六年级数学计算题每日一练
- 格式:doc
- 大小:2.01 MB
- 文档页数:36
计算题
1.修一段路计划16人20天完成,这16人工作了5天后,增加4人,如果这些人的工作效率相同,问提前几天完成修路任务?
2.某饭店要安装空调240台,已知10名工程技术人员8小时能安装空调64台,现饭店要求安装公司在12小时内装完,需要增派同样工作效率的技术人员多少名?
3.某工程原计划42人12天(每天按8小时工作)完成,工作7天后因支援其他紧急任务调走了12人,那么剩下的工作还要几天才能完成?若要求按原定日期完工,那么每天得工作多少小时?
4.小强家住三层,从一层到三层需要走60秒钟,按此速度,从一层到六层需要多少秒钟?
5.加工9600套服装,30人10天完成了3600套,又增加了20人,剩下的还需要几天完成?
参考答案
1.20-[(16*20-16*5)/(16+4)+5]=3(天)
2.240/12/(64/10/8)-10=15(名)
3.⑴、[(42*12)-(42*7)]/(42-12)=7(天)
⑵、(210*8)/(42-12)/(12-7)=11.2(小时)
4.(60/2)*(6-1)=150(秒)
5.(9600-3600)/[(30+20)*(3600/30/10)]=10(天)。
六年级数学计算练习一班级_ 一、直接写得数:—3 10.3 2= 7.06 —0.06= 3+ - 3.148 319.42 - 3.14= 3.14+2= 丄X 3.14 X 6=3二、用递等式计算,能简算的要简算。
姓名_________ 得分5 3X —6 101-1(1) 46 X 8—120- 15 8 4 10 3(2)二+ ~9 -—9 7 7(3) (12.5 X 8 —40)十0.6 (4) (45 3(5) (6)145 5----- +—7 28X 28、求未知数X3X ----- X =542四、(求下图中阴影部分的面积。
(单位:厘米)六年级数学计算练习二班级 ______ 姓名 _________ 得分 ______计算部分1、直接写出得数。
1 1 3 42 511— _ — • —— — + -= 1——X 1 = 9 104 33 + 1212 1247 815X 25% =2.35+ 76.5=3.25(0.25 +)=23)(— + 7 )X 7= 2、 求未知数X 的值。
12 1 173_ 7X * —=— 0.8X+ T =2.75 x + —25 5 547 103、用递等式计算。
(怎样算简便就怎样算)4.2 — 1.38 +5.8 — 3.625 75X 16.31 — 2.31 - 7 7 5 / 1 1、2+ ) X 4 +9 2727 2 — 9 . / 7 1、[(— --- )]3 10 16 415亠5亠3----- ~~ ------ ~~ -----16 7 42X (54+ 4 )]二、图形计算如下图,三角形ABC是直角三角形,如果阴影甲的面积比阴影乙的面积大AB是圆的直径,且AB = 20厘米, 7平方厘米,那么,BC的长度是多■:少厘米?六年级数学计算练习三5、如右图长方形ABCD 中AB=3厘米,AD=4厘米,BD=5厘米。
求阴影部分的面积。
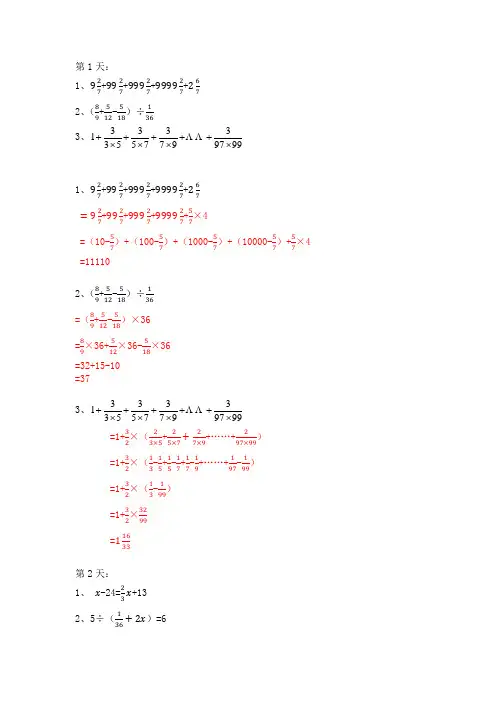
第1天:1、927+9927+99927+999927+2672、(89+512-518)÷1363、999739737535331⨯++⨯+⨯+⨯+ΛΛ1、927+9927+99927+999927+267=927+9927+99927+999927+57×4 =(10-57)+(100-57)+(1000-57)+(10000-57)+57×4=111102、(89+512-518)÷136=(89+512-518)×36=89×36+512×36-518×36=32+15-10=373、999739737535331⨯++⨯+⨯+⨯+ΛΛ =1+32×(23×5+25×7+27×9+……+297×99)=1+32×(13-15+15-17+17-19+……+197-199)=1+32×(13-199)=1+32×3299 =11633第2天:1、 x -24=23x +132、5÷(136+2x )=63、在马路的同一侧有四人正在躲雨,他们都打算要过马路,只有一把雨伞。
他 们过这条马路所需时间分别是1分钟,2分钟,5分钟和10分钟,如果一把雨伞 最多可供两人同时使用,那么四人全部通过马路至少要用( )分钟。
1、 x -24=23x +13解:x -23x =13+2413x =37x =37÷13 x =1112、5÷(136+2x )=6解: (136+2x )=5÷62x =56-1362x =2936x =2936÷2x =29723、在马路的同一侧有四人正在躲雨,他们都打算要过马路,只有一把雨伞。
他 们过这条马路所需时间分别是1分钟,2分钟,5分钟和10分钟,如果一把雨伞 最多可供两人同时使用,那么四人全部通过马路至少要用( )分钟。
计算练习(一)1,口算12 +16 = 0.95+0.8+0.05= 47 ×16 =34 +85%-85%+34 = 34 -23 = 25×10%= 0.55-12 = 1÷35 ×35 = 36÷35 = (34 +16 )×24= 2,脱式计算(1)6-53 -821 ÷87 (2)15 ÷(1.5-710 ) (3)14 ×0.45+1120 ×0.25 (4)15÷〔(32 -13 )×314 〕 3,解方程(1)X÷59 =3.6 (2)X-15 X=85 4,列式计算(1)2.2与1.9的差除以1.2,商是多少? (2)40比它的40%多多少?5,求阴影部分的面积。
(单位:厘米)计算练习(二)1,口算0÷12 +12 = 12-49 -59 = 14 ×16 ×4= 57 ×59 ÷57 ×59 = 2÷1%= 1-0.375= 31×99= 0.12= 0.22= 202= 2,脱式计算(1)(14 +16 -29 )×36(2)1319 ÷7-17 ×619 (3)(57 +14 )×28 (4)〔 2-(14 +38 )〕÷18 3. 解方程(1)8X-4×1.2=2.4 (2)6:X=12 :38 4,列式计算(1)25的4倍除8个125相加的和,结果是多少?(2)一个数的8倍加上30的23 的和是52,这个数是多少?(列方程解)5,求阴影部分的面积。
(单位:厘米) ABCD是正方形,P,Q分别是各自的中点。
计算练习(三)1,口算326+198= 102×43= 2-1÷2-12 = 713 ×23 +13 ×713 = 1.9-0.09= 4.2×1%= 0.55+4.5+5.5= 3.3÷11= 14 ÷16 = 59 ×23 ÷59 ×23 =2,脱式计算(1)0.75×2.4+34 ×0.6 (2)2.5×1.25×32 (3)78 ÷〔53 -(16 +13 )〕 (4)6×779 +78×4279 3,解方程(1)13 X-310 =4.5 (2)38 :X=23 :4 4,列式计算(1)80比50多百分之几?(2)6.5与3.5的和除12,商是多少? 5,求阴影部分的面积。
六年级数学每日一练姓名等第◆基础巩固1、一个圆柱的底面直径是12厘米,高是2厘米,它的体积是()立方厘米。
2、一个圆柱的体积是314立方分米,它的底面面积是6.28平方分米,它的高是()分米。
3、一个圆柱的底面半径扩大2倍,高不变,它的底面积(),侧面积(),体积(),一个圆柱的底面半径扩大2倍,高扩大2倍,它的底面积(),侧面积(),体积()。
4、一个圆柱的底面半径是2厘米,侧面展开后正好是一个正方形,这个圆柱的体积是()立方厘米。
5、一个长6厘米,宽为4厘米的长方形,以一条边为轴旋转可得到一个(),体积最大是()立方厘米。
◆拓展提优6、下图是一个圆柱体的表面展开图,根据所给的数据,求原来圆柱体的体积。
