极限计算练习的解答和其他Word版
- 格式:docx
- 大小:552.93 KB
- 文档页数:21
极限练习册答案1. 求下列函数在x=0处的左极限和右极限:\[ f(x) = \frac{x^2 - 1}{x - 1} \]解:首先,我们可以将函数f(x)重写为:\[ f(x) = \frac{(x - 1)(x + 1)}{x - 1} \]当x不等于1时,我们可以消去分子和分母的(x - 1)项,得到:\[ f(x) = x + 1 \]因此,当x趋向于1时,f(x)的左极限和右极限都是2。
2. 判断函数f(x) = x^2 在[0, ∞)区间上是否连续。
解:函数f(x) = x^2是一个二次函数,它在所有实数范围内都是连续的。
特别地,在[0, ∞)区间上,它没有不连续点,因此是连续的。
3. 求下列函数的极限:\[ \lim_{x \to \infty} \frac{\sin x}{x} \]解:由于正弦函数的值在-1和1之间振荡,而x趋向于无穷大,分母x的增长速度远大于正弦函数的振荡幅度,因此这个极限的值为0。
4. 求下列函数的极限:\[ \lim_{x \to 0} \frac{\sin x}{x} \]解:这个极限是正弦函数的导数在x=0处的值,根据微积分的基本定理,这个极限的值为1。
5. 判断下列函数是否在x=0处存在极限:\[ f(x) = \frac{1}{x} \]解:函数f(x) = 1/x在x=0处没有极限,因为当x趋向于0时,函数值趋向于无穷大或无穷小,而不是趋向于某个固定的值。
结束语:以上是极限练习册的部分答案,极限是微积分中的基础概念,理解并掌握极限的性质对于深入学习微积分至关重要。
希望这些答案能够帮助你更好地理解极限的求解方法和应用。
极限练习题及答案一. 选择题1.设F是连续函数f的一个原函数,”M?N”表示“M 的充分必要条件是N”,则必有.F是偶函数?f)是奇函数.F是奇函数?f是偶函数. F是周期函数?f是周期函数. F是单调函数?f是单调函数.设函数f?1x,则ex?1?1x?0,x x?0,x?1都是f?1都是f的第一类间断点. 的第二类间断点x?0是f的第一类间断点,x?1是f的第二类间断点. x?0是f的第二类间断点,x3.设f?x??x?1x?1是f的第一类间断点.1,则f[,x?0、,1f]?1A) 1?xB) 1?x4.下列各式正确的是 C)XD) x1+ )?exx11lim??elimC) D)?exxA) limx?0?1x?1B)limx?01x?x?xx??x??5.已知lim?9,则a?。
A.1;B.?;C.ln3;D.2ln3。
.极限:lim x??2A.1;B.?;C.e7.极限:lim; D.e。
2x??x3?2= x3A.1;B.?;C.0;D.2.8.极限:limx?0x?1?1x=A.0;B.?;C 1; D.2.29. 极限:lim=x???A.0;B.?;C.2;D. 1.2sinx10.极限: limtanx?=x?0sin2xA.0;B.?;C.二. 填空题 11.极限limxsinx??116; D.16.2xx?12= ; 12. limarctanx= ;x?0x13. 若y?f在点x0连续,则lim[f?f]= ; x?x?14. limsin5xxx?0?;15. limn?;16. 若函数y?x?1x?3x?222,则它的间断点是17. 绝对值函数?x,x?0;?f?x??0,x?0;??x,x?0.?其定义域是,值域是。
?1,x?0;?18.符号函数 f?sgnx??0,x?0;其定义域是,值域是三个点的集合。
??1,x?0.?19无穷小量是。
20. 函数y?f在点x0连续,要求函数y?f满足的三个条件是。
七道数学极限练习题及计算过程1.计算 lim n →∞16n ²-226n ⁴+12n-14. 解:观察所求极限特征,可知所求极限的分母此时为2,分子的次数为4,且分子分母没有可约的因子,则当n 趋近无穷大时,所求极限等于0。
lim n →∞16n ²-226n ⁴+12n-14 ,分子分母同时除以n ⁴,= lim n →∞16n -2n ⁴26+12n ³-14n ⁴=0。
2.计算 lim n →∞ 23n-22n-1631+11n-26n ². 解:思路一:观察所求极限特征,可知所求极限的分子分母的次数相同均为2,且分子分母没有可约的因子,则分子分母同时除以n ²,即:lim n →∞23n-22n-1631+11n-26n ²= limn→∞23-22n-16n²31n+11n-26=23-00-26=-2326。
思路二:本题所求极限符合洛必达法则,有:lim n→∞23n-22n-16 31+11n-26n²= limn→∞46n-2211-52n,继续使用罗必塔法则,= limn→∞46-00-52,=-23 26。
3.求极限 limx→1x³-39x+38x⁴-39x+38.解:观察极限特征,所求极限为定点x趋近于1,又分子分母含有公因式x-1,即x=1是极限函数的可去间断点,则:lim x→1x³-39x+38 x⁴-39x+38= limx→1(x-1)(x²+x-38)(x-1)(x³+x²+x-38),= limx→1x²+x-38x³+x²+x-38,=1+1-381+1+1-38=3635。
4.求 limx→010x+22sin7x27x-42sin11x.解:思路一:本题思路主要通过重要极限公式limx→0sinxx=1应用计算而得,则:lim x→010x+22sin7x 27x-42sin11x= limx→010+22sin7xx27-42sin11xx,= limx→010+154sin7x7x27-462sin11x11x,=10+15427-462=-164435。
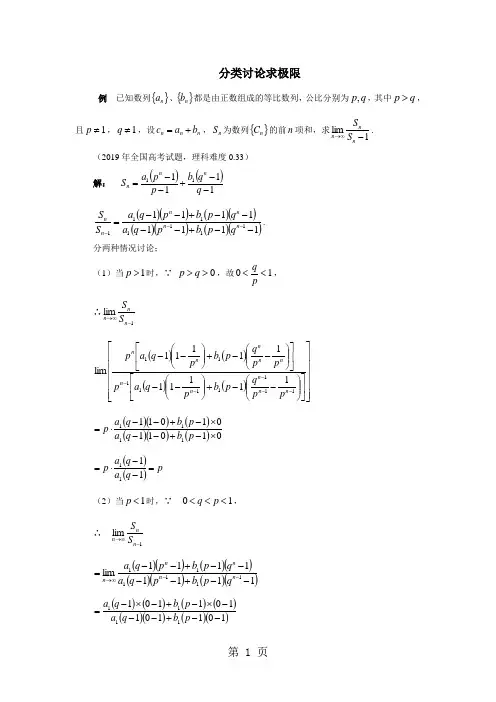
分类讨论求极限例 已知数列{}n a 、{}n b 都是由正数组成的等比数列,公比分别为q p ,,其中q p >,且1≠p ,1≠q ,设n n n b a c +=,n S 为数列{}n C 的前n 项和,求1lim-∞→nnn S S .(2019年全国高考试题,理科难度0.33)解: ()()111111--+--=q q b p p a S n n n()()()()()()()()111111111111111--+----+--=---n n n n n n q p b p q a q p b p q a S S . 分两种情况讨论;(1)当1>p 时,∵ 0>>q p ,故10<<pq, ∴1lim-∞→n nn S S()()()()⎥⎥⎥⎥⎥⎦⎤⎢⎢⎢⎢⎢⎣⎡⎥⎦⎤⎢⎣⎡⎪⎪⎭⎫ ⎝⎛--+⎪⎪⎭⎫ ⎝⎛--⎥⎦⎤⎢⎣⎡⎪⎪⎭⎫ ⎝⎛--+⎪⎪⎭⎫ ⎝⎛-------1111111111111111111lim n n n n n n n n n np p q p b p q a p p p q p b p q a p()()()()()()01011010111111⨯-+--⨯-+--⋅=p b q a p b q a p()()p q a q a p =--⋅=1111 (2)当1<p 时,∵ 10<<<p q , ∴ 1lim-∞→n nn S S()()()()()()()()11111111lim111111--+----+--=--∞→n n n n n q p b p q a q p b p q a ()()()()()()()()1011011011011111--+---⨯-+-⨯-=p b q a p b q a()()()()111111111=--------=p b q a p b q a . 说明:该题综合考查了数列的基础知识、恒等变形的能力,分类讨论的数学思想方法和求极限的方法.自变量趋向无穷时函数的极限例 求下列极限:(1)42242115lim x x x x x --+-∞→(2)⎪⎪⎭⎫⎝⎛+--∞→1212lim 223x x x x x 分析:第(1)题中,当∞→x 时,分子、分母都趋于无穷大,属于“∞∞”型,变形的一般方法是分子、分母同除以x 的最高次幂,再应用极限的运算法则.第(2)题中,当∞→x 时,分式1223-x x 与122+x x 都趋向于∞,这种形式叫“∞-∞”型,变形的一般方法是先通分,变成“∞∞”型或“00”型,再求极限.解:(1)211151lim 2115lim 24424224--+-=--+-∞→∞→x x x x x x x x x x .212000012lim 1lim 1lim 1lim 5lim 1lim 2442-=--+-=--+-=∞→∞→∞→∞→∞→∞→x x x x x x x x xx(2))12)(12()12()12(lim 1212lim 2223223+---+=⎪⎪⎭⎫ ⎝⎛+--∞→∞→x x x x x x x x x x x x )12)(12(11lim)12)(12(lim 2223xx xx x x x x x +-+=+-+=∞→∞→ 41)02)(02(01)12(lim )12(lim )11(lim 2=+-+=+-+=∞→∞→∞→xx x x x x说明:“∞∞”型的式子求极限类似于数列极限的求法.无穷减无穷型极限求解例 求极限:(1))11(lim 22x x x x x +--++-∞→(2))11(lim 22x x x x x +--+++∞→分析:含根式的函数求极限,一般要先进行变形,进行分子、分母有理化,再求极限. 解:(1)原式22112limxx x x xx +-+++=-∞→222112limxx x x x x +-+++-=-∞→.11111112lim22-=+-+++-=-∞→xx xx x(2)原式22112limxx x x xx +-+++=+∞→.11111112lim22=+-+++=+∞→xx xx x说明:当<x 时,2x x ≠,因此211111121122222→+-+++≠+-+++xx xx xx x x x.利用运算法则求极限例 计算下列极限: (1)⎪⎭⎫⎝⎛+-+++++++∞→123171411lim 2222n n n n n n Λ; (2)()⎥⎦⎤⎢⎣⎡-+++--∞→n n n 3112719131lim 1Λ. (1992年全国高考试题,文科难度0.63)解: (1)原式()11321lim 2+-=∞→n n n n()232213lim 123lim 222=+-=+-=∞→∞→nn n n n n n . (2)原式⎪⎭⎫ ⎝⎛--⎥⎥⎦⎤⎢⎢⎣⎡⎪⎭⎫ ⎝⎛--=∞→31131131limnn[]41014131141lim =-=⎥⎥⎦⎤⎢⎢⎣⎡⎪⎭⎫ ⎝⎛--=∞→nn . 说明:该题计算时,要先求和,再求所得代数式的极限,不能将只适用有限个数列的加、减、乘、除的数列极限的四则运算法则,照搬到无限个数列的加、减、乘、除,超出了法则的适用范围,下面的计算是错误的: (1)原式123lim14lim 11lim 222+-+++++=∞→∞→∞→n n n n n n n Λ (2)原式()4131131027********lim 271lim 91lim 31lim 1=⎪⎭⎫ ⎝⎛--=+++-=-+++-=-∞→∞→∞→∞→ΛΛn n n n n n 用二项式定理展开或逆用等比数列和公式化简求极限例 设*N p ∈,求nn p n 1111lim1-⎪⎭⎫ ⎝⎛++∞→.分析:把111+⎪⎭⎫⎝⎛+p n 用二项式定理展开或逆用等比数列和公式即可求得.解:111221111)1()1(1111++++++++++=⎪⎭⎫ ⎝⎛+p p p p p p nC n C n C n ΛΘ pp p p p p p nC C n C n C nn )1()1(111111131221111++++++++++=-⎪⎭⎫ ⎝⎛+∴Λ11111lim 111+==-⎪⎭⎫ ⎝⎛+∴++∞→p C nn p p n或:逆用等比数列求和公式:原式⎥⎥⎦⎤⎢⎢⎣⎡⎪⎭⎫ ⎝⎛+++⎪⎭⎫ ⎝⎛++⎪⎭⎫ ⎝⎛++=∞→pn n n n 1111111lim 2Λ11111+=+++=+p p 43421Λ个说明:要注意p 是与n 无关的正整数,111+⎪⎭⎫⎝⎛+p n 不是无限项,对某些分式求极限应先对式子进行必要的变形,使之成为便于求极限的形式,以利问题的解决,经常用到的技巧是分母、分子有理化或按二项式定理展开等等.零乘无穷型转化为无穷除无穷型例 求.)1(lim n n n n -+∞→分析:当∞→n 时,所求极限相当于∞⋅0型,需要设法化为我们熟悉的∞∞型. 解: n n n n )1(lim -+∞→.211111lim 1lim)1()1)(1(lim =++=++=++++-+=∞→∞→∞→nnn n n n n n n n n n n n说明:对于这种含有根号的∞⋅0型的极限,可采取分子有理化或分母有理化来实现.