西临汾市翼城县111.7235.73山西省山西临汾市襄汾县111.4335.88山西省山西临汾市洪洞县111.6736.25山西省山西临汾市古县111.9236.27山西省山西临汾市安泽县112.2536.15山西省山西临汾市浮山县111.8335.97山西省山西临汾市吉县110.6836.1山西省山西临汾市乡宁县110.8335.97山西省山西临汾市大宁县110.7536.47山西省山西临汾市隰县110.9336.7山西省山西临汾市永和县110.6336.77山西省山西临汾市蒲县111.0836.42山西省山西临汾市汾西县111.5736.65山西省山西临汾市侯马市111.3535.62山西省山西临汾市霍州市111.7236.57山西省山西吕梁市吕梁市111.1337.52山西省山西吕梁市离石区111.1337.52山西省山西吕梁市文水县112.0237.43山西省山西吕梁市交城县112.1537.55山西省山西吕梁市兴县111.1238.47山西省山西吕梁市临县110.9837.95山西省山西吕梁市柳林县110.937.43山西省山西吕梁市石楼县110.8337山西省山西吕梁市岚县111.6738.28山西省山西吕梁市方山县111.2337.88山西省山西吕梁市中阳县111.1837.33山西省山西吕梁市交口县111.236.97山西省山西吕梁市孝义市111.7737.15山西省山西吕梁市汾阳市111.7837.27内蒙古自治区内蒙古呼和浩特市呼和浩特市111.7340.83内蒙古自治区内蒙古呼和浩特市新城区111.6540.87内蒙古自治区内蒙古呼和浩特市回民区111.640.8内蒙古自治区内蒙古呼和浩特市玉泉区111.6740.75内蒙古自治区内蒙古呼和浩特市赛罕区111.6840.8内蒙古自治区内蒙古呼和浩特市土默特左旗111.1340.72内蒙古自治区内蒙古呼和浩特市托克托县111.1840.27内蒙古自治区内蒙古呼和浩特市和林格尔县111.8240.38内蒙古自治区内蒙古呼和浩特市清水河县111.6839.92内蒙古自治区内蒙古呼和浩特市武川县111.4541.08内蒙古自治区内蒙古包头市包头市109.8340.65内蒙古自治区内蒙古包头市东河区110.0240.58内蒙古自治区内蒙古包头市昆都仑区109.8340.63内蒙古自治区内蒙古包头市青山区109.940.65内蒙古自治区内蒙古包头市石拐区110.2740.68内蒙古自治区内蒙古包头市九原区109.9740.6内蒙古自治区内蒙古包头市土默特右旗110.5240.57内蒙古自治区内蒙古包头市固阳县110.0541.03内蒙古自治区内蒙古包头市达尔罕茂明安110.4341.7联合旗内蒙古自治区内蒙古乌海市乌海市106.8239.67内蒙古自治区内蒙古乌海市海勃湾区106.8339.7内蒙古自治区内蒙古乌海市海南区106.8839.43内蒙古自治区内蒙古乌海市乌达区106.739.5内蒙古自治区内蒙古赤峰市赤峰市118.9242.27内蒙古自治区内蒙古赤峰市红山区118.9742.28内蒙古自治区内蒙古赤峰市元宝山区119.2842.03内蒙古自治区内蒙古赤峰市松山区118.9242.28内蒙古自治区内蒙古赤峰市阿鲁科尔沁旗120.0843.88内蒙古自治区内蒙古赤峰市巴林左旗119.3843.98内蒙古自治区内蒙古赤峰市巴林右旗118.6743.52内蒙古自治区内蒙古赤峰市林西县118.0543.6内蒙古自治区内蒙古赤峰市克什克腾旗117.5343.25内蒙古自治区内蒙古赤峰市翁牛特旗119.0242.93内蒙古自治区内蒙古赤峰市喀喇沁旗118.741.93内蒙古自治区内蒙古赤峰市宁城县119.3341.6内蒙古自治区内蒙古赤峰市敖汉旗119.942.28内蒙古自治区内蒙古通辽市通辽市122.2743.62内蒙古自治区内蒙古通辽市科尔沁区122.2743.62123.3244.13内蒙古自治区内蒙古通辽市科尔沁左翼中旗内蒙古自治区内蒙古通辽市科尔沁左翼后122.3542.95旗内蒙古自治区内蒙古通辽市开鲁县121.343.6内蒙古自治区内蒙古通辽市库伦旗121.7742.73内蒙古自治区内蒙古通辽市奈曼旗120.6542.85内蒙古自治区内蒙古通辽市扎鲁特旗120.9244.55内蒙古自治区内蒙古通辽市霍林郭勒市119.6545.53内蒙古自治区内蒙古鄂尔多斯市鄂尔多斯市109.839.62内蒙古自治区内蒙古鄂尔多斯市东胜区11039.82内蒙古自治区内蒙古鄂尔多斯市达拉特旗110.0340.4内蒙古自治区内蒙古鄂尔多斯市准格尔旗111.2339.87内蒙古自治区内蒙古鄂尔多斯市鄂托克前旗107.4838.18内蒙古自治区内蒙古鄂尔多斯市鄂托克旗107.9839.1内蒙古自治区内蒙古鄂尔多斯市杭锦旗108.7239.83内蒙古自治区内蒙古鄂尔多斯市乌审旗108.8538.6内蒙古自治区内蒙古鄂尔多斯市伊金霍洛旗109.7339.57内蒙古自治区内蒙古呼伦贝尔市呼伦贝尔市119.7749.22内蒙古自治区内蒙古呼伦贝尔市海拉尔区119.7749.22内蒙古自治区内蒙古呼伦贝尔市阿荣旗123.4748.13内蒙古自治区内蒙古呼伦贝尔市鄂伦春自治旗123.7250.58内蒙古自治区内蒙古呼伦贝尔市鄂温克族自治119.7549.13旗内蒙古自治区内蒙古呼伦贝尔市陈巴尔虎旗119.4349.32内蒙古自治区内蒙古呼伦贝尔市新巴尔虎左旗118.2748.22内蒙古自治区内蒙古呼伦贝尔市新巴尔虎右旗116.8248.67内蒙古自治区内蒙古呼伦贝尔市满洲里市117.4549.58内蒙古自治区内蒙古呼伦贝尔市牙克石市120.7349.28内蒙古自治区内蒙古呼伦贝尔市扎兰屯市122.7547.98内蒙古自治区内蒙古呼伦贝尔市额尔古纳市120.1850.23内蒙古自治区内蒙古呼伦贝尔市根河市121.5250.78内蒙古自治区内蒙古巴彦淖尔市巴彦淖尔市107.4240.75内蒙古自治区内蒙古巴彦淖尔市临河区107.440.75内蒙古自治区内蒙古巴彦淖尔市五原县108.2741.1内蒙古自治区内蒙古巴彦淖尔市磴口县107.0240.33内蒙古自治区内蒙古巴彦淖尔市乌拉特前旗108.6540.72内蒙古自治区内蒙古巴彦淖尔市乌拉特中旗108.5241.57内蒙古自治区内蒙古巴彦淖尔市乌拉特后旗107.0741.1内蒙古自治区内蒙古巴彦淖尔市杭锦后旗107.1540.88内蒙古自治区内蒙古乌兰察布市乌兰察布市113.1240.98内蒙古自治区内蒙古乌兰察布市集宁区113.141.03内蒙古自治区内蒙古乌兰察布市卓资县112.5740.9内蒙古自治区内蒙古乌兰察布市化德县11441.9内蒙古自治区内蒙古乌兰察布市商都县113.5341.55内蒙古自治区内蒙古乌兰察布市兴和县113.8840.88内蒙古自治区内蒙古乌兰察布市凉城县112.4840.53内蒙古自治区内蒙古乌兰察布市察哈尔右翼前113.2240.78旗112.6341.27内蒙古自治区内蒙古乌兰察布市察哈尔右翼中旗内蒙古自治区内蒙古乌兰察布市察哈尔右翼后113.1841.45旗内蒙古自治区内蒙古乌兰察布市四子王旗111.741.52内蒙古自治区内蒙古乌兰察布市丰镇市113.1540.43内蒙古自治区内蒙古兴安盟兴安盟122.0546.08内蒙古自治区内蒙古兴安盟乌兰浩特市122.0546.08内蒙古自治区内蒙古兴安盟阿尔山市119.9347.18121.9246.07内蒙古自治区内蒙古兴安盟科尔沁右翼前旗内蒙古自治区内蒙古兴安盟科尔沁右翼中121.4745.05旗内蒙古自治区内蒙古兴安盟扎赉特旗122.946.73内蒙古自治区内蒙古兴安盟突泉县121.5745.38内蒙古自治区内蒙古锡林郭勒盟锡林郭勒盟116.0743.95内蒙古自治区内蒙古锡林郭勒盟二连浩特市111.9843.65内蒙古自治区内蒙古锡林郭勒盟锡林浩特市116.0743.93内蒙古自治区内蒙古锡林郭勒盟阿巴嘎旗114.9744.02内蒙古自治区内蒙古锡林郭勒盟苏尼特左旗113.6343.85内蒙古自治区内蒙古锡林郭勒盟苏尼特右旗112.6542.75内蒙古自治区内蒙古锡林郭勒盟东乌珠穆沁旗116.9745.52内蒙古自治区内蒙古锡林郭勒盟西乌珠穆沁旗117.644.58内蒙古自治区内蒙古锡林郭勒盟太仆寺旗115.2841.9内蒙古自治区内蒙古锡林郭勒盟镶黄旗113.8342.23内蒙古自治区内蒙古锡林郭勒盟正镶白旗11542.3内蒙古自治区内蒙古锡林郭勒盟正蓝旗11642.25内蒙古自治区内蒙古锡林郭勒盟多伦县116.4742.18内蒙古自治区内蒙古阿拉善盟阿拉善盟105.6738.83内蒙古自治区内蒙古阿拉善盟阿拉善左旗105.6738.83内蒙古自治区内蒙古阿拉善盟阿拉善右旗101.6839.2内蒙古自治区内蒙古阿拉善盟额济纳旗101.0741.97辽宁省辽宁沈阳市沈阳市123.4341.8辽宁省辽宁沈阳市和平区123.441.78辽宁省辽宁沈阳市沈河区123.4541.8辽宁省辽宁沈阳市大东区123.4741.8辽宁省辽宁沈阳市皇姑区123.4241.82辽宁省辽宁沈阳市铁西区122.9541.12辽宁省辽宁沈阳市铁西区123.3541.8辽宁省辽宁沈阳市苏家屯区123.3341.67辽宁省辽宁沈阳市东陵区123.4741.77辽宁省辽宁沈阳市新城子区123.5242.05辽宁省辽宁沈阳市于洪区123.341.78辽宁省辽宁沈阳市辽中县122.7241.52辽宁省辽宁沈阳市康平县123.3542.75辽宁省辽宁沈阳市法库县123.442.5辽宁省辽宁沈阳市新民市122.8242辽宁省辽宁大连市大连市121.6238.92辽宁省辽宁大连市中山区121.6338.92辽宁省辽宁大连市西岗区121.638.92辽宁省辽宁大连市沙河口区121.5838.9辽宁省辽宁大连市甘井子区121.5738.95辽宁省辽宁大连市旅顺口区121.2738.82辽宁省辽宁大连市金州区121.739.1辽宁省辽宁大连市长海县122.5839.27辽宁省辽宁大连市瓦房店市12239.62辽宁省辽宁大连市普兰店市121.9539.4辽宁省辽宁大连市庄河市122.9839.7辽宁省辽宁鞍山市鞍山市122.9841.1辽宁省辽宁鞍山市铁东区122.9841.1辽宁省辽宁鞍山市铁西区122.9541.12辽宁省辽宁鞍山市铁西区123.3541.8辽宁省辽宁鞍山市立山区12341.15辽宁省辽宁鞍山市千山区122.9741.07辽宁省辽宁鞍山市台安县122.4241.38123.2840.28辽宁省辽宁鞍山市岫岩满族自治县辽宁省辽宁鞍山市海城市122.740.88辽宁省辽宁抚顺市抚顺市123.9841.88辽宁省辽宁抚顺市新抚区123.8841.87辽宁省辽宁抚顺市东洲区124.0241.85辽宁省辽宁抚顺市望花区123.7841.85辽宁省辽宁抚顺市顺城区123.9341.88辽宁省辽宁抚顺市抚顺县123.941.88125.0341.73辽宁省