7、一个棱长是2分米的正方体木块,把它削成一个最大的圆柱,这个圆柱的体积是多少立方分米?削去的木块体积是多少立方分米?8、一个圆柱的底面半径是2厘米,体积是50.24立方厘米,它的高是多少厘米?9、一根长2分米的圆木,截成两段后,表面积增加了24平方厘米,这根圆木原来的体积是多少立方厘米?10、把一个圆柱底面平均分成若干个扇形,沿高切开拼成一个近似长方体,这个长方体的长是6.28厘米,高是5厘米,求它的体积。
◆开放探究11、一个圆柱形水杯,内直径6厘米,杯内装有8厘米深的水,恰好2,杯子内还可以加入多少毫升的水?占杯子容积的3六年级数学每日一练姓名等第◆基础巩固1.用一张长10厘米,宽5厘米的长方形纸,围成一个圆柱,这个圆柱体的侧面积是( )平方厘米。
2. 一个棱长是4分米正方体容器装满水后,倒入一个底面积是8平方分米的圆柱体容器里正好装满,这个圆柱体的高是()分米。
3.一个长2.5米,底面半径2分米的圆木,把它平均锯成三个圆柱体,则表面积增加( )平方分米。
4.两个底面积相等的圆柱,一个圆柱的高是7分米,体积是56立方分米,另一个圆柱的高5分米,另一个圆柱的体积是()立方分米。
5.一个圆柱形水池,底面内直径是2米,高是3.5米,在池内周围和底面抹上水泥,抹水泥的面积是多少?6.一个圆柱体的底面周长是50.24厘米,高是7厘米,求它的体积是多少立方厘米?◆拓展提优7.有三个圆柱,一个堆在一个上面,底层圆柱最大,上层最小,它们的直径分别是5分米、4分米、3分米,高都是2分米,这样的立体图形的表面积是多少平方分米?8. 一张长方形铁皮,按照下图剪下阴影部分,制成一个圆柱状的油漆桶,求它的容积。
一1、直接写出得数。
(20分)3 5×12= 1÷23=45÷8= 7×27=38×12=1 5×1625=14-15=13+14910÷320=14÷78=2、怎样简便就怎样算。
(40分)(1)3-712-512(2)57×38+58×57(3)815×516+527÷109(4)18×(49+56)3、解方程。
(20分)(1)78χ=1116(2)χ×(34+23)=7244、列式计算。
(20分)(1)一个数的35是30,这个数(2)比一个数多12%的数是112,是多少?这个数是多少?二1、直接写出得数。
(20分)12÷12= 1÷1%= 9.5+0.5=13+14= 0÷15×2= 1-1112=78×514=712÷74=45-12=19×78×9= 2、怎样简便就怎样算。
(40分)(1)23×7+23×5 (2)(16-112)×24-45)(3)(57×47+47)÷47(4)15÷[(23+15)×113]3、解方程。
(16分)(1)χ-35χ=65(2)6×112-12χ=12学习资料学习资料4、列式计算。
(24分) 1)12加上23的和,等于一个数的23, (2)一个数的35比它的2倍少这个数是多少? 28,这个数是多少三1.直接写出得数。
(16分)4.9:6.3=54+152= 87×74= 1―41―21= 83+43= 53÷103= 9÷43=32×61×109= 2.解方程。
(24分)8x -41×3=445(x -6)×65=25 x:107=2853.脱式计算(怎样算简便就怎样算)。
六年级数学计算题练150道一、基础计算题1. 计算7 × 8 + 9 5 ÷ 2。
2. 计算(3 + 4) × (5 2)。
3. 计算12 ÷ (4 3) × 2。
4. 计算15 3 × 4 ÷ 2。
5. 计算6 × 7 + 8 ÷ 4。
6. 计算(9 + 6) ÷ 3 × 2。
7. 计算12 ÷ 4 × (5 + 3)。
8. 计算8 × (2 + 3) 4 ÷ 2。
9. 计算15 3 × (4 + 2)。
10. 计算10 ÷ 2 × (6 4)。
二、分数和小数计算题1. 计算 1/2 + 1/3。
2. 计算 2/5 1/4。
3. 计算3/4 × 2/3。
4. 计算1/2 ÷ 3/4。
5. 计算 5/6 + 1/3。
6. 计算 2/5 3/10。
7. 计算4/7 × 3/5。
8. 计算1/3 ÷ 2/5。
9. 计算 7/8 + 3/4。
10. 计算 5/6 1/2。
三、解方程题1. 解方程 3x + 4 = 19。
2. 解方程 5x 3 = 12。
3. 解方程 2(x + 3) = 16。
4. 解方程 3(x 2) = 9。
5. 解方程 4x + 7 = 2x + 15。
6. 解方程 5(x + 2) = 3(x 1)。
7. 解方程 2x 3 = 3x + 4。
8. 解方程 4(x 1) = 2(x + 3)。
9. 解方程 5x 6 = 3x + 8。
10. 解方程 2(x + 3) = 3(x 2)。
四、应用题1. 小华有 12 个苹果,他给了小明 3 个,还剩下多少个苹果?2. 一本书共有 100 页,小明已经看了 40 页,还剩下多少页没有看?3. 小红买了 3 个铅笔,每个铅笔 2 元,她一共花了多少钱?4. 小明有 5 元钱,他想买 2 个雪糕,每个雪糕 3 元,他还剩下多少钱?5. 一辆汽车每小时行驶 60 公里,行驶了 3 小时后,它行驶了多少公里?6. 一本书有 120 页,小明每天看 20 页,他需要多少天才能看完这本书?7. 小华有 30 个橘子,他给了小红 10 个,还剩下多少个橘子?8. 小明有 20 元钱,他想买 4 个棒棒糖,每个棒棒糖 5 元,他还剩下多少钱?9. 一辆自行车每小时行驶 15 公里,行驶了 4 小时后,它行驶了多少公里?10. 一本书有 150 页,小红每天看 25 页,她需要多少天才能看完这本书?六年级数学计算题练150道一、基础计算题11. 计算9 × 8 + 7 6 ÷ 3。
六年级上册数学每日一练计算题一、分数乘法计算1. 计算:(3)/(4)×(2)/(5)题目解析:分数乘法的计算方法是分子相乘的积做分子,分母相乘的积做分母。
在这个式子中,分子3×2 = 6,分母4×5=20。
答案:(3)/(4)×(2)/(5)=(3×2)/(4×5)=(6)/(20)=(3)/(10)2. 计算:(5)/(6)×(9)/(10)题目解析:同样按照分数乘法的计算规则,分子5×9 = 45,分母6×10 = 60,然后约分得到最简分数。
答案:(5)/(6)×(9)/(10)=(5×9)/(6×10)=(45)/(60)=(3)/(4)二、分数除法计算1. 计算:(3)/(4)÷(2)/(5)题目解析:分数除法要转化为分数乘法来计算,除以一个分数等于乘以它的倒数。
所以(3)/(4)÷(2)/(5)=(3)/(4)×(5)/(2)。
答案:(3)/(4)÷(2)/(5)=(3)/(4)×(5)/(2)=(3×5)/(4×2)=(15)/(8)=1(7)/(8)2. 计算:(5)/(6)÷(9)/(10)题目解析:先将除法转化为乘法,即(5)/(6)÷(9)/(10)=(5)/(6)×(10)/(9),然后按照分数乘法计算。
答案:(5)/(6)×(10)/(9)=(5×10)/(6×9)=(50)/(54)=(25)/(27)三、混合运算1. 计算:(3)/(4)×((2)/(5)+(4)/(5))题目解析:先算括号里的加法,再算括号外的乘法。
括号里(2)/(5)+(4)/(5)=(6)/(5),然后再乘以(3)/(4)。
答案:(3)/(4)×((2)/(5)+(4)/(5))=(3)/(4)×(6)/(5)=(3×6)/(4×5)=(18)/(20)=(9)/(10)2. 计算:(5)/(6)÷((9)/(10)-(3)/(10))题目解析:先算括号里的减法,(9)/(10)-(3)/(10)=(6)/(10)=(3)/(5),再算除法,即(5)/(6)÷(3)/(5)=(5)/(6)×(5)/(3)。
六年级数学每日计算题一、分数乘法计算1. 计算:(3)/(4)×(2)/(5)题目解析:分数乘法的计算方法是分子相乘的积做分子,分母相乘的积做分母。