如本题是通过分子有理化,从而化为nn n++1,即为∞∞型,也可以将分子、分母同除以n的最高次幂即n ,完成极限的计算.根据极限确定字母的范围例 已知161)2(44lim 2=+++∞→n n n n m ,求实数m 的取值范围.分析:这是一个已知极限的值求参数的范围问题,我们仍然从求极限入手来解决.解:16142161lim)2(44lim 2=⎪⎭⎫⎝⎛++=++∞→+∞→nn n n nn m m 于是142<+m ,即26,424<<-<+<-m m . 说明:在解题过程中,运用了逆向思维,由16142161lim =⎪⎭⎫⎝⎛++∞→n n m 可知,nm ⎪⎭⎫⎝⎛+42的极限必为0,而0→nq 的充要条件是1<q ,于是解不等式142<+m . 零比零型的极限例 求xx x 11lim10-+→. 分析:这是一个00型的极限,显然当0→x 时,直接从函数x x 1110-+分子、分母中约去x 有困难,但是1110-+x 当0→x 时也趋近于0,此时x 化为1)1(1010-+x ,这就启发我们通过换元来解决这一难题,即设101x y +=,则110-=y x .解:设101x y +=,则110-=y x ,于是,当0→x 时,1→y .原式10111lim 11lim891101=++++=--=→→y y y y y y y Λ 说明:本题采用的换元法是把0→x 化为01→-y ,这是一种变量代换.灵活地运用这种代换,可以解决一些型的极限问题. 例如对于11lim 21--→x x x ,我们一般采用因式分解,然后约去1-x ,得到2)1(lim 1=+→x x .其实也可以采用这种代换,即设1-=x t ,则当1→x 时,0→t ,这样就有.2)2(lim 1)1(lim 11lim 02021=+=-+=--→→→t tt x x t t x 组合与极限的综合题例 ) (lim 1222=++∞→n n n n n C CA .0B .2C .21 D .41 分析:将组合项展开后化简再求极限.解: 1222lim ++∞→n n nn n C C.4126412lim )22)(12()1(lim)!22()!1()!1(!!)!2(lim 222=++++=+++=⎥⎦⎤⎢⎣⎡++⋅+⋅=∞→∞→∞→n n n n n n n n n n n n n n n n 故应选D .说明:本题考查组合的运算和数列极限的概念.高考填空题1.计算.________)2(lim =+∞→nn n n 2.若数列{}n a 的通项公式是)N ()1(1*∈+=n n n a n ,则.________)(lim 21=+∞→n n a n a3.计算:.________)13(lim =++∞→nn n n 1.解析 22222221221lim 2lim -+--+-∞→∞→=⎪⎭⎪⎬⎫⎪⎩⎪⎨⎧⎥⎦⎤⎢⎣⎡⎪⎭⎫ ⎝⎛+-+=⎪⎭⎫ ⎝⎛+-=⎪⎭⎫ ⎝⎛+e n n n n n n n nn n n说明:利用数列极限公式e n nn =⎪⎭⎫⎝⎛+∞→11lim ,把原题的代数式稍加变形即可获解.本题主要考查灵活运用数列极限公式的能力.2.解析 .21,)1(11=∴+=a n n a n Θ.23121)11121(lim )1(121lim 2=+=++=⎥⎦⎤⎢⎣⎡+⋅+∴∞→∞→nn n n n n说明:本题的思考障碍点是如何求1a ?——只要懂得在通项公式中令1=n ,可立得1a 的具体值,本题考查数列极限的基本知识.3.解析 nn n n )13(lim ++∞→ 21221)121(lim e n n n n n =⎥⎦⎤⎢⎣⎡++=++∞→说明:本题考查数列极限公式的应用.根据已知极限和四则运算求其它极限例 若12lim =∞→n n na ,且n n a ∞→lim 存在,则.________)1(lim =-∞→n n a nA .0B .21 C .21- D .不存在 分析:根据题设知n na 和n a 均存在极限,这是进行极限运算的前提,然后相减即可求得结论.解:,lim ,12lim 存在n n n n na na ∞→∞→=Θ0lim 021lim2lim lim =∴==∴∞→∞→∞→∞→n n n nn nn a n na a又21lim ,12lim ==∞→∞→n n n n na na ∴21210lim lim )(lim )1(lim =-=-=-=-∞→∞→∞→∞→n n n n n n n n n na a na a a n 即.21)1(lim -=-∞→n n a n选C .说明:n n a ∞→lim 是关键,不能错误地认为0lim =∞→n n a ,0)1(lim =-∞→n n a n .两个数列{}n a 、{}n b 的极限存在是两个数列的和.差、积存在极限的充分条件.但⎭⎬⎫⎩⎨⎧n n b a 的极限不一定存在.化简表达式再求数列的极限例 求下列极限 (1)⎪⎭⎫⎝⎛+++++++++∞→112171513lim 2222n n n n n n Λ(2)nnn 21412113191311lim ++++++++∞→ΛΛ (3)⎥⎦⎤⎢⎣⎡⎪⎭⎫ ⎝⎛+-⎪⎭⎫ ⎝⎛-⎪⎭⎫ ⎝⎛-⎪⎭⎫ ⎝⎛-∞→211511411311lim n n n Λ 分析:先运用等差数列、等比数列的前n 项公式求和,或运用其他方式化简所给表达式,再进行极限的四则运算.解:(1)原式1)12(753lim2++++++=∞→n n n Λ 11121lim 1)2(lim 22=++=++=∞→∞→nn n n n n n (2)原式nn n n nn ⎪⎭⎫ ⎝⎛-⎪⎭⎫ ⎝⎛-=⎥⎥⎦⎤⎢⎢⎣⎡⎪⎭⎫ ⎝⎛-⎥⎥⎦⎤⎢⎢⎣⎡⎪⎭⎫ ⎝⎛-=∞→∞→211311lim 34211231123lim4301013421lim 1lim 31lim 1lim 34=--⋅=⎪⎭⎫ ⎝⎛-⎪⎭⎫⎝⎛-=∞→∞→∞→∞→n n n nn n (3)原式.222lim 21544332lim =+=⎪⎭⎫ ⎝⎛++⋅⋅⋅=∞→∞→n n n n n n n Λ 说明:先化简,再求极限是求极限经常用到的方法,不能认为0112lim ,,015lim ,013lim 222=++=⎪⎭⎫⎝⎛+=⎪⎭⎫ ⎝⎛+∞→∞→∞→n n n n n n n Λ而得到(1)的结果是0. 无穷比无穷和字母讨论的数列极限例 求下列极限:(1)n n n n n 3423352lim 11⋅+⋅⋅-++∞→ (2))0(11lim>+-∞→a a a nnn 分析:第(1)题属“∞∞”型,一般方法是分子,分母同除以各式中幂的值最大的式子.第(2)题中当a 的值在不同范围内变化时,分子,分母的极限或变化趋势)不同,因此要分各种情形进行讨论.解:(1)原式432315322lim 342331522lim +⎪⎭⎫ ⎝⎛⋅-⎪⎭⎫ ⎝⎛⋅=⋅+⋅⋅-⋅=∞→∞→n nn n n n n n .41540315024lim 32lim 315lim 32lim 2-=+⨯-⨯=+⎪⎭⎫⎝⎛-⎪⎭⎫⎝⎛=∞→∞→∞→∞→n nn n nn (2)当10<<a 时,01111lim 11lim=+-=+-∞→∞→n n n n a a , 当1>a 时,.110101lim 1lim 1lim 1lim 1111lim 11lim -=+-=+⎪⎭⎫⎝⎛-⎪⎭⎫⎝⎛=+⎪⎭⎫ ⎝⎛-⎪⎭⎫ ⎝⎛=+-∞→∞→∞→∞→∞→∞→n n n n nn n n n n n n a a a a a a说明:含参数的式子求极限,经常要进行讨论,容易出现的问题是错误地认为0lim =∞→n n a .根据极限确定等比数列首项的取值范围例 已知等比数列{}n a 的首项为1a ,公比为q ,且有211lim 1=⎪⎪⎭⎫ ⎝⎛-+∞→n n q q a ,求1a 的取值范围.分析:由已知条件及所给式子的极限存在,可知nn q ∞→lim 存在,因此可得q 的取值范围,从而确定出1a 的取值范围.解:由211lim 1=⎪⎪⎭⎫⎝⎛-+∞→n n q q a ,得n n q ∞→lim 存在. ∴1<q 且0≠q 或1=q .. 当1<q 时,有2111=+q a , ∴121-=a q ,∴112<-a 解得101<<a ,又0≠q ,因此211≠a . 当1=q 时,这时有2112lim 1=⎪⎭⎫⎝⎛-∞→a n , ∴31=a . 综上可得:101<<a ,且211≠a 或31=a . 说明:在解决与数列有关的问题时,应充分注意相关知识的性质,仅从极限的角度出发来考虑q 的特点,容易将0≠q 这一条件忽视,从而导致错误.求函数在某一点处的极限例 求下列极限:(1)⎪⎪⎭⎫ ⎝⎛++++→22423lim 3322x x x x x (2)401335172lim 225++++→x x x x x (3)xx x 320cos 1sin lim -→ (4)⎪⎭⎫ ⎝⎛---→9631lim 23x x x 分析:第(1)题中,2=x 在函数的定义域内,可直接用极限的四则运算法则求极限;(2)、(3)两个极限分子、分母都趋近于0,属“00”型,必须先对函数变形,然后施行四则运算;(4)为“∞-∞”型,也应先对函数作适当的变形,再进行极限的运算.解:(1)22lim 423lim 22423lim 332223322++++=⎪⎪⎭⎫ ⎝⎛++++→→→x x x x x x x x x x x )2(lim 2lim )4(lim )23(lim 3232222++++=→→→→x x x x x x x x 2lim lim lim 24lim lim 2lim lim 32323223222→→→→→→→++++=x x x x x x x x x x x.513581222242223322=+=+⨯+++⨯= (2).18)5(7)5(2872lim )8)(5()72)(5(lim 401335172lim 55225-=+-+-⨯=++=++++=++++→→→x x x x x x x x x x x x x(3)xx x x x x x x x x x 20220320cos cos 1cos 1lim )cos cos 1)(cos 1(cos 1lim cos 1sin lim +++=++--=-→→→ .3211111=+++= (4).6133131lim 96)3(lim 9631lim 32323=+=+=--+=⎪⎭⎫⎝⎛---→→→x x x x x x x x 说明:不能错误地认为,由于31lim3-→x x 不存在,96lim 23-→x x 也不存在,因此(4)式的极限不存在.(4)属于“∞-∞”型,一般要先对函数式进行变形,变为“00”型或“∞∞”型,再求极限.函数在某一点处零比零型的极限例 求下列极限:(1)3111lim x x x --→ (2)xx x x 32sin sin tan lim -→π 分析:第(1)题中,当1→x 时,分子、分母的极限都是0,不能用商的极限的运算法则,应该先对分式变形,约去一个极限为零的因式后再应用极限的运算法则求分式的极限,常用的变换方法有:①对多项式进行因式分解;②对无理式分子或分母有理化;③对三角函数式(如第(2)题,先进行三角恒等变换,再约分.解:(1)原式)1)(1)((1()1)(1)(1(lim 32333231x x x x x x x x x +++-+++-=→.23111111)1(lim )1)(1()1)(1(lim 32313231=+++=+++=+-++-=→→xx x x x x x x x x (2)原式xx x x x x xx x x cos sin cos sin sin lim sin sin cos sin lim 3232⋅-=-=→→ππ .211)11(1cos )cos 1(1lim cos sin cos 1lim222=⨯+=⋅+=⋅-=→→x x x x x ππ 说明:如果分子、分母同乘以31x +,对(1)式进行变形,思维就会受阻,正确的方法是分子、分母同乘以分子、分母的有理化因式,分母的有理化因式是)1(323x x ++.。
极限计算练习题首先,让我们研究一些关于极限计算的练习题。
通过解答这些问题,我们将深入理解极限的概念,并熟悉常见的计算方法。
问题一:计算 $\lim_{x\to 2} (3x+1)$解答:对于这个问题,我们可以直接将 $x$ 替换为 2 来计算极限。
因此,我们有:$$\lim_{x\to 2} (3x+1) = 3(2) + 1 = 7$$因此,上述极限的结果为 7。
问题二:计算 $\lim_{x\to 0} \frac{\sin(x)}{x}$解答:这是一个经典的极限计算问题,也被称为正弦极限。
我们可以利用泰勒级数展开式来解决该问题。
