2000年专八真题及答案详解
- 格式:doc
- 大小:227.00 KB
- 文档页数:41
TEXT BBut if language habits do not represent classes, a social stratification in to something as bygone as “aristocracy” and “commons”, they do still of cour se s erve to identify social groups. This is something that seems fundamental in the use of language. As we see in relation to political and national movements, lang uage is used as a badge or a barrier depending on which way we look at it. The n ew boy at school feels out of it at first because he does not know the fight wor ds for things, and awe-inspiring pundits of six or seven look down on him for no t being aware that racksy means “dilapidated”, or hairy “out first ball”. Th e mi ner takes a certain pride in being “one up on the visitor or novice who calls t h e cage a “lift” or who thinks that men working in a warm seam are in their “u nde rpants” when anyone ought to know that the garments are called hoggers. The “i ns ider” is seldom displeased that his language distinguishes him from the “outsi der”.Quite apart from specialized terms of this kind in groups, trades and profe ssions, there are all kinds of standards of correctness at which mast of us feel more or less obliged to aim, because we know that certain kinds of English invi te irritation or downright condemnation. On the other hand, we know that other k inds convey some kind of prestige and bear a welcome cachet.In relation to the social aspects of language, it may well be suggested tha t English speakers fall into three categories: the assured, the anxious and the in different. At one end of this scale, we have the people who have “position” an d “status”, and who therefore do not feel they need worry much about their use o f English. Their education and occupation make them confident of speaking an uni mpeachable form of English: no fear of being criticized or corrected is likely t o cross their minds, and this gives their speech that characteristically unself c onscious and easy flow which is often envied.At the other end of the scale, we have an equally imperturbable band, speak ing with a similar degree of careless ease, because even if they are aware that their English is condemned by others, they are supremely indifferent to the fact . The Mrs Mops of this world have active and efficient tongues in their heads, a nd if we happened not to like the/r ways of saying things, well, we “can lump i t ”. That is their attitude. Curiously enough, writers are inclined to represent t he speech of both these extreme parties with -in’ for ing. On the one hand, “w e’re goin’ huntin’, my dear sir”; on the other, “we’re goin’ racin’ , ma te.”In between, according to this view, we have a far less fortunate group, th e anxious. These actively try to suppress what they believe to be bad English an d assiduously cultivate what they hope to be good English. They live their lives in some degree of nervousness over their grammar, their pronunciation, and thei r choice of words: sensitive, and fearful of betraying themselves. Keeping up wi th the Joneses is measured not only in houses, furniture, refrigerators, cars, a nd clothes, but also in speech.And the misfortune of the “anxious” does not end with their inner anxiet y. Their lot is also the open or veiled contempt of the “assured” on one side of them and of the “indifferent” on the otherIt is all too easy to raise an unworthy laugh at the anxious. The people t hus uncomfortably stilted on linguistic high heels so often form part of what is, in many ways, the most admirable section of any society: the ambitious, tense, inner-driven people, who are bent on“ going places and doing things”. The grea te r the pity, then, if a disproportionate amount of their energy goes into what Mr Sharpless called“ this shabby obsession” with variant forms of English— espe ci ally if the net result is(as so often)merely to sound affected and ridiculous. “ Here”, according to Bacon, “is the first distemper of learning, when men study w ords and not matter …. It seems to me that Pygmalion’ s frenzy is a good emble m …of this vanity: for words axe but the images of matter; and except they have l ife of reason and invention, to fall in love with them is to fall in love with a picture.”21. The attitude held by the assured towards language is ___.A. criticalB. anxiousC. self-consciousD. nonchalant22. The anxious are considered a less fortunate group because ___.A. they feel they are socially looked down uponB. they suffer from internal anxiety and external attackC. they are inherently nervous and anxious peopleD. they are unable to meet standards of correctness23. The author thinks that the efforts made by the anxious to cultivate w hat they believe is good English are ___.A. worthwhileB. meaninglessC. praiseworthyD. irrationalTEXT CFred Cooke of Salford turned 90 two days ago and the world has been beating a path to his door. If you haven’t noticed, the backstreet boy educated at Bla c kpool grammar styles himself more grandly as Alastair Cooke, broadcaster extraor dinaire. An honorable KBE, he would be Sir Alastair if he had not taken American citizenship more than half a century ago.If it sounds snobbish to draw attention to his humble origins, it should be reflected that the real snob is Cooke himself, who has spent a lifetime disguis ing them. But the fact that he opted to renounce his British passport in 1941 — just when his country needed all the wartime help it could get-is hardly a ma tter for congratulation.Cooke has made a fortune out of his love affair with America, entrancing l isteners with a weekly monologue that has won Radio 4 many devoted adherents. Pa rt of the pull is the developed drawl. This is the man who gave the world “mida tlantic”, the language of the disc jockey and public relations man.He sounds American to us and English to them, while in reality he has for decades belonged to neither. Cooke’s world is an America that exists largely in the imagination. He took ages to acknowledge the disaster that was Vietnam and e ven longer to wake up to Watergate. His politics have drifted to the right with age, and most of his opinions have been acquired on the golf course with fellow celebrities.He chased after stars on arrival in America, Fixing up an interview with Ch arlie Chaplin and briefly becoming his friend. He told Cooke he could turn him i nto a fine light comedian; instead he is an impressionist’s dream.Cooke liked the sound of his first wife’s name almost as much as he admir e d her good looks. But he found bringing up baby difficult and left her for the w ife of his landlord. Women listeners were unimpressed when, in 1996, he declared on air that th e fact that 4% of women in the American armed forces were raped showed remarkabl e self-restraint on the part of Uncle Sam’s soldiers. His arrogance in not allo w ing BBC editors to see his script in advance worked, not for the first time, to his detriment. His defenders said he could not help living with the 1930s values he had acquired and somewhat dubiously went on to cite “gallantry” as chief a mo ng them. Cooke’s raconteur style encouraged a whole generation of BBC men to th i nk of themselves as more important than the story. His treacly tones were the mo del for the regular World Service reports From Our Own Correspondent, known as F OOCs in the business. They may yet be his epitaph.24. At the beginning of the passage the writer sounds critical of ___.A. Cooke’s obscure originsB. Cooke’s broadcasting styleC. Cooke’s American citizenshipD. Cooke’s fondness of America25. The following adjectives can be suitably applied to Cooke EXCEPT ___.A. old-fashionedB. sincereC. arrogantD. popular26. The writer comments on Cooke’s life and career in a slightly ___ tone.A. ironicB. detachedC. scathingD. indifferent。
2000 年-2011 年专八短文改错试题,参考答案以及答案分析By 兰银清以下答案以上外教师给出的答案为参考答案2011年专八真题改错部分From a very early age, perhaps the age of five or six, I knewthat when I grew I should be a writer. Between the ages of about 1__________seventeen and twenty-four I tried to abandon this idea, but I did sowith the conscience that I was outraging my true nature and that 2___________soon or later I should have to settle down and write books. 3___________I was the child of three, but there was a gap of five years 4__________on either side, and I barely saw my father before I was eight. Forthis and other reasons I was somewhat lonely, and I soon developeddisagreeing mannerisms which made me unpopular throughout my 5_____________schooldays. I had the lonely child's habit of making up stories andholding conversations with imaginative persons, and I think from 6_________the very start my literal ambitions were mixed up with the feeling of 7________being isolated and undervalued. I knew that I had a facility with wordsand a power of facing in unpleasant facts, and I felt that this created 8________a sort of private world which I could get my own back for my failure 9________in everyday life. Therefore, the volume of serious — i.e. seriously 10________intended — writing which I produced all through my childhood andboyhood would not amount to half a dozen pages. I wrote my firstpoem at the age of four or five, my mother taking it down to dictation.1,在grow后加up, 考固定短语2,改consience为consciousness 考词语区别,consience翻译为“良心,道德心”, consiousness翻译为“意识”3,改soon为sooner,sooner or later是固定短语4,在child前加middle, 考上下文理解。
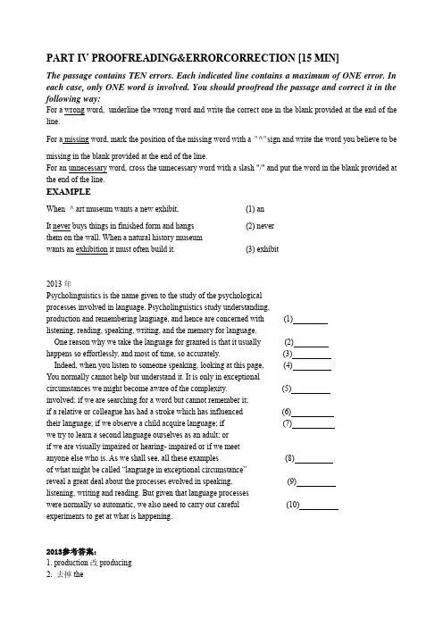
实用文档2000 年-2018 年英语专八改错真题及答案解析2018Mass media is media that is intended for a large audience. It maytake the form of broadcast media, as in case of television and radio, or (1) print media, as newspapers and magazines. (2) Usually, mass media aims to reach a very large market, such as theentire population of a country. By contrast, local media covers a muchsmall population and area, focusing on regional news of interest, (3) specialty media is provided for particular demographic groups. Some (4) local media outlets that cover state or provincial news may raise to (5) prominence thanks to their investigative journalism, and to the clout thattheir particular regions have in the national politics.People often think of mass media as the news, it also includes (6) entertainment like television shows, books, and films. It may also be educational in the nature, as in the instance of public broadcasting (7) stations that provide educational programs to a national audience.Political communications including propaganda are also frequentlydistributed through the media, as were public service announcements (8) and emergency alerts.When elitists may be tempted to sneer at mass media, referring to it (9) as the “opiate of the masses,” it is a critical part of human societies. Understanding mass media is usually the key to understand a population (10) and culture, which is why the field of media studies is so huge.2017The ability to communicate is the primary factor that distinguisheshuman beings from animals. And it is the ability to communicate wellwhich distinguishes one individual from another. (1) The fact is that apart from the basic necessities, one needs to be equipped with habits for good communication skills, thus this is what(2) will make one a happy and successful social being.In order to develop these habits, one needs to first acknowledge thefact that they need to improve communication skills from time to time.They need to take stock of the way how they interact and the direction (3) in which their work and personal relations are going. The only constantin life is change, the more one accepts one’s strengths and works(4) towards dealing with their shortcomings, specially in the area of (5) communication skills, the better will be the interactions and the moretheir social popularity.The dominated question that comes here is: How to improve (6) communication skills? The answer is simple. One can find plenty ofliterature on this. There are also experts, who conduct workshops andseminar s based on communication skills of men and women. In fact, alarge number of companies are bringing in trainers to regularly make (7) sessions on the subject, in order to help their work force maintain better interpersonal work relations.Today effective communication skills have become a predominantfactor even while recruiting employees. While interviewing candidates,most interviewers judge them on the basis of the skills theycommunicate with. They believe that some skills can be improvised on(8) the job; but ability to communicate well is important, as every employee becomes the representing face of the company.There are trainers, who specialized in delivering custom-made (9) programs on the subject. Through the sessions they not only facilitatebetter communication skills in the workplace, but also look into theproblems in the manner of being able to convey messages effectively. (10)2016All social units develop a culture. Even in two-person relationship,a culture develops in time. In friendship and romantic relationships, for example, partners develop their own history, shared experiences,(1) language patterns, habits and customs give the relationship a special (2) character — a character that differs it in various ways from other relationships. Examples might include special dates, places, songs or(3) events that come to have a unique and important symbolic meaning forthe two individuals. Thus, any social unit —whether a relationship, group, organization, or society — develops a culture with the passage of(4) time. While the defining characteristics of each culture are unique, all cultures share certain same functions. The relationship between (5) communication and culture is a very complex intimate one. (6)Culture are created through communication; that is, communication is the means of human interaction, through it cultural characteristics are created and shared.It is not so much that individuals set out to create a culture when they interact in relationships, groups, organizations, or societies, but rather than that cultures are a natural by-product of social interaction. In a sense, culture are the “residue” of social communication. Without communication and communication media, it would be impossible to base and pass along cultural characteristics from one place and time to another. One can say, furthermore, that culture is created, shaped, transmitted, and learned through communication.(7)(8)(9)(10)2015When I was in my early teens, I was taken to a spectacular show on ice by the mother of a friend. Looked around at the luxury of the rink, my friend’s mother remarked on the “plush” seats we had been given. I did not know what she meant, and being proud of my vocabulary, I tried to infer its meaning from the context. “Plush” was cl early intended as a complimentary, a positive evaluation; that much I could tell it from the tone of voice and the context. So I started to use the word. Yes, I replied, they certainly are plush, and so are the ice rink and the costumes of the skaters, aren’t they? My friend’s mother was very polite to correct me, but I could tell from her expression that I had not got the word quite right.Often we can indeed infer from the context what a word roughly means, and that is in fact the way which we usually acquire both new words and new meanings for familiar words, specially in our own first language. But sometimes we need to ask, as I should have asked for Plush, and this is particularly true in the aspect of a foreign language. If you are continually surrounded by speakers of the language you are learning, you can ask them directly, but often this opportunity does not exist for the learner of English. So dictionaries have been developed to mend the gap.(1)(2)(3)(4)(5)(6)(7)(8)(9)(10)2014There is widespread consensus among scholars that second language acquisition (SLA) emerged as a distinct field of research from the late 1950s to early 1960s.There is a high level of agreement that the following questions have possessed the most attention of researchers in this area:•Is it possible to acquire an additional language in the same sense one acquire a first language?•What is the explanation for the fact adults have more difficulty in acquiring additional languages than children have?•What motivates people to acquire additional languages?•What is the role of the language teaching in the acquisition of an additional language ?•What social-cultural factors, if any, are relevant in studying the learning of additional languages?From a check of the literature of the field it is clear that all the approaches adopted to study the phenomena of SLA so far have one thing in common: The perspective adopted to view the acquiring of an additional language is that of an individual attempts to do so. Whether one labels it “learning” or “acquiring” an additional language, it is an individual accomplishment or what is under focus is cognitive, psychological, and institutional status of an individual. That is, the spotlight is on what mental capabilities are involving, what psychological factors play a role in the learning or acquisition, and whether the target language is learnt in the classroom or acquired through social touch with native speakers.(1)(2)(3)(4)(5)(6)(7)(8)(9)(10)Psycho-linguistics is the name given to the study of thepsychological processes involved in language. Psycholinguistics study understanding, production and remembering language, and hence are (1) concerned with listening, reading, speaking, writing, and memory for language.One reason why we take the language for granted is that it usually (2) happens so effortlessly, and most of time, so accurately. Indeed, when (3) you listen to someone to speaking, or looking at this page, you normally (4) cannot help but understand it. It is only in exceptional circumstances we (5) might become aware of the complexity involved: if we are searching fora word but cannot remember it; if a relative or colleague has had a stroke which has influenced their language; if we observe a child (6) acquire language; if we try to learn a second language ourselves as an (7) adult; or if we visually impaired or hearing-impaired or if we meet anyone else who is. As we shall see, all these examples of what might (8) be called “language in exceptional circumstances”reveal a great dealabout the processes evolved in speaking, listening, writing and reading. (9) But given that language processes were normally so automatic, we also (10) need to carry out careful experiments to get what is happening.2012The central problem of translating has always been whether to translate literally or freely. The argument has been going since at least the first century B.C. Up to the beginning of the 19th century, many writers favored certain kind of “free” translation: the spirit, not the letter; the sense not the word; the message rather the form; the matter not the manner. This is the often revolutionary slogan of writers who wanted the truth to be read and understood. Then in the turn of 19th century, when the study of cultural anthropology suggested that the linguistic barriers were insuperable and that the language was entirely the product of culture, the view translation was impossible gained some currency, and with it that, if was attempted at all, it must be as literal as possible. This view culminated the statement of the extreme “literalists” Walter Benjamin and Vladimir Nabokov.The argument was theoretical: the purpose of the translation, the nature of the readership, the type of the text, was not discussed. Too often, writer, translator and reader were implicitly identified with each other. Now, the context has changed, and the basic problem remains.(1)(2)(3)(4)(5)(6)(7)(8)(9)(10)2011From a very early age, perhaps the age of five or six, I knew thatwhen I grew I should be a writer. Between the ages of about seventeen (1) and twenty-four I tried to abandon this idea, but I did so withthe conscience that I was outraging my true nature and that (2) soon or later I should have to settle down and write books. (3)I was the child of three, but there was a gap of five years on either (4) side, and I barely saw my father before I was eight. For this and other reasons I was somewhat lonely, and I soon developed disagreeing (5) mannerisms which made me unpopular throughout my schooldays. Ihad the lonely child’s habit of making up stories and holding conversations with imaginative persons, and I think from the very start (6) my literal ambitions were mixed up with the feeling of being isolated (7) and undervalued. I knew that I had a facility with words and a power offacing in unpleasant facts, and I felt that this created a sort of private (8) world which I could get my own back for my failure in everyday life. (9) Therefore, the volume of serious — i.e. seriously intended — writing (10) which I produced all through my childhood and boyhood would notamount to half a dozen pages. I wrote my first poem at the age of four orfive, my mother taking it down to dictation.2010So far as we can tell, all human languages are equally complete and perfect as instruments of communication: that is, every language appears to be well equipped as any other to say the things their speakers want to say.There may or may not be appropriate to talk about primitive peoples or cultures, but that is another matter. Certainly, not all groups of people are equally competent in nuclear physics or psychology or the cultivation of rice. Whereas this is not the fault of their language. The Eskimos, it is said, can speak about snow with further more precision and subtlety than we can in English, but this is not because the Eskimo language (one of those sometimes miscalled “primitive”) is inherently more precise and subtle than English.This example does not come to light a defect in English, a show of unexpected “primitiveness”. The position is simply and obviously that the Eskimos and the English live in similar environments. The English language will be just as rich in terms for different kinds of snow if the environments in which English was habitually used made such distinction as important.Similarly, we have no reason to doubt that the Eskimo language could be as precise and subtle on the subject of motor manufacture or cricket if these topics formed the part of the Esk imos’ life.