高等数学知识点归纳
- 格式:doc
- 大小:1.51 MB
- 文档页数:23
第1章 集合与函数小结一、函数的概念1.函数()y f x =的定义域()D f 及其求法.2.函数的两个基本要素:定义域和对应法则.3.分段函数:一个函数在其定义域的不同子集上用不同的表达式来表示,即一个函数由两个或两个以上的式子表示.4.熟练掌握绝对值函数:,0,,<0x x y x x x ≥⎧==⎨-⎩的定义、图像及性质二、函数的奇偶性、单调性、周期性和有界性三、复合函数5.由函数()y f u =与()u g x =复合而成的复合函数()()y f g x =的概念.(难点:复合函数分解为若干个简单函数,与后续章节的复合函数求导、微分、积分的联系)四、基本初等函数和初等函数6.五种基本初等函数:幂函数、指数函数、对数函数、三角函数、反三角函数(以sin y arc x =,cos y arc x =为主)的性质及其图形. (加强点:幂函数的根式、分式转换;指数、对数的运算性质 )7.初等函数:由常数和基本初等函数经过有限次四则运算和有限次复合而构成,并能用一个解析式表示的函数. 五、常用经济函数第二章 极限与连续 知识点归纳一、极限的概念 1.极限的定义(1)lim n n x A →∞=. (2)()lim x f x A →∞= 、()lim x f x A →+∞=、()lim x f x A →-∞= (3)()0lim x x f x A →= 、左极限()()000lim x x f x f x A -→-==、右极限()()000lim x xf x f x A +→+== 2.极限的基本性质(1)唯一性:若()lim f x A =(或lim n n x A →∞=),()lim f x B =(或lim n n x B →∞=)则A B =. (2)有界性:收敛数列必有界.(3)保号性:若函数极限为正(或负),则在极限变化某过程中函数也为正(或负). (4)()lim x f x A →∞=⇔()()lim lim x x f x f x A →+∞→-∞==.(5)()0lim x xf x A →=⇔()()0lim lim x x x x f x f x A -+→→==.二、无穷小量1. 无穷小(量):0)(lim )(=⇔x f x f2. 无穷大(量):3. 无穷小与无穷大的关系(课本53页例3、55页例9,57页的引理2)4. 两个无穷小的比较5. 重要的等价无穷小当0x →时,sin ~x x ,tan ~x x ,211cos ~2x x -,1~x e x -,()ln 1~x x +1~2x-, (1)1~a x x α+-(α∈R ). 三、求极限的方法 1. 利用极限的四则运算 例1:求下列极限2213252175763221121(1)lim;(2)lim();;(3)lim;123211421(4)lim(5)lim;(6)lim;116216210(7)lim;31321(8)lim;(9)lim21n n xx x xxx xn n n xn n x xx xx x x xx xx xx xx x→∞→∞→→→-→∞→∞→∞→∞-+++--+-+-+⎛⎫-⎪+-+-⎝⎭-++--++--2. 利用函数的连续性求极限(代入法).3. 两个重要极限和变量替换法并用(1)sinlim1xxx→=,()0sin()lim1()u xu xu x→=.(2) 1lim(1)nnen→∞+=,1lim(1)xxex→∞+=,1lim(1)ettt→+=.例2:求下列极限()1000023(1)lim1;(2)lim1;(3)lim12;1sin3sin3(4)lim;(5)lim;(6)lim;1tan71111(7)lim sin;(8)lim sin;(9)lim sin;(10)lim sinn xxn x xxx x xx x x xxn xx x xx x xx x x xx x x x →∞→∞→→∞→→→∞→→∞→⎛⎫⎛⎫---⎪ ⎪⎝⎭⎝⎭-⎛⎫⎪+⎝⎭4. 利用无穷小的重要性质和等价无穷小代换(1)无穷小的重要性质:有界变量与无穷小的乘积是一个无穷小.(2)等价无穷小代换例3:求下列极限223000200tan71cos4tan sin(1)lim;(2)lim(3)lim;sin221cos1cos(4)lim(5)limln(1)1x x xxx xx x x xx x xx xxe→→→→→----+-四、函数连续性 1. 函数连续的概念(1)若()()00lim x xf x f x →=,称()f x 在点0x 处连续. (2)若()()00lim x xf x f x -→=,称函数()f x 在点0x 左连续; 若()()00lim x xf x f x +→=,称()f x 在点0x 右连续. ()f x 在点0x 连续⇔()f x 在点0x 左连续且右连续.(3)若()f x 在(),a b 内每一点都连续,称函数()f x 在(),a b 内连续. (4)若()f x 在(),a b 内连续,在x a =右连续,在x b =左连续,称()f x 在[],a b 上连续.2. 初等函数的连续性重要结论: 基本初等函数在其定义域内都是连续的。
一、函数与极限1、集合的概念一般地我们把研究对象统称为元素,把一些元素组成的总体叫集合(简称集)。
集合具有确定性(给定集合的元素必须是确定的)和互异性(给定集合中的元素是互不相同的)。
比如“身材较高的人”不能构成集合,因为它的元素不是确定的。
我们通常用大字拉丁字母A、B、C、……表示集合,用小写拉丁字母a、b、c……表示集合中的元素。
如果a是集合A 中的元素,就说a属于A,记作:a∈A,否则就说a不属于A,记作:a∉A。
⑴、全体非负整数组成的集合叫做非负整数集(或自然数集)。
记作N⑵、所有正整数组成的集合叫做正整数集。
记作N+或N+。
⑶、全体整数组成的集合叫做整数集。
记作Z。
⑷、全体有理数组成的集合叫做有理数集。
记作Q。
⑸、全体实数组成的集合叫做实数集。
记作R。
集合的表示方法⑴、列举法:把集合的元素一一列举出来,并用“{}”括起来表示集合⑵、描述法:用集合所有元素的共同特征来表示集合。
集合间的基本关系⑴、子集:一般地,对于两个集合A、B,如果集合A中的任意一个元素都是集合B的元素,我们就说A、B有包含关系,称集合A为集合B的子集,记作A⊆B(或B⊇A)。
⑵相等:如何集合A是集合B的子集,且集合B是集合A的子集,此时集合A中的元素与集合B中的元素完全一样,因此集合A与集合B相等,记作A=B。
⑶、真子集:如何集合A是集合B的子集,但存在一个元素属于B但不属于A,我们称集合A是集合B的真子集。
⑷、空集:我们把不含任何元素的集合叫做空集。
记作∅,并规定,空集是任何集合的子集。
⑸、由上述集合之间的基本关系,可以得到下面的结论:①、任何一个集合是它本身的子集。
即A⊆A②、对于集合A、B、C,如果A是B的子集,B是C的子集,则A是C的子集。
③、我们可以把相等的集合叫做“等集”,这样的话子集包括“真子集”和“等集”。
集合的基本运算⑴、并集:一般地,由所有属于集合A或属于集合B的元素组成的集合称为A与B的并集。
记作A∪B。
高等数学知识点考研总结一、高等数学的知识点1.极限与微积分极限是微积分的基础,通过研究极限,可以建立微积分理论体系。
极限的概念是数学分析的核心,包括函数的极限、无穷小量、洛必达法则等内容。
微积分则是极限理论的应用,包括导数、积分、微分方程等内容。
2.多元函数微分学在高等数学中,多元函数微分学是一个重要的知识点。
它包括偏导数、全微分、多元函数极值、拉格朗日乘数法等内容。
多元函数微分学是微积分理论在多元空间中的拓展,对于理解多元函数的性质和求解实际问题中的应用具有重要意义。
3.级数与收敛性级数是数学分析中的一个重要概念,包括数项级数、函数项级数、幂级数、傅里叶级数等内容。
收敛性是级数理论的核心问题,包括级数收敛的判别法、柯西收敛判别法、绝对收敛和条件收敛等内容。
4.常微分方程常微分方程是现代数学中一个重要的研究方向,包括一阶微分方程、高阶微分方程、线性微分方程、非线性微分方程等内容。
常微分方程的理论和方法在科学与工程领域有着广泛的应用,对于建模和求解实际问题具有重要意义。
以上是高等数学中的一些重要知识点,它们构成了数学分析的基本理论体系,对于理解数学的基本概念、方法和技巧具有重要的意义。
二、高等数学的考试重点在高等数学的考研过程中,以下是一些较为重要的考试重点知识点。
1. 极限和微分极限和微分是高等数学的基本理论,对于研究生入学考试而言,它们是比较重要的考试重点。
在考试中,可能涉及到函数的极限、无穷小量、导数、微分等内容,考生需要熟练掌握相应的定义、定理和求解方法。
2. 积分和微分方程积分和微分方程是微积分的重要应用,也是研究生入学考试的考试重点。
在考试中,可能涉及到不定积分、定积分、导数与积分的关系、常微分方程的基本理论和方法等内容,考生需要对这些知识点有所掌握。
3. 级数与收敛性级数与收敛性是数学分析中的一个重要概念,也是研究生入学考试的考试重点。
在考试中,可能涉及到数项级数、函数项级数、级数收敛的判别法等内容,考生需要对级数理论有所了解。
高数重点知识总结1、基本初等函数:反函数(y=arctanx),对数函数(y=lnx),幂函数(y=x),指数函数(x a y =),三角函数(y=sinx),常数函数(y=c)2、分段函数不是初等函数。
3、无穷小:高阶+低阶=低阶 例如:1lim lim020==+→→x xxx x x x 4、两个重要极限:()e x ex xxxx xx x =⎪⎭⎫⎝⎛+=+=∞→→→11lim 1lim )2(1sin lim )1(10 经验公式:当∞→→→)(,0)(,0x g x f x x ,[])()(lim )(0)(1lim x g x f x g x x x x ex f →=+→例如:()33lim 10031lim -⎪⎭⎫ ⎝⎛-→==-→e ex x x xx x5、可导必定连续,连续未必可导。
例如:||x y =连续但不可导。
6、导数的定义:()0000')()(lim)(')()(limx f x x x f x f x f xx f x x f x x x =--=∆-∆+→→∆7、复合函数求导:[][])(')(')(x g x g f dxx g df •= 例如:xx x x x x x y x x y ++=++=+=24122211', 8、隐函数求导:(1)直接求导法;(2)方程两边同时微分,再求出dy/dx例如:yxdx dy ydy xdx y xy yy x y x -=⇒+-=⇒=+=+22,),2('0'22,),1(122左右两边同时微分法左右两边同时求导解:法 9、由参数方程所确定的函数求导:若⎩⎨⎧==)()(t h x t g y ,则)(')('//t h t g dt dx dt dy dx dy ==,其二阶导数:()[])(')('/)('/)/(/22t h dt t h t g d dt dx dt dx dy d dx dx dy d dx y d === 10、微分的近似计算:)(')()(000x f x x f x x f •∆=-∆+ 例如:计算 ︒31sin11、函数间断点的类型:(1)第一类:可去间断点和跳跃间断点;例如:xxy sin =(x=0是函数可去间断点),)sgn(x y =(x=0是函数的跳跃间断点)(2)第二类:振荡间断点和无穷间断点;例如:⎪⎭⎫ ⎝⎛=x x f 1sin )((x=0是函数的振荡间断点),xy 1=(x=0是函数的无穷间断点) 12、渐近线:水平渐近线:c x f y x ==∞→)(lim铅直渐近线:.)(lim 是铅直渐近线,则若,a x x f ax =∞=→斜渐近线:[]ax x f b xx f a b ax y x x -==+=∞→∞→)(lim ,)(lim,即求设斜渐近线为例如:求函数11223-+++=x x x x y 的渐近线13、驻点:令函数y=f(x),若f'(x0)=0,称x0是驻点。
