中国海洋大学信号与系统期末考试试题
- 格式:doc
- 大小:104.00 KB
- 文档页数:2
信号及系统期末考试试题及答案一、选择题(每题2分,共20分)1. 信号x(t)=3cos(2π(5t+π/4))是一个:A. 周期信号B. 非周期信号C. 随机信号D. 确定性信号2. 系统分析中,若系统对单位阶跃函数的响应为u(t)+2,则该系统为:A. 线性时不变系统B. 线性时变系统C. 非线性时不变系统D. 非线性时变系统3. 下列哪个是连续时间信号的傅里叶变换:A. X(k)B. X(n)C. X(f)D. X(z)4. 信号通过线性时不变系统后,其频谱:A. 仅发生相位变化B. 仅发生幅度变化C. 发生幅度和相位变化D. 不发生变化5. 单位脉冲函数δ(t)的拉普拉斯变换是:A. 1B. tC. e^(-st)D. 1/s二、简答题(每题5分,共10分)1. 解释什么是卷积,并给出卷积的数学表达式。
2. 说明傅里叶变换与拉普拉斯变换的区别。
三、计算题(每题15分,共30分)1. 给定连续时间信号x(t)=e^(-t)u(t),求其傅里叶变换X(f)。
2. 给定离散时间信号x[n]=u[n]-u[n-3],求其z变换X(z)。
四、分析题(每题15分,共30分)1. 分析信号x(t)=cos(ωt)+2cos(2ωt)通过理想低通滤波器后输出信号的表达式,其中滤波器的截止频率为ω/2。
2. 讨论线性时不变系统的稳定性,并给出判断系统稳定性的条件。
五、论述题(每题10分,共10分)1. 论述信号的采样定理及其在数字信号处理中的应用。
参考答案一、选择题1. A2. A3. C4. C5. A二、简答题1. 卷积是信号处理中的一种运算,它描述了信号x(t)通过系统h(t)时,输出信号y(t)的计算过程。
数学表达式为:y(t) = (x * h)(t) = ∫x(τ)h(t-τ)dτ。
2. 傅里叶变换用于连续时间信号的频域分析,而拉普拉斯变换则适用于连续时间信号,并且可以处理有初始条件的系统。
三、计算题1. X(f) = 3[δ(f-5) + δ(f+5)]。
信号与系统考试题及答案(一)1. 系统的激励是)t (e ,响应为)t (r ,若满足dt)t (de )t (r =,则该系统为 线性、时不变、因果。
(是否线性、时不变、因果?) 2. 求积分dt )t ()t (212-+⎰∞∞-δ的值为 5 。
3. 当信号是脉冲信号f(t)时,其 低频分量 主要影响脉冲的顶部,其 高频分量 主要影响脉冲的跳变沿。
4. 若信号f(t)的最高频率是2kHz ,则t)f(2的乃奎斯特抽样频率为 8kHz 。
5. 信号在通过线性系统不产生失真,必须在信号的全部频带内,要求系统幅频特性为 一常数相频特性为_一过原点的直线(群时延)。
6. 系统阶跃响应的上升时间和系统的 截止频率 成反比。
7. 若信号的3s F(s)=(s+4)(s+2),求该信号的=)j (F ωj 3(j +4)(j +2)ωωω。
8. 为使LTI 连续系统是稳定的,其系统函数)s (H 的极点必须在S 平面的 左半平面 。
9. 已知信号的频谱函数是))00(()j (F ωωδωωδω--+=,则其时间信号f(t)为01sin()t j ωπ。
10. 若信号f(t)的211)s (s )s (F +-=,则其初始值=+)(f 0 1 。
二、判断下列说法的正误,正确请在括号里打“√”,错误请打“×”。
(每小题2分,共10分)1.单位冲激函数总是满足)()(t t -=δδ ( √ )2.满足绝对可积条件∞<⎰∞∞-dt t f )(的信号一定存在傅立叶变换,不满足这一条件的信号一定不存在傅立叶变换。
( × ) 3.非周期信号的脉冲宽度越小,其频带宽度越宽。
( √ )4.连续LTI 系统的冲激响应的形式取决于系统的特征根,于系统的零点无关。
( √ )5.所有周期信号的频谱都是离散谱,并且随频率的增高,幅度谱总是渐小的。
( × )三、计算分析题(1、3、4、5题每题10分,2题5分, 6题15分,共60分)1.信号)t (u e )t (f t-=21,信号⎩⎨⎧<<=其他,01012t )t (f ,试求)t (f *)t (f 21。
信号与系统试题及答案(大学期末考试题)一、选择题(每题2分,共40分)1. 下列哪个信号是周期信号?A. 方波B. 单位冲激信号C. 随机信号D. 正弦信号答案:A2. 信号x(t)的拉普拉斯变换为X(s)。
