《电路原理导论》习题解答
- 格式:docx
- 大小:129.15 KB
- 文档页数:7
习题四习题四1习题四习题四4-1用叠加定理求图示电路中的电流I 。
答:A 2=I解:(1)电流源单独作用时如图4-14-1′′ A 12131621224//42=´´=´++=¢sI I(2)电压源单独作用时如图4-14-1″″ A 12144//412=´+=¢¢I(3)当两电源同时作用时)当两电源同时作用时A 2=¢¢+¢=I I I4-2用叠加定理求图示电路中的I 1、U 4 。
答:V V33;;A A 55..1141-==U I解:(1)当电压源单独作用时如图4-2′()A 166//24311==++=¢R R R R U I sA 5.02114=´=¢I ;V 14=¢U (2)当电流源单独作用时如图4-2-2″″A 5.0//212432141=+´++´=¢¢R R R R R R R R I I s()[]()[]V 432//24//4////43214-=´+=+=¢¢s I R R R R U 4Ω4Ω2Ω2Ω 12V6A I图4-1 习题4-1题图题图图4-2 习题4-2题图题图R 1 R 2 R 4 R 3 I 1 I 5U 5U 4 4Ω 6V3A 4Ω2Ω 2Ω4Ω4Ω 2Ω 2Ω 6AI ′图4-14-1′′ 2Ω4Ω4Ω 2Ω 12V6A I ″图4-14-1″″ I ′1 R 1 R 2 R 4 R 3 I 5U 54Ω 6V3A 4Ω2Ω 2Ω4U ¢ 图4-24-2′′R 1 R 2R 4 R 3 1I ¢¢I s4U ¢¢ 4Ω 3A 4Ω2Ω 2Ω图4-24-2″″习题四习题四(3)当两电源同时作用时)当两电源同时作用时A 5.15.01111=+=¢¢+¢=I I I V 341444-=-=¢¢+¢=U U U 4-3利用叠加定理求图4-3电路中的电压U 。
习题二2-1图2-1所示为万用表的直流毫安档,表头内阻R p =650Ω,满量程电流为50μA 。
欲把它的量程扩大到1/10/100mA ,试计算分流电阻R 1、 R 2 、R 3。
答:Ω=3421.01R Ω=0789.32R Ω=7895.303R解: pd dp R R R II +=分流比 dp dpd pR R R R R I I n +=+==1p d R n R 11-=各档分流比1.2005.01= ; 2. 20005.010= ; 3. 200005.0100= ∴〔1〕 d p R R n R R R ∑=Ω==-=-=++2105.34650191650120111321 ()2132105.34R R R +-Ω=〔2〕 ()3321005025126.026633.36501200111R R R n R R p+=+-='-=+ ()33213005025126.094417.30005025126.026633.32105.34R R R R R R d -=--=+-=∑Ω==78945.30005025126.194417.303R〔3〕42105.378945.302105.34321=-=-=+∑R R R R d()()2323211050025.0340565.065078945.30199911999111R R R R R R n R P p-⨯+=++=++=''-= ()2321050025.0340565.042105.3R R ⨯⨯+-=-图2-1 习题2-1题图图2-1 习题2-1题图Ω==-=078945.300050025.10805.300050025.1340565.042105.32RΩ=-=3421.0078945.342105.31R验: 05.02105.6842105.3416502105.342105.34==⨯+=p I05.02105.6842105.34106502105.3442105.3==⨯+=p I05.02105.6842105.341006502105.34342105.0==⨯+=p I2-2把上题所用表头做成电压表,量程为1/10/100V ,内阻指标为20K Ω/V ,试求分压电阻R 1 、R 2 、R 3。
习题一习题一1-1按指定的电流电压参考方向及其给定值,计算下列各元件的功率,并说明元件是吸收功率还是发出功率。
解A :W 20210=⨯==UI P B :()W 20210-=-⨯==UI P C :W 20210-=⨯-=-=UI P D :()W 20210=⨯--=-=UI P1-2在指定的电压u 和电流i 的参考方向下,写出下列各元件的端口特性方程式。