对于这道题,就是用3乘以2作为新的分子,4乘以5作为新的分母。
计算过程:(3)/(4)×(2)/(5)=(3×2)/(4×5)=(6)/(20)=(3)/(10)2. 计算:(5)/(6)×(9)/(10)题目解析:同样按照分数乘法的计算规则,先将分子相乘,再将分母相乘,最后化简结果。
计算过程:(5)/(6)×(9)/(10)=(5×9)/(6×10)=(45)/(60)=(3)/(4)二、分数除法计算1. 计算:(3)/(4)÷(2)/(5)题目解析:分数除法计算时,除以一个分数等于乘以这个分数的倒数。
所以这道题就变成了(3)/(4)乘以(5)/(2)。
计算过程:(3)/(4)÷(2)/(5)=(3)/(4)×(5)/(2)=(3×5)/(4×2)=(15)/(8)=1(7)/(8)2. 计算:(5)/(6)÷(9)/(10)题目解析:先将除法转化为乘法,即(5)/(6)乘以(10)/(9)。
计算过程:(5)/(6)÷(9)/(10)=(5)/(6)×(10)/(9)=(5×10)/(6×9)=(50)/(54)=(25)/(27)三、小数乘法计算1. 计算:0.3×0.4题目解析:小数乘法计算时,先按照整数乘法算出积,再看因数中一共有几位小数,就从积的右边起数出几位,点上小数点。
0.3和0.4都是一位小数,它们相乘相当于3乘以4等于12,然后从积的右边起数出两位点上小数点。
计算过程:0.3×0.4 = 0.122. 计算:1.25×0.8题目解析:按照上述小数乘法的计算方法,1.25是两位小数,0.8是一位小数,先计算125乘以8等于1000,然后从积的右边起数出三位点上小数点。
六年级上册数学口算题每日一练一、分数乘法部分(1 - 10题)1. (1)/(2)×(1)/(3)- 解析:分数乘法的计算方法是分子相乘的积做分子,分母相乘的积做分母。
所以(1)/(2)×(1)/(3)=(1×1)/(2×3)=(1)/(6)。
2. (2)/(3)×(3)/(4)- 解析:按照分数乘法规则,(2)/(3)×(3)/(4)=(2×3)/(3×4)=(6)/(12),约分后得到(1)/(2)。
3. (3)/(5)×(5)/(6)- 解析:计算可得(3×5)/(5×6)=(15)/(30),约分得到(1)/(2)。
4. (1)/(4)×(8)/(9)- 解析:(1×8)/(4×9)=(8)/(36),约分后为(2)/(9)。
5. (5)/(7)×(14)/(15)- 解析:分子分母分别相乘,(5×14)/(7×15)=(70)/(105),约分得到(2)/(3)。
6. (3)/(8)×(16)/(21)- 解析:(3×16)/(8×21)=(48)/(168),约分后为(2)/(7)。
7. (4)/(9)×(3)/(8)- 解析:(4×3)/(9×8)=(12)/(72),约分得到(1)/(6)。
8. (7)/(10)×(5)/(14)- 解析:(7×5)/(10×14)=(35)/(140),约分后为(1)/(4)。
- 解析:(2×33)/(11×4)=(66)/(44),约分得到(3)/(2)。
10. (5)/(6)×(9)/(10)- 解析:(5×9)/(6×10)=(45)/(60),约分后为(3)/(4)。
六年级数学计算题每日一练1.直接写出得数.(20分)3 5×12= 1÷23=45÷8= 7×27=38×12=1 5×1625=14-15=13+14910÷320=14÷78=2.怎样简便就怎样算.(40分)(1)3-712-512(2)57×38+58×57(3)815×516+527÷109(4)18×(49+56)3.解方程.(20分)(1)78χ=1116(2)χ×(34+23)=7244.列式计算.(20分)(1)一个数的35是30,这个数(2)比一个数多12%的数是112,是多少?这个数是多少?二1.直接写出得数.(20分)12÷12= 1÷1%= 9.5+0.5=13+14= 0÷15×2=1-1112=78×514=712÷74=45-12=19×78×9=2.怎样简便就怎样算.(40分)(1)23×7+23×5 (2)(16-112)×24-45)(3)(57×47+47)÷47(4)15÷[(23+15)×113]3.解方程.(16分) (1)χ-35χ=65 (2)6×112-12χ=124.列式计算.(24分) 1)12加上23的和,等于一个数的23, (2)一个数的35比它的2倍少这个数是多少?28,这个数是多少三1.直接写出得数.(16分)4.9:6.3=54+152= 87×74= 1―41―21= 83+43= 53÷103= 9÷43=32×61×109= 2.解方程.(24分)8x -41×3=445(x -6)×65=25 x:107=2853.脱式计算(怎样算简便就怎样算).(30分) (32×41+17)÷125(25+43)÷41+412518×169+257×169+1694.列式计算(30分) ①54与它的倒数的和的4倍加上1013,和是多少?② 甲数的53等于乙数的32,甲数是60,求乙数.四3145-= 25.043+= 323⨯= 1265⨯= 8183⨯÷= 203203÷= 521÷= 5391⨯= 59913⨯= 87281⨯⨯= 2.解方程(16分)111095=÷x 2431=+x3.递等式计算(能简算的要写出简算过程)(40分)(41125-)65÷ 5912512795÷+⨯ 65524532-⨯+)7321495(63-+⨯ 2316]43)3121(85[÷⨯+-4.列式计算(24分) (1)53与21的差除以47,商是多少? (2)9比一个数的54少1,求这个数.五1.直接写出得数.(18分)23×52= 74÷32= 2.5×0.4 = 1.5÷0.05= 45+109÷9=1-54÷54= 3×31÷3×31= 25×52×4= 1-91=2.递等式计算(能简算的要写出简算过程)(36分) ①(21×73+74×21)×41 ②(99+109)÷9 ③54×65÷85④1514÷[(54+32)×1110] ⑤(65+54)×30 ⑥31+3÷213.解方程(18分) ①43χ+41=21 ②χ-54χ=12 ③χ+10%χ=1104.列式计算(28分) ① 180减去它的61是多少? ②80的30%是什么数的1.2倍?六1.直接写出得数.(16分)103×125= 1÷115= 21÷60%= 125×15= 65-21= 6.8÷10%= 4.5+21= 83×32=2.怎样算简便就怎样算.(48分) 65×56-109÷59 4-115-117 81×58+81×41+8154×74×45-21 54×65+52÷53 54÷[(85-21)÷85]3.解方程.(16分)5X -3×107=57 54+21X=1094.列式计算.(20分)A.一个数减去它的20%后,等于B.12乘31的积,与12除以31的 120的31,求这个数. 相差多少?七1.直接写出得数.(20分)301-199= 0.24×300= 109 ÷23= 2.5+0.25= 9.5-9.5×0= 13 - 14 = 0.3÷6= 2.4×38 = 4.2÷ 15 = 1.25×0.7×8= 2.怎样算简便就怎样算.(40分)235 - 135÷18 35×153 – 0.6×53(45 +14 )÷73 +710 10 - 719 - 1219 + 1193.解方程.(18分)①31χ+60%χ=28 ②1.6∶χ=0.125∶0.5三.列式计算.(22分)①甲数比乙数大2.7,甲数与乙数的比是 ②用65与21的和去除4,商是多少? 5∶2,乙数是多少?八1、 直接写出得数.(16分) 56 ÷30= 1.4÷3.5= 45 ×1.3+45 ×3.7= (23 +12)×12= (估算)49×301≈ 350×0.02= 1.9×4×0.5= 9×18 ÷9×18=2.