英语四六级考试写作佳句仿写(14)
- 格式:doc
- 大小:30.00 KB
- 文档页数:2
一、用于驳性和比较性论文1. In general, I don ' t agree with2. I n my opi nio n, this point of view doesn ' t hold water.3. The chief reas on why …is that …4. There is no true that …5. It is not true that …6. It can be easily deniedthan …7. We have no reas on to believe that …8. What is more serious is that …9. But it is pity that …10. Besides, we should notn eglect that …11. But the problem is notso simple. Therefore …12. Others mayfind this to be true, but I believer that …13. Perhaps I was question why…14. There is a certa inamount of truth in this, but we still have a problem withregard to …15. Though we are in basic agreeme nt with …,but16. What seems to be the trouble is …17. Yet differe nces willbe found, that ' s why I feel that …18. It would be reas on able to take the view that …,but it would befoolish to claimthat …19. There is in fact onreason for us so believe that …20. What these people failto con sider is that …21. It is one thing toin sist that •…,it is quite ano ther to show that …22. Won derful as A is , however, it has its own disadva ntages too.23. The advantages of B are much greater tha n A.24. A ' s advantage sounds ridiculous whenB‘ s advantages are take n into con sideratio n.二、用于描写图表和数据1. It has in creased by three times as compared with that of 1998.2. There is an in crease of 20% in total this year.3. It has bee n in creased by a factor of 4si nce 1995.4. It would be expected to in crease 5 times.5. The table shows a three times in crease over that oflast year.6. It was decreased twice than that of the year 1996.7. The total nu mber was lowered by 10%.8. It rose from 10-15percent of the total this year.9. Compared with 1997, itfell from 15 to 10 perce nt.10. The nu mber is 5 times as much as that of 1995.11. It has decreased almost two and half times, compared with …三、用于解释性和阐述性论讲文〔.Everybody knows that …2.lt can be easily provedthat …3. It is true that …4. No one can deny that5. One thi ng which is equally important to the above men tio ned is …6. The chief reas on is that …7. We must recog nize that …8. There is on doubt that …9. I am of the opinionthat …10. This can be expressed as follows;11. To take …for an example …12. We have reas on tobelieve thatresp on sible oftan …13. Nowthat we know that … 14. Among the most convincing reas ons give n, one should be men ti oned …15. The cha nge in …largely results from the fact that16. There are several causes for this sig ni fica nt growth in …,first …,second …,finally …17. A nu mber of factors could acco unt for the developme nt in …18. Perhaps the primary reason is …19. It is chiefly20. The reas ons for …are complicated, And probably they are found in the fact …21. Here are several possible reas ons, excerpt that …22. Somebody believes/argues/holds/i nsist s/th inks that …23. It is not simple togive the reason for this complicated phenomenon …24. Different people observes it in differentways.四、用于文章的开头1. As the proverb says …2. It goes without say ing3. Gen erally speak ing …4. It is quite clear tha n because…5. It is often said that •…6. Many people ofte n ask such questi on: “…?”7. More and more people have come to realize …8. There is no doubt that …9. Some people believethat …10. These days we are ofte n told that, but is this reallythe case?11. One great man saidthat …12. Rece ntly the issue of …has been brought to public atte nti on.13. In the past severalyears there has bee n …14. Nowit is commonly held that …but I doubt whether …15. Curre ntly there is a widespread concern that …16. Now people in grow ing nu mber are coming to realize that …17. There is a gen eral discussi on today about the issue of …18. Faced with •…,quite a few people argue that …,but other people con ceivediffere ntly.五、用于文章的结尾1. from this point ofview …2. i n a word …3. in con clusi on …4. on acco unt of this wecan find that …5. the result is dependent on…6. therefore, thesefindings reveal the followingin formatio n:7. thus, this is the reasonwhy we must …8. to sum up …9. as far as …be concerned, I believe that …11. There is little doubtthat …12. There is no immediate solution to the problem of …,but …might be helpful13. None of the solutio nsis quite satisfactory. The problem should be exam ined in a new way.14. It is high time that we put considerable emphasis on …15. Taking into acco untall these factors, we may safely reach the con clustio n that …六、用于论证和讲明1. As it is describedthat …10. It is obvious that2. It has been illustrated that …3. It provides a good example of …4. We may cite ano therin sta nee of …5. History man provides us with the examples of …6. A nu mber of furtherfacts may be added …7. The situatio n is notuniq ue, it is typical of doze nsI have heard.8. A recent investigationin dicate that …9. Accord ing to thestatistics provided •…10. Accord ing to a latest11. There is no sufficient evide nee to show that …12. All available evidenee poi nts to the fact that …13. Examples give n leadsme to con clude that …14. It reveals theunq uesti on able fact that …15. The idea may be proved by facts …16. All the facts suggestthat …17. No one can deny the fact that …18. We may face theundeni able fact that …•表示比较和对比关系的句型:study, it can be predicted1) A is to B what/ as C isto D(A 之于B犹如C之于D).2) Just as..., so...3) A and B have sth in com mon.4) A is similar to B.5) The same is true of ,The same can be said of( ............ 