解:(a )i u 5000=; (b) dtu 02.0=; (c) dt du i 61020-⨯=(d) i u 5000-=; (e) dt di u 02.0-=;(f) dtdu i 61020-⨯-= 1-3作用于F 1.5μ电容的电压波形如图1-3(a )所示,试写出电流表达式,画出波形图,在mS 5=t 时电容器的贮能是多少?流过0.1mH 电感的电流波形如图1-3(b )所示,试写出电压表达式,画出波形图,在mS 2=t 及mS 6=t 时电感的贮能是多少?图1-1习题1-1题图 图1-3 习题1-3题图习题一解:(a )()mS 50A 102.10105010101.5336----≤≤⨯=⎪⎭⎫⎝⎛⨯-⨯==t t dt d dt du Ci C ()m S 85A 1017103100101.5336-+---≤≤⨯-=⎪⎭⎫ ⎝⎛⨯-⨯==t t dt d dt du Ci CmS 5=t 时电容器的储能()J 1055.210101.55.05.010542623---⨯=⨯⨯⨯==⨯Cu w(b) ()mS 20V 5.0102010101.033---≤≤=⨯-⨯==t t dt d dt di Lu L ()mS 6201021010101.033-+--≤≤=⨯-⨯==t t dt d dt di L u L ()mS 86V5.0102100101.033-+--≤≤-=⨯-⨯==t t dt d dt di L u L mS 6~2=t 期间的电感储能J 005.010101.02121232=⨯⨯⨯==-Li w L (mS 6~2=t )1-4RLC 串联电路如图1-4(a )所示,原处于零状态,流过之电流波形如图(b ),试求R u 、L u 、C u ,并画出波形图。
第一章“电路模型和电路定律”练习题1-1说明题1-1图(a )、(b )中:(1)u 、i 的参考方向是否关联?(2)ui 乘积表示什么功率?(3)如果在图(a )中u >0、i <0;图(b )中u >0、i >0,元件实际发出还是吸收功率?(a ) (b )题1-1图解:(1)图(a )中电压电流的参考方向是关联的,图(b )中电压电流的参考方向是非关联的。
(2)图(a )中由于 电压电流的参考方向是关联的,所以ui 乘积表示元件吸收的功率。
图(b )中电压电流的参考方向是非关联的,所以ui 乘积表示元件发出的功率。
(3)图(a )中u >0、i <0,所以ui <0。
而图(a )中电压电流参考方向是关联 的,ui乘积表示元件吸收的功率,吸收的功率为负,所以元件实际是发出功率;图(b )中电压电流参考方向是非关联的,ui 乘积表示元件发出的功率,发出的功率为正,所以元件实际是发出功率。
1-4 在指定的电压u 和电流i 的参考方向下,写出题1-4图所示各元件的u 和i 的约束方程(即VCR )。
(a ) (b ) (c )(d ) (e ) (f )题1-4图解:(a )电阻元件,u 、i 为关联参考方向。
由欧姆定律u=Ri=104i(b )电阻元件,u 、i 为非关联参考方向,由欧姆定律u = - R i = -10 i(c )理想电压源与外部电路无关,故 u = 10V (d )理想电压源与外部电路无关,故 u = -5V(e )理想电流源与外部电路无关,故 i=10×10-3A=10-2A (f )理想电流源与外部电路无关,故 i=-10×10-3A=-10-2A1-5 试求题1-5图中各电路中电压源、电流源及电阻的功率(须说明是吸收还是发出)。
(a ) (b ) (c )题1-5图解:(a )由欧姆定律和基尔霍夫电压定律可知各元件的电压、电流如解1-5图(a )故 电阻功率 10220W R P u i ==⨯=吸(吸收20W ) 电流源功率 I 5210W P ui ==⨯=吸(吸收10W ) 电压源功率U 15230W P ui ==⨯=发(发出30W )(b )由基尔霍夫电压定律和电流定律可得各元件的电压电流如解1-5图(b )故 电阻功率 12345W R P =⨯=吸(吸收45W ) 电流源功率 I 15230W P =⨯=发(发出30W ) 电压源功率U 15115W P =⨯=发(发出15W )(c )由基尔霍夫电压定律和电流定律可得各元件的电压电流如解1-5图(c )故 电阻功率 15345W R P =⨯=吸(吸收45W )电流源功率 I 15230W P =⨯=吸(吸收30W ) 电压源功率U 15575W P =⨯=发(发出75W )1-16 电路如题1-16图所示,试求每个元件发出或吸收的功率。
习题三习题三3-1列出图3-1电路的网孔电流方程式和另一组包含外围回路的一组回路电流方程式。
解: 网孔方程式 ()()()⎪⎭⎪⎬⎫-=++--=-++-=--++5222262266326263321321321l l l l l l l l l i i i i i I I I I一般回路方程式()()⎪⎭⎪⎬⎫-=++--=-++--=52222622662633213211l l l l l l l i i i i i I I 3-2用网孔法求图3-2电路中的I 1、 I 2。
答:1A ;-1A 解:上方网孔电流已知,列两网孔方程足矣628412482121⨯-=+-=-i i i i()A 14848964812416641281=-=-+-⨯=i()A 14896484812816641242-=-=-+-⨯=i3-3用网孔法求图3-3电路中的网孔电流。