辽宁抚顺市新宾满族自治县124.9242.1辽宁省辽宁抚顺市清原满族自治县辽宁省辽宁本溪市本溪市123.7741.3辽宁省辽宁本溪市平山区123.7741.3辽宁省辽宁本溪市溪湖区123.7741.33辽宁省辽宁本溪市明山区123.8241.3辽宁省辽宁本溪市南芬区123.7341.1124.1241.3辽宁省辽宁本溪市本溪满族自治县125.3541.27辽宁省辽宁本溪市桓仁满族自治县辽宁省辽宁丹东市丹东市124.3840.13辽宁省辽宁丹东市元宝区124.3840.13辽宁省辽宁丹东市振兴区124.3540.08辽宁省辽宁丹东市振安区124.4240.17124.7840.73辽宁省辽宁丹东市宽甸满族自治县辽宁省辽宁丹东市东港市124.1539.87辽宁省辽宁丹东市凤城市124.0740.45辽宁省辽宁锦州市锦州市121.1341.1辽宁省辽宁锦州市古塔区121.1241.13辽宁省辽宁锦州市凌河区121.1541.12辽宁省辽宁锦州市太和区121.141.1辽宁省辽宁锦州市黑山县122.1241.7辽宁省辽宁锦州市义县121.2341.53辽宁省辽宁锦州市凌海市121.3541.17辽宁省辽宁营口市营口市122.2340.67辽宁省辽宁营口市站前区122.2740.68辽宁省辽宁营口市西市区122.2240.67辽宁省辽宁营口市鲅鱼圈区122.1240.27辽宁省辽宁营口市老边区122.3740.67辽宁省辽宁营口市盖州市122.3540.4辽宁省辽宁营口市大石桥市122.540.65辽宁省辽宁阜新市阜新市121.6742.02辽宁省辽宁阜新市海州区121.6542.02辽宁省辽宁阜新市太平区121.6742.02辽宁省辽宁阜新市清河门区121.4241.75辽宁省辽宁阜新市细河区121.6842.03辽宁省辽宁阜新市阜新蒙古族自121.7542.07治县辽宁省辽宁阜新市彰武县122.5342.38辽宁省辽宁辽阳市辽阳市123.1741.27辽宁省辽宁辽阳市白塔区123.1741.27辽宁省辽宁辽阳市文圣区123.1841.27辽宁省辽宁辽阳市宏伟区123.241.2辽宁省辽宁辽阳市弓长岭区123.4541.13辽宁省辽宁辽阳市太子河区123.1841.25辽宁省辽宁辽阳市辽阳县123.0741.22辽宁省辽宁辽阳市灯塔市123.3341.42辽宁省辽宁盘锦市盘锦市122.0741.12辽宁省辽宁盘锦市双台子区122.0541.2辽宁省辽宁盘锦市兴隆台区122.0741.12辽宁省辽宁盘锦市大洼县122.0740.98辽宁省辽宁盘锦市盘山县122.0241.25辽宁省辽宁铁岭市铁岭市123.8342.28辽宁省辽宁铁岭市银州区123.8542.28辽宁省辽宁铁岭市清河区124.1542.53辽宁省辽宁铁岭市铁岭县123.8342.3辽宁省辽宁铁岭市西丰县124.7242.73辽宁省辽宁铁岭市昌图县124.142.78辽宁省辽宁铁岭市调兵山市123.5542.47辽宁省辽宁铁岭市开原市124.0342.55辽宁省辽宁朝阳市朝阳市120.4541.57辽宁省辽宁朝阳市双塔区120.4541.57辽宁省辽宁朝阳市龙城区120.4341.6辽宁省辽宁朝阳市朝阳县120.4741.58辽宁省辽宁朝阳市建平县119.6341.4辽宁省辽宁朝阳市北票市120.7741.8辽宁省辽宁朝阳市凌源市119.441.25辽宁省辽宁葫芦岛市葫芦岛市120.8340.72辽宁省辽宁葫芦岛市连山区120.8740.77辽宁省辽宁葫芦岛市龙港区120.9340.72。
国内主要城市经纬度表(参考表)安徽省合肥的经纬度北纬31.52东经117.17 安徽省安庆的经纬度北纬30.31东经117.02 安徽省蚌埠的经纬度北纬32.56东经117.21 安徽省亳州的经纬度北纬33.52东经115.47 安徽省巢湖的经纬度北纬31.36东经117.52 安徽省滁州的经纬度北纬32.18东经118.18 安徽省阜阳的经纬度北纬32.54东经115.48 安徽省贵池的经纬度北纬30.39东经117.28 安徽省淮北的经纬度北纬33.57东经116.47 安徽省淮南的经纬度北纬32.37东经116.58 安徽省黄山的经纬度北纬29.43东经118.18 安徽省界首的经纬度北纬33.15东经115.21 安徽省六安的经纬度北纬31.44东经116.28 安徽省马鞍山的经纬度北纬31.43东经118.28 安徽省明光的经纬度北纬32.47东经117.58 安徽省宿州的经纬度北纬33.38东经116.58 安徽省天长的经纬度北纬32.41东经118.59 安徽省铜陵的经纬度北纬30.56东经117.48 安徽省芜湖的经纬度北纬31.19东经118.22 安徽省宣州的经纬度北纬30.57东经118.44澳门澳门的经纬度北纬21.33东经115.07北京市北京的经纬度北纬39.55东经116.24福建省福州的经纬度北纬26.05东经119.18 福建省长乐的经纬度北纬25.58东经119.31 福建省福安的经纬度北纬27.06东经119.39 福建省福清的经纬度北纬25.42东经119.23 福建省建瓯的经纬度北纬27.03东经118.20 福建省建阳的经纬度北纬27.21东经118.07 福建省晋江的经纬度北纬24.49东经118.35 福建省龙海的经纬度北纬24.26东经117.48 福建省龙岩的经纬度北纬25.06东经117.01 福建省南安的经纬度北纬24.57东经118.23 福建省南平的经纬度北纬26.38东经118.10 福建省宁德的经纬度北纬26.39东经119.31 福建省莆田的经纬度北纬24.26东经119.01 福建省泉州的经纬度北纬24.56东经118.36 福建省三明的经纬度北纬26.13东经117.36 福建省邵武的经纬度北纬27.20东经117.29 福建省石狮的经纬度北纬24.44东经118.38 福建省武夷山的经纬度北纬27.46东经118.02福建省厦门的经纬度北纬24.27东经118.06 福建省永安的经纬度北纬25.58东经117.23 福建省漳平的经纬度北纬25.17东经117.24 福建省漳州的经纬度北纬24.31东经117.39甘肃省兰州的经纬度北纬36.04东经103.51 甘肃省白银的经纬度北纬36.33东经104.12 甘肃省敦煌的经纬度北纬40.08东经94.41 甘肃省嘉峪关的经纬度北纬39.48东经98.14 甘肃省金昌的经纬度北纬38.28东经102.10 甘肃省酒泉的经纬度北纬39.44东经98.31 甘肃省临夏的经纬度北纬35.37东经103.12 甘肃省平凉的经纬度北纬35.32东经106.40 甘肃省天水的经纬度北纬34.37东经105.42 甘肃省武威的经纬度北纬37.56东经102.39 甘肃省西峰的经纬度北纬35.45东经107.40 甘肃省玉门的经纬度北纬39.49东经97.35 甘肃省张掖的经纬度北纬38.56东经100.26广东省广州的经纬度北纬23.08东经113.14 广东省潮阳的经纬度北纬23.16东经116.36 广东省潮州的经纬度北纬23.40东经116.38广东省从化的经纬度北纬23.33东经113.33 广东省东莞的经纬度北纬23.02东经113.45 广东省恩平的经纬度北纬22.12东经112.19 广东省佛山的经纬度北纬23.02东经113.06 广东省高明的经纬度北纬22.53东经112.50 广东省高要的经纬度北纬23.02东经112.26 广东省高州的经纬度北纬21.54东经110.50 广东省鹤山的经纬度北纬22.46东经112.57 广东省河源的经纬度北纬23.43东经114.41 广东省花都的经纬度北纬23.23东经113.12 广东省化州的经纬度北纬21.39东经110.37 广东省惠阳的经纬度北纬22.48东经114.28 广东省惠州的经纬度北纬23.05东经114.22 广东省江门的经纬度北纬22.35东经113.04 广东省揭阳的经纬度北纬22.32东经116.21 广东省开平的经纬度北纬22.22东经112.40 广东省乐昌的经纬度北纬25.09东经113.21广东省雷州的经纬度北纬20.54东经110.04 广东省廉江的经纬度北纬21.37东经110.17 广东省连州的经纬度北纬24.48东经112.23广东省茂名的经纬度北纬21.40东经110.53 广东省梅州的经纬度北纬24.19东经116.07 广东省南海的经纬度北纬23.01东经113.09 广东省番禺的经纬度北纬22.57东经113.22 广东省普宁的经纬度北纬23.18东经116.10 广东省清远的经纬度北纬23.42东经113.01 广东省三水的经纬度北纬23.10东经112.52 广东省汕头的经纬度北纬23.22东经116.41 广东省汕尾的经纬度北纬22.47东经115.21 广东省韶关的经纬度北纬24.48东经113.37 广东省深圳的经纬度北纬22.33东经114.07 广东省顺德的经纬度北纬22.50东经113.15 广东省四会的经纬度北纬23.21东经112.41 广东省台山的经纬度北纬22.15东经112.48 广东省吴川的经纬度北纬21.26东经110.47 广东省新会的经纬度北纬22.32东经113.01广东省兴宁的经纬度北纬24.09东经115.43 广东省阳春的经纬度北纬22.10东经111.48 广东省阳江的经纬度北纬21.50东经111.58 广东省英德的经纬度北纬24.10东经113.22广东省增城的经纬度北纬23.18东经113.49广东省湛江的经纬度北纬21.11东经110.24广东省肇庆的经纬度北纬23.03东经112.27广东省中山的经纬度北纬22.31东经113.22广东省珠海的经纬度北纬22.17东经113.34广西自治区南宁的经纬度北纬22.48东经108.19 广西自治区北海的经纬度北纬21.28东经109.07 广西自治区北流的经纬度北纬22.42东经110.21 广西自治区百色的经纬度北纬23.54东经106.36 广西自治区防城港的经纬度北纬21.37东经108.20 广西自治区贵港的经纬度北纬23.06东经109.36 广西自治区桂林的经纬度北纬25.17东经110.17 广西自治区桂平的经纬度北纬23.22东经110.04 广西自治区河池的经纬度北纬24.42东经108.03 广西自治区合山的经纬度北纬23.47东经108.52 广西自治区柳州的经纬度北纬23.19东经109.24 广西自治区赁祥的经纬度北纬22.07东经106.44 广西自治区钦州的经纬度北纬21.57东经108.37 广西自治区梧州的经纬度北纬23.29东经111.20 广西自治区玉林的经纬度北纬22.38东经110.09广西自治区宜州的经纬度北纬24.28东经108.40贵州省贵阳的经纬度北纬26.35东经106.42贵州省安顺的经纬度北纬26.14东经105.55贵州省毕节的经纬度北纬27.18东经105.18贵州省赤水的经纬度北纬28.34东经105.42贵州省都匀的经纬度北纬26.15东经107.31贵州省凯里的经纬度北纬26.35东经107.58贵州省六盘水的经纬度北纬26.35东经104.50 