第一章函数与极限第一节映射与函数一、集合一般的所谓集合(简称集)是指具有某种性质的事物的从总体,组成这个集合的事物称为该集合的元素(简称元)。
二、集合的运算集合的基本运算有:并、交、差。
并A∪B=﹛x│x∈A或x∈B﹜交差A\B=﹛x│x∈A且x¢B﹜四项法则(1)交换律(2)结合律(3)分配律(4)对偶律(A∪B)C =A C∪B C注:在两个集合之间还可以定义直积或笛卡儿乘积。
设A、B是任意两个集合,在集合A 中任取一个元素x,在集合B中任取一个元素y,组成一个有序对(x,y)把这样的有序对作为新的元素,它们全体组成的集合称为集合A与集合B的直积,记A×B,既A×B=﹛﹙x,y﹚│x∈A且y∈B﹜3、区间和邻域二、映射概念定义设X、Y是两个非空集合,如果存在一个法则f,使得对X中每一个元素 x,按法则f,在Y中有唯一确定的元素y与之相对应,则称f为从X到Yf :X Y三、函数1、定义设数集D属于R,则称映射f:D R为定义在D上的函数,通常简记为y=f(x),x ∈D其中x 成为自变量,y成为因变量,D成为定义域,记作D f,既D f=D.2、几种特性:有界性单调性奇偶性周期性3、反函数与复合函数4、函数的运算和(差)积商5、初等函数幂函数:y=x a指数函数对数函数三角函数反三角函数双曲正弦 sh x=(e x-e -x)/2双曲余弦 ch x= (e x+e -x)/2双曲正切 th x= (e x-e -x)/ (e x-e -x)第二节数列的极限定义设{x n}为一数列,如果存在常数a,对于任意给定的正数µ (不论它多么小),总存在正整数N,使得 n﹥N时,不等式│x n │<µ都成立,那么就称常数a是数列{x n}的极限,或者称数列{x n}收敛于a,记为X a (n ∞)二、收敛数列的性质定理 1 (极限的唯一性)如果数列{ x n }收敛,那么他的极限唯一。
高等数学基本知识点一、函数与极限1、集合的概念一般地我们把研究对象统称为元素,把一些元素组成的总体叫集合(简称集)。
集合具有确定性(给定集合的元素必须是确定的)和互异性(给定集合中的元素是互不相同的)。
比如“身材较高的人”不能构成集合,因为它的元素不是确定的。
我们通常用大字拉丁字母A、B、C、……表示集合,用小写拉丁字母a、b、c……表示集合中的元素。
如果a是集合A中的元素,就说a属于A,记作:a∈A,否则就说a不属于A,记作:a A。
⑴、全体非负整数组成的集合叫做非负整数集(或自然数集)。
记作N⑵、所有正整数组成的集合叫做正整数集。
记作N+或N+。
⑶、全体整数组成的集合叫做整数集。
记作Z。
⑷、全体有理数组成的集合叫做有理数集。
记作Q。
⑸、全体实数组成的集合叫做实数集。
记作R。
集合的表示方法⑴、列举法:把集合的元素一一列举出来,并用“{}”括起来表示集合⑵、描述法:用集合所有元素的共同特征来表示集合。
集合间的基本关系⑴、子集:一般地,对于两个集合A、B,如果集合A中的任意一个元素都是集合B的元素,我们就说A、B有包含关系,称集合A为集合B的子集,记作A B(或B A)。
⑵相等:如何集合A是集合B的子集,且集合B是集合A的子集,此时集合A中的元素与集合B中的元素完全一样,因此集合A与集合B相等,记作A=B。
⑶、真子集:如何集合A是集合B的子集,但存在一个元素属于B但不属于A,我们称集合A是集合B的真子集。
⑷、空集:我们把不含任何元素的集合叫做空集。
记作,并规定,空集是任何集合的子集。
⑸、由上述集合之间的基本关系,可以得到下面的结论:①、任何一个集合是它本身的子集。
即A A②、对于集合A、B、C,如果A是B的子集,B是C的子集,则A是C的子集。
③、我们可以把相等的集合叫做“等集”,这样的话子集包括“真子集”和“等集”。
集合的基本运算⑴、并集:一般地,由所有属于集合A或属于集合B的元素组成的集合称为A与B的并集。
高等数学基本知识点一、函数与极限1、集合的概念一般地我们把研究对象统称为元素,把一些元素组成的总体叫集合(简称集)。
集合具有确定性(给定集合的元素必须是确定的)和互异性(给定集合中的元素是互不相同的)。
比如“身材较高的人”不能构成集合,因为它的元素不是确定的。
我们通常用大字拉丁字母A、B、C、……表示集合,用小写拉丁字母a、b、c……表示集合中的元素。
如果a是集合A中的元素,就说a属于A,记作:a∈A,否则就说a不属于A,记作:a∉A。
⑴、全体非负整数组成的集合叫做非负整数集(或自然数集)。
记作N⑵、所有正整数组成的集合叫做正整数集。
记作N+或N+。
⑶、全体整数组成的集合叫做整数集。
记作Z。
⑷、全体有理数组成的集合叫做有理数集。
记作Q。
⑸、全体实数组成的集合叫做实数集。
记作R。
集合的表示方法⑴、列举法:把集合的元素一一列举出来,并用“{}”括起来表示集合⑵、描述法:用集合所有元素的共同特征来表示集合。
集合间的基本关系⑴、子集:一般地,对于两个集合A、B,如果集合A中的任意一个元素都是集合B的元素,我们就说A、B有包含关系,称集合A为集合B的子集,记作A B(或B⊇A)。
⑵相等:如何集合A是集合B的子集,且集合B是集合A的子集,此时集合A中的元素与集合B中的元素完全一样,因此集合A与集合B相等,记作A=B。
⑶、真子集:如何集合A是集合B的子集,但存在一个元素属于B但不属于A,我们称集合A是集合B的真子集。
⑷、空集:我们把不含任何元素的集合叫做空集。
记作∅,并规定,空集是任何集合的子集。
⑸、由上述集合之间的基本关系,可以得到下面的结论:①、任何一个集合是它本身的子集。
即A⊆A②、对于集合A、B、C,如果A是B的子集,B是C的子集,则A是C的子集。
③、我们可以把相等的集合叫做“等集”,这样的话子集包括“真子集”和“等集”。
集合的基本运算⑴、并集:一般地,由所有属于集合A或属于集合B的元素组成的集合称为A与B的并集。
大学高数知识点总结大学高数知识点总结一、代数:1、函数及其图象:定义域、值域、增函数、减函数、奇函数、偶函数、有界函数、无界函数、相交函数、无穷小量的概念、函数的极限及其性质。
2、不等式:一元不等式与多元不等式的性质、解不等式的方法以及在几何中的应用。
3、导数:函数的导数的定义、性质、计算、利用导数解析函数的最值问题;高阶导数的概念以及利用它确定函数图象的单调性。
4、曲线的积分:曲线的面积、积分的定义、计算方法、利用积分求曲线面积、平面曲线的积分、特殊函数的积分。
5、复数:复数的概念、运算规则、虚部抽象概念、复数函数、复数解析函数及其图象、利用几何性质解决复数问题。
6、三角函数:三角函数的概念、函数表达式、图象、关系式、函数的性质、函数的变换、求解三角函数的方法、应用。
7、统计:概率的概念、抽样理论、统计分布、误差分析、检验理论。
二、初等数论:1、素数及其分解:素数的概念、素数的分解法、素数的基本性质、素数的充要条件。
2、同余理论:同余方程的概念、同余方程的解法、同余方程的性质、模的概念及其性质。
3、欧几里德算法:求最大公约数、求最小公倍数、求逆元、斯特林公式、欧几里得定理及其应用。
4、置换:置换的概念、置换的性质、置换的构成、置换的表示法、置换的应用。
5、图论:图的概念、图的构成、图的性质、图的表示法、图的生成算法、图的应用。
三、几何:1、几何形体:正n边形、正多边形、空间几何体、椭圆、圆锥、圆柱、圆台等几何形体的性质及其应用。
2、切线、切面:曲线的切线、曲面的切面、曲线的法线方向、曲面的法线方向、曲线的曲率、曲面的曲率及其定义。
3、投影:正射投影、透视投影、锥体投影等投影的概念及其应用。
4、立体视角:立体视角的概念、立体视角的定义及其应用。
四、空间几何:1、几何性质:投影的性质、平面的性质、空间的性质、直线的性质、平行线的性质、平面的性质、直线的性质、平行线的性质、面的性质、曲线的性质、曲面的性质、四边形的性质等。
《高等数学》考试知识点一、函数、极限、连续考试内容:1.函数的概念及表示法;函数的有界性、单调性、周期性和奇偶性;复合函数、反函数、分段函数和隐函数;基本初等函数的性质及其图形;初等函数简单应用问题的函数关系的建立;2.数列极限与函数极限的定义以及它们的性质;函数的左极限与右极限;3.无穷小和无穷大的概念及其关系;无穷小的性质及无穷小的比较;4.极限的四则运算;极限存在的两个准则:单调有界准则和夹逼准则两个重要极限0sin lim 1x x x→=,10lim(1)e x x x →+=; 5.函数连续的概念;函数间断点的类型;初等函数的连续性;闭区间上连续函数的性质(有界性、最大值和最小值定理、介值定理);考试要求:1.理解函数的概念,掌握函数的表示方法;2.了解函数的奇偶性、单调性、周期性和有界性;3.理解复合函数及分段函数的概念,了解反函数及隐函数的概念;4.掌握基本初等函数的性质及其图形;5.会建立简单应用问题中的函数关系式;6.理解极限的概念,理解函数左极限与右极限的概念,以及极限存在与左、右极限之间的关系;7.掌握极限的性质及四则运算法则;8.掌握极限存在的两个准则,并会利用它们求极限,掌握利用两个重要极限求极限的方法;9.理解无穷小、无穷大的概念,掌握无穷小的比较方法,会用等价无穷小求极限;10.理解函数连续性的概念(含左连续与右连续),会判别函数间断点的类型;11.了解连续函数的性质和初等函数的连续性,了解闭区间上连续函数的性质(有界性、最大值和最小值定理、介值定理),并会应用这些性质;二、一元函数微分学考试内容:1.导数和微分的概念;导数的几何意义和物理意义;函数的可导性与连续性之间的关系;平面曲线的切线和法线;基本初等函数的导数;2.导数和微分的四则运算;复合函数、反函数、隐函数以及参数方程所确定的函数的微分法;3.高阶导数的概念;某些简单函数的n阶导数;4.一阶微分形式的不变性;5.罗尔(Roll)定理;拉格朗日(Lagrange)中值定理;柯西(Cauchy)中值定理;泰勒(Taylor)定理;6.洛必达(L’Hospital)法则;7.函数的极值及其求法;函数单调性函数;图形的凹凸性、拐点及渐近线;函数最大值和最小值的求法及简单应用;8.弧微分、曲率的概念;曲率半径;考试要求:1.理解导数和微分的概念,理解导数与微分的关系,理解导数的几何意义,会求平面曲线的切线方程和法线方程,了解导数的物理意义,会用导数描述一些物理量,理解函数的可导性与连续性之间的关系;2.掌握导数的四则运算法则和复合函数的求导法则,掌握基本初等函数的导数公式.了解微分的四则运算法则和一阶微分形式的不变性,会求函数的微分;3.了解高阶导数的概念,会求简单函数的n阶导数;4.会求分段函数的一阶、二阶导数;5.会求隐函数和由参数方程所确定的函数的一阶、二阶导数,会求反函数的导数;6.理解并会用罗尔定理,拉格朗日中值定理和泰勒定理;7.了解并会用柯西中值定理;8.理解函数的极值概念,掌握用导数判断函数的单调性和求函数极值的方法,掌握函数最大值和最小值的求法及其简单应用;9.会用导数判断函数图形的凹凸性和拐点,会求函数图形的水平、铅直和斜渐近线;10.掌握用洛必达法则求未定式极限的方法;11.了解曲率和曲率半径的概念,会计算曲率和曲率半径;三、一元函数积分学考试内容:1.原函数和不定积分的概念;不定积分的基本性质;基本积分公式;2.