答:1A ;2A ;3A解:列网孔32155********349321321321=+--=-+--=⨯-⨯-⨯i i i i i i i i i 消去i 3得654015825422121=+--=-i i i i()A 1130513052515404265258401==⨯-⨯⨯+-⨯=i()A 213052610130565428152==⨯+-⨯=i由1式求i 3832493-=-⨯-i2Ω图3-2习题3-2题图图3-3习题3-3题图图3-1习题3-1题图习题三A 3393==i 3-4用回路法求图3-4电路中的U 。
答:-6V 解:该电路有3个独立回路,设定两电流源为两个独立回路电流,则选左边回路列方程式可解()()1510363232=⨯+⨯+++iA 9545-=-=i()V 6962-=-=U3-5用回路法求图3-5电路中的各支路电流。
答:-1A ;-1A ;0;0;1A 解:1A 电流源为第3网孔电流,则列两个回路方程可解2421322121-=+-=-i i i i()1226823141-=-=--+⨯=i()122222122-=-=-+⨯=i0123=+=i i0124=-=i i i A 1135=-=i i i3-6在图3-6电路中,已知V 3=s U ,Ω=11R ,Ω=22R Ω=33R ,Ω=64R ,试用回路法求各支路电流及各电源功率。
习题1010-1 已知非线性电阻的电压、电流关系为32i i u +=(式中,u 的单位为V ,i 的单位为A ),试求工作点i =1A 和i =2A 处的静态电阻和动态电阻。
答案:A i 1=:Ω=Ω=5,3d R R ;A i 2=:Ω=Ω=14,6d R R解:i =1A :V 323=+=i i u ,Ω=+==322i iuR Q Ω=+===53221i di duR i d Ω=+===6222i iu R i QΩ=+===143222i di duR i d 10-2一非线性电感的磁链ψ与电流i 的关系为3ψψb a i +=,其中Wb A 0.1=a ,3A/Wb 1.0=b 。
试求它的静态电感L s 和动态电感L d 。
答()H L s 21.011ψ+=,()H L d 23.011ψ+=解:Li =ψ did L ψ=1.静态 2231.011ψψψψψψ+=+=+==b a b a i L 2.223.0131ψψψ+=+==b a d diL d 10-3 一非线性电容的电荷与电压的关系可表示为3Bu Au q +=。
在此电容两端加有电压t u ωsin 3=。
求电容中的电流()t i ,并把它表为其中所含谐波之和的形式。
若给定V C A /106-=, 37/10V C B -=,Rad/S 10000=ω,算出电流()t i 。
答: mA3cos 25.20cos 25.50t t i ωω-=解:()()tt t t t t t dt d t t dtd t dt d u dt d B dt du A Bu Au dt d dt dq i ωωωωωωωωωω3cos 1025.20cos 1025.503cos 1031075.6cos 1025.20cos 1033sin 41sin 431027cos 10103sin 310sin 31033473274637633---------⨯-⨯=⨯⨯⨯-⨯+⨯=⎪⎭⎫⎝⎛-⨯+⨯⨯=+=+=+==t t t ωωω3sin 4sin 33sin -= 3Bu Au q +=t t t ωωω3sin 41sin 43sin 3-=t u 10000sin 3=10-4 一非线性电阻电路的伏安特性如表10-1所示:表10-1 一非线性电阻的端口特性(a )将它接至电动势为,内电阻为的电压源上。
电路原理部分习题解答部分习题解答第⼀章部分习题1-1在题图1-1中,已知i=2+t A,且t=0时,,试求=?电场储能W C=?(其中C=1uF )题图1-1解:1-2题图1-2是⼀个简化的晶体管电路,求电压放⼤倍数,再求电源发出的功率和负载吸收的功率。
题图1-2解:,电源发出的功率:负载吸收的功率:1-4题图1-4电路中,=0.5A,=1A,控制系数r=10,电阻R=50。
⽅框内为任意电路(设不短路),试求电流I ?题图1-4解:,1-5电路各参数如题图1-5所⽰,试求电流I为多少?题图1-5解:如图,共有3个节点,6条⽀路,由KCL得:由得:,,节点,,解得:,,,,,1-15在题图1-15所⽰电路中,已知电流源=2A,=1A,R=5,=1,=2,试求电流I、电压U及电流源的端电压和各为多少?题图1-15解:由:1-16题图1-16所⽰电路中,电压源分别为=6V,=8V,R=7,试求电流I。
题图1-16解:,1-17如题图1-17所⽰电路中,发出功率为36W,电阻消耗的功率为18W,试求、、的值。
题图1-17解:,1-18题图1-18所⽰电路中,电压源E=12V,电流源=100mA,电压控制电压源的控制系数=1,=20,=100,试求和电流源发出的功率。
题图1-18解:,1-19题图1-19所⽰电路中,电压源E=20V,电阻==10,R=50,控制系数=5,试求I和。