计算下列各题,能简算的要简算.(48分)25×13 ÷52 ×310 13.09-8.12-4.88 12×103-4500÷7518 ×[12 ÷(35 ×109 )] (215 +311 )×15×11 37.5+19.5÷2.5×43.解方程.(18分)1.75x -0.5x =6.25 34 x -58 =56 ×30% 6:x =37 :134.文字题.(18分)①10减去6除1.5的商,所得的 ②一个数的80%比56的倒数多4,差乘6,积是多少? 求这个数?九1.直接写出复数.910÷320= 14÷78= 45-12= 19×78×9= 9÷43= 32×61×109= 59913⨯= 87281⨯⨯=2.计算下列各题,能简算的要简算.(215 +311 )×15×11 37.5+19.5÷2.5×454×65+52÷53 54÷[(85-21)÷85]3.解方程. 34 x -58 =56 ×30% χ+10%χ=1104.文字题.9.81的13 与2.5的差,除以78 ,商是多少? 94的倒数加上2.4乘0.5的积,和是多少?十1.直接写出复数.4.2÷ 15 = 1.25×0.7×8= 4.5+21= 83×32=25×52×4= 1-91= 1.9×4×0.5= 9×18 ÷9×18 =2.计算下列各题,能简算的要简算.815×516+527÷109 18×(49+56)2518×169+257×169+16972×(21–31+41)3、解方程. x:107=285 2(x+1)=x+44.文字题.32吨的53比65吨的52多多少? 65的倒数加上37除27的商,和是多少?十一1.直接写出得数.2.4÷0.125= 125-25+75= 999×15= 10-3.25+9÷0.3= 43.2÷0.125=2.计算下列各题,能简算的要简算.555×13-111×15 25×0.32×0.25 55×(331-441) 10137-(441+3137)-0.75 20042003×2005X ×43×52= 18 X ×109 = 24×814.文字题.6个312 相加的和的47 是多少? 20千克的14 比1吨的3200 少多少千克?十二1、直接写出得数.4.9:6.3=54+152= 87×74= 1―41―21= 83+43= 53÷103=2、计算下列各题,能简算的要简算. (98+43–32)×72 (95+131)×9+134 30×(21–31+61)12×(21–31+41) 51×[31÷(21+65)] 12÷(1–73)3、解方程.2512X = 15×53 X ×(61+83)= 1213 X ×(1+41)= 254、文字题. ①32吨的53比65吨的52多多少? ②65的倒数加上37除27的商,和是多少?十三1.直接写出得数.2.4÷0.125= 555×13-111×15= 25×0.32×0.25= 125-25+75= 999×15= 10-3.25+9÷0.3= 43.2÷0.125= 2.计算下列各题,能简算的要简算.101×99-897 333833 3.7544⨯-+⨯ 41×35×2136×4.06+4.06×64 7.02×123+877×7.02 34.68425⨯+⨯3.解方程. X ×31×53 = 4 X ×72 = 18×31 X ×72 = 2184.文字题.①一个数的72 倍是490,这个数是多少? ②437 减去32 与16的积,差是多少?十四1.直接写出得数.55×(331-441)= 20042003×2005= 10137-(441+3137)-0.75=2.4÷0.125= 555×13-111×15= 25×0.32×0.25=2.计算下列各题,能简算的要简算.25×37×0.4 75×0.39×4 125×39×1655513.75 2.75888⨯-⨯- 512924514343⨯+⨯ 113536⨯3.解方程. (1–95)X = 158 X ×54×81 = 10 X ×32 = 8×434.文字题.①2215 加上45 与23 的积,和是多少? ②715 减去515 的差乘以一个数,等于227 ,这个 数是多少?十五1.直接写出得数.24×(31+41)= 3.14×25= 83+85-85+83==16180⨯ =431÷ =1497÷ =9243⨯ =141157⨯ =8183+ =14971÷ 2.计算下列各题,能简算的要简算.313275÷⨯ 71259214÷⨯ )(618148+⨯)(2110-75103⨯ 815×516+527÷109 51+94×83+653.解方程.45 χ = 1825 X – 60% X =18 15÷X = 654.文字题. ①15 与16 的和除以它们的差,商是多少? ②32 加上23 的和,等于一个数的23 ,这个数是多少?十六1.直接写出得数.=5485+ =3565⨯ =3173⨯ =872÷=5221+ =2156- =375÷ =319÷ =5325⨯ =6118-2.计算下列各题,能简算的要简算.11164.53411112⨯+⨯ 102×5.6-5.6×2 471×0.25-0.25×7143×126-86×13 51765311÷)(- 83533585⨯÷+3.解方程. 31χ ÷5 = 31 53 ÷χ = 76 3X = 104.文字题.①5和8的比等于40与一个数的比,这 ②一个数和34 的比等于15 与27的比,求这个 个数是多少? 数是多少?十七1.直接写出得数.=871÷ =5365⨯ =15452÷ 0.1+0.41= 32÷10000= 0.14×30= 2002+68= 3-31= 4.6+4 = 0.25×4= 2.计算下列各题,能简算的要简算. (53+41)×60–27 5–61–65 [(1–53)×32]÷430×(61+52–21) 87+32÷54+61 83+31+413.解方程. X+41x = 20 41×x+51×45 = 12 51-4.5=(51-10X)×34.文字题.(1)21与31的和除它们的差,商是多少?(2)43 与它的倒数的和,除以 169 与 14 的 积,商是多少?十八1.直接写出得数.=6552⨯ =8320⨯ =731÷ =95125÷ 2.计算下列各题,能简算的要简算.4–52÷158–41 48×(31–21+41) 256÷9+256×9824×(61+81) [(1–61×52)÷97 [(1–53)×52]÷43.解方程.78χ=1116 χ×(34+23)=724 7X –4X = 21。
一、 填空1、43时=( )分2、( )的倒数是73。
3、三成五是( )%,八五折是( )%。
4、10)00(=( )%=0.8=12÷( )。
5、在95、74、0.56中,最大的一个数是( )。
6、一根绳子长16米,先用去它的43,又用去43米,共用去( )米。
7、15毫升比( )毫升的20%多3.8、把52米的铁丝平均截成4段,每段长( )米。
二、选择正确的答案填在( )里。
1、12乘85( )12除以85 ○1大于 ○2小于 ○3等于 2、把一个正方形对折再对折,每层的面积是正方形的( )○1二分之一 ○2八分之一 ○3四分之一 3、某车间今天出勤100人,缺勤2人,这个车间的出勤率是( )○1100% ○2102% ○3约98% 三、应用题1、电视机厂计划生产电视机2000台,实际比计划增产250台,实际比计划增产百分之几?2、一本书120页,第一天看了全书的31,第二天看了全书的20%,两天工看多少页?3、一堆煤,第一周烧了总量的51,第二周烧了总量的25%,已知第二周比第一周多烧4吨。
这堆煤共有多少吨?一、填空1、最小的两位数的倒数与85的积是( )。
2、1立方分米的43等于( )立方厘米。