贵州省清镇的经纬度北纬26.33东经106.27贵州省铜仁的经纬度北纬27.43东经109.12贵州省兴义的经纬度北纬25.05东经104.53贵州省遵义的经纬度北纬27.42东经106.55海南省海口的经纬度北纬20.02东经110.20海南省儋州的经纬度北纬19.31东经109.34海南省琼海的经纬度北纬19.14东经110.28海南省琼山的经纬度北纬19.59东经110.21海南省三亚的经纬度北纬18.14东经109.31海南省通什的经纬度北纬18.46东经109.31河北省石家庄的经纬度北纬38.02东经114.30河北省保定的经纬度北纬38.51东经115.30 河北省霸州的经纬度北纬39.06东经116.24 河北省泊头的经纬度北纬38.04东经116.34 河北省沧州的经纬度北纬38.18东经116.52 河北省承德的经纬度北纬40.59东经117.57 河北省定州的经纬度北纬38.30东经115.00 河北省丰南的经纬度北纬39.34东经118.06 河北省高碑店的经纬度北纬39.20东经115.51河北省蒿城的经纬度北纬38.02东经114.50 河北省邯郸的经纬度北纬36.36东经114.28 河北省河间的经纬度北纬38.26东经116.05 河北省衡水的经纬度北纬37.44东经115.42河北省黄骅的经纬度北纬38.21东经117.21 河北省晋州的经纬度北纬38.02东经115.02 河北省冀州的经纬度北纬37.34东经115.33 河北省廓坊的经纬度北纬39.31东经116.42 河北省鹿泉的经纬度北纬38.04东经114.19 河北省南宫的经纬度北纬37.22东经115.23 河北省秦皇岛的经纬度北纬39.55东经119.35河北省三河的经纬度北纬39.58东经117.04 河北省沙河的经纬度北纬36.51东经114.30 河北省深州的经纬度北纬38.01东经115.32 河北省唐山的经纬度北纬39.36东经118.11 河北省武安的经纬度北纬36.42东经114.11 河北省邢台的经纬度北纬37.04东经114.30 河北省辛集的经纬度北纬37.54东经115.12 河北省新乐的经纬度北纬38.20东经114.41 河北省张家口的经纬度北纬40.48东经114.53 河北省涿州的经纬度北纬39.29东经115.59 河北省遵化的经纬度北纬40.11东经117.58 河南省郑州的经纬度北纬34.46东经11340河南省安阳的经纬度北纬36.06东经114.21 河南省长葛的经纬度北纬34.12东经113.47 河南省登封的经纬度北纬34.27东经113.02 河南省邓州的经纬度北纬32.42东经112.05 河南省巩义的经纬度北纬34.46东经112.58 河南省鹤壁的经纬度北纬35.54东经114.11 河南省辉县的经纬度北纬35.27东经113.47 河南省焦作的经纬度北纬35.14东经113.12 河南省济源的经纬度北纬35.04东经112.35河南省灵宝的经纬度北纬34.31东经110.52 河南省林州的经纬度北纬36.03东经113.49 河南省漯河的经纬度北纬33.33东经114.02 河南省洛阳的经纬度北纬34.41东经112.27 河南省南阳的经纬度北纬33.00东经112.32 河南省平顶山的经纬度北纬33.44东经113.17 河南省濮阳的经纬度北纬35.44东经115.01 河南省沁阳的经纬度北纬35.05东经112.57 河南省汝州的经纬度北纬34.09东经112.50 河南省三门峡的经纬度北纬34.47东经111.12 河南省商丘的经纬度北纬34.26东经115.38 河南省卫辉的经纬度北纬35.24东经114.03 河南省舞钢的经纬度北纬33.17东经113.30 河南省项城的经纬度北纬33.26东经114.54 河南省荥阳的经纬度北纬34.46东经113.21 河南省新密的经纬度北纬34.31东经113.22 河南省新乡的经纬度北纬35.18东经113.52 河南省信阳的经纬度北纬32.07东经114.04 河南省新郑的经纬度北纬34.24东经113.43 河南省许昌的经纬度北纬34.01东经113.49 河南省偃师的经纬度北纬34.43东经112.47河南省义马的经纬度北纬34.43东经111.55河南省禹州的经纬度北纬34.09东经113.28河南省周口的经纬度北纬33.37东经114.38河南省驻马店的经纬度北纬32.58东经114.01黑龙江省哈尔滨的经纬度北纬45.44东经126.36 黑龙江省阿城的经纬度北纬45.32东经126.58黑龙江省安达的经纬度北纬46.24东经125.18黑龙江省北安的经纬度北纬48.15东经126.31黑龙江省大庆的经纬度北纬46.36东经125.01黑龙江省富锦的经纬度北纬47.15东经132.02黑龙江省海林的经纬度北纬44.35东经129.21黑龙江省海伦的经纬度北纬47.28东经126.57黑龙江省鹤岗的经纬度北纬47.20东经130.16黑龙江省黑河的经纬度北纬50.14东经127.29黑龙江省佳木斯的经纬度北纬46.47东经130.22 黑龙江省鸡西的经纬度北纬45.17东经130.57黑龙江省密山的经纬度北纬45.32东经131.50黑龙江省牡丹江的经纬度北纬44.35东经129.36 黑龙江省讷河的经纬度北纬48.29东经124.51黑龙江省宁安的经纬度北纬44.21东经129.28黑龙江省齐齐哈尔的经纬度北纬47.20东经123.57黑龙江省七台河的经纬度北纬45.48东经130.49 黑龙江省双城的经纬度北纬45.22东经126.15黑龙江省尚志的经纬度北纬45.14东经127.55黑龙江省双鸭山的经纬度北纬46.38东经131.11 黑龙江省绥芬河的经纬度北纬44.25东经131.11 黑龙江省绥化的经纬度北纬46.38东经126.59黑龙江省铁力的经纬度北纬46.59东经128.01黑龙江省同江的经纬度北纬47.39东经132.30黑龙江省五常的经纬度北纬44.55东经127.11黑龙江省五大连池的经纬度北纬48.38东经126.07 黑龙江省伊春的经纬度北纬47.42东经128.56黑龙江省肇东的经纬度北纬46.04东经125.58湖北省武汉的经纬度北纬30.35东经114.17湖北省安陆的经纬度北纬31.15东经113.41湖北省当阳的经纬度北纬30.50东经111.47湖北省丹江口的经纬度北纬32.33东经108.30湖北省大冶的经纬度北纬30.06东经114.58湖北省恩施的经纬度北纬30.16东经109.29湖北省鄂州的经纬度北纬30.23东经114.52湖北省广水的经纬度北纬31.37东经113.48湖北省黄石的经纬度北纬30.12东经115.06 湖北省黄州的经纬度北纬30.27东经114.52 湖北省荆门的经纬度北纬31.02东经112.12 湖北省荆沙的经纬度北纬30.18东经112.16 湖北省老河口的经纬度北纬32.23东经111.40 湖北省利川的经纬度北纬30.18东经108.56 湖北省麻城的经纬度北纬31.10东经115.01 湖北省浦圻的经纬度北纬29.42东经113.51 湖北省潜江的经纬度北纬30.26东经112.53 湖北省石首的经纬度北纬29.43东经112.24 湖北省十堰的经纬度北纬32.40东经110.47 湖北省随州的经纬度北纬31.42东经113.22 湖北省天门的经纬度北纬60.39东经113.10 湖北省武穴的经纬度北纬29.51东经115.33 湖北省襄樊的经纬度北纬32.02东经112.08 湖北省咸宁的经纬度北纬29.53东经114.17 湖北省仙桃的经纬度北纬30.22东经113.27 湖北省孝感的经纬度北纬30.56东经113.54 湖北省宜昌的经纬度北纬30.42东经111.17 湖北省宜城的经纬度北纬31.42东经112.15 湖北省应城的经纬度北纬30.57东经113.33湖北省枝城的经纬度北纬30.23东经111.27 湖北省钟祥的经纬度北纬31.10东经112.34 湖南省长沙的经纬度北纬28.12东经112.59 湖南省常德的经纬度北纬29.02东经111.51 湖南省郴州的经纬度北纬25.46东经113.02 湖南省衡阳的经纬度北纬26.53东经112.37 湖南省洪江的经纬度北纬27.07东经109.59 湖南省怀化的经纬度北纬27.33东经109.58 湖南省津市的经纬度北纬29.38东经111.52 湖南省吉首的经纬度北纬28.18东经109.43 湖南省耒阳的经纬度北纬26.24东经112.51 湖南省冷水江的经纬度北纬27.42东经111.26 湖南省冷水滩的经纬度北纬26.26东经111.35 湖南省涟源的经纬度北纬27.41东经111.41 湖南省醴陵的经纬度北纬27.40东经113.30 湖南省临湘的经纬度北纬29.29东经113.27 湖南省浏阳的经纬度北纬28.09东经113.37 湖南省娄底的经纬度北纬27.44东经111.59 湖南省汨罗的经纬度北纬28.49东经113.03 湖南省韶山的经纬度北纬27.54东经112.29 湖南省邵阳的经纬度北纬27.14东经111.28湖南省湘潭的经纬度北纬27.52东经112.53 湖南省湘乡的经纬度北纬27.44东经112.31 湖南省益阳的经纬度北纬28.36东经112.20 湖南省永州的经纬度北纬26.13东经111.37 湖南省沅江的经纬度北纬28.50东经112.22 湖南省岳阳的经纬度北纬29.22东经113.06 湖南省张家界的经纬度北纬29.08东经110.29 湖南省株洲的经纬度北纬27.51东经113.09 湖南省资兴的经纬度北纬25.58东经113.13吉林省长春的经纬度北纬43.54东经125.19 吉林省白城的经纬度北纬45.38东经122.50 吉林省白山的经纬度北纬41.56东经126.26 吉林省大安的经纬度北纬45.30东经124.18 吉林省德惠的经纬度北纬44.32东经125.42 吉林省敦化的经纬度北纬43.22东经128.13 吉林省公主岭的经纬度北纬43.31东经124.49 吉林省和龙的经纬度北纬42.32东经129.00 吉林省桦甸的经纬度北纬42.58东经126.44吉林省珲春的经纬度北纬42.52东经130.22吉林省集安的经纬度北纬41.08东经126.11 吉林省蛟河的经纬度北纬43.42东经127.21 吉林省吉林的经纬度北纬43.52东经126.33 吉林省九台的经纬度北纬44.09东经125.51吉林省辽源的经纬度北纬42.54东经125.09 吉林省临江的经纬度北纬41.49东经126.53 吉林省龙井的经纬度北纬42.46东经129.26 吉林省梅河口的经纬度北纬42.32东经125.40 