根据泰勒级数展开式,我们有:$$\sin(x) = x - \frac{x^3}{3!} + \frac{x^5}{5!} - \frac{x^7}{7!} +\ldots$$如果我们将上式代入所给的极限,则会发现 $x$ 的系数逐渐消失,得到以下结果:$$\lim_{x\to 0} \frac{\sin(x)}{x} = \lim_{x\to 0} \left(1 - \frac{x^2}{3!} + \frac{x^4}{5!} - \frac{x^6}{7!} + \ldots\right) = 1$$因此,上述极限的结果为 1。
问题三:计算 $\lim_{x\to \infty} \left(1 + \frac{1}{x}\right)^x$解答:这个问题涉及到一个重要的极限,也就是自然对数的底,通常用 $e$ 来表示。
我们可以重写问题三的极限表达式:$$\lim_{x\to \infty} \left(1 + \frac{1}{x}\right)^x = \lim_{x\to \infty} \left(\left(1 + \frac{1}{x}\right)^x\right)$$我们知道,上述极限的结果是 $e$。
因此,问题三的答案为 $e$。
通过以上的练习题,我们巩固了极限计算的基本方法。
一、选择题1.若0()lim1sin x x xφ→=,则当x 0→时,函数(x)φ与( )是等价无穷小。
A.sin ||xB.ln(1)x -C.11.【答案】D 。
2.设f(x)在x=0处存在3阶导数,且0()lim 1tan sin x f x x x→=-则'''f (0)=( )A.5B.3C.1D.0 2.【答案】B.解析由洛必达法则可得30002()'()''()limlimlim1tan sin 2cos sin sin cos cos x x x f x f x f x x x x x xx x -→→→==-+-42200''()''()lim lim 16cos sin 2cos cos 21x x f x f x x x x x --→→===-++++可得'''f (0)3= 3.当x 0→时,与1x 133-+为同阶无穷小的是( ) A.3xB.34x C.32xD.x3.【答案】A.解析.12233312332000311(1)1133lim lim (1)3313x x x x x x x ---→→→-+⋅==+=选A 。
4.函数2sin f ()lim 1(2)nn xx x π→∞=+的间断点有( )个A.4B.3C.2D.14.【答案】C.解析.当0.5x >时,分母→∞时()0f x =,故20.5sin 12lim1(2(0.5))2n x π→--=-+⨯-, 20.5sin12lim1(20.5)2n x π→=+⨯,故,有两个跳跃间断点,选C 。
5.已知()bx xf x a e=-在(-∞,+∞)内连续,且lim ()0x f x →∞=,则常数a ,b 应满足的充要条件是( )A.a>0,b>0B.a ≤0,b>0C.a ≤0,b<0D.a>0,b<05.【答案】B 。
极限方程题型练习题答案随着教育水平的提高,数学的重要性日益凸显。
而在数学中,极限是一个关键的概念,涉及到许多不同的题型和解题方法。
本文旨在提供一些极限方程题型的练习题答案,帮助读者更好地理解和掌握这一知识点。
1. 问题:求极限lim(x→0) [(sin2x)/(x^2)]解答:我们可以使用泰勒级数展开来解决这个问题。
根据泰勒级数展开公式,sinx在x等于0的情况下的展开式为x-x^3/6。
将其代入题目中的极限式中得到:lim(x→0) [(sin2x)/(x^2)] = lim(x→0) [(2x-2x^3/3)/(x^2)] = lim(x→0) [2-2x^2/3] = 2-0 = 2。
因此,极限lim(x→0) [(sin2x)/(x^2)]等于2。
2. 问题:求极限lim(x→∞) [ln(x+1)/ln(x)]解答:我们可以利用洛必达法则来解决这个问题。
洛必达法则可以用于解决形如f(x)/g(x)形式的极限问题,其中f(x)和g(x)均可导。
不妨设f(x) = ln(x+1)和g(x) = ln(x),则我们可以直接对其求导:f'(x) = 1/(x+1) 和 g'(x) = 1/x。
根据洛必达法则,当x趋于正无穷时,lim(x→∞) [f(x)/g(x)] =lim(x→∞) [f'(x)/g'(x)],所以我们可以计算lim(x→∞) [f'(x)/g'(x)]:lim(x→∞) [f'(x)/g'(x)] = lim(x→∞) [(1/(x+1))/(1/x)] = lim(x→∞)[(x/(x+1))] = 1。
因此,极限lim(x→∞) [ln(x+1)/ln(x)]等于1。
通过以上两个解答示例,我们可以看到在解决极限方程题时,有时需要运用到泰勒级数展开和洛必达法则等更高级的数学工具。
这也反映了数学的深度和复杂性。
极限习题及答案极限的则运算极限习题及答案:1. 计算极限:lim(x→∞) (2x + 1)/(3x - 2)解:当 x 趋近无穷大时,分子和分母的最高次项都是 x,所以可以将 x 提取出来:lim(x→∞) (2x + 1)/(3x - 2)= lim(x→∞) (2 + 1/x)/(3 - 2/x)当 x 趋近无穷大时,1/x 趋近于 0,所以可以将其忽略:= lim(x→∞) (2 + 0)/(3 - 0)= 2/32. 计算极限:lim(x→0) (sin 3x)/(2x)解:当 x 趋近 0 时,sin 3x 趋近 0,所以可以将其忽略:lim(x→0) (sin 3x)/(2x)= lim(x→0) (3)/(2)= 3/23. 计算极限:lim(x→1) (x^2 - 1)/(x - 1)解:这个极限的形式是 0/0,我们可以尝试将其进行因式分解:(x^2 - 1)/(x - 1) = (x + 1)(x - 1)/(x - 1) = x + 1当 x 趋近 1 时,x + 1 趋近 2,所以极限为 2。
4. 计算极限:lim(x→∞) (e^x + 1)/(e^x - 1)解:当 x 趋近无穷大时,e^x 趋近无穷大,所以可以将其忽略:lim(x→∞) (e^x + 1)/(e^x - 1)= lim(x→∞) (1 + 1)/(1 - 1)= 2/0这个极限不存在。
5. 计算极限:lim(x→0) (1 - cos x)/(x^2)解:这个极限的形式是 0/0,我们可以尝试将其进行泰勒展开:1 - cos x = 1 - (1 - x^2/2 + x^4/4! - x^6/6! + .)= x^2/2 - x^4/4! + x^6/6! - 。
当 x 趋近 0 时,x^2/2 趋近 0,所以极限为 0。
这是一些常见的极限习题及答案,通过这些例子,你可以更好地理解极限的概念和运算法则。
极限150题答案解析第1这个系列一共分成六部分发出所有题目的解析均为笔者现做现发,时间较为匆忙,如果有错误之处还请读者在评论区指出如果有不懂的地方也欢迎在评论区留言讨论,也可以加入我主页的数学群讨论问题在纠错或提问之前,请务必自己做计算在一些解题过程中,省略了加减乘除等不重要的化简运算。
不自己算,可能会跳过解题步骤,或者误以为分析错了光看对提高数学水平没有帮助以下为150题链接:极限必做150题1\lim\limits_{x\to0}\frac{1}{x}\left( \frac{1}{\sin x}-\frac{1}{\tan x} \right)=\lim\limits_{x\to0}\frac{\tan x-\sin x}{x\tan x\sin x}=\lim\limits_{x\to0}\frac{\tan x\left( 1-\cos x\right)}{x^{3}}=\lim\limits_{x\to0}\frac{x\frac{1}{2}x ^{2}}{x^{3}}=\frac{1}{2}2\lim\limits_{x\to0}\frac{\ln\left( a+x\right)+\ln\left( a-x \right)-2\ln a}{x^{2}}=\lim\limits_{x\to0}\frac{\ln\left( 1+\frac{x}{a}\right)+\ln\left( 1-\frac{x}{a} \right)}{x^{2}}=\lim\limits_{x\to0}\frac{\left( \frac{x}{a} -\frac{1}{2}\frac{x^{2}}{a^{2}}\right)+\left( -\frac{x}{a}-\frac{1}{2}\frac{x^{2}}{a^{2}}\right)+o\left( x^{2}\right)}{x^{2}}=-\frac{1}{a^{2}}3\lim\limits_{x\to0}\frac{\sqrt{1-\cos x^{2}}}{1-\cos x}=\lim\limits_{x\to0}\frac{\sqrt{\frac{1}{2}x^{4}}}{\ frac{1}{2}x^{2}}=\sqrt{2}本题与第77题类似,但第77题的结果却是极限不存在,请读者思考原因4\lim\limits_{x\to a}\frac{\sqrt{x}-\sqrt{a}+\sqrt{x-a}}{\sqrt{x^{2}-a^{2}}}=\lim\limits_{x\to a}\frac{\sqrt{x}-\sqrt{a}}{\sqrt{x^{2}-a^{2}}}+\lim\limits_{x\toa}\frac{\sqrt{x-a}}{\sqrt{x^{2}-a^{2}}}=\lim\limits_{x\to a}\frac{x-a}{\left( \sqrt{x}+\sqrt{a} \right)\sqrt{x^{2}-a^{2}}}+\lim\limits_{x\to a}\frac{1}{\sqrt{x+a}}=\lim\limits_{x\to a}\frac{\sqrt{x-a}}{\left( \sqrt{x}+\sqrt{a}\right)\sqrt{x+a}}+\frac{1}{\sqrt{2a}}=\frac{1}{\sqrt{2a}}5\lim\limits_{x\to0}\frac{\sqrt{1+x}-\sqrt{1+x^{2}}}{\sqrt{1+x}-1}=\lim\limits_{x\to0}\frac{\left( 1+\frac{1}{2}x+o\left ( x \right) \right)-\left( 1+\frac{1}{2}x^{2}+o\left( x^{2} \right)\right)}{\frac{1}{2}x}=\lim\limits_{x\to0}\frac{x-x^{2}+o\left( x\right)}{x}=16\lim\limits_{x\to0}\frac{\tan mx}{\sinnx}=\lim\limits_{x\to0}\frac{mx}{nx}=\frac{m}{n}7\lim\limits_{x\to0}\frac{\ln\left( 1+x+x^{2}\right)+\ln\left( 1-x+x^{2} \right)}{\sec x-\cos x}=\lim\limits_{x\to0}\frac{\cos x}{1+\cosx}\frac{\ln\left( 1+x+x^{2} \right)+\ln\left( 1-x+x^{2} \right)}{1-\cos x}=\lim\limits_{x\to0}\frac{\left[ \left(x+x^{2} \right) -\frac{1}{2}\left( x+x^{2} \right)^{2}+o\left( x^{2}\right)\right]+\left[ \left( x^{2} -x\right) -\frac{1}{2}\left( x^{2} -x\right)^{2}+o\left( x^{2} \right)\right] }{x^{2}}=\lim\limits_{x\to0}\frac{x^{2}+o\left( x^{2}\right)}{x^{2}}=18\lim\limits_{x\to0}\frac{1}{x}\ln\frac{e^{x}+e^{2x}+\c dots+e^{nx}}{n}=\lim\limits_{x\to0}\frac{\ln\left( e^{x}+e^{2x}+\cdots+e^{nx} \right)-\ln n}{x}=\lim\limits_{x\to0}\frac{e^{x}+2e^{2x}+\cdots+ne^{nx} }{e^{x}+e^{2x}+\cdots+e^{nx}}=\frac{\frac{n\left( n+1 \right)}{2}}{n}=\frac{n+1}{2} 9\lim\limits_{n\to\infty}\sin\left( \sqrt{n^{2}+a^{2}}\pi \right)=\left( -1 \right)^{n}\lim\limits_{n\to\infty}\sin\pi\left( \sqrt{n^{2}+a^{2}} -n\right)=\left( -1 \right)^{n}\lim\limits_{n\to\infty} \sin \left( \frac{a^{2}\pi}{\sqrt{n^{2}+a^{2}}+n} \right)=\left( -1 \right)^{n}\lim\limits_{n\to\infty}\frac{a^{2}\pi}{\sqrt{n^{2}+a^{2}}+n}=010\lim\limits_{n\to\infty}\left( \frac{3n^{2}-2}{3n^{2}+4} \right)^{n\left( n+1\right)}=\lim\limits_{n\to\infty}e^{n\left( n+1\right)\ln\left(1 -\frac{6}{3n^{2}+4} \right)}=\lim\limits_{n\to\infty} e^{n\left( n+1\right)\left( -\frac{6}{3n^{2}+4} \right)}=e^{-2}11\lim\limits_{n\to\infty}\left( \frac{2n+1}{2n-1}\right)^{n}=\lim\limits_{n\to\infty}e^{n\ln\left( 1+\f rac{2}{2n-1} \right)}=\lim\limits_{n\to\infty}e^{\frac{2n}{2n-1}}=e12\lim\limits_{n\to\infty}\left( \frac{\sqrt[n]{a}+\sqrt [n]{b}}{2} \right)^{n}=\lim\limits_{n\to\infty}e^{n\ln\left( 1+\frac{\sqrt[n ]{a}+\sqrt[n]{b}}{2}-1 \right)}=\lim\limits_{n\to\infty}e^{n\frac{\sqrt[n]{a}+\sqrt[n ]{b}-2}{2}}=e^{\lim\limits_{n\to\infty}n\frac{e^{\frac{1}{n}\ln a}-1}{2}+\lim\limits_{n\to\infty}n\frac{e^{\frac{1}{n}\ln b}-1}{2}}=e^{\frac{\ln a+\ln b}{2}}=\sqrt{ab}13\lim\limits_{n\to\infty}n^{2}\left[ e^{2+\frac{1}{n}} +e^{2-\frac{1}{n}}-2e^{2}\right]=\lim\limits_{n\to\infty}n^{2}e^{2}\left[ \left( 1+\fr ac{1}{n} +\frac{1}{2}\frac{1}{n^{2}}\right) +\left( 1-\frac{1}{n}+\frac{1}{2}\frac{1}{n^{2}}\right)+o\left( \frac{1}{n^{2}}\right)-2\right]=e^{2}14\lim\limits_{n\to\infty}n\left( a^{\frac{1}{n}}-1\right)=\lim\limits_{n\to\infty}n\left( e^{\frac{1}{n} \ln a}-1 \right)=\lim\limits_{n\to\infty}n\frac{1}{n}\ln a=\ln a15\lim\limits_{n\to\infty}\left( \frac{\sqrt{n^{2}+1}}{n +1} \right)^{n}=\lim\limits_{n\to\infty}\left( \sqrt{\frac{n^{2}+1}{n ^{2}+1+2n}} \right)^{n}=\lim\limits_{n\to\infty}\left( 1-\frac{2n}{n^{2}+1+2n} \right)^{\frac{n}{2}}=\lim\limits_{n\to\infty}e^{\frac{n}{2}\ln\left( 1-\frac{2n}{n^{2}+1+2n} \right)}=\lim\limits_{n\to\infty}e^{\frac{n}{2}\left( -\frac{2n}{n^{2}+1+2n} \right)}16解法参考第2题答案为: -\frac{1}{a^{2}}17\lim\limits_{n\to\infty}n\left( e^{\frac{a}{n}}-e^{\frac{b}{n}} \right)=\lim\limits_{n\to\infty}ne^{\xi}\frac{a-b}{n} , \xi 介于 \frac{a}{n} 和 \frac{b}{n} 之间=\lim\limits_{\xi\to0}\left( a-b \right)e^{\xi}=a-b本题用等阶无穷小和洛必达也可解(略)本题拓展练习,请点击链接18\lim\limits_{n\to\infty}\left( \frac{1}{n}+e^{\frac{1}{n}}\right)^{n}=\lim\limits_{n\to\infty}e^{n\ln\left( \frac{1}{n}+e^{ \frac{1}{n}} \right)},t=\frac{1}{n}=\lim\limits_{t\to0}e^{\frac{\ln\left( t+e^{t}\right)}{t}}=\lim\limits_{t\to0}e^{\frac{1+e^{t}}{t+e^{t}}}19\lim\limits_{n\to\infty}n\left[ \ln\left( n+1 \right)-\ln n \right]=\lim\limits_{x\to+\infty}x\left[ \ln\left( x+1\right)-\ln x\right]=\lim\limits_{x\to+\infty}x\frac{1}{\xi}\left( x+1-x \right) , \xi 介于 x 和 x+1 之间=1本题用洛必达和等价无穷小也可解(略)20\lim\limits_{x\to-1}\frac{x^{2}-1}{\ln \left| x\right|}=\lim\limits_{x\to-1}\frac{x^{2}-1}{\ln\left(- x\right)}=\lim\limits_{x\to-1}\frac{2x}{\frac{1}{x}}=221\lim\limits_{x\to+\infty}x\left[ \ln\left( x+1\right)-\ln\left( x -1\right) \right]=\lim\limits_{x\to+\infty}x\frac{1}{\xi}\left[ \left( x+1 \right)-\left( x-1 \right) \right] , \xi 介于 x 和 x+1 之间=2本题用洛必达和等价无穷小也可解(略)22\lim\limits_{x\to0}\frac{\ln\cos x}{x^{2}}=\lim\limits_{x\to0}\frac{\cos x-1}{x^{2}}=\lim\limits_{x\to0}\frac{-\frac{1}{2}x^{2}}{x^{2}}=-\frac{1}{2}23\lim\limits_{x\to+\infty}x\left[ \left( x+2\right)\ln\ left( x+2 \right) -2\left( x+1 \right)\ln\left( x+1 \right)+x\ln x\right]=\lim\limits_{x\to+\infty}x\left\{ \left[ \left( x+2 \right) \ln\left( x+2 \right)-\left( x+1\right)\ln\left( x+1 \right)\right] -\left[ \left( x +1\right) \ln\left( x+1 \right)-x\lnx\right]\right\}=\lim\limits_{x\to+\infty}x\ln\left( 1 +\frac{1}{\xi} \right)\left[ \left( x+1 \right) -\left( x \right)\right], \xi 介于 x 和 x+1 之间=\lim\limits_{x\to +\infty}x\frac{1}{\xi}=1本题用洛必达和泰勒展开也可解(略)24\lim\limits_{x\to0}\left( \sqrt{x^{2}+1}+x\right)^{\frac{1}{x}}=\lim\limits_{x\to0}e^{\frac{\ln\left( \sqrt{x^{2}+1}+ x \right)}{x}}=\lim\limits_{x\to0}e^{\frac{\frac{x}{\sqrt{x^{2}+1}}+ 1}{\sqrt{x^{2}+1}+x}}=e25\lim\limits_{x\to0}\left( \cos \sqrt{x}\right)^{\frac{1}{x}}=\lim\limits_{x\to0}e^{\frac{\ln \cos\sqrt{x}}{x}}=\lim\limits_{x\to0}e^{\frac{\cos\sqrt{x}-1}{x}}=\lim\limits_{x\to0}e^{\frac{-\frac{1}{2}x}{x}}=e^{-\frac{1}{2}}。
(完整word版)第⼀章求极限练习题答案1.求下列极限:(1) 2221lim (1)n n n n →∞++- 解:原式=2221lim 21n n n n n →∞++-+=22112lim 211n n n n n→∞++-+=2 (2) 20lim(1)x x x →+解:原式=12lim[(1)]x x x →+=2e(3) 32lim3x x →- 解:原式=3x →=x →=14(4) 1lim (1)x x x e →∞-解:原式=1(1)lim1xx e x→∞-=1(5) 0x ≠当时,求lim cos cos cos 242n n x x x→∞L .解:原式=cos cos (2cos sin )2422lim2sin 2n n n n x x x x x →∞L =1cos sin22lim 2sin 2n n nx x x →∞-=sin lim 2sin 2n nn x x →∞ =sin 2lim()sin 2n n n x x x x →∞g =sin x x(6) 21sinlim x x 解:原式=21limx x g=limx=limx=(7)22212lim()12n nn n n n n n n→∞+++++++++L 解:令2221212n ny n n n n n n n=+++++++++L 因 2222(1)(1)12122211n n n n n n ny n n n n n n n n n n ++++++++=≤≤=++++++++L L ⽽2(1)12lim 2n n n n n n →∞+=++, 2(1) 12lim 12n n n n n →∞+=++,故222121n n n n n n n n n →∞+++=++++++L(8) n →∞解:原式=2n n →∞→∞==1.3 函数的极限作业1. 根据函数极限的定义,验证下列极限: (1) 3 1lim0x x→∞= 解: 0ε?>,要使3311|0|||x x ε-=<,即||x >只要取X =,则当||x X >时,恒有 31|0|x ε-<, 所以31lim 0x x →∞=.(2) 42x →= 解: 0ε?>,要使|4||2|2x ε-=<<,则当0|4|x δ<-<时,恒有|2|ε<,所以42x →=. 2. 求下列数列极限:(1) 22212lim()12n nn n n n n n n→∞+++++++++L 解:令2221212n ny n n n n n n n =+++++++++L 因 2222(1)(1)12122211n n n n n n ny n n n n n n n n n n ++++++++=≤≤=++++++++L L ⽽2(1)12lim 2n n n n n n →∞+=++, 2(1) 12lim 12n n n n n →∞+=++,故222121lim()122n n n n n n n n n →∞+++=++++++L(2) n →∞解:原式=2n n →∞→∞==3.