也是如此).6) The advantages of A are much greater tha n B.7) compared with B, A has many adva ntages.8) The advantages outweigh the disadvantages( 禾U大于弊).9) Won derful as A is, however, it has its own disadva ntages too.10) Although A enjoys con siderable adva ntage over..., it can not compete with B in...11) Con trary to widely accepted views, I believe that...12) What people fail to con sider is that...13) It is one thing to in sist that..., it is quite ano ther to show that...14) Noth ing can rival ( ...... 是无与伦比的).15) …has drawbacks as well as merits.16) A is superior(inferior) to B.。
四六级英语作文优秀万能句子摘抄Four and Six Level English Writing Excellent Universal Sentence Collection1. It is widely acknowledged that...2. There is no denying that...3. It goes without saying that...4. As is known to all...5. As the proverb goes...6. There is a growing awareness that...7. It is universally recognized that...8. Nowadays, more and more people are beginning to realize that...9. It is commonly believed that...10. It is generally agreed that...11. Firstly, it is important to remember that...12. Secondly, it should be noted that...13. Thirdly, we cannot ignore the fact that...14. In addition, it is worth mentioning that...15. Moreover, it is essential to consider...16. Furthermore, one should also take into account...17. On the one hand, it is true that...18. On the other hand, we must not forget that...19. Nonetheless, it is undeniable that...20. In conclusion, it is clear that...21. In my opinion, I strongly believe that...22. From my perspective, I am convinced that...23. Personally, I think that...24. In my view, it is evident that...25. As far as I am concerned, I feel that...26. It seems to me that...27. I am of the opinion that...28. I consider it to be...29. I am inclined to believe that...30. I hold the view that...31. In light of this evidence, it can be seen that...32. With all the facts considered, it is apparent that...33. Taking all these factors into account, we can conclude that...34. Looking at the situation from a different perspective, we can say that...35. From a broader point of view, one can argue that...36. Upon closer examination, it becomes clear that...37. In summary, it can be said that...38. All in all, the evidence suggests that...39. To sum up, it is clear that...40. With everything taken into consideration, it is evident that...These universal sentences can be used in various types of writing, such as essays, reports, and letters. By incorporating these phrases into your writing, you can enhance the clarity and coherence of your arguments. Remember to use them appropriately and in the right context to make your writing more impactful.。
英语四级作文万能句子(推荐句子(通用8篇)英语四级作文万能句子篇一1、It has more disadvantages than advantage.他有很多不足之处2、I quiteagree with the statement that……The reasons are chieflyas follows.我十分赞同这一论述,即……其主要原因如下。
3、To make myself as plain as I can, I should give my standards for …4、就我而言/ 就个人而言As far as I am concerned/ Personally5、Attitudes towards (drugs) vary from person to person. 人们对待吸毒的态度因人而异。
6、综上所述,我们可以清楚地得出结论……7、科技发展环境角度8、As far as I am concerned/In my opinion,……(就我来说……)9、从另一个角度from another perspective10、Further, we hold opinion that... 此外,我们坚持认为,...11、换言之… in other words, .12、be closely related to (与。
息息相关)13、We cannot ignore the fact that……我们不能忽略这个事实……14、surely 无疑15、It is……. that……(用一个强调句型,表示正是什么什么给人们带来了什么样的坏处)16、The reasonwhy + 句子is that + 句子(…的原因是…)17、For all the disadvantages, it has its compensating advantages.18、结尾句19、满足需求satisfy/ meet the needs of…英语四级作文万能句子篇二1、No doubt, unless we take effective measures, it is very likely that ……(毫无疑问,除非我们采取有效措施,否则我们很可能会……)2、From what has been discussed above, we may safely draw the conclusion that….通过以上讨论,我们可以得出结论…3、yesterday will not be called again.昨日不复来。
英语四六级作文的万能句子在日常生活或是工作学习中,大家都跟作文打过交道吧,作文根据写作时限的不同可以分为限时作文和非限时作文。
怎么写作文才能避免踩雷呢?以下是小编帮大家整理的英语四六级作文的万能句子,仅供参考,大家一起来看看吧。
英语四六级作文的万能句子 1一、do ones utmost to + V = do ones best (尽全力去……)例句:We should do our utmost to achieve our goal in life.我们应尽全力去达成我们的人生目标。
二、It is universally acknowledged that + 句子~~ (全世界都知道……)例句:It is universally acknowledged that trees are indispensable to us.全世界都知道树木对我们是不可或缺的。
三、Have a great influence on ~~~ (对……有很大的影响)例句:Smoking has a great influence on our health.抽烟对我们的健康有很大的影响。