3、在0.37、3.7%、3.75、0.375和83中,最大的是( ),最小的是( )相等的两个数是( )和( )4、8)00(=( )%=9÷12=( )成数。
5、在95、74、0.56中,最大的一个数是( )。
6、当圆规两脚间的距离为6厘米时,画出圆的周长是( )面积是( )。
7、( )比20的20%少3.8、甲乙两筐苹果共重180千克,如果从乙筐拿出71放入甲筐,那么甲乙两筐重量相同,原来乙筐有苹果( )千克。
二、选择正确的答案填在( )里。
1、32÷91( )32x 91 ○1大于 ○2小于 ○3等于 2、如果一个圆的直径和一个正方形的边长都是8厘米,那么圆的面积( )正放心面积。
=+332 =-6143 =+75532143273++ 25453++ 676543++2-5453- 1256123-- 65611--256127-- 3×(6192-) 125×61×2372×6561×72+ 2.4×43 5.6×(7385+)2.4×(6543+)3.9×(395139-) 1.2×(12561+) 5.6×(1438573-+) 3.6×=125 2.7×=95 81×=9764×(64385163-+) 30×(5163+) 4.2×(7265+) 4.8×=6771×16378×163- 67×97613×97- 6.3×=78914×85×7365×87613×87+ )(5379×97- )(513726×137-32×(32385163-+) 30×(5167-) 8.4×(7365+) 4.8×=8771×16579×165- 65×75613×75- 6.3×=98154×85×7365×85613×85+ )(53718×97- )(5131039×135-4.8×(6743+) 2.6×(265139-) 2.4×(12565+)5.6×(1458575-+) 3.6×=95 4.5×=95 36×=973.6×(6545-) 3.9×(1323915-)4.8×(12567-) 2.8×(1434573-+) 3.6×=95 4.5×=97 49×=78 48×(48385163-+) 60×(5267+) 3.6×(12565+) 3.6×=6771×16978×169- 67×117613×117- 4.9×=78514×85×71065×167613×167+ )(53511×115- )(1433722×117-=43×94 =31×54 =+4361 =53×74 =52×74 =158×245 =43×0 =53-35 =8×61 =1213×1211 =163×14 =103×65)(267135×39+ 24×4735)(+ =61×48-18 61×24×7 2512×95×127 8×9571×95-89×8831)(7151×35+ =8×3×81×314÷76 54÷12 =34÷43 54÷0=51÷103 =94÷32 =54÷51 =525÷136=53÷127 =4217÷215 =81÷43 =74÷73=154÷54 =224÷113 =34÷24 =43÷27=34÷24 =34÷24 =34÷24 =34÷2461×48×8 2524×95×1218 8×9771×97-5391⨯ 23×52103×125 87×7459913⨯ 1265⨯ 5141-= 1-21= 5141-= 1-21= 43+43= 495⨯= 14+15= 1+12= ⨯4343= 3×27= 87281⨯⨯ 25×52×4 32×61×109 19×78×91×1112= 2.5×0.4 = 35×12= 13×14= 14-15= 9.5+0.5= 54+152= 1―41―21=15×1625 7×27 125×15 83×3278×514 38×12 3117⨯= 483⨯==⨯6115 =⨯9221 =⨯7311 =⨯612432×61×109 19×78×9 23×7+23×5 (16-112)×2418×(49+56) 57×38+58×57 127-(41-125)51503⨯ )1437141(28-+⨯ 32×25×1.253-712-512 257101257-⨯ 91490⨯48)167125(⨯+ 85×43+41×85 43×52+43×0.636)1256141(⨯++ 7.8×2.5+78×0.75 24)67125(⨯+3117⨯= 483⨯= =⨯6115 =⨯9221=⨯7311 =⨯6124 =⨯1232 =⨯151074131⨯= 21×51= 41×81= 41×61=4357⨯= 7365⨯= 6143⨯= 9865⨯=12556⨯= 85352⨯= 57710⨯= 354⨯=2114⨯= 841⨯=61243⨯ = 8×125= 255×15= 161244⨯= 361149⨯= 27185⨯=282×64×107 62183⨯= 43121⨯= 5683⨯= 143107⨯= 7152⨯= 111281⨯=14397⨯= 12146⨯= 274169⨯213157⨯3012165⨯= 141207⨯= 2231211⨯=3726133⨯ = 6982423⨯= 972118⨯=21×41-81 21×41+81 21×41×811-21⨯31 1-(21+31 ) (21—31)6⨯18)87125(⨯+ 65×23×8 43×52+43×0.65个163连加的和是多少? 8个111相加的和是多少?一瓶水重54千克,倒出31后,瓶中的水重多少克?1-21⨯31 1-(21+31) (21—31)6⨯18)87125(⨯+ 65×23×8 43×52+43×0.6 1123⨯+112 (41+41)5⨯ 215×153×854+151×9 94×6+31 5⨯158= 20⨯85= 125的9倍是多少? 48个121是多少? 8个111相加的和是多少?5⨯158= 20⨯85= 1123⨯+112(41+41)5⨯ 215×153×8 54+151×9 94×6+31 98÷4= 1÷32= 53÷3= 14÷157= 51÷3= 53÷3= 75÷1= 12÷43= 357×45= 54×21=18×354= 97÷87= 5÷1011 = 52÷23=21÷32= 75÷71= 89 ÷83 = 1611÷1611=20÷94= 0×521= 54×47= 1123⨯=1-21⨯31 1-(21+31) (21—31)6⨯18)87125(⨯+ 65×23×8 43×52+43×0.6 41的103是多少? 127的73是多少?5⨯158= 20⨯85= 1123⨯+112(41+41)5⨯ 215×153×8 54+151×9 94×6+31 98÷4= 1÷32= 53÷3= 14÷157= 51÷3= 53÷3=89的34是多少? 13与14的差加上它们的积,和是多少?75÷1= 12÷43= 75÷1= 12÷43=357×45= 54×21= 18×354= 97÷87=5÷1011 = 52÷23= 21÷32= 75÷71=89 ÷83 = 1611÷1611= 20÷94= 310 ÷103 =89的34是多少? 13与14的差加上它们的积,和是多少?0×521= 54×47= 54×47=÷412331÷ ⨯412331÷ ⨯412331⨯923132÷⨯ 4115261⨯÷ 65145127÷⨯)(858321+⨯ )(2512251395-⨯ 544351++(5354+)×215 )8387(47+- 1÷17998÷)(5.41151+⨯ )(814321+÷ 12÷(8143+)21×32×43 615×151×43 21×1121×74282×64×107 52×25×76 53×95×85127×74×48 4×31×41 215×32×535个163连加的和是多少? 