题图1-19解:,,第⼆章部分习题2-1、题图2-1所⽰电路中,给定=1,=2,=3,=4,=5A,=6A,试⽤回路电流法求各⽀路电流。
题图2-1解:以R1 , R3 , R4所在⽀路为树,各⽀路电流:,2-2、题图2-2电路中,已知==2,==1,==3,=4,=6A,=1A,以,,,,⽀路为树,试求连⽀电流和。
题图2-2解:2-4、在题图2-4所⽰电路中,已知=2,=3,=4,=5,==2,=4V,试⽤⽹孔电流法求和。
题图2-4解:列写⽹孔电流⽅程:,代⼊数据解得:2-5、电路如题图2-5所⽰,已知=4,=5,=6,=7A,=8A, =9A,试⽤⽹孔电流法求各⽀路电流。
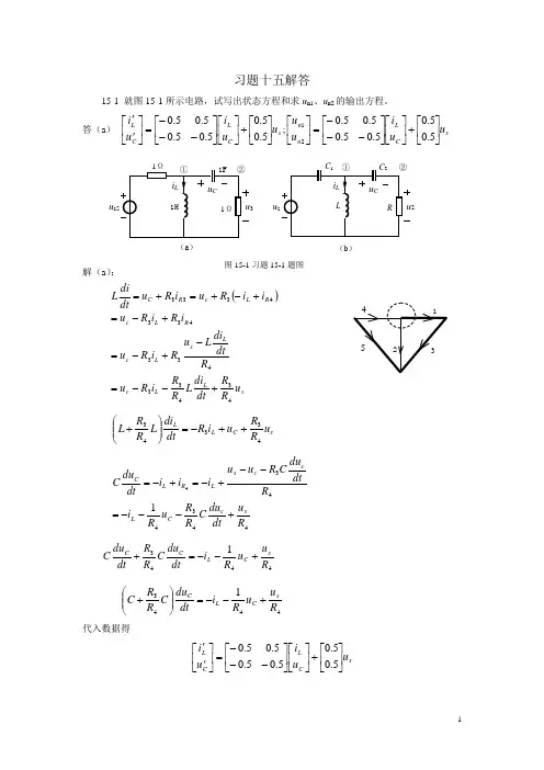
习题十五解答15-1 就图15-1所示电路,试写出状态方程和求u n1、u n2的输出方程。
答(a ) s C L C Lu u i u i ⎥⎦⎤⎢⎣⎡+⎥⎦⎤⎢⎣⎡⎥⎦⎤⎢⎣⎡---=⎥⎦⎤⎢⎣⎡''5.05.05.05.05.05.0;s C L n n u u i u u ⎥⎦⎤⎢⎣⎡+⎥⎦⎤⎢⎣⎡⎥⎦⎤⎢⎣⎡---=⎥⎦⎤⎢⎣⎡5.05.05.05.05.05.021解(a ):()s L L c L s L c R L c R L c R C u R R dt di L R R i R u R dtdi Lu R i R u i R i R u i i R u i R u dtdiL434334334334333+--=-+-=+-=+-+=+=s C L L u R R u i R dt di L R R L 43343++-=⎪⎪⎭⎫ ⎝⎛+ 44344314R u dt du C R R u R i R dtdu CR u u i i i dtdu Cs c C L c c s L R L C+---=--+-=+-=44431R u u R i dt du C R R dt du Cs C L C C +--=+ 44431R u u R i dt du C R R C s C L C +--=⎪⎪⎭⎫ ⎝⎛+ 代入数据得s C L C Lu u i u i ⎥⎦⎤⎢⎣⎡+⎥⎦⎤⎢⎣⎡⎥⎦⎤⎢⎣⎡---=⎥⎦⎤⎢⎣⎡''5.05.05.05.05.05.0图15-1习题15-1题图(b )(a )s C L CL s n u u i u i u u 5.05.05.021++-=+-=s C L n u u i u 5.05.05.02+--=s C L n n u u i u u ⎥⎦⎤⎢⎣⎡+⎥⎦⎤⎢⎣⎡⎥⎦⎤⎢⎣⎡---=⎥⎦⎤⎢⎣⎡5.05.05.05.05.05.02115-2 列写如图15-2所示电路的状态方程。
电路原理课后答案
答案如下:
1. 电流是指在电路中流动的电荷的数量。
单位为安培(A)。
2. 电压是指电流在电路中的推动力或压力。
单位为伏特(V)。
3. 电阻是指电路中阻碍电流流动的物质或元件。
单位为欧姆(Ω)。
4. 安培定律指出,电流通过导体的大小与电压成正比。
即I =
V/R,其中I为电流,V为电压,R为电阻。
5. 欧姆定律指出,电压与电流成正比,与电阻成反比。
即V = I*R,其中V为电压,I为电流,R为电阻。
6. 功率是指单位时间内的能量转移或消耗。
单位为瓦特(W)。
7. 功率定律指出,功率与电压和电流的乘积成正比。
即P =
V*I,其中P为功率,V为电压,I为电流。
8. 串联电路是指电路中的元件依次连接,电流相同,电压分配按照元件的电阻比例。
9. 并联电路是指电路中的元件并列连接,电压相同,电流分配按照元件的电导率比例。
10. 电阻的颜色编码是指通过电阻上的色环来表示电阻的数值。
习题七67习题七7-1试证明两串联的互感线圈不可能出现0221≤-+M L L 。
7-2试求图7-2电路中ab 端口的等值参数。
7-3 试求图7-3电路中对于工频的输入阻抗, 答:Ω∠=65.2354.809i Z 7-4图7-4电路中已知V 314sin 210t u s =,H 11=L ,H 42=L ,H 5.0=M ,Ω=5001R ,Ω=10002R ,试求①各支路电流、输入阻抗;②等效去耦电路。
答:A 41.27018.01-∠=I ;A 83.380072.02-∠=I ;A 65.30025.0-∠=I Ω∠=65.30400i Z解314.7515.195096.1884500616.3145001∠=+=⨯+=j j Z图7-2习题7-2题图图7-3 习题7-3题图图7-4 习题7-4题图习题七Ω∠=∠∠=+∠=++∠⨯=65.2354.80949.5196.240814.75195015096.1884150014.751950150100096.188450014.7515.19501000j j Z i解4 等效去耦电路 回路法求解()[]()[]SSU I M M L j R I M j U I M j I M M L j R =-+++-=--++22212111ωωωω[][]010431410005.03140105.03143145002121∠=⨯++⨯-∠=⨯-+I