九年级数学竞赛讲座抛物线附答案
- 格式:doc
- 大小:1.03 MB
- 文档页数:9
初中数学二次函数应用题型分类——抛物线形物体问题6(附答案)1.发射一枚炮弹,经x 秒后的高度为y 公尺,且时间与高度关系为y=ax 2+bx ,若此炮弹在第7秒与第14秒时的高度相等,则在下列哪一个时间的高度是最高的?( ) A .第8秒B .第10秒C .第12秒D .第15秒2.定点投篮是同学们喜爱的体育项目之一,某位同学投出篮球的飞行路线可以看作是抛物线的一部分,篮球飞行的竖直高度y (单位:m )与水平距离x (单位:m )近似满足函数关系2y ax bx c =++(a≠0).下表记录了该同学将篮球投出后的x 与y 的三组数据,根据上述函数模型和数据,可推断出篮球飞行到最高点时,水平距离为( ) x (单位:m) 024y (单位:m) 2.253.453.05 A .1.5mB .2mC .2.5mD .3m3.向空中发射一枚炮弹,第x 秒时的高度为y 米,且高度与时间的关系为2(0)y ax bx c a =++≠,若此炮弹在第6秒与第17秒时的高度相等,则在下列时间中炮弹所在高度最高的是( ) A .第8秒B .第10秒C .第12秒D .第15秒4.在学校运动会上,一位运动员掷铅球,铅球的高()ym 与水平距离()x m 之间的函数关系式为20.2 1.6 1.8y x x =-++,则此运动员的成绩是( ) A .10mB .4mC .5mD .9m5.一小球被抛出后,距离地面的高度h (米)和飞行时间t (秒)满足下面函数关系式:h =-5(t -1)2+6,则小球距离地面的最大高度是( ) A .1米B .5米C .6米D .7米6.如图,铅球的出手点C 距地面1米,出手后的运动路线是抛物线,出手后4秒钟达到最大高度3米,则铅球运行路线的解析式为( )A .h=﹣316t 2B .y=﹣316t 2+t C .h=﹣18t 2+t+1 D .h=-13t 2+2t+1 7.教练对小明推铅球的录像进行技术分析,发现某次铅球行进高度y(m)与水平距离x(m)之间的关系为y=-112(x-4)2+3,由此可知小明这次的推铅球成绩是( )A .3mB .4mC .8mD .10m8.从地面竖直向上抛出一小球,小球的高度y(米)与小球运动的时间x(秒)之间的关系式为()2y ax bx c a 0.=++≠若小球在第7秒与第14秒时的高度相同,则在下列时间中小球所在高度最高的是( ) A .第8秒B .第10秒C .第12秒D .第15秒9.如图所示的是跳水运动员10m 跳台跳水的运动轨迹,运动员从10m 高A 处的跳台上跳出,运动轨迹成抛物线状(抛物线所在平面与跳台墙面垂直).若运动员的最高点M 离墙1m ,离水面403m ,则运动员落水点B 离墙的距离OB 是( )A .2mB .3mC .4mD .5m10.为了响应“足球进校国”的目标,兴义市某学校开展了多场足球比赛在某场比赛中,一个足球被从地面向上踢出,它距地面的高度h (m )可以用公式h =﹣5t 2+v 0t 表示,其中t (s )表示足球被踢出后经过的时间,v 0(m /s )是足球被踢出时的速度,如果要求足球的最大高度达到20m ,那么足球被踢出时的速度应该达到( ) A .5m /sB .10m /sC .20m /sD .40m /s11.黄冈中学是百年名校,百年校庆上的焰火晚会令很多人记忆犹新.有一种焰火升高高度为h (m )与飞行时间t (s )的关系式是252012h t t =-++,若这种焰火在点燃升空后到最高处引爆,则从点火到引爆所需时间为__________s . 12.小明推铅球,铅球行进高度y (m )与水平距离x (m )之间的关系为y=﹣21(4)12x -+3,则小明推铅球的成绩是 m .13.一名男生推铅球,铅球行进高度y (单位:m )与水平距离x (单位:m )之间的关系是21251233y x x =-++,则铅球推出的距离是______.此时铅球行进高度是______.14.对于向上抛的物体,在没有空气阻力的条件下,有这样的关系式:h =vt ﹣12gt 2,其中h 是上升高度,v 是初速,g 是重力加速度(为方便起见,本题目中g 取10m /s 2),t 是抛出后所经历的时间.