8个111相加的和是多少?3726133⨯= 6982423⨯= 972118⨯= 21×41-81 21×41+81 21×41×81125120⨯= 3.5×75= 43×18=1362426⨯= 278129⨯= 12183⨯=4×43×81 53183÷= 4÷(16583-)(73145+)×14 51127⨯×60 187118⨯×331497÷×2 1561817⨯= 213157⨯=123156⨯÷3 4×(44121611+) (2131+)÷2 1-83⨯52 3-(21×152) (21+83)×511)87125(⨯+ 65×32×8 53×45+43×2.63⨯157= 30⨯157 = 52×4+52(41+43)5⨯ 21÷83×48 47×163÷7352×72+52×72 15÷(31-81) 15×52÷101(52+151)÷7 2.5×0.4= 4÷0.8=0.18×0.5= 3.14÷1= 15÷2=(5⨯157)×4 7÷614 52×6+53(41+43)5⨯ 3×34×81 0.8×53183÷2.1÷0.7= 18.84÷6= 12.56÷4=7.3÷10 6.3÷9= 7.4÷2=9.42÷3= 13492139++ 6112587+-)5243(5-- 414325+- 414325--67171065177+++ )3154(59+- )3154(59--752143+- 0.8×33×1.25 4.6×1389.56+4.875-78 +1.44 34 ÷6-16 ×14 1718 ×910 +1718 ÷108.4÷811 -138 ×5 4÷123 +6×35 1835 ×1920225 ×1920 -1920 2225 ×80×813 ×1.25 25×1.25×4×80.7+3.9+4.3+6.1 7.35×99+7.35 47-8÷17-91746×101 15.6-227 -457 14×214 +14×334 34 ÷611 +317 +58 89 ×715 +815 ÷98 +89 205×32-656 3-59 ×720 -1136 76 -715 -815 457 -313 +127 -22357 ×43 +27 ×43 149 ÷75﹪-59 ÷3414 ÷52 ×(14 +16 ) 435 -114 -1.75+0.4 (13 -15 )×45 2-16 +34 (38 +56 -712 )×240.3÷[1÷(3.3-2.95)] (56 -13 )×(58 ÷14 ) [(23 -14 )÷56 +45 ]×511 (25 -17 )×35×1960×(512 +415 -12 ) (815 +920 ×23 )÷112每日一练(27)12×(13 -14 ) (9-10×45 )÷34 (10-512 ÷16 )×1349 ×[34 -(716 -14 )] 25.125―135 ―17.40.38×7-1950 +4×1950 611 ×17-12×311 18 ×[12 ÷(35 ×109 )] (57 -38 )÷156(20.1-21×67 )÷5.1 7.6÷5.4÷1.9×5.4每日一练(28)0.2+[56 ×(0.15+920 ) 24×23 ×(5×18 )15 ×58 ÷14 +23 15×421 +87 ÷163.64×[1÷(2110 -2.09)] (13 -15 +415 )×45101.1-25.93+5.1÷0.85 (58 -14 )×(89 ÷113 )2.6×13 +235 ×23 3-117 -67 25 ×37 +47 ÷52每日一练(29)125 ×(16 +14 )+1113 14 ×23 ÷(45 -815 ) 145 ×1.25+114 ×2.2-114 135 ×8×813 ×1.254-45 ÷4-45 58 ÷[(15 +14 )×38 ]57 ×23 +1415 ÷19 (10-512 ÷16 )×13 49 ×[34 -(716 -14 )] 25.125―135 ―17.40.38×7-1950 +4×1950 611 ×17-12×311每日一练(30)18 ×[12 ÷(35 ×109 )] (57 -38 )÷156(20.1-21×67 )÷5.1 7.6÷5.4÷1.9×5.40.2+[56 ×(0.15+920 ) 24×23 ×(5×18 )15 ×58 ÷14 +23 15×421 +87 ÷163.64×[1÷(2110 -2.09)] (13 -15 +415 )×454÷[1-(1920 +125 )] 747 +3.25+237 +5.48每日一练(31)6434 ×111 +111 ×3414 (18 -14 ÷4×14 )÷12(15 +18 )×160×113 15-(713 ÷2+5)6.4÷45 +1.25×335 [0.25×4-(56 +112 )]×56 720 ×1125 +1425 ×720 23 +(12 +23 )×27 310 ×(12 +13 )÷18 75 ×[280÷(7.28+6.72)]1125-997 998+1246+9989每日一练(32)(8700+870+87)÷87 125×8.81.3+4.25+3.7+3.75 17.15-(3.5-2.85)3.4×99+3.44.8×1.01(1.6+1.6+1.6+1.6)×25 (94+65-187)÷36171100257 12.3-2.45-5.7-4.55 97÷251+115×920.125×0.25×6每日一练(33)64.2×87+0.642×1300 78×36+7.8×741-754 2113×17+1217×8 87×21+0.125×21+0.52.42÷43+4.58×311-4÷332×7+32×5(61-121)×24-54 18×(94+65) 51503⨯75×83+85×7591490⨯ 36)1256141(⨯++每日一练(34))1437141(28-+⨯ 32×25×1.25 3-127-125257101257-⨯ 48)167125(⨯+ 85×43+41×8543×52+43×0.6 21×41-81 21×41+81 21×41×81 1-21⨯31 1-(21+31)(21—31 )6⨯ 18)87125(⨯+ 65×23×8每日一练(35)1-21⨯31 1-(21+31) (21—31)6⨯18)87125(⨯+ 65×23×8 43×52+43×0.6 1123⨯+112 (41+41)5⨯ 215×153×8 54+151×9 94×6+31 1123⨯+112解方程 58x = 15 x÷29=67 18÷x=16每日一练(36)解方程8352=÷x 1232=x 58x = 15x÷29=67 18÷x=16 8352=÷x13492139++ 6112587+- )5243(5--414325+- 414325-- 67171065177+++)3154(59+- )3154(59-- 752143+-每日一练(37)x -x 53=56 6×121-x 21=21x 43+41=21 x -x 54=12 87x =1611 x ×(43+32)=2475x -3×107=57 54+x 21=109 8x -41×3=445(x -6)×65=25 x - 27 x =432x + 25 = 35每日一练(38)x ×53=20×41 x +83x =1215x -3×215=75 32x ÷41=126x +5 =13.4 8341x 43=+3x =83 x÷72=167 x +87x=434x -6×32=2 125 ÷x =310 53x = 7225每日一练(39)96513545254x -3 ×9 = 29 21x + 61x = 4103x -21×32=4 2041=+x x 8)6.2(2=-x6x +5 =13.4 4x -6=38 5x =1915218x =154 x ÷54=2815 