吉林省舒兰的经纬度北纬44.24东经126.57 吉林省四平的经纬度北纬43.10东经124.22 吉林省松原的经纬度北纬45.11东经124.49 吉林省洮南的经纬度北纬45.20东经122.47 吉林省通化的经纬度北纬41.43东经125.56 吉林省图们的经纬度北纬42.57东经129.51 吉林省延吉的经纬度北纬42.54东经129.30 吉林省愉树的经纬度北纬44.49东经126.32江苏省南京的经纬度北纬32.03东经118.46 江苏省常熟的经纬度北纬31.39东经120.43 江苏省常州的经纬度北纬31.47东经119.58 江苏省丹阳的经纬度北纬32.00东经119.32江苏省高邮的经纬度北纬32.47东经119.27 江苏省海门的经纬度北纬31.53东经121.09 江苏省淮安的经纬度北纬33.30东经119.09 江苏省淮阴的经纬度北纬33.36东经119.02 江苏省江都的经纬度北纬32.26东经119.32 江苏省姜堰的经纬度北纬32.34东经120.08 江苏省江阴的经纬度北纬31.54东经120.17 江苏省靖江的经纬度北纬32.02东经120.17 江苏省金坛的经纬度北纬31.46东经119.33 江苏省昆山的经纬度北纬31.23东经120.57 江苏省连去港的经纬度北纬34.36东经119.10 江苏省溧阳的经纬度北纬31.26东经119.29 江苏省南通的经纬度北纬32.01东经120.51 江苏省邳州的经纬度北纬34.19东经117.59 江苏省启乐的经纬度北纬31.48东经121.39 江苏省如皋的经纬度北纬32.23东经120.33 江苏省宿迁的经纬度北纬33.58东经118.18 江苏省苏州的经纬度北纬31.19东经120.37 江苏省太仓的经纬度北纬31.27东经121.06 江苏省泰兴的经纬度北纬32.10东经120.01 江苏省泰州的经纬度北纬32.30东经119.54江苏省吴江的经纬度北纬31.10东经120.39 江苏省无锡的经纬度北纬31.34东经120.18 江苏省兴化的经纬度北纬32.56东经119.50 江苏省新沂的经纬度北纬34.22东经118.20 江苏省徐州的经纬度北纬34.15东经117.11 江苏省盐在的经纬度北纬33.22东经120.08 江苏省扬中的经纬度北纬32.14东经119.49 江苏省扬州的经纬度北纬32.23东经119.26 江苏省宜兴的经纬度北纬31.21东经119.49 江苏省仪征的经纬度北纬32.16东经119.10 江苏省张家港的经纬度北纬31.52东经120.32 江苏省镇江的经纬度北纬32.11东经119.27江西省南昌的经纬度北纬28.40东经115.55 江西省德兴的经纬度北纬28.57东经117.35 江西省丰城的经纬度北纬28.12东经115.48 江西省赣州的经纬度北纬28.52东经114.56 江西省高安的经纬度北纬28.25东经115.22 江西省吉安的经纬度北纬27.07东经114.58 江西省景德镇的经纬度北纬29.17东经117.13 江西省井冈山的经纬度北纬26.34东经114.10江西省乐平的经纬度北纬28.58东经117.08 江西省临川的经纬度北纬27.59东经116.21 江西省萍乡的经纬度北纬27.37东经113.50 江西省瑞昌的经纬度北纬29.40东经115.38 江西省瑞金的经纬度北纬25.53东经116.01 江西省上饶的经纬度北纬25.27东经117.58 江西省新余的经纬度北纬27.48东经114.56 江西省宜春的经纬度北纬27.47东经114.23 江西省鹰潭的经纬度北纬28.14东经117.03 江西省樟树的经纬度北纬28.03东经115.32辽宁省沈阳的经纬度北纬41.48东经123.25 辽宁省鞍山的经纬度北纬41.07东经123.00 辽宁省北票的经纬度北纬41.48东经120.47 辽宁省本溪的经纬度北纬41.18东经123.46 辽宁省朝阳的经纬度北纬41.34东经120.27 辽宁省大连的经纬度北纬38.55东经121.36 辽宁省丹东的经纬度北纬40.08东经124.22 辽宁省大石桥的经纬度北纬40.37东经122.31 辽宁省东港的经纬度北纬39.53东经124.08 辽宁省凤城的经纬度北纬40.28东经124.02辽宁省抚顺的经纬度北纬41.51东经123.54辽宁省阜新的经纬度北纬42.01东经121.39辽宁省盖州的经纬度北纬40.24东经122.21辽宁省海城的经纬度北纬40.51东经122.43辽宁省葫芦岛的经纬度北纬40.45东经120.51辽宁省锦州的经纬度北纬41.07东经121.09辽宁省开原的经纬度北纬42.32东经124.02辽宁省辽阳的经纬度北纬41.16东经123.12辽宁省凌海的经纬度北纬41.10东经121.21辽宁省凌源的经纬度北纬41.14东经119.22辽宁省盘锦的经纬度北纬41.07东经122.03辽宁省普兰店的经纬度北纬39.23东经121.58辽宁省铁法的经纬度北纬42.28东经123.32辽宁省铁岭的经纬度北纬42.18东经123.51辽宁省瓦房店的经纬度北纬39.37东经122.00辽宁省兴城的经纬度北纬40.37东经120.41辽宁省新民的经纬度北纬41.59东经122.49辽宁省营口的经纬度北纬40.39东经122.13辽宁省庄河的经纬度北纬39.41东经122.58内蒙古自治区呼和浩特的经纬度北纬40.48东经111.41内蒙古自治区赤峰的经纬度北纬42.17东经118.58内蒙古自治区东胜的经纬度北纬39.48东经109.59内蒙古自治区二连浩特的经纬度北纬43.38东经111.58 内蒙古自治区额尔古纳的经纬度北纬50.13东经120.11 内蒙古自治区丰镇的经纬度北纬40.27东经113.09内蒙古自治区根河的经纬度北纬50.48东经121.29内蒙古自治区海拉尔的经纬度北纬49.12东经119.39 内蒙古自治区霍林郭勒的经纬度北纬45.32东经119.38 内蒙古自治区集宁的经纬度北纬41.02东经113.06内蒙古自治区临河的经纬度北纬40.46东经107.22内蒙古自治区满洲里的经纬度北纬49.35东经117.23 内蒙古自治区通辽的经纬度北纬43.37东经122.16内蒙古自治区乌兰浩特的经纬度北纬46.03东经122.03 内蒙古自治区乌海的经纬度北纬39.40东经106.48内蒙古自治区锡林浩特的经纬度北纬43.57东经116.03 内蒙古自治区牙克石的经纬度北纬49.17东经120.40 内蒙古自治区扎兰屯的经纬度北纬48.00东经122.47宁夏自治区银川的经纬度北纬38.27东经106.16宁夏自治区青铜峡的经纬度北纬37.56东经105.59宁夏自治区石嘴山的经纬度北纬39.02东经106.22青海省西宁的经纬度北纬36.38东经101.48 青海省德令哈的经纬度北纬37.22东经97.23 青海省格尔木的经纬度北纬36.26东经94.55山东省济南的经纬度北纬36.40东经117.00 山东省安丘的经纬度北纬36.25东经119.12 山东省滨州的经纬度北纬37.22东经118.02 山东省昌邑的经纬度北纬39.52东经119.24 山东省德州的经纬度北纬37.26东经116.17 山东省东营的经纬度北纬37.27东经118.30 山东省肥城的经纬度北纬36.14东经116.46 山东省高密的经纬度北纬36.22东经119.44 山东省菏泽的经纬度北纬35.14东经115.26 山东省胶南的经纬度北纬35.53东经119.58 山东省胶州的经纬度北纬36.17东经120.00 山东省即墨的经纬度北纬36.22东经120.28 山东省济宁的经纬度北纬35.23东经116.33 山东省莱芜的经纬度北纬36.12东经117.40 山东省莱西的经纬度北纬36.52东经120.31 山东省莱阳的经纬度北纬36.58东经120.42山东省莱州的经纬度北纬37.10东经119.57 山东省乐陵的经纬度北纬37.44东经117.12 山东省聊城的经纬度北纬36.26东经115.57 山东省临清的经纬度北纬36.51东经115.42 山东省临沂的经纬度北纬35.03东经118.20 山东省龙口的经纬度北纬37.39东经120.21 山东省蓬莱的经纬度北纬37.48东经120.45 山东省平度的经纬度北纬36.47东经119.58山东省青岛的经纬度北纬36.03东经120.18 山东省青州的经纬度北纬36.42东经118.28 山东省曲阜的经纬度北纬35.36东经116.58 山东省日照的经纬度北纬35.23东经119.32 山东省荣成的经纬度北纬37.10东经122.25 山东省乳山的经纬度北纬36.54东经121.31 山东省寿光的经纬度北纬36.53东经118.44 山东省泰安的经纬度北纬36.11东经117.08 山东省滕州的经纬度北纬35.06东经117.09 山东省潍坊的经纬度北纬36.43东经119.06 山东省威海的经纬度北纬37.31东经122.07 山东省文登的经纬度北纬37.12东经122.03山东省新泰的经纬度北纬35.54东经117.45 山东省烟台的经纬度北纬37.32东经121.24 山东省兖州的经纬度北纬35.32东经116.49 山东省禹城的经纬度北纬36.56东经116.39 山东省枣庄的经纬度北纬34.52东经117.33 山东省章丘的经纬度北纬36.43东经117.32 山东省招远的经纬度北纬37.21东经120.23 山东省诸城的经纬度北纬35.59东经119.24 山东省淄博的经纬度北纬36.48东经118.03 山东省邹城的经纬度北纬35.24东经116.58山西省太原的经纬度北纬37.54东经112.33 山西省长治的经纬度北纬36.11东经113.06 山西省大同的经纬度北纬40.06东经113.17 山西省高平的经纬度北纬35.48东经112.55 山西省古交的经纬度北纬37.54东经112.09 山西省河津的经纬度北纬35.35东经110.41 山西省侯马的经纬度北纬35.37东经111.21 山西省霍州的经纬度北纬36.34东经111.42 山西省介休的经纬度北纬37.02东经111.55 山西省晋城的经纬度北纬35.30东经112.51山西省临汾的经纬度北纬36.05东经111.31 山西省潞城的经纬度北纬36.21东经113.14 山西省朔州的经纬度北纬39.19东经112.26 山西省孝义的经纬度北纬37.08东经111.48 山西省忻州的经纬度北纬38.24东经112.43 山西省阳泉的经纬度北纬37.51东经113.34 山西省永济的经纬度北纬34.52东经110.27 山西省原平的经纬度北纬38.43东经112.42 山西省榆次的经纬度北纬37.41东经112.43 山西省运城的经纬度北纬35.02东经110.59陕西省西安的经纬度北纬34.17东经108.57 