四、An advantage of ~~~ is that + 句子(……的优点是……)例句:An advantage of using the solar energy is that it wont create(produce) any pollution.使用太阳能的优点是它不会制造任何污染。
五、Adj + as + Subject(主词)+ be,S + V~~~ (虽然……)例句:Rich as our country is,the qualities of our living are by no means satisfactory.{by no means = in no way = on no account 一点也不}虽然我们的国家富有,我们的生活品质绝对令人不满意。
仿写14行诗英文作文1. The sun shines bright in the sky, warming my skin asI walk down the street. Birds chirp happily, filling theair with their joyful songs.2. The smell of fresh coffee wafts through the air, tempting me to stop at the café on the corner. I can't resist the urge to indulge in a creamy latte.3. Children laugh and play in the park, their carefree spirits lifting my own mood. I can't help but smile attheir innocence and joy.4. The sound of a distant siren breaks the peaceful atmosphere, reminding me of the chaos and unpredictability of life.5. I pass by a street musician playing a haunting melody on his guitar, his music tugging at my heartstrings and stirring up emotions I didn't know I had.6. The city buzzes with energy and life, the streets crowded with people going about their daily routines. It's both exhilarating and overwhelming.7. A sudden gust of wind blows through, tousling myhair and sending a shiver down my spine. I pull my jacket tighter around me, seeking warmth and comfort.8. The scent of blooming flowers fills the air, their vibrant colors brightening up the concrete jungle that surrounds me.9. I catch a glimpse of the sunset in the distance, its fiery hues painting the sky in a breathtaking display of nature's beauty.10. The hum of traffic in the background serves as a constant reminder of the fast-paced world we live in, where time never stops and life never stands still.11. I pause for a moment to take it all in, the sights,sounds, and smells of the city swirling around me in a dizzying whirlwind of sensations.12. As the day comes to a close, I feel a sense of peace and contentment wash over me, grateful for the simple pleasures that make life worth living.13. I continue on my way, knowing that tomorrow will bring new experiences, new challenges, and newopportunities for growth and discovery.14. And as I walk into the night, I carry with me the memories of this day, etched into my mind like a beautiful mosaic of moments that make up the tapestry of my life.。
英语四级作文万能句子(优秀5篇)英语四级作文万能句子篇一1、It hasincreased/decreased from…to…他已经从…增加/减少到…2、It is a common belief that…… ==It is commonly believed that……(人们一般认为……)3、At an individual level, I feel that …4、Attitudestowards (drugs)vary from personto person.==Different people hold different attitudes towards(failure)(人们对待吸毒的态度因人而异)5、I will conclude by saying... 最后我要说…6、It is obvious that the cartoon is trying to tell us…7、it is not work that kills,but worry.工作不会伤身,伤身乃是忧虑。
8、Any government, which is blind to this point, may pay a heavy price.任何政府忽视这一点都将付出巨大的代价。
9、Recently, the phenomenon of “…… ” has aroused wide concern among the public.10、Like anything else, it has its faults.11、俗话说(常言道)……,它是我们前辈的经历,但是,即使在今天,它在许多场合仍然适用。
12、There is no doubt that (job-hopping)hasits drawbacks as well as merits.(毫无疑问,跳槽有优点也有缺点)13、the progress of the society is based on harmony.社会的进步是以和谐为基础的。
英语四六级作文亮点段落仿写In the realm of English proficiency exams, CET-4 and CET-6 stand as milestones for many students. These exams not only test one's linguistic skills but also evaluate the ability to communicate effectively in English. Among the various sections of the exam, the writing component is often considered the most challenging, as it requires a blend of creativity, critical thinking, and linguistic proficiency.In crafting a compelling essay for CET-4 or CET-6, it is essential to pay attention to the quality of the paragraphs. A well-written paragraph can elevate the entire essay, leaving a lasting impression on the examiner. Here, we explore some exemplary passages that can serve as inspiration for writing outstanding essays.**Paragraph 1: Introduction**In the introduction, it is crucial to set the stage for the essay by providing a clear and concise overview of the topic. For instance, if the topic is the importance ofenvironmental conservation, one might begin with a powerful statement like this:"In today's era of rapid industrialization and urbanization, the need for environmental conservation has become increasingly urgent. As the saying goes, 'Nature is the best artist,' yet our actions often mar its beautiful canvases. Hence, the significance of environmental conservation cannot be overstated."This introduction not only introduces the topic but also establishes the importance of the subject matter, setting the tone for the entire essay.