初中物理公式整理(完整版)沪粤版
- 格式:pdf
- 大小:357.90 KB
- 文档页数:7
第一讲功与功率一、功1.功能关系★做功:能量转化的过程称为做功。
★能量:如果物体能够对外做功,我们就说物体具有能量。
★功是能量转化的量度。
2.功(W)定义:如果一个力作用在物体上,并是这个物体在力的方向上移动了一段距离,就称这个力对物体做了机械功,简称机械功。
★做功的必要条件有作用在物体上的力;物体在这个力的方向上移动了一段距离劳而无功(有力无距离)★不做功的三种情况无力无功(有距离无力)垂直无功(力与距离垂直)二、功的计算1.定义:物理学中规定力对物体做的功等于力与物体在力方向上移动距离的乘积2.公式:W = F s功=力*力方向上的距离1 J=1 Nm★注意:①.辨别清楚是哪个力做功;②.注意距离的方向要与力的方向对应上;③.统一单位进行运算;④.做功多少只由F与s决定,与物体的质量、速度、运动方向和接触面的粗糙程度无关。
三、功率(P)1.定义:物体做的功与所用时间的比值叫功率。
2.物理意义:表示物体做功快慢的物理量。
3.公式:P=Wt1W=1J/s★功率推导式:P=Wt =Fst=Fv第二讲机械效率一、有用功与额外功1.有用功:对人们有用的功,用W有用表示。
①对于竖直方向上提升重物,目的是克服重力做功,故W有用=G物h;②对于沿水平方向匀速拉(推)动物体,目的是拉(推)动物体做功(克服摩擦阻力做功),故W有用=F拉s物= f s物2.额外功:人们不需要但又不得不做的功,用符号W额外表示。
3.总功:有用功与额外功的总和,用符号W总表示。
W总=W有用+ W额外二、机械效率1.定义:有用功跟总功的比值,机械效率是反映机械效率优劣的重要标志之一。
2.公式:η=W有用W总×100%3.机械功原理:使用任何机械做功时,都会不可避免产生额外功,所以机械效率总是小于1的。
三、滑轮组机械效率1.竖放滑轮组机械效率(克服重力做功)①.理想状态(不计滑轮重,绳重及一切摩擦)F=1nG ;s=nhη=W有用W总×100%=GhFs=100%②.半理想状态(考虑动滑轮重,不计绳重及一切摩擦)F=G物+G动n;s=nhη=W有用W总×100%=GhFs=G物G物+G动●物体越重,动滑轮越轻,滑轮组的机械效率越高。
九年级上册知识点复习第十一章 机械功与机械能三、功1、做功的两个必要因素:一是作用在物体上的力;二是物体在这个力的方向上移动的距离。
2、功的计算:功等于力与物体在力的方向上移动的距离的乘积。
公式:W=FS3、功的单位:焦耳(J ),1J= 1N ·m 。
四、功率—做功的快慢1、定义:功与做功所用时间之比。
2、物理意义:表示做功快慢的物理量。
3、定义公式:P=tW使用该公式解题时,功W 的单位:焦(J ),时间t 的单位:秒(s ),功率P 的单位:瓦(W )。
4、单位:国际单位: W ,常用单位 kW ,它们间的换算关系是:1kW=103W 5、推导公式:P =Fv公式中P 表示功率,F 表示作用在物体上的力,v 表示物体在力F 的方向上运动的速度。
使用该公式解题时,功率P 的单位:瓦(W ),力F 的单位:牛(N ),速度v 的单位:米/秒(m/s )。
五、机械效率1、有用功:对人们有用的功。
W 有用=Gh G 表重力 h 表升高的高度 2、 额外功:并非我们需要但又不得不做的功3、 总功:有用功加额外功 。
公式:W 总=W 有用+W 额 ;W 总=FS F 表力,s 表距离4、 机械效率:① 定义:有用功跟总功的比值。
② 公式:η=③ 有用功总小于总功,所以机械效率总小于1 ,通常用百分数表示。
④提高机械效率的方法:减小机械自重、减小机件间的摩擦。
总有用W W六、动能和势能(统称机械能)1、能量:物体能够对外做功,表示这个物体具有能量,简称能。
理解:①能量表示物体做功本领大小的物理量;能量可以用能够做功的多少来衡量。
②一个物体“能够做功”并不是一定“要做功”,也不是“正在做功”或“已经做功”如:山上静止的石头具有能量,但它没有做功。
也不一定要做功。
2、动能①定义:物体由于运动而具有的能,叫做动能。
②决定动能大小的因素:动能的大小与质量和速度有关。
质量相同的物体,运动的速度越大,它的动能越大;运动速度相同的物体,质量越大,它的动能也越大。
上海初中物理公式大全速度:V(m/S)v= S:路程/t:时间重力G (N)G=mg(m:质量;g:9.8N/kg或者10N/kg )密度:ρ(kg/m3)ρ= m/v (m:质量;V:体积)合力:F合(N)方向相同:F合=F1+F2 ;方向相反:F合=F1—F2 方向相反时,F1>F2浮力:F浮(N) F浮=G物—G视(G视:物体在液体的重力)浮力:F浮(N) F浮=G物(此公式只适用物体漂浮或悬浮)浮力:F浮(N) F浮=G排=m排g=ρ液gV排(G排:排开液体的重力;m排:排开液体的质量;ρ液:液体的密度;V排:排开液体的体积(即浸入液体中的体积) )杠杆的平衡条件:F1 L1= F2 L2 (F1:动力;L1:动力臂;F2:阻力;L2:阻力臂)定滑轮:F=G物S=h (F:绳子自由端受到的拉力;G物:物体的重力;S:绳子自由端移动的距离;h:物体升高的距离)动滑轮:F= (G物+G轮)/2 S=2 h (G物:物体的重力;G轮:动滑轮的重力)滑轮组:F= (G物+G轮)S=n h (n:通过动滑轮绳子的段数)机械功:W (J)W=Fs (F:力;s:在力的方向上移动的距离)有用功:W有=G物h总功:W总W总=Fs 适用滑轮组竖直放置时机械效率: η=W有/W总×100%功率:P (w)P= w/t (W:功; t:时间)压强p (Pa)P= F/s (F:压力; S:受力面积)液体压强:p (Pa)P=ρgh (ρ:液体的密度;h:深度【从液面到所求点的竖直距离】)热量:Q (J)Q=cm△t (c:物质的比热容;m:质量;△t:温度的变化值)燃料燃烧放出的热量:Q(J)Q=mq (m:质量;q:热值)常用的物理公式与重要知识点串联电路电流I(A)I=I1=I2=……电流处处相等串联电路电压U(V)U=U1+U2+……串联电路起分压作用串联电路电阻R(Ω)R=R1+R2+……并联电路电流I(A)I=I1+I2+……干路电流等于各支路电流之和(分流)并联电路电压U(V)U=U1=U2=……并联电路电阻R(Ω)1/R =1/R1 +1/R2 +……欧姆定律:I= U/I电路中的电流与电压成正比,与电阻成反比电流定义式I= Q/t (Q:电荷量(库仑);t:时间(S))电功:W (J)W=UIt=Pt (U:电压;I:电流;t:时间;P:电功率)电功率:P=UI=I2R=U2/R (U:电压;I:电流;R:电阻)电磁波波速与波长、频率的关系:C=λν(C:波速(电磁波的波速是不变的,等于3×108m/s);λ:波长;ν:频率)需要记住的几个数值:a.声音在空气中的传播速度:340m/s b光在真空或空气中的传播速度:3×108m/s c.水的密度:1.0×103kg/m3 d.水的比热容:4.2×103J/(kg•℃)e.一节干电池的电压:1.5V f.家庭电路的电压:220Vg.安全电压:不高于36V。