陕西省安康的经纬度北纬32.41东经109.01 陕西省宝鸡的经纬度北纬34.22东经107.09 陕西省韩城的经纬度北纬35.28东经110.27 陕西省汉中的经纬度北纬33.04东经107.01 陕西省华阴的经纬度北纬34.34东经110.05 陕西省商州的经纬度北纬33.52东经109.57 陕西省铜川的经纬度北纬35.06东经109.07 陕西省渭南的经纬度北纬34.30东经109.30 陕西省咸阳的经纬度北纬34.20东经108.43 陕西省兴平的经纬度北纬34.18东经108.29陕西省延安的经纬度北纬36.35东经109.28 陕西省榆林的经纬度北纬38.18东经109.47上海市上海的经纬度北纬31.14东经121.29四川省成都的经纬度北纬30.40东经104.04 四川省巴中的经纬度北纬31.51东经106.43 四川省崇州的经纬度北纬30.39东经103.40 四川省达川的经纬度北纬31.14东经107.29 四川省德阳的经纬度北纬31.09东经104.22 四川省都江堰的经纬度北纬31.01东经103.37 四川省峨眉山的经纬度北纬29.36东经103.29 四川省涪陵的经纬度北纬29.42东经107.22 四川省广汉的经纬度北纬30.58东经104.15 四川省广元的经纬度北纬32.28东经105.51 四川省华蓥的经纬度北纬30.26东经106.44 四川省简阳的经纬度北纬30.24东经104.32 四川省江油的经纬度北纬31.48东经104.42 四川省阆中的经纬度北纬31.36东经105.58 四川省乐山的经纬度北纬29.36东经103.44 四川省泸州的经纬度北纬28.54东经105.24 四川省绵阳的经纬度北纬31.30东经104.42四川省南充的经纬度北纬30.49东经106.04四川省内江的经纬度北纬29.36东经105.02四川省攀枝花的经纬度北纬26.34东经101.43四川省彭州的经纬度北纬30.59东经103.57四川省邛崃的经纬度北纬30.26东经103.28四川省遂宁的经纬度北纬30.31东经105.33四川省万县的经纬度北纬30.50东经108.21四川省万源的经纬度北纬32.03东经108.03四川省西昌的经纬度北纬27.54东经102.16四川省雅安的经纬度北纬29.59东经102.59四川省宜宾的经纬度北纬28.47东经104.34四川省自贡的经纬度北纬29.23东经104.46四川省资阳的经纬度北纬30.09东经104.38台湾省台北的经纬度北纬25.03东经121.30天津市天津的经纬度北纬39.02东经117.12西藏自治区拉萨的经纬度北纬29.39东经91.08 西藏自治区日喀则的经纬度北纬29.16东经88.51香港香港的经纬度北纬21.23东经115.12。
全国经纬度省份 地市 区县 经度 纬度北京市 北京市 北京市 116.4 39.9北京市 北京市 天安门 116.38 39.9北京市 北京市 东城区 116.42 39.93北京市 北京市 西城区 116.37 39.92北京市 北京市 崇文区 116.43 39.88北京市 北京市 宣武区 116.35 39.87北京市 北京市 朝阳区 116.43 39.92北京市 北京市 丰台区 116.28 39.85北京市 北京市 石景山区 116.22 39.9北京市 北京市 海淀区 116.3 39.95北京市 北京市 门头沟区 116.1 39.93北京市 北京市 房山区 116.13 39.75北京市 北京市 通州区 116.65 39.92北京市 北京市 顺义区 116.65 40.13北京市 北京市 昌平区 116.23 40.22北京市 北京市 大兴区 116.33 39.73北京市 北京市 怀柔区 116.63 40.32北京市 北京市 平谷区 117.12 40.13北京市 北京市 密云县 116.83 40.37北京市 北京市 延庆县 115.97 40.45天津市 天津市 天津市 117.2 39.12天津市 天津市 和平区 117.2 39.12天津市 天津市 河东区 117.22 39.12天津市 天津市 河西区 117.22 39.12天津市 天津市 南开区 117.15 39.13天津市 天津市 河北区 117.18 39.15天津市 天津市 红桥区 117.15 39.17天津市 天津市 塘沽区 117.65 39.02天津市 天津市 汉沽区 117.8 39.25天津市 天津市 大港区 117.45 38.83天津市 天津市 东丽区 117.3 39.08天津市 天津市 西青区 117.0 39.13天津市 天津市 津南区 117.38 38.98天津市 天津市 北辰区 117.13 39.22天津市 天津市 武清区 117.03 39.38天津市 天津市 宝坻区 117.3 39.72天津市 天津市 滨海新区 117.68 39.03天津市 天津市 宁河县 117.82 39.33天津市 天津市 静海县 116.92 38.93天津市 天津市 蓟县 117.4 40.05河北省 石家庄市 石家庄市 114.52 38.05河北省 石家庄市 长安区 114.52 38.05河北省 石家庄市 桥东区 114.5 38.05河北省 石家庄市 桥东区 114.5 37.07河北省 石家庄市 桥西区 114.47 37.05河北省 石家庄市 桥西区 114.87 40.83河北省 石家庄市 桥西区 114.47 38.03河北省 石家庄市 新华区 114.47 38.05河北省 石家庄市 新华区 116.87 38.32河北省 石家庄市 井陉矿区 114.05 38.08河北省 石家庄市 裕华区 114.52 38.02河北省 石家庄市 井陉县 114.13 38.03河北省 石家庄市 正定县 114.57 38.15河北省 石家庄市 栾城县 114.65 37.88河北省 石家庄市 行唐县 114.55 38.43河北省 石家庄市 灵寿县 114.37 38.3河北省 石家庄市 高邑县 114.6 37.6河北省 石家庄市 深泽县 115.2 38.18河北省 石家庄市 赞皇县 114.38 37.67河北省 石家庄市 无极县 114.97 38.18河北省 石家庄市 平山县 114.2 38.25河北省 石家庄市 元氏县 114.52 37.75河北省 石家庄市 赵县 114.77 37.75河北省 石家庄市 辛集市 115.22 37.92河北省 石家庄市 藁城市 114.83 38.03河北省 石家庄市 晋州市 115.03 38.03河北省 石家庄市 新乐市 114.68 38.35河北省 石家庄市 鹿泉市 114.3 38.08河北省 唐山市 唐山市 118.2 39.63河北省 唐山市 路南区 118.17 39.63河北省 唐山市 路北区 118.22 39.63河北省 唐山市 古冶区 118.42 39.73河北省 唐山市 开平区 118.27 39.68河北省 唐山市 丰南区 118.1 39.57河北省 唐山市 丰润区 118.17 39.83河北省 唐山市 滦县 118.7 39.75河北省 唐山市 滦南县 118.68 39.5河北省 唐山市 乐亭县 118.9 39.42河北省 唐山市 迁西县 118.32 40.15河北省 唐山市 玉田县 117.73 39.88河北省 唐山市 唐海县 118.45 39.27河北省 唐山市 遵化市 117.95 40.18河北省 唐山市 迁安市 118.7 40.02河北省 秦皇岛市 秦皇岛市 119.6 39.93河北省 秦皇岛市 海港区 119.6 39.93河北省 秦皇岛市 山海关区 119.77 40.0河北省 秦皇岛市 北戴河区 119.48 39.83河北省 秦皇岛市 青龙满族自治县 118.95 40.4 河北省 秦皇岛市 昌黎县 119.17 39.7河北省 秦皇岛市 卢龙县 118.87 39.88 河北省 邯郸市 邯郸市 114.48 36.62 河北省 邯郸市 邯山区 114.48 36.6河北省 邯郸市 丛台区 114.48 36.63 河北省 邯郸市 复兴区 114.45 36.63 河北省 邯郸市 峰峰矿区 114.2 36.42 河北省 邯郸市 邯郸县 114.53 36.6河北省 邯郸市 临漳县 114.62 36.35 河北省 邯郸市 成安县 114.68 36.43 河北省 邯郸市 大名县 115.15 36.28 河北省 邯郸市 涉县 113.67 36.57河北省 邯郸市 磁县 114.37 36.35河北省 邯郸市 肥乡县 114.8 36.55河北省 邯郸市 永年县 114.48 36.78 河北省 邯郸市 邱县 115.17 36.82河北省 邯郸市 鸡泽县 114.87 36.92 河北省 邯郸市 广平县 114.93 36.48 河北省 邯郸市 馆陶县 115.3 36.53河北省 邯郸市 魏县 114.93 36.37河北省 邯郸市 曲周县 114.95 36.78 河北省 邯郸市 武安市 114.2 36.7河北省 邢台市 邢台市 114.48 37.07 河北省 邢台市 桥东区 114.5 38.05河北省 邢台市 桥东区 114.9 40.78河北省 邢台市 桥东区 114.5 37.07河北省 邢台市 桥西区 114.87 40.83 河北省 邢台市 桥西区 114.47 38.03 河北省 邢台市 桥西区 114.47 37.05 河北省 邢台市 邢台县 114.5 37.08河北省 邢台市 临城县 114.5 37.43河北省 邢台市 内丘县 114.52 37.3河北省 邢台市 柏乡县 114.68 37.5河北省 邢台市 隆尧县 114.77 37.35 河北省 邢台市 任县 114.68 37.13河北省 邢台市 南和县 114.68 37.0河北省 邢台市 宁晋县 114.92 37.62 河北省 邢台市 巨鹿县 115.03 37.22 河北省 邢台市 新河县 115.25 37.53 河北省 邢台市 广宗县 115.15 37.07 河北省 邢台市 平乡县 115.03 37.07 河北省 邢台市 威县 115.25 36.98河北省 邢台市 清河县 115.67 37.07 河北省 邢台市 临西县 115.5 36.85河北省 邢台市 南宫市 115.38 37.35 河北省 邢台市 沙河市 114.5 36.85河北省 保定市 保定市 115.47 38.87河北省 保定市 北市区 115.48 38.87河北省 保定市 南市区 115.5 38.85河北省 保定市 满城县 115.32 38.95河北省 保定市 清苑县 115.48 38.77河北省 保定市 涞水县 115.72 39.4河北省 保定市 阜平县 114.18 38.85河北省 保定市 徐水县 115.65 39.02河北省 保定市 