求下列函数极限:(1) 225lim 3x x x →+- 解:原式=-9(2) 224lim 2x x x →-- 解:原式=2 lim(2)x x →+=4(3) 21lim1x x →-解:原式=14x x →→==-(4) x →∞ 解:原式=0x =(5) 2(21)(32)lim (21)x x x x →∞--+ 解:原式=226723lim4412x x x x x →∞-+=++ (6) 2121lim()11x x x →--- 解:原式=211(1)11lim lim 112x x x x x →→---==--+ 4. 设23 2 0() 1 01 1 x>11x x f x x x x ?+≤=+<≤-? ,分别讨论()f x 在0x →,1x →和2x →时的极限是否存在.解:0lim ()2x f x -→=,0lim ()1x f x +lim ()x f x →不存在. 1lim ()2x f x -→=,1lim ()x f x +→趋向⽆穷⼤,故1lim ()x f x →不存在. 2lim ()1x f x -→=,2lim ()1x f x +→=,故2lim ()1x f x →=.1.43.求下列函数极限:(1) 225lim 3x x x →+-=-9(3) 224lim 2x x x →--=2lim(2)x x →+=4 1x →14x x →→==-(7) 000h h h →→→===(9) x →∞=0x =(11) 2(21)(32)lim (21)x x x x →∞--+=226723lim 4412x x x x x →∞-+=++(13) limlim0x x == (15) 2121lim()11x x x →---=211(1)11lim lim 112x x x x x →→---==--+ 2. 设10100()01112x x x f x x x x -?==<极限,并说明这两点的极限是否存在. 解:001lim ()lim11x x f x x --→→-==-,00lim ()lim 0x x f x x ++→→==,00lim ()lim ()x x f x f x -+→→≠ 故lim ()x f x →不存在.11lim ()lim 1x x f x x --→→==,11lim ()lim11x x f x ++→→== 11lim ()lim ()x x f x f x -+→→= 1lim ()1x f x →=. 1.51.求下列极限:(1) 0sin 3sin 3lim lim 333x x x xx x→→=?=00tan 333(3)limlim sin 444x x x x x x →→==222200022sin 222(5)lim 2sin 224()2x x x x x x x xx→→→?===? 注:在0(0,)U δ,2sin 02x ≥.222000222(5)lim 2sin24x x x x x x x →→→===(7) 02cos lim sin 2x x x →解: 原式=2021sin cos lim sin cos )2x x x x=2002sin sin lim sin 2x x x x x x →→+g =2021sin sin lim2()2x x x xx →+220sin sin 2lim ()x x x x x →=+=4 注意: 代数和中的⼀部分不能⽤⽆穷⼩替换. 错原式=0x →220212lim 1cos )4x x x x x →+ (8) 01sin cos lim1sin cos x x xx xββ→+-+-解: 原式=2022sin cos 2sin 222lim 2sin cos 2sin 222x x x x x x x βββ→++=0sin (cos sin ) 222lim sin (cos sin )222x x x x x x x βββ→++=00sin cos sin 222limlim sin cos sin222x x x x x x x x βββ→→++g =02lim 12x x x β→g =1β注意: 代数和的⼀部分不能⽤⽆穷⼩替换.错 01sin cos lim 1sin cos x x x x x ββ→+-+-=202112lim 12x x x x x βββ→+=+ 33333(9)lim(1)lim[(1)]xx x x e x x →∞→∞+=+=244424(11)lim()lim[(1)]22x x x x x e x x +---→∞→∞--=+=++330(13)lim(13)lim[(13)]x x x x x x e →→+=+=4. 当0x →时,下列函数中哪些是x 的⾼阶⽆穷⼩,哪些是x 的同阶⽆穷⼩,哪些是x的低阶⽆穷⼩?32(1)1000x x +322001000lim lim (1000)0x x x x x x x→→+=+=解:因为 321000()x x o x +=所以3(2)2sin x 32002sin sin lim lim 2sin 0x x x x x x x→→=?=解:因为 3sin ()x o x =所以(3) ln(1)x +解: 100ln(1)limlim ln(1)1x x x x x x→→+=+=因为ln(1)~x x +所以 (4) 1cos x -解: 2002sin sin1cos 22limlim lim(sin )022x x x x xxx xxx →→→-===g 因为,1cos ()x o x -=所以(5) sin x x + 解: 因为 0sin limx x x x →+=0sin lim(1)x xx→+=2,故sin x x +是x 的同阶⽆穷⼩.(6): 因为0x →=1312033sin 11lim[())cos x x xx x →g g =∞,故是x的低阶⽆穷⼩.或:因为0x →=0x →0x →x 的低阶⽆穷⼩. 思考题:1.11331lim (39)lim 9(1)3x x xx xx x x x →+∞→+∞+=+g g =1331lim 9[(1)]3x xx x x →+∞+g =90e =9 2.0arccot limx x x →=∞,因为当0x →时,arccot 2 x π→.习题2.2 1.求下列函数的导数:2(1)cos y x x =+解:'sin 2y x x =-+=2cos (sin )()'222x x x -g g =2cos (sin )22x x -gcos sin 22x x -g(7)sin 3y x =解:'3cos3y x =2(9)sin(1)y x x =++解:2'(21)cos(1)y x x x =+++3(11)ln y x =解:1139'(ln )'(3ln )'222y x x x x x=+=+=(6) 6(21)y x =+解:5'6(21)2y x =+g =512(21)x + (10) ln(ln )y x =解:1'(ln )'ln y x x ==11ln x x g(11)ln ln(sin )y x =解:1'(sin )'sin y x x =+1cos sin x x +g2.在下列⽅程中,求隐函数的导数: (1)cos()y x y =+解:'sin()(1')y x y y =-+?+(2)222333x y a +=解:113322x y y --+=3. 求反函数的导数:(1)ln y x x =+解:1111dx dy dy dx x==+(2) arcsin x y e =解:sin ln x y =,故1cos ln dx y dyy=?=4. 求下列函数的导数(1) 2sin y x x =解:'y =22sin cos x x x x + 3(3)ln y x x=23221'3ln 3ln y x x x x x x x=+=+解: (5) 1ln 1ln xy x-=+解:21ln 1ln '(1ln )x xx x y x +---=+211ln y x=-++ 22212'0(1ln )(1ln )y x x x x =-=-++ (7) 21cosy x x=解1'2cos y x x =+2x 1(sinx -12cos x x +2x 1(sin)x -(9)ln(y x ='y x =+==解:(10)12(0)xxy x e a =->解:112'2xxy xe x e =+g g(ln (x x a a a --(11) arccos ln x y x = -arccos ln(1ln xy x x=--解:1'y x=-+2arccos 1x x x =-+2arccos x x =- ln (13)x y x =2ln ln (ln )x x x y e e ?==解: ln ln 11'2ln 2ln x x y x x x x x-=??=? (14) cos (sin )xy x =解:ln cos lnsin y x x =Q ,对该式两边求导数得11'sin ln sin cos cos sin y x x x x y x=-+cos '(sin )(sin ln sin cos tan )x y x x x x x ∴=-+ (15) y x =11ln ln ln(1)ln(1)22y x x x =+--+Q ,对该式两边求导数得1111'2(1)2(1)y yxx x =---+arcsin lnx y x =-解:'[ln(1(ln )'y x =++(11x +(2)x -1x +1x4. 求反函数的导数:(1)ln y x x =+解:1111dx dy dydx x==+arcsin x y e =解:sin ln x y =,故=?=求下列参数⽅程的导数'y : 211(1)(1)x t t y t ?=?+?=+242(1)2(1)'()1(1)1'()1(1)t t t dy y t t t dx x t t t +-?+-+===+-+解:(2)3233131at x t at y t ?=??+??=?+? 解:322332323326(1)333(2)(1)3(1)333(12)(1)at t at t dydy at t t dt dx a x at t dxa t dt t +-?-+===+-?-+(3)2ln(1)arctan x t y t t ?=+?=-? 解:222111221dy dyt dt tdx t dx t dt t-+===+2.若()F x 在点a 连续,且()0F x ≠。
极限练习题含答案极限是数学分析中的一个重要概念,它描述了当自变量趋近于某个值时,函数值的行为。
下面是一些极限练习题及其答案,供同学们学习和练习。
练习题1:求极限\[ \lim_{x \to 0} \frac{\sin x}{x} \]答案1:根据洛必达法则或者直接使用三角函数的性质,我们可以知道:\[ \lim_{x \to 0} \frac{\sin x}{x} = 1 \]练习题2:求极限\[ \lim_{x \to \infty} \frac{3x^2 + 2x + 1}{x^2 - 3x + 2} \]答案2:分子和分母同时除以\( x^2 \),得到:\[ \lim_{x \to \infty} \frac{3 + \frac{2}{x} +\frac{1}{x^2}}{1 - \frac{3}{x} + \frac{2}{x^2}} = 3 \]练习题3:求极限\[ \lim_{x \to 0} (1 + x)^{1/x} \]答案3:这是e的极限定义,即:\[ \lim_{x \to 0} (1 + x)^{1/x} = e \]练习题4:求极限\[ \lim_{x \to 1} \frac{1}{x - 1} \]答案4:这是一个无穷小量的倒数,当\( x \)趋近于1时,\( x - 1 \)趋近于0,所以:\[ \lim_{x \to 1} \frac{1}{x - 1} \text{ 不存在} \]练习题5:求极限\[ \lim_{x \to 0} \frac{\sin 2x}{\sin 3x} \]答案5:分子分母同时除以\( \sin x \),得到:\[ \lim_{x \to 0} \frac{2}{3} \cdot \frac{\sin x}{x} \cdot\frac{\sin 2x}{\sin 3x} = \frac{2}{3} \cdot 1 \cdot 1 =\frac{2}{3} \]练习题6:求极限\[ \lim_{x \to 0} x \cdot \tan x \]答案6:使用洛必达法则或者直接利用三角函数的性质,我们可以得到:\[ \lim_{x \to 0} x \cdot \tan x = \lim_{x \to 0} \frac{\sin x}{\cos x} = 0 \]练习题7:求极限\[ \lim_{x \to \infty} \frac{\sin x}{x} \]答案7:当\( x \)趋近于无穷大时,\( \sin x \)的值在-1和1之间波动,但相对于\( x \)来说,它趋近于0,所以:\[ \lim_{x \to \infty} \frac{\sin x}{x} = 0 \]练习题8:求极限\[ \lim_{x \to 0} \frac{e^x - 1}{x} \]答案8:这是e的导数的极限定义,即:\[ \lim_{x \to 0} \frac{e^x - 1}{x} = 1 \]以上练习题和答案可以帮助同学们更好地理解和掌握极限的概念和求解方法。