j I j I j I j[][]01047.5147.160515701015713.3242.5902121∠=∠+-∠=-∠I I j I j I [][][]A 41.27018.012.8273.95096471.5453.173102.94199458.13031071.5453.173********.94199458.1056613.1412986.10000246496.836.94790115703.1255986.100002464947.5147.160513.3242.5901015747.5147.1605101-∠=∠∠=+∠=+++=+∠++=+∠∠⨯+∠⨯=j j j j j j I [][][]A 83.380072.012.8273.95096429.4309.6869246492.94199458.1056611.471093.4999246496.836.94790115701.314093.49992464947.5147.160513.3242.5901015713.3242.590102-∠=∠∠=+++=+∠++=+∠∠⨯+∠⨯=j j j j j I()()A65.30025.00128.00216.00045.00056.00083.0016.083.380072.041.27018.021 -∠=-=-+-=-∠+-∠=+=j j j I I I Ω∠=-∠∠=65.3040065.30025.0010i Z习题七7-5试写出图7-4电路中2U 、3U 、4U 的表达式。
第1章1.1.11. 单项选择题1)A 2)C 3)B 4)A 5)C 6)A2.多项选择题1)AB 2)AB 3)ABCD 4)ABD 5)ABCD 6)ABC 3.判断题1)F 2)F1.1.21. 单项选择题1)A 2)B 3)A 4)C 5)D 6)D 7)A 8)A 9)C 2. 多项选择题1)ABCDE 2)ABC 3)ABCD 4)AB 5)ABCD 6)ABCD3. 判断题1)F 2)T 3)F 4)F 5)F 6)T7)F1.1.31. 单项选择题1)A 2)D 3)A 4)B 5)A 6)D 7)C 8)A 9)A 10)D 11)A 12)D2. 多项选择题1)ABE 2)ABCD 3)ABCD 4)ABC3. 判断题1)T 2)T 3)F 4)F 5)T 6)T7)T1.1.41. 单项选择题1)A 2)C 3)D 4)A 5)B 6)C 7)A 8)C2. 多项选择题1)ABCD 2)ABCD 3)ABE 4)ABC 5)ABCD3. 判断题1)T 2)T 3)T 4)T 5)T 6)F7)F 8)F4. 填空题21)操作码地址码2)操作系统3)算术运算逻辑运算4)输入设备5)控制器运算器6)编译程序1.1.51. 单项选择题1)A 2)C 3)D 4)A 5)B 6)D 7)D 8)A2. 多项选择题1)ABC 2)ABD 3)ABD 4)ABD 5)ABDE3. 判断题1)F 2)T 3)T 4)T 5)T6)F 7)F 8)T 9)F4. 填空题1)CD-ROM 2)CPU 3)Personal Computer(个人计算机)4)AGP 5)分辨率6)采样7)LCD8)显示分辨率颜色质量刷新速度1.1.61. 单项选择题1)A 2)C 3)A 4)D 5)E2. 填空题1)MPEG-2 2)JPEG 3)MPEG视频MPEG音频MPEG系统4)专用芯片1.3一、单项选择题1. A 世界上第一台真正意义上的计算机ENIAC是1946年2月在美国宾夕法尼亚大学诞生的,故应选A2. A 显示器是输出设备,磁盘驱动器既可以看作输入设备也可以作为输出设备,而鼠标器是输入设备,故应选A。
电路原理习题与解答1. 电压和电流的关系问题:根据欧姆定律,电流和电压之间有什么样的关系?解答:根据欧姆定律,电流(I)和电压(V)之间的关系为V = IR,其中R为电阻。
换句话说,电流与电压成正比,并且与电阻有关。
当电阻不变时,如果增加电压,则电流也会增加;如果减小电压,则电流会减小。
2. 阻值的计算问题:如果一个电路中有两个电阻,一个为5欧姆,另一个为10欧姆,这两个电阻是串联还是并联连接?并且计算其总阻值。
解答:这两个电阻是串联连接,因为它们连接在同一电流路径上。
总阻值(Rt)等于两个电阻的阻值之和,即Rt = 5欧姆 + 10欧姆 = 15欧姆。
3. 电流分支问题:如果一个电路中有两个并联的电阻,一个为2欧姆,另一个为4欧姆,计算通过每个电阻的电流。
解答:在并联电路中,总电流(It)等于各个电阻分支电流之和。
根据欧姆定律,通过第一个电阻的电流为I1 = V/R1 = V/2,通过第二个电阻的电流为I2 = V/R2 = V/4。
由于它们在并联连接,所以总电流等于I1 + I2 = V/2 + V/4 = 3V/4。
所以通过第一个电阻的电流为3V/8,通过第二个电阻的电流为3V/8。
4. 功率计算问题:一个电阻为8欧姆的电子器件,通过它的电流为2安培。
计算器件上的功率。