若x(t)的区间平均功率为P,则X(s)的区间平均功率是多少?A. PB. 2πPC. P/2D. πP答案:D3. 系统的冲激响应为h(t)=e^(-2t)sin(3t)u(t)。
则该系统为什么类型的系统?A. 线性非时变系统B. 线性时不变系统C. 非线性非时变系统D. 非线性时不变系统答案:B4. 信号x(t)通过系统h(t)并得到输出信号y(t)。
若x(t)为周期为T的信号,则y(t)也是周期为T的信号。
A. 正确B. 错误答案:A5. 下列哪个信号不是能量有限信号?A. 常值信号B. 正弦信号C. 方波D. 三角波答案:B...二、填空题(每题4分,共40分)1. 离散傅里叶变换的计算复杂度为$O(NlogN)$。
答案:NlogN2. 系统函数$H(z) = \frac{1}{1-0.5z^{-1}}$的极点为0.5。
答案:0.5...三、简答题(每题10分,共20分)1. 请简要说明信号与系统的基本概念和关系。
答案:信号是波动的物理量的数学描述,而系统是对信号进行处理的方式。
信号与系统的关系在于信号作为系统的输入,经过系统处理后得到输出信号。
信号与系统的研究可以帮助我们理解和分析各种现实世界中的波动现象。
2. 请简要说明周期信号和非周期信号的区别。
答案:周期信号是在一定时间间隔内重复出现的信号,具有周期性。
非周期信号则不能被表示为简单的周期函数,不存在固定的重复模式。
...以上是关于信号与系统试题及答案的文档。
希望能对您的大学期末考试复习有所帮助。
祝您考试顺利!。
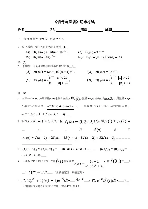
《信号与系统》期末考试姓名 学号 班级 成绩一、选择及填空(20分 每题2分):1. 以下系统,哪个可进行无失真传输_B _ωωϕωωωδωωωωωωωω-6)( )1()(H )( )()(H )( 3)(H )( )1()1()(H )( 33=-===--=-且;;;D ej C e j B e j A j j j U答:(B)2. 下列哪一项是理想低通滤波器的系统函数_C _⎩⎨⎧<>=⎩⎨⎧><==--=-20 020 )(H )( 20 020 )(H )( 3)(H )( )1()1()(H )(3 33ωωωωωωωωωωωωωωj j j j e j D e j C e j B e j A ;;;U答:(C )3. 对于一个LTI ,如果激励f 1(t)对应响应是)(3t U e t -, 激励f 2(t)对应响应是t 3sin ,则激励f 1(t)+5f 2(t)对应响应是_t t U e t 3sin 5)(3+-__;则激励3f 1(t+1)+5f 2(t-3)对应响应是_)3 (3sin 5)1(33-++--t t U e t __。
4. 已知},2,2,2,2{01)( --=n f ,}32,8,4,2,1{)(2↑=n f ,则=+)2()1(21f f _10_,用)(n δ表示)3(32)2(8)1(4)(2)1()(2-+-+-+++=n n n n n n f δδδδδ________________________。
5. }2,8,4{}3,1,2,3{11----*=_{12,32,14,-8,-26,-6}-2__,}2,1,0{}5,3,6{00*=_{0,6,15,11,10}0__ 6. (课本P152 例4-17)已知)(t f 的象函数ss s s s F 5323)(23+++=,则)0(+f =__0_;)(∞f =_2/5__。
信 号与系统 期 末 考 试 试 题一、选择题(共10 题,每题 3 分 ,共30 分,每题给出四个答案,其中只有一个正确的)1、 卷积 f 1(k+5)*f2 (k-3)等于。
( A ) f 1 (k)*f 2(k)( B ) f 1(k)*f 2(k-8) ( C ) f 1(k)*f 2 (k+8) (D ) f 1(k+3)*f 2 (k-3)2、 积分(t 2) (1 2t )dt 等于。
( A )( B )( C ) 3( D ) 53、 序列 f(k)=-u(-k) 的 z 变换等于。
( A )z z ( B ) - z ( C ) 1 ( D ) 11 z 1 z 1z 14、 若 y(t)=f(t)*h(t), 则 f(2t)*h(2t) 等于。