自变量趋向无穷时函数的极限例 求下列极限:(1)42242115lim x x x x x --+-∞→(2)⎪⎪⎭⎫⎝⎛+--∞→1212lim 223x x x x x 分析:第(1)题中,当∞→x 时,分子、分母都趋于无穷大,属于“∞∞”型,变形的一般方法是分子、分母同除以x 的最高次幂,再应用极限的运算法则.第(2)题中,当∞→x 时,分式1223-x x 与122+x x 都趋向于∞,这种形式叫“∞-∞”型,变形的一般方法是先通分,变成“∞∞”型或“00”型,再求极限.解:(1)211151lim 2115lim 24424224--+-=--+-∞→∞→xx x x x x x x x x .212000012lim 1lim 1lim 1lim 5lim 1lim 2442-=--+-=--+-=∞→∞→∞→∞→∞→∞→x x x x x x x x xx(2))12)(12()12()12(lim 1212lim 2223223+---+=⎪⎪⎭⎫ ⎝⎛+--∞→∞→x x x x x x x x x x x x )12)(12(11lim)12)(12(lim2223xx xx x xx x x +-+=+-+=∞→∞→ 41)02)(02(01)12(lim )12(lim )11(lim 2=+-+=+-+=∞→∞→∞→xx x x x x说明:“∞∞”型的式子求极限类似于数列极限的求法.无穷减无穷型极限求解例 求极限:(1))11(lim 22x x x x x +--++-∞→(2))11(lim 22x x x x x +--+++∞→分析:含根式的函数求极限,一般要先进行变形,进行分子、分母有理化,再求极限. 解:(1)原式22112limxx x x xx +-+++=-∞→222112limxx x x x x +-+++-=-∞→.11111112lim22-=+-+++-=-∞→x xx xx(2)原式22112limxx x x xx +-+++=+∞→.11111112lim22=+-+++=+∞→x xx xx说明:当<x 时,2x x ≠,因此211111121122222→+-+++≠+-+++x xx xxx x x x.利用运算法则求极限例 计算下列极限: (1)⎪⎭⎫⎝⎛+-+++++++∞→123171411lim 2222n n n n n n ; (2)()⎥⎦⎤⎢⎣⎡-+++--∞→n n n 3112719131lim 1 . (1992年全国高考试题,文科难度0.63)解: (1)原式()11321lim 2+-=∞→n n n n()232213lim 123lim 222=+-=+-=∞→∞→nn n n n n n . (2)原式⎪⎭⎫ ⎝⎛--⎥⎥⎦⎤⎢⎢⎣⎡⎪⎭⎫ ⎝⎛--=∞→31131131limnn[]41014131141lim =-=⎥⎥⎦⎤⎢⎢⎣⎡⎪⎭⎫⎝⎛--=∞→nn .说明:该题计算时,要先求和,再求所得代数式的极限,不能将只适用有限个数列的加、减、乘、除的数列极限的四则运算法则,照搬到无限个数列的加、减、乘、除,超出了法则的适用范围,下面的计算是错误的: (1)原式123lim14lim 11lim 222+-+++++=∞→∞→∞→n n n n n n n (2)原式()4131131027********lim 271lim 91lim 31lim 1=⎪⎭⎫ ⎝⎛--=+++-=-+++-=-∞→∞→∞→∞→ n n n n n n 用二项式定理展开或逆用等比数列和公式化简求极限例 设*N p ∈,求nn p n 1111lim1-⎪⎭⎫ ⎝⎛++∞→.分析:把111+⎪⎭⎫⎝⎛+p n 用二项式定理展开或逆用等比数列和公式即可求得.解:111221111)1()1(1111++++++++++=⎪⎭⎫ ⎝⎛+p p p p p p nC n C n C n pp p p p p p nC C n C n C nn )1()1(111111131221111++++++++++=-⎪⎭⎫ ⎝⎛+∴11111lim 111+==-⎪⎭⎫ ⎝⎛+∴++∞→p C nn p p n或:逆用等比数列求和公式:原式⎥⎥⎦⎤⎢⎢⎣⎡⎪⎭⎫ ⎝⎛+++⎪⎭⎫ ⎝⎛++⎪⎭⎫ ⎝⎛++=∞→pn n n n 1111111lim 211111+=+++=+p p个说明:要注意p 是与n 无关的正整数,111+⎪⎭⎫⎝⎛+p n 不是无限项,对某些分式求极限应先对式子进行必要的变形,使之成为便于求极限的形式,以利问题的解决,经常用到的技巧是分母、分子有理化或按二项式定理展开等等.零乘无穷型转化为无穷除无穷型例 求.)1(lim n n n n -+∞→分析:当∞→n 时,所求极限相当于∞⋅0型,需要设法化为我们熟悉的∞∞型. 解: n n n n )1(lim -+∞→.211111lim 1lim)1()1)(1(lim =++=++=++++-+=∞→∞→∞→nnn n n n n n n n n n n n说明:对于这种含有根号的∞⋅0型的极限,可采取分子有理化或分母有理化来实现.如本题是通过分子有理化,从而化为nn n++1,即为∞∞型,也可以将分子、分母同除以n的最高次幂即n ,完成极限的计算.根据极限确定字母的范围例 已知161)2(44lim 2=+++∞→n n n n m ,求实数m 的取值范围. 分析:这是一个已知极限的值求参数的范围问题,我们仍然从求极限入手来解决.解:16142161lim )2(44lim 2=⎪⎭⎫⎝⎛++=++∞→+∞→nn n n nn m m 于是142<+m ,即26,424<<-<+<-m m . 说明:在解题过程中,运用了逆向思维,由16142161lim =⎪⎭⎫⎝⎛++∞→n n m 可知,nm ⎪⎭⎫⎝⎛+42的极限必为0,而0→nq 的充要条件是1<q ,于是解不等式142<+m . 零比零型的极限例 求xx x 11lim10-+→. 分析:这是一个00型的极限,显然当0→x 时,直接从函数x x 1110-+分子、分母中约去x 有困难,但是1110-+x 当0→x 时也趋近于0,此时x 化为1)1(1010-+x ,这就启发我们通过换元来解决这一难题,即设101x y +=,则110-=y x .解:设101x y +=,则110-=y x ,于是,当0→x 时,1→y .原式10111lim 11lim891101=++++=--=→→y y y y y y y 说明:本题采用的换元法是把0→x 化为01→-y ,这是一种变量代换.灵活地运用这种代换,可以解决一些型的极限问题. 例如对于11lim 21--→x x x ,我们一般采用因式分解,然后约去1-x ,得到2)1(lim 1=+→x x .其实也可以采用这种代换,即设1-=x t ,则当1→x 时,0→t ,这样就有.2)2(lim 1)1(lim 11lim 02021=+=-+=--→→→t tt x x t t x 组合与极限的综合题例 ) (lim 1222=++∞→n n nn n C CA .0B .2C .21 D .41 分析:将组合项展开后化简再求极限.解: 1222lim ++∞→n n nn n C C.4126412lim )22)(12()1(lim)!22()!1()!1(!!)!2(lim 222=++++=+++=⎥⎦⎤⎢⎣⎡++⋅+⋅=∞→∞→∞→n n n n n n n n n n n n n n n n 故应选D .说明:本题考查组合的运算和数列极限的概念.高考填空题1.计算.________)2(lim =+∞→nn n n 2.若数列{}n a 的通项公式是)N ()1(1*∈+=n n n a n ,则.________)(lim 21=+∞→n n a n a3.计算:.________)13(lim =++∞→nn n n1.解析 22222221221lim 2lim -+--+-∞→∞→=⎪⎭⎪⎬⎫⎪⎩⎪⎨⎧⎥⎦⎤⎢⎣⎡⎪⎭⎫ ⎝⎛+-+=⎪⎭⎫ ⎝⎛+-=⎪⎭⎫ ⎝⎛+e n n n n n n n nn n n说明:利用数列极限公式e n nn =⎪⎭⎫⎝⎛+∞→11lim ,把原题的代数式稍加变形即可获解.本题主要考查灵活运用数列极限公式的能力.2.解析 .21,)1(11=∴+=a n n a n.23121)11121(lim )1(121lim 2=+=++=⎥⎦⎤⎢⎣⎡+⋅+∴∞→∞→nn n n n n说明:本题的思考障碍点是如何求1a ?——只要懂得在通项公式中令1=n ,可立得1a 的具体值,本题考查数列极限的基本知识.3.解析 nn n n )13(lim ++∞→ 21221)121(lim e n n n n n =⎥⎦⎤⎢⎣⎡++=++∞→说明:本题考查数列极限公式的应用.根据已知极限和四则运算求其它极限例 若12lim =∞→n n na ,且n n a ∞→lim 存在,则.________)1(lim =-∞→n n a nA .0B .21 C .21- D .不存在 分析:根据题设知n na 和n a 均存在极限,这是进行极限运算的前提,然后相减即可求得结论.解:,lim ,12lim 存在n n n n na na ∞→∞→=0lim 021lim2lim lim =∴==∴∞→∞→∞→∞→n n n nn nn a n na a又21lim ,12lim ==∞→∞→n n n n na na ∴21210lim lim )(lim )1(lim =-=-=-=-∞→∞→∞→∞→n n n n n n n n n na a na a a n 即.21)1(lim -=-∞→n n a n选C .说明:n n a ∞→lim 是关键,不能错误地认为0lim =∞→n n a ,0)1(lim =-∞→n n a n .两个数列{}n a 、{}n b 的极限存在是两个数列的和.差、积存在极限的充分条件.但⎭⎬⎫⎩⎨⎧n n b a 的极限不一定存在.化简表达式再求数列的极限例 求下列极限 (1)⎪⎭⎫⎝⎛+++++++++∞→112171513lim 2222n n n n n n (2)nnn 21412113191311lim ++++++++∞→ (3)⎥⎦⎤⎢⎣⎡⎪⎭⎫ ⎝⎛+-⎪⎭⎫ ⎝⎛-⎪⎭⎫ ⎝⎛-⎪⎭⎫ ⎝⎛-∞→211511411311lim n n n 分析:先运用等差数列、等比数列的前n 项公式求和,或运用其他方式化简所给表达式,再进行极限的四则运算.解:(1)原式1)12(753lim2++++++=∞→n n n11121lim 1)2(lim 22=++=++=∞→∞→nn n n n n n (2)原式nn n n nn ⎪⎭⎫ ⎝⎛-⎪⎭⎫ ⎝⎛-=⎥⎥⎦⎤⎢⎢⎣⎡⎪⎭⎫ ⎝⎛-⎥⎥⎦⎤⎢⎢⎣⎡⎪⎭⎫ ⎝⎛-=∞→∞→211311lim 34211231123lim4301013421lim 1lim 31lim 1lim 34=--⋅=⎪⎭⎫ ⎝⎛-⎪⎭⎫⎝⎛-=∞→∞→∞→∞→n n n nn n (3)原式.222lim21544332lim =+=⎪⎭⎫ ⎝⎛++⋅⋅⋅=∞→∞→n n n n n n n 说明:先化简,再求极限是求极限经常用到的方法,不能认为0112lim ,,015lim ,013lim 222=++=⎪⎭⎫⎝⎛+=⎪⎭⎫ ⎝⎛+∞→∞→∞→n n n n n n n 而得到(1)的结果是0.无穷比无穷和字母讨论的数列极限例 求下列极限:(1)n n n n n 3423352lim 11⋅+⋅⋅-++∞→ (2))0(11lim>+-∞→a a a nnn 分析:第(1)题属“∞∞”型,一般方法是分子,分母同除以各式中幂的值最大的式子.第(2)题中当a 的值在不同范围内变化时,分子,分母的极限或变化趋势)不同,因此要分各种情形进行讨论.