**Paragraph 2: Argument Development**The body of the essay should delve into the topic in depth, providing evidence and examples to support the arguments. For instance, continuing with the topic of environmental conservation, a paragraph might read:"Environmental conservation is not just about preserving natural resources; it is about maintaining the balance of our ecosystems. The rampant deforestation and pollution have taken a toll on our planet, leading toclimate change and a decline in biodiversity. For instance, the Amazon rainforest, often referred to as the 'lungs of the planet,' is facing unprecedented deforestation, which,in turn, affects global weather patterns and climate stability. Hence, environmental conservation is crucial for our survival and the well-being of future generations."This paragraph expands on the topic, providing specific examples and their consequences, thus strengthening the argument.**Paragraph 3: Counterargument and Rebuttal**While presenting the main arguments, it is alsoessential to acknowledge any potential counterarguments and rebuttals. For example:"Some might argue that economic growth and industrialization are inevitable and necessary for societal progress. While this is true, it cannot be denied that such growth often comes at a cost to our environment. However, there are sustainable alternatives that can balance economic growth with environmental protection. For instance, renewable energy sources like solar and wind power can be harnessed to meet our energy needs without causing harm tothe environment. Therefore, it is our responsibility to prioritize environmental conservation even as we pursue economic growth."By acknowledging potential objections and offering rebuttals, this paragraph demonstrates the writer'scritical thinking skills and adds depth to the essay.**Paragraph 4: Conclusion**The conclusion should sum up the essay, restating the main arguments and leaving a lasting impression on the reader. For instance:"In conclusion, environmental conservation is not just a slogan or a passing trend; it is a crucial imperative for our planet's survival. By prioritizing sustainable practices and adopting eco-friendly measures, we can ensure a healthy and vibrant future for ourselves and future generations. Let us remember that every small step counts, and together, we can create a better tomorrow."This conclusion ties up the essay neatly, leaving the reader with a strong message and a sense of hope.In essence, writing a compelling essay for CET-4 or CET-6 requires careful consideration of each paragraph. By crafting powerful introductions, developing arguments with evidence and examples, acknowledging counterarguments, and ending with a conclusion that leaves a lasting impact, one can craft an essay that not only scores well but also reflects their linguistic proficiency and critical thinking skills.。
四六级写作万能句,裸考急救!考前一小时都管用,直接套用得高分!一、用于写作开头1. Many people insist that...中文:很多人(坚持)认为…(用"insist"替换"think",更显高级!)2.In recent years, ...has become a focus of concern among somebody.中文:近年来,…已成为大家关注的焦点。
3. As society develops, people are attaching much importance to....中文:随着社会的发展,人们开始关注..…4.Recently, the issue of...has been brought into public focus. 中文:近来,..的问题引起了社会的广泛关注。
5.With the development of science and technology, more and more people believe that...中文:随着科技的发展,越来越多的人认为……6. A lot of people seem to think that...中文:很多人似乎认为……7.As a coin has two sides, there are positive aspects and negative aspects to....中文:如同硬币的正反面一样,也有积极和消极的一面。
二、引出观点1. My own experience tells me that...中文:我自己的经验告诉我…2.There are some people who hold different opinions about...中文:关于……,有些人持不同意见。
3. As for my own idea about..., I believe...中文:至于我自己关于…的想法,我认为…4. As far as l am concerned, I plan to...中文:就我而言,我计划…5. In my view, both sides are partly right in that...中文:在我看来,双方都有部分是对的6. My point of view is that...中文:我的观点是…7.In conclusion, I support the statement that...中文:总之,我支持…8. As for me, i tend to choose...中文:就我而言,我倾向于选择…9. People may have different opinions on...中文:人们对……可能会持有不同见解。
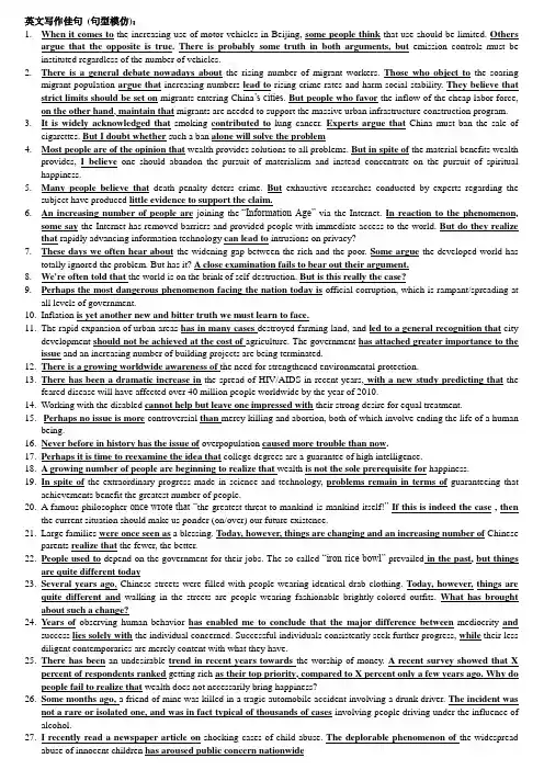
英文写作佳句(句型模仿):1.When it comes to the increasing use of motor vehicles in Beijing, some people think that use should be limited. Othersargue that the opposite is true. There is probably some truth in both arguments, but emission controls must be instituted regardless of the number of vehicles.2.There is a general debate nowadays about the rising number of migrant workers. Those who object to the soaringmigrant population argue that increasing numbers lead to rising crime rates and harm social stability. They believe that strict limits should be set on migrants entering China’s cities. But people who favor the inflow of the cheap labor force, on the other hand, maintain that migrants are needed to support the massive urban infrastructure construction program.3.It is widely acknowledged that smoking contributed to lung cancer. Experts argue that China must ban the sale ofcigarettes. But I doubt whether such a ban alone will solve the problem4.Most people are of the opinion that wealth provides solutions to all problems. But