(1)(2)(3)(4)(5)(6)(7)(8)(9)(10)2009The previous section has shown how quickly a rhyme passes from one school child to the next and illustrates the further difference between school lore and nursery lore. In nursery lore a verse, learnt in early childhood, is not usually passed on again when the little listener has grown up, and has children of their own, or even grandchildren. The period between learning a nursery rhyme and transmitting it may be something from twenty to seventy years. With the playground lore, therefore, a rhyme may be excitedly passed on within the very hour it is learnt; and in the general, it passes between children of the same age, or nearly so, since it is uncommon for the difference in age between playmates to be more than five years. If, therefore, a playground rhyme can be shown to have been currently for a hundred years, or even just for fifty, it follows that it has been retransmitted over and over; very possibly it has passed along a chain of two or three hundred young hearers and tellers, and the wonder is that it remains live after so much handling; to let alone that it bears resemblance to the original wording.(1)(2)(3)(4)(5)(6)(7)(8)(9)(10)2008The desire to use language as a sign of national identity is a very natural one, and in result language has played a prominent part in (1) national moves. Men have often felt the need to cultivate a given (2)language to show that they are distinctive from another race whose (3)hegemony they resent. At the time the United States split off from (4) Britain, for example, there were proposals that independence shouldbe linguistically accepted by the use of a different language from (5) those of Britain. There was even one proposal that Americans should (6) adopt Hebrew. Others favored the adoption of Greek, though, as oneman put it, things would certainly be simpler for Americans if theystuck on to English and made the British learn Greek. (7) At the end, as everyone knows, the two countries adopted the (8) practical and satisfactory solution of carrying with the same language as (9) before.Since nearly two hundred years now, they have shown the world (10) that political independence and national identity can be completewithout sacrificing the enormous mutual advantages of a common2007From what has been said, it must be clear that no one can makevery positive statements about how language originated. There is no material in any language today and in the earliest records of ancient (1) languages show us language in a new and emerging state. It is often (2) said, of course, that the language originated in cries of anger, fear, pain (3) and pleasure, and the necessary evidence is entirely lacking: there are no (4) remote tribes, no ancient records, providing evidence of a language witha large proportion of such cries than we find in English. It is true that (5) the absence of such evidence does not disprove the theory, but in other (6) grounds too the theory is not very attractive.People of all races and languages make rather similar noises in return to pain or pleasure. The fact that such noises are similar on the (7) lips of Frenchmen and Malaysians whose languages are utterly different, serves to emphasize on the fundamental difference between (8) these noises and language proper. We may say that the cries of pain or chortles of amusement are largely reflex actions, instinctive to large (9) extent, whereas language proper does not consist of signs but of these (10) that have to be learnt and that are wholly conventional.2006We use language primarily as a means of communication with other human beings. Each of us shares with the community in which we live a store of words and meanings as well as agreeing conventions as to the way in which words should be arranged to convey a particular message: the English speaker has in his disposal vocabulary and a set of grammatical rules which enables him to communicate his thoughts and feelings, in a variety of styles, to the other English speakers. His vocabulary, in particular, both that which he uses actively and that which he recognizes, increases in size as he grows old as a result of education and experience.But, whether the language store is relatively small or large, the system remains no more than a psychological reality for the individual, unless he has a means of expressing it in terms able to be seen by another member of his linguistic community; he has to give the system a concrete transmission form. We take it for granted the two most common forms of transmission —by means of sounds produced by our vocal organs (speech) or by visual signs (writing). And these are among most striking of human achievements.(1)(2)(3)(4)(5)(6)(7)(8)(9)(10)2005 A number of colleges and universities have announced steep tuition increases for next year much steeper than the current, very low rate of inflation. They say the increases are needed because of a loss invalue of university endowments heavily investing in common stock.I am skeptical. A business firm chooses the price that maximizes itsnet revenues, irrespective fluctuations in income; and increasinglythe outlook of universities in the United States is indistinguishablefrom those of business firms.The rise in tuition may reflect the fact economicuncertainty increases the demand for education. The biggest cost ofbeing in the school is foregoing income from a job (this is primarily afactor in graduate and professional-school tuition); the poor one’s jobprospects, the more sense it makes to reallocate time from the jobmarket to education, in order to make oneself more marketable.The ways which universities make themselves attractive tostudents include soft majors, student evaluations of teachers, givingstudents a governance role, and eliminate required courses. Sky-hightuitions have caused universities to regard their students as customers.Just as business firms sometimes collude to shorten the rigors ofcompetition, universities collude to minimize the cost to them of theathletes whom they recruit in order to stimulate alumni donations, so thebest athletes now often bypass higher education in order to obtainsalaries earlier from professional teams. And until they were stopped bythe antitrust authorities, the Ivy League schools colluded to limitcompetition for the best students, by agreeing not to award scholarshipson the basis of merit rather than purely of need-just like business firmsagreeing not to give discounts on their best customer.(1)(2)(3) (4) (5) (6) (7) (8) (9)(10)2004One of the most important non-legislative functions of the U.S Congress is the power to investigate. This power is usually delegated to committees — either standing committees, special committees set for a specific purpose, or joint committees consisted of members of both houses.Investigations are held to gather information on the need for future legislation, to test the effectiveness of laws already passed, to inquire into the qualifications and performance of members and officials of the other branches, and in rare occasions, to lay the groundwork for impeachment proceedings. Frequently, committees rely outside experts to assist in conducting investigative hearings and to make out detailed studies of issues. There are important corollaries to the investigative power.One is the power to publicize investigations and its results. Most committee hearings are open to public and are reported widely in the mass media. Congressional investigations nevertheless represent one important tool available to lawmakers to inform the citizenry and to arouse public interests in national issues. Congressional committees also have the power to compel testimony from unwilling witnesses, and to cite for contempt of Congress witnesses who refuse to testify and for perjury of these who give false testimony.(1)(2)(3)(4)(5)(6)(7)(8)(9)(10)2003Demographic indicators show that Americans in the postwar period were more eager than ever to establish families.They quickly brought down the age at marriage for both men and women and brought the birth rate to a twentieth century height after more than a hundred years of a steady decline, producing the “baby boom.” These young adults established a trend of early marriage and relatively large families that went for more than two decades and caused a major but temporary reversal of long-term demographic patterns. From the 1940s through the early 1960s, Americans married at a high rate and at a younger age than their Europe counterparts.Less noted but equally more significant, the men and women who formed families between 1940 and 1960 nevertheless reduced the divorce rate after a postwar peak; their marriages remained intact to a greater extent than did that of couples who married in earlier as well as later decades. Since the United States maintained its dubious distinction of having the highest divorce rate in the world, the temporary decline in divorce did not occur in the same extent in Europe. Contrary to fears of the experts, the role of breadwinner and homemaker was not abandoned.(1)(2)(3)(4)(5)(6)(7)(8)(9)(10)2002There are great impediments to the general use of a standard in pronunciation comparable to that existing in spelling (orthography). One is the fact that pronunciation is learnt “naturally” and unconsciously, and orthography is learnt deliberately and consciously. Large numbers of us, in fact, remain throughout our lives quite unconscious with what our speech sounds like when we speak out, and it often comes as a shock when we firstly hear a recording of ourselves. It is not a voice we recognize at once, whereas our own handwriting is something which we almost always know. We begin the ”natural” learning of pronunciation long before we start learning to read or write, and in our early years we went on unconsciously imitating and practicing the pronunciation of those around us for many more hours per every day than we ever have to spend learning even our difficult English spelling. This is “natural”, therefore, that our speech-sounds should be those of our immediate circle; after all, as we have seen, speech operates as a means of holding a community and giving a sense of “belonging”. We learn quite early to recognize a “stranger”, someone who speaks with an accent of a different community—perhaps only a few miles far.(1)(2)(3)(4)(5)(6)(7)(8)(9)(10)2001During the early years of this century, wheat was seen as the very lifeblood of Western Canada. People on city streets watched the yields and the price of wheat in almost as much feeling as if they were growers. The marketing of wheat became an increasing favorite topic of conversation.War set the stage for the most dramatic events in marketing the western crop. For years, farmers mistrusted speculative grain selling as carried on through the Winnipeg Grain Exchange.Wheat prices were generally low in the autumn, so farmers could not wait for markets to improve. It had happened too often that they sold their wheat soon shortly after harvest when farm debts were coming due, just to see prices rising and speculators getting rich.On various occasions, producer groups, asked firmer control, but the government had no wish to become involving, at least not until wartime when wheat prices threatened to run wild. Anxious to check inflation and rising life costs, the federal government appointed a board of grain supervisors to deal with deliveries from the crops of 1917 and 1918. Grain Exchange trading was suspended, and farmers sold at prices fixed by the board. To handle with the crop of 1919, the government appointed the first Canadian Wheat Board, with total authority to buy, sell, and set prices.(1)(2)(3)(4)(5)(6)(7)(8)(9)(10)2000The grammatical words which play so large a part in English grammar are for the most part sharply and obviously different from the lexical words. A rough and ready difference which may seem the most obvious is that grammatical words have “less meaning”, but in fact some grammarians have called them “empty” words as opposed in the “full” words of vocabulary.But this is a rather misled way of expressing the distinction. Although a word like the is not the name of something as man is, it is very far away from being meaningless; there is a sharp difference in meaning between “man is vile and” “the man is vile”, yet the is the single vehicle of this difference in meaning. Moreover, grammatical words differ considerably among themselves as the amount of meaning they have, even in the lexical sense. Another name for the grammatical words has been “little words”. But size is by no mean a good criterion for distinguishing the grammatical words of English, when we consider that we have lexical words as go, man, say, car. Apart from this, however, there is a good deal of truth in what some people say: we certainly do create a great number of obscurity when we omit them. This is illustrated not only in the poetry of Robert Browning but in the prose of telegrams and newspaper headlines.(1)(2)(3)(4)(5)(6)(7)(8)(9)(10)2000 年—2018 年英语专八短文改错答案解析2018 年1.in case of → in the case of 解析:in case of 意为“万一,如果,以防”,in the case of 意为“就……来说,至于……,就……而言”。
2000 年-2018 年英语专八改错真题及答案解析2018Mass media is media that is intended for a large audience. It maytake the form of broadcast media, as in case of television and radio, or (1) print media, as newspapers and magazines. (2) Usually, mass media aims to reach a very large market, such as theentire population of a country. By contrast, local media covers a muchsmall population and area, focusing on regional news of interest, (3) specialty media is provided for particular demographic groups. Some (4) local media outlets that cover state or provincial news may raise to (5) prominence thanks to their investigative journalism, and to the clout thattheir particular regions have in the national politics.People often think of mass media as the news, it also includes (6) entertainment like television shows, books, and films. It may also be educational in the nature, as in the instance of public broadcasting (7) stations that provide educational programs to a national audience.Political communications including propaganda are also frequentlydistributed through the media, as were public service announcements (8) and emergency alerts.When elitists may be tempted to sneer at mass media, referring to it (9) as the “opiate of the masses,” it is a critical part of human societies. Understanding mass media is usually the key to understand a population (10) and culture, which is why the field of media studies is so huge.2017The ability to communicate is the primary factor that distinguisheshuman beings from animals. And it is the ability to communicate wellwhich distinguishes one individual from another. (1) The fact is that apart from the basic necessities, one needs to be equipped with habits for good communication skills, thus this is what(2) will make one a happy and successful social being.In order to develop these habits, one needs to first acknowledge thefact that they need to improve communication skills from time to time.They need to take stock of the way how they interact and the direction (3) in which their work and personal relations are going. The only constantin life is change, the more one accepts one’s strengths and works(4) towards dealing with their shortcomings, specially in the area of (5) communication skills, the better will be the interactions and the moretheir social popularity.The dominated question that comes here is: How to improve (6) communication skills? The answer is simple. One can find plenty ofliterature on this. There are also experts, who conduct workshops andseminar s based on communication skills of men and women. In fact, alarge number of companies are bringing in trainers to regularly make (7) sessions on the subject, in order to help their work force maintain better interpersonal work relations.Today effective communication skills have become a predominantfactor even while recruiting employees. While interviewing candidates,most interviewers judge them on the basis of the skills theycommunicate with. They believe that some skills can be improvised on(8) the job; but ability to communicate well is important, as every employee becomes the representing face of the company.There are trainers, who specialized in delivering custom-made (9) programs on the subject. Through the sessions they not only facilitatebetter communication skills in the workplace, but also look into theproblems in the manner of being able to convey messages effectively. (10)2016All social units develop a culture. Even in two-person relationship,a culture develops in time. In friendship and romantic relationships, for example, partners develop their own history, shared experiences,(1) language patterns, habits and customs give the relationship a special (2) character — a character that differs it in various ways from other relationships. Examples might include special dates, places, songs or(3) events that come to have a unique and important symbolic meaning forthe two individuals. Thus, any social unit —whether a relationship, group, organization, or society — develops a culture with the passage of(4) time. While the defining characteristics of each culture are unique, all cultures share certain same functions. The relationship between (5) communication and culture is a very complex intimate one. (6) Culture are created through communication; that is,communication is the means of human interaction, through it cultural characteristics are created and shared.It is not so much that individuals set out to create a culture when they interact in relationships, groups, organizations, or societies, but rather than that cultures are a natural by-product of social interaction. In a sense, culture are the “residue” of social communication. Without communication and communication media, it would be impossible to base and pass along cultural characteristics from one place and time to another. One can say, furthermore, that culture is created, shaped, transmitted, and learned through communication. (7)(8)(9)(10)2015When I was in my early teens, I was taken to a spectacular showon ice by the mother of a friend. Looked around at the luxury of the rink, my friend’s mother remarked on the “plush” seats we had been given. I did not know what she meant, and being proud of my vocabulary, I tried to infer its meaning from the context. “Plush” was clearly intended as a complimentary, a positive evaluation; that much I could tell it from the tone of voice and the context. So I started to use the word. Yes, I replied, they certainly are plush, and so are the ice rink and the costumes of the skaters, aren’t they? My friend’s mother was very polite to correct me, but I could tell from her expression that I had not got the word quite right.Often we can indeed infer from the context what a word roughly means, and that is in fact the way which we usually acquire both new words and new meanings for familiar words, specially in our own first language. But sometimes we need to ask, as I should have asked for Plush, and this is particularly true in the aspect of a foreign language. If you are continually surrounded by speakers of the language you are learning, you can ask them directly, but often this opportunity does not exist for the learner of English. So dictionaries have been developed to mend the gap. (1)(2)(3)(4)(5)(6)(7)(8)(9)(10)2014There is widespread consensus among scholars that second language acquisition (SLA) emerged as a distinct field of research from the late 1950s to early 1960s.There is a high level of agreement that the following questions have possessed the most attention of researchers in this area:•Is it possible to acquire an additional language in the same sense one acquire a first language?•What is the explanation for the fact adults have more difficulty in acquiring additional languages than children have?•What motivates people to acquire additional languages?