定积分的概念和基本性质;定积分中值定理;3.变上限定积分定义的函数及其导数;牛顿一莱布尼茨(Newton-Leibniz)公式;4.不定积分和定积分的换元积分法与分部积分法;有理函数、三角函数的有理式和简单无理函数的积分;5.广义积分的概念;6.定积分的应用;考试要求:1.理解原函数概念,理解不定积分和定积分的概念;2.掌握不定积分的基本公式,掌握不定积分和定积分的性质及定积分中值定理,掌握换元积分法与分部积分法;3.会求有理函数、三角函数有理式及简单无理函数的积分;4.理解变上限定积分定义的函数,会求它的导数,掌握牛顿一莱布尼茨公式;5.了解广义积分的概念并会计算广义积分;6.掌握用定积分表达和计算一些几何量与物理量(平面图形的面积、平面曲线的弧长、旋转体的体积及侧面积、平行截面面积为已知的立体体积、变力作功、引力、压力及函数的平均值等);四、向量代数和空间解析几何考试内容:1.向量的概念;向量的线性运算;向量的数量积和向量积的概念及运算;向量的混合积;两向量垂直、平行的条件两向量的夹角;向量的坐标表达式及其运算;单位向量;方向数与方向余弦;2.曲面方程和空间曲线方程的概念;球面;母线平行于坐标轴的柱面;旋转轴为坐标轴的旋转曲面的方程;常用的二次曲面方程及其图形;空间曲线的参数方程和一般方程;空间曲线在坐标面上的投影曲线方程;3.平面方程、直线方程;平面与平面、平面与直线、直线与直线的平行、垂直的条件和夹角;点到平面和点到直线的距离;考试要求:1.理解空间直角坐标系,理解向量的概念及其表示;2.掌握向量的运算(线性运算、数量积、向量积、混合积),了解两个向量垂直、平行的条件;3.掌握单位向量、方向数与方向余弦、向量的坐标表达式,以及用坐标表达式进行向量运算的方法;4.掌握平面方程和直线方程及其求法,会利用平面、直线的相互关系(平行、垂直、相交等)解决有关问题;5.理解曲面方程的概念,了解常用二次曲面的方程及其图形,会求以坐标轴为旋转轴的旋转曲面及母线平行于坐标轴的柱面方程;6.了解空间曲线的参数方程和一般方程;7.了解空间曲线在坐标平面上的投影,并会求其方程;五、多元函数微分学考试内容:1.多元函数的概念;二元函数的几何意义;二元函数的极限和连续的概念;有界闭区域上多元连续函数的性质;2.多元函数偏导数和全微分的概念;全微分存在的必要条件和充分条件;多元复合函数、隐函数的求导法;二阶偏导数;3.方向导数和梯度的概念及其计算;4.空间曲线的切线和法平面;曲面的切平面和法线;5.多元函数极值和条件极值的概念;多元函数极值的必要条件;二元函数极值的充分条件;极值的求法;拉格朗日乘数法;多元函数的最大值、最小值及其简单应用;考试要求:1.理解多元函数的概念,理解二元函数的几何意义;2.了解二元函数的极限与连续性的概念,以及有界闭区域上连续函数的性质;3.理解多元函数偏导数和全微分的概念,会求全微分,了解全微分存在的必要条件和充分条件,了解全微分形式的不变性;4.理解方向导数与梯度的概念并掌握其计算方法;5.掌握多元复合函数偏导数的求法;6.会求隐函数(包括由方程组确定的隐函数)的偏导数;7.了解曲线的切线和法平面及曲面的切平面和法线的概念,会求它们的方程;8.理解多元函数极值和条件极值的概念,掌握多元函数极值存在的必要条件,了解二元函数极值存在的充分条件,会求二元函数的极值,会用拉格朗日乘数法求条件极值,会求简单多元函数的最大值和最小值并会解决一些简单的应用问题;六、多元函数积分学考试内容:1.二重积分、三重积分的概念及性质;二重积分与三重积分的计算和应用;2.两类曲线积分的概念、性质及计算;两类曲线积分的关系;3.格林(Green )公式;平面曲线积分与路径无关的条件;已知全微分求原函数;4.两类曲面积分的概念、性质及计算;两类曲面积分的关系;5.高斯(Gauss )公式;斯托克斯(Stokes)公式;6.散度、旋度的概念及计算;曲线积分和曲面积分的应用;考试要求:1.理解二重积分、三重积分的概念,了解重积分的性质,了解二重积分的中值定理;2.掌握二重积分(直角坐标、极坐标)的计算方法,会计算三重积分(直角坐标、柱面坐标、球面坐标);3.理解两类曲线积分的概念,了解两类曲线积分的性质及两类曲线积分的关系;4.掌握计算两类曲线积分的方法;5.掌握格林公式并会运用平面曲线积分与路径元关的条件,会求全微分的原函数;6.了解两类曲面积分的概念、性质及两类曲面积分的关系,掌握计算两类曲面积分的方法,了解高斯公式、斯托克斯公式,会用高斯公式计算曲面积分;7.了解散度与旋度的概念,并会计算;8.会用重积分、曲线积分及曲面积分求一些几何量与物理量(平面图形的面积、体积、曲面面积、弧长、质量、重心、转动惯量、引力、功及流量等);七、无穷级数考试内容:1.常数项级数的收敛与发散的概念;收敛级数的和的概念;级数的基本性质与收敛的必要条件;几何级数与p 级数以及它们的收敛性;2.正项级数的比较审敛法、比值审敛法、根值审敛法;3.交错级数与莱布尼茨定理;4.任意项级数的绝对收敛与条件收敛;5.函数项级数的收敛域与和函数的概念;幂级数及其收敛半径、收敛区间(指开区间)和收敛域;幂级数的和函数;幂级数在其收敛区间内的基本性质;简单幂级数的和函数的求法;函数可展开为泰勒级数的充分必要条件;e ,sin ,cos ,ln(1),(1)x a x x x x ++的麦克劳林(Maclaurin )展开式;6.函数的傅里叶(Fourier )系数与傅里叶级数;狄利克雷(Dlrichlei )定理;函数在[,]L L -上的傅里叶级数;函数在[0,]L 上的正弦级数和余弦级数;考试要求:1.理解常数项级数收敛、发散以及收敛级数的和的概念,掌握级数的基本性质及收敛的必要条件;2.掌握几何级数与p 级数的收敛与发散的条件;3.掌握正项级数的比较审敛法和比值审敛法,会用根值审敛法;4.掌握交错级数的莱布尼茨判别法;5.了解任意项级数绝对收敛与条件收敛的概念,以及绝对收敛与条件收敛的关系;6.了解函数项级数的收敛域及和函数的概念;7.掌握幂级数的收敛半径、收敛区间及收敛域的求法;8.了解幂级数在其收敛区间内的一些基本性质(和函数的连续性、逐项微分和逐项积分),会求一些幂级数在收敛区间内的和函数,并会由此求出某些数项级数的和;9.掌握e ,sin ,cos ,ln(1),(1)x a x x x x ++的麦克劳林展开式,会用它们将一些简单函数间接展开成幂级数;10.了解傅里叶级数的概念和函数展开为傅里叶级数的狄利克雷定理,会将定义在[,]L L -上的函数展开为傅里叶级数,会将定义在[0,]L 上的函数展开为正弦级数与余弦级数,会写出傅里叶级数的和的表达式;八、常微分方程考试内容:1.常微分方程的概念;微分方程的解、阶、通解、初始条件和特解;2.变量可分离的方程;齐次方程;一阶线性方程;伯努利(Bernoulli )方程;全微分方程;可用简单的变量代换求解的某些微分方程;可降阶的高阶微分方程;3.线性微分方程解的性质及解的结构定理;二阶常系数齐次线性微分方程;高于二阶的某些常系数齐次线性微分方程;简单的二阶常系数非齐次线性微分方程;4.微分方程的简单应用问题;考试要求:1.了解微分方程及其解、阶、通解、初始条件和特解等概念;2.掌握变量可分离的方程及一阶线性方程的解法;3.会解齐次方程、伯努利方程和全微分方程,会用简单的变量代换解某些微分方程;4.会用降阶法解下列方程:()(),(,),(,)n y f x y f x y y f y y ''''''===;5.理解线性微分方程解的性质及解的结构定理;6.掌握二阶常系数齐次线性微分方程的解法,并会解某些高于二阶的常系数齐次线性微分方程;7.会求自由项为多项式、指数函数、正弦函数、余弦函数,以及它们的和与积的二阶常系数非齐次线性微分方程的特解和通解;8.会用微分方程解决一些简单的应用问题;参考书目:《高等数学》(第五版),同济大学出版社。
一、函数与极限1、集合的概念一般地我们把研究对象统称为元素,把一些元素组成的总体叫集合(简称集)。
集合具有确定性(给定集合的元素必须是确定的)和互异性(给定集合中的元素是互不相同的)。
比如“身材较高的人”不能构成集合,因为它的元素不是确定的。
我们通常用大字拉丁字母A、B、C、……表示集合,用小写拉丁字母a、b、c……表示集合中的元素。
如果a是集合A 中的元素,就说a属于A,记作:a∈A,否则就说a不属于A,记作:a∉A。
⑴、全体非负整数组成的集合叫做非负整数集(或自然数集)。
记作N⑵、所有正整数组成的集合叫做正整数集。
记作N+或N+。
⑶、全体整数组成的集合叫做整数集。
记作Z。
⑷、全体有理数组成的集合叫做有理数集。
记作Q。
⑸、全体实数组成的集合叫做实数集。
记作R。
集合的表示方法⑴、列举法:把集合的元素一一列举出来,并用“{}”括起来表示集合⑵、描述法:用集合所有元素的共同特征来表示集合。
集合间的基本关系⑴、子集:一般地,对于两个集合A、B,如果集合A中的任意一个元素都是集合B的元素,我们就说A、B有包含关系,称集合A为集合B的子集,记作A⊆B(或B⊇A)。
⑵相等:如何集合A是集合B的子集,且集合B是集合A的子集,此时集合A中的元素与集合B中的元素完全一样,因此集合A与集合B相等,记作A=B。
⑶、真子集:如何集合A是集合B的子集,但存在一个元素属于B但不属于A,我们称集合A是集合B的真子集。
⑷、空集:我们把不含任何元素的集合叫做空集。
记作∅,并规定,空集是任何集合的子集。
⑸、由上述集合之间的基本关系,可以得到下面的结论:①、任何一个集合是它本身的子集。
即A⊆A②、对于集合A、B、C,如果A是B的子集,B是C的子集,则A是C的子集。
③、我们可以把相等的集合叫做“等集”,这样的话子集包括“真子集”和“等集”。
集合的基本运算⑴、并集:一般地,由所有属于集合A或属于集合B的元素组成的集合称为A与B的并集。
记作A∪B。
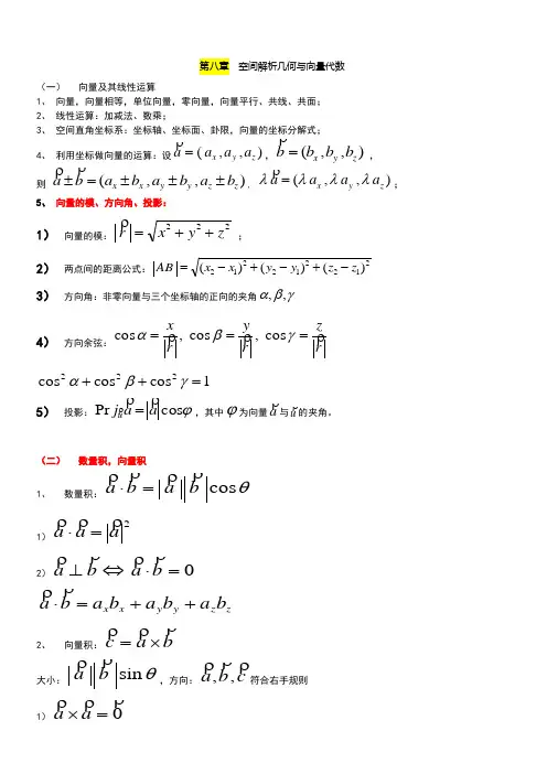
第八章 空间解析几何与向量代数(一) 向量及其线性运算1、 向量,向量相等,单位向量,零向量,向量平行、共线、共面;2、 线性运算:加减法、数乘;3、 空间直角坐标系:坐标轴、坐标面、卦限,向量的坐标分解式;4、 利用坐标做向量的运算:设),,(z y x a a a a =ρ,),,(z y x b b b b =ρ,则 ),,(z z y y x x b a b a b a b a ±±±=±ρρ, ),,(z y x a a a a λλλλ=ρ;5、 向量的模、方向角、投影:1) 向量的模:222z y x r ++=ρ;2) 两点间的距离公式:212212212)()()(z z y y x x B A -+-+-=3)方向角:非零向量与三个坐标轴的正向的夹角γβα,,4) 方向余弦:rz r y r x ρρρ===γβαcos ,cos ,cos 1cos cos cos 222=++γβα5) 投影:ϕcos Pr a a j uρρρ=,其中ϕ为向量a ρ与u ρ的夹角。