解答:根据功率公式,功率(P)等于电流(I)乘以电压(V),又由于V = IR(欧姆定律),所以功率(P)也可以表示为P = I^2R。
代入数据,P= (2A)^2 * 8Ω = 4 * 8 = 32瓦特(W)。
5. 电阻的消耗功率问题:一个电阻为10欧姆的灯泡,通过它的电流为0.5安培,如果该灯泡接入220伏特的电源中,计算电阻消耗的功率。
解答:根据功率公式,功率(P)等于电流(I)乘以电压(V),又由于V = IR(欧姆定律),所以功率(P)也可以表示为P = I^2R。
代入数据,P = (0.5A)^2 * 10Ω = 0.25 * 10 = 2.5瓦特(W)。
习题十二12-1图12-1所示线性单口网路中,已知Ω=1R ,H 1=L ,F 1=C ,的试求驱动点阻抗()s Z 。
答:(a )()1122+++=s s s s Z ;(b )()112+++=s s s s Z ;(c )()11++=s s s Z(a )()1111111222+++=++=++=s s s s s ss s Z(b )()()111111112+++=++++=++=s s s s s s s ss s Y ()112+++=s s s s Z(c )()1111111111++=+++=+++=s s s ss sss Y ()11++=s s s Z12-2就图12-2电路,试求对()s I 2的系统函数。
答:()75.0=s H解:()()s s U s I +⨯=75.0175.02()75.075.0+=s s H ——转移导纳12-3图12-3电路有一个输入端,两个输出端,试分别写出系统函数()()()s U s U s H s o 11=和()()()s Us U s H so 22=C图12-2 习题12-2题图答:()1121++=s s s H ; ()1222++=s s ss H解:()()11111111121++=++=+++=s s s s s s ss H ()()()1111111122222++=++=++++=+++=s s sss s s s s s s sss s s s ss H12-4试求图12-4()a ,()b 所示电路的系统函数()()()s I s I s H s 2=和()()()s U s U s H o 1=。
答:(a )()12++=s s ss H ;()2710+-+=s s s H解:(a )()11112++=++=s s s s s s H(b ) ()()()()⎥⎦⎤⎢⎣⎡=⎥⎦⎤⎢⎣⎡⎥⎦⎤⎢⎣⎡+--+s U s U s U s U s ss s o 2121012 ()()()()⎥⎦⎤⎢⎣⎡=⎥⎦⎤⎢⎣⎡⎥⎦⎤⎢⎣⎡++--+0110212s U s U s U s s s s o()()()()()s U s s s s s s U 10101210+-+++=图12-3 习题12-3题图图12-4习题12-4题图(b )(a )1Ωu 1()()()()()()27101023101012102212+-+=--+++=+-+++==s s ss s s s s s s s s s U s U s H12-5 求图12-5所示电路的系统函数()()()s U s U s H 12=。
电路原理答案
1. 电路原理中的电流方向:在电路中,电流的方向是从正极流向负极,请注意,这与电子的实际移动方向相反。
2. 并联电路与串联电路的区别:并联电路中,电流可以沿不同的路径流动,而电压相同;而串联电路中,电流只能沿一条路径流动,但电压会在不同元件间分配。
3. 电阻的作用:电阻是用来限制电流的流动的元件。
它的作用是将电能转化为其他形式的能量,如热能。
4. 电容器的作用:电容器用于储存电荷。
当电容器两端施加电压时,正极和负极会积累电荷,形成电场。
5. 电感的作用:电感是用来储存磁能的元件。
当通过电感的电流变化时,会产生磁场。
6. 交流电和直流电的区别:交流电的电流方向和电压会周期性地变化,而直流电的电流方向和电压保持不变。
7. 电阻与电流关系:根据欧姆定律,电阻与电流成正比。
即电阻越大,通过它的电流越小。
8. 电容器与电压关系:电容器两端的电压与储存的电荷量成正比。
即电容器所能承受的电压越大,储存的电荷量越多。
9. 电感与电流关系:根据法拉第电磁感应定律,电感与电流成
正比。
即通过电感的电流变化越快,产生的磁场越强。
10. 电路中的功率计算:电路中的功率可以通过电压乘以电流来计算。
即功率等于电压乘以电流。
习题13解答13-1 试求图13-1所示双口网路的s 域Y 、Z 和T 参数方程式。