•What is the role of the language teaching in the acquisition of an additional language ?•What social-cultural factors, if any, are relevant in studying the learning of additional languages?From a check of the literature of the field it is clear that all the approaches adopted to study the phenomena of SLA so far have one thing in common: The perspective adopted to view the acquiring of an additional language is that of an individual attempts to do so. Whether one labels it “learning” or “acquiring” an additional language, it is an individual accomplishment or what is under focus is cognitive, psychological, and institutional status of an individual. That is, the spotlight is on what mental capabilities are involving, what psychological factors play a role in the learning or acquisition, and whether the target language is learnt in the classroom or acquired through social touch with native speakers. (1)(2)(3)(4)(5)(6)(7)(8)(9)(10)Psycho-linguistics is the name given to the study of thepsychological processes involved in language. Psycholinguistics study understanding, production and remembering language, and hence are (1) concerned with listening, reading, speaking, writing, and memory for language.One reason why we take the language for granted is that it usually (2) happens so effortlessly, and most of time, so accurately. Indeed, when (3) you listen to someone to speaking, or looking at this page, you normally (4) cannot help but understand it. It is only in exceptional circumstances we (5) might become aware of the complexity involved: if we are searching fora word but cannot remember it; if a relative or colleague has had a stroke which has influenced their language; if we observe a child (6) acquire language; if we try to learn a second language ourselves as an (7) adult; or if we visually impaired or hearing-impaired or if we meet anyone else who is. As we shall see, all these examples of what might (8) be called “language in exceptional circumstances”reveal a great dealabout the processes evolved in speaking, listening, writing and reading. (9) But given that language processes were normally so automatic, we also (10) need to carry out careful experiments to get what is happening.2012The central problem of translating has always been whether totranslate literally or freely. The argument has been going since at least the first century B.C. Up to the beginning of the 19th century, many writers favored certain kind of “free” translation: the spirit, not the letter; the sense not the word; the message rather the form; the matter not the manner. This is the often revolutionary slogan of writers who wanted the truth to be read and understood. Then in the turn of 19th century, when the study of cultural anthropology suggested that the linguistic barriers were insuperable and that the language was entirely the product of culture, the view translation was impossible gained some currency, and with it that, if was attempted at all, it must be as literal as possible. This view culminated the statement of the extreme “literalists” Walter Benjamin and Vladimir Nabokov.The argument was theoretical: the purpose of the translation, the nature of the readership, the type of the text, was not discussed. Too often, writer, translator and reader were implicitly identified with each other. Now, the context has changed, and the basic problem remains. (1)(2)(3)(4)(5)(6)(7)(8)(9)(10)2011From a very early age, perhaps the age of five or six, I knew thatwhen I grew I should be a writer. Between the ages of about seventeen (1) and twenty-four I tried to abandon this idea, but I did so withthe conscience that I was outraging my true nature and that (2) soon or later I should have to settle down and write books. (3)I was the child of three, but there was a gap of five years on either (4) side, and I barely saw my father before I was eight. For this and other reasons I was somewhat lonely, and I soon developed disagreeing (5) mannerisms which made me unpopular throughout my schooldays. Ihad the lonely child’s habit of making up stories and holding conversations with imaginative persons, and I think from the very start (6) my literal ambitions were mixed up with the feeling of being isolated (7) and undervalued. I knew that I had a facility with words and a power offacing in unpleasant facts, and I felt that this created a sort of private (8) world which I could get my own back for my failure in everyday life. (9) Therefore, the volume of serious — i.e. seriously intended — writing (10) which I produced all through my childhood and boyhood would notamount to half a dozen pages. I wrote my first poem at the age of four orfive, my mother taking it down to dictation.2010So far as we can tell, all human languages are equally complete and perfect as instruments of communication: that is, every languageappears to be well equipped as any other to say the things their speakers want to say.There may or may not be appropriate to talk about primitive peoples or cultures, but that is another matter. Certainly, not all groups of people are equally competent in nuclear physics or psychology or the cultivation of rice. Whereas this is not the fault of their language. The Eskimos, it is said, can speak about snow with further more precision and subtlety than we can in English, but this is not because the Eskimo language (one of those sometimes miscalled “primitive”) is inherently more precise and subtle than English.This example does not come to light a defect in English, a show of unexpected “primitiveness”. The position is simply and obviously that the Eskimos and the English live in similar environments. The English language will be just as rich in terms for different kinds of snow if the environments in which English was habitually used made such distinction as important.Similarly, we have no reason to doubt that the Eskimo language could be as precise and subtle on the subject of motor manufacture or cricket if these topics formed the part of the Eskimos’ life.(1)(2)(3)(4)(5)(6)(7)(8)(9)(10)2009The previous section has shown how quickly a rhyme passes fromone school child to the next and illustrates the further difference between school lore and nursery lore. In nursery lore a verse, learnt in early childhood, is not usually passed on again when the little listener has grown up, and has children of their own, or even grandchildren. The period between learning a nursery rhyme and transmitting it may be something from twenty to seventy years. With the playground lore, therefore, a rhyme may be excitedly passed on within the very hour it is learnt; and in the general, it passes between children of the same age, or nearly so, since it is uncommon for the difference in age between playmates to be more than five years. If, therefore, a playground rhyme can be shown to have been currently for a hundred years, or even just for fifty, it follows that it has been retransmitted over and over; very possibly it has passed along a chain of two or three hundred young hearers and tellers, and the wonder is that it remains live after so much handling; to let alone that it bears resemblance to the original wording. (1)(2)(3)(4)(5)(6)(7)(8)(9)(10)2008The desire to use language as a sign of national identity is a very natural one, and in result language has played a prominent part in (1) national moves. Men have often felt the need to cultivate a given (2)language to show that they are distinctive from another race whose (3)hegemony they resent. At the time the United States split off from (4) Britain, for example, there were proposals that independence shouldbe linguistically accepted by the use of a different language from (5) those of Britain. There was even one proposal that Americans should (6) adopt Hebrew. Others favored the adoption of Greek, though, as oneman put it, things would certainly be simpler for Americans if theystuck on to English and made the British learn Greek. (7) At the end, as everyone knows, the two countries adopted the (8) practical and satisfactory solution of carrying with the same language as (9) before.Since nearly two hundred years now, they have shown the world (10) that political independence and national identity can be completewithout sacrificing the enormous mutual advantages of a common2007From what has been said, it must be clear that no one can makevery positive statements about how language originated. There is no material in any language today and in the earliest records of ancient (1) languages show us language in a new and emerging state. It is often (2) said, of course, that the language originated in cries of anger, fear, pain (3) and pleasure, and the necessary evidence is entirely lacking: there are no (4) remote tribes, no ancient records, providing evidence of a language witha large proportion of such cries than we find in English. It is true that (5) the absence of such evidence does not disprove the theory, but in other (6) grounds too the theory is not very attractive.People of all races and languages make rather similar noises in return to pain or pleasure. The fact that such noises are similar on the (7) lips of Frenchmen and Malaysians whose languages are utterly different, serves to emphasize on the fundamental difference between (8) these noises and language proper. We may say that the cries of pain or chortles of amusement are largely reflex actions, instinctive to large (9) extent, whereas language proper does not consist of signs but of these (10) that have to be learnt and that are wholly conventional.2006We use language primarily as a means of communication with other human beings. Each of us shares with the community in which welive a store of words and meanings as well as agreeing conventions as to the way in which words should be arranged to convey a particular message: the English speaker has in his disposal vocabulary and a set of grammatical rules which enables him to communicate his thoughts and feelings, in a variety of styles, to the other English speakers. His vocabulary, in particular, both that which he uses actively and that which he recognizes, increases in size as he grows old as a result of education and experience.But, whether the language store is relatively small or large, the system remains no more than a psychological reality for the individual, unless he has a means of expressing it in terms able to be seen by another member of his linguistic community; he has to give the system a concrete transmission form. We take it for granted the two most common forms of transmission —by means of sounds produced by our vocal organs (speech) or by visual signs (writing). And these are among most striking of human achievements. (1)(2)(3)(4)(5)(6)(7)(8)(9)(10)2005A number of colleges and universities have announced steep tuition increases for next year much steeper than the current, very low rate of inflation. They say the increases are needed because of a loss invalue of university endowments heavily investing in common stock.I am skeptical. A business firm chooses the price that maximizes its net revenues, irrespective fluctuations in income; and increasingly the outlook of universities in the United States is indistinguishable from those of business firms.The rise in tuition may reflect the fact economic uncertainty increases the demand for education. The biggest cost of being in the school is foregoing income from a job (this is primarily a factor in graduate and professional-school tuition); the poor one’s job prospects, the more sense it makes to reallocate time from the job market to education, in order to make oneself more marketable.The ways which universities make themselves attractive to students include soft majors, student evaluations of teachers, giving students a governance role, and eliminate required courses. Sky-high tuitions have caused universities to regard their students as customers. Just as business firms sometimes collude to shorten the rigors of competition, universities collude to minimize the cost to them of the athletes whom they recruit in order to stimulate alumni donations, so the best athletes now often bypass higher education in order to obtain salaries earlier from professional teams. And until they were stopped by the antitrust authorities, the Ivy League schools colluded to limit competition for the best students, by agreeing not to award scholarships on the basis of merit rather than purely of need-just like business firms agreeing not to give discounts on their best customer. (1)(2)(3)(4)(5)(6)(7)(8)(9)(10)2004One of the most important non-legislative functions of the U.S Congress is the power to investigate. This power is usually delegated tocommittees — either standing committees, special committees set for a specific purpose, or joint committees consisted of members of both houses.Investigations are held to gather information on the need for future legislation, to test the effectiveness of laws already passed, to inquire into the qualifications and performance of members and officials of the other branches, and in rare occasions, to lay the groundwork for impeachment proceedings. Frequently, committees rely outside experts to assist in conducting investigative hearings and to make out detailed studies of issues. There are important corollaries to the investigative power.One is the power to publicize investigations and its results. Most committee hearings are open to public and are reported widely in the mass media. Congressional investigations nevertheless represent one important tool available to lawmakers to inform the citizenry and to arouse public interests in national issues. Congressional committees also have the power to compel testimony from unwilling witnesses, and to cite for contempt of Congress witnesses who refuse to testify and for perjury of these who give false testimony. (1)(2)(3)(4)(5)(6)(7)(8)(9)(10)2003Demographic indicators show that Americans in the postwar period were more eager than ever to establish families.They quickly brought down the age at marriage for both men andwomen and brought the birth rate to a twentieth century height after more than a hundred years of a steady decline, producing the “baby boom.” These young adults established a trend of early marriag e and relatively large families that went for more than two decades and caused a major but temporary reversal of long-term demographic patterns. From the 1940s through the early 1960s, Americans married at a high rate and at a younger age than their Europe counterparts.Less noted but equally more significant, the men and women who formed families between 1940 and 1960 nevertheless reduced the divorce rate after a postwar peak; their marriages remained intact to a greater extent than did that of couples who married in earlier as well as later decades. Since the United States maintained its dubious distinction of having the highest divorce rate in the world, the temporary decline in divorce did not occur in the same extent in Europe. Contrary to fears of the experts, the role of breadwinner and homemaker was not abandoned. (1)(2)(3)(4)(5)(6)(7)(8)(9)(10)2002There are great impediments to the general use of a standard in pronunciation comparable to that existing in spelling (orthography). One is the fact that pronunciation is learnt “naturally” and unconsciously,and orthography is learnt deliberately and consciously. Large numbers of us, in fact, remain throughout our lives quite unconscious with what our speech sounds like when we speak out, and it often comes as a shock when we firstly hear a recording of ourselves. It is not a voice we recognize at once, whereas our own handwriting is something which we a lmost always know. We begin the ”natural” learning of pronunciation long before we start learning to read or write, and in our early years we went on unconsciously imitating and practicing the pronunciation of those around us for many more hours per every day than we ever have to spend learning even our difficult English spelling. This is “natural”, therefore, that our speech-sounds should be those of our immediate circle; after all, as we have seen, speech operates as a means of holding a community and giv ing a sense of “belonging”. We learn quite early to recognize a “stranger”, someone who speaks with an accent of a different community—perhaps only a few miles far. (1)(2)(3)(4)(5)(6)(7)(8)(9)(10)2001During the early years of this century, wheat was seen as the very lifeblood of Western Canada. People on city streets watched the yieldsand the price of wheat in almost as much feeling as if they were growers. The marketing of wheat became an increasing favorite topic of conversation.War set the stage for the most dramatic events in marketing the western crop. For years, farmers mistrusted speculative grain selling as carried on through the Winnipeg Grain Exchange.Wheat prices were generally low in the autumn, so farmers could not wait for markets to improve. It had happened too often that they sold their wheat soon shortly after harvest when farm debts were coming due, just to see prices rising and speculators getting rich.On various occasions, producer groups, asked firmer control, but the government had no wish to become involving, at least not until wartime when wheat prices threatened to run wild. Anxious to check inflation and rising life costs, the federal government appointed a board of grain supervisors to deal with deliveries from the crops of 1917 and 1918. Grain Exchange trading was suspended, and farmers sold at prices fixed by the board. To handle with the crop of 1919, the government appointed the first Canadian Wheat Board, with total authority to buy, sell, and set prices. (1)(2)(3)(4)(5)(6)(7)(8)(9)(10)2000The grammatical words which play so large a part in English grammar are for the most part sharply and obviously different from thelexical words. A rough and ready difference which may seem the most obvious is that grammatical wor ds have “less meaning”, but in fact some grammarians have called them “empty” words as opposed in the “full” words of vocabulary.But this is a rather misled way of expressing the distinction. Although a word like the is not the name of something as man is, it is very far away from being meaningless; there is a sharp difference in meaning between “man is vile and” “the man is vile”, yet the is the single vehicle of this difference in meaning. Moreover, grammatical words differ considerably among themselves as the amount of meaning they have, even in the lexical sense. Another name for the grammatical words has been “little words”. But size is by no mean a good criterion for distinguishing the grammatical words of English, when we consider that we have lexical words as go, man, say, car. Apart from this, however, there is a good deal of truth in what some people say: we certainly do create a great number of obscurity when we omit them. This is illustrated not only in the poetry of Robert Browning but in the prose of telegrams and newspaper headlines. (1)(2)(3)(4)(5)(6)(7)(8)(9)(10)2000 年—2018 年英语专八短文改错答案解析2018 年1.in case of → in the case of 解析:in case of 意为“万一,如果,以防”,in the case of 意为“就……来说,至于……,就……而言”。