(二) 数量积,向量积 1、数量积:θcos b ab a ρρρρ=⋅1)2a a a ρρρ=⋅2)⇔⊥b a ρρ0=⋅b a ρρ z z y y x x b a b a b a b a ++=⋅ρρ2、 向量积:b a c ρρρ⨯=大小:θsin b aρρ,方向:c b a ρρρ,,符合右手规则 1)0ρρρ=⨯a a2)b a ρρ//⇔0ρρρ=⨯b a z y xzy xb b b a a a k j ib a ρρρρρ=⨯运算律:反交换律 b a a b ρρρρ⨯-=⨯(三) 曲面及其方程 1、 曲面方程的概念:0),,(:=z y x f S2、旋转曲面:(旋转后方程如何写)yoz 面上曲线0),(:=z y f C ,绕y 轴旋转一周:0),(22=+±z x y f 绕z 轴旋转一周:0),(22=+±z y x f3、 柱面:(特点)0),(=y x F 表示母线平行于z 轴,准线为⎪⎩⎪⎨⎧==00),(z y x F 的柱面4、二次曲面(会画简图)1)椭圆锥面:22222z by a x =+ 2)椭球面:1222222=++czb y a x 旋转椭球面:1222222=++cz a y a x 3)*单叶双曲面:1222222=-+cz b y a x4)*双叶双曲面:1222222=--czb y a x 5)椭圆抛物面:z by a x =+2222 6)*双曲抛物面(马鞍面):z b y a x =-2222 7)椭圆柱面:12222=+b ya x 8)双曲柱面:12222=-b y a x 9) 抛物柱面:ay x =2(四) 空间曲线及其方程1、一般方程:⎪⎩⎪⎨⎧==0),,(0),,(z y x G z y x F2、参数方程:⎪⎪⎩⎪⎪⎨⎧===)()()(t z z t y y t x x ,如螺旋线:⎪⎪⎩⎪⎪⎨⎧===btz t a y t a x sin cos3、空间曲线在坐标面上的投影⎪⎩⎪⎨⎧==0),,(0),,(z y x G z y x F ,消去z ,得到曲线在面xoy 上的投影⎪⎩⎪⎨⎧==0),(z y x H(五) 平面及其方程(法向量) 1、点法式方程:0)()()(000=-+-+-z z C y y B x x A法向量:),,(C B A n =ρ,过点),,(000z y x2、 一般式方程:0=+++D Cz By Ax (某个系数为零时的特点)截距式方程:1=++czb y a x3、两平面的夹角:),,(1111C B A n =ρ,),,(2222C B A n =ρ,222222212121212121cos CB AC B A C C B B A A ++⋅++++=θ ⇔∏⊥∏21 0212121=++C C B B A A ⇔∏∏21//212121C C B B A A ==4、点),,(0000z y x P 到平面0=+++D Cz By Ax 的距离:222000CB A DCz By Ax d +++++=(六) 空间直线及其方程(方向向量)1、一般式方程:⎪⎩⎪⎨⎧=+++=+++0022221111D z C y B x A D z C y B x A2、 对称式(点向式)方程:pz z n y y m x x 000-=-=-方向向量:),,(p n m s =ρ,过点),,(000z y x3、参数式方程:⎪⎪⎩⎪⎪⎨⎧+=+=+=pt z z nty y mt x x 0004、两直线的夹角:),,(1111p n m s =ρ,),,(2222p n m s =ρ,222222212121212121cos pn m p n m p p n n m m ++⋅++++=ϕ ⇔⊥21L L 0212121=++p p n n m m⇔21//L L212121p p n n m m ==5、直线与平面的夹角:直线与它在平面上的投影的夹角,222222sin p n m C B A CpBn Am ++⋅++++=ϕ⇔∏//L 0=++Cp Bn Am⇔∏⊥LpC n B m A ==第九章 多元函数微分法及其应用(一) 基本概念1、 距离,邻域,内点,外点,边界点,聚点,开集,闭集,连通集,区域,闭区域,有界集,无界集。
高等数学知识点关键信息项1、函数与极限函数的概念与性质极限的定义与计算方法无穷小与无穷大2、导数与微分导数的定义与几何意义基本函数的导数公式微分的定义与运算3、中值定理与导数的应用罗尔定理、拉格朗日中值定理、柯西中值定理函数的单调性与极值曲线的凹凸性与拐点函数的最值问题4、不定积分不定积分的概念与性质基本积分公式换元积分法与分部积分法5、定积分定积分的定义与性质牛顿莱布尼茨公式定积分的计算与应用反常积分6、多元函数微分学多元函数的概念与极限偏导数与全微分多元函数的极值与最值7、重积分二重积分的概念与性质二重积分的计算方法三重积分8、曲线积分与曲面积分对弧长的曲线积分对坐标的曲线积分格林公式对面积的曲面积分对坐标的曲面积分高斯公式与斯托克斯公式9、无穷级数数项级数的概念与性质正项级数的审敛法任意项级数的审敛法幂级数函数展开成幂级数11 函数与极限111 函数的概念函数是数学中的一个基本概念,设集合 D 是实数集的子集,如果对于 D 中的每个实数 x ,按照某种确定的对应关系 f ,都有唯一确定的实数 y 与之对应,则称变量 y 是变量 x 的函数,记作 y = f(x) ,其中 x称为自变量,y 称为因变量,D 称为函数的定义域,值域是函数值的集合。
112 函数的性质函数具有单调性、奇偶性、周期性等性质。
单调性是指函数在某个区间上的增减性;奇偶性是指函数关于原点或 y 轴对称的性质;周期性是指函数在一定区间上重复出现的性质。
12 极限的定义极限是高等数学中的一个重要概念。
当自变量无限趋近于某个值时,函数值无限趋近于一个确定的常数,这个常数就是函数在该点的极限。
13 极限的计算方法极限的计算方法包括利用极限的四则运算法则、两个重要极限、等价无穷小替换、洛必达法则等。
14 无穷小与无穷大无穷小是以 0 为极限的变量,无穷大是绝对值无限增大的变量。
无穷小与无穷大之间存在着密切的关系。
21 导数与微分211 导数的定义导数是函数在某一点的变化率,它反映了函数在该点处的瞬时变化趋势。
高等数学知识点大全高考高等数学知识点篇一极限1、知识范围(1)数列极限的概念数列、数列极限的定义(2)数列极限的性质性、有界性、四则运算法则、夹通定理、单调有界数列极限存在定理(3)函数极限的概念函数在一点处极限的定义、左、右极限及其与极限的关系趋于无穷时函数的极限、函数极限的几何意义(4)函数极限的性质性、四则运算法则、夹通定理(5)无穷小量与无穷大量无穷小量与无穷大量的定义、无穷小量与无穷大量的关系、无穷小量的性质、无穷小量的阶(6)两个重要极限2、要求(1)理解极限的概念,会求函数在一点处的左极限与右极限,了解函数在一点处极限存在的充分必要条件。
(2)了解极限的有关性质,掌握极限的四则运算法则。
(3)理解无穷小量、无穷大量的概念,掌握无穷小量的性质、无穷小量与无穷大量的关系。
会进行无穷小量阶的比较(高阶、低阶、同阶和等价)。
会运用等价无穷小量代换求极限。
篇二高考数学解答题部分主要考查七大主干知识:第一,函数与导数。
主要考查集合运算、函数的有关概念定义域、值域、解析式、函数的极限、连续、导数。
第二,平面向量与三角函数、三角变换及其应用。
这一部分是高考的重点但不是难点,主要出一些基础题或中档题。
第三,数列及其应用。
这部分是高考的重点而且是难点,主要出一些综合题。
第四,不等式。
主要考查不等式的求解和证明,而且很少单独考查,主要是在解答题中比较大小。
是高考的重点和难点。
第五,概率和统计。
这部分和我们的生活联系比较大,属应用题。
第六,空间位置关系的定性与定量分析,主要是证明平行或垂直,求角和距离。
第七,解析几何。
是高考的难点,运算量大,一般含参数。
高考对数学基础知识的考查,既全面又突出重点,扎实的数学基础是成功解题的关键。
针对数学高考强调对基础知识与基本技能的考查我们一定要全面、系统地复习高中数学的基础知识,正确理解基本概念,正确掌握定理、原理、法则、公式、并形成记忆,形成技能。
以不变应万变。
对数学思想和方法的考查是对数学知识在更高层次上的抽象和概括的考查,考查时与数学知识相结合。
高等数学知识点总结高等数学知识点总结1一、不定积分计算方法1. 凑微分法2. 裂项法3. 变量代换法1) 三角代换2) 根幂代换3) 倒代换4. 配方后积分5. 有理化6. 和差化积法7. 分部积分法(反、对、幂、指、三)8. 降幂法二、定积分的计算方法1. 利用函数奇偶性2. 利用函数周期性3.参考不定积分计算方法三、定积分与极限1. 积和式极限2. 利用积分中值定理或微分中值定理求极限3. 洛必达法则4. 等价无穷小四、定积分的估值及其不等式的应用1. 不计算积分,比较积分值的大小1) 比较定理:若在同一区间[a,b]上,总有f(x)>=g(x),则 >=()dx2) 利用被积函数所满足的不等式比较之 a)b) 当0<x<兀 p="" 兀<<12. 估计具体函数定积分的值积分估值定理:设f(x)在[a,b]上连续,且其最大值为m,最小值为m则m(b-a)<= <=m(b-a)3. 具体函数的定积分不等式证法1) 积分估值定理2) 放缩法3) 柯西积分不等式≤ %4. 抽象函数的定积分不等式的证法1) 拉格朗日中值定理和导数的有界性2) 积分中值定理3) 常数变易法4) 利用泰勒公式展开法五、变限积分的导数方法高等数学知识点总结2a.function函数(1)函数的定义和性质(定义域值域、单调性、奇偶性和周期性等)(2)幂函数(一次函数、二次函数,多项式函数和有理函数)(3)指数和对数(指数和对数的公式运算以及函数性质)(4)三角函数和反三角函数(运算公式和函数性质)(5)复合函数,反函数(6)参数函数,极坐标函数,分段函数(7)函数图像平移和变换b.limit and continuity极限和连续(1)极限的定义和左右极限(2)极限的运算法则和有理函数求极限(3)两个重要的极限(4)极限的应用-求渐近线(5)连续的定义(6)三类不连续点(移点、跳点和无穷点)(7)最值定理、介值定理和零值定理c.derivative导数(1)导数的定义、几何意义和单侧导数(2)极限、连续和可导的关系(3)导数的求导法则(共21个)(4)复合函数求导(5)高阶导数(6)隐函数求导数和高阶导数(7)反函数求导数(8)参数函数求导数和极坐标求导数d.application of derivative导数的应用(1)微分中值定理(d-mvt)(2)几何应用-切线和法线和相对变化率(3)物理应用-求速度和加速度(一维和二维运动)(4)求极值、最值,函数的增减性和凹凸性(5)洛比达法则求极限(6)微分和线性估计,四种估计求近似值(7)欧拉法则求近似值e.indefinite integral不定积分(1)不定积分和导数的关系(2)不定积分的公式(18个)(3)u换元法求不定积分(4)分部积分法求不定积分(5)待定系数法求不定积分f.definite integral 定积分(1)riemann sum(左、右、中和梯形)和定积分的定义和几何意义(2)牛顿-莱布尼茨公式和定积分的.性质(3)accumulation function求导数(4)反常函数求积分h.application of integral定积分的应用(1)积分中值定理(i-mvt)(2)定积分求面积、极坐标求面积(3)定积分求体积,横截面体积(4)求弧长(5)定积分的物理应用i.differential equation微分方程(1)可分离变量的微分方程和逻辑斯特微分方程(2)斜率场j.infinite series无穷级数(1)无穷级数的定义和数列的级数(2)三个审敛法-比值、积分、比较审敛法(3)四种级数-调和级数、几何级数、p级数和交错级数(4)函数的级数-幂级数(收敛半径)、泰勒级数和麦克劳林级数(5)级数的运算和拉格朗日余项、拉格朗日误差注意:(1)问答题主要考察知识点的综合运用,一般每道问答题都有3-4问,可能同时涵盖导数、积分或者微分方程的内容,解出的答案一般都是保留3位小数。
高数知识点总结高等数学是大学必修课程,也是各个理工科专业的基础课程。
在学习高等数学的过程中,我们需要掌握和理解一些重要的知识点。