( A )1y( 2t ) ( B ) 1 y(2t ) ( C ) 1 y( 4t ) ( D ) 1 y(4t)4 2 4 25、 已知一个线性时不变系统的阶跃相应g(t)=2e -2t u(t)+(t ) ,当输入 f(t)=3e — t u(t) 时,系统的零状态响应 y f (t) 等于(A ) (-9e -t +12e -2t )u(t)( B )(3-9e -t +12e -2t )u(t)(C ) (t) +(-6e -t +8e -2t )u(t)(D )3 (t )+(-9e -t +12e -2t)u(t) 6、 连续周期信号的频谱具有(A ) 连续性、周期性 (B )连续性、收敛性 ( C )离散性、周期性(D )离散性、收敛性7、 周期序列 2COS (1.5 k 45 0 ) 的 周期 N 等于(A ) 1( B )2( C )3(D )48、序列和k 1 等于k( A ) 1 (B) ∞ (C)u k 1 (D) ku k19、单边拉普拉斯变换 F s2s 1e 2s 的愿函数等于s 210、信号 f tte 3t u t 2 的单边拉氏变换 F s 等于二、填空题(共 9 小题,每空 3 分,共 30 分)1、卷积和 [ ()k+1u(k+1)]* (1 k) =________________________、单边 z 变换 F(z)= z 的原序列 f(k)=______________________2 2z 1s、已知函数f(t) 的单边拉普拉斯变换F(s)=,则函数 y(t)=3e-2t ·f(3t)的单边拉普3s 1拉斯变换 Y(s)=_________________________4、频谱函数 F(j )=2u(1-)的傅里叶逆变换 f(t)=__________________5、单边拉普拉斯变换 F (s)s23s 1的原函数 f(t)=__________________________s 2s6、已知某离散系统的差分方程为 2y(k) y(k 1) y(k 2)f (k ) 2 f ( k 1) ,则系统的单位序列响应 h(k)=_______________________ 7、已知信号 f(t) 的单边拉氏变换是 F(s),则信号 y(t )t 2f ( x)dx 的单边拉氏变换Y(s)=______________________________8、描述某连续系统方程为该系统的冲激响应 h(t)=9、 写出拉氏变换的结果 66u t, 22t k三、 ( 8 分)四、( 10 分)如图所示信号f t,其傅里叶变换F jw F f t ,求( 1) F 0 ( 2)F jw dw六、( 10 分)某 LTI系统的系统函数H ss 2,已知初始状态y 00, y2, 激s 2 2s1励 f tu t , 求该系统的完全响应。
信号与系统期末考试题库及答案信号与系统期末考试题库及答案1.下列信号的分类方法不正确的是( A ):A 、数字信号和离散信号B 、确定信号和随机信号C 、周期信号和非周期信号D 、因果信号与反因果信号2.下列说法正确的是( D ):A 、两个周期信号x (t ),y (t )的和x (t )+y(t )一定是周期信号。
B 、两个周期信号x (t ),y (t )的周期分别为2和2,则其和信号x (t )+y(t ) 是周期信号。
C 、两个周期信号x (t ),y (t )的周期分别为2和π,其和信号x (t )+y(t )是周期信号。
D 、两个周期信号x (t ),y (t )的周期分别为2和3,其和信号x (t )+y(t )是周期信号。
3.下列说法不正确的是( D )。
A 、一般周期信号为功率信号。
B 、时限信号(仅在有限时间区间不为零的非周期信号)为能量信号。
C 、ε(t )是功率信号;D 、e t 为能量信号;4.将信号f (t )变换为( A )称为对信号f (t )的平移或移位。
A 、f (t –t 0) B 、f (k–k 0) C 、f (at ) D 、f (-t )5.将信号f (t )变换为( A )称为对信号f (t )的尺度变换。
A 、f (at ) B 、f (t –k 0) C 、f (t –t 0) D 、f (-t )6.下列关于冲激函数性质的表达式不正确的是( B )。