专业英语八级真题2000年(总分:100.00,做题时间:90分钟)一、{{B}}PART Ⅰ LISTENING COMPREHENSION{{/B}}(总题数:1,分数:5.00)In Section A, B and C you will hear everything once only. Listen carefully and then answer the questions that follow.{{B}}SECTION A TALK{{/B}}Questions 1 to 5 refer to the talk in this section. At the end of the talk you will be given 15 seconds to answer each of the following five questions. Now listen to the talk.In Section A, B and C you will hear everything once only. Listen carefully and then answer the questions that follow.{{B}}SECTION A TALK{{/B}}Questions 1 to 5 refer to the talk in this section. At the end of the talk you will be given 15 seconds to answer each of the following five questions. Now listen to the talk.(分数:5.00)(1).The rules for the first private library in the US were drawn up by(分数:1.00)A.the legislature.B.the librarian. √C.John Harvard.D.the faculty members.解析:(2).The earliest public library was also called a subscription library because books(分数:1.00)A.could be lent to everyone.B.could be lent by book stores.C.were lent to students and the faculty.D.were lent on a membership basis. √解析:(3).Which of the following is NOT stated as one of the purposes of free public libraries?(分数:1.00)A.To provide readers with comfortable reading rooms. √B.To provide adults with opportunities of further education.C.To serve the community's cultural and recreational needs.D.To supply technical literature on specialized subjects.解析:(4).The major difference between modern private and public libraries lies in(分数:1.00)A.readership. √B.content.C.service.D.function.解析:(5).The main purpose of the talk is(分数:1.00)A.to introduce categories of books in US libraries.B.to demonstrate the importance of US libraries.C.to explain the roles of different US libraries. √D.to define the circulation system of US libraries.解析:[听力原文] Questions1-5 The earliest libraries existed thousands of years ago in China and Egypt where collections of records on tablets of baked clay were kept in temples and royal palaces. In the western world, libraries were first established in Ancient Greece. For example, Aristotle once had a research library in the 3rd century B.C. The first library in the United States was a private library, which could be used only by authorized readers. In 1633, John Harvard gave money and more than 300 books to a newly established college in Massachusetts. In return for his generosity, the legislature voted that the school be named Harvard College. The librarian there set the rules for the new library. Only college students and faculty members could use the books. No book could be lent for more than one month. The earliest public library was established in Philadelphia in 1731. Although this library was open to everyone, all readers had to pay a membership or subscription fee in order to borrow books. Very few subscription libraries exist today. Some book and stationery stores maintain small rental libraries where everyone may borrow a book for a daily charge. The first truly free public library that circulated books to everyone at no cost was started in a small New England town in 1833. Today there are more than 7,000 free public libraries throughout the U.S.. They contain about 160 million books, which are circulated to over 52 million readers. Historically, the major purpose of free public libraries was educational. They were expected to provide adults with the opportunity to continue their education after they left school. So the function of a public library was once described as lesser reservoir than a fountain. In other words, emphasis was to be placed on wide circulation rather than on collecting and storing books. Over the years, public library services have greatly expanded. In addition to their continuing and important educational role, public libraries provide culture and recreation, and they are trying to fill many changing community needs. Most libraries offer browsing rooms where readers can relax on comfortable chairs and read current newspapers and magazines. Many also circulate music records. Library programs of films,lectures, reading clubs and concerts also attract library users. In addition to books, records, periodicals and reference material, libraries provide technical information such as books and pamphlets on gardening, carpentry and other specialized fields of interest. The largest public library in the U. S. is the Library of Congress. It was originally planned as a reference library for the federal legislature. Today, in addition to that important function, it serves as a reference library for the public, and sends out many books to other libraries on an inter-library loan system. Unlike free public libraries which are open to everyone, private libraries can be used only by authorized readers. Many industrial and scientific organizations and business firms have collections of books, journals and research data for their staffs. Several private historical associations have research collections of special interest to their members. In addition, many elementary and secondary schools operate libraries for use by students and teachers. Prisons and hospitals maintain libraries, too. The largest and most important private libraries are operated by colleges and universities, and are used by students, faculty members, and occasionally by visiting scholars. Many universities have special libraries for research in particular fields such as law, medicine and education. Recent surveys report that more than 300 million books are available in these academic libraries and they are regularly used by over 8 million students.二、{{B}}SECTION B INTERVIEW{{/B}}(总题数:1,分数:5.00)Questions 6 to 10 are based on an interview. At the end of the interview you will be given 15 seconds to answer each of the following questions. Now listen to the interview.Questions 6 to 10 are based on an interview. At the end of the interview you will be given 15 seconds to answer each of the following questions. Now listen to the interview.(分数:5.00)(1).Nancy became a taxi driver because(分数:1.00)A.she owned a car.B.she drove well.C.she liked drivers' uniforms.D.it was her childhood dream. √解析:(2).According to her, what was the most difficult about becoming a taxi driver?(分数:1.00)A.The right sense of direction.B.The sense of judgment. √C.The skill of maneuvering.D.The size of vehicles.解析:(3).What does Nancy like best about her job?(分数:1.00)A.Seeing interesting buildings in the city.B.Being able to enjoy the world of nature. √C.Driving in unsettled weather.D.Taking long drives outside the city.解析:(4).It can be inferred from the interview that Nancy is a(n) ______ mother.(分数:1.00)A.uncaringB.strictC.affectionate √D.permissive解析:(5).The people Nancy meets are(分数:1.00)A.rather difficult to please.B.rude to women drivers.C.talkative and generous with tips.D.different in personality. √解析:[听力原文] Questions6-10 Interviewer: Hello, Nancy. I know you are one of the few women taxi drivers in the city now and you drive for a living. What made you want to become a taxi driver in the first place? Nancy:I took pride in driving well even when I was young, for I had to wait until I had a car to learn to drive. When I finally learned, it was something I really enjoyed and still enjoy. I remember how smart those taxi drivers had seemed driving so well and dressed so neatly in their uniforms. And I thought I'd like to do that myself. Interviewer: You really enjoy driving, I see. And how long have you been a taxi driver? Nancy: Er... altogether 12 years. Interviewer: Mm... it has been quite some time already, hasn't it? Nancy: Yeah. Interviewer: Then, what did you find the most difficult about becoming a taxi driver? Nancy: I can still remember when I was learning to drive, it was scary. I did not yet know how to judge distance, and when a truck came near, it seemed like its wheels would just come right over me. Anyway, soon I learned to judge distance. I began looking ahead, stopped worrying about the trucks and about what was moving on either side. Interviewer: In your opinion, what does it take to become a good taxi driver? Nancy: Er... besides driving well, the most important thing a taxi driver needs to know is the streets, and I knew the city well because I'd lived there for a long time. I knew all the mainstreets and even the side streets. And, of course, you have to keep updating your knowledge of the streets because the city changes. There might be a new road appearing somewhere one day. Interviewer: Now, what about annual leaves? Do you have them? Nancy:Oh yes. When I first started, I had only 10 days. And now I have 3 weeks every year with pay. Interviewer:Just out of curiosity, when you go on vacation to another place or city, do you drive there as well? Nancy: In most cases, not. I prefer to be driven by others if we go by car. I would also prefer to go by train or plane if there is a choice. I've already had too much driving in my life. So when on holiday, I just want to relax. Interviewer:I see. Let's come back to your work. Are there any unpleasant aspects in your job? Nancy: The only serious difficulty with this work is that sometimes it's dangerous to drive at night. But you have a choice and I always choose to work days rather than nights. Interviewer: Then, what's the best part of your job? Nancy: I soon found that what I liked the best about this job was being outdoors, seeing how the city changes from season to season, and there are places I've seen that I would probably never have seen in another job. And I love all kinds of weather. I'd like to leave the window down in a fine rain. And when I have a long drive near the end of the day, I sometimes go past my home to tell my two little children that I'll be home soon. And they always want to come along in my car. Interviewer: Oh, do they? I guess kids all like to be taken for a ride sometimes. Nancy: Yeah, but you cannot take anyone along unless they pay or you pay for them.So I've to pay their fares one of these days and take them out in my taxi,because they really think it's fun. Out in the countryside on a long drive, with the fresh air and sun shining, you just seem to want to drive forever. At least that's how it's for me. Interviewer: Being a taxi driver, you have to meet all kinds of people. How do you feel about that? Nancy: I enjoy meeting many different people. I might not have met some if not for this job, and I've learnt a lot about how people behave in these years. Interviewer: Can you tell us a bit more about it? Nancy: The biggest advantage is that you come across various characters in your work.Some people are interesting, some rushed, some pleasant, some funny, some talkative, some are so pressed for time that they change their clothes in the taxi. Those who are in the greatest rush would sometimes forget to pay. Interviewer: Have you ever met someone who doesn't like women drivers? Nancy: Yes. Once a passenger really objected to having a woman driver, and I laughed at him so much that he stopped his fussing. Although there has been one or two cases like this, I think most people are nice to women drivers. So this is really an interesting part of my work. Interviewer: Now, my last question. Have you ever thought Of changing your job? Nancy: Not yet. I might in a few years' time, but not at this moment, because I really enjoy my work and I do get a lot of satisfaction out of it. So, why would I? Interviewer: OK. Our interview is coming to the end. I'd like to wind up our interview by wishing you good luck. Thank you very much for your time, Nancy. Nancy: Pleasure.三、{{B}}SECTION C NEWS BROADCAST{{/B}}(总题数:3,分数:5.00)1.Question 11 is based on the following news. At the end of the news item, you will be given 15 seconds to answer the question. Now listen to the news.Question 11 is based on the following news. At the end of the news item, you will be given 15 seconds to answer the question. Now listen to the news.The primary purpose of the US anti-smoking legislation is(分数:1.00)A.to tighten control on tobacco advertising.B.to impose penalties on tobacco companies.C.to start a national anti-smoking campaign.D.to ensure the health of American children. √解析:[听力原文] Question 11 President Clinton has renewed his attacks on the American tobacco industry, accusing it of using delaying tactics to block anti-smoking legislation. The US Congress is considering a bill which would place tight restrictions on tobacco advertising and impose penalties on tobacco companies if they continue to sell cigarettes to children. Mr. Clinton said it was a fight with the lives of American children and he urged Congress to move ahead with the bill. But a spokesman for one of the big tobacco companies called the legislation totally unreasonable and he said the process had become wholly politicized.Questions 12 and 13 are based on the following news. At the end of the news item, you will be given 30 seconds to answer the questions. Now listen to the news.Questions 12 and 13 are based on the following news. At the end of the news item, you will be given 30 seconds to answer the questions. Now listen to the news.(分数:2.00)(1).The French President's visit to Japan aims at(分数:1.00)A.making more investment in Japan.B.stimulating Japanese businesses in France.C.helping boost the Japanese economy. √unching a film festival in Japan.解析:(2).This is Jacques Chirac's ______ visit to Japan.(分数:1.00)A.secondB.fourteenthC.fortiethD.forty-first √解析:[听力原文] Question 12—13 The French President Jacques Chirac is to discuss the efforts to stimulate the Japanese economy during a visit to Japan which begins today. The French President is no stranger to Japan. He's visited the country forty times before and this will be his second visit as president. Mr. Chirac will hold summit talks with the Japanese Prime Minister next Monday. He's expected to discuss efforts to boost the Japanese economy as well as investments by Japanese companies in France. He'll also meet the Emperor and the Empress at Longshong Tuesday. But perhaps the event that will draw most attention is the launch of a year-long festival of French arts and culture in Japan. A replica of the Arch de Triomphe that usually stands in Paris has been transported to Tokyo Bay for the festival and Mr. Chirac will unveil it. The festival includes films, theatrical performances, dance and exhibitions as well as promotions for French food and wine, both of which are very popular in Japan.Questions 14 and 15 are based on the following news. At the end of the news item, you will be given 30 seconds to answer the questions. Now listen to the news.Questions 14 and 15 are based on the following news. At the end of the news item, you will be given 30 seconds to answer the questions. Now listen to the news.(分数:2.00)(1).Afghan people are suffering from starvation because(分数:1.00)A.melting snow begins to block the mountain paths.B.the Taliban have destroyed existing food stocks.C.the Taliban are hindering food deliveries. √D.an emergency air-lift of food was cancelled.解析:(2).______ people in Afghanistan are facing starvation.(分数:1.00)A.160,000 √B.16,000C.1,000,000D.100,000解析:[听力原文] Questions 14—15 Officials of the World Food Program, WFP, said they are receiving information that famine has gripped parts of Central Afghanistan. WFP officials say as the winter snow begins to melt and high mountain paths begin to clear, local leaders and international aid workers are reporting some people are dying of starvation. Officials say a major disaster affecting hundreds of thousands of people may be in the making. The Taliban are blocking food deliveries to central Afghanistan. The UN has warned for several months that more than 1 million people are suffering from the blockade and 160,000 face starvation. An emergency air-lift of food to central provinces was cancelled earlier this year when the Taliban bombed the local airport. WFP officials say existing food stocks in that area are exhausted and an emergency effort will be launched to bring wheat and potatoes into the area.四、{{B}}SECTION D NOTE-TAKING AND GAP-FILLING{{/B}}(总题数:1,分数:10.00)In this section you will hear a mini-lecture. You will hear the lecture once only. While listening to the lecture, take notes on the important points. Your notes will not be marked, but you will need them to complete a 15-minute gap-filling task on ANSWER SHEET after the mini-lecture. Use the blank sheet for note-taking.ANSWER SHEET{{B}}On Public Speaking{{/B}}When people are asked to give a speech in public for the first time, they usually feel terrified no matter how well they speak in informal situations. In fact, public speaking is the same as any other form of{{U}} (1) {{/U}}that people are usually engaged in. Public speaking is a way for a speaker to{{U}} (2) {{/U}}his thoughts with the audience. Moreover, the speaker is free to decide on the{{U}} (3) {{/U}}of his speech.Two key points to achieve success in public speaking:—{{U}} (4) {{/U}}of the subject matter.—good preparation of the speech.To facilitate their understanding, inform your audience before hand of the{{U}} (5) {{/U}}of your speech and end it with a summary.Other key points to bear in mind:—beware of your audience through eye contact.—vary the speed of{{U}} (6) {{/U}}—use the microphone skillfully to{{U}} (7) {{/U}}yourself in speech.—be brief in speech; always try to make your message{{U}} (8) {{/U}} Example: the best remembered inaugural speeches of the US presidents are the{{U}} (9) {{/U}}ones.Therefore brevity is essential to the{{U}} (10) {{/U}}of a speech..In this section you will hear a mini-lecture. You will hear the lecture once only. While listening to the lecture, take notes on the important points. Your notes will not be marked, but you will need them to complete a 15-minute gap-filling task on ANSWER SHEET after the mini-lecture. Use the blank sheet for note-taking.ANSWER SHEET{{B}}On Public Speaking{{/B}}When people are asked to give a speech in public for the first time, they usually feel terrified no matter how well they speak in informal situations. In fact, public speaking is the same as any other form of{{U}} (1) {{/U}}that people are usually engaged in. Public speaking is a way for a speaker to{{U}} (2) {{/U}}his thoughts with the audience. Moreover, the speaker is free to decide on the{{U}} (3) {{/U}}of his speech.Two key points to achieve success in public speaking:—{{U}} (4) {{/U}}of the subject matter.—good preparation of the speech.To facilitate their understanding, inform your audience before hand of the{{U}} (5) {{/U}}of your speech and end it with a summary.Other key points to bear in mind:—beware of your audience through eye contact.—vary the speed of{{U}} (6) {{/U}}—use the microphone skillfully to{{U}} (7) {{/U}}yourself in speech.—be brief in speech; always try to make your message{{U}} (8) {{/U}} Example: the best remembered inaugural speeches of the US presidents are the{{U}} (9) {{/U}}ones.Therefore brevity is essential to the{{U}} (10) {{/U}}of a speech..(分数:10.00)填空项1:__________________ (正确答案:talk)解析:填空项1:__________________ (正确答案:share)解析:填空项1:__________________ (正确答案:direction)解析:填空项1:__________________ (正确答案:knowledge)解析:填空项1:__________________ (正确答案:subject或topic)解析:填空项1:__________________ (正确答案:speaking或speech)解析:填空项1:__________________ (正确答案:comfort)解析:填空项1:__________________ (正确答案:short)解析:填空项1:__________________ (正确答案:shortest)解析:填空项1:__________________ (正确答案:success)解析:五、{{B}}PART Ⅱ PROOFREADING AND ERROR CORRECTION{{/B}}(总题数:10,分数:10.00) 填空项1:__________________ (正确答案:将the去掉。
TEST FOR ENGLISH MAJORS (2000)-GRADE EIGHT-PAPER ONETIME LIMIT: 95 MIN PART I LISTENING COMPREHENSION [40 MIN.]In Sections A, B and C you will hear everything ONCE ONLY. Listen carefully and then answer the questions that follow. Mark the correct answer to each question on your Colored Answer Sheet.SECTION A TALKQuestions 1 to 5 refer to the talk in this section .At the end of the talk you w ill be given 15 seconds to answer each of the following five questions.Now listen to the talk.1.The rules for the first private library in the US were drawn up by ___.A)the legislatureB)the librarianC)John HarvardD)the faculty members2.The earliest public library was also called a subscription library because books ___.A)could be lent to everyoneB)could be lent by book storesC)were lent to students and the facultyD)were lent on a membership basis3.Which of the following is NOT stated as one of the purposes of free public librariesA)To provide readers with comfortable reading rooms.B)To provide adults with opportunities of further education.C)To serve the community's cultural and recreational needs.D)To supply technical literature on specialized subjects.4.The major difference between modem private and public libraries lies in ___.A) readership C) service B) content D) function5.The main purpose of the talk is ___.A)to introduce categories of books in US librariesB)to demonstrate the importance of US librariesC)to explain the roles of different US librariesD)to define the circulation system of US librariesSECTION B INTERVIEWQuestions 6 to 10 are based on an interview. At the end of the interview you wil l be given 15 seconds to answer each of the following five questions.Now listen to the interview.6.Nancy became a taxi driver because ___.A)she owned a carB)she drove wellC)she liked drivers' uniformsD)it was her childhood dream7.According to her, what was the most difficult about becoming a taxi dr iverA)The right sense of direction.B)The sense of judgment.C)The skill of maneuvering.D)The size of vehicles.8.What does Nancy like best about her jobA)Seeing interesting buildings in the city.B)Being able to enjoy the world of nature.C)Driving in unsettled weather.D)Taking long drives outside the city.9.It can be inferred from the interview that Nancy in a (n) ___ mother.A) uncaring C) affectionate B) strict D) permissive10.The people Nancy meets areA)rather difficult to pleaseB)rude to women driversC)talkative and generous with tipsD)different in personalitySECTION C NEWS BROADCASTQuestion 11 is based on the following news. At the end of the news i tem, you wil l be given 15 seconds to answer the question.Now listen to the news.11.The primary purpose of the US anti-smoking legislation is ___.A)to tighten control on tobacco advertisingB)to impose penalties on tobacco companiesC)to start a national anti-smoking campaignD)to ensure the health of American childrenQuestions 12 and 13 are based on the following news. At the end of the news item, you will be given 30 seconds to answer the questions.Now listen to the news.12.The French President's visit to Japan aims at ___.A)making more investments in JapanB)stimulating Japanese businesses in FranceC)helping boost the Japanese economyD)launching a film festival in Japan13.This is Jacques Chirac's ___ visit to Japan.A) second C) fortiethB) fourteenth D) forty-firstQuestions 14 and 15 are based on the following news. At the end of the news item, you will be given 30 seconds to answer the questions.Now listen to the news.14.Afghan people are suffering from starvation because ___.A)melting snow begins to block