下面将对一些常见的高数知识点进行总结。
一. 极限与连续1. 极限的定义和性质:极限是函数在某点逼近的结果,可以通过函数的左右极限来判断。
常用的极限性质有极限的唯一性、四则运算法则、夹逼准则等。
2. 连续与不连续:连续是指函数在某点和周围的点都存在极限并且这些极限相等。
常见的不连续点有可去间断点、跳跃间断点和无穷间断点。
二. 导数与微分1. 导数的定义和性质:导数是函数在某点处的变化率,可以描述函数曲线的陡峭程度。
导数的性质包括可导的充分必要条件、导数与函数连续的关系、导数的四则运算法则等。
2. 微分与高阶导数:微分是导数的一种表示形式,通过微分可以求得函数值的近似值。
高阶导数表示导数的导数,可以描述更加复杂的曲线变化。
三. 积分与定积分1. 不定积分和定积分的定义:不定积分是求导的逆运算,可以得到函数的原函数。
定积分是求函数在一定区间上的累积值,可以计算曲线下的面积或弧长。
2. 积分的性质和计算方法:积分的性质包括线性性质、区间可加性等。
计算积分可以通过换元法、分部积分法、定积分的几何应用等方法。
四. 一元函数的应用1. 函数的最值和极值点:函数的最值是函数在定义域上的最大值和最小值,极值点是函数的导数等于零或不存在的点。
通过求函数的导数可以找到函数的极值点。
2. 函数的图像与曲线的特性:函数的图像可以通过绘制函数的曲线来了解其性质。
常见的曲线特性有单调性、凹凸性、拐点等。
五. 多元函数的极限、偏导数与全微分1. 多元函数的极限:多元函数的极限是指在多元空间中某点的邻域内,函数值无限接近于某个值。
可以通过多元极限的定义和性质进行计算和推导。
2. 偏导数和全导数:偏导数是多元函数对于某个自变量的导数,全导数是多元函数所有自变量的偏导数的集合。
可以通过偏导数和全导数来分析多元函数的性质和曲线变化。
高等数学上重要知识点归纳第一章 函数、极限与连续一、极限的定义与性质 1、定义以数列为例,,0lim N a x n n ∃>∀⇔=∞→ε当N n >时,ε<-||a x n2、性质1 )()()(lim 0x A x f A x f xx α+=⇔=→,其中)(x α为某一个无穷小; 2保号性若0)(lim 0>=→A x f xx ,则,0>∃δ当),(0δx U x o∈时,0)(>x f ; 3无穷小乘以有界函数仍为无穷小; 二、求极限的主要方法与工具 1、两个重要极限公式 11sin lim=∆∆→∆ 2e =◊+◊∞→◊)11(lim 2、两个准则 1 夹逼准则 2单调有界准则 3、等价无穷小替换法 常用替换:当0→∆时(1)∆∆~sin 2∆∆~tan 3∆∆~arcsin 4∆∆~arctan (5)∆∆+~)1ln( 6∆-∆~1e (7)221~cos 1∆∆- 8nn ∆-∆+~11 4、分子或分母有理化法 5、分解因式法 6用定积分定义 三、无穷小阶的比较 高阶、同阶、等价 四、连续与间断点的分类 1、连续的定义)(x f 在a 点连续2、间断点的分类⎪⎪⎪⎩⎪⎪⎪⎨⎧⎪⎩⎪⎨⎧⎩⎨⎧其他震荡型(来回波动))无穷型(极限为无穷大第二类但不相等)跳跃型(左右极限存在可去型(极限存在)第一类 3、曲线的渐近线 五、闭区间连续函数性质 1、最大值与最小值定理 2、介值定理和零点定理第二章 导数与微分一、导数的概念 1、导数的定义 2、左右导数 左导数ax a f x f x y a f a x x --=∆∆='--→→∆-)()(limlim)(0 右导数ax a f x f x y a f a x x --=∆∆='++→→∆+)()(limlim)(0 3、导数的几何意义 4、导数的物理意义5、可导与连续的关系: 连续,反之不然。
高数总结知识点一、函数与极限函数的概念、性质及其图像。
函数的极限定义、性质及其运算。
无穷小与无穷大的概念及关系。
极限存在准则(夹逼准则、单调有界准则等)。
二、导数与微分导数的定义、性质及几何意义。
导数的计算(包括基本初等函数的导数、复合函数求导法则、隐函数求导、参数方程求导等)。
高阶导数的概念及计算。
微分的定义、性质及运算。
三、微分中值定理与导数的应用微分中值定理(罗尔定理、拉格朗日中值定理、泰勒定理等)。
洛必达法则及其应用。
函数的单调性、极值、最值及凹凸性的判定。
曲线的渐近线、拐点及图形的描绘。
四、不定积分与定积分不定积分的概念、性质及基本积分公式。
不定积分的计算(包括凑微分法、换元积分法、分部积分法等)。
定积分的概念、性质及计算。
定积分的应用(如面积、体积、弧长、功、平均值等的计算)。
五、向量代数与空间解析几何向量的概念、性质及运算。
空间直角坐标系及点的坐标表示。
向量的坐标表示及运算。
平面与直线的方程及其位置关系。
六、多元函数微分学多元函数的概念、性质及极限与连续。
偏导数的定义、计算及几何意义。
全微分的概念及计算。
多元函数的极值与最值问题。
七、多元函数积分学二重积分的概念、性质及计算。
三重积分的概念及计算。
曲线积分与曲面积分的概念及计算。
八、无穷级数常数项级数的概念、性质及收敛判别法。
函数项级数的概念及一致收敛性。
幂级数的概念、性质及运算。
傅里叶级数及其应用。
九、微分方程微分方程的概念及分类。
一阶微分方程的解法(分离变量法、凑微分法等)。
高阶微分方程的解法(降阶法、幂级数解法等)。
微分方程的应用(如物理、化学、生物等领域中的实际问题)。
以上只是高等数学的一些主要知识点,实际上高等数学的内容非常丰富且深入,需要学习者不断地探索和实践。
第一讲: 极限与连续一. 数列函数: 1. 类型:(1)数列: *()n a f n =; *1()n n a f a += (2)初等函数:(3)分段函数: *0102()(),()x x f x F x x x f x ≤⎧=⎨>⎩; *0()(),x x f x F x x x a ≠⎧=⎨=⎩;* (4)复合(含f )函数: (),()y f u u x ϕ== (5)隐式(方程): (,)0F x y =(6)参式(数一,二): ()()x x t y y t =⎧⎨=⎩(7)变限积分函数: ()(,)xaF x f x t dt =⎰(8)级数和函数(数一,三): 0(),nn n S x a xx ∞==∈Ω∑2. 特征(几何):(1)单调性与有界性(判别); (()f x 单调000,()(()())x x x f x f x ⇒∀--定号) (2)奇偶性与周期性(应用).3. 反函数与直接函数: 11()()()y f x x f y y f x --=⇔=⇒=二. 极限性质:1. 类型: *lim n n a →∞; *lim ()x f x →∞(含x →±∞); *0lim ()x x f x →(含0x x ±→)2. 无穷小与无穷大(注: 无穷量):3. 未定型:000,,1,,0,0,0∞∞∞-∞⋅∞∞∞4. 性质: *有界性, *保号性, *归并性 三. 常用结论:11n n →, 1(0)1n a a >→, 1()max(,,)nnn na b c a b c ++→, ()00!na a n >→1(0)x x→→∞, 0lim 1xx x +→=, lim 0n x x x e →+∞=, ln lim 0n x x x →+∞=,lim ln 0nx x x +→=, 0,xx e x →-∞⎧→⎨+∞→+∞⎩ 四. 必备公式:1. 等价无穷小: 当()0u x →时, sin ()()u x u x ; tan ()()u x u x ; 211cos ()()2u x u x -; ()1()u x eu x -; ln(1())()u x u x +; (1())1()u x u x αα+-;arcsin ()()u x u x ; arctan ()()u x u x2. 泰勒公式:(1)2211()2!xe x x o x =+++; (2)221ln(1)()2x x x o x +=-+;(3)341sin ()3!x x x o x =-+;(4)24511cos 1()2!4!x x x o x =-++;(5)22(1)(1)1()2!x x x o x αααα-+=+++.五. 常规方法: 前提: (1)准确判断0,,1,0M α∞∞∞(其它如:00,0,0,∞-∞⋅∞∞); (2)变量代换(如:1t x=) 1. 抓大弃小()∞∞, 2. 无穷小与有界量乘积 (M α⋅) (注:1sin1,x x≤→∞) 3. 1∞处理(其它如:00,∞)4. 左右极限(包括x →±∞):(1)1(0)x x→; (2)()xe x →∞; 1(0)x e x →; (3)分段函数: x , []x , max ()f x5. 无穷小等价替换(因式中的无穷小)(注: 非零因子)6. 洛必达法则 (1)先”处理”,后法则(00最后方法); (注意对比: 1ln lim 1x x x x →-与0ln lim 1x x x x →-)(2)幂指型处理: ()()ln ()()v x v x u x u x e=(如: 1111111(1)x x x x xee e e-++-=-)(3)含变限积分;(4)不能用与不便用7. 泰勒公式(皮亚诺余项): 处理和式中的无穷小 8. 极限函数: ()lim (,)n f x F x n →∞=(⇒分段函数)六. 非常手段 1. 收敛准则:(1)()lim ()n x a f n f x →+∞=⇒(2)双边夹: *?n n n b a c ≤≤, *,?n n b c a →(3)单边挤: 1()n n a f a += *21?a a ≥ *?n a M ≤ *'()0?f x >2. 导数定义(洛必达?): 00lim'()x ff x x→=3. 积分和: 10112lim [()()()]()n nf f f f x dx n n n n→∞+++=⎰,4. 中值定理: lim[()()]lim '()x x f x a f x a f ξ→+∞→+∞+-=5. 级数和(数一三):(1)1n n a ∞=∑收敛lim 0n n a →∞⇒=, (如2!lim n n n n n →∞) (2)121lim()n n n n a a a a ∞→∞=+++=∑,(3){}n a 与11()nn n aa ∞-=-∑同敛散七. 常见应用:1. 无穷小比较(等价,阶): *(),(0)?n f x kx x →(1)(1)()(0)'(0)(0)0,(0)n n f f f f a -=====⇔()()!!nn na a f x x x x n n α=+ (2)()xxn f t dtkt dt ⎰⎰2. 渐近线(含斜):(1)()lim,lim[()]x x f x a b f x ax x→∞→∞==-()f x ax b α⇒++(2)()f x ax b α=++,(10x→)3. 连续性: (1)间断点判别(个数); (2)分段函数连续性(附:极限函数, '()f x 连续性) 八. [,]a b 上连续函数性质1. 连通性: ([,])[,]f a b m M = (注:01λ∀<<, “平均”值:0()(1)()()f a f b f x λλ+-=)2. 介值定理: (附: 达布定理)(1)零点存在定理: ()()0f a f b <0()0f x ⇒=(根的个数); (2)()0(())'0xaf x f x dx =⇒=⎰.第二讲:导数及应用(一元)(含中值定理)一. 基本概念:1. 