32x ÷41=12每日一练(40)965135452553x =7225 x -0.25=41 4+0.7x =102 32x +21x =42 x +41x =105 x -83x =400x -0.125x =8 4372=+x 7385=-x41436=-x 75.041=+x 4153=-x每日一练(41)139********414325+- 414325-- 67171065177+++)3154(59+- )3154(59-- 752143+-531532-=-x 4372=+x 7385=-x41436=-x 75.041=+x 4153=-x每日一练(42)139********414325+- 414325-- 67171065177+++)3154(59+- )3154(59-- 752143+-(41+43)5⨯ 3×34×81 0.8×53183÷15÷(31-81) 15×52÷101 (52+151)÷7每日一练(43)21÷83×48 47×163÷73 52×72+52×72 1-83⨯52 3-(21×152) (21+83)×511)87125(⨯+ 65×32×8 53×45+43×2.612:( )=3115:( )=65 ( ):20=213:( )=4140:( )= 78 ( ):40=2013每日一练(44)2:8= 20:36= 4:24= 15:9= 28:4= 0.2:1.4= 1.2:0.6= 0.8:4.8= 0.7:0.35=4:5= 10:5= 7:15= 6:24= 10:25= 48:12=21:14= 35:15= 15:12=10:30= 20:4= 60:15=每日一练(45)5 6×370=67×356= 0.48÷6=10×9798=1445×1521=1258×2936=26.26÷26= 10÷0.1= 0.48÷16=9 4×124= 12.5×4= 1-0.5%=3 13×2645=721×1421=67×356=每日一练(46)352 ×126 = 57 ×342 = 1445 ×1521=0.15÷5= 78 ×564 = 9÷0.25=57 ÷9798 = 0.7-13 = 0.5-14778 ×140 = 118 ÷821 = 1711 ÷19 =112 -23 = 45 +0.6= 514 ÷121 =每日一练(47)15 27÷49=352÷126=138÷119=3.2-12=38÷338=1311-313=8 9-56=29×63%=27×63%=47×30%= 0.77÷9%= 6.45÷314% = 1.2÷0.5%= 0.1÷14.5% = 0.45÷70% =1 2÷321=38÷67= 22-7121=每日一练(48)12-38 = 56 +118 = 229 ×20.6÷3+3 3+34 -3+34 37 +47 ×7165-29 +79 0.25×4÷0.25×4 2-23 ×229 ×2.7÷60% 1+12 ×1+12 4×12 ÷4×12(2-60%)÷ 715 2÷0.2-2 29 ×2÷29×2每日一练(49)5-165 ×34 +335 ÷11 [14 +(45 -310 )]÷125-311 -811 1917 +913 -917889 +2811 -189 4712 -378 +5512534 -(59 +234 ) 37 -910 +472.9÷5-1.9÷5 37.2×99+37.245×101 (1.25+0.9)×8 1.25-0.25+0.75每日一练(50)1.25×32×2.5 2.19-0.8-115 5.38-(145 +2.38)2134 -529 -379 (57 +38 )×56 34 ×137 +14 ÷71324÷4+56÷4 541-(341-149) 685-(285+340)541-(341-149) 1254-(219+354)-181 18.7-(9.9+8.7)(49 -123 )×9+1423 25.4-(19.8-4.6) 54.5-1.25-0.75-0.5每日一练(51)。
六年级数学计算每日一练班级 姓名 得分一、直接写得数:0.3²= 7.06-0.06= =3183+ 3.14×2²= 54÷2=9.42÷3.14= 3.14+2= 31×3.14×6= 56 ×310 = 1-1℅=二、 用递等式计算,能简算的要简算。
(1)46×8-120÷15 (2)89 - 47 + 109 - 37(3)(12.5×8-40)÷0.6 (4)35)3254(32⨯-+(5)32÷54-32×54 (6)(1411-75+285)×28三、求未知数χ。
χ-53χ=56 42∶=53χ∶75四、(求下图中阴影部分的面积。
(单位:厘米)班级 姓名 得分一、计算部分1、 直接写出得数。
19 - 110 = 34 ÷ 43 = 23 +512 = 1÷112 -112 ×1= 45 ×25% = 2.35+76.5= 3.25-(0.25+723 )= (821 +17 )×7= 2、 求未知数X 的值。
1225 X ÷15 =15 0.8X +74 =2.75 χ+73χ=1073、 用递等式计算。
(怎样算简便就怎样算)4.2-1.38+5.8-3.62 75×16.31-2.31÷57(91+271)×4+2723 32×[109÷(167-41)] 2-1615÷75÷43920 ÷[12 ×(25 +45 )]二、图形计算如下图,三角形ABC 是直角三角形,AB 是圆的直径,且AB =20厘米,如果阴影甲的面积比阴影乙的面积大7平方厘米,那么,BC 的长度是多少厘米?班级 姓名 得分1、直接写出得数。
六年级上册数学每日一练(1)一、直接写出得数。
2+ +1 =2- 1 =5+-=+-2=-=+=二、解方程。
②χ+χ=28③χ- =三、计算,能简算的要用简算。
+++-++ 2--四、解决问题。
五年级一班参加义务劳动,如果分成5 人一组,或9 人一组,或15 人一组,都没有剩余的人。
这个班至少有多少学生?①0.3χ=45每日一练(2)一、直接写出得数。
+ =- =二、解方程。
χ - = +χ= 2χ- =三、计算,能简算的要用简算。
(1) +( - ) (2)2- - (3) - +(4)68- 7.5 + 32-2.5 (5) -( - )四、解决问题。
夏洼村修一条水渠,第一天修千米,第二天修千米,还剩千米没修,这条水渠全长多少千米?+ = + = 1- = + =- = 1- =每日一练(3)一、直接写出得数。
2 9+ + =1= 4- =- =+ = + =2107 - 203 - 209= - =+ - =二、解方程。
χ+ =— χ = χ-( - )=三、计算,能简算的要用简算。
+ + 1- -72 + 61 + 65 + 75 1153 -( 1153 - 52 )四、解决问题。
有一种长方体钢材,长 2 米,横截面是边长为 5 厘米的正方形,每立方分米钢重 7.8 千克,这根方钢材重多少千克?每日一练(4)一、直接写出得数。
0.15×0.6= 7÷40=+ = 1.2÷2.4= 2- =- =+ =0.64÷8=二、解方程。
①χ+ 3 3=7 4 ②χ 5 3- =12 8③χ- =1三、计算,能简算的要用简算。
①2107 -(207 + 125 ) ② 98 -(92 +31 ) ③ 92 + 54 + 97 + 51④ 7- 75 - 75 ⑤ 54 + 1151 + 103 ⑥ 6-( 43 - 52)四、解决问题。
一个长方体水箱,长 8 分米,宽 6 分米,能容水 240 升,这个水箱的高是多少?每日一练(5)一、直接写出得数。
1、直接写出得数。
2、35×12= 1÷23=45÷8= 7×27=38×12=1 5×1625=14-15=13+14910÷320=14÷78=2、怎样简便就怎样算。