the mountain pathsB)the Taliban have destroyed existing food stocksC)the Taliban are hindering food deliveriesD)an emergency air-lift of food was cancelled15.people in Afghanistan are facing starvation.A) 160,000C) 1,000,000B) 16,000D) 100, 000SECTION D NOTE-TAKING AND GAP-FILLINGIn this section you will hear a mini-lecture. You will the lecture ONCEONLY. While listening to the lecture, take notes on the important points. Your notes will not be marked, but you will need them to complete a 15-minute gap-filling task on ANSWER SHEET ONE after the mini-lecture. Use the blank paper for note-taking.Part Ⅱ PROOFREADING & ERROR CORRECTION (15 MIN) Proofread the given passage on ANSWER SHEET TWO as instructed.Part Ⅲ READING COMPREHENSION (40 MIN)SECTION A READING COMPREHENSION (30 MIN)In this section there are four reading passages followed by a total of fifteen multiple-choice questions. Read the passages and then mark your answers on your Colored Answer Sheet.TEXT ADespite Denmark's manifest virtues, Danes never talk about how proud they a re to be Danes. This would sound weird in Danish. When Danes talk to foreigners about Denmark, they always begin by commenting on its tininess, its unimportance, the difficulty of its language, the general small-mindedness and self-indulgence of their countrymen and the high taxes. No Dane would look you in the eye and say, "Denmark is a great country." You're supposed to figure this out for yourself.It is the land of the silk safety net, where almost half the national budget goes toward smoothing out life's inequalities, and there is plenty of money f or schools, day care, retraining programmes, job seminars-Danes love seminars: three days at a study centre hearing about waste management is almost as good as a ski trip. It is a culture bombarded by English, in advertising, pop music, the Internet, and despite all the English that Danish absorbs-there is no Danish Academy to defend against it -old dialects persist in Jutland that can barely be understood by Copenhageners. It is the land where, as the saying goes," Fe w have too much and fewer have too little, "and a foreigner is struck by the sweet egalitarianism that prevails, where the lowliest clerk gives you a level gaze, where Sir and Madame have disappeared from common usage, even Mr. and Mrs. It ’ s a nation of-aboutrecyclers55 % of Danish garbage gets made into something new- and no nuclear power plants. It's a nation of tireless planner. Trains run on time. Things operate well in general.Such a nation of overachievers - a brochure from the Ministry of Business and Industry says, "Denmark is one of the world's cleanest and most organize d countries, with virtually no pollution, crime, or poverty. Denmark is the most corruption-free society in the Northern Hemisphere. "So, of course, one's heart lifts at any sighting of Danish sleaze: skinhead graffiti on buildings ("Foreigner s Out of Denmark! "), broken beer bottles in the gutters, drunken teenagers slumped in the park.Nonetheless, it is an orderly land. You drive through a Danish town, it comes to an end at a stone wall, and on the other side is a field of barley, a nice clean line: town here, country there. It is not a nation of jay-walkers. People stand on the curb and wait for the red light to change, even if it's 2 a.m. a n d there's not a car in sight. However, Danes don' t think of themselves as a people——that's how they see Swedes and Germans. Danes see themselves as jazzy people, improvisers, more free spirited than Swedes, but the truth is (though one should not say it) that Danes are very much like Germans and Swedes. Orderliness is a main selling point. Denmark has few natural resources, limited manufacturing capability; its future in Europe will be as a broker, banker, and distributor of goods. You send your goods by container ship to Copenhagen, and these bright, young, English-speaking, utterly honest, highly disciplined people will get your goods around to Scandinavia, the Baltic States, and Russia. Airports, seaports, highways, and rail lines are ultramodern and well-maintained.The orderliness of the society doesn't mean that Danish lives are less messy or lonely than yours or mine, and no Dane would tell you so. You can hear plenty about bitter family feuds and the sorrows of alcoholism and about perfectly sensible people who went off one day and killed themselves. An orderly society c an not exempt its members from the hazards of life.But there is a sense of entitlement and security that Danes grow up with. Certain things are yours by virtue of citizenship, and you shouldn't feel bad f o r taking what you're entitled to, you're as good as anyone else. The rules of the welfare system are clear to everyone, the benefits you get if you lose your job, the steps you take to get a new one; and the orderliness of the system makes itpossible for the country to weather high unemployment and social unrest without a sense of crisis.16.The author thinks that Danes adopt a ___ attitude towards their country.A) boastfulB) modest C) deprecatingD) mysterious17.Which of the following is NOT a Danish characteristic cited in the passageA) Fondness of foreign culture.C) Linguistic tolerance.B) Equality in society.D) Persistent planning.18.The author's reaction to the statement by the Ministry of Business and Industry is ___.A)disapprovingB)approvingC)noncommittalD)doubtful19.According to the passage, Danish orderliness ___.A)sets the people apart from Germans and SwedesB)spares Danes social troubles besetting other peopleC)is considered economically essential to the countryD)prevents Danes from acknowledging existing troubles20.At the end of the passage the author states all the following EXCEPTthat___.A)Danes are clearly informed of their social benefitsB)Danes take for granted what is given to themC)the open system helps to tide the country overD)orderliness has alleviated unemploymentTEXT BBut if language habits do not represent classes, a social stratification in to something as bygone as "aristocracy" and "commons", they do still of course serve to identify social groups. This is something that seems fundamental in the use of language. As we see in relation to political and national movements, language is used as a badge or a barrier depending on which way we look at it. The new boy at school feels out of it at first because he does not know the fight words for things, and awe-inspiring pundits of six or seven look down on him for no t being aware that racksy means "dilapidated" , or hairy "out first ball ". The miner takes a certain pride in being "one up on the visitor or novice who calls the cage a "lift" or who thinks that men working in a warm seam are in their "underpants" when anyone ought to know that the garments are called hoggers. The "insider" is seldom displeased that his language distinguishes him from the "outsider".Quite apart from specialized terms of this kind in groups, trades and professions,there are all kinds of standards of correctness at which mast of us feel more or lessobliged to aim, because we know that certain kinds of English invite irritation ordownright condemnation. On the other hand, we know that other kinds conveysome kind of prestige and bear a welcomecachet.In relation to the social aspects of language, it may well be suggested thatEnglish speakers fall into three categories: the assured, the anxious and theindifferent . At one end of this scale, we have the people who have "position" and "status", and who therefore do not feel they need worry much about their use ofEnglish. Their education and occupation make them confident of speaking anunimpeachable form of English: no fear of being criticized or corrected is likely t ocross their minds, and this gives their speech that characteristically unselfconsciousand easy flow which is often envied.At the other end of the scale, we have an equally imperturbable band, speakingwith a similar degree of careless ease, because even if they are aware that theirEnglish is condemned by others, they are supremelyindifferent to the fact. The Mrs.Mops of this world have active and efficient tongues in their heads, and if wehappened not to like the/r ways of saying things, well, we "can lump it ". That is theirattitude. Curiously enough, writers are inclined to represent t he speech of boththese extreme parties with -in' for ing. On the one hand, "we're goin' huntin', mydear sir"; on the other, "we're goin' racin’ , mate."In between, according to this view, we have a far less fortunate group, theanxious. These actively try to suppress what they believe to be bad English andassiduously cultivate what they hope to be good English. They live their lives in somedegree of nervousness over their grammar, their pronunciation, and their choice ofwords: sensitive, and fearful of betraying themselves. Keeping up with the Joneses ismeasured not only in houses, furniture, refrigerators, cars, and clothes, but also inspeech.And the misfortune of the "anxious" does not end with their inner anxiety. Theirlot is also the open or veiled contempt of the "assured" on one side of them and ofthe "indifferent" on the other.It is all too easy to raise an unworthy laugh at the anxious. The people thusuncomfortably stilted on linguistic high heels so often form part of what is, in manyways, the most admirable section of any society: the ambitious, tense, inner-drivenpeople, who are bent on" going places and doing things". The greater the pity, then,if a disproportionate amount of their energy goes into what Mr. Sharpless called"this shabby obsession" with variant forms of English- especially if the net result is(asso often)merely to sound affected and ridiculous.“ Here", according to Bacon, "is thefirst distemper of learning, when men study words and not matter⋯. It seems to me that Pygmalion ’frenzys is a good emblem ⋯ of this vanity: for words axe but theimages of matter; and except they have life of reason and invention, to fall in lovewith them is to fall in love with a picture."21.The attitude held by the assured towards language is ___.A) critical C) self-conscious B) anxious D) nonchalant22.The anxious are considered a less fortunate group because ___.A)they feel they are socially looked down uponB)they suffer from internal anxiety and external attackC)they are inherently nervous and anxious peopleD)they are unable to meet standards of correctness23.The author thinks that the efforts made by the anxious to cultivate w hatthey believe is good English are ___.A) worthwhile C) praiseworthyB) meaningless D) irrationalTEXT CFred Cooke of Salford turned 90 two days ago and the world has been beatinga path to his door. If you haven't noticed, the backstreet boy educated at Blackpoolgrammar styles himself more grandly as Alastair Cooke, broadcaster extraordinaire.An honorable KBE, he would be Sir Alastair if he had not taken American citizenshipmore than half a century ago.If it sounds snobbish to draw attention to his humble origins, it should bereflected that the real snob is Cooke himself, who has spent a lifetime disguisingthem. But the fact that he opted to renounce his British passport in 1941 - just whenhis country needed all the wartime help it could get-is hardly a matter for congratulation.Cooke has made a fortune out of his love affair with America, entrancinglisteners with a weekly monologue that has won Radio 4 many devoted adherents.Part of the pull is the developed drawl. This is the man who gave the world"midatlantic", the language of the disc jockey and public relations man.He sounds American to us and English to them, while in reality he has fordecades belonged to neither. Cooke's world is an America that exists largely in theimagination. He took ages to acknowledge the disaster that was Vietnam and evenlonger to wake up to Watergate. His politics have drifted to the right with age, and most of his opinions have been acquired on the golf course with fellow celebrities.He chased after stars on arrival in America, Fixing up an interview with Charlie Chaplin and briefly becoming his friend. He told Cooke he could turn him into a fine light comedian; instead he is an impressionist's dream.Cooke liked the sound of his first wife's name almost as much as he admired her good looks. But he found bringing up baby difficult and left her for the wife of his landlord. Women listeners were unimpressed when, in 1996, he declared on air that the fact that 4% of women in the American armed forces were raped showed remarkable self-restraint on the part of Uncle Sam's soldiers. His arrogance in not allowing BBC editors to see his script in advance worked, not for the first time, to his detriment. His defenders said he could not help living with the 1930s values he had acquired and somewhat dubiously went on to cite "gallantry" as chief among them. Cooke's raconteur style encouraged a whole generation of BBC men to think of themselves as more important than the story. His treacly tones were the mo del for the regular World Service reports From Our Own Correspondent, known as FOOCs in the business. They may yet be his epitaph.24.At the beginning of the passage the writer sounds critical of ___.A)Cooke's obscure originsB)Cooke's broadcasting styleC)Cooke's American citizenshipD)Cooke's fondness of America25.The following adjectives can be suitably applied to Cooke EXCEPT ___.A) old-fashioned C) arrogantD) popularB)sincere26.The writer comments on Cooke's life and career in a slightly ___ tone.A) ironic C) scathing B) detached D) indifferentTEXT DMr. Duffy raised his eyes from the paper and gazed out of his window on the cheerless evening landscape. The river lay quiet beside the empty distillery andfrom time to time a light appeared in some house on Lucan Road. What an end! The whole narrative of her death revolted him and it revolted him to think that he had ever spoken to her of what he held sacred. The cautious words of a reporter wonover to conceal the details of a commonplace vulgar death attacked his stomach.Not merely had she degraded herself, she had degraded him. His soul's companion! He thought of the hobbling wretches whom he had seen carrying cans and bottles to be filled by the barman. Just God, what an end! Evidently she had been unfit to live, without any strength of purpose, an easy prey to habits, one of the wrecks on which civilization has been reared. But that she could have sunk so low! Was it possible he had deceived himself so utterly about her He remembered her outburst of that night and interpreted it in a harsher sense than he had ever done. He had no difficultynow in approving of the course he had taken.As the light failed and his memory began to wander he thought her hand touched his. The shock which had first attacked his stomach was now attacking his nerves. He put on his overcoat and hat quickly and went out. The cold air met himon the threshold; it crept into the sleeves of his coat. When he came to the public house at Chapel Bridge he went in and ordered a hot punch.The proprietor served him obsequiously but did not venture to talk. There were five or six working-men in the shop discussing the value of a gentleman's e state in County Kildare. They drank at intervals from their huge pint tumblers, and smoked, spitting often on the floor and sometimes dragging the sawdust over their heavy boots. Mr. Duffy sat on his stool and gazed at them, without seeing o r hearing them. After a while they went out and he called for another punch. He sat a long time over it. The shop was very quiet. The proprietor sprawled on the counter reading the newspaper and yawning. Now and again a tram was heard swishing along thelonely road outside.As he sat there, living over his life with her and evoking alternately the two images on which he now conceived her, he realized that she was dead, that s he had ceased to exist, that she had become a memory. He began to feel ill at ea se. He asked himself what else could he have done. He could not have lived with her openly. He had done what seemed to him best. How was he to blame Now that s he was gone he understood how lonely her life must have been, sitting night after night alone in that room. His life would be lonely too until he, too, died, ceased to exist, became a memory-if anyone remembered him.27.Mr. Duffy's immediate reaction to the report of the woman's death was that of___.A) disgustB) guilt C) griefD) compassion28.It can be inferred from the passage that the reporter wrote about the woman's death in a ___ manner.A) detailed C) discreetB) provocative D) sensational29.We can infer from the last paragraph that Mr. Duffy was in a(n) ___ mood.A) angry C) irritable B) fretful D) remorseful30.According to the passage, which of the following statements is NOT t rueA)Mr. Duffy once confided in the woman.B)Mr. Duffy felt an intense sense of shame.C)The woman wanted to end the relationship.D)They became estranged probably after a quarrel.SECTION B SKIMMING AND SCANNING ( 10 MIN)In this section there are seven passages followed by ten multiple -choice questions. Skim or scan them as required and then mark your answers on the Coloured Answer Sheet.TEXT EFirst read the following question.31.In the passage Bill Gates mainly discusses ___.A)a person's opportunity of a lifetimeB)the success of the computer industryC)the importance of educationD)high school education in the USNow go through TEXT E quickly and answer question 31.Hundreds of students send me e-mail each year asking for advice about education. They want to know what to study, or whether it's OK to drop out of college since that's what I did.My basic advice is simple and heartfelt." Get the best education you can. Take advantage of high school and college. Learn how to learn."It's true that I dropped out of college to start Microsoft, but I was at Harvard for three years before dropping out-and I'd love to have the time to go b a ck. As I've said before, nobody should drop out of college unless they believe they face the opportunity of a lifetime. And even then they should reconsider.The computer industry has lots of people who didn't finish college, but I 'm not aware of any success stories that began with somebody dropping out of high school. I actually don't know any high school dropouts, let alone any successful ones.In my company's early years we had a bright part-time programmer who threatened to drop out of high school to work full-time. We told him no.Quite a few of our people didn't finish college, but we discourage dropping out.College isn't the only place where information exists. You can learn in a library. But somebody handing you a book doesn't automatically foster learning. Y o u want to learn with other people, ask questions, try out ideas and have a way to test your ability. It usually takes more than just a book.Education should be broad, although it's fine to have deep interests, too.In high school there were periods when I was highly focused on writing soft ware, but for most of my high school years I had wide-ranging academic interests. My parents encouraged this, and I'm grateful that they did.One parent wrote me that her 15-year old son "lost himself in the hole of t he computer. ” Hegot an A in Web site design, but other grades were sinking, she said.This boy is making a mistake. High school and college offer you the best chance to learn broadly-math, history, various sciences-and to do projects with other kids that teach you firsthand about group dynamics. It's fine to take a deep interest in computers, dance, language or any other discipline, but not if it jeopardizes breadth.In college it's appropriate to think about specialization. Getting real expertise in an area of interest can lead to success. Graduate school is one way t o get specialized knowledge. Choosing a specialty isn't something high school students should worry about. They should worry about getting a strong academic start.There's not a perfect correlation between attitudes in high school and success in later life, of course. But it's a real mistake not to take the opportunity to learn a huge range of subjects, to learn to work with people in high school, and to get the grades that will help you get into a good college. TEXT FFirst read the following question.32.The passage focuses on ___.A)the history and future of LondonB)London ’s manufacturing skillsC)London's status as a financial centrerD)the past and present roles of LondonNow go through Text F quickly and answer question 32.What is London for To put the question another way, why was London, by 190 0, incomparably the largest city in the world, which it remained until the bombardments of the Luftwaffe There could be many answers to this question, but any history of London will rehearse three broad explanations. One is the importance of its life as a port. When the Thames turned to ice in February 1855, 50,000 men were put out of work, and there were bread riots from those whose liveliboods had been frozen with the river. Today, the Thames could be frozen for a year with out endangering the livelihoods of any but a few pleasure-boatmen.The second major cause of London's wealth and success was that it was easily the biggest manufacturing centre in Europe. At the beginning of the Industrial Revolution, Dutch looms and the stocking knitting frame were first pioneered in London. The vast range of London's manufacturing skills is another fact; almost any item you can name was manufactured in London during the days of its prosperity. In 1851, percent of the manufacturing work-force of Great Britain was based in London. By 1961, this had dramatically reduced. By 1993, there were a mere 328,000 Londoners engaged in manufacturing. In other words, by our own time s, two of the chief reasons for London's very existence-its life as a pert and as a centre of manufacture-had dwindled out of existence.London's third great function, since the seventeenth century, has been that of national and international bourse: the exchange of stocks and shares, banking, commerce and, increasingly, insurance. Both In wood and Francis Sheppard, in London: A history, manage to make these potentially dry matters vivid to thegeneral reader, and both authors assure us that "The City" in the financial sense is still as important as ever it was. Both, however, record the diminution of the City as an architectural and demographic entity, with the emptying of many city offices (since the advent of the computer much of the work can be done anywhere) and the removal of many distinctive landmarks.TEXT GFirst read the following question.33.The primary purpose of the passage is to ___.A)discuss the impact of the internetB)forecast the future roles of the bookstoreC)compare the publisher with the editorD)evaluate the limitations of the printed pageNow go through TEXT G quickly and answer question 33.。