差商与导数: '()f x =0()()limx f x x f x x →+-; 0'()f x =000()()lim x x f x f x x x →--(1)0()(0)'(0)limx f x f f x →-= (注:0()lim (x f x A f x→=连续)(0)0,'(0)f f A ⇒==)(2)左右导: ''00(),()f x f x -+;(3)可导与连续; (在0x =处, x 连续不可导; x x 可导) 2. 微分与导数:()()'()()'()f f x x f x f x x o x df f x dx =+-=+⇒=(1)可微⇔可导; (2)比较,f df ∆与"0"的大小比较(图示); 二. 求导准备:1. 基本初等函数求导公式; (注: (())'f x )2. 法则: (1)四则运算; (2)复合法则; (3)反函数1'dx dy y = 三. 各类求导(方法步骤):1. 定义导: (1)'()f a 与'()x a f x =; (2)分段函数左右导; (3)0()()limh f x h f x h h→+--(注: 00()(),x x F x f x x x a≠⎧=⎨=⎩, 求:0'(),'()f x f x 及'()f x 的连续性) 2. 初等导(公式加法则):(1)[()]u f g x =, 求:0'()u x (图形题); (2)()()xaF x f t dt =⎰, 求:'()F x (注: ((,))',((,))',(())'x b baaaf x t dt f x t dt f t dt ⎰⎰⎰)(3)0102(),()x x f x y x x f x <⎧=⎨≥⎩,求''00(),()f x f x -+及0'()f x (待定系数)3. 隐式((,)0f x y =)导: 22,dy d y dx dx (1)存在定理;(2)微分法(一阶微分的形式不变性). (3)对数求导法.4. 参式导(数一,二): ()()x x t y y t =⎧⎨=⎩, 求:22,dy d ydx dx 5. 高阶导()()n f x 公式:()()ax n n axe a e =; ()11!()()n n n b n a bx a bx +=--; ()(sin )sin()2n n ax a ax n π=+⨯; ()(cos )cos()2n n ax a ax n π=+⨯()()1(1)2(2)()'"n n n n n n uv u v C uv C u v --=+++注: ()(0)n f与泰勒展式: 2012()nn f x a a x a x a x =+++++()(0)!n n f a n ⇒=四. 各类应用:1. 斜率与切线(法线); (区别: ()y f x =上点0M 和过点0M 的切线)2. 物理: (相对)变化率-速度;3. 曲率(数一二):ρ=曲率半径, 曲率中心, 曲率圆)4. 边际与弹性(数三): (附: 需求, 收益, 成本, 利润) 五. 单调性与极值(必求导) 1. 判别(驻点0'()0f x =): (1) '()0()f x f x ≥⇒; '()0()f x f x ≤⇒;(2)分段函数的单调性(3)'()0f x >⇒零点唯一; "()0f x >⇒驻点唯一(必为极值,最值). 2. 极值点:(1)表格('()f x 变号); (由0002'()'()''()lim0,lim 0,lim 00x x x x x x f x f x f x x x x x →→→≠≠≠⇒=的特点)(2)二阶导(0'()0f x =)注(1)f 与',"f f 的匹配('f 图形中包含的信息);(2)实例: 由'()()()()f x x f x g x λ+=确定点“0x x =”的特点. (3)闭域上最值(应用例: 与定积分几何应用相结合, 求最优)3. 不等式证明(()0f x ≥)(1)区别: *单变量与双变量? *[,]x a b ∈与[,),(,)x a x ∈+∞∈-∞+∞? (2)类型: *'0,()0f f a ≥≥; *'0,()0f f b ≤≥*"0,(),()0f f a f b ≤≥; *00"()0,'()0,()0f x f x f x ≥=≥ (3)注意: 单调性⊕端点值⊕极值⊕凹凸性. (如: max ()()f x M f x M ≤⇔=) 4. 函数的零点个数: 单调⊕介值六. 凹凸与拐点(必求导!): 1. "y ⇒表格; (0"()0f x =)2. 应用: (1)泰勒估计; (2)'f 单调; (3)凹凸. 七. 罗尔定理与辅助函数: (注: 最值点必为驻点) 1. 结论: ()()'()()0F b F a F f ξξ=⇒== 2. 辅助函数构造实例: (1)()f ξ⇒()()xaF x f t dt =⎰(2)'()()()'()0()()()f g f g F x f x g x ξξξξ+=⇒= (3)()'()()()'()0()()f x fg f g F x g x ξξξξ-=⇒= (4)'()()()0f f ξλξξ+=⇒()()()x dxF x e f x λ⎰=;3. ()()0()n ff x ξ=⇔有1n +个零点(1)()n f x -⇔有2个零点4. 特例: 证明()()n fa ξ=的常规方法:令()()()n F x f x P x =-有1n +个零点(()n P x 待定)5. 注: 含12,ξξ时,分家!(柯西定理)6. 附(达布定理): ()f x 在[,]a b 可导,['(),'()]c f a f b ∀∈,[,]a b ξ∃∈,使:'()f c ξ= 八. 拉格朗日中值定理1. 结论: ()()'()()f b f a f b a ξ-=-; (()(),'()0a b ϕϕξϕξ<⇒∃∍>)2. 估计:'()f f x ξ=九. 泰勒公式(连接,',"f f f 之间的桥梁)1. 结论: 2300000011()()'()()"()()"'()()2!3!f x f x f x x x f x x x f x x ξ=+-+-+-; 2. 应用: 在已知()f a 或()f b 值时进行积分估计十. 积分中值定理(附:广义): [注:有定积分(不含变限)条件时使用] 第三讲: 一元积分学一. 基本概念: 1. 原函数()F x :(1)'()()F x f x =; (2)()()f x dx dF x =; (3)()()f x dx F x c =+⎰注(1)()()xaF x f t dt =⎰(连续不一定可导);(2)()()()()xx aax t f t dt f t dt f x -⇒⇒⎰⎰ (()f x 连续)2. 不定积分性质:(1)(())'()f x dx f x =⎰; (())()d f x dx f x dx =⎰(2)'()()f x dx f x c =+⎰; ()()df x f x c =+⎰二. 不定积分常规方法1. 熟悉基本积分公式2. 基本方法: 拆(线性性)1212(()())()()k f x k g x dx k f x dx k g x dx +=+⎰⎰⎰3. 凑微法(基础): 要求巧,简,活(221sin cos x x =+)如: 211(),,ln ,2dx dx d ax b xdx dx d x a x =+==2=(1ln )(ln )x dx d x x =+=4. 变量代换:(1)常用(三角代换,根式代换,倒代换): 1sin ,,,x t t t t x====(2)作用与引伸(化简): x t =5. 分部积分(巧用):(1)含需求导的被积函数(如ln ,arctan ,()xax x f t dt ⎰);(2)“反对幂三指”: ,ln ,n axnx edx xxdx ⎰⎰(3)特别:()xf x dx ⎰ (*已知()f x 的原函数为()F x ; *已知'()()f x F x =)6. 特例: (1)11sin cos sin cos a x b x dx a x b x ++⎰; (2)(),()sin kxp x e dx p x axdx ⎰⎰快速法; (3)()()n v x dx u x ⎰ 三. 定积分:1. 概念性质:(1)积分和式(可积的必要条件:有界, 充分条件:连续) (2)几何意义(面积,对称性,周期性,积分中值)*20(0)8a a π>=⎰; *()02baa bx dx +-=⎰ (3)附:()()baf x dx M b a ≤-⎰,()()()bbaaf xg x dx M g x dx ≤⎰⎰)(4)定积分与变限积分, 反常积分的区别联系与侧重2: 变限积分()()xax f t dt Φ=⎰的处理(重点)(1)f 可积⇒Φ连续, f 连续⇒Φ可导 (2)(())'xaf t dt ⎰()f x =; (()())'()x xaax t f t dt f t dt -=⎰⎰;()()()xaf x dt x a f x =-⎰(3)由函数()()xaF x f t dt =⎰参与的求导, 极限, 极值, 积分(方程)问题3. N L -公式:()()()baf x dx F b F a =-⎰(()F x 在[,]a b 上必须连续!)注: (1)分段积分, 对称性(奇偶), 周期性 (2)有理式, 三角式, 根式 (3)含()baf t dt ⎰的方程.4. 变量代换: ()(())'()baf x dx f u t u t dt βα=⎰⎰(1)00()()()aa f x dx f a x dx x a t =-=-⎰⎰,(2)()()()[()()]aaaaaf x dx f x dx x t f x f x dx --=-=-=+-⎰⎰⎰ (如:4411sin dx x ππ-+⎰)(3)2201sin n n n n I xdx I nπ--==⎰, (4)2200(sin )(cos )f x dx f x dx ππ=⎰⎰;20(sin )2(sin )f x dx f x dx ππ=⎰⎰,(5)(sin )(sin )2xf x dx f x dx πππ=⎰⎰,5. 分部积分(1)准备时“凑常数” (2)已知'()f x 或()xaf x =⎰时, 求()baf x dx ⎰6. 附: 三角函数系的正交性: 22200sin cos sin cos 0nxdx nxdx nx mxdx πππ===⎰⎰⎰2200sin sin cos cos ()0nx mxdx nx mxdx n m ππ=≠=⎰⎰22220sin cos nxdx nxdx πππ==⎰⎰四. 反常积分: 1. 类型: (1)(),(),()aa f x dx f x dx f x dx +∞+∞-∞-∞⎰⎰⎰(()f x 连续)(2)()baf x dx ⎰: (()f x 在,,()x a x b x c a c b ===<<处为无穷间断)2. 敛散;3. 计算: 积分法⊕N L -公式⊕极限(可换元与分部)4. 特例: (1)11pdx x +∞⎰; (2)101p dx x ⎰五. 应用: (柱体侧面积除外)1. 面积, (1)[()()];baS f x g x dx =-⎰(2)1()dcS f y dy -=⎰;(3)21()2S r d βαθθ=⎰; (4)侧面积:2(b a S f x π=⎰2. 体积: (1)22[()()]bx aV f x g x dx π=-⎰; (2)12[()]2()d by caV f y dy xf x dx ππ-==⎰⎰(3)0x x V =与0y y V =3. 弧长: ds =(1)(),[,]y f x x a b =∈ as =⎰(2)12(),[,]()x x t t t t y y t =⎧∈⎨=⎩ 21t t s =⎰(3)(),[,]r r θθαβ=∈: s βαθ=⎰4. 