定兴县 115.77 39.27河北省 保定市 唐县 114.98 38.75河北省 保定市 高阳县 115.78 38.68河北省 保定市 容城县 115.87 39.05河北省 保定市 涞源县 114.68 39.35河北省 保定市 望都县 115.15 38.72河北省 保定市 安新县 115.93 38.92河北省 保定市 易县 115.5 39.35河北省 保定市 曲阳县 114.7 38.62河北省 保定市 蠡县 115.57 38.48河北省 保定市 顺平县 115.13 38.83河北省 保定市 博野县 115.47 38.45河北省 保定市 雄县 116.1 38.98河北省 保定市 涿州市 115.97 39.48河北省 保定市 定州市 114.97 38.52河北省 保定市 安国市 115.32 38.42河北省 保定市 高碑店市 115.85 39.33 河北省 张家口市 张家口市 114.88 40.82 河北省 张家口市 桥东区 114.5 38.05河北省 张家口市 桥东区 114.9 40.78河北省 张家口市 桥东区 114.5 37.07河北省 张家口市 桥西区 114.87 40.83 河北省 张家口市 桥西区 114.47 38.03 河北省 张家口市 桥西区 114.47 37.05 河北省 张家口市 宣化区 115.05 40.6河北省 张家口市 下花园区 115.27 40.48 河北省 张家口市 宣化县 115.02 40.55 河北省 张家口市 张北县 114.7 41.15河北省 张家口市 康保县 114.62 41.85 河北省 张家口市 沽源县 115.7 41.67河北省 张家口市 尚义县 113.97 41.08 河北省 张家口市 蔚县 114.57 39.85河北省 张家口市 阳原县 114.17 40.12 河北省 张家口市 怀安县 114.42 40.67 河北省 张家口市 万全县 114.72 40.75 河北省 张家口市 怀来县 115.52 40.4河北省 张家口市 涿鹿县 115.22 40.38 河北省 张家口市 赤城县 115.83 40.92 河北省 张家口市 崇礼县 115.27 40.97河北省 承德市 双桥区 117.93 40.97河北省 承德市 双滦区 117.78 40.95河北省 承德市 鹰手营子矿区 117.65 40.55河北省 承德市 承德县 118.17 40.77河北省 承德市 兴隆县 117.52 40.43河北省 承德市 平泉县 118.68 41.0河北省 承德市 滦平县 117.33 40.93河北省 承德市 隆化县 117.72 41.32河北省 承德市 丰宁满族自治县 116.65 41.2河北省 承德市 宽城满族自治县 118.48 40.6河北省 承德市 围场满族蒙古族自治县 117.75 41.93 河北省 沧州市 沧州市 116.83 38.3河北省 沧州市 新华区 114.47 38.05河北省 沧州市 新华区 116.87 38.32河北省 沧州市 运河区 116.85 38.32河北省 沧州市 沧县 116.87 38.3河北省 沧州市 青县 116.82 38.58河北省 沧州市 东光县 116.53 37.88河北省 沧州市 海兴县 117.48 38.13河北省 沧州市 盐山县 117.22 38.05河北省 沧州市 肃宁县 115.83 38.43河北省 沧州市 南皮县 116.7 38.03河北省 沧州市 吴桥县 116.38 37.62河北省 沧州市 献县 116.12 38.18河北省 沧州市 孟村回族自治县 117.1 38.07河北省 沧州市 泊头市 116.57 38.07河北省 沧州市 任丘市 116.1 38.72河北省 沧州市 黄骅市 117.35 38.37河北省 沧州市 河间市 116.08 38.43河北省 廊坊市 廊坊市 116.7 39.52河北省 廊坊市 安次区 116.68 39.52河北省 廊坊市 广阳区 116.72 39.53河北省 廊坊市 固安县 116.3 39.43河北省 廊坊市 永清县 116.5 39.32河北省 廊坊市 香河县 117.0 39.77河北省 廊坊市 大城县 116.63 38.7河北省 廊坊市 文安县 116.47 38.87河北省 廊坊市 大厂回族自治县 116.98 39.88河北省 廊坊市 霸州市 116.4 39.1河北省 廊坊市 三河市 117.07 39.98河北省 衡水市 衡水市 115.68 37.73河北省 衡水市 桃城区 115.68 37.73河北省 衡水市 枣强县 115.72 37.52河北省 衡水市 武邑县 115.88 37.82河北省 衡水市 武强县 115.98 38.03河北省 衡水市 饶阳县 115.73 38.23河北省 衡水市 故城县 115.97 37.35 河北省 衡水市 景县 116.27 37.7河北省 衡水市 阜城县 116.15 37.87 河北省 衡水市 冀州市 115.57 37.57 河北省 衡水市 深州市 115.55 38.02 山西省 太原市 太原市 112.55 37.87 山西省 太原市 小店区 112.57 37.73 山西省 太原市 迎泽区 112.57 37.87 山西省 太原市 杏花岭区 112.57 37.88 山西省 太原市 尖草坪区 112.48 37.93 山西省 太原市 万柏林区 112.52 37.87 山西省 太原市 晋源区 112.48 37.73 山西省 太原市 清徐县 112.35 37.6山西省 太原市 阳曲县 112.67 38.07 山西省 太原市 娄烦县 111.78 38.07 山西省 太原市 古交市 112.17 37.92 山西省 大同市 大同市 113.3 40.08山西省 大同市 城区 113.28 40.08山西省 大同市 城区 113.6 37.85山西省 大同市 城区 113.12 36.22山西省 大同市 城区 112.83 35.5山西省 大同市 矿区 113.17 40.03山西省 大同市 矿区 113.57 37.87山西省 大同市 南郊区 113.13 40.0山西省 大同市 新荣区 113.15 40.27 山西省 大同市 阳高县 113.75 40.37 山西省 大同市 天镇县 114.08 40.42 山西省 大同市 广灵县 114.28 39.77 山西省 大同市 灵丘县 114.23 39.43 山西省 大同市 浑源县 113.68 39.7山西省 大同市 左云县 112.7 40.0山西省 大同市 大同县 113.6 40.03山西省 阳泉市 阳泉市 113.57 37.85 山西省 阳泉市 城区 113.28 40.08山西省 阳泉市 城区 113.6 37.85山西省 阳泉市 城区 113.12 36.22山西省 阳泉市 城区 112.83 35.5山西省 阳泉市 矿区 113.17 40.03山西省 阳泉市 矿区 113.57 37.87山西省 阳泉市 郊区 113.58 37.93山西省 阳泉市 郊区 113.12 36.2山西省 阳泉市 平定县 113.62 37.8山西省 阳泉市 盂县 113.4 38.08山西省 长治市 长治市 113.12 36.2山西省 长治市 城区 113.28 40.08山西省 长治市 城区 113.6 37.85山西省 长治市 城区 112.83 35.5山西省 长治市 郊区 113.58 37.93 山西省 长治市 郊区 113.12 36.2山西省 长治市 长治县 113.03 36.05 山西省 长治市 襄垣县 113.05 36.53 山西省 长治市 屯留县 112.88 36.32 山西省 长治市 平顺县 113.43 36.2 山西省 长治市 黎城县 113.38 36.5 山西省 长治市 壶关县 113.2 36.12 山西省 长治市 长子县 112.87 36.12 山西省 长治市 武乡县 112.85 36.83 山西省 长治市 沁县 112.7 36.75山西省 长治市 沁源县 112.33 36.5 山西省 长治市 潞城市 113.22 36.33 山西省 晋城市 晋城市 112.83 35.5 山西省 晋城市 城区 113.28 40.08 山西省 晋城市 城区 113.6 37.85山西省 晋城市 城区 113.12 36.22 山西省 晋城市 城区 112.83 35.5山西省 晋城市 沁水县 112.18 35.68 山西省 晋城市 阳城县 112.42 35.48 山西省 晋城市 陵川县 113.27 35.78 山西省 晋城市 泽州县 112.83 35.5 山西省 晋城市 高平市 112.92 35.8 山西省 朔州市 朔州市 112.43 39.33 山西省 朔州市 朔城区 112.43 39.33 山西省 朔州市 山阴县 112.82 39.52 山西省 朔州市 应县 113.18 39.55 山西省 朔州市 右玉县 112.47 39.98 山西省 朔州市 怀仁县 113.08 39.83 山西省 晋中市 晋中市 112.75 37.68 山西省 晋中市 榆次区 112.75 37.68 山西省 晋中市 榆社县 112.97 37.07 山西省 晋中市 左权县 113.37 37.07 山西省 晋中市 和顺县 113.57 37.33 山西省 晋中市 昔阳县 113.7 37.62 山西省 晋中市 寿阳县 113.18 37.88 山西省 晋中市 太谷县 112.55 37.42 山西省 晋中市 祁县 112.33 37.35 山西省 晋中市 平遥县 112.17 37.18 山西省 晋中市 灵石县 111.77 36.85 山西省 晋中市 介休市 111.92 37.03 山西省 运城市 运城市 110.98 35.02 山西省 运城市 盐湖区 110.98 35.02 山西省 运城市 临猗县 110.77 35.15 山西省 运城市 万荣县 110.83 35.42山西省 运城市 稷山县 110.97 35.6 山西省 运城市 新绛县 111.22 35.62 山西省 运城市 绛县 111.57 35.48 山西省 运城市 垣曲县 111.67 35.3 山西省 运城市 夏县 111.22 35.15 山西省 运城市 平陆县 111.22 34.83 山西省 运城市 芮城县 110.68 34.7 山西省 运城市 河津市 110.7 35.6 山西省 忻州市 忻州市 112.73 38.42 山西省 忻州市 忻府区 112.73 38.42 山西省 忻州市 定襄县 112.95 38.48 山西省 忻州市 五台县 113.25 38.73 山西省 忻州市 代县 112.95 39.07 山西省 忻州市 繁峙县 113.25 39.18 山西省 忻州市 