2000年全国硕士研究生入学统一考试英语试题答案与解析PartⅠCloze Test1.C2.A3.B4.A5.C6.D7.B8.D9.C10.DPartⅡReading ComprehensionPassage111.C12.D13.B14.APassage215.C16.B17.A18.DPassage319.B20.A21.C22.DPassage423.B24.D25.C26.APassage527.A28.C29.D30.BPartⅢEnglish-Chinese Translation31.在现代条件下,这需要程度不同的集中控制措施,从而就需要获得诸如经济学和运筹学等领域的专家的协助。
32.再者,显而易见的是一个国家的经济实力与其工农业生产效率密切相关,而效率的提高则又有赖于各种科技人员的努力。
33.大众通讯的显著发展使各地的人们不断感到有新的需求,不断接触到新的习俗和思想。
由于上述原因,政府常常得推出更多的革新。
34.在先期实现工业化的欧洲国家中,其工业化进程以及随之而来的各种深刻的社会结构变革,持续了大约一个世纪之久,而如今一个发展中国家在十年左右就可能完成这个过程。
35.由于人口的猛增或人口的大量流动(现代交通工具使这种流动相对容易)造成的种种问题也会对社会造成新的压力。
SectionⅣWriting(15points)36.见分析PartⅠClose Test一、文章总体分析本文是一篇短小的论证性文章,其主题是强调农民储存余粮的必要性。
文章①句提出论点:农民想成功,就必须努力保持消费和生产之间有较大的差距。
②句对①句进行具体的解释:即他必须存储大量的粮食。
③④⑤从正面论述储存余粮的必要性:③句总说可以养家糊口;④⑤句具体说可以留作播种、应对恶劣天气影响及作为商品卖掉以满足农业再生产等需要。
⑥⑦⑧句论述没有余粮的危害:不能自给自足,从反面论证储存余粮的必要性。
二、试题具体解析1.\[A\]other than不同于,除了……[B]as well as也,又(表示附加)[C]instead of而不是……(表选择)[D]more than比……更多(表比较)本题考核的知识点是:逻辑关系。
PART IV PROOFREADING&ERRORCORRECTION [15 MIN]The passage contains TEN errors. Each indicated line contains a maximum of ONE error. In each case, only ONE word is involved. You should proofread the passage and correct it in the following way:For a wrong word, underline the wrong word and write the correct one in the blank provided at the end of the line.For a missing word, mark the position of the missing word with a"^"sign and write the word you believe to bemissing in the blank provided at the end of the line.For an unnecessary word, cross the unnecessary word with a slash "/" and put the word in the blank provided at the end of the line.EXAMPLEWhen ^ art museum wants a new exhibit, (1) anIt never buys things in finished form and hangs (2) neverthem on the wall. When a natural history museumwants an exhibition it must often build it. (3) exhibit2013年Psycholinguistics is the name given to the study of the psychologicalprocesses involved in language. Psycholinguistics study understanding,production and remembering language, and hence are concerned with (1)listening, reading, speaking, writing, and the memory for language.One reason why we take the language for granted is that it usually (2)happens so effortlessly, and most of time, so accurately. (3)Indeed, when you listen to someone speaking, looking at this page, (4)You normally cannot help but understand it. It is only in exceptionalcircumstances we might become aware of the complexity. (5)involved: if we are searching for a word but cannot remember it;if a relative or colleague has had a stroke which has influenced (6)their language; if we observe a child acquire language; if (7)we try to learn a second language ourselves as an adult; orif we are visually impaired or hearing- impaired or if we meetanyone else who is. As we shall see, all these examples (8)of what might be called “language in exceptional circumstance”reveal a great deal about the processes evolved in speaking, (9)listening, writing and reading. But given that language processeswere normally so automatic, we also need to carry out careful (10)experiments to get at what is happening.2013参考答案:1. production改producing2. 去掉the3. of 后加the most of time 意为时常most of the time 绝大多数时间4. looking5. we 前加that 强调句6. influenced改affected, influence 强调人或物对某人的影响,affect强调因为某种作用对某人或某物产生的影响,本句中指中风这一动作行为对语言的影响7. acquire 改acquiring observe sb. Doing sth.8. anyone 改someone9. evolved 改involved10. were 改are2012年The central problem of translating has always been whether to translate literally or freely.The argument has been going since at least the first (1) ______century B.C. Up to the beginning of the 19th century, many writersfavored certain kind of “free” translation: the spirit, not the letter; the (2) _______sense not the word; the message rather the form; the matter not (3) _______the manner. This is the often revolutionary slogan of writers who (4) _______wanted the truth to be read and understood. Then in the turn of 19th(5) _______century, when the study of cultural anthropology suggested thatthe linguistic barriers were insuperable and that the language (6) _______was entirely the product of culture, the view translation was impossible (7) _______gained some currency, and with it that, if was attempted at all, it must be as (8) _______literal as possible. This view culminated the statement of the (9) _______extreme “literalists” Walter Benjamin and Vladimir Nobokov.The argument was theoretical: the purpose of the translation, thenature of the readership, the type of the text, was not discussed. Toooften, writer, translator and reader were implicitly identified witheach other. Now, the context has changed, and the basic problem remains. (10) _____2012参考答案:1.going∧since-加入on 题解:go on的意思是“继续”,符合句子表达的含义“争论一直在继续”。
2000年全国硕士研究生入学统一考试英语试题Part ⅠClose TestDirections:For each numbered blank in the following passage, there are four choices marked [A], [B], [C] and [D].Choose the best one and mark your answer on ANSWER SHEET 1 by blackening the corresponding letter in the brackets with a pencil.(10 points)①If a farmer wishes to succeed, he must try to keep a wide gap between his consumption and his production.②He must store a large quantity of grain 1 consuming all his grain immediately.③He can continue to support himself and his family 2 he produces a surplus.④He must use this surplus in three ways: as seed for sowing, as an insurance 3 the unpredictable effects of bad weather and as a commodity which he must sell in order to 4 old agricultural implements and obtain chemical fertilizers to 5 the soil.⑤He may also need money to construct irrigation 6 and improve his farm in other ways.⑥If no surplus is available, a farmer cannot be 7 .⑦He must either sell some of his property or 8 extra funds in the form of loans.⑧Naturally he will try to borrow money at a low 9 of interest, but loans of this kind are not 10 obtainable.[139 words]1.[A] other than [B] as well as[C] instead of [D] more than2.[A] only if [B] much as[C] long before [D] ever since3.[A] for [B] against[C] of [D] towards4.[A] replace [B] purchase[C] supplement [D] dispose5.[A] enhance [B] mix[C] feed [D] raise6.[A] vessels [B] routes[C] paths [D] channels7.[A] self-confident [B] self-sufficient[C] self-satisfied [D]self-restrained8.[A] search [B] save[C] offer [D] seek9.[A] proportion [B] percentage[C] rate [D] ratio10.[A] genuinely [B] obviously[C] presumably [D] frequentlyPart ⅡReading ComprehensionDirections:Each of the passages below is followed by some questions.For each question there are four answers marked [A], [B], [C] and [D].Read the passages carefully and choose the best answer to each of the questions.Then mark your answer on ANSWER SHEET 1 by blackening the corresponding letter in the brackets with a pencil.(40 points)Passage 1①A history of long and effortless success can be a dreadful handicap, but, if properly handled, it may become a driving force.②When the United States entered just such a glowing period after the end of the Second World War, it had a market eight times larger than any competitor, giving its industries unparalleled economies of scale.③Its scientists were the world s best; its workers the most skilled.④(11)America and Americans were prosperous beyond the dreams of the Europeans and Asians whose economies the war had destroyed.①It was inevitable that this primacy should have narrowed as other countries grew richer.②Just as inevitably, the retreat from predominance proved painful.③By the mid-1980s Americans had found themselves at a loss over their fading industrial competitiveness.④Some huge American industries, such as consumer electronics, had shrunk or vanished in the face of foreign competition.⑤By 1987 there was only one American television maker left, Zenith.⑥(Now there is none: Zenith was bought by South Korea’s LG Electronics in July.) ⑦(12)Foreign-made cars and textiles were sweeping into the domestic market.America’s machine-tool industry was on the ropes.⑧For a while it looked as though the making of semiconductors, which America had invented and which sat at the heart of the new computer age, was going to be the next casualty.①All of this caused a crisis of confidence.②Americans stopped taking prosperity for granted.③They began to believe that their way of doing business was failing, and that their incomes would therefore shortly begin to fall as well.④The mid-1980s brought one inquiry after another into the causes of America’s industrial decline.⑤Their sometimes sensational findings were filled with warnings about the growing competition from overseas.①How things have changed! ②In 1995 the United States can look back on five years of solid growth while Japan has been struggling.③(14)Few Americans attribute this solely to such obvious causes as a devalued dollar or the turning of the business cycle.④Self-doubt has yielded to blind pride.⑤“American industry has changed its structure, has gone on a diet, has learnt to be more quick-witted,”according to Richard Cavanaugh, executive dean of Harvard’s Kennedy School of Government.⑥“It makes me proud to be an American just to see how our businesses are improving their productivity,”says Stephen Moore of the Cato Institute, a think-tank in Washington, DC.⑦And William Sahlman of the Harvard Business School believes that people will look back on this period as “a golden age of business management in the United States.”[429 words]11.The U.S.achieved its predominance after World War II because.[A]it had made painstaking efforts towards this goal[B]its domestic market was eight times larger than before[C]the war had destroyed the economies of most potential competitors [D]the unparalleled size of its workforce had given an impetus to its economy12.The loss of U.S.predominance in the world economy in the 1980s is manifested in the fact that the American.[A]TV industry had withdrawn to its domestic market[B]semiconductor industry had been taken over by foreign enterprises [C]machine-tool industry had collapsed after suicidal actions [D]auto industry had lost part of its domestic market13.What can be inferred from the passage?[A]It is human nature to shift between self-doubt and blind pride.[B]Intense competition may contribute to economic progress.[C] The revival of the economy depends on international cooperate [D]A long history of success may pave the way for further development.14.The author seems to believe the revival of the U.S.economy in the 1990s can be attributed to the.[A]turning of the business cycle[B] restructuring of industry[C] improved business management[D] success in educationPassage 2①(15)Being a man has always been dangerous.②There are about 105 males born for every 100 females, but this ratio drops to near balance at the age of maturity, and among 70-year-olds there are twice as many women as men.③But the great universal of male mortality is being changed.④Now, boy babies survive almost as well as girls do.⑤This means that, for the first time, there will be an excess of boys in those crucial years when they are searching for a mate.⑥More important, another chance for natural selection has been removed.⑦Fifty years ago, the chance of a baby (particularly a boy baby) surviving depended on its weight. A kilogram too light or too heavy meant almost certain death.⑧Today it makes almost no difference.Since much of the variation is due to genes, one more agent of evolution has gone.①There is another way to commit evolutionary suicide: stay alive, but have fewer children.②Few people are as fertile as in the past.③Except in some religious communities, very few women have 15 children.④Nowadays the number of births, like the age of death, has become average.⑤Most of us have roughly the same number of offspring.⑥(16)Again, differences between people and the opportunity for natural selection to take advantage of it have diminished.⑦India shows what is happening.The country offers wealth for a few in the great cities and poverty for the remaining tribal peoples.⑧The grand mediocrity of today—everyone being the same in survival and number of offspring—means that natural selection has lost 80% of its power in upper-middle-class India compared to the tribes.For us, this means that evolution is over; the biological Utopia has arrived.②Strangely, it has involved little physical change.③No other species fills so many places in nature.④But in the past 100, 000 years —even the past 100 years—our lives have been transformed but our bodies have not.⑤(17)We did not evolve, because machines and society did it for us.⑥Darwin had a phrase to describe those ignorant of evolution: they “look at an organic being as a savage looks at a ship, as at something wholly beyond his comprehension.”⑦No doubt we will remember a 20th century way of life beyond comprehension for its ugliness.But however amazed our descendants may be at how far from Utopia we were, they will look just like us.[406 words]15.What used to be the danger in being a man according to the first paragraph?[A] A lack of mates. [B] A fierce competition.[C] A lower survival rate. [D] A defective gene.16.What does the example of India illustrate?[A] Wealthy people tend to have fewer children than poor people.[B] Natural selection hardly works among the rich and the poor.[C] The middle class population is 80% smaller than that of the tribes.[D] India is one of the countries with a very high birth rate.17.The author argues that our bodies have stopped evolving because.[A] life has been improved by technological advance[B] the number of female babies has been declining[C] our species has reached the highest stage of evolution[D] the difference between wealth and poverty is disappearing18.Which of the following would be the best title for the passage?[A] Sex Ratio Changes in Human Evolution.[B] Ways of Continuing Man’s Evolution.[C] The Evolutionary Future of Nature.[D] Human Evolution Going Nowhere.Passage 3①(20)When a new movement in art attains a certain fashion, it is advisable to find out what its advocates are aiming at, for, however farfetched and unreasonable their principles may seem today, it is possible that in years to come they may be regarded as normal.②With regard to Futurist poetry, however, the case is rather difficult, for whatever Futurist poetry may be—even admitting that the theory on which it is based may be right—it can hardly be classed as Literature.①This, in brief, is what the Futurist says: for a century, past conditions of life have been conditionally speeding up, till now we live in a world of noise and violence and speed.②Consequently, our feelings, thoughts and emotions have undergone a corresponding change.③(21)This speeding up of life, says the Futurist, requires a new form of expression.④We must speed up our literature too, if we want to interpret modern stress.⑤We must pour out a large stream of essential words, unhampered by stops, or qualifying adjectives, or finite verbs.⑥Instead of describing sounds we must make up words that imitate them; we must use many sizes of type and different colored inks on the same page, and shorten or lengthen words at will.①Certainly their descriptions of battles are confused.②But it isa little upsetting to read in the explanatory notes that a certain line describes a fight between a Turkish and a Bulgarian officer on a bridge off which they both fall into the river —and then to find that the line consists of the noise of their falling and the weights of the officers: “Pluff! Pluff! A hundred and eighty-five kilograms.”①(22)This, though it fulfills the laws and requirements of Futurist poetry, can hardly be classed as Literature.②All the same, no thinking man can refuse to accept their first proposition: that a great change in our emotional life calls for a change of expression.③The whole question is really this: have we essentially changed?[334 words]19.This passage is mainly.[A] a survey of new approaches to art[B] a review of Futurist poetry[C] about merits of the Futurist movement[D] about laws and requirements of literature20.When a novel literary idea appears, people should try to.[A] determine its purposes [B] ignore its flaws[C] follow the new fashions [D] accept the principles21.Futurists claim that we must.[A] increase the production of literature[B] use poetry to relieve modern stress[C] develop new modes of expression[D] avoid using adjectives and verbs22.The author believes that Futurist poetry is.[A] based on reasonable principles[B] new and acceptable to ordinary people[C] indicative of a basic change in human nature[D] more of a transient phenomenon than literaturePassage 4①(23)Aimlessness has hardly been typical of the postwar Japan whose productivity and social harmony are the envy of the United States and Europe.②But increasingly the Japanese are seeing a decline of the traditional work-moral values.③Ten years ago young people were hardworking and saw their jobs as their primary reason for being, but now Japan has largely fulfilled its economic needs, and young people don’t know where they should go next.①The coming of age of the postwar baby boom and an entry of women into the male-dominated job market have limited the opportunities of teen-agers who are already questioning the heavy personal sacrifices involved in climbing Japan’s rigid social ladder to good schools and jobs.②In a recent survey, it was found that only 24.5 percent of Japanese students were fully satisfied with school life, compared with 67.2 percent of students in the United States.③In addition, far more Japanese workers expressed dissatisfaction with their jobs than did their counterparts in the 10 other countries surveyed.①While often praised by foreigners for its emphasis on the basics, Japanese education tends to stress test taking and mechanical learning over creativity and self-expression.②(25)“Those things that do not show up in the test scores—personality, ability, courage or humanity—are completely ignored,” says Toshiki Kaifu, chairman of the ruling Liberal Democratic Party’s education committee.③“Frustration against this kind of thing leads kids to drop out and run wild.”④Last year Japan experienced 2, 125 incidents of school violence, including 929 assaults on teachers.⑤Amid the outcry, many conservative leaders are seeking a return to the prewar emphasis on moral education.⑥Last year MitsuoSetoyama, who was then education minister, raised eyebrows when he argued that liberal reforms introduced by the American occupation authorities after World War II had weakened the “Japanese morality of respect for parents.”①(26)But that may have more to do with Japanese life-styles.②“In Japan,” says educator Yoko Muro, “it’s never a question of whether you enjoy your job and your life, but only how much you can endure.”③With economic growth has come centralization; fully 76 percent of Japan’s 119 million citizens live in cities where community and the extended family have been abandoned in favor of isolated, two-generation households.④Urban Japanese have long endured lengthy commutes (travels to and from work) and crowded living conditions, but as the old group and family values weaken, the discomfort is beginning to tell.⑤In the past decade, the Japanese divorce rate, while still well below that of the United States, has increased by more than 50 percent, and suicides have increased by nearly one-quarter.[447 words]23.In the Westerners’ eyes, the postwar Japan was.[A] under aimless development [B] a positive example[C] a rival to the West [D] on the decline24.According to the author, what may chiefly be responsible for the moral decline of Japanese society?