如果将物体以v =25m /s 的速度向上抛,当t =_____s 时,物体上升到距离最高点11.25m 处?15.从地面竖直向上抛出一小球,小球的高度h (米)与小球的运动时间t (秒)之间的关系式是()230506h t tt =-≤≤,若抛出小球1秒钟后再抛出同样的第二个小球.则第二个小球抛出______秒时,两个小球在空中的高度相同.16.一运动员推铅球,铅球经过的路线为如图所示的抛物线,点(4,3)为该抛物线的顶点,则该抛物线所对应的函数式为_____.17.足球从地面踢出后,在空中飞行时离地面的高度()h m 与运动时间()t s 的关系可近似地表示为29.8h t t =-+,则该足球在空中飞行的时间为__________s .18.从地面竖直向上抛出一小球,小球的高度h (米)与小球运动时间t (秒)的关系式是h =30t ﹣5t 2,小球运动中的最大高度是_____米. 19.校运会上,一名男生推铅球,出手点A 距地面53m ,出手后的运动路线是抛物线,当铅球运行的水平距离是4m 时,达到最大高度3m ,那么该名男生推铅球的成绩是_____m .20.烟花厂为国庆70周年庆祝晚会特别设计制作一种新型礼炮,这种礼炮的升空高h (m )与飞行时间t (s )的关系式是252012h t t =++,若这种礼炮在点火升空到最高点处引爆,则从点火升空到引爆需要时间为________.21.在一场足球比赛中,一球员从球门正前方10米处起脚射门,当球飞行的水平距离为6米时达到最高点,此时球高为3米.(1)如图建立直角坐标系,当球飞行的路线为一抛物线时,求此抛物线的解析式. (2)已知球门高为2.44米,问此球能否射中球门(不计其它情况).22.某广场有一个小型喷泉,水流从垂直于地面的水管OA 喷出,OA 长为1.5米.水流在各个方向上沿形状相同的抛物线路径落到地面上,某方向上抛物线路径的形状如图所示,落点B 到O 的距离为3米.建立平面直角坐标系,水流喷出的高度y (米)与水平距离x (米)之间近似满足函数关系20)y ax x c a =++≠((1)求y 与x 之间的函数关系式; (2)求水流喷出的最大高度.23.在某场足球比赛中,球员甲在球门正前方点O 处起脚射门,在不受阻挡的情况下,足球沿如图所示的抛物线飞向球门中心线,当足球飞行的水平距离为2 m 时,高度为5m 3,落地点A 距O 点12 m .已知点O 距球门9 m ,球门的横梁高为2.44 m . (1)飞行的足球能否射入球门?通过计算说明理由;(2)若守门员乙站在球门正前方2 m 处,他跳起时能摸到的最大高度为2.52 m ,他能阻止此次射门吗?并写明理由.24.从地面竖直向上抛出一小球,小球的高度h (单位:m )与小球的运动时间t (单位:s )之间的关系式是2305h t t =-(06t ≤≤).求小球运动时间是多少时,小球最高?小球运动中的最大高度是多少?25.如图,一位篮球运动员在离篮圈水平距离4m 处跳起投篮,球运行的高度y (m )与运行的水平距离x (m )满足解析式2y ax x c =++,当球运行的水平距离为1.5m 时,球离地面高度为3.3m ,球在空中达到最大高度后,准确落入篮圈内.已知篮圈中心离地面距离为3.05m .(1)当球运行的水平距离为多少时,达到最大高度?最大高度为多少?(2)若该运动员身高1.8m ,这次跳投时,球在他头顶上方0.25m 处出手,问球出手时,他跳离地面多高?26.如图所示,以40/m s 的速度将小球沿与地面成30°角的方向击出时,球的飞行路线将是一条抛物线.如果不考虑空气阻力,球的飞行高度h (单位:m )与飞行时间t (单位:s )之间具有关系式.2205h t t =-(0)t ≥解答以下问题:(1)球的飞行高度能否达到15m ?如能,需要飞行多少时间? (2)球飞行到最高点时的高度是多少m ?27.一球从地面抛出的运动路线呈抛物线,如图.当球离抛出地的水平距离为30m 时,达到最大高度10m .(1)问:球被抛出多远?并求出该抛物线的解析式. (2)当球的高度为509m 时,球离抛出地的水平距离是多少?28.某次足球比赛,队员甲在前场给队友乙掷界外球.