A 、)()0()()(t f t t f δδ=B 、()t aat δδ1)(=C 、)(d )(t tεττδ=?∞- D 、)()-(t t δδ=7.下列关于冲激函数性质的表达式不正确的是( D )。
A 、?∞∞-='0d )(t t δ B 、)0(d )()(f t t t f =?+∞∞-δC 、)(d )(t tεττδ=?∞- D 、?∞∞-=')(d )(t t t δδ8.下列关于冲激函数性质的表达式不正确的是( B )。
一、单项选择题:14、已知连续时间信号,)2(100)2(50sin )(--=t t t f 则信号t t f 410cos ·)(所占有的频带宽度为() A .400rad /s B 。
200 rad /s C 。
100 rad /s D 。
50 rad /s15、已知信号)(t f 如下图(a )所示,其反转右移的信号f 1(t) 是( )16、已知信号)(1t f 如下图所示,其表达式是( )A 、ε(t )+2ε(t -2)-ε(t -3)B 、ε(t -1)+ε(t -2)-2ε(t -3)C 、ε(t)+ε(t -2)-ε(t -3)D 、ε(t -1)+ε(t -2)-ε(t -3)17、如图所示:f (t )为原始信号,f 1(t)为变换信号,则f 1(t)的表达式是( )A 、f(-t+1)B 、f(t+1)C 、f(-2t+1)D 、f(-t/2+1)18、若系统的冲激响应为h(t),输入信号为f(t),系统的零状态响应是( )19。
信号)2(4sin 3)2(4cos 2)(++-=t t t f ππ与冲激函数)2(-t δ之积为( )A 、2B 、2)2(-t δC 、3)2(-t δD 、5)2(-t δ,则该系统是()>-系统的系统函数.已知2]Re[,651)(LTI 202s s s s s H +++= A 、因果不稳定系统 B 、非因果稳定系统C 、因果稳定系统D 、非因果不稳定系统21、线性时不变系统的冲激响应曲线如图所示,该系统微分方程的特征根是( )A 、常数B 、 实数C 、复数D 、实数+复数22、线性时不变系统零状态响应曲线如图所示,则系统的输入应当是( )A 、阶跃信号B 、正弦信号C 、冲激信号D 、斜升信号23. 积分⎰∞∞-dt t t f )()(δ的结果为( )A )0(fB )(t f C.)()(t t f δ D.)()0(t f δ24. 卷积)()()(t t f t δδ**的结果为( )A.)(t δB.)2(t δC. )(t fD.)2(t f25. 零输入响应是( )A.全部自由响应B.部分自由响应C.部分零状态响应D.全响应与强迫响应之差 2A 、1-eB 、3eC 、3-eD 、127.信号〔ε(t)-ε(t -2)〕的拉氏变换的收敛域为 ( )A.Re[s]>0B.Re[s]>2C.全S 平面D.不存在28.已知连续系统二阶微分方程的零输入响应)(t y zi 的形式为t tBe Ae 2--+,则其2个特征根为() A 。
《信号与系统》期末试卷A 卷班级: 学号:__________ 姓名:________ _ 成绩:_____________一. 选择题(共10题,20分) 1、n j n j een x )34()32(][ππ+=,该序列是 D 。
A.非周期序列B.周期3=NC.周期8/3=ND. 周期24=N2、一连续时间系统y(t)= x(sint),该系统是 C 。
A.因果时不变B.因果时变C.非因果时不变D. 非因果时变3、一连续时间LTI 系统的单位冲激响应)2()(4-=-t u et h t,该系统是 A 。
A.因果稳定B.因果不稳定C.非因果稳定D. 非因果不稳定4、若周期信号x[n]是实信号和奇信号,则其傅立叶级数系数a k 是 D 。
A.实且偶B.实且为奇C.纯虚且偶D. 纯虚且奇5、一信号x(t)的傅立叶变换⎩⎨⎧><=2||02||1)(ωωω,,j X ,则x(t)为 B 。
A.tt22sin B.t t π2sin C. t t 44sin D. ttπ4sin 6、一周期信号∑∞-∞=-=n n t t x )5()(δ,其傅立叶变换)(ωj X 为 A 。
A.∑∞-∞=-k k )52(52πωδπB. ∑∞-∞=-k k)52(25πωδπ C. ∑∞-∞=-k k )10(10πωδπD.∑∞-∞=-k k)10(101πωδπ7、一实信号x[n]的傅立叶变换为)(ωj e X ,则x[n]奇部的傅立叶变换为C 。