宁武县 112.3 39.0 山西省 忻州市 静乐县 111.93 38.37 山西省 忻州市 神池县 112.2 39.08 山西省 忻州市 五寨县 111.85 38.9 山西省 忻州市 岢岚县 111.57 38.7 山西省 忻州市 河曲县 111.13 39.38 山西省 忻州市 偏关县 111.5 39.43 山西省 忻州市 原平市 112.7 38.73 山西省 临汾市 临汾市 111.52 36.08 山西省 临汾市 尧都区 111.52 36.08 山西省 临汾市 曲沃县 111.47 35.63 山西省 临汾市 翼城县 111.72 35.73 山西省 临汾市 襄汾县 111.43 35.88 山西省 临汾市 洪洞县 111.67 36.25 山西省 临汾市 古县 111.92 36.27 山西省 临汾市 安泽县 112.25 36.15 山西省 临汾市 浮山县 111.83 35.97 山西省 临汾市 吉县 110.68 36.1山西省 临汾市 乡宁县 110.83 35.97 山西省 临汾市 大宁县 110.75 36.47 山西省 临汾市 隰县 110.93 36.7山西省 临汾市 永和县 110.63 36.77 山西省 临汾市 蒲县 111.08 36.42 山西省 临汾市 汾西县 111.57 36.65 山西省 临汾市 侯马市 111.35 35.62 山西省 临汾市 霍州市 111.72 36.57 山西省 吕梁市 吕梁市 111.13 37.52 山西省 吕梁市 离石区 111.13 37.52 山西省 吕梁市 文水县 112.02 37.43 山西省 吕梁市 交城县 112.15 37.55 山西省 吕梁市 兴县 111.12 38.47 山西省 吕梁市 临县 110.98 37.95山西省 吕梁市 石楼县 110.83 37.0山西省 吕梁市 岚县 111.67 38.28山西省 吕梁市 方山县 111.23 37.88山西省 吕梁市 中阳县 111.18 37.33山西省 吕梁市 交口县 111.2 36.97山西省 吕梁市 孝义市 111.77 37.15山西省 吕梁市 汾阳市 111.78 37.27内蒙古自治区 呼和浩特市 呼和浩特市 111.73 40.83内蒙古自治区 呼和浩特市 新城区 111.65 40.87内蒙古自治区 呼和浩特市 回民区 111.6 40.8内蒙古自治区 呼和浩特市 玉泉区 111.67 40.75内蒙古自治区 呼和浩特市 赛罕区 111.68 40.8内蒙古自治区 呼和浩特市 土默特左旗 111.13 40.72内蒙古自治区 呼和浩特市 托克托县 111.18 40.27内蒙古自治区 呼和浩特市 和林格尔县 111.82 40.38内蒙古自治区 呼和浩特市 清水河县 111.68 39.92内蒙古自治区 呼和浩特市 武川县 111.45 41.08内蒙古自治区 包头市 包头市 109.83 40.65内蒙古自治区 包头市 东河区 110.02 40.58内蒙古自治区 包头市 昆都仑区 109.83 40.63内蒙古自治区 包头市 青山区 109.9 40.65内蒙古自治区 包头市 石拐区 110.27 40.68内蒙古自治区 包头市 九原区 109.97 40.6内蒙古自治区 包头市 土默特右旗 110.52 40.57内蒙古自治区 包头市 固阳县 110.05 41.03内蒙古自治区 包头市 达尔罕茂明安联合旗 110.43 41.7 内蒙古自治区 乌海市 乌海市 106.82 39.67内蒙古自治区 乌海市 海勃湾区 106.83 39.7内蒙古自治区 乌海市 海南区 106.88 39.43内蒙古自治区 乌海市 乌达区 106.7 39.5内蒙古自治区 赤峰市 赤峰市 118.92 42.27内蒙古自治区 赤峰市 红山区 118.97 42.28内蒙古自治区 赤峰市 元宝山区 119.28 42.03内蒙古自治区 赤峰市 松山区 118.92 42.28内蒙古自治区 赤峰市 阿鲁科尔沁旗 120.08 43.88内蒙古自治区 赤峰市 巴林左旗 119.38 43.98内蒙古自治区 赤峰市 巴林右旗 118.67 43.52内蒙古自治区 赤峰市 林西县 118.05 43.6内蒙古自治区 赤峰市 克什克腾旗 117.53 43.25内蒙古自治区 赤峰市 翁牛特旗 119.02 42.93内蒙古自治区 赤峰市 喀喇沁旗 118.7 41.93内蒙古自治区 赤峰市 宁城县 119.33 41.6内蒙古自治区 赤峰市 敖汉旗 119.9 42.28内蒙古自治区 通辽市 通辽市 122.27 43.62内蒙古自治区 通辽市 科尔沁区 122.27 43.62内蒙古自治区 通辽市 科尔沁左翼中旗 123.32 44.13内蒙古自治区 通辽市 科尔沁左翼后旗 122.35 42.95内蒙古自治区 通辽市 开鲁县 121.3 43.6内蒙古自治区 通辽市 库伦旗 121.77 42.73内蒙古自治区 通辽市 奈曼旗 120.65 42.85内蒙古自治区 通辽市 扎鲁特旗 120.92 44.55内蒙古自治区 通辽市 霍林郭勒市 119.65 45.53内蒙古自治区 鄂尔多斯市 鄂尔多斯市 109.8 39.62内蒙古自治区 鄂尔多斯市 东胜区 110.0 39.82内蒙古自治区 鄂尔多斯市 达拉特旗 110.03 40.4内蒙古自治区 鄂尔多斯市 准格尔旗 111.23 39.87内蒙古自治区 鄂尔多斯市 鄂托克前旗 107.48 38.18内蒙古自治区 鄂尔多斯市 鄂托克旗 107.98 39.1内蒙古自治区 鄂尔多斯市 杭锦旗 108.72 39.83内蒙古自治区 鄂尔多斯市 乌审旗 108.85 38.6内蒙古自治区 鄂尔多斯市 伊金霍洛旗 109.73 39.57内蒙古自治区 呼伦贝尔市 呼伦贝尔市 119.77 49.22内蒙古自治区 呼伦贝尔市 海拉尔区 119.77 49.22内蒙古自治区 呼伦贝尔市 阿荣旗 123.47 48.13内蒙古自治区 呼伦贝尔市 鄂伦春自治旗 123.72 50.58 内蒙古自治区 呼伦贝尔市 鄂温克族自治旗 119.75 49.13 内蒙古自治区 呼伦贝尔市 陈巴尔虎旗 119.43 49.32内蒙古自治区 呼伦贝尔市 新巴尔虎左旗 118.27 48.22 内蒙古自治区 呼伦贝尔市 新巴尔虎右旗 116.82 48.67 内蒙古自治区 呼伦贝尔市 满洲里市 117.45 49.58内蒙古自治区 呼伦贝尔市 牙克石市 120.73 49.28内蒙古自治区 呼伦贝尔市 扎兰屯市 122.75 47.98内蒙古自治区 呼伦贝尔市 额尔古纳市 120.18 50.23内蒙古自治区 呼伦贝尔市 根河市 121.52 50.78内蒙古自治区 巴彦淖尔市 巴彦淖尔市 107.42 40.75内蒙古自治区 巴彦淖尔市 临河区 107.4 40.75内蒙古自治区 巴彦淖尔市 五原县 108.27 41.1内蒙古自治区 巴彦淖尔市 磴口县 107.02 40.33内蒙古自治区 巴彦淖尔市 乌拉特前旗 108.65 40.72内蒙古自治区 巴彦淖尔市 乌拉特中旗 108.52 41.57内蒙古自治区 巴彦淖尔市 乌拉特后旗 107.07 41.1内蒙古自治区 巴彦淖尔市 杭锦后旗 107.15 40.88内蒙古自治区 乌兰察布市 乌兰察布市 113.12 40.98内蒙古自治区 乌兰察布市 集宁区 113.1 41.03内蒙古自治区 乌兰察布市 卓资县 112.57 40.9内蒙古自治区 乌兰察布市 化德县 114.0 41.9内蒙古自治区 乌兰察布市 商都县 113.53 41.55内蒙古自治区 乌兰察布市 兴和县 113.88 40.88内蒙古自治区 乌兰察布市 凉城县 112.48 40.53内蒙古自治区 乌兰察布市 察哈尔右翼前旗 113.22 40.78 内蒙古自治区 乌兰察布市 察哈尔右翼中旗 112.63 41.27 内蒙古自治区 乌兰察布市 察哈尔右翼后旗 113.18 41.45 内蒙古自治区 乌兰察布市 四子王旗 111.7 41.52内蒙古自治区 乌兰察布市 丰镇市 113.15 40.43内蒙古自治区 兴安盟 兴安盟 122.05 46.08内蒙古自治区 兴安盟 乌兰浩特市 122.05 46.08内蒙古自治区 兴安盟 阿尔山市 119.93 47.18内蒙古自治区 兴安盟 科尔沁右翼前旗 121.92 46.07 内蒙古自治区 兴安盟 科尔沁右翼中旗 121.47 45.05 内蒙古自治区 兴安盟 扎赉特旗 122.9 46.73内蒙古自治区 兴安盟 突泉县 121.57 45.38内蒙古自治区 锡林郭勒盟 锡林郭勒盟 116.07 43.95 内蒙古自治区 锡林郭勒盟 二连浩特市 111.98 43.65 内蒙古自治区 锡林郭勒盟 锡林浩特市 116.07 43.93 内蒙古自治区 锡林郭勒盟 阿巴嘎旗 114.97 44.02内蒙古自治区 锡林郭勒盟 苏尼特左旗 113.63 43.85 内蒙古自治区 锡林郭勒盟 苏尼特右旗 112.65 42.75 内蒙古自治区 锡林郭勒盟 东乌珠穆沁旗 116.97 45.52 内蒙古自治区 锡林郭勒盟 西乌珠穆沁旗 117.6 44.58 内蒙古自治区 锡林郭勒盟 太仆寺旗 115.28 41.9内蒙古自治区 锡林郭勒盟 镶黄旗 113.83 42.23内蒙古自治区 锡林郭勒盟 正镶白旗 115.0 42.3内蒙古自治区 锡林郭勒盟 正蓝旗 116.0 42.25内蒙古自治区 锡林郭勒盟 多伦县 116.47 42.18内蒙古自治区 阿拉善盟 阿拉善盟 105.67 38.83内蒙古自治区 阿拉善盟 阿拉善左旗 105.67 38.83内蒙古自治区 阿拉善盟 阿拉善右旗 101.68 39.2内蒙古自治区 阿拉善盟 额济纳旗 101.07 41.97辽宁省 沈阳市 沈阳市 123.43 41.8辽宁省 沈阳市 和平区 123.4 41.78辽宁省 沈阳市 沈河区 123.45 41.8辽宁省 沈阳市 大东区 123.47 41.8辽宁省 沈阳市 皇姑区 123.42 41.82辽宁省 沈阳市 铁西区 122.95 41.12辽宁省 沈阳市 铁西区 123.35 41.8辽宁省 沈阳市 苏家屯区 123.33 41.67辽宁省 沈阳市 东陵区 123.47 41.77辽宁省 沈阳市 新城子区 123.52 42.05辽宁省 沈阳市 于洪区 123.3 41.78辽宁省 沈阳市 辽中县 122.72 41.52辽宁省 沈阳市 康平县 123.35 42.75辽宁省 沈阳市 法库县 123.4 42.5辽宁省 沈阳市 新民市 122.82 42.0辽宁省 大连市 大连市 121.62 38.92辽宁省 大连市 中山区 121.63 38.92辽宁省 大连市 西岗区 121.6 38.92辽宁省 大连市 沙河口区 121.58 