初中物理复习提纲(沪粤版)目录第一章?走进物理世界? (1)第二章?声音及环境? (2)第三章?光和眼睛? (3)第四章?物质的形态和变化? (7)第五章?我们周围的物质? (12)第六章?力和机械? (14)第七章?运动和力? (19)第八章?神奇的压强? (21)第九章?浮力和升力? (24)第十章?从粒子到宇宙? (26)第十一、十二章?简单电路? (28)第十三章?机械功和机械能? (32)第十四章?内能和热机? (35)第十五、十六章?电及磁? (38)第十七、十八章?电功率和家庭电路? (40)第十九章?电磁涉及信息时代? (42)第二十章?能量及能量守恒定律? (44)第一章?走进物理世界?一、长度的测量:1、长度测量的常用的工具是刻度尺。
2、国际单位制中,长度的主单位是米〔m〕,常用单位有千米(km),分米(dm),厘米(cm),毫米(mm),微米 (μm),纳米(nm)。
3、主单位及常用单位的换算关系:1km=103m 1m=10dm 1dm=10cm 1cm=10mm1mm=103μm 1μm=103nm 1m=106μm 1m=109nm4、特殊的测量方法:(1)测量细铜丝的直径、一张纸的厚度等微小量,常用累积法。
(2)测地图上两点间的距离,园柱的周长等常用化曲为直法。
(3)测操场跑道的长度等常用轮滚法,即用周长的滚轮沿着跑道滚动,记下轮子转过的圈数,可算出跑道的长度。
(4)测硬币、球、园柱的直径圆锥的高等常用辅助法〔用刻度尺及三角板等组合起来测量〕。
5、刻度尺的使用规那么:〔1〕“选〞:根据实际需要选择刻度尺。
〔2〕“看〞:使用刻度尺前要观察它的零刻度线、量程、分度值。
〔3〕“放〞:刻度尺要沿着所测长度紧贴物体且不歪斜,如果用零刻线磨损的的刻度尺测量时,要从某一个清晰的整刻度开场。
〔4〕“读〞:读数时视线要及尺面垂直。
在准确测量时,要估读到分度值的下一位。
〔5〕“记〞:测量结果由数字和单位组成。
初中物理沪粤版知识点归纳总结九年级上册第十一章力和机械11.1怎样才叫做功考点:1、功(1)力学中的功:如果一个力作用在物体上,物体在力的方向上移动了一段距离,这个力的作用就显示出成效,力学里就说这个力做了功。
(2)功的两个因素:一个是有力的作用,另一个是在力的方向上通过距离。
(3)不做功的三种情况:①物体受到了力,但在力的方向上没有距离。
②物体由于惯性运动通过了距离,但没有受到力。
③物体受力的方向与运动的方向相互垂直,这个力也不做功。
2、功的计算(1)计算公式:物理学中,功等于力与力的方向上移动的距离的乘积。
即:W= FS 。
(2)符号的意义及单位: W 表示功,单位是焦耳 (J),1J=1N·m; F 表示力,单位是牛顿 (N);s表示距离,单位是米(m)。
11.2怎样比较做功快慢考点:1、功率的概念:功率是表示物体做功快慢的物理量。
2、功率(1)定义:功与做功所用的时间叫做功率,用符号“P”表示。
单位是瓦特(W)。
(2)公式:p= W/t 。
式中 P 表示功率,单位是瓦特(W);W表示功,单位是焦耳(J);t表示时间,单位是秒(s)。
(4)功率与机械效率的区别:功率表示物体做功的快慢;机械效率表示有用功与总功比值大小。
11.3如何提高机械效率考点:1、有用功—W有用:使用机械时,对人们有用的功叫有用功。
在提升物体时,W有用=Gh 。
2、额外功—W额外(1)使用机械时,对人们没有用但必须做的的功叫额外功。
(2)额外功的主要来源:①提升物体时,克服机械自重、容器重、绳重等所做的功。
②克服机械的摩擦所做的功。
3、总功—W总:(1)人们在使用机械做功的过程中实际所做的功叫总功,它等于有用功和额外功的总和。
即:W总= W有用 +W额外。
(2)若人对机械的动力为F,则:W总= FS4、机械效率—η(1)定义:有用功与总功比值叫机械效率。
(2)公式:η= W有用/ W总。
(3)机械效率总是小于 1 。
粤沪版初中物理九年级上册公式1. )(FW s s W F Fs W ===、变形公式 物理量 符号 国际单位 力F N (牛顿) 沿力的方向的距离 s m(米) 该力所做的功WJ (焦耳)如果是克服重力做功,则Gh Fs W ==(竖直方向上的距离用h 表示) 2. Fv tFst W P ===,Fv P =(变形公式) 物理量符号 国际单位 某个力所做的功W J (焦耳) 时间 t S (秒) 某个力的功率PW (瓦特)3. 滑轮组和机械效率公式竖直方向 水平方向(1)不计绳重和摩擦 )(1动物G G nF += 滑f n F 1=(2) 绳绳nh s =、物绳nv v = 物绳ns s =、物绳nv v =(3) Gh W =有物有fs W =(4))(绳端运动的距离绳绳总s Fs W = (5)绳总拉力Fv tW P == (6)nFGnh F Gh Fs Gh W W =⋅==⨯=绳总有%100η(竖直方向万能公式) (7)动物物动物物额有有总有G G G h G h G h G W W W W W +=+=+=⨯=%100η(竖直不计绳重和摩擦)(8)nFfns F fs Fs fs W W =⋅==⨯=物物绳物总有%100η(水平方向万能公式) 4. t cm Q ∆=(变形公式t m Q c ∆=、t c Q m ∆=、cmQt =∆)﹝)/(102.43℃水⋅⨯=kg J c ﹞ 物理量 符号 国际单位比热容 c )/(℃⋅kg J(焦每千克摄氏度)质量 m Kg(千克) 变化的温度 △t ℃(摄氏度) 热量QJ (焦耳)物质的比热容只与物质的种类和状态有关,与物质的质量、热量、变化的温度无关。