A. )}(Re{ωj eX j B. )}(Re{ωj e X C. )}(Im{ωj e X j D. )}(Im{ωj e X8、一信号x(t)的最高频率为500Hz ,则利用冲激串采样得到的采样信号x(nT)能唯一表示出原信号的最大采样周期为 D 。
A. 500 B. 1000 C. 0.05D. 0.0019、一信号x(t)的有理拉普拉斯共有两个极点s=-3和s=-5,若)()(4t x e t g t=,其傅立叶变换)(ωj G 收敛,则x(t)是 C 。
《 信号与系统 》考试试卷(时间120分钟)院/系 专业 姓名 学号一、填空题(每小题2分,共20分)1. 系统的激励是)t (e ,响应为)t (r ,若满足dt)t (de )t (r =,则该系统为 线性、时不变、因果。
(是否线性、时不变、因果?)2. 求积分dt )t ()t (212-+⎰∞∞-δ的值为 5 。
3. 当信号是脉冲信号f(t)时,其 低频分量 主要影响脉冲的顶部,其 高频分量 主要影响脉冲的跳变沿。
4. 若信号f(t)的最高频率是2kHz ,则t)f(2的乃奎斯特抽样频率为 8kHz 。
5. 信号在通过线性系统不产生失真,必须在信号的全部频带内,要求系统幅频特性为 一常 数相频特性为_一过原点的直线(群时延)。
6. 系统阶跃响应的上升时间和系统的 截止频率 成反比。
7. 若信号的3s F(s)=(s+4)(s+2),求该信号的=)j (F ωj 3(j +4)(j +2)ωωω。
8. 为使LTI 连续系统是稳定的,其系统函数)s (H的极点必须在S 平面的 左半平面 。
9. 已知信号的频谱函数是))00(()j(F ωωδωωδω--+=,则其时间信号f(t)为01sin()t j ωπ。
10. 若信号f(t)的211)s (s )s (F +-=,则其初始值=+)(f 0 1 。
二、判断下列说法的正误,正确请在括号里打“√”,错误请打“×”。
(每小题2分,共10分)1.单位冲激函数总是满足)()(t t -=δδ ( √ )2.满足绝对可积条件∞<⎰∞∞-dt t f )(的信号一定存在傅立叶变换,不满足这一条件的信号一定不存在傅立叶变换。
( × ) 3.非周期信号的脉冲宽度越小,其频带宽度越宽。
( √ )4.连续LTI 系统的冲激响应的形式取决于系统的特征根,于系统的零点无关。
( √ )5.所有周期信号的频谱都是离散谱,并且随频率的增高,幅度谱总是渐小的。
,考试作弊将带来严重后果!《 信号与系统 》试卷 A1. 考前请将密封线内各项信息填写清楚; 所有答案请直接答在试卷上(或答题纸上); .考试形式:闭卷;3分/每题,共21 分,单选题) 、下列哪个系统不属于因果系统( A )]1[][][+-=n x n x n y B 累加器 ∑-∞==nk k x n y ][][一LTI 系统,其)()(2t u e t h t-= D LTI 系统的)(s H 为有理表达式,ROC :1->σ 、信号45[]cos()2jn x n n eππ=+,其基波周期为(A )A 20B 10C 30D 5 、设]3[]1[2][][---+=n n n n x δδδ和]1[2]1[2][-++=n n n h δδ,][*][][n h n x n y =,求=]0[y ( B )A 0B 4C ][n δD ∞、已知一离散LTI 系统的脉冲响应h[n]= δ[n]+2δ[n-1]-3δ[n-2],则该系S[n]等于(B )A δ[n ]+δ[n-1]-5δ[n-2]+ 3δ[n-3]B δ[n]+3δ[n-1]C δ[n]D δ[n]+ δ[n-1]-2δ[n-2]、信号)}2()2({-+--t u t u dt d的傅立叶变换是( C )A ω2sin 2jB )(2ωπδC -2j ω2sinD 、己知)(t x 的频谱函数⎩⎨⎧>=<==2rad/s ||0,2rad/s,||1,)X(j ωωω 设t t x t f 2cos )()(=,对信号)(t f C )A 4 rad/sB 2 rad/sC 8 rad/sD 3 rad/s 、下列说法不正确的是(D )当系统的频率响应具有增益为1和线性相位时,系统所产生的输出就是输入ωωj e j 2-信号的时移;B 取样示波器和频闪效应是欠采样的应用;C 对离散时间信号最大可能的减采样就是使其频谱在一个周期内的非零部分扩 展到将π-到π的整个频带填满;D 听觉系统对声音信号的相位失真敏感。