答:(a )()()()()⎥⎦⎤⎢⎣⎡=⎥⎦⎤⎢⎣⎡⎥⎦⎤⎢⎣⎡+s I s I s U s U G G G G G 212111121 ; ()()()()⎥⎦⎤⎢⎣⎡=⎥⎦⎤⎢⎣⎡⎥⎦⎤⎢⎣⎡+--s U s U s I s I R R R R R 212121222()()()()⎥⎦⎤⎢⎣⎡=⎥⎦⎤⎢⎣⎡-⎥⎦⎤⎢⎣⎡----s I s U s I s U G G 11222111 解:(a )22212122121111U Y U Y I U Y U Y I +=+=22212122121111I Z I Z U I Z I Z U +=+=()()22222112122111I T U T I I T U T U -+=-+=21011112G G U I Y U +=== 1021121G U I Y U ===1012212G U I Y U === 1022221G U I Y U ===()()()()⎥⎦⎤⎢⎣⎡=⎥⎦⎤⎢⎣⎡⎥⎦⎤⎢⎣⎡+s I s I s U s U G G G G G 212111121 2011112R I U Z I ===;2021121R I U Z I -===;2012212R I U Z I -=== ; 21022221R R I U Z I +===()()()()⎥⎦⎤⎢⎣⎡=⎥⎦⎤⎢⎣⎡⎥⎦⎤⎢⎣⎡+--s U s U s I s I R R R R R 2121212221021112-===-I U U T 1021122G I U T U -=-==2121021212G I R I U I T I -=-===- 1021222-=-==U I I T图13-2习题13-2题图(b )(a )()()()()⎥⎦⎤⎢⎣⎡=⎥⎦⎤⎢⎣⎡-⎥⎦⎤⎢⎣⎡----s I s U s I s U G G 11222111 13-2 求图13-2所示二端口的频域Y 、Z 和T 参数方程式。
习题六6-1某三相变压器其绕组作星形联接,额定相电压为230V ,在一次检修后测得相电压V 230===C B A U U U ,但测得线电压V 400;V 230===BC CA AB U U U ,试用相量图分析,这种现象是怎么造成得,如何纠正。
解:A 相首末端倒反以后会出现这种情况,如图示6-2某三相供电电路,其每相阻抗Ω=8L Z ,那么此电路一定是对称三相电路吗?6-3在三相四线制供电线路中中线电流等于0,那么此时三相负载一定是对称负载吗?试用相量图分析说明在什么条件下,不对称负载也可能出现中线电流等于0。
解:不对称的三相电流有可能合成中线电流等于0。
其条件是0sin sin sin 0cos cos cos =++=++C CC B B B A A A C CC B B BA A A Z U Z UZ U Z U Z U Z U ψψψψψψ&&&&&&式中ψ是电流的初相角,不是阻抗角φ,图6—3′为一例。
6-4在三相Y?Y 供电系统中,对称负载Ω+=66.85j Z L ,负载相电压等于220V ,试求线电流,每相有功功率和无功功率以及功率因数。
答:A 022ο&∠=A I ;5.0cos =φ; VA j S P56.41912420604840+=∠= 解:设ο&0220∠=AU 6-5在三相四线制供电系统中,电源侧线电压等于400V ,对称负载Ω+=66.85j Z L(a )(b )图6—3′线路阻抗Ω+=11j Z l ,Ω+=12j Z n ,试求线电流及负载端的线电压。
解:V 2313==l SP U U ,设V 0231∠=AU &,则 6-6在三相Y?Y 供电系统中,电源侧线电压等于400V ,不对称负载,Ω=5A Z ,Ω+=55j Z B ,Ω-=86j Z C ,试求中线断开时负载端的中性点位移及各相电压。
解:设ο&0230∠=SAU ,用弥尔曼定理求中性点位移 ()()()()()()()()()V 172232.14281.2718.336.05.14501.1002.036.067.525.808.006.01.01.02.075.283.2242.842.314613.531.0451414.02.013.1732316553.324613.531014507.715113.53101202304507.712023050230j j j j j j j U NN --=-∠=-∠-∠=---=++-++-+--+=∠+-∠+∠+-∠+=-∠+∠+-∠∠+∠-∠+∠='οοοοοοοοοοοο&各相负载电压6-7在三相Y?Y 供电系统中,电源侧线电压等于400V ,线路阻抗Ω+=11j Z l ,Ω+=12j Z n ,不对称负载,Ω=5A Z ,Ω+=55j Z B ,Ω-=86j Z C ,试求中性点位移及各相电压。
解:设ο&0230∠=SAU ,用弥尔曼定理求中性点位移各相负载电流 各相负载电压6-8在图Ω6,Ω+=552j Z ,Ω=103Z ,试求各线电流。
(1)求对称电流成分 (2)求不对称成分6-9图6-9电路中两电流表的读数皆为2A ,设出相V 0ο&∠=U U A ,试求电流A I &,BI &,C I &,并画量图。
解:设02∠=Y A I &,则3022∠=R I & 所以A1732.31732.122ο&&&153.86∠=+=++=+=Y j j I I I R A A相量图如次6-10图6-10所示对称三相电路中,已知电源线电压l U =380V ,负载功率因数等于0.8(感性),三相负载总功率P =3000W ,求负载阻抗Z L 。