5. m Q q =、VQq =(变形公式q Q V qV Q q Q m mq Q ====、、、)物理量符号 国际单位 放出的热量 Q 放 J (焦) 质量 m Kg(千克) 体积 V m ³燃料的热值 qJ/kgJ/m ³6. 机械效率 (1)mq tcm Q Q W W ∆==⨯=放吸总有%100η(对于给液体加热这一类热机的效率) (2)mqsF mq pt W W 牵总有==⨯=%100η(对于给汽车提供动力这一类热机的效率) 7.串、并联电路中电流、电压、电阻的特点串联并联电路图电流 321I I I == 21I I I +=总电压 21U U U +=总21U U U ==电阻21R R R +=nR R R R R 1......1111321+++= 对于两个电阻并联2121R R R R R +⋅=7. 欧姆定律U I =(变形公式IR U =、U R =)(适用纯电阻电路) PS:(1)(表示导体两端的电压等于通过它的电流与其电阻的乘积,因为电压是由电源提供的,所以不能说成电压与电流成正比) (2)IUR =(对给定的导体,其电阻是不变的(不考虑温度的影响),所以不能说成电阻与电压成正比,与电流成反比) 8. 电功率UI P =、P =(适用于任何电路)时间 t t (秒) h电流所做的功 W J (焦耳) h kW ⋅(千瓦时)用电器功率PW (瓦特)kWPS :J h kW 6106.31⨯=⋅ 9. UIt W =结合RUI =的推导式 Rt I It IR UIt W 2=⋅==、t RU t R U U UIt W 2=⋅==(均只适用于纯电阻电路) 10. UI P =结合RUI =的推导式 R I I IR UI P 2=⋅==、RU R U U UI P 2=⋅==(均只适用于纯电阻电路)11.电能表NnW =物理量 符号 单位实际转的圈数xx r n r(圈数) 电能表 xxx r/(kW.h)N r/(kW.h) 消耗的电能 WkW.h (千瓦时)11. 焦耳定律Rt I Q 2=(适用于一切电路) 物理量 符号 单位 电流 I A (安培) 电阻 R Ω(欧姆) 时间 t s (秒) 放出的热量QJ (焦耳)PS :t RU Rt I UIt Pt W Q 22=====(适用于纯电阻电路)(消耗的电能全部转化为内能)。
上海初中物理公式大全速度:V(m/S)v= S:路程/t:时间重力G (N)G=mg(m:质量;g:9.8N/kg或者10N/kg )密度:ρ(kg/m3)ρ= m/v (m:质量;V:体积)合力:F合(N) 方向相同:F合=F1+F2 ;方向相反:F合=F1—F2 方向相反时,F1>F2浮力:F浮(N) F浮=G物—G视(G视:物体在液体的重力)浮力:F浮(N) F浮=G物(此公式只适用物体漂浮或悬浮)浮力:F浮(N)F浮=G排=m排g=ρ液gV排(G排:排开液体的重力;m排:排开液体的质量;ρ液:液体的密度;V排:排开液体的体积(即浸入液体中的体积))杠杆的平衡条件:F1 L1= F2 L2 (F1:动力;L1:动力臂;F2:阻力;L2:阻力臂)定滑轮:F=G物S=h (F:绳子自由端受到的拉力; G物:物体的重力;S:绳子自由端移动的距离;h:物体升高的距离)动滑轮: F= (G物+G轮)/2 S=2 h (G物:物体的重力;G轮:动滑轮的重力)滑轮组:F= (G物+G轮)S=n h (n:通过动滑轮绳子的段数)机械功:W (J) W=Fs (F:力; s:在力的方向上移动的距离)有用功:W有=G物h总功:W总W总=Fs 适用滑轮组竖直放置时机械效率: η=W有/W总×100%功率:P (w)P= w/t (W:功;t:时间)压强p (Pa)P= F/s (F:压力;S:受力面积)液体压强:p (Pa)P=ρgh (ρ:液体的密度;h:深度【从液面到所求点的竖直距离】)热量:Q (J)Q=cm△t (c:物质的比热容;m:质量;△t:温度的变化值)燃料燃烧放出的热量:Q(J)Q=mq (m:质量;q:热值)常用的物理公式与重要知识点串联电路电流I(A)I=I1=I2=……电流处处相等串联电路电压U(V)U=U1+U2+……串联电路起分压作用串联电路电阻R(Ω)R=R1+R2+……并联电路电流I(A) I=I1+I2+……干路电流等于各支路电流之和(分流)并联电路电压U(V)U=U1=U2=……并联电路电阻R(Ω)1/R =1/R1 +1/R2 +……欧姆定律:I= U/I电路中的电流与电压成正比,与电阻成反比电流定义式I= Q/t (Q:电荷量(库仑);t:时间(S))电功:W (J)W=UIt=Pt (U:电压;I:电流;t:时间;P:电功率)电功率:P=UI=I2R=U2/R (U:电压;I:电流;R:电阻)电磁波波速与波长、频率的关系:C=λν(C:波速(电磁波的波速是不变的,等于3×108m/s);λ:波长;ν:频率)需要记住的几个数值:a.声音在空气中的传播速度:340m/s b光在真空或空气中的传播速度:3×108m/s c.水的密度:1。
初中物理公式大全(沪科版)-CAL-FENGHAI-(2020YEAR-YICAI)_JINGBIAN初中物理公式大全一、速度公式二、重力公式G=mg (G:重力,m:质量,g:通常g取10N/kg,题目未交待时g取9.8N/kg) 三、同一直线上力的合成 :方向相同:F合=F1+F2;方向相反:F合=F1—F2四、密度公式冰与水之间状态发生变化时m水=m冰ρ水>ρ冰 v水<v冰五、浮力公式(1)F浮=F下-F上 (压力差法)(2)F浮=G物 (漂浮、悬浮法)(3)F浮=G--F(称重法)(4)阿基米德原理:F 浮=G 排=m 排g=ρ液g V 排 (排水法)(F 浮:浮力,G 排:排开的液体所受重力,m 排:排开的液体的质量,ρ液:液体密度,V 排:排开液体的体积,g :10N/kg 或9.8N/kg )六、压强公式 (1)普适公式SF=p (p :压强Pa ,F :压力N ,S :受力面积m 2)固体平放时F =G =mg (2)液体压强公式p =ρgh (p :液体压强 ρ:液体的密度; h :深度【从液面到所求点的竖直距离】 )七、杠杆平衡条件公式F 1l 1=F 2l 2 ( F 1:动力 ;L 1:动力臂;F 2:阻力; L 2:阻力臂 )八、滑轮(组)公式 (不计绳重和摩擦)(F :绳子自由端受到的拉力; G 物:物体的重力; s :绳子自由端移动的距离; h :物体升高的距离; G 动:动滑轮的重力; n :有n 段绳子承担物重) (1)定滑轮: F=G 物 s=h (2)动滑轮:)G (21F 动物+=G S=2h (3)滑轮组:)G (n1F 动物+=G s =nh九、功、功率、机械效率(1)功 a 、W =Fs (W :功J ,F :力N ,s :在力的方向上移动的距离m)b 、把物体举高时W =Ghc 、通过功率计算 W =Pt (2)功率Fv t Fs t W P ===(一般) (P :功率W ,W :功J; t :时间s ,F 、 s :同上,v :速度) (3)有用功W 有=Fs=Gh (与功相同) W 有=W 总-W 额(有用功=总功-额外功) (4)总功 W 总=F s (F :总动力,s:在力的方向上移动距离)W 总= W 有+W 额 (5)机械效率 %100W W ⨯=总有η (η:机械效率,一定小于1)九年级物理 热学部分(第十二、十三章) 1、吸热、放热 Q 吸或Q 放=c mΔt(c :物质的比热容; m :质量 ;△t :温度的变化值 ;△t=t 高-t 低) 2、热值Q=mq (固体、液体) Q=Vq (气体) (m :质量, q :热值,m :质量,V :体积)3、热机效率:%100Q Q ⨯=完全燃烧有效利用η 电机效率η=W 有W 电 x100%电学部分(第十四、十五、十六章) 1、电流定义式 :tQI =(I :电流A ,Q :电荷量c ,t :时间s ) 2、 欧姆定律:电路中的电流与电压成正比,与电阻成反比I U R IR U R U ===,,I (U :电压V, I :电流A, R :电阻R )3、电功公式(1)普适公式W=UIt (W :电功J ,U :电压V, I :电流A, R :电阻R ,t :时间s )(2)纯电阻公式(焦耳定律) RtI t I RI W tR U t W 22R U U =••==••=4、电功率: (1)普适公式 tWP =(P :电功率W 或kW ,W :电功J 或kW ·h ,t :时间s 或h )P=UI (P :电功率W ,U :电压V, I :电流A )(2)纯电阻公式 RU R I P 22==5、串联电路的特点: (1)各处电流相等 I =I 1=I 2(2)总电压等于各部分电路两端电压之和 U =U 1+U 2 n 个阻值相同的R 串联时,R 总=nR(3)总电阻等于各分电阻之和 R 总=R 1+R 2(4)串联分压:各部分电压比等于电阻比2121R R U U = 由此得,当R 1、R 2串联,t 相同、I 相同21212121R R U U P P W W === (5)6、并联电路的特点:(6)(1)干路电流等于各支路电流之和 I =I 1+I 2(2)各支路两端的电压相等,一般等于电源电压 U =U 1=U 2(3)总电阻的倒数等于各分电阻的倒数之和 21R 1R 1R 1+=总 [2121R R R R R +=总](4)并联分流:各支路电流比等于电阻的倒数比 ,当R1、R2并联,t 相同时12212121R R I I P P W W === 7、电磁波波速与波长、频率的关系c=λν 【c :波速(电磁波的波速是不变的,等于3×108m/s );λ:波长m ;ν:频率Hz 】 常用物理量1、光速:C =3×108m/s (真空中)2、声速:V =340m/s (15℃) 2、3、重力与质量比值:g =9.8N/kg≈10N/kg4、1标准大气压值:760毫米水银柱高=1.01×105Pa5、水的密度ρ=1×103kg/m3 冰的熔点0℃ 水的沸点100℃ 水的比热容:c =4.2×103J/(kg•℃)6、一节干电池电压:1.5V7、一节铅蓄电池电压:2V 8、对于人体的安全电压:≤36V (不高于36V ) 9、家庭电路电压:220V10、单位换算(1)1m/s=3.6km/h(2)1g/cm3=103kg/m3(3)1kw•h=3.6×106J(4) 1mm2=1x10-6m2(5)1cm2=10-4m2(6)1cm3=10-6m3。
初中物理(沪粤版)表格归纳本章考点突破:一、长度测量的特殊方法:1 化曲为直(也称替代法)。
此法可以较方便的测出一些曲线的长度,例如测地图上北京到上海铁路线的长度,花坛的周长,测运动场的弯道处长度。
2 累积法。
如测细铜丝、头发的直径,测一张纸的厚度。
3 平移法。
可以方便地测量圆球的直径,锥体的高,人的身高,墨水瓶的高度等。
二、注意厚刻度尺的用法。
三、注意估计值为零的情况。
第二章声音与环境2★第三章光和眼睛4本章考点突破:一、什么是虚像?我们看见的物体,都是自身能发光或反射外界光线,它们射出的光线进入人的眼睛产生了视觉,而虚像是光线经镜子或其他光学元件反射或折射后, 反射光线或折射光线进入人眼,人的大脑根据光沿直线传播的固定经验,产生了错觉,误认为光线从镜后的某一点射出。
这个实际上并不存在的点,就是发光点的虚像。
虚像不能用光屏接收,可用人眼观察到,它是“实际光线”的反向延长线相交而得到的点。
实像和虚像的区别:○1成像原理不同,物体发出的光线经光学器件会聚形成的像为实像;经光学器件后光线发散,反向延长线相交形成的像叫虚像。
○2成像特点上的区别。
一般地讲实像是倒立的,虚像是正立的。
○3接收方法上的区别。
实像既能被眼睛看到,又能被光屏接收到;虚像只能被眼睛看到。
不能被光屏接收到。
二、站在平面镜前的人,向平面镜走近时,他的像会不会变化?根据平面镜成像的特点,他的像始终与物体大小相等,是不会改变的。
但人们往往以为像变大了,这跟人们看远处驶近的汽车感觉相似,这辆车的大小始终不变,但人们以为汽车远小近大,驶近的汽车变大了。
三、怎样记住凸透镜成像的初步规律?有四种方法可供采用:1 利用凸透镜的应用加以记忆。
照相机、幻灯机和放大镜都是利用凸透镜成像规律制成的。
弄清了这些仪器的原理就记住了凸透镜成像的规律。