如图所示:已知两人相距8米,足球出手时的高度为2.4米,运行的路线是抛物线,当足球运行的水平距离为2米时,足球达到最大高度4米.请你根据图中所建坐标系,求出抛物线的表达式.29.小明将小球沿与地面成一定角度的方向击出,在不考虑空气阻力的条件下,小球的飞行高度y(m)与它的飞行时间x(s)满足二次函数关系,y 与x 的几组对应值如下表所示:x(s) 0 0.5 1 1.5 2 …y(m) 0 8.75 15 18.75 20 …(Ⅰ)求y关于x的函数解析式(不要求写x的取值范围);(Ⅱ)问:小球的飞行高度能否达到22m?请说明理由.30.运动员将小球沿与地面成一定角度的方向击出,在不考虑空气阻力的条件下,小球的飞行高度h(m)与它的飞行时间t(s)满足二次函数关系,t与h的几组对应值如下表所示.t(s)0 0.5 1 1.5 2 …h(m)0 8.75 15 18.75 20 …(1)求h与t之间的函数关系式(不要求写t的取值范围);(2)求小球飞行3s时的高度;(3)问:小球的飞行高度能否达到22m?请说明理由.参考答案1.B 【解析】 【分析】根据题意,x=7时与x=14时y 值相等,因此得出关于a 与b 的关系式,最后代入到2bx a=-中求出x 的值进一步判断即可. 【详解】 由题意得:当x=7时,y=49a +7b , 当x=14时,y=196a +14b , ∵高度相等, ∴49a +7b=196a +14b , ∴b=-21a ,∵抛物线对称轴为:2b x a=-, 即:10.5x =,根据抛物线的对称性以及开口方向, ∴当10.5x =时,y 最大, ∵10与10.5相差最小, ∴四个选项中,第10秒最高, 故选:B. 【点睛】本题主要考查了抛物线的性质,熟练掌握相关概念是解题关键. 2.C 【解析】 【分析】用待定系数法可求二次函数的表达式,从而可得出答案. 【详解】将(0,2.25),(2,3.45),(4,3.05)代入2y ax bx c =++中得2.25423.45164 3.05c a b c a b c =⎧⎪++=⎨⎪++=⎩ 解得 2.250.21c a b =⎧⎪=-⎨⎪=⎩∴220.2 2.250.25( 2.5) 3.5y xx x =-++=--+∵0.250-< ∴当 2.5x =时,max 3.5y =故选C 【点睛】本题主要考查待定系数法求二次函数的解析式及二次函数的最大值,掌握二次函数的图象和性质是解题的关键. 3.C 【解析】 【分析】根据二次函数图像的对称性,求出对称轴,即可得到答案. 【详解】解:根据题意,炮弹在第6秒与第17秒时的高度相等, ∴抛物线的对称轴为:61711.52x +==秒, ∵第12秒距离对称轴最近,∴上述时间中,第12秒时炮弹高度最高; 故选:C. 【点睛】本题考查了二次函数的性质和对称性,解题的关键是掌握二次函数的对称性进行解题. 4.D 【解析】 【分析】根据铅球落地时,高度y =0,把实际问题可理解为当y =0时,即20.2 1.6 1.80y x x =-++=,求x 的值即可.在实际问题中,注意负值舍去.【详解】解:由题意知,当y =0时,20.2 1.6 1.80x x -++=, 整理,得:2890x x --=, 解得:1219x x =-=,,由于负值不符合题意,故该运动员的成绩是9m , 故答案选:D . 【点睛】本题考查二次函数的实际应用,搞清楚铅球落地时,即y =0,测量运动员成绩,也就是求x 的值,借助二次函数解决实际问题. 5.C 【解析】试题解析:∵高度h 和飞行时间t 满足函数关系式:h=-5(t-1)2+6, ∴当t=1时,小球距离地面高度最大, ∴h=-5×(1-1)2+6=6米, 故选C .考点:二次函数的应用. 6.C 【解析】 【分析】根据题意,抛物线的顶点坐标是(4,3),把抛物线经过的点(0,1),代入二次函数的顶点坐标式列出方程,解出系数则可. 【详解】根据题意,设二次函数的表达式为()243h a t =-+,抛物线过(0,1),即代入二次函数解得18a =-,这个二次函数的表达式为()221143188h t t t =--+=-++,故C 选项是正确答案. 【点睛】本题考查了用待定系数法利用顶点坐标式求函数的方法,掌握方程的解法等知识是解决本题的关键. 