in spite of the material benefits wealthprovides, I believe one should abandon the pursuit of materialism and instead concentrate on the pursuit of spiritual happiness.5.Many people believe that death penalty deters crime. But exhaustive researches conducted by experts regarding thesubject have produced little evidence to support the claim.6.An increasing number of people are joining the “Information Age” via the Internet. In reaction to the phenomenon,some say the Internet has removed barriers and provided people with immediate access to the world. But do they realize that rapidly advancing information technology can lead to intrusions on privacy?7.These days we often hear about the widening gap between the rich and the poor. Some argue the developed world hastotally ignored the problem. But has it? A close examination fails to bear out their argument.8.We're often told that the world is on the brink of self-destruction. But is this really the case?9.Perhaps the most dangerous phenomenon facing the nation today is official corruption, which is rampant/spreading atall levels of government.10.Inflation is yet another new and bitter truth we must learn to face.11.The rapid expansion of urban areas has in many cases destroyed farming land, and led to a general recognition that citydevelopment should not be achieved at the cost of agriculture. The government has attached greater importance to the issue and an increasing number of building projects are being terminated.12.There is a growing worldwide awareness of the need for strengthened environmental protection.13.There has been a dramatic increase in the spread of HIV/AIDS in recent years, with a new study predicting that thefeared disease will have affected over 40 million people worldwide by the year of 2010.14.Working with the disabled cannot help but leave one impressed with their strong desire for equal treatment.15.Perhaps no issue is more controversial than mercy killing and abortion, both of which involve ending the life of a humanbeing.16.Never before in history has the issue of overpopulation caused more trouble than now.17.Perhaps it is time to reexamine the idea that college degrees are a guarantee of high intelligence.18.A growing number of people are beginning to realize that wealth is not the sole prerequisite for happiness.19.In spite of the extraordinary progress made in science and technology, problems remain in terms of guaranteeing thatachievements benefit the greatest number of people.20.A famous philosopher once wrote that “the greatest threat to mankind is mankind itself!”If this is indeed the case , thenthe current situation should make us ponder (on/over) our future existence.rge families were once seen as a blessing. Today, however, things are changing and an increasing number of Chineseparents realize that the fewer, the better.22.People used to depend on the government for their jobs. The so-called “iron rice bowl” prevailed in the past, but thingsare quite different today23.Several years ago, Chinese streets were filled with people wearing identical drab clothing. Today, however, things arequite different and walking in the streets are people wearing fashionable brightly-colored outfits. What has brought about such a change?24.Years of observing human behavior has enabled me to conclude that the major difference between mediocrity andsuccess lies solely with the individual concerned. Successful individuals consistently seek further progress, while their less diligent contemporaries are merely content with what they have.25.There has been an undesirable trend in recent years towards the worship of money. A recent survey showed that Xpercent of respondents ranked getting rich as their top priority, compared to X percent only a few years ago. Why do people fail to realize that wealth does not necessarily bring happiness?26.Some months ago, a friend of mine was killed in a tragic automobile accident involving a drunk driver. The incident wasnot a rare or isolated one, and was in fact typical of thousands of cases involving people driving under the influence of alcohol.27.I recently read a newspaper article on shocking cases of child abuse. The deplorable phenomenon of the widespreadabuse of innocent children has aroused public concern nationwide。