[A] Women’s participation in social activities is limited.[B] More workers are dissatisfied with their jobs.[C] Excessive emphasis has been placed on the basics.[D] The life-style has been influenced by Western values.25.Which of the following is true according to the author?[A] Japanese education is praised for helping the young climb the social ladder.[B] Japanese education is characterized by mechanical learning as well as creativity.[C] More stress should be placed on the cultivation of creativity.[D] Dropping out leads to frustration against test taking.26.The change in Japanese life-style is revealed in the fact that.[A] the young are less tolerant of discomforts in life[B] the divorce rate in Japan exceeds that in the U.S.[C] the Japanese endure more than ever before[D] the Japanese appreciate their present lifePassage 5①(27)If ambition is to be well regarded, the rewards of ambition —wealth, distinction, control over one’s destiny—must be deemed worthy of the sacrifices made on ambition’s behalf.②If the tradition of ambitionis to have vitality, it must be widely shared; and it especially must be highly regarded by people who are themselves admired, the educated not least among them.③(28)In an odd way, however, it is the educated who have claimed to have given up on ambition as an ideal.④What is odd is that they have perhaps most benefited from ambition—if not always their own then that of their parents and grandparents.⑤There is a heavy note of hypocrisy in this, a case of closing the barn door after the horses have escaped—with the educated themselves riding on them.①Certainly people do not seem less interested in success and its signs now than formerly.②Summer homes, European travel, BMWs—the locations, place names and name brands may change, but such items do not seem less in demand today than a decade or two years ago.③(29)What has happened is that people cannot confess fully to their dreams, as easily and openly as once they could, lest they be thought pushing, acquisitive and vulgar.④Instead, we are treated to fine hypocritical spectacles, which now more than ever seem in ample supply: the critic of American materialism with a Southampton summer home; the publisher of radical books who takes his meals in three-star restaurants; the journalist advocating participatory democracy in all phases of life, whose own children are enrolled in private schools.⑤For such people and many more perhaps not so exceptional, the proper formulation is, “Succeed at all costs but avoid appearing ambitious.”①The attacks on ambition are many and come from various angles; its public defenders are few and unimpressive, where they are not extremely unattractive.②As a result, the support for ambition as a healthy impulse, a quality to be admired and fixed in the mind of the young, is probably lower than it has ever been in the United States.③This does not mean that ambition is at an end, that people no longer feel its stirrings and promptings, but only that, no longer openly honored, it is less openly professed.④Consequences follow from this, of course, some of which are that ambition is driven underground, or made sly.⑤Such, then, is the way things stand: on the left angry critics, on the right stupid supporters, and in the middle, as usual, the majority of earnest people trying to get on in life.[431 words]27.It is generally believed that ambition may be well regarded if.[A] its returns well compensate for the sacrifices[B] it is rewarded with money, fame and power[C] its goals are spiritual rather than material[D] it is shared by the rich and the famous28.The last sentence of the first paragraph most probably implies that it is.[A] customary of the educated to discard ambition in words[B] too late to check ambition once it has been let out[C] dishonest to deny ambition after the fulfillment of the goal [D] impractical for the educated to enjoy benefits from ambition29.Some people do not openly admit they have ambition because.[A] they think of it as immoral[B] their pursuits are not fame or wealth[C] ambition is not closely related to material benefits[D] they do not want to appear greedy and contemptible30.From the last paragraph the conclusion can be drawn that ambition should be maintained.[A] secretly and vigorously [B]openly and enthusiastically[C] easily and momentarily [D] verbally and spirituallyPart ⅢEnglish-Chinese TranslationDirections:Read the following passage carefully and then translate the underlined segments into Chinese.Your translation must be written neatly on ANSWER SHEET 2.(15 points)Governments throughout the world act on the assumption that the welfare of their people depends largely on the economic strength and wealth of the community.31)Under modern conditions, this requires varying measures of centralized control and hence the help of specialized scientists such as economists and operational research experts.32)Furthermore, it is obvious that the strength of a country’s economy is directly bound up with the efficiency of its agriculture and industry, and that this in turn rests upon the efforts of scientists and technologists of all kinds.It also means that governments are increasingly compelled to interfere in these sectors in order to step up production and ensure that it is utilized to the best advantage.For example, they may encourage research in various ways, including the setting up of their own research centers; they may alter the structure of education, or interfere in order to reduce the wastage of natural resources or tap resources hitherto unexploited; or they may cooperate directly in the growing number of international projects related to science, economics and industry.In any case, all such interventions are heavily dependent on scientific advice and also scientific and technological manpower of all kinds.33)Owing to the remarkable development in mass-communications, people everywhere are feeling new wants and are being exposed to new customs and ideas, while governments are often forced to introduce still further innovations for the reasons given above.At the same time, the normal rate of social change throughout the world is taking place at a vastly accelerated speed compared with the past.For example, 34)in the early industrialized countries of Europe the process of industrialization—with all the far-reaching changes in social patterns that followed—was spread over nearly a century, whereas nowadays a developing nation may undergo the same process in a decade or so.All this has the effect of building up unusual pressures and tensions within the community and consequently presents serious problems for the governments concerned.35)Additional social stresses may also occur because of the population explosion or problems arising from mass migration movements—themselves made relatively easy nowadays by modern means of transport.As a result of all these factors, governments are becoming increasingly dependent on biologists and social scientists for planning the appropriate programs and putting them into effect.[390 words]Section ⅣWriting(15 points)36.Directions:A.Study the following two pictures carefully and write an essay of at least 150 words.B.Your essay must be written neatly on ANSWER SHEET 2.C.Your essay should meet the requirements below:1)Describe the pictures.2)Deduce the purpose of the painter of the pictures.3)Suggest counter-measures.2000年英语试题答案Part ⅠCloze Test1.C2.A3.B4.A5.C6.D7.B8.D9.C 10.DPart ⅡReading ComprehensionPassage 111.C 12.D 13.B 14.APassage 215.C 16.B 17.A 18.DPassage 319.B 20.A 21.C 22.DPassage 423.B 24.D 25.C 26.APassage 527.A 28.C 29.D 30.BPart Ⅲ English-Chinese Translation31.在现代条件下, 这需要程度不同的集中控制措施, 从而就需要获得诸如经济学和运筹学等领域的专家的协助。
115英语专八语言知识「短文改错」真题+解析2000年-2018年躺在花园的宁静里时间触手可及ANSWER SHEET3(TEM8)Part III LANGUAGE USAGE下列各题必须使用黑色字迹签字笔在答题区域内作答,超出矩形边框限定区域的答案无效。
Mass media is media that is intended for a large audience.It maytake the form of broadcast media,as in case of television and radio,or print media,as newspapers and magazines.Usually,mass media aims to reach a very large market,such as the entire population of a country.By contrast,local media covers a much small population and area,focusing on regional news of interest, specialty media is provided for particular demographic groups.Some local media outlets that cover state or provincial news may raise to prominence thanks to their investigative journalism,and to the clout that their particular regions have in the national politics.People often think of mass media as the news,it also includes entertainment like television shows,books,and films.It may also be educational in the nature,as in the instance of public broadcasting stations that provide educational programs to a national audience. Political communications including propaganda are also frequently distributed through the media,as were public service announcements and emergency alerts.When elitists may be tempted to sneer at mass media,referring to it as the“opiate of the masses,”it is a critical part of human societies. Understanding mass media is usually the key to understand a population and culture,which is why the field of media studies is so huge.(1)_______________(2)_______________(3)_______________(4)_______________(5)_______________(6)_______________(7)_______________(8)_______________(9)_______________(10)______________ANSWER SHEET3(TEM8)Part III LANGUAGE USAGE下列各题必须使用黑色字迹签字笔在答题区域内作答,超出矩形边框限定区域的答案无效。
2000年英语专业八级考试听力MP3附听力原文附听力原文Part Ⅰ Listening Comprehension (40 min) SECTION A TALK Questions Questions 1 1 1 to to to 5 5 5 refer refer refer to to to the the the talk talk talk in in in this this this section .At section .At the the end end end of of of the the the talk talk talk you you you will will will be be be given given given 15 15 seconds to answer each of the following five questions. Now listen to the talk. 1. The rules for the first private library in the US were drawn up by ___. A. the legislature B. the librarian C. John Harvard D. the faculty members 2. The earliest public library was also called a subscription library because books ___. A. could be lent to everyone B. could be lent by book stores C. were lent to students and the faculty D. were lent on a membership basis 3. Which of the following is NOT stated as one of the purposes of free public libraries A. To provide readers with comfortable reading rooms. B. To provide adults with opportunities of further education. C. To serve the community’s cu ltural and recreational needs. D. To supply technical literature on specialized subjects. 4. The major difference between modem private and public libraries lies i n ___. A. readership B. content C. service D. function 5. The main purpose of the talk is ___. A. to introduce categories of books in US libraries B. to demonstrate the importance of US libraries C. to explain the roles of different US libraries D. to define the circulation system of US librariesSECTION B INTERVIEW 6. Nancy became a taxi driver because ___. A. she owned a car B. she drove well C. she liked drivers’ uniforms D. it was her childhood dream 7. According to her, what was the most difficult about becoming a taxi driver A. The right sense of direction. B. The sense of judgment. C. The skill of maneuvering. D. The size of vehicles. 8. What does Nancy like best about her job A. Seeing interesting buildings in the city. B. Being able to enjoy the world of nature. C. Driving in unsettled weather. D. Taking long drives outside the city.? 9. It can be inferred from the interview that Nancy in a(n) ___ mother. A. uncaring B. strict C. affectionate D. permissive 10. The people Nancy meets are A. rather difficult to please B. rude to women drivers C. talkative and generous with tips D. different in personality SECTION C NEWS BROADCAST11. The primary purpose of the US anti-smoking legislation is ___. A. to tighten control on tobacco advertising B. to impose penalties on tobacco companies C. to start a national anti-smoking campaign D. to ensure the health of American children 12. The French Presiden t’s visit to Japan aims at ___. A. making more investments in Japan B. stimulating Japanese businesses in France? C. helping boost the Japanese economy D. launching a film festival in Japan 13. This is Jacqu es Chirac’s ___ visit to Japan.A. second B. fourteenth C. fortieth D. forty-first 14. Afghan people are suffering from starvation because ___. A. melting snow begins to block the mountain paths B. the Taliban have destroyed existing food stocks C. the Taliban are hindering food deliveries D. an emergency air-lift of food was cancelled 15. people in Afghanistan are facing starvation. A. 160,000 B. 16,000 C. 1,000,000 D. 100 ,000 SECTION D NOTE-TAKING AND GAP-FILLING On Public Speaking When people are asked to give a speech in public for the first time, they usually feel terrified no matter how well they speak in informal situations. In fact, public speaking is the same as any other form of (1)______ that people are usually engaged in. Public speaking is a way for a speaker to his thoughts with the audience. Moreover, the speaker is free (2)______ to decide on the (3)___ ___ of his speech.. Two key points to achieve success in public speaking: —of the subject matter. (4)______ —good preparation of the speech. To To facilitate facilitate facilitate their their their understanding, understanding, understanding, inform inform inform your your your audience audience audience beforehand beforehand beforehand of of of the the (5)______ (5)______ of of of your your speech, and end it with a summary. Other key points to bear in mind: —be aware of your audience through eye contact. —vary the speed of (6)______ —use the microphone skillfully to (7)______ yourself in speech. —be brief in speech; always try to make your message (8)______ Example: the best remembered inaugural speeches of the US presidents are the (9)______ ones. Therefore, brevity is essential to the (10)_____ of a speech. (1) ______ (2) ______ (3) ______ (4) ______ ( 5 ) ______ (6) ______ (7) ______ (8) ______ (9) ______ (10) ______ 。
2000 年-2011 年专八短文改错试题,参考答案以及答案分析By 兰银清以下答案以上外教师给出的答案为参考答案2011年专八真题改错部分From a very early age, perhaps the age of five or six, I knewthat when I grew I should be a writer. Between the ages of about 1__________seventeen and twenty-four I tried to abandon this idea, but I did sowith the conscience that I was outraging my true nature and that 2___________soon or later I should have to settle down and write books. 3___________I was the child of three, but there was a gap of five years 4__________on either side, and I barely saw my father before I was eight. Forthis and other reasons I was somewhat lonely, and I soon developeddisagreeing mannerisms which made me unpopular throughout my 5_____________schooldays. I had the lonely child's habit of making up stories andholding conversations with imaginative persons, and I think from 6_________the very start my literal ambitions were mixed up with the feeling of 7________being isolated and undervalued. I knew that I had a facility with wordsand a power of facing in unpleasant facts, and I felt that this created 8________a sort of private world which I could get my own back for my failure 9________in everyday life. Therefore, the volume of serious — i.e. seriously 10________intended — writing which I produced all through my childhood andboyhood would not amount to half a dozen pages. I wrote my firstpoem at the age of four or five, my mother taking it down to dictation.1,在grow后加up, 考固定短语2,改consience为consciousness 考词语区别,consience翻译为“良心,道德心”, consiousness翻译为“意识”3,改soon为sooner,sooner or later是固定短语4,在child前加middle, 考上下文理解。
TEST FOR ENGLISH MAJORS (2000)-GRADE EIGHT-PAPER ONETIME LIMIT: 95 MINPART I LISTENING COMPREHENSION [40 MIN.]In Sections A, B and C you will hear everything ONCE ONLY. Listen carefully and then answer the questions that follow. Mark the correct answer to each question on your Colored Answer Sheet.SECTION A TALKQuestions 1 to 5 refer to the talk in this section .At the end of the talk you w ill be given 15 seconds to answer each of the following five questions.Now listen to the talk.1. The rules for the first private library in the US were drawn up by ___.A) the legislatureB) the librarianC) John HarvardD) the faculty members2. The earliest public library was also called a subscription library because books ___.A) could be lent to everyoneB) could be lent by book storesC) were lent to students and the facultyD) were lent on a membership basis3. Which of the following is NOT stated as one of the purposes of free public librariesA) To provide readers with comfortable reading rooms.B) To provide adults with opportunities of further education.C) To serve the community's cultural and recreational needs.D) To supply technical literature on specialized subjects.4. The major difference between modem private and public libraries lies in ___.A) readershipB) content C) serviceD) function5. The main purpose of the talk is ___.A) to introduce categories of books in US librariesB) to demonstrate the importance of US librariesC) to explain the roles of different US librariesD) to define the circulation system of US librariesSECTION B INTERVIEWQuestions 6 to 10 are based on an interview. At the end of the interview you wil l be given 15 seconds to answer each of the following five questions.Now listen to the interview.6. Nancy became a taxi driver because ___.A) she owned a carB) she drove wellC) she liked drivers' uniformsD) it was her childhood dream7. According to her, what was the most difficult about becoming a taxi dr iverA) The right sense of direction.B) The sense of judgment.C) The skill of maneuvering.D) The size of vehicles.8. What does Nancy like best about her jobA) Seeing interesting buildings in the city.B) Being able to enjoy the world of nature.C) Driving in unsettled weather.D) Taking long drives outside the city.9. It can be inferred from the interview that Nancy in a (n) ___ mother.A) uncaringB) strict C) affectionateD) permissive10. The people Nancy meets areA) rather difficult to pleaseB) rude to women driversC) talkative and generous with tipsD) different in personalitySECTION C NEWS BROADCASTQuestion 11 is based on the following news. At the end of the news i tem, you wil l be given 15 seconds to answer the question.Now listen to the news.11. The primary purpose of the US anti-smoking legislation is ___.A) to tighten control on tobacco advertisingB) to impose penalties on tobacco companiesC) to start a national anti-smoking campaignD)to ensure the health of American childrenQuestions 12 and 13 are based on the following news. At the end of the news item, you will be given 30 seconds to answer the questions.Now listen to the news.12. The French President's visit to Japan aims at ___.A) making more investments in JapanB) stimulating Japanese businesses in FranceC) helping boost the Japanese economyD) launching a film festival in Japan13. This is Jacques Chirac's ___ visit to Japan.A) second C) fortiethB) fourteenth D) forty-firstQuestions 14 and 15 are based on the following news. At the end of the news item, you will be given 30 seconds to answer the questions.Now listen to the news.14. Afghan people are suffering from starvation because ___.A) melting snow begins to block the mountain pathsB) the Taliban have destroyed existing food stocksC) the Taliban are hindering food deliveriesD) an emergency air-lift of food was cancelled15. people in Afghanistan are facing starvation.A) 160,000B) 16,000 C) 1,000,000D) 100, 000SECTION D NOTE-TAKING AND GAP-FILLINGIn this section you will hear a mini-lecture. You will the lecture ONCE ONLY. While listening to the lecture, take notes on the important points. Your notes will not be marked, but you will need them to complete a 15-minute gap-filling task on ANSWER SHEET ONE after the mini-lecture. Use the blank paper for note-taking.Part ⅡPROOFREADING & ERROR CORRECTION (15 MIN) Proofread the given passage on ANSWER SHEET TWO as instructed.Part ⅢREADING COMPREHENSION (40 MIN)SECTION A READING COMPREHENSION (30 MIN)In this section there are four reading passages followed by a total of fifteen multiple-choice questions. Read the passages and then mark your answers on your Colored Answer Sheet.TEXT ADespite Denmark's manifest virtues, Danes never talk about how proud they a re to be Danes. This would sound weird in Danish. When Danes talk to foreigners about Denmark, they always begin by commenting on its tininess, its unimportance, the difficulty of its language, the general small-mindedness and self-indulgence of their countrymen and the high taxes. No Dane would look you in the eye and say, "Denmark is a great country." You're supposed to figure this out for yourself.It is the land of the silk safety net, where almost half the national budget goes toward smoothing out life's inequalities, and there is plenty of money f or schools, day care, retraining programmes, job seminars-Danes love seminars: three days at a study centre hearing about waste management is almost as good as a ski trip. It is a culture bombarded by