7.D【解析】 【分析】求出铅球落地时的水平距离,将y=0代入函数关系式,求出x 的值即可得到成绩. 【详解】由题意得,当y=0时,21(4)3=012--+x , 解得:110x =,22x =-(舍去) 故选D. 【点睛】本题考查二次函数的应用,理解当铅球高度为0时,x 的值即为铅球飞行的距离,是解决本题的关键. 8.B 【解析】 【分析】根据题意可以求得该函数的对称轴,然后根据二次函数具有对称性,离对称轴越近,对应的y 值越大,即可解答本题. 【详解】由题意可得:当x 7142+==10.5时,y 取得最大值. ∵二次函数具有对称性,离对称轴越近,对应的y 值越大,∴ t =10时,y 取得最大值. 故选B . 【点睛】本题考查了二次函数的应用,解答本题的关键是明确题意,利用二次函数的性质解答. 9.B 【解析】 【分析】由题意可得到抛物线的顶点坐标(1,403),因此可设抛物线顶点式()24013=-+y a x ,抛物线与y 轴的交点为A (0,10),代入顶点式可求出抛物线,再求出抛物线与x 轴的交点,即可求出OB.解:由题意,设抛物线解析式为()24013=-+y a x ,代入A (0,10)得, 10=()240013-+a ,解得10=3-a , 所以抛物线解析式为()21040133=--+y x , 当y=0时,()210401=033--+x , 解得1=1-x ,2=3x .因为B 点在x 轴正半轴,故B 点坐标为(3,0)所以OB=3,选B.【点睛】本题考查了待定系数法求二次函数解析式,并运用抛物线的性质解决实际问题,根据题意设出合适的解析式是解题的关键.10.C【解析】【分析】因为-5<0,抛物线开口向下,有最大值,根据顶点坐标公式表示函数的最大值,根据题目对最大值的要求,求待定系数v 0.【详解】解:h=-5t 2+v 0•t ,其对称轴为t=010V , 当t=010V 时,h 最大=-5×(010V )2+v 0•010V =20, 解得:v 0=20,v 0=-20(不合题意舍去),故选C .【点睛】本题考查的是二次函数的应用,关键是利用当对称轴为t=-010V 时h 将取到最大值. 11.4根据关系式可知焰火的运行轨迹是一个开口向下的抛物线,已知焰火在升到最高时引爆,即到达抛物线的顶点时引爆,顶点横坐标就是从点火到引爆所需时间.则t=1205-⨯-=4s , 故答案为4.12.10【解析】【分析】根据铅球落地时,高度y=0,把实际问题可理解为当y=0时,求x 的值即可.【详解】解:令函数式y=﹣21(4)12x -+3中,y=0, 0=﹣21(4)12x -+3, 解得x 1=10,x 2=﹣2(舍去).即铅球推出的距离是10m .故答案为10.考点:二次函数的应用.13.10m 0m【解析】【分析】铅球落地时,高度y=0,把实际问题可理解为当y=0时,求x 的值.【详解】 解:令函数式21251233y x x =-++中,y=0, 即212501233x x -++=, 解得x 1=10,x 2=−2(舍去),即铅球推出的距离是10m,此时铅球行进高度是0m.故答案为10m;0m..【点睛】本题考查了二次函数的应用以及函数式中自变量与函数表达的实际意义,需要结合题意取函数值为0,进而得出自变量的值是解题关键.14.0.5或4.5 【解析】【分析】根据关系式:h=vt﹣12gt2,列出一元二次方程求解.【详解】解:根据题意,可得出的方程为:11.25=25t﹣5t2,∴t2﹣5t+2.25=0.解得:t1=0.5,t2=4.5.故答案为:0.5或4.5.【点睛】本题考查的知识点是一元二次方程的实际应用,根据所给关系式直接代入数据,解方程即可,此题属于基础题目,易于掌握.15.2.5【解析】【分析】根据题意和二次函数的性质,可以得到第二个小球抛出多少秒时,两个小球在空中的高度相同.【详解】解:∵h=30t-5t2=-5(t-3)2+45,∴该函数的对称轴是直线t=3,∵抛出小球1秒钟后再抛出同样的第二个小球,两个小球在空中的高度相同,∴第二个小球抛出3-0.5=2.5秒时,两个小球在空中的高度相同,故答案为:2.5.