四六级英语作文优秀万能句子The journey to mastering the English language can be a challenging yet rewarding one. As students prepare for the crucial College English Test (CET) exams, the ability to craft well-structured and impactful essays becomes paramount. One of the key elements that can elevate an essay from good to great is the strategic use of versatile and powerful sentences. These sentences, often referred to as "CET-level sentences," can serve as the backbone of a compelling and memorable essay.The first and perhaps most essential component of a CET-level sentence is its ability to convey complex ideas with clarity and concision. These sentences are designed to pack a punch, delivering sophisticated concepts in a succinct and articulate manner. They often employ advanced vocabulary, intricate grammatical structures, and a nuanced understanding of English syntax. By mastering the art of crafting such sentences, students can demonstrate their linguistic prowess and impress the exam graders.One of the hallmarks of a CET-level sentence is its versatility. Thesesentences are not merely static building blocks but rather dynamic tools that can be adapted to various essay contexts. They can serve as topic sentences to introduce and frame the central ideas of a paragraph, or they can be used as supporting sentences to provide in-depth analysis and evidence. Additionally, these sentences can be strategically placed throughout the essay to create a sense of cohesion and flow, guiding the reader seamlessly from one point to the next.Another crucial aspect of CET-level sentences is their ability to effectively convey the writer's perspective and voice. These sentences go beyond mere factual reporting and delve into the realm of critical thinking and analysis. They allow the writer to express their own interpretations, opinions, and insights, thereby elevating the essay from a simple recitation of information to a thoughtful and engaging exploration of the topic.Furthermore, CET-level sentences are often characterized by their sophisticated use of language. They may incorporate complex grammatical structures, such as compound-complex sentences, or employ a diverse range of rhetorical devices, such as parallel structures, rhetorical questions, or vivid metaphors. These linguistic techniques not only enhance the overall elegance and sophistication of the writing but also serve to captivate the reader and leave a lasting impression.It is important to note that the mastery of CET-level sentences is not merely a matter of memorizing pre-fabricated phrases or templates. Rather, it requires a deep understanding of the English language, a keen eye for nuance and subtlety, and a willingness to experiment and refine one's writing style. Through consistent practice, exposure to high-quality literature, and a dedication to continuous learning, students can develop the skills necessary to craft these exceptional sentences.In conclusion, the strategic use of CET-level sentences can be a game-changer in the world of English language proficiency exams. These versatile and powerful sentences can elevate an essay, showcase the writer's linguistic prowess, and leave a lasting impression on the exam graders. By embracing the challenge of mastering these sentences, students can not only improve their chances of success on the CET exams but also enhance their overall command of the English language, a skill that will serve them well in their academic and professional pursuits.。
四级英语作文高级句子摘抄1. “There is no denying that practice makes perfect.” 例子:You know, like when you keep practicing speaking English, you’ll find that there is no denying that practice makes perfect.2. “The more you read, the more you know.” 例子:Just think about it, the more you read those English books, the more you know.3. “It is crucial to have a good command of vocabulary.” 例子:If you want to write a good English composition, it is crucial to havea good command of vocabulary, right?4. “In order to improve writing skills, consistent practice is essential.” 例子:You really need to do that, in order to improve writing skills, consistent practice is essential.5. “A well-structured essay is like a beaut iful building.” 例子:Isn't it true that a well-structured essay is like a beautiful building?6. “Using proper grammar is the foundation of good writing.” 例子:You can't write well without it, using proper grammar is the foundation of good writing!7. “As the saying goes, where there is a will, there is a way.” 例子:When you are determined to pass the CET-4, as the saying goes,where there is a will, there is a way.8. “Having a wide range of knowledge is beneficial.” 例子:You'll see that having a wide range of knowledge is beneficial when you write essays.9. “It is of great importance to express ideas clearly.” 例子:You should always keep this in mind, it is of great importance to express ideas clearly.10. “Learning from mistakes is the key to progress.” 例子:Don't be afraid of making mistakes, learning from mistakes is the key to progress!My view is that these advanced sentences can really enhance your English writing in the CET-4 exam. Use them and practice more, and you'll surely make great progress!。
CET英语四六级考试作文万能50句(打印版)1.We should spare no effort to beautify our environment.我们应该不遗余力地美化我们的环境。
2.For my part,I agree with the latter opinion for the following reasons:我同意后者,有如下理由:3.No invention has received more praise and abuse than Internet.没有一项发明像互联网一样同时受到如此多的赞扬和批评。