3 口诀记忆:凸透镜成像规律可简要归纳成下面三句话:一倍焦距分虚实(即物体的一倍焦距以内成虚像,一倍焦距以外为实像);二倍焦距分大小(即物距小于二倍焦距,成放大的像,焦点除外;物距大于二倍焦距成缩小的像);实像总是异侧倒立的,虚像总是同侧正立的。
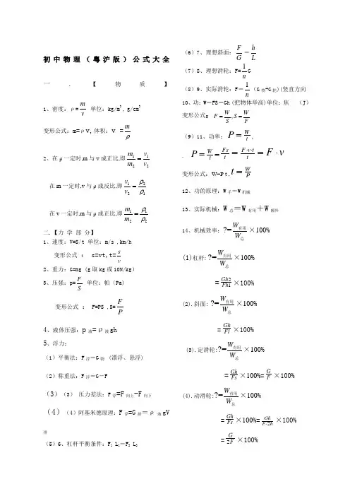
初中物理(粤沪版)公式大全 一.【物质】1、密度:ρ=vm 单位:kg/m 3 , g/cm 3变形公式:m=ρv,体积:v =ρm 2、在ρ一定时,m 与v 成正比,即2121v vm m =在m 一定时,v 与ρ成反比,即1221ρρ=v v 在v 一定时,m 与ρ成正比,即2121ρρ=m m 二.【力 学 部 分】1、速度:V=S/t 单位:m/s ,km/h变形公式 : s=vt,t=vs2、重力:G=mg (g 取kg 或10N/kg )3、压强:p=SF单位:帕(Pa) 变形公式 : F=PS ,S=PF4、液体压强:p 液=ρ液gh5、浮力:(1)平衡法:F 浮=G 物 (漂浮、悬浮) (2)称重法:F 浮=G -F(3)(3) 压力差法:F 浮=F 向上-F 向下(4)(4)阿基米德原理:F 浮=G 排=ρ液gV排(5)6、杠杆平衡条件:F 1 L 1=F 2 L 2(6)7、理想斜面:G F =L h (7)8、理想滑轮:F=n 1G(8)9、实际滑轮:F =n1(G 物+G 轮)(竖直方向10、功:W =FS =Gh (把物体举高)单位:焦 (J )变形公式:F W S S W F ==,(9)11、功率:t W P =,.tW P ==v F ttv F t Fs⋅==⋅⋅变形公式:W=P t ,PW t =12、功的原理:W 手=W 机械 13、实际机械:W总=W 有用+W 额外14、机械效率:?=总有用W W ×100% (1)杠杆: ?=总有用W W ×100% =12Fh Gh ×100%(2).斜面: ?=总有用W W ×100%=Fl Gh×100% (3).定滑轮:?=总有用W W ×100% =FsGh ×100%=F G×100%(4).动滑轮:?=总有用W W ×100% =FsGh ×100%=hF Gh 2⋅×100%=F G2×100%(5).滑轮组:①竖直方向?=总有用W W ×100%=FsGh ×100%②水平方向:?=总有用W W ×100% =Fs fh×100%三.【热 学 部 分】四.1、吸热:Q 吸=CmΔt = Cm(t -t 0) 五.2、放热:Q 放=CmΔt =Cm(t 0-t) 六.3、燃料燃烧放热:Q=qm 热值:q =m Q七.4、炉子和热机的效率: η=总利用Q Q ×100% 八.5、热平衡方程:Q 放=Q 吸 九.6、热力学温度:T =t +273K 十.四.【电 学 部 分】十一.1、欧姆定律:I =R U 单位统一:1A=Ω11v 变形公式:U=IR R=IU2、焦耳定律:(1)、Q =I 2Rt(普适公式)(2)、Q =W =Pt=UIt =RU 2t(纯电阻公式)3、电功:(1)W =Pt =UIt(普适公式)W=Q=Pt =UIt=I 2Rt=RU 2t(2)电能表:每月用电量=本月底度数- 上个月底度数 单位:注意:电能表最后一位数为 小数位” 5、串联电路:(1)、I =I 1=I 2 (2)、U =U 1+U 2 (3)、R =R 1+R 2 (4)、P =P 1+P 2(5)、W = W 1 + W 2(6)、电压跟电阻的正比关系:2121R R U U =6、并联电路:(1)、I =I 1+I 2 (2)、U =U 1=U 2(3)、21111R R R += (4)、P=P 1+P 2 (5)、W = W 1 + W 2(6)、电流跟电阻的反比关系:1221R R I I = 7、功率和电压的关系:在电阻一定时,功率与电压的平方成正比:222121U U P P = 8、电功率: 9、(1)、P =tw=UI (普适公式) 10、(2)、P =tw =UI =I 2R =R U 2(纯电阻公式)9、电磁波的波速:C=?λ 四.【常 用 物 理 量】1、光速/电磁波:C =×108m/s (真空中) 2、声速:V =340m/s (15℃) 3、人耳区分回声:≥0.1s4、重力比值:g =9.8N/kg≈10N/kg5、标准大气压值:760毫米汞柱=1.01×105Pa 6、水的密度:ρ=1.0×103kg/m3 7、水的凝固点:0℃ 8、水的沸点:100℃9、水的比热容:C=4.2×103J/(kg?℃)11、一节干电池电压:1.5V12、一节铅蓄电池电压:2V13、对于人体的安全电压:≤36V14、动力电路的电压:380V15、家庭电路电压:220V16、单位换算:(1)、1m/s=3.6km/h (2)、1g/cm3=103 kg / m3 (3)、1kw?h=3.6×106J。
初中物理(粤沪版)公式大全初中物理(粤沪版)公式大全一、物质1、密度公式:ρ=m/v,单位:kg/m3、g/cm3.体积公式:v=m/ρ。
2、在密度一定时,质量与体积成正比;在质量一定时,体积与密度成反比;在体积一定时,质量与密度成正比。
二、力学部分1、速度公式:V=S/t,单位:m/s、km/h。
时间公式:t=S/v。
2、重力公式:G=mg,其中g取9.8N/kg或10N/kg。
3、压强公式:p=F/S,单位:帕(Pa)。
面积公式:S=F/p。
4、液体压强公式:p液=ρ___。
5、浮力公式:1)平衡法:F浮=G物(漂浮、悬浮)。
2)称重法:F浮=G-F。
3)压力差法:F浮=F向上-F向下。
4)阿基米德原理:F浮=G排=ρ液gV排。
6、杠杆平衡条件:F1L1=F2L2.7、理想斜面公式:F/G=h/L。
8、理想滑轮公式:F=G/n。
9、实际滑轮公式:F=(G物+G轮)/n(竖直方向)。
10、功公式:W=FS=Gh(把物体举高),单位:焦(J)。
力公式:F=W/S,位移公式:S=W/F。
11、功率公式:P=W/t,P=FsFv/t=Fv,单位:瓦(W)。
时间公式:t=W/P。
12、功的原理:W手=W机械。
13、实际机械公式:W总=W有用+W额外。
14、机械效率公式:ŋ=W有用/W总×100%。
1)杠杆公式:ŋ=W有用/W总×100%=Gh2/Fh1×100%。
2)斜面公式:ŋ=W有用/W总×100%=___×100%。