《信号与系统》测验一、单项选择题 ................................................. 1 二、简答题 ..................................................... 4 三、计算题 .. (8)一、单项选择题1.设系统的初始状态为()0t x ,输入为()t f ,完全响应为()t y ,以下系统为线性系统的是 D 。
(A) ()()()[]t f t x t y lg 02•= (B) ()()()t f t x t y 20+=(C) ()()()ττd f t x t y tt ⎰+=00 (D) ()()()()ττd f dtt df t x e t y tt t ⎰++=-00 2.一个矩形脉冲信号,当脉冲幅度提高一倍,脉冲宽度扩大一倍,则其频带宽度较原来频带宽度 A 。
(A )缩小一倍 (B ) 扩大一倍 (C ) 不变 (D )不能确定 3. 某系统的系统函数为)2)(5.0()(--=z z zz H ,若该系统是因果系统,则其收敛区为B 。
(A )|z|<0.5 (B )|z|>2 (C )0.5<|z|<2 (D )以上答案都不对 4. 下面关于离散信号的描述正确的是 B 。
(A) 有限个点上有非零值,其他点为零值的信号。
(B) 仅在离散时刻上有定义的信号。
(C) 在时间t 为整数的点上有非零值的信号。
(D) 信号的取值为规定的若干离散值的信号。
5.下列信号中为周期信号的是 D 。
t t t f 5sin 3sin )(1+= t t t f πcos 2cos )(2+=k k k f 2sin 6sin )(3ππ+= )(21)(4k k f kε⎪⎭⎫⎝⎛=()A )(1t f 和)(2t f ())(),(21t f t f c 和)(3k f())(2t f B 和)(3k f ())(1t f D 和)(3k f6. 连续周期信号的频谱具有 D 。
第1 页(共4 页)《信号与系统》须知:符号e (t)(t)、、e (k)(k)分别为单位阶跃函数和单位阶跃序列。
分别为单位阶跃函数和单位阶跃序列。
LTI 表示线性时不变。
为加法器。
一、单项选择题(每小题4分,共32分)D 1、序列和33(2)ii i d ¥-=-¥-å等于A .3e (k –2)B .3e (k)C .1D .3 D 2、积分55(1)d 2t t e t d --ò等于A .0B .1C .eD .e 2 B 3、()(a )f t t d =A .(0)f t d()B .1(0)()|a |f t d C .(0)f aD .0()f t a æöd ç÷èøB 4、1()f t 、2()f t 波形如题4图所示,12()()*()f t f t f t =则(2)f =t1()f t -22240t2()f t 11-120题4图A .12B .1C .32D .2 B 5、已知)()()(21k f k f k f *=,)(1k f 、)(2k f 波形如题5图所示,)0(f 等于1()f k 012312()f k 011-11kk题5图A .1B .2C .3D .4 D 6、已知()1sgn()f t t =+则其傅立叶变换的频谱函数()F j w 等于A .12()j pd w +w B .2j wC .1()j pd w +wD .2()j 2pd w +w∑D 7、已知单边拉普拉斯变换的象函数22()1F s s =+则原函数)(t f 等于等于A .()te t -e B .2()te t -e C .2cos ()t t e D .2sin ()t t e B 8、已知)()(k k kf e =,其双边Z 变换的象函数)(z F 等于等于 A .1-z z B .2)1(-z z C .1--z z D .2)1(--z z二、填空题(每小题5分,共30分)分) 9、单边拉普拉斯变换定义()F S =0()stf t e dt-¥-ò;双边Z 变换定义式()F Z =()kk f k z¥-=-¥å10、已知()f t 的波形如题10图所示,则(12)f t -波形波形 (1) ;()df t dt波形波形(2) 。