4.This issue has caused wide public concern.这个问题已经引起了广泛关注。
5.An increasing number of people are beginning to realize that education is not complete with graduation.越来越多的人开始意识到教育不能随着毕业而结束。
6.When it comes to education,the majority of people believe that education is a lifetime study.说到教育,大部分人认为其是一个终生的学习。
7.Many experts point out that physical exercise contributes directly to a person‘s physical fitness.许多专家指出体育锻炼直接有助于身体健康。
8.There is no denying the fact that air pollution is an extremely serious problem:the city authorities should take strong measures to deal with it.无可否认,空气污染是一个极其严重的问题:当局应该采取有力措施来解决它。
英语四级作文万能金句模板在英语四级考试中,作文书写并不难,想要写出亮点就不那么容易了。
下面小编整理了英语四级作文的万能金句,希望对考生们有帮助。
(一)观点类 1.The human race has entered a completely new stage in its history, alone with the advance of the society and the increasingly rapid economic globalization and urbanization, more problems are brought to our attention,one of which is that…… 人类进入了一个历史的崭新的阶段,随着科技发展和经济快速增长、经济全球化、都市化的速度不断加快,随之给我们带来了很多问题,其中之一便是…… 2.Recently the phenomenon has aroused wide concern, some people are in alarm that.... 最近,这种现象引起了人们的广泛关注,有人开始担心______________。
3....... plays such an important role that it un de nia bly (无可厚非的)becomes a wide-spread concern of the present world, there comes a question, is it a blessing or a curse?" _______显得非常重要而成为当今世界所关注的最大的问题,这是无可厚非的。
不过,问题是:"我们该如何抉择?" 4.As society develops, There are a wide-spread concern over…… 随着社会的发展,人们开始关注............ 5.As to whether it is a blessing or a curse(咒骂[k ;s], however, people take different attitudes. 然而,对于此类问题,人们持不同的看法。
四六级英语作文好词好句1.Just as the popular saying goes, "Every coin has two sides". From one side,…. from the other side,…. 正如一个谚语所说的, "每个硬币都有两面(事物都是一分为二的)".从一方面看………从另一方面来看………2.民生活水平的显著提高/ 稳步增长the remarkable improvement/ steady growth of people’s living standard3.….demonstrate the value of one's life and work hard to achieve feats that will live up to the expectations of the people and the times. 证实自己的人生价值,努力的工作取得成就,而不辜负人民和时代的期望. (出处同上)4.…represent only the tip of the iceberg. …….只是冰山一角5. ……must be rooted out in order to …. …必须根除以…6.Distinguished scientific accomplishment is a matter of opportunity and of continuous and concentrated effort over long years. (很优美的句子,值得借鉴)7.The first nut for u s to crack is …我们首先要解决的问题是…8. more than…can 简直不,无法,难以…Beyond descriptionconceivably 可以想象地:appeal to sb. for sth. 为某事向某人呼吁to bear sth. firmly in mind 牢牢记住make joint efforts做出共同努力from another perspective从另一个角度be indispensable to …对…必不可少cater for one’s taste 迎合某人的口味enhance the awareness of people that………as soon as possible 尽快......9. A have much(nothing) to do with B10. more than you can…远超过你…eg:The situation is very abominable more than you can stand.11.A is to B what X is to Y. A对于B 就象X对于Yeg: Food is to man what oil is to machines.12.What else can …? …………还能做什么呢?eg. What else can the poor parents do but obey?13. How could ……? 怎能….eg. How could I put the English books aside to read pastime books?14.now that ……既然…… [让步从句]eg. Now that the decision has been made, we must try our best to carry it out.15.(Just)as …, so…正如… [ 比较句型 ]eg. Just as water is the most important of liquids, so air is the most important of gases.16.Several factors have contributed to this phenomenon.(用来阐述原因的重点句型)17.首先 First, Firstly, In the first place, To begin with其次 Second, Secondly, In the second place再次Besides,In addition, Additionally, Moreover, Furthermore最后 Finally, Last but not the least, Above all, Lastly,总而言之 All in all, To sum up, In summary, In a word,18.增进相互了解 enhance/ promote mutual understanding19.扩大知识面expand one’s scope of knowledge20.取其精髓,取其糟粕Take the essence and discard the dregs.21.…有其自身的优缺点… has its merits and demerits/ advantages and disadvantages22.日益激烈的社会竞争the increasingly fierce socialcompetition23.在一定程度上 to some extent/ degree / in some way24.对这一问题持有不同态度hold different attitudes towards this issue25.发挥着日益重要的作用 play an increasingly important role in…26.引起了广泛的公众关注arouse wide public concern/ draw public attention27.社会发展的必然结果the inevitable result of social development28.面临新的机遇和挑战 be faced with new opportunities and challenges29.If……, will there be anything that can make me even happier? 如果(我们怎么怎么做),那将没有比这令我更高兴的了。