3)定滑轮公式:ŋ=W有用/W总×100%=Gh/FsF×100%=G/fh×100%。
4)动滑轮公式:ŋ=W有用/W总×100%=Gh/Fs×100%=Gh/F2h×100%=G/2F×100%。
5)滑轮组公式:①竖直方向公式:ŋ=W有用/W总×100%=Gh/Fs×100%。
初中物理(粤沪版)公式大全一.【物质】1、密度:ρ=v m单位:kg/m 3 , g/cm 3变形公式:m=ρv,体积:v =ρm2、在ρ一定时,m 与v 成正比,即2121v v m m =在m 一定时,v 与ρ成反比,即1221ρρ=v v在v 一定时,m 与ρ成正比,即2121ρρ=m m二.【力 学 部 分】1、速度:V=S/t 单位:m/s ,km/h变形公式 : s=vt,t=v s2、重力:G=mg (g 取9.8N/kg 或10N/kg )3、压强:p=S F单位:帕(Pa)变形公式 : F=PS ,S=P F4、液体压强:p 液=ρ液gh5、浮力:(1)平衡法:F 浮=G 物 (漂浮、悬浮)(2)称重法:F 浮=G -F(3) 压力差法:F 浮=F 向上-F 向下(4)阿基米德原理:F 浮=G 排=ρ液gV 排6、杠杆平衡条件:F 1 L 1=F 2 L 27、理想斜面:G F =L h8、理想滑轮:F=n 1G9、实际滑轮:F =n 1(G 物+G 轮)(竖直方向10、功:W =FS =Gh (把物体举高)单位:焦(J )变形公式:FW S S W F ==, 11、功率:t W P=, . t WP ==v F t tv F t Fs ⋅==⋅⋅变形公式:W=P t ,PWt = 12、功的原理:W 手=W 机械13、实际机械:W 总=W 有用+W 额外14、机械效率:ŋ=总有用W W ×100% (1)杠杆: ŋ=总有用W W ×100%=12Fh Gh ×100% (2).斜面: ŋ=总有用W W ×100%=Fl Gh ×100% (3).定滑轮:ŋ=总有用W W ×100% =Fs Gh ×100%=F G ×100%(4).动滑轮:ŋ=总有用W W ×100% =Fs Gh ×100%=h F Gh 2⋅×100% =F G2×100%(5).滑轮组:①竖直方向ŋ=总有用W W ×100%=Fs Gh ×100%②水平方向:ŋ=总有用W W ×100% =Fs fh ×100%三.【热 学 部 分】1、吸热:Q 吸=CmΔt = Cm(t -t 0)2、放热:Q 放=CmΔt =Cm(t 0-t)3、燃料燃烧放热:Q=qm 热值:q =mQ 4、炉子和热机的效率: η=总利用Q Q ×100%5、热平衡方程:Q 放=Q 吸6、热力学温度:T =t +273K四.【电 学 部 分】1、欧姆定律:I =R U单位统一:1A=Ω11v变形公式:U=IR R=I U2、焦耳定律:(1)、Q =I 2Rt(普适公式)(2)、Q =W =Pt=UIt =R U 2t(纯电阻公式)3、电功:(1)W =Pt =UIt(普适公式)W=Q=Pt =UIt=I 2Rt=R U 2t(2)电能表:每月用电量=本月底度数- 上个月底度数 单位:KW.h注意:电能表最后一位数为 小数位”5、串联电路:(1)、I =I 1=I 2 (2)、U =U 1+U 2(3)、R =R 1+R 2 (4)、P =P 1+P 2(5)、W = W 1 + W 2(6)、电压跟电阻的正比关系:2121R RU U =6、并联电路:(1)、I =I 1+I 2 (2)、U =U 1=U 2(3)、21111R R R += (4)、P=P 1+P 2(5)、W = W 1 + W 2(6)、电流跟电阻的反比关系:1221R R I I =7、功率和电压的关系:在电阻一定时,功率与电压的平方成正比: 222121U U P P 8、电功率:(1)、P =tw =UI (普适公式) (2)、P =t w =UI =I 2R =RU 2(纯电阻公式) 9、电磁波的波速:C=ƒλ四.【常 用 物 理 量】1、光速/电磁波:C =3.0×108m/s (真空中)2、声速:V =340m/s (15℃)3、人耳区分回声:≥0.1s4、重力比值:g =9.8N/kg≈10N/kg5、标准大气压值:760毫米汞柱=1.01×105Pa6、水的密度:ρ=1.0×103kg/m37、水的凝固点:0℃8、水的沸点:100℃9、水的比热容:C =4.2×103J/(kg•℃)11、一节干电池电压:1.5V12、一节铅蓄电池电压:2V13、对于人体的安全电压:≤36V14、动力电路的电压:380V15、家庭电路电压:220V16、单位换算:(1)、1m/s =3.6km/h(2)、1g/cm 3 =103 kg / m 3(3)、1kw•h=3.6×106J。
初中物理(粤沪版)公式大全 一.【物质】1、密度:ρ=vm 单位:kg/m 3 , g/cm 3变形公式:m=ρv,体积:v =ρm 2、在ρ一定时,m 与v 成正比,即2121v vm m =在m 一定时,v 与ρ成反比,即1221ρρ=v v 在v 一定时,m 与ρ成正比,即2121ρρ=m m 二.【力 学 部 分】1、速度:V=S/t 单位:m/s ,km/h变形公式 : s=vt,t=vs2、重力:G=mg (g 取9.8N/kg 或10N/kg )3、压强:p=SF单位:帕(Pa) 变形公式 : F=PS ,S=PF4、液体压强:p 液=ρ液gh5、浮力:(1)平衡法:F 浮=G 物 (漂浮、悬浮) (2)称重法:F 浮=G -F(3)(3) 压力差法:F 浮=F 向上-F 向下(4)(4)阿基米德原理:F 浮=G 排=ρ液gV排(5)6、杠杆平衡条件:F 1 L 1=F 2 L 2(6)7、理想斜面:G F =L h (7)8、理想滑轮:F=n 1G(8)9、实际滑轮:F =n1(G 物+G 轮)(竖直方向10、功:W =FS =Gh (把物体举高)单位:焦 (J )变形公式:F W S S W F ==,(9)11、功率:t W P =,.tW P ==v F ttv F t Fs⋅==⋅⋅变形公式:W=P t ,PW t =12、功的原理:W 手=W 机械 13、实际机械:W总=W 有用+W 额外14、机械效率:?