English, in advertising, pop music, the Internet, and despite all the English that Danish absorbs-there is no Danish Academy to defend against it -old dialects persist in Jutland that can barely be understood by Copenhageners. It is the land where, as the saying goes," Fe w have too much and fewer have too little, "and a foreigner is struck by the sweet egalitarianism that prevails, where the lowliest clerk gives you a level gaze, where Sir and Madame have disappeared from common usage, even Mr. and Mrs. It’s a nation of recyclers-about 55 % of Danish garbage gets made into something new- and no nuclear power plants. It's a nation of tireless planner. Trains run on time. Things operate well in general.Such a nation of overachievers - a brochure from the Ministry of Business and Industry says, "Denmark is one of the world's cleanest and most organize d countries, with virtually no pollution, crime, or poverty. Denmark is the most corruption-free society in the Northern Hemisphere. "So, of course, one's heart lifts at any sighting of Danish sleaze: skinhead graffiti on buildings ("Foreigner s Out of Denmark! "), broken beer bottles in the gutters, drunken teenagers slumped in the park.Nonetheless, it is an orderly land. You drive through a Danish town, it comes to an end at a stone wall, and on the other side is a field of barley, a nice clean line: town here, country there. It is not a nation of jay-walkers. People stand on the curb and wait for the red light to change, even if it's 2 a.m. a n d there's not a car in sight. However, Danes don' t think of themselves as a people——that's how they see Swedes and Germans. Danes see themselves as jazzy people, improvisers, more free spirited than Swedes, but the truth is (though one should not say it) that Danes are very much like Germans and Swedes. Orderliness is a main selling point. Denmark has few natural resources, limited manufacturing capability; its future in Europe will be as a broker, banker, and distributor of goods. You send your goods by container ship to Copenhagen, and these bright, young, English-speaking, utterly honest, highly disciplined people will get your goods around to Scandinavia, the Baltic States, and Russia. Airports, seaports, highways, and rail lines are ultramodern and well-maintained.The orderliness of the society doesn't mean that Danish lives are less messy or lonely than yours or mine, and no Dane would tell you so. You can hear plenty about bitter family feuds and the sorrows of alcoholism and about perfectly sensible people who went off one day and killed themselves. An orderly society c an not exempt its members from the hazards of life.But there is a sense of entitlement and security that Danes grow up with. Certain things are yours by virtue of citizenship, and you shouldn't feel bad f o r taking what you're entitled to, you're as good as anyone else. The rules of the welfare system are clear to everyone, the benefits you get if you lose your job, the steps you take to get a new one; and the orderliness of the system makes it possible for the country to weather high unemployment and social unrest without a sense of crisis.16. The author thinks that Danes adopt a ___ attitude towards their country.A) boastfulB) modest C) deprecatingD) mysterious17. Which of the following is NOT a Danish characteristic cited in the passageA) Fondness of foreign culture.B) Equality in society.C) Linguistic tolerance.D) Persistent planning.18. The author's reaction to the statement by the Ministry of Business and Industry is ___.A) disapprovingB) approvingC) noncommittalD) doubtful19. According to the passage, Danish orderliness ___.A) sets the people apart from Germans and SwedesB) spares Danes social troubles besetting other peopleC) is considered economically essential to the countryD) prevents Danes from acknowledging existing troubles20. At the end of the passage the author states all the following EXCEPT that ___.A) Danes are clearly informed of their social benefitsB) Danes take for granted what is given to themC) the open system helps to tide the country overD) orderliness has alleviated unemploymentTEXT BBut if language habits do not represent classes, a social stratification in to something as bygone as "aristocracy" and "commons", they do still of course serve to identify social groups. This is something that seems fundamental in the use of language. As we see in relation to political and national movements, language is used as a badge or a barrier depending on which way we look at it. The new boy at school feels out of it at first because he does not know the fight words for things, and awe-inspiring pundits of six or seven look down on him for no t being aware that racksy means "dilapidated", or hairy "out first ball". The miner takes a certain pride in being "one up on the visitor or novice who calls the cage a "lift" or who thinks that men working in a warm seam are in their "underpants" when anyone ought to know that the garments are called hoggers. The "insider" is seldom displeased that his language distinguishes him from the "outsider".Quite apart from specialized terms of this kind in groups, trades and professions, there are all kinds of standards of correctness at which mast of us feel more or less obliged to aim, because we know that certain kinds of English invite irritation or downright condemnation. On the other hand, we know that other kinds convey some kind of prestige and bear a welcome cachet.In relation to the social aspects of language, it may well be suggested that English speakers fall into three categories: the assured, the anxious and the indifferent. At one end of this scale, we have the people who have "position" and "status", and who therefore do not feel they need worry much about their use of English. Their education and occupation make them confident of speaking an unimpeachable form of English: no fear of being criticized or corrected is likely t o cross their minds, and this gives their speech that characteristically unselfconscious and easy flow which is often envied.At the other end of the scale, we have an equally imperturbable band, speaking with a similar degree of careless ease, because even if they are aware that their English is condemned by others, they are supremely indifferent to the fact. The Mrs. Mops of this world have active and efficient tongues in their heads, and if we happened not to like the/r ways of saying things, well, we "can lump it ". That is their attitude. Curiously enough, writers are inclined to represent t he speech of both these extreme parties with -in' for ing. On the one hand, "we're goin' huntin', my dear sir"; on the other, "we're goin' racin’, mate."In between, according to this view, we have a far less fortunate group, the anxious. These actively try to suppress what they believe to be bad English and assiduously cultivate what they hope to be good English. They live their lives in some degree of nervousness over their grammar, their pronunciation, and their choice of words: sensitive, and fearful of betraying themselves. Keeping up with the Joneses is measured not only in houses, furniture, refrigerators, cars, and clothes, but also in speech.And the misfortune of the "anxious" does not end with their inner anxiety. Their lot is also the open or veiled contempt of the "assured" on one side of them and of the "indifferent" on the other.It is all too easy to raise an unworthy laugh at the anxious. The people thus uncomfortably stilted on linguistic high heels so often form part of what is, in many ways, the most admirable section of any society: the ambitious, tense, inner-driven people, who are bent on" going places and doing things". The greater the pity, then, if a disproportionate amount of their energy goes into what Mr. Sharpless called" this shabby obsession" with variant forms of English- especially if the net result is(as so often)merely to sound affected and ridiculous. “Here", according to Bacon, "is thefirst distemper of learning, when men study words and not matter …. It seems to me that Pygmalion’s frenzy is a good emblem …of this vanity: for words axe but the images of matter; and except they have life of reason and invention, to fall in love with them is to fall in love with a picture."21. The attitude held by the assured towards language is ___.A) criticalB) anxious C) self-consciousD) nonchalant22. The anxious are considered a less fortunate group because ___.A) they feel they are socially looked down uponB) they suffer from internal anxiety and external attackC) they are inherently nervous and anxious peopleD) they are unable to meet standards of correctness23. The author thinks that the efforts made by the anxious to cultivate w hat they believe is good English are ___.A) worthwhileB) meaningless C) praiseworthyD) irrationalTEXT CFred Cooke of Salford turned 90 two days ago and the world has been beating a path to his door. If you haven't noticed, the backstreet boy educated at Blackpool grammar styles himself more grandly as Alastair Cooke, broadcaster extraordinaire. An honorable KBE, he would be Sir Alastair if he had not taken American citizenship more than half a century ago.If it sounds snobbish to draw attention to his humble origins, it should be reflected that the real snob is Cooke himself, who has spent a lifetime disguising them. But the fact that he opted to renounce his British passport in 1941 - just when his country needed all the wartime help it could get-is hardly a matter for congratulation.Cooke has made a fortune out of his love affair with America, entrancing listeners with a weekly monologue that has won Radio 4 many devoted adherents. Part of the pull is the developed drawl. This is the man who gave the world "midatlantic", the language of the disc jockey and public relations man.He sounds American to us and English to them, while in reality he has for decades belonged to neither. Cooke's world is an America that exists largely in the imagination. He took ages to acknowledge the disaster that was Vietnam and evenlonger to wake up to Watergate. His politics have drifted to the right with age, and most of his opinions have been acquired on the golf course with fellow celebrities.He chased after stars on arrival in America, Fixing up an interview with Charlie Chaplin and briefly becoming his friend. He told Cooke he could turn him into a fine light comedian; instead he is an impressionist's dream.Cooke liked the sound of his first wife's name almost as much as he admired her good looks. But he found bringing up baby difficult and left her for the wife of his landlord. Women listeners were unimpressed when, in 1996, he declared on air that the fact that 4% of women in the American armed forces were raped showed remarkable self-restraint on the part of Uncle Sam's soldiers. His arrogance in not allowing BBC editors to see his script in advance worked, not for the first time, to his detriment. His defenders said he could not help living with the 1930s values he had acquired and somewhat dubiously went on to cite "gallantry" as chief among them. Cooke's raconteur style encouraged a whole generation of BBC men to think of themselves as more important than the story. His treacly tones were the mo del for the regular World Service reports From Our Own Correspondent, known as FOOCs in the business. They may yet be his epitaph.24. At the beginning of the passage the writer sounds critical of ___.A) Cooke's obscure originsB) Cooke's broadcasting styleC) Cooke's American citizenshipD) Cooke's fondness of America25. The following adjectives can be suitably applied to Cooke EXCEPT ___.A) old-fashionedB) sincere C) arrogantD) popular26. The writer comments on Cooke's life and career in a slightly ___ tone.A) ironicB) detached C) scathingD) indifferentTEXT DMr. Duffy raised his eyes from the paper and gazed out of his window on the cheerless evening landscape. The river lay quiet beside the empty distillery and from time to time a light appeared in some house on Lucan Road. What an end! The whole narrative of her death revolted him and it revolted him to think that he had ever spoken to her of what he held sacred. The cautious words of a reporter wonover to conceal the details of a commonplace vulgar death attacked his stomach. Not merely had she degraded herself, she had degraded him. His soul's companion! He thought of the hobbling wretches whom he had seen carrying cans and bottles to be filled by the barman. Just God, what an end! Evidently she had been unfit to live, without any strength of purpose, an easy prey to habits, one of the wrecks on which civilization has been reared. But that she could have sunk so low! Was it possible he had deceived himself so utterly about her He remembered her outburst of that night and interpreted it in a harsher sense than he had ever done. He had no difficulty now in approving of the course he had taken.As the light failed and his memory began to wander he thought her hand touched his. The shock which had first attacked his stomach was now attacking his nerves. He put on his overcoat and hat quickly and went out. The cold air met him on the threshold; it crept into the sleeves of his coat. When he came to the public house at Chapel Bridge he went in and ordered a hot punch.The proprietor served him obsequiously but did not venture to talk. There were five or six working-men in the shop discussing the value of a gentleman's e state in County Kildare. They drank at intervals from their huge pint tumblers, and smoked, spitting often on the floor and sometimes dragging the sawdust over their heavy boots. Mr. Duffy sat on his stool and gazed at them, without seeing o r hearing them. After a while they went out and he called for another punch. He sat a long time over it. The shop was very quiet. The proprietor sprawled on the counter reading the newspaper and yawning. Now and again a tram was heard swishing along the lonely road outside.As he sat there, living over his life with her and evoking alternately the two images on which he now conceived her, he realized that she was dead, that s he had ceased to exist, that she had become a memory. He began to feel ill at ea se. He asked himself what else could he have done. He could not have lived with her openly. He had done what seemed to him best. How was he to blame Now that s he was gone he understood how lonely her life must have been, sitting night after night alone in that room. His life would be lonely too until he, too, died, ceased to exist, became a memory-if anyone remembered him.27. Mr. Duffy's immediate reaction to the report of the woman's death was that of ___.A) disgustB) guilt C) griefD) compassion28. It can be inferred from the passage that the reporter wrote about the woman's death in a ___ manner.A) detailedB) provocative C) discreetD) sensational29. We can infer from the last paragraph that Mr. Duffy was in a(n) ___ mood.A) angryB) fretful C) irritableD) remorseful30. According to the passage, which of the following statements is NOT t rueA) Mr. Duffy once confided in the woman.B) Mr. Duffy felt an intense sense of shame.C) The woman wanted to end the relationship.D) They became estranged probably after a quarrel.SECTION B SKIMMING AND SCANNING ( 10 MIN)In this section there are seven passages followed by ten multiple -choice questions. Skim or scan them as required and then mark your answers on the Coloured Answer Sheet.TEXT EFirst read the following question.31. In the passage Bill Gates mainly discusses ___.A) a person's opportunity of a lifetimeB) the success of the computer industryC) the importance of educationD) high school education in the USNow go through TEXT E quickly and answer question 31.Hundreds of students send me e-mail each year asking for advice about education. They want to know what to study, or whether it's OK to drop out of college since that's what I did.My basic advice is simple and heartfelt." Get the best education you can. Take advantage of high school and college. Learn how to learn."It's true that I dropped out of college to start Microsoft, but I was at Harvard for three years before dropping out-and I'd love to have the time to go b a ck. As I've said before, nobody should drop out of college unless they believe they face the opportunity of a lifetime. And even then they should reconsider.The computer industry has lots of people who didn't finish college, but I 'm not aware of any success stories that began with somebody dropping out of high school.I actually don't know any high school dropouts, let alone any successful ones.In my company's early years we had a bright part-time programmer who threatened to drop out of high school to work full-time. We told him no.Quite a few of our people didn't finish college, but we discourage dropping out.College isn't the only place where information exists. You can learn in a library. But somebody handing you a book doesn't automatically foster learning. Y o u want to learn with other people, ask questions, try out ideas and have a way to test your ability. It usually takes more than just a book.Education should be broad, although it's fine to have deep interests, too.In high school there were periods when I was highly focused on writing soft ware, but for most of my high school years I had wide-ranging academic interests. My parents encouraged this, and I'm grateful that they did.One parent wrote me that her 15-year old son "lost himself in the hole of t he computer.”He got an A in Web site design, but other grades were sinking, she said.This boy is making a mistake. High school and college offer you the best chance to learn broadly-math, history, various sciences-and to do projects with other kids that teach you firsthand about group dynamics. It's fine to take a deep interest in computers, dance, language or any other discipline, but not if it jeopardizes breadth.In college it's appropriate to think about specialization. Getting real expertise in an area of interest can lead to success. Graduate school is one way t o get specialized knowledge. Choosing a specialty isn't something high school students should worry about. They should worry about getting a strong academic start.There's not a perfect correlation between attitudes in high school and success in later life, of course. But it's a real mistake not to take the opportunity to learn a huge range of subjects, to learn to work with people in high school, and to get the grades that will help you get into a good college.TEXT FFirst read the following question.32. The passage focuses on ___.A) the history and future of LondonB) London’s manufacturing skillsC) London's status as a financial centrerD) the past and present roles of LondonNow go through Text F quickly and answer question 32.What is London for To put the question another way, why was London, by 190 0, incomparably the largest city in the world, which it remained until the bombardments of the Luftwaffe There could be many answers to this question, but any history of London will rehearse three broad explanations. One is the importance of its life as a port. When the Thames turned to ice in February 1855, 50,000 men were put out of work, and there were bread riots from those whose liveliboods had been frozen with the river. Today, the Thames could be frozen for a year with out endangering the livelihoods of any but a few pleasure-boatmen.The second major cause of London's wealth and success was that it was easily the biggest manufacturing centre in Europe. At the beginning of the Industrial Revolution, Dutch looms and the stocking knitting frame were first pioneered in London. The vast range of London's manufacturing skills is another fact; almost any item you can name was manufactured in London during the days of its prosperity. In 1851, percent of the manufacturing work-force of Great Britain was based in London. By 1961, this had dramatically reduced. By 1993, there were a mere 328,000 Londoners engaged in manufacturing. In other words, by our own time s, two of the chief reasons for London's very existence-its life as a pert and as a centre of manufacture-had dwindled out of existence.London's third great function, since the seventeenth century, has been that of national and international bourse: the exchange of stocks and shares, banking, commerce and, increasingly, insurance. Both In wood and Francis Sheppard, in London: A history, manage to make these potentially dry matters vivid to the general reader, and both authors assure us that "The City" in the financial sense is still as important as ever it was. Both, however, record the diminution of the City as an architectural and demographic entity, with the emptying of many city offices (since the advent of the computer much of the work can be done anywhere) and the removal of many distinctive landmarks.TEXT GFirst read the following question.33. The primary purpose of the passage is to ___.A) discuss the impact of the internetB) forecast the future roles of the bookstoreC) compare the publisher with the editorD) evaluate the limitations of the printed pageNow go through TEXT G quickly and answer question 33.。