解:(1)原式432315322lim 342331522lim +⎪⎭⎫ ⎝⎛⋅-⎪⎭⎫⎝⎛⋅=⋅+⋅⋅-⋅=∞→∞→n nn n n nn n .41540315024lim 32lim 315lim 32lim 2-=+⨯-⨯=+⎪⎭⎫⎝⎛-⎪⎭⎫⎝⎛=∞→∞→∞→∞→n nn n nn (2)当10<<a 时,01111lim 11lim=+-=+-∞→∞→n n n n a a , 当1>a 时,.110101lim 1lim 1lim 1lim 1111lim 11lim -=+-=+⎪⎭⎫⎝⎛-⎪⎭⎫⎝⎛=+⎪⎭⎫ ⎝⎛-⎪⎭⎫ ⎝⎛=+-∞→∞→∞→∞→∞→∞→n n n n nn n n n n n n a a a a a a说明:含参数的式子求极限,经常要进行讨论,容易出现的问题是错误地认为0lim =∞→n n a .根据极限确定等比数列首项的取值范围例 已知等比数列{}n a 的首项为1a ,公比为q ,且有211lim 1=⎪⎪⎭⎫ ⎝⎛-+∞→n n q q a ,求1a 的取值范围.分析:由已知条件及所给式子的极限存在,可知nn q ∞→lim 存在,因此可得q 的取值范围,从而确定出1a 的取值范围.解:由211lim 1=⎪⎪⎭⎫⎝⎛-+∞→n n q q a ,得nn q ∞→lim 存在. ∴1<q 且0≠q 或1=q .. 当1<q 时,有2111=+q a , ∴121-=a q ,∴112<-a 解得101<<a , 又0≠q ,因此211≠a . 当1=q 时,这时有2112lim 1=⎪⎭⎫⎝⎛-∞→a n , ∴31=a .综上可得:101<<a ,且211≠a 或31=a . 说明:在解决与数列有关的问题时,应充分注意相关知识的性质,仅从极限的角度出发来考虑q 的特点,容易将0≠q 这一条件忽视,从而导致错误.求函数在某一点处的极限例 求下列极限:(1)⎪⎪⎭⎫⎝⎛++++→22423lim 3322x x x x x (2)401335172lim 225++++→x x x x x(3)xxx 320cos 1sin lim -→(4)⎪⎭⎫⎝⎛---→9631lim 23x x x分析:第(1)题中,2=x 在函数的定义域内,可直接用极限的四则运算法则求极限;(2)、(3)两个极限分子、分母都趋近于0,属“”型,必须先对函数变形,然后施行四则运算;(4)为“∞-∞”型,也应先对函数作适当的变形,再进行极限的运算.解:(1)22lim 423lim 22423lim 332223322++++=⎪⎪⎭⎫ ⎝⎛++++→→→x x x x x x x x x x x)2(lim 2lim )4(lim )23(lim 3232222++++=→→→→x x x x x x x x2lim lim lim 24lim lim 2lim lim 32323223222→→→→→→→++++=x x x x x x x x x x x.513581222242223322=+=+⨯+++⨯= (2).18)5(7)5(2872lim )8)(5()72)(5(lim 401335172lim 55225-=+-+-⨯=++=++++=++++→→→x x x x x x x x x x x x x (3)xx x x x x x x x x x 20220320cos cos 1cos 1lim )cos cos 1)(cos 1(cos 1lim cos 1sin lim +++=++--=-→→→ .3211111=+++= (4).6133131lim 96)3(lim 9631lim 32323=+=+=--+=⎪⎭⎫⎝⎛---→→→x x x x x x x x 说明:不能错误地认为,由于31lim3-→x x 不存在,96lim 23-→x x 也不存在,因此(4)式的极限不存在.(4)属于“∞-∞”型,一般要先对函数式进行变形,变为“00”型或“∞∞”型,再求极限.函数在某一点处零比零型的极限例 求下列极限:(1)3111lim x x x --→ (2)xx x x 32sin sin tan lim -→π 分析:第(1)题中,当1→x 时,分子、分母的极限都是0,不能用商的极限的运算法则,应该先对分式变形,约去一个极限为零的因式后再应用极限的运算法则求分式的极限,常用的变换方法有:①对多项式进行因式分解;②对无理式分子或分母有理化;③对三角函数式(如第(2)题,先进行三角恒等变换,再约分.解:(1)原式)1)(1)((1()1)(1)(1(lim 32333231x x x x x x x x x +++-+++-=→.23111111)1(lim )1)(1()1)(1(lim 32313231=+++=+++=+-++-=→→xx x x x x x x x x(2)原式xx x x x x xx x x cos sin cos sin sin lim sin sin cos sin lim 3232⋅-=-=→→ππ .211)11(1cos )cos 1(1lim cos sin cos 1lim222=⨯+=⋅+=⋅-=→→x x x x x ππ 说明:如果分子、分母同乘以31x +,对(1)式进行变形,思维就会受阻,正确的方法是分子、分母同乘以分子、分母的有理化因式,分母的有理化因式是)1(323x x ++.。
(word完整版)高数极限60题及解题思路高数极限60题1.求数列极限)sin 1(sin lim n n n -+∞→。
2.设∑==n k kn b k S 1,其中)!1(+=k b k ,求n n S ∞→lim 。
3.求数列极限)321(lim 12-∞→+?+++n n nq qq ,其中1→n n n n 。
5.求数列极限)11)...(311)(211(lim 222nn ---∞→。
6.求极限)111)(110()110(...)13()12()1(lim 2222--++++++++∞→x x x x x x x 。
7.求极限)12584(lim 2+++--∞→x x x x 。
8.讨论极限xx xx x e e e e 2323432lim --∞→+-。
9.求极限)4tan(2tan lim 4 x x x -?→ππ。
10.求极限2223lim 32--+→x x x 。
11.求极限xx x x 350)41()21(lim +-+→。
12.求极限301sin tan 1lim x x x x +-+→。
13.讨论极限x x x cos 22lim 0 -→。
14.求数列极限12sin 2lim -∞→n n n π。
15.设01>>a x ,且n n ax x =+1,证明:n n x ∞→lim 存在,并求出此极限值。
16.设21=x ,且n n x x +=+21,证明:n n x ∞→lim 存在,并求出此极限值。
17.设2221...31211nx n ++++=(n 为正整数),求证:n n x ∞→lim 存在。
18.求数列极限!2lim n nn ∞→。
19.求极限)23ln()32ln(lim 32x x x e e +++∞→。
20.求极限xxx x x x ++++∞→lim 。
21.无限循环小数?9.0的值(A)不确定 (B)小于1 (C)等于1 (D)无限接近122.求数列极限2)(sec lim n n n π∞→。
极限连续试题及答案1. 定义极限请简述函数在某一点处极限的定义。
答案:函数f(x)在某一点x=a处的极限是指,当x趋近于a时,f(x)趋近于某个确定的值L,即对于任意的正数ε,存在一个正数δ,使得当0 < |x-a| < δ时,有|f(x) - L| < ε。
2. 极限的运算法则请列出极限的加法、减法、乘法和除法法则。
答案:- 加法法则:如果lim(x→a) f(x) = A 且lim(x→a) g(x) = B,则lim(x→a) [f(x) + g(x)] = A + B。
- 减法法则:如果lim(x→a) f(x) = A 且lim(x→a) g(x) = B,则lim(x→a) [f(x) - g(x)] = A - B。
- 乘法法则:如果lim(x→a) f(x) = A 且lim(x→a) g(x) = B,则lim(x→a) [f(x) * g(x)] = A * B。
- 除法法则:如果lim(x→a) f(x) = A 且lim(x→a) g(x) = B,且B ≠ 0,则lim(x→a) [f(x) / g(x)] = A / B。
3. 连续性的定义请解释函数在某一点连续的定义。
答案:函数f(x)在某一点x=a处连续,当且仅当lim(x→a) f(x)= f(a)。
4. 连续函数的性质请列举连续函数的几个基本性质。
答案:- 连续函数的和、差、积、商(分母不为零)仍然是连续的。
- 连续函数的复合函数在定义域内是连续的。
- 连续函数的极限等于函数在该点的值。
5. 间断点的分类请说明函数的间断点有哪些类型。
答案:函数的间断点分为以下几类:- 第一类间断点:左极限和右极限都存在但不相等。
- 第二类间断点:左极限或右极限至少有一个不存在。
- 无穷间断点:左极限或右极限为无穷大。
- 振荡间断点:函数值在左极限和右极限之间无限振荡。
6. 连续函数的介值定理请简述连续函数的介值定理。
《极限计算练习》课堂测验的题解及其他各位同学:11月23日下午进行了《高等数学(上册)》的第2次课堂练习,从教学计划来说,这是例行的测验,从学习的角度看,也是对大家大半个学期来学习情况的一次检验。
测验的结果很不理想,出乎我的预料。
看来有相当数量的同学,还没有进入大学学习的轨道,没有化起码的功夫。
当然,学习好的同学也不少,我教的两个班上,有近30-40位同学的成绩一直稳定在90分上下,可见他们已经具有的数学基础很不错。
我很欣赏他们。
希望他们走向成功的明天。
我这么说其实还包含了一层意思:学数学是没有底的,不要满足于目前《高等数学》的层面,因为这门课毕竟只是对一般的理工科学生开设的,要求并不高,不要满足于能做几个题。
不知这些同学有没有理解我的苦心。
另外,我一直不认为分数是衡量数学好坏的绝对标准,即使那些考了90分的同学,只表明你做这几个“死”题做的不错,不等于能应用数学解决实际问题,活的数学题你们还没有接触到。
所以,每个人都要保持“在科学面前要有敬畏之心,谦卑之心”。
那些老是不及格,或在40—60分上下浮动的同学,要提高警惕,不要在大一上学期就被拉下,这样被动下去,你的大学生涯恐怕是不会乐观的,你的心里也许会有变化。
你的这个大学上得没有意思了。
同学们的队伍由此拉开了距离——就像长跑一样,拉开了距离,一般是很难追上的。
为此,我这里对其中若干题目进行分析,提供几种思路,供大家思考和回味,特别对不会做的同学,你还是要努力学懂啊!不要放弃!放弃了,没有可能再抓回了,第二年重修的人,很少能够通过,这是历史的教训。
我再次强调,解数学题没有定规,解题的角度不是固定不变的,我这里的解法未必覆盖全部,只是提供一种思考的角度,大家没有必要照抄照搬,也没有必要用一种解法去否定另一种解法。
对大家而言,能从不同的角度来分析和求解,是一种最好的学习方式。
第1大题的6个小题,比较简单,这次没有要求大家去做,但对有些同学来讲,等助教把试题本发下后,也请独立做一遍。
函数极限题库及答案详解1. 求极限 \(\lim_{x \to 0} \frac{\sin x}{x}\)。
答案:根据洛必达法则,当 \(x \to 0\) 时,分子分母同时趋向于0,可以应用洛必达法则。
对分子分母同时求导,得到 \(\lim_{x \to 0}\frac{\cos x}{1} = 1\)。
2. 求极限 \(\lim_{x \to \infty} \frac{3x^2 + 2x + 1}{x^2 +5}\)。
答案:当 \(x \to \infty\) 时,分子和分母的高次项将主导极限的值。
因此,\(\lim_{x \to \infty} \frac{3x^2}{x^2} = 3\)。
3. 求极限 \(\lim_{x \to 2} \frac{x^2 - 4}{x - 2}\)。
答案:这是一个0/0的不定式,可以进行因式分解,分子可以分解为\((x - 2)(x + 2)\),因此原式变为 \(\lim_{x \to 2} (x + 2)\),结果为4。
4. 求极限 \(\lim_{x \to 0} \frac{e^x - 1}{x}\)。
答案:根据e的泰勒展开式,\(e^x = 1 + x + \frac{x^2}{2!} +\frac{x^3}{3!} + \cdots\),当 \(x \to 0\) 时,高阶项可以忽略,因此 \(\lim_{x \to 0} \frac{e^x - 1}{x} = 1\)。
5. 求极限 \(\lim_{x \to 0} \frac{1 - \cos x}{x^2}\)。
答案:根据泰勒展开,\(\cos x = 1 - \frac{x^2}{2!} +\frac{x^4}{4!} - \cdots\),因此 \(\lim_{x \to 0} \frac{1 -\cos x}{x^2} = \lim_{x \to 0} \frac{-\frac{x^2}{2!} +\text{高阶项}}{x^2} = -\frac{1}{2}\)。