=总有用W W ×100% (1)杠杆: ?=总有用W W ×100% =12Fh Gh ×100%(2).斜面: ?=总有用W W ×100%=Fl Gh×100% (3).定滑轮:?=总有用W W ×100% =FsGh ×100%=F G×100%(4).动滑轮:?=总有用W W ×100% =FsGh ×100%=hF Gh 2⋅×100%=F G2×100%(5).滑轮组:①竖直方向?=总有用W W ×100%=FsGh ×100%②水平方向:?=总有用W W ×100% =Fs fh×100%三.【热 学 部 分】四.1、吸热:Q 吸=Cm Δt = Cm(t -t 0) 五.2、放热:Q 放=Cm Δt =Cm(t 0-t) 六.3、燃料燃烧放热:Q=qm 热值:q =m Q七.4、炉子和热机的效率: η=总利用Q Q ×100% 八.5、热平衡方程:Q 放=Q 吸 九.6、热力学温度:T =t +273K 十.四.【电 学 部 分】十一.1、欧姆定律:I =R U 单位统一:1A=Ω11v 变形公式:U=IR R=IU2、焦耳定律:(1)、Q =I 2Rt(普适公式)(2)、Q =W =Pt=UIt =RU 2t(纯电阻公式)3、电功:(1)W =Pt =UIt(普适公式)W=Q=Pt =UIt=I 2Rt=RU 2t(2)电能表:每月用电量=本月底度数- 上个月底度数 单位:KW.h注意:电能表最后一位数为 小数位” 5、串联电路:(1)、I =I 1=I 2 (2)、U =U 1+U 2 (3)、R =R 1+R 2 (4)、P =P 1+P 2(5)、W = W 1 + W 2(6)、电压跟电阻的正比关系:2121R R U U =6、并联电路:(1)、I =I 1+I 2 (2)、U =U 1=U 2(3)、21111R R R += (4)、P=P 1+P 2 (5)、W = W 1 + W 2(6)、电流跟电阻的反比关系:1221R R I I = 7、功率和电压的关系:在电阻一定时,功率与电压的平方成正比:222121U U P P = 8、电功率: 9、(1)、P =tw=UI (普适公式) 10、(2)、P =tw =UI =I 2R =R U 2(纯电阻公式)9、电磁波的波速:C=?λ 四.【常 用 物 理 量】1、光速/电磁波:C =3.0×108m/s (真空中) 2、声速:V =340m/s (15℃) 3、人耳区分回声:≥0.1s4、重力比值:g =9.8N/kg≈10N/kg5、标准大气压值:760毫米汞柱=1.01×105Pa 6、水的密度:ρ=1.0×103kg/m3 7、水的凝固点:0℃ 8、水的沸点:100℃9、水的比热容:C=4.2×103J/(kg?℃)11、一节干电池电压:1.5V12、一节铅蓄电池电压:2V13、对于人体的安全电压:≤36V14、动力电路的电压:380V15、家庭电路电压:220V16、单位换算:(1)、1m/s=3.6km/h (2)、1g/cm3=103 kg / m3 (3)、1kw?h=3.6×106J。
中考物理公式和识记部分总复习专题第一部分 公式部分1、波速:c=λf2、速度:V=tS 3、密度:ρ=vm4、重力:G=mg5、求浮力:①定义法:F 浮=F 向上-F 向下②阿基米德原理:F 浮=G 排=ρg V 排 (气体也适用)③称重法:F 浮=G-G 示④力的平衡:有物体悬浮、漂浮有F 浮=G 物=ρ物Vg 6、固体压强:P=SF7、液体压强:p =ρ液g h 8、功的计算:W =F ?s9、滑轮(组):w 有用=G ?h (水平移动:f ·S )w 总=w有用+w额外S=n ·h10、机械效率:η=ww 总有用×100% (η=Fn G•),机械效率总小于111、力做功功率的计算:P =tW对于匀速运动物体的功率计算: p=F ·v12、吸、放热计算:Q 吸=c ·m ·Δt=c ·m (t-t 0) Q 放=c ·m ·Δt=c ·m (t 0- t ) 13、燃料完全燃烧放热的计算:Q=m电学公式汇总⎪⎩⎪⎨⎧==R I P R U P 22②Q=I 2·R ·t −−−−←==IRU W Q ,① W=U ·I ·t −−→−=tWP ③ P=U ·I −−−→−纯电阻电路↓纯电阻电路 W=Pt ↵④I=RU −−→−规律一、在串联电路中:1、电流处处相等。
(I=1I =2I )2、电路两端的总电压等于各部分电路两端的电压之和。
(U=1U +2U )3、各部分电路两端的电压与各部分电路的电阻成正比。
(1U :2U =21R R :)4、各部分电路消耗的电功率与各部分电路的电阻成正比。
(21P P :=21R R :)5、总电阻(等效电阻)等于各部分电路电阻之和。
(R=1R +2R ) 二、在并联电路中:1、电路两端的总电压与各部分电路两端的电压(支路电压)相等。
初中物理公式大全八年级物理 力学部分一、速度公式(第二章p23)二、质量密度公式(第五章p94) 冰与水之间状态发生变化时m 水=m 冰 ρ水>ρ冰 v 水<v 冰 三 重力公式(第六章p113)G =mg (G:重力,m :质量,g :通常g 取10N/kg ,题目未交待时g 取9.8N/kg) 四、同一直线上力的合成(第七章p133)方向相同:F 合=F 1+F 2 ; 方向相反:F 合=F 1—F 2 (F :力) 五、压强公式(第八章) (1)普适公式(p144)SF=p (p :压强Pa ,F :压力N ,S :受力面积m 2)固体平放时F =G =mg (2)液体压强公式(p150)p =ρgh (p :液体压强 ρ:液体的密度; h :深度【从液面到所求点的竖直距离】 )六、浮力公式(第九章P169起)(1)F 浮=F’-F (压力差法) (2)F 浮=G (漂浮、悬浮法)(3)阿基米德原理:F 浮=G 排=m 排g=ρ液g V 排 (排水法)(F 浮:浮力,G 排:排开的液体所受重力,m 排:排开的液体的质量,ρ液:液体密度,V 排:排开液体的体积,g :10N/kg 或9.8N/kg ) 七、杠杆平衡条件公式(第十章p187)F 1l 1=F 2l 2 ( F 1:动力 ;L 1:动力臂;F 2:阻力; L 2:阻力臂 ) 八、滑轮(组)公式(第十章p191)(不计绳重和摩擦)(1)定滑轮: F=G 