物理(数一,二)功,引力,水压力,质心,广东专插本学习网:105. 平均值(中值定理): (1)1[,]()ba f ab f x dx b a=-⎰; (2)0()[0)limx x f t dt f x→+∞+∞=⎰, (f 以T 为周期:0()Tf t dt fT=⎰)第四讲: 微分方程一. 基本概念1. 常识: 通解, 初值问题与特解(注: 应用题中的隐含条件)2. 变换方程:(1)令()'""x x t y Dy =⇒=(如欧拉方程)(2)令(,)(,)'u u x y y y x u y =⇒=⇒(如伯努利方程) 3. 建立方程(应用题)的能力 二. 一阶方程:1. 形式: (1)'(,)y f x y =; (2)(,)(,)0M x y dx N x y dy +=; (3)()y a b =2. 变量分离型: '()()y f x g y =(1)解法:()()()()dyf x dx G y F x Cg y =⇒=+⎰⎰(2)“偏”微分方程:(,)zf x y x∂=∂; 3. 一阶线性(重点): '()()y p x y q x +=(1)解法(积分因子法): 00()01()[()()]()xx p x dxx x M x e y M x q x dx y M x ⎰=⇒=+⎰(2)变化: '()()x p y x q y +=;(3)推广: 伯努利(数一) '()()y p x y q x y α+= 4. 齐次方程: '()y y x=Φ (1)解法: '(),()ydu dxu u xu u x u u x =⇒+=Φ=Φ-⎰⎰(2)特例:111222a xb yc dy dx a x b y c ++=++5. 全微分方程(数一): (,)(,)0M x y dx N x y dy +=且N Mx y∂∂=∂∂ dU Mdx Ndy U C =+⇒=6. 一阶差分方程(数三): 1*()()x x x x x n xxy ca y ay b p x y x Q x b +=⎧-=⇒⎨=⎩ 三. 二阶降阶方程1. "()y f x =: 12()y F x c x c =++2. "(,')y f x y =: 令'()"(,)dpy p x y f x p dx=⇒== 3. "(,')y f y y =: 令'()"(,)dpy p y y pf y p dy=⇒== 四. 高阶线性方程: ()"()'()()a x y b x y c x y f x ++= 1. 通解结构:(1)齐次解: 01122()()()y x c y x c y x =+(2)非齐次特解: 1122()()()*()y x c y x c y x y x =++ 2. 常系数方程: "'()ay by cy f x ++= (1)特征方程与特征根: 20a b c λλ++=(2)非齐次特解形式确定: 待定系数; (附: ()axf x ke =的算子法) (3)由已知解反求方程.3. 欧拉方程(数一): 2"'()ax y bxy cy f x ++=, 令2"(1),'tx e x y D D y xy Dy =⇒=-= 五. 应用(注意初始条件):1. 几何应用(斜率, 弧长, 曲率, 面积, 体积); 注: 切线和法线的截距2. 积分等式变方程(含变限积分); 可设()(),()0xaf x dx F x F a ==⎰3. 导数定义立方程: 含双变量条件()f x y +=的方程4. 变化率(速度)5. 22dv d x F ma dt dt ===6. 路径无关得方程(数一): Q Px y∂∂=∂∂ 7. 级数与方程:(1)幂级数求和; (2)方程的幂级数解法:201201,(0),'(0)y a a x a x a y a y =+++==8. 弹性问题(数三)第五讲: 多元微分与二重积分一. 二元微分学概念1. 极限, 连续, 单变量连续, 偏导, 全微分, 偏导连续(必要条件与充分条件), (1)000000(,),(,),(,)x y f f x x y y f f x x y f f x y y ∆=++∆=+∆=+(2)lim ,lim ,lim y x x y f ff f f x y∆∆∆==∆∆ (3)22,lim()()x y f df f x f ydf x y ∆-++ (判别可微性)注: (0,0)点处的偏导数与全微分的极限定义: 00(,0)(0,0)(0,)(0,0)(0,0)lim,(0,0)lim x y x y f x f f y f f f x y→→--==2. 特例:(1)22(0,0)(,)0,(0,0)xyx yf x y ⎧≠⎪+=⎨⎪=⎩: (0,0)点处可导不连续;(2)(0,0)(,)0,(0,0)f x y ≠==⎩: (0,0)点处连续可导不可微;二. 偏导数与全微分的计算:1. 显函数一,二阶偏导: (,)z f x y = 注: (1)yx 型; (2)00(,)xx y z ; (3)含变限积分2. 复合函数的一,二阶偏导(重点): [(,),(,)]z f u x y v x y =熟练掌握记号''"""12111222,,,,f f f f f 的准确使用3. 隐函数(由方程或方程组确定):(1)形式: *(,,)0F x y z =; *(,,)0(,,)0F x y zG x y z =⎧⎨=⎩ (存在定理)(2)微分法(熟练掌握一阶微分的形式不变性): 0x y z F dx F dy F dz ++= (要求: 二阶导) (3)注: 00(,)x y 与0z 的及时代入 (4)会变换方程. 三. 二元极值(定义?);1. 二元极值(显式或隐式): (1)必要条件(驻点); (2)充分条件(判别)2. 条件极值(拉格朗日乘数法) (注: 应用)(1)目标函数与约束条件: (,)(,)0z f x y x y ϕ=⊕=, (或: 多条件) (2)求解步骤: (,,)(,)(,)L x y f x y x y λλϕ=+, 求驻点即可. 3. 有界闭域上最值(重点).(1)(,){(,)(,)0}z f x y M D x y x y ϕ=⊕∈=≤ (2)实例: 距离问题四. 二重积分计算:1. 概念与性质(“积”前工作): (1)Dd σ⎰⎰,(2)对称性(熟练掌握): *D 域轴对称; *f 奇偶对称; *字母轮换对称; *重心坐标; (3)“分块”积分: *12D D D =; *(,)f x y 分片定义; *(,)f x y 奇偶2. 计算(化二次积分):(1)直角坐标与极坐标选择(转换): 以“D ”为主; (2)交换积分次序(熟练掌握). 3. 极坐标使用(转换): 22()f x y +附: 222:()()D x a y b R -+-≤; 2222:1x y D a b+≤;双纽线222222()()x y a x y +=- :1D x y +≤ 4. 特例:(1)单变量: ()f x 或()f y广东专插本学习网:14(2)利用重心求积分: 要求: 题型12()Dk x k y dxdy +⎰⎰, 且已知D 的面积DS与重心(,)x y5. 无界域上的反常二重积分(数三) 五: 一类积分的应用(():;;;;f M d D L σΩ⇒ΩΩΓ∑⎰):1. “尺寸”: (1)D Dd Sσ⇔⎰⎰;(2)曲面面积(除柱体侧面);2. 质量, 重心(形心), 转动惯量;3. 为三重积分, 格林公式, 曲面投影作准备.第六讲: 无穷级数(数一,三)一. 级数概念1. 定义: (1){}n a , (2)12n n S a a a =+++; (3)lim n n S →∞(如1(1)!n nn ∞=+∑)注: (1)lim n n a →∞; (2)n q ∑(或1n a∑); (3)“伸缩”级数:1()n n a a +-∑收敛{}n a ⇔收敛. 2. 性质: (1)收敛的必要条件: lim 0n n a →∞=;(2)加括号后发散, 则原级数必发散(交错级数的讨论); (3)221,0n n n n s s a s s s s +→→⇒→⇒→; 二. 正项级数1. 正项级数: (1)定义: 0n a ≥; (2)特征: nS ; (3)收敛n S M ⇔≤(有界)2. 标准级数: (1)1p n∑, (2)ln k n n α∑, (3)1ln kn n ∑ 3. 审敛方法: (注:222ab a b ≤+,ln ln ba ab =)(1)比较法(原理):np ka n(估计), 如10()n f x dx ⎰; ()()P n Q n ∑(2)比值与根值: *1limn n nu u +→∞*n (应用: 幂级数收敛半径计算)三. 交错级数(含一般项):1(1)n n a +-∑(0n a >)1. “审”前考察: (1)0?n a > (2)0?n a →; (3)绝对(条件)收敛? 注: 若1lim1n n na a ρ+→∞=>,则n u ∑发散2. 标准级数: (1)11(1)n n +-∑; (2)11(1)n p n +-∑; (3)11(1)ln n p n+-∑ 3. 莱布尼兹审敛法(收敛?) (1)前提:na∑发散; (2)条件: ,0nn a a →; (3)结论:1(1)n n a +-∑条件收敛.4. 补充方法:(1)加括号后发散, 则原级数必发散; (2)221,0n n n n s s a s s s s +→→⇒→⇒→. 5. 注意事项: 对比 n a∑;(1)n n a-∑;na∑;2na∑之间的敛散关系四. 幂级数:1. 常见形式: (1)nna x∑, (2)()nna x x -∑, (3)20()nna x x -∑2. 阿贝尔定理:(1)结论: *x x =敛*0R x x ⇒≥-; *x x =散*0R x x ⇒≤- (2)注: 当*x x =条件收敛时*R x x ⇒=- 3. 收敛半径,区间,收敛域(求和前的准备) 注(1),n nn n a na x x n∑∑与n n a x ∑同收敛半径 (2)nna x∑与20()nna x x -∑之间的转换4. 幂级数展开法:(1)前提: 熟记公式(双向,标明敛域)23111,2!3!xe x x x R =++++Ω= 24111()1,22!4!x x e e x x R -+=+++Ω=35111(),23!5!x x e e x x x R --=+++Ω=3511sin ,3!5!x x x x R =-+-Ω= 2411cos 1,2!4!x x x R =-++Ω=;211,(1,1)1x x x x =+++∈--; 211,(1,1)1x x x x=-+-∈-+2311ln(1),(1,1]23x x x x x +=-+-∈-2311ln(1),[1,1)23x x x x x -=----∈-3511arctan ,[1,1]35x x x x x =-+-∈-(2)分解: ()()()f x g x h x =+(注:中心移动) (特别: 021,x x ax bx c=++)(3)考察导函数: ()'()g x f x 0()()(0)xf xg x dx f ⇒=+⎰(4)考察原函数: 0()()xg x f x dx ⎰()'()f x g x ⇒=5. 幂级数求和法(注: *先求收敛域, *变量替换): (1)(),S x =+∑∑(2)'()S x =,(注意首项变化)(3)()()'S x =∑,(4)()"()"S x S x ⇒的微分方程 (5)应用:()(1)nn n n a a x S x a S ⇒=⇒=∑∑∑.6. 方程的幂级数解法7. 