极限的运算练习题本文档提供了一些极限运算的练题,旨在帮助您提高解决这类问题的能力。
请按照题目要求进行计算,并在答案的后面进行简要解答。
问题一计算以下极限:$$\lim_{x \to 2} (x^3 - 8) / (x - 2)$$答案和解答:首先将$x^3 - 8$因式分解为$(x - 2)(x^2 + 2x + 4)$,然后我们可以简化极限表达式为:$$\lim_{x \to 2} (x^2 + 2x + 4)$$将$x$代入表达式,可得:$$(2^2 + 2 \cdot 2 + 4) = 12$$所以,极限的结果为12。
问题二计算以下极限:$$\lim_{x \to 0} \frac{\sin(x)}{x}$$答案和解答:这个极限是非常经典的,我们知道当$x \to 0$时,$\sin(x) \to 0$,而分母$x \to 0$,所以可以使用洛必达法则进行计算。
洛必达法则告诉我们,对于形式为$\frac{f(x)}{g(x)}$的极限表达式,当$f(x)$和$g(x)$都在$x \to a$时趋于0或无穷大时,如果$f'(x)$和$g'(x)$都存在且$g'(x) \neq 0$,则可以计算$\lim_{x \to a}\frac{f'(x)}{g'(x)}$。
在这个问题中,我们有$f(x) = \sin(x)$和$g(x) = x$,它们在$x \to 0$时都趋于0,然后我们对$f(x)$和$g(x)$分别求导,得到$f'(x) = \cos(x)$和$g'(x) = 1$。
按照洛必达法则,我们可以计算:$$\lim_{x \to 0} \frac{f'(x)}{g'(x)} = \lim_{x \to 0} \frac{\cos(x)}{1} = \cos(0) = 1$$所以,极限的结果为1。
问题三计算以下极限:$$\lim_{x \to \infty} \left(1 + \frac{1}{x}\right)^x$$答案和解答:这个极限是以自然对数常数$e$定义的一个重要极限,即$\lim_{x \to \infty} (1 + \frac{1}{x})^x = e$。
《极限计算练习》课堂测验的题解及其他各位同学:11月23日下午进行了《高等数学(上册)》的第2次课堂练习,从教学计划来说,这是例行的测验,从学习的角度看,也是对大家大半个学期来学习情况的一次检验。
测验的结果很不理想,出乎我的预料。
看来有相当数量的同学,还没有进入大学学习的轨道,没有化起码的功夫。
当然,学习好的同学也不少,我教的两个班上,有近30-40位同学的成绩一直稳定在90分上下,可见他们已经具有的数学基础很不错。
我很欣赏他们。
希望他们走向成功的明天。
我这么说其实还包含了一层意思:学数学是没有底的,不要满足于目前《高等数学》的层面,因为这门课毕竟只是对一般的理工科学生开设的,要求并不高,不要满足于能做几个题。
不知这些同学有没有理解我的苦心。
另外,我一直不认为分数是衡量数学好坏的绝对标准,即使那些考了90分的同学,只表明你做这几个“死”题做的不错,不等于能应用数学解决实际问题,活的数学题你们还没有接触到。
所以,每个人都要保持“在科学面前要有敬畏之心,谦卑之心”。
那些老是不及格,或在40—60分上下浮动的同学,要提高警惕,不要在大一上学期就被拉下,这样被动下去,你的大学生涯恐怕是不会乐观的,你的心里也许会有变化。
你的这个大学上得没有意思了。
同学们的队伍由此拉开了距离——就像长跑一样,拉开了距离,一般是很难追上的。
为此,我这里对其中若干题目进行分析,提供几种思路,供大家思考和回味,特别对不会做的同学,你还是要努力学懂啊!不要放弃!放弃了,没有可能再抓回了,第二年重修的人,很少能够通过,这是历史的教训。
我再次强调,解数学题没有定规,解题的角度不是固定不变的,我这里的解法未必覆盖全部,只是提供一种思考的角度,大家没有必要照抄照搬,也没有必要用一种解法去否定另一种解法。
对大家而言,能从不同的角度来分析和求解,是一种最好的学习方式。
第1大题的6个小题,比较简单,这次没有要求大家去做,但对有些同学来讲,等助教把试题本发下后,也请独立做一遍。
下面我从第2大题开始。
2. 判别下列极限0lim ()x f x →是否存在,若存在,请计算器极限值。
(1)()f x 111arctan 12x x =++; 1sin ,0()(1),0xexx x f x x x ⎧<⎪=⎨⎪+>⎩。
【分析】本题给出的2个函数,在0x =点处没有定义!却要我们求极限0lim ()x f x →,你能理解吗?这里我要特别强调,求函数值时,必须要有定义,但求极限却不必要求有定义,理由是极限过程是0x →,即趋向于0,永远不等于0。
那么,要判别极限是否存在的充要条件是什么呢?是0x →的左、右极限都存在,并且相等。
不知大家对左、右极限的理解如何? 所谓0x →的右极限是指变量x 从0的右边趋向于0,在这个过程中变量x 始终是正的;而0x →的左极限是指变量x 从0的左边趋向于0,在这个过程中变量x 始终是负的。
有了这些概念,求解这些题目应该是没有什么原则困难的。
当然结合具体函数,我们还要解决一些难点。
(1)这个函数的极限问题的难点在于处理好1arctan x和12x 在0x →的左、右极限。
首先右极限 01100001111(0)lim()lim arctan lim arctan lim 1212x x x x xxf f x xx +++++→→→→⎛⎫⎪==+=+ ⎪⎝+⎭+, 其中 第1个极限 01lim arctan lim arctan 2t x t x π+→+∞→==, 第2个极限 1111lim 0121lim 2x xxx ++→→==++, (因为1lim 2lim 2txt x +→+∞→==∞) 所以()f x 在0x →的右极限等于 10011lim()lim arctan 212x x xf x xπ++→→⎛⎫ ⎪=+= ⎪⎝+⎭。
再考虑左极限,01100001111(0)lim ()limarctan lim arctan lim 1212x x x x xxf f x xx -----→→→→⎛⎫⎪==+=+ ⎪⎝+⎭+, 其中 第1个极限 01lim arctan x x -→=lim arctan 2t t π→-∞=-, 第2个极限 111111lim 11lim 210121lim 2t x xxt x --→→-∞→====++++,所以()f x 在0x →的左极限等于 10011lim()lim arctan 1212x x x f x xπ--→→⎛⎫⎪=+=-+ ⎪⎝+⎭。
虽然()f x 在0x →时的左、右极限都存在,但不相等,则()f x 在0x →时的极限不存在。
(2)本小题的函数是一个分段函数,在在0x =点处没有定义,在0x =的两边的函数是不同的。
不难计算得到0sin sin lim ()lim lim x x x ex exf x e e x ex---→→→==⋅=, 10lim ()lim(1)xx x f x x e ++→→=+=, 可见()f x 在0x →时的左、右极限都存在,而且相等,则()f x 在0x →时的极限存在,且等于 0lim ()x f x e →=。
3. 计算下列极限(1))x x →∞【分析】这是一个∞-∞的未定型极限,要做适当的处理。
解法1: 先将根号中的x 开出来,然后利用等价无穷小公式 (1)1(mm +-值无穷小量):))lim 1)x x x x x x →∞→∞→∞==32121212lim (()lim()3333x x x x x x →∞→∞=+=+=。
(因为321x x+在x →∞时为无穷小) 解法2: 令1x t =,原式30001(2)123lim lim 3t t t t t t t →→→+⎫====⎪⎪⎭。
这个解法称为“倒数法”,以后在学积分时还会看到它的作用。
解法3:对上式中00型极限0t →采用L ’hospital 法则,但计算比上面采用等价无穷小麻烦。
大家可一试。
不要因为计算麻烦就否定它,那是中学思维。
(2) 43420tan ln(13)lim (1cos )(1)x x x x x x e →+++--【分析】 这是一个型极限。
当然可以一开始就用L ’hospital 法则,但未必计算容易。
解法一:用等价无穷小代换: 0x →时,有等价无穷小:tan x x ,33ln(13)3x x +,1cos x -212x ,212x e x -,这样原式等于434334423400042tan ln(13)33lim lim lim 31(1cos )(1)22x x x x x x x x x x x x e x x x x x→→→++++===+--++⋅。
这样就得出了结果,很简洁。
这里没有减法,可以放心地去做。
解法二:如果你能看出分子43tan ln(13)x x ++中的第2项等价于33x ,4tan x 等价于4x ,它等于3()o x ,所以分子可等价于33x +3()o x ;同理,分母中的第二项23(1cos )(1)xx e x --,故分母等价于33()x o x +。
这样,最中结果等于3。
解法三:用Taylor 公式也是一条路,留给大家。
一般而言,总是能化简的线化简,在用其他“重”武器。
等价无穷小代换,是一种不可缺少的基本功。
(3)1)ln(12)nn →∞+解法一:这是数列的极限,属于0⋅∞型。
数列的极限无法直接使用L ’hospital 法则或Taylor 公式等“武器”,但数列也有无穷小序列的概念,要充分利用。
本题的难点在于化简ln(12)n+,提出2n ,使得出现ln(12)n-+e 为底的指数,这些都可以认为是最基本的极限方法。
ln3lim 1)ln(12)lim (1)ln 2(12)nn n n n n e -→∞→∞⎡⎤+=-+⎢⎥⎣⎦ln3lim (1)ln 2ln(12)nnn en -→∞⎡⎤=-++⎣⎦ (利用ln3ln 31nen- ln 3limln 2ln(12)lim(ln 3ln 22)ln 3ln 2n nn n n n--→∞→∞⎡⎤=++=⋅+=⋅⎣⎦。
最后第2个等号是因为等价无穷小 ln(12)2nn --+。
解法二: 先研究函数1()(31)ln(12)xxf x =-+在x →∞的极限,然后用到()f n 上去。
其实,解一已经很简洁,一般不用这么转来转去。
但有的情况下,这样思路也有价值。
(4)11cos lim sin2xx x π+→⎛⎫ ⎪⎝⎭【分析】这是一个1∞型极限,它总与e 有关。
(这一点,请各位千万别忘记!) 解法一: 引入变量代换,令x t π=-,那么x π→改为0t →,1111cos 1cos()1cos 00lim sinlim sin lim cos 222xt tx t t x t t πππ++--→→→-⎛⎫⎛⎫⎛⎫== ⎪ ⎪ ⎪⎝⎭⎝⎭⎝⎭00ln(cos ln(cos )22lim exp exp lim 1cos 1cos t t t t t t →→⎛⎫⎛⎫ ⎪ ⎪== ⎪ ⎪-- ⎪ ⎪⎝⎭⎝⎭, 又 000ln(cos )ln(1cos 1)cos 1222lim lim lim1cos 1cos 1cos t t t t t tt tt →→→+--==--- 2021122lim142t t t→⎛⎫- ⎪⎝⎭==-。
故 原式140ln(cos )2exp lim 1cos t t e t -→⎛⎫ ⎪== ⎪- ⎪⎝⎭。
解法二:1∞型极限问题也可以改写为 1(1)+的形式。
由解法一, 1111cos 1cos()1cos 00lim sinlim sin lim cos 222xt tx t t x t t πππ++--→→→-⎛⎫⎛⎫⎛⎫== ⎪ ⎪ ⎪⎝⎭⎝⎭⎝⎭0cos 112cos 121cos limcos 11cos 2lim 1cos12t tt t t tt t e→--⋅---→⎛⎫=+-= ⎪⎝⎭,又 0cos 112lim 1cos 4t t t →-=--故得 原式140ln(cos )2exp lim 1cos t t e t -→⎛⎫ ⎪== ⎪- ⎪⎝⎭。
(5)230arcsin(1)lim sin ln(12)x x e x x x →---本题用等价无穷小做十分容易,留给大家吧。
(6)2lim n n →∞⎛⎫+++本题是一个无穷多个无穷小之和的极限,一个适用于两面夹准则的典型题目。
留给大家。
4. 计算极限 0sin 22cos lim lim nx nx x n x e x x e →→∞⎛⎫+ ⎪+⎝⎭解:记 sin 22cos ()lim nx nx n x e x f x x e→∞+=+。