英语四六级作文金句1. "In today's fast-paced society, time is of the essence and efficiency is key. Therefore, it is crucial that we prioritize our tasks and manage our time effectively."2. "The ability to communicate effectively is a valuable skill in both personal and professional settings. It allows us to express ourselves clearly and build strong relationships with others."3. "Education is the foundation for success. It not only provides us with knowledge and skills, but also helps shape our character and values."4. "Technology has greatly transformed the way we live and work. While it has brought about numerous benefits, we must also be aware of its potential negative impacts and use it responsibly."5. "The importance of a healthy lifestyle cannot be overstated. Regular exercise, a balanced diet, andsufficient rest are essential for our physical and mental well-being."6. "Globalization has connected people and cultures from all corners of the world. It is important that we embrace diversity and strive for mutual understanding and respect."7. "The environment is a precious resource that must be protected. We all have a responsibility to reduce our carbon footprint and preserve the planet for future generations."8. "Success is not solely determined by one's intelligence or talent. Hard work, perseverance, and a positive attitude are also crucial factors in achieving our goals."9. "In today's competitive job market, it is important to constantly improve our skills and adapt to changingtrends. Lifelong learning is key to staying relevant and successful."10. "Honesty and integrity are fundamental values that should guide our actions and decisions. They are essential for building trust and maintaining strong relationships with others."。
英语四六级写作佳句英语四六级写作佳句导语:英语作文是英语学习的一个难点,考察学生对英语的综合运用,我们要多写多背多读才能写好英语作文。
下面和店铺来看看英语四六级写作佳句。
希望对大家有所帮助。
1.When asked about the ongoing uproar involving U.S. President Bill Clinton , most people say the affair involves a purely private matter . But many other people regard his actions as deplorable . I personally think the president committed impeachable offences .当被问及对现在有关美国总统比尔·克林顿的沸沸扬扬的议论有什么看法时,大多数人认为这种暧昧关系纯属私事。
但是,还有很多人认为他的行为应当受到谴责。
我个人认为总统犯了这些过错,应该被指控。
2. When it comes to the increasing use of motor vehicles in Beijing , some people think that use should be limited . Others argue that the opposite is true . There is probably some truth to both arguments,but emission controls must be instituted regardless of the number of vehicles.涉及北京机动车使用量增加这一问题,有的人认为应该限制使用。
另一些人持相反意见。
也许双方的观点都有一定道理,但是,无论车辆多少,必须对废气排放实行控制。
英语四六级考试写作佳句仿写(doc 7页)61. Millions of people have to spend more time and energy on studying new skills and technology so that they can keep a favorable position in job market.成千上万的人们不得不花费更多的精力和时间学习新的技术和知识,使得他们在就业市场能保持优势。
62. According to a recent survey,a growing number of people express a strong desire to take another job or spend more time on their job in order to get more money to support their family.根据最近的一项调查,越来越多的人表达了想从事另外的工作或加班以赚取更多的钱来补贴家用的强烈愿望。
63. From what has been discussed above,I am fully convinced that the leisure life-style is undergoing a decline with the67. As for me,I'm firmly convinced that the number of foreign tourists should be limited,for the following reasons:就我而言,我坚定地认为国外旅游者的数量应得到限制,理由如下:68. In addition,in order to attract tourists,a lot of artificial facilities have been built,which have certain unfavorable effects on the environment.另外,为了吸引旅游者,大量人工设施被修建,这对环境是不利的。
洛基英语,中国在线英语教育领导品牌
131. Large and small enterprises differ in that the former usually involves conglomerates and the latter private individuals .
大企业和小企业的区别在于前者通常涉及联合大企业,后者涉及私营的个人。
132. Both automobiles and bicycles offer a convenient means of public conveyance , with one of the marked differences between the two centered on pollution caused by the former .
汽车和自行车都提供公共运输的便利方式,两者的显著区别之一在于前者引起污染。
133. Alcohol and tobacco are both highly addictive substances . However , unlike tobacco , which is known to cause cancer , studies indicate that alcohol does offer some health benefits when consumed in moderation .
酒和烟都是很容易上瘾的东西。
但是,研究显示,与公认为引起癌症的烟不同,酒如果适量饮用确实对健康有益。
134. One man's treasure is another man's junk .
一个人的宝贝对于另一个人来说是垃圾。
135. AIDS is no longer one of the Top 10 American killers , but the same cannot be said for many countries .
艾滋病不再是美国的十大杀手之一,但许多国家的情况并非如此。
136. Individualism was unheard of a short 30-odd years ago during the tumultuous Cultural Revolution . Things have changed today , however ,with color returning to the streets of Chinese streets , people gaining a greater degree of self-determination and reform yielding monumental changes in traditional practices .
人们在三十多年前混乱的文化大革命时期没有听说过个人主义。
然而,今天的情况不同了,中国的街道上又恢复了色彩,人们获得了更大的自主,改革带来了传统方式的巨变。
137. Social inequities of the past are rapidly giving way to expanded social
consciousness .
过去社会的不公平正在被扩大的社会觉悟迅速取代。
138. Many claim that the world's highly developed countries bear sole responsibility for the plight of less-developed nations . I seriously doubt their contentions will bear the brunt of close scrutiny .
许多人声称世界上最发达的国家应该对欠发达国家的困境承担全权责任。
我非常怀疑他们的观点能经受住仔细审查的冲击。
139. Although media reports expound on the volume of scientific and technological achievements , recent surveys indicate that the rapidity of transforming same into productive forces leaves much to be desired .
虽然媒体详细报道大量的科技成就,但是,最近的调查显示,把它们迅速转化为生产力还需要做出很多努力。
140. The popular belief in the invincibility of man is constantly rebuked by revaluations of man's fallibility .
认为人类无敌的普遍看法经常遭到重新评价人类易犯错误的特点的非难
“成千上万人疯狂下载。
更多价值连城的绝密英语学习资料,
洛基内部秘密英语,技巧,策略
请在网上申请报名”。