经济应用(数三):(1)复利: (1)nA p +; (2)现值: (1)nA p -+五. 傅里叶级数(数一): (2T π=)1. 傅氏级数(三角级数): 01()cos sin 2n n n a S x a nx b nx ∞==++∑ 2. Dirichlet 充分条件(收敛定理): (1)由()()f x S x ⇒(和函数) (2)1()[()()]2S x f x f x =-++ 3. 系数公式: 01()cos 1(),,1,2,3,1()sin n na f x nxdx a f x dx nb f x nxdx πππππππππ---⎧=⎪⎪==⎨⎪=⎪⎩⎰⎰⎰4. 题型: (注: ()(),?f x S x x =∈) (1)2T π=且(),(,]f x x ππ=∈-(分段表示)(2)(,]x ππ∈-或[0,2]x π∈ (3)[0,]x π∈正弦或余弦*(4)[0,]x π∈(T π=) *5. 2T l =6. 附产品: ()f x ⇒01()cos sin 2n n n a S x a nx b nx ∞==++∑ 00001()cos sin 2n n n a S x a nx b nx ∞=⇒=++∑001[()()]2f x f x =-++第七讲: 向量,偏导应用与方向导(数一)一. 向量基本运算1. 12k a k b +; (平行b a λ⇔=)2. a ; (单位向量(方向余弦) 01(cos ,cos ,cos )a a aαβγ=)3. a b ⋅; (投影:()a a b b a⋅=; 垂直:0a b a b ⊥⇔⋅=; 夹角:(,)a b a b a b⋅=)4. a b ⨯; (法向:,n a b a b =⨯⊥; 面积:S a b =⨯) 二. 平面与直线1.平面∏(1)特征(基本量): 0000(,,)(,,)M x y z n A B C ⊕=(2)方程(点法式): 000:()()()00A x x B y y C z z Ax By Cz D π-+-+-=⇒+++= (3)其它: *截距式1x y za b c++=; *三点式2.直线L(1)特征(基本量): 0000(,,)(,,)M x y z s m n p ⊕= (2)方程(点向式): 000:x x y y z z L m n p---== (3)一般方程(交面式): 111122220A x B y C z D A x B y C z D +++=⎧⎨+++=⎩(4)其它: *二点式; *参数式;(附: 线段AB 的参数表示:121121121()(),[0,1]()x a a a t y b b b t t z c c c t=+-⎧⎪=+-∈⎨⎪=+-⎩)3. 实用方法:(1)平面束方程: 11112222:()0A x B y C z D A x B y C z D πλ+++++++= (2)距离公式: 如点000(,)M x y到平面的距离d =(3)对称问题;(4)投影问题.三. 曲面与空间曲线(准备) 1. 曲面(1)形式∑: (,,)0F x y z = 或(,)z f x y =; (注: 柱面(,)0f x y =) (2)法向(,,)(cos ,cos ,cos )x y z n F F F αβγ=⇒ (或(,1)x y n z z =--)2. 曲线(1)形式():()()x x t y y t z z t =⎧⎪Γ=⎨⎪=⎩, 或(,,)0(,,)0F x y z G x y z =⎧⎨=⎩;(2)切向: {'(),'(),'()}s x t y t z t = (或12s n n =⨯)3. 应用(1)交线, 投影柱面与投影曲线;(2)旋转面计算: 参式曲线绕坐标轴旋转;(3)锥面计算.四. 常用二次曲面1. 圆柱面: 222x y R += 2. 球面: 2222x y z R ++=变形: 2222x y R z +=-,z =,2222x y z az ++=, 2222000()()()x x y y z z R -+-+-=3. 锥面: z =变形: 222x y z +=, z a = 4. 抛物面: 22z x y =+,变形: 22x y z +=, 22()z a x y =-+ 5. 双曲面: 2221x y z +=± 6. 马鞍面: 22z x y =-, 或z xy =五. 偏导几何应用 1. 曲面(1)法向: (,,)0(,,)x y z F x y z n F F F =⇒=, 注: (,)(,1)x y z f x y n f f =⇒=- (2)切平面与法线:2. 曲线(1)切向: (),(),()(',',')x x t y y t z z t s x y z ===⇒= (2)切线与法平面3. 综合: :Γ00F G =⎧⎨=⎩, 12s n n =⨯六. 方向导与梯度(重点) 1. 方向导(l 方向斜率):(1)定义(条件): (,,)(cos ,cos ,cos )l m n p αβγ=⇒ (2)计算(充分条件:可微):cos cos cos x y z uu u u lαβγ∂=++∂ 附: 0(,),{cos ,sin }z f x y l θθ==cos sin x y zf f lθθ∂⇒=+∂ (3)附: 2222cos 2sin cos sin xx xy yy f f f f lθθθθ∂=++∂2. 梯度(取得最大斜率值的方向) G :(1)计算:()(,)(,)x y a z f x y G gradz f f =⇒==; ()(,,)(,,)x y z b u f x y z G gradu u u u =⇒== (2)结论 ()a ul∂∂0G l =⋅; ()b 取l G =为最大变化率方向; ()c 0()G M 为最大方向导数值.第八讲: 三重积分与线面积分(数一)一. 三重积分(fdV Ω⎰⎰⎰)1. Ω域的特征(不涉及复杂空间域):(1)对称性(重点): 含: 关于坐标面; 关于变量; 关于重心 (2)投影法: 22212{(,)}(,)(,)xy D x y x y R z x y z z x y =+≤⊕≤≤ (3)截面法: 222(){(,)()}D z x y x y R z a z b =+≤⊕≤≤ (4)其它: 长方体, 四面体, 椭球 2. f 的特征:(1)单变量()f z , (2)22()f x y +, (3)222()f x y z ++, (4)f ax by cz d =+++ 3. 选择最适合方法: (1)“积”前: *dv Ω⎰⎰⎰; *利用对称性(重点)(2)截面法(旋转体): ()baD z I dz fdxdy =⎰⎰⎰(细腰或中空, ()f z , 22()f x y +)(3)投影法(直柱体): 21(,)(,)xyz x y z x y D I dxdy fdz =⎰⎰⎰(4)球坐标(球或锥体): 220sin ()RI d d f d παθϕϕρρ=⋅⋅⋅⎰⎰⎰,(5)重心法(f ax by cz d =+++): ()I ax by cz d V Ω=+++ 4. 应用问题:(1)同第一类积分: 质量, 质心, 转动惯量, 引力 (2)Gauss 公式广东专插本学习网: 21二. 第一类线积分(Lfds ⎰) 1. “积”前准备: (1)L ds L =⎰; (2)对称性; (3)代入“L ”表达式2. 计算公式:()[,]((),(()b a Lx x t t a b fds f x t y t y y t =⎧∈⇒=⎨=⎩⎰⎰ 3. 补充说明:(1)重心法: ()()Lax by c ds ax by c L ++=++⎰;(2)与第二类互换:L L A ds A dr τ⋅=⋅⎰⎰ 4. 应用范围(1)第一类积分(2)柱体侧面积(),L z x y ds ⎰ 三. 第一类面积分(fdS ∑⎰⎰)1. “积”前工作(重点):(1)dS ∑=∑⎰⎰; (代入:(,,)0F x y z ∑=)(2)对称性(如: 字母轮换, 重心)(3)分片2. 计算公式:(1)(,),(,)(,,(,xy xy D z z x y x y D I f x y z x y =∈⇒=⎰⎰ (2)与第二类互换: A ndS A d S ∑∑⋅=⋅⎰⎰⎰⎰四: 第二类曲线积分(1): (,)(,)LP x y dx Q x y dy +⎰ (其中L 有向)1. 直接计算: ()()x x t y y t =⎧⎨=⎩,2112:['()'()]t t t t t I Px t Qy t dt →⇒=+⎰ 常见(1)水平线与垂直线; (2)221x y +=2. Green 公式:(1)()L D Q P Pdx Qdy dxdy x y∂∂+=-∂∂⎰⎰⎰; (2)()L A B →⎰: *P Q y y ∂∂=⇒∂∂换路径; *P Q y y∂∂≠⇒∂∂围路径(3)L ⎰(x y Q P =但D 内有奇点) *L L =⎰⎰(变形) 3. 推广(路径无关性):P Q y y∂∂=∂∂ (1)Pdx Qdy du +=(微分方程)()BA L AB u →⇔=⎰(道路变形原理) (2)(,)(,)L P x y dx Q x y dy +⎰与路径无关(f 待定): 微分方程.4. 应用功(环流量):I F dr Γ=⋅⎰(Γ有向τ,(,,)F P Q R =,(,,)d r ds dx dy dz τ==)五. 第二类曲面积分:1. 定义:Pdydz Qdzdx Rdxdy ∑++⎰⎰, 或(,,)R x y z dxdy ∑⎰⎰ (其中∑含侧) 2. 计算:(1)定向投影(单项): (,,)R x y z dxdy ∑⎰⎰, 其中:(,)z z x y ∑=(特别:水平面);注: 垂直侧面, 双层分隔(2)合一投影(多项,单层): (,,1)x y n z z =--[()()]x yPdydz Qdzdx Rdxdy P z Q z R dxdy ∑∑⇒++=-+-+⎰⎰⎰⎰ (3)化第一类(∑不投影): (cos ,cos ,cos )n αβγ=(cos cos cos )Pdydz Qdzdx Rdxdy P Q R dS αβγ∑∑⇒++=++⎰⎰⎰⎰3. Gauss 公式及其应用:(1)散度计算: P Q R divA x y z∂∂∂=++∂∂∂ (2)Gauss 公式: ∑封闭外侧, Ω内无奇点Pdydz Qdzdx Rdxdy divAdv ∑Ω++=⎰⎰⎰⎰⎰(3)注: *补充“盖”平面:0∑∑+⎰⎰⎰⎰; *封闭曲面变形∑⎰⎰(含奇点) 4. 通量与积分:A d S ∑Φ=⋅⎰⎰ (∑有向n ,(),,A P Q R =,(,,)d S ndS dydz dzdx dxdy ==)六: 第二类曲线积分(2): (,,)(,,)(,,)P x y z dx Q x y z dy R x y z dz Γ++⎰1. 参数式曲线Γ: 直接计算(代入)注(1)当0rot A =时, 可任选路径; (2)功(环流量):I F dr Γ=⋅⎰2. Stokes 公式: (要求: Γ为交面式(有向), 所张曲面∑含侧)(1)旋度计算: (,,)(,,)R A P Q R x y z∂∂∂=∇⨯=⨯∂∂∂ (2)交面式(一般含平面)封闭曲线: 00F G =⎧⇒⎨=⎩同侧法向{,,}x y z n F F F =或{,,}x y z G G G ; (3)Stokes 公式(选择):()A dr A ndS Γ∑⋅=∇⨯⋅⎰⎰⎰ (a )化为Pdydz Qdzdx Rdxdy ∑++⎰⎰; (b )化为(,,)R x y z dxdy ∑⎰⎰; (c )化为fdS ∑⎰⎰。