物 s=h (F :绳子自由端受到的拉力; G 物:物体的重力; s :绳子自由端移动的距离; h :物体升高的距离) (2)动滑轮:)G (21F 动物+=G S=2h (F 、s 、h 、G 物::同上,G 动:动滑轮的重力) (3)滑轮组:)G (n1F 动物+=G s =nh (n :有n 段绳子承担物重,其余同上)九、功、功率、机械效率(第十章P196)(1)功 a 、 W =Fs (W :功J ,F :力N ,s :在力的方向上移动的距离m)(p196)b 、把物体举高时W =Ghc 、通过功率计算 W =Pt (2)功率(p199)Fv tFs t W P ===(一般) (P :功率W ,W :功J; t :时间s ,F 、 s :同上,ν:速度)(3)有用功(p202)W 有=Fs=Gh (与功相同) W 有=W 总-W 额(有用功=总功-额外功)(4)总功(p202)W 总=FS (F :总动力,s:在力的方向上移动距离)W 总= W 有+W 额 (5)机械效率(p202) %100W W ⨯=总有η (η:机械效率,一定小于1) 九年级物理 热学部分(第十二、十三章)1、 吸热、放热(p42)1、吸热:Q 吸=Cm(t 2-t 1)=CmΔt2、放热:Q 放=Cm(t 1-t 2)=CmΔt(c :物质的比热容; m :质量 ;△t :温度的变化值 )2、热值(p50) (固体、液体)Q=mq (气体)Q=Vq (m :质量, q :热值,m :质量,V :体积)3、热机效率:%100Q Q ⨯=完全燃烧有效利用η(p51) 九年级物理 电学部分(第十四、十五、十六章)1、欧姆定律:电路中的电流与电压成正比,与电阻成反比(p100))或(可变换为IU R IR U R U ===,I (U :电压V, I :电流A, R :电阻R )2、电功公式(p118)(1)普适公式W=UIt (W :电功J ,U :电压V, I :电流A, R :电阻R ,t :时间s )(2)纯电阻公式(焦耳定律) RtI t I RI W tR U t W 22R U U =⋅⋅==⋅⋅=5、电功率:(1)普适公式 tWP =(P :电功率W 或kW ,W :电功J 或kW ·h ,t :时间s 或h )P=UI (P :电功率W ,U :电压V, I :电流A )(2)纯电阻公式 RU R I P 22==6、串联电路的特点:(1)各处电流相等 I =I 1=I 2(p68)(2)总电压等于各部分电路两端电压之和 U =U 1+U 2(p81) 当n 个阻值相同的R 串联时,nR R =总 (3)总电阻等于各分电阻之和 R 总=R 1+R 2(p90) (4)串联分压:各部分电压比等于电阻比2121R R U U = (5)由此可得,当R1、R2串联,t 相同时21212121R R U U P P W W ===(p107) (6)并联电路的特点:(1)干路电流等于各支路电流之和 I =I 1+I 2(2)各支路两端的电压相等,一般等于电源电压 U =U 1=U 2(3)总电阻的倒数等于各分电阻的倒数之和 21R 1R 1R 1+=总 [2121R R R R R +=总] 当n 个阻值相同的R 并联时,R n1R =总 (4)并联分流:各支路电流比等于电阻的倒数比122121R R R 1R 1I I ==:: 由此可得,当R 1、R 2并联,t 相同时12212121R R I I P P W W === 8、电磁波波速与波长、频率的关系(第十九章p181)c=λν (c :波速(电磁波的波速是不变的,等于3×108m=++++/s );λ:波长m ;ν:频率Hz )常用物理量3、重力加速度:g =9.8N/kg≈10N/kg4、标准大气压值:760毫米水银柱高=1.01×105Pa5、水的密度ρ=1.0×103kg/m 3 冰的熔点0℃ 水的沸点100℃水的比热容:c =4.2×103J/(kg•℃) 6、一节干电池电压:1.5V 7、一节铅蓄电池电压:2V 8、对于人体的安全电压:≤36V (不高于36V ) 9、家庭电路电压:220V10、单位换算(1)1m/s =3.6km/h (2)1g/cm 3 =103kg/m 3 (3)1kw•h =3.6×106J。
第一章走进物理世界一、长度的测量:1、长度测量的常用的工具是刻度尺。
2、国际单位制中,长度的主单位是米(m),常用单位有千米(km),分米(dm),厘米(cm),毫米(mm),微米(μm),纳米(nm)。
3、主单位与常用单位的换算关系:1km=103m 1m=10dm 1dm=10cm 1cm=10mm1mm=103μm 1μm=103nm 1m=106μm 1m=109nm4、特殊的测量方法:(1)测量细铜丝的直径、一张纸的厚度等微小量,常用累积法。
(2)测地图上两点间的距离,园柱的周长等常用化曲为直法。
(3)测操场跑道的长度等常用轮滚法,即用已知周长的滚轮沿着跑道滚动,记下轮子转过的圈数,可算出跑道的长度。
(4)测硬币、球、园柱的直径圆锥的高等常用辅助法(用刻度尺及三角板等组合起来测量)。
5、刻度尺的使用规则:(1)“选”:根据实际需要选择刻度尺。
(2)“看”:使用刻度尺前要观察它的零刻度线、量程、分度值。
(3)“放”:刻度尺要沿着所测长度紧贴物体且不歪斜,如果用零刻线磨损的的刻度尺测量时,要从某一个清晰的整刻度开始。
(4)“读”:读数时视线要与尺面垂直。
在精确测量时,要估读到分度值的下一位。
(5)“记”:测量结果由数字和单位组成。
或者说成测量结果由准确值、估读值和单位组成。
6、误差:(1)定义:测量值和真实值的差异叫误差。
(2)产生原因:测量工具测量环境人为因素。
(3)减小误差的方法:多次测量求平均值用更精密的仪器(4)误差只能减小而不能避免,而错误能够避免。
二、时间的测量:1、国际单位制中的单位:秒(S);其它单位:时(h)分(min)毫秒(ms)微秒(μs)纳秒(ns)换算关系:1h=60min=3600s 1ms=10-3s 1μs=10-6s 1ns=10-9s2、测量工具: 古代用日晷、沙漏、滴漏等;现代用机械钟、石英钟、电子表、秒表等。
三、科学探究的七个过程:提出问题→猜想与假设→制定计划与设计实验→进行实验与收集证据→分析与论证→评估→交流。