(1)3-712-512(2)57×38+58×57(3)815×516+527÷109(4)18×(49+56)3、解方程。
(1)78χ=1116(2)χ×(34+23)=7244、列式计算。
(1)一个数的35是30,这个数(2)比一个数多12%的数是112,是多少?这个数是多少?1、直接写出得数。
12÷12= 1÷1%= 9.5+0.5=13+14= 0÷15×2=1-1112=78×514=712÷74=45-12=19×78×9=2、怎样简便就怎样算。
(1)23×7+23×5 (2)(16-112)×24-45)(3)(57×47+47)÷47(4)15÷[(23+15)×113]3、解方程。
(1)χ-35χ=65(2)6×112-12χ=124、列式计算。
1)12加上23的和,等于一个数的23,(2)一个数的35比它的2倍少这个数是多少?28,这个数是多少1.直接写出得数。
4.9:6.3=54+152= 87×74= 1―41―21= 83+43= 53÷103= 9÷43=32×61×109= 2.解方程。
8x -41×3=445(x -6)×65=25 x:107=2853.脱式计算(怎样算简便就怎样算)。
(32×41+17)÷125(25+43)÷41+412518×169+257×169+1694.列式计算 ①54与它的倒数的和的4倍加上1013,和是多少?② 甲数的53等于乙数的32,甲数是60,求乙数。
1.直接写出得数。
3145-= 25.043+= 323⨯= 1265⨯= 8183⨯÷= 203203÷= 521÷= 5391⨯= 59913⨯= 87281⨯⨯= 2、解方程111095=÷x 2431=+x3、递等式计算(能简算的要写出简算过程)(41125-)65÷ 5912512795÷+⨯ 65524532-⨯+)7321495(63-+⨯ 2316]43)3121(85[÷⨯+-4、列式计算 (1)53与21的差除以47,商是多少? (2)9比一个数的54少1,求这个数。
1.直接写出得数。
23×52= 74÷32= 2.5×0.4 = 1.5÷0.05= 45+109÷9= 1-54÷54= 3×31÷3×31= 25×52×4= 1-91=2、递等式计算(能简算的要写出简算过程) ①(21×73+74×21)×41 ②(99+109)÷9 ③54×65÷85④1514÷[(54+32)×1110] ⑤(65+54)×30 ⑥31+3÷213、解方程 ①43χ+41=21 ②χ-54χ=12 ③χ+10%χ=1104、列式计算 ① 180减去它的61是多少? ②80的30%是什么数的1.2倍?1.直接写出得数。
103×125= 1÷115= 21÷60%= 125×15=65-21= 6.8÷10%= 4.5+21= 83×32=2.怎样算简便就怎样算。
65×56-109÷59 4-115-117 81×58+81×41+8154×74×45-21 54×65+52÷53 54÷[(85-21)÷85]3.解方程。
5X -3×107=57 54+21X=1094.列式计算。
A 、一个数减去它的20%后,等于B 、12乘31的积,与12除以31的 120的31,求这个数。
相差多少?1.直接写出得数。
301-199= 0.24×300=109 ÷23= 2.5+0.25= 9.5-9.5×0= 13 - 14 = 0.3÷6= 2.4×38 = 4.2÷ 15 = 1.25×0.7×8= 2.怎样算简便就怎样算。
235 - 135÷18 35 ×153 – 0.6×53(45 +14 )÷73 +710 10 - 719 - 1219 + 1193.解方程。
①31χ+60%χ=28 ②1.6∶χ=0.125∶0.5三、列式计算。
①甲数比乙数大2.7,甲数与乙数的比是 ②用65与21的和去除4,商是多少? 5∶2,乙数是多少?1、 直接写出得数。
56 ÷30= 1.4÷3.5= 45 ×1.3+45 ×3.7= (23 +12 )×12= (估算)49×301≈ 350×0.02= 1.9×4×0.5= 9×18 ÷9×18 =2、 计算下列各题,能简算的要简算。
3、 25×13 ÷52 ×310 13.09-8.12-4.88 12×103-4500÷7518 ×[12 ÷(35 ×109 )] (215 +311 )×15×11 37.5+19.5÷2.5×44、 解方程。
5、 1.75x -0.5x =6.25 34 x -58 =56 ×30% 6:x =37 :133、文字题。
①10减去6除1.5的商,所得的 ②一个数的80%比56 的倒数多4,差乘6,积是多少? 求这个数?九1、直接写出复数。
910÷320= 14÷78= 45-12= 19×78×9=9÷43= 32×61×109= 59913⨯= 87281⨯⨯=2、计算下列各题,能简算的要简算。
(215 +311 )×15×11 37.5+19.5÷2.5×454×65+52÷53 54÷[(85-21)÷85]3、解方程。
34 x -58 =56×30% χ+10%χ=1104、文字题。
9.81的13 与2.5的差,除以78 ,商是多少? 94的倒数加上2.4乘0.5的积,和是多少?十1、直接写出复数。
4.2÷ 15 = 1.25×0.7×8= 4.5+21= 83×32=25×52×4= 1-91= 1.9×4×0.5= 9×18 ÷9×18 =2、计算下列各题,能简算的要简算。
815×516+527÷109 18×(49+56)2518×169+257×169+16972×(21–31+41)3、解方程。
x:107=285 2(x+1)=x+44、文字题。
32吨的53比65吨的52多多少? 65的倒数加上37除27的商,和是多少?1、直接写出得数。
2.4÷0.125= 125-25+75= 999×15= 10-3.25+9÷0.3= 43.2÷0.125=2、计算下列各题,能简算的要简算。
555×13-111×15 25×0.32×0.25 55×(331-441) 10137-(441+3137)-0.75 20042003×20053、解方程。
X ×43×52= 18 X ×109 = 24×814、文字题。
6个312 相加的和的47 是多少? 20千克的14 比1吨的3200 少多少千克?1、直接写出得数。
4.9:6.3=54+152= 87×74= 1―41―21= 83+43= 53÷103=2、计算下列各题,能简算的要简算。
(98+43–32)×72 (95+131)×9+134 30×(21–31+61)12×(21–31+41) 51×[31÷(21+65)] 12÷(1–73)3、解方程。
2512X = 15×53 X ×(61+83)= 1213 X ×(1+41)= 254、文字题。
①32吨的53比65吨的52多多少? ②65的倒数加上37除27的商,和是多少?1、直接写出得数。
2.4÷0.125= 555×13-111×15= 25×0.32×0.25= 125-25+75= 999×15= 10-3.25+9÷0.3= 43.2÷0.125= 2、计算下列各题,能简算的要简算。
101×99-897 333833 3.7544⨯-+⨯ 41×35×2136×4.06+4.06×64 7.02×123+877×7.02 34.68425⨯+⨯3、解方程。
X ×31×53 = 4 X ×72 = 18×31 X ×72 = 2184、文字题。
①一个数的72 倍是490,这个数是多少? ②437 减去32 与16 的积,差是多少?1、直接写出得数。
55×(331-441)= 20042003×2005= 10137-(441+3137)-0.75=2.4÷0.125= 555×13-111×15= 25×0.32×0.25=2、计算下列各题,能简算的要简算。