解: A 7.58.038033000cos 3=⨯⨯=⨯⨯=φl l U P I6-11三相负载端线电压等于380V ,对称负载,Ω+=66.85j Z L ,三角形联接,试求相电流和线电流,三相总功率,并画出相量图。
欲把功率因数提高到0.9应并多大电容器?解:设V 0380ο&∠=ABU ,顺序 A 60100380οοο&&6038-∠=∠∠==L AB ABZ U I ;A ο&18038-∠=BC I ; A ο&6038∠=CA I A ο&90338-∠=A I ;A ο&150338∠=B I ;A ο&30338∠=CI ο60566.8tan 1==-ϕ ; 5.0cos =ϕ 每相功率 KW 22.7=p P 提高功率因数后 ο84.259.0cos 1==-ϕ图6-9 习题6-9题图电容器组F 36.198μ⨯6-12三相形星对称负载,Ω+=55j Z L ,V 380=l U ,欲把功率因数提高到0.9,应接入多大的电容器(采用三角形联接)。
解:设V 0220ο&∠=AU ,顺序 等效成三角形连接功率因数提高到0.9每相电容电容器组 F 388.54μ⨯6-13三相感应电动机额定功率40KW (输出的有效机械功),额定电压380V (Δ)效率0.9,满载时的功率因数为0.85试求①当线电压为380V 时电动机应如何联接,试计算满载线电流和相电流。
②若接成星形联接时线电流、相电流和功率有何变化?试算之。
解:当线电压为380V 时三角形连接A 9.085.038031040379.44=⨯⨯⨯⨯=∆l I ; A 45.87=∆p I每相阻抗模 Ω==24.887.45380Z 接成星形 A 24.822026.7==Y l I 线电流和功率变化为37.2644.79==Y ∆l l I I ; 333==Y∆Pp p p l l Z U Z U I I6-14三相电动机额定功率4KW (输出的有效机械功),额定电压V 220380(∆Y )效率0.9,满载时的功率因数为0.8试求在电源电压为380V 和220V 条件下满载运行时的线电流。
解:线电压为380V 时正确的连接方式是星形连接 线电压为220V 时正确的连接方式是三角形连接3-15对称三相电路中,已知三角形联接负载阻抗()j2418+=Z ?,三相负载功率P =3000W ,试求线电流及线电压。
解:每相功率1000WA 1810007.45===R P I ; A 12.9=l I 6-16图6-16电路中已知V 380=l U ,对称负载阻抗Ω+=126j Z ,试计算两功率表的读数和三相总功率。
解:此电路为两瓦特计法测量三相总功率的电路设V 0220ο&∠=AU ,则 V 30380ο&-∠=AC U ;V 90380ο&-∠=BCU 按图示的连接关系有下图的相量关系A 43.634.1643.6342.1302201260220οοοο&-∠=∠∠=+∠=j I A 6-17图示电路已知负载对称,仪表读数分别载的为:KW 41=P ;KW 22=P .试求:①三相对称负功率因数;② 三相负载的无功功率;③第三个功率表的读数.解:此题中W 1和W 2为两瓦特计法测量三相总功率的电路,通过相量图分析来求解最为直观①设电压相量为图6-17 习题6-17题图图6-16习题6-16题图ο&0∠=PA U U ; ο&30∠=l AB U U 设负载为感性画相量图如图2,由相量图可知,()W400030cos cos 1=-==ϕαοA AC A AC I U I U P因为212P P =,负载对称所以 ()()ϕϕ+=-οο30cos 230cos 根据三角公式 ()βαβαβαsin sin cos cos cos μ=± ∴ο30577.0arctg ==ϕ故三相负载的功率因数为 866.030cos =ο②三相负载的总功率为 W 600030cos 321==+=οll I U P P P ∴视在功率 VA 20.692830cos 60003==οl l I U 无功功率 Var 30sin 33464.1==οl l I U Q③第三只瓦特表用了电流B I &和电压CA U &,因为B U &与CA U &的相位差是ο90,所以B I &与CA U &的相位差是οο6090=-=φγ故第三只瓦特表的读数是从第二部知 400032.6928==l l I U所以 W 20005.0400060cos 3=⨯==οl l I U P6-18 试证明图6-18所示电路中功率表的读数正比于三相对称负载电路的总无功功率。
比例系数是多少?图6-18 习题6-18题图CB A解:设三相负载星形连接,根据连接关系画出图示相量图,该测量线路中应用了线电流I A 和U BC ,瓦特表示数取决于角γ , 所以瓦特表的读数为根据三角公式 ()βαβαβαsin sin cos cos cos μ=± 有 所以可见瓦特表示数正比于无功因数sin φ 。
因为三相总无功功率 ϕsin 3l l I U Q = 所以三相总无功功率与瓦特表示数的比例系数为3前习题中瓦特表3即为检测无功功率的线路,其读数为2000W ,所以无功功率为 其结果相吻合。