38.9辽宁省 大连市 甘井子区 121.57 38.95辽宁省 大连市 旅顺口区 121.27 38.82辽宁省 大连市 金州区 121.7 39.1辽宁省 大连市 瓦房店市 122.0 39.62辽宁省 大连市 普兰店市 121.95 39.4辽宁省 大连市 庄河市 122.98 39.7辽宁省 鞍山市 鞍山市 122.98 41.1辽宁省 鞍山市 铁东区 122.98 41.1辽宁省 鞍山市 铁西区 122.95 41.12辽宁省 鞍山市 铁西区 123.35 41.8辽宁省 鞍山市 立山区 123.0 41.15辽宁省 鞍山市 千山区 122.97 41.07辽宁省 鞍山市 台安县 122.42 41.38辽宁省 鞍山市 岫岩满族自治县 123.28 40.28 辽宁省 鞍山市 海城市 122.7 40.88辽宁省 抚顺市 抚顺市 123.98 41.88辽宁省 抚顺市 新抚区 123.88 41.87辽宁省 抚顺市 东洲区 124.02 41.85辽宁省 抚顺市 望花区 123.78 41.85辽宁省 抚顺市 顺城区 123.93 41.88辽宁省 抚顺市 抚顺县 123.9 41.88辽宁省 抚顺市 新宾满族自治县 125.03 41.73 辽宁省 抚顺市 清原满族自治县 124.92 42.1 辽宁省 本溪市 本溪市 123.77 41.3辽宁省 本溪市 平山区 123.77 41.3辽宁省 本溪市 溪湖区 123.77 41.33辽宁省 本溪市 明山区 123.82 41.3辽宁省 本溪市 南芬区 123.73 41.1辽宁省 本溪市 本溪满族自治县 124.12 41.3 辽宁省 本溪市 桓仁满族自治县 125.35 41.27 辽宁省 丹东市 丹东市 124.38 40.13辽宁省 丹东市 元宝区 124.38 40.13辽宁省 丹东市 振兴区 124.35 40.08辽宁省 丹东市 振安区 124.42 40.17辽宁省 丹东市 宽甸满族自治县 124.78 40.73 辽宁省 丹东市 东港市 124.15 39.87辽宁省 丹东市 凤城市 124.07 40.45辽宁省 锦州市 锦州市 121.13 41.1辽宁省 锦州市 古塔区 121.12 41.13辽宁省 锦州市 凌河区 121.15 41.12辽宁省 锦州市 太和区 121.1 41.1辽宁省 锦州市 黑山县 122.12 41.7辽宁省 锦州市 义县 121.23 41.53辽宁省 锦州市 凌海市 121.35 41.17辽宁省 营口市 营口市 122.23 40.67辽宁省 营口市 站前区 122.27 40.68辽宁省 营口市 西市区 122.22 40.67辽宁省 营口市 鲅鱼圈区 122.12 40.27辽宁省 营口市 老边区 122.37 40.67辽宁省 营口市 大石桥市 122.5 40.65辽宁省 阜新市 阜新市 121.67 42.02辽宁省 阜新市 海州区 121.65 42.02辽宁省 阜新市 太平区 121.67 42.02辽宁省 阜新市 清河门区 121.42 41.75辽宁省 阜新市 细河区 121.68 42.03辽宁省 阜新市 阜新蒙古族自治县 121.75 42.07 辽宁省 阜新市 彰武县 122.53 42.38辽宁省 辽阳市 辽阳市 123.17 41.27辽宁省 辽阳市 白塔区 123.17 41.27辽宁省 辽阳市 文圣区 123.18 41.27辽宁省 辽阳市 宏伟区 123.2 41.2辽宁省 辽阳市 弓长岭区 123.45 41.13辽宁省 辽阳市 太子河区 123.18 41.25辽宁省 辽阳市 辽阳县 123.07 41.22辽宁省 辽阳市 灯塔市 123.33 41.42辽宁省 盘锦市 盘锦市 122.07 41.12辽宁省 盘锦市 双台子区 122.05 41.2辽宁省 盘锦市 兴隆台区 122.07 41.12辽宁省 盘锦市 大洼县 122.07 40.98辽宁省 盘锦市 盘山县 122.02 41.25辽宁省 铁岭市 铁岭市 123.83 42.28辽宁省 铁岭市 银州区 123.85 42.28辽宁省 铁岭市 清河区 124.15 42.53辽宁省 铁岭市 铁岭县 123.83 42.3辽宁省 铁岭市 西丰县 124.72 42.73辽宁省 铁岭市 昌图县 124.1 42.78辽宁省 铁岭市 调兵山市 123.55 42.47辽宁省 铁岭市 开原市 124.03 42.55辽宁省 朝阳市 朝阳市 120.45 41.57辽宁省 朝阳市 双塔区 120.45 41.57辽宁省 朝阳市 龙城区 120.43 41.6辽宁省 朝阳市 朝阳县 120.47 41.58辽宁省 朝阳市 建平县 119.63 41.4辽宁省 朝阳市 北票市 120.77 41.8辽宁省 朝阳市 凌源市 119.4 41.25辽宁省 葫芦岛市 葫芦岛市 120.83 40.72辽宁省 葫芦岛市 连山区 120.87 40.77辽宁省 葫芦岛市 龙港区 120.93 40.72辽宁省 葫芦岛市 南票区 120.75 41.1辽宁省 葫芦岛市 绥中县 120.33 40.32辽宁省 葫芦岛市 建昌县 119.8 40.82辽宁省 葫芦岛市 兴城市 120.72 40.62吉林省 长春市 长春市 125.32 43.9吉林省 长春市 南关区 125.33 43.87吉林省 长春市 宽城区 125.32 43.92吉林省 长春市 二道区 125.37 43.87吉林省 长春市 绿园区 125.25 43.88吉林省 长春市 双阳区 125.67 43.52吉林省 长春市 农安县 125.18 44.43吉林省 长春市 九台市 125.83 44.15吉林省 长春市 榆树市 126.55 44.82吉林省 长春市 德惠市 125.7 44.53吉林省 吉林市 吉林市 126.55 43.83吉林省 吉林市 昌邑区 126.57 43.88吉林省 吉林市 龙潭区 126.57 43.92吉林省 吉林市 船营区 126.53 43.83吉林省 吉林市 丰满区 126.57 43.82吉林省 吉林市 永吉县 126.5 43.67吉林省 吉林市 蛟河市 127.33 43.72吉林省 吉林市 桦甸市 126.73 42.97吉林省 吉林市 舒兰市 126.95 44.42吉林省 吉林市 磐石市 126.05 42.95吉林省 四平市 四平市 124.35 43.17吉林省 四平市 铁西区 124.35 43.15吉林省 四平市 铁东区 124.38 43.17吉林省 四平市 梨树县 124.33 43.32吉林省 四平市 伊通满族自治县 125.3 43.35 吉林省 四平市 公主岭市 124.82 43.5吉林省 四平市 双辽市 123.5 43.52吉林省 辽源市 辽源市 125.13 42.88吉林省 辽源市 龙山区 125.12 42.9吉林省 辽源市 西安区 125.15 42.92吉林省 辽源市 东丰县 125.53 42.68吉林省 辽源市 东辽县 125.0 42.92吉林省 通化市 通化市 125.93 41.73吉林省 通化市 东昌区 125.95 41.73吉林省 通化市 二道江区 126.03 41.77吉林省 通化市 通化县 125.75 41.68吉林省 通化市 辉南县 126.03 42.68吉林省 通化市 柳河县 125.73 42.28吉林省 通化市 梅河口市 125.68 42.53吉林省 通化市 集安市 126.18 41.12吉林省 白山市 白山市 126.42 41.93吉林省 白山市 八道江区 126.4 41.93吉林省 白山市 抚松县 127.28 42.33吉林省 白山市 靖宇县 126.8 42.4吉林省 白山市 长白朝鲜族自治县 128.2 41.42 吉林省 白山市 临江市 126.9 41.8吉林省 松原市 松原市 124.82 45.13吉林省 松原市 宁江区 124.8 45.17吉林省 松原市 长岭县 123.98 44.28吉林省 松原市 扶余县 126.02 44.98吉林省 白城市 白城市 122.83 45.62吉林省 白城市 洮北区 122.85 45.62吉林省 白城市 镇赉县 123.2 45.85吉林省 白城市 通榆县 123.08 44.82吉林省 白城市 洮南市 122.78 45.33吉林省 白城市 大安市 124.28 45.5吉林省 延边朝鲜族自治州 延边朝鲜族自治州 129.5 42.88 吉林省 延边朝鲜族自治州 延吉市 129.5 42.88吉林省 延边朝鲜族自治州 图们市 129.83 42.97吉林省 延边朝鲜族自治州 敦化市 128.23 43.37吉林省 延边朝鲜族自治州 珲春市 130.37 42.87吉林省 延边朝鲜族自治州 龙井市 129.42 42.77吉林省 延边朝鲜族自治州 和龙市 129.0 42.53吉林省 延边朝鲜族自治州 汪清县 129.75 43.32吉林省 延边朝鲜族自治州 安图县 128.9 43.12黑龙江省 哈尔滨市 哈尔滨市 126.53 45.8黑龙江省 哈尔滨市 道里区 126.62 45.77黑龙江省 哈尔滨市 南岗区 126.68 45.77黑龙江省 哈尔滨市 道外区 126.65 45.78黑龙江省 哈尔滨市 香坊区 126.68 45.72黑龙江省 哈尔滨市 平房区 126.62 45.62黑龙江省 哈尔滨市 松北区 126.55 45.8黑龙江省 哈尔滨市 呼兰区 126.58 45.9黑龙江省 哈尔滨市 依兰县 129.55 46.32黑龙江省 哈尔滨市 方正县 128.83 45.83黑龙江省 哈尔滨市 宾县 127.48 45.75黑龙江省 哈尔滨市 巴彦县 127.4 46.08黑龙江省 哈尔滨市 木兰县 128.03 45.95黑龙江省 哈尔滨市 通河县 128.75 45.97黑龙江省 哈尔滨市 延寿县 128.33 45.45黑龙江省 哈尔滨市 双城市 126.32 45.37黑龙江省 哈尔滨市 尚志市 127.95 45.22黑龙江省 哈尔滨市 五常市 127.15 44.92黑龙江省 齐齐哈尔市 齐齐哈尔市 123.95 47.33黑龙江省 齐齐哈尔市 龙沙区 123.95 47.32黑龙江省 齐齐哈尔市 建华区 123.95 47.35黑龙江省 齐齐哈尔市 铁锋区 123.98 47.35黑龙江省 齐齐哈尔市 昂昂溪区 123.8 47.15黑龙江省 齐齐哈尔市 富拉尔基区 123.62 47.2黑龙江省 齐齐哈尔市 龙江县 123.18 47.33黑龙江省 齐齐哈尔市 依安县 125.3 47.88黑龙江省 齐齐哈尔市 泰来县 123.42 46.4黑龙江省 齐齐哈尔市 甘南县 123.5 47.92黑龙江省 齐齐哈尔市 富裕县 124.47 47.82黑龙江省 齐齐哈尔市 克山县 125.87 48.03。