【点睛】本题考查二次函数的应用,解答本题的关键是明确题意,利用二次函数的性质解答.16.y=-132(x﹣4)2+3【解析】【分析】根据二次函数的顶点式即可求出抛物线的解析式.解:根据题意,得设抛物线对应的函数式为y =a (x ﹣4)2+3把点(0,52)代入得: 16a+3=52解得a =﹣132, ∴抛物线对应的函数式为y =﹣132(x ﹣4)2+3 故答案为:y =﹣132(x ﹣4)2+3. 【点睛】 本题考查了用待定系数法利用顶点坐标式求函数的方法,同时还考查了方程的解法等知识,难度不大.17.9.8【解析】【分析】求当t=0时函数值,即与x 轴的两个交点,两个交点之间的距离即足球在空中飞行的时间.【详解】解:当t=0时,29.80t t -+=(9.8)0t t --=解得:120;9.8t t ==∴足球在空中的飞行时间为9.8s故答案为:9.8【点睛】本题考查二次函数的实际应用,利用数形结合思想球解题,求抛物线与x 轴的交点是本题的解题关键18.45【解析】首先理解题意,先把实际问题转化成数学问题后,知道解此题就是求出h =30t ﹣5t 2的顶点坐标即可.【详解】解:h =﹣5t 2+30t=﹣5(t 2﹣6t +9)+45=﹣5(t ﹣3)2+45,∵a =﹣5<0,∴图象的开口向下,有最大值,当t =3时,h 最大值=45.故答案为:45.【点睛】本题考查了二次函数的应用,解此题的关键是把实际问题转化成数学问题,利用二次函数的性质就能求出结果.19.10【解析】【分析】把(0,53)代入y=a (x-4)2+3,求出a 的值即可,再求出抛物线与x 轴的交点即可解决问题;【详解】设二次函数的解析式为y=a (x-4)2+3,把(0,53)代入y=a (x-4)2+3, 解得,a=-112, 则二次函数的解析式为:y=-112(x-4)2+3=-22531312x x ++; 令y=0得到:-22531312x x ++=0, 解得,x 1=-2(舍去),x 2=10,则铅球推出的距离为10m .故答案为10.【点睛】此题考查二次函数的实际应用,熟练掌握待定系数法求函数解析式是解题关键.20.4s【解析】【分析】把二次函数的一般式写成顶点式,找出顶点坐标,即可知道多长时间后得到最高点.【详解】 解:252012h t t =++ =52-(t-4)2+41, ∵52-<0, ∴这个二次函数图象开口向下,∴当t=4时,升到最高点,∴从点火升空到引爆需要的时间为4s .故答案为:4s .【点睛】本题考查了二次函数解析式的相互转化,以及二次函数的性质,二次函数的表达式有三种形式,一般式,顶点式,交点式.要求最高(低)点,或者最大(小)值,需要先写成顶点式.烟花厂为国庆70周年庆祝晚会特别设计制作一种新型礼炮,这种礼炮的升空高h (m )与飞行时间t (s )的关系式是h=t2+20t+1252012h t t =++,若这种礼炮在点火升空到最高点处引爆,则从点火升空到引爆需要时间为21.(1)y =﹣112(x ﹣4)2+3;(2)能射中球门. 【解析】【分析】(1)根据条件可以得到抛物线的顶点坐标是(4,3),利用待定系数法即可求得函数的解析式;(2)求出当x =0时,抛物线的函数值,与2.44米进行比较即可判断.【详解】(1)抛物线的顶点坐标是(4,3),设抛物线的解析式是:y =a (x ﹣4)2+3,把(10,0)代入得36a+3=0,解得a =-112, 则抛物线是y =﹣112(x ﹣4)2+3; (2)当x =0时,y =-112×16+3=3﹣43=53<2.44米. 故能射中球门.【点睛】本题考查了待定系数法求二次函数的解析式,以及二次函数的应用,正确求得解析式是关键.22.(1)213.22y x x =-++(2)水流喷出的最大高度为2米 【解析】【分析】(1)建立平面直角坐标系,待定系数法解题,(2)求出顶点坐标即可.【详解】解:(1)由题意可得,抛物线经过(0,1.5)和(3,0), 1.5930c a c =⎧⎨⨯++=⎩解得:a=-0.5,c=1.5,即函数表达式为y=21322x x -++. (2)解:221311+2.222y x x x =-++=--() ∴当x=1时,y 取得最大值,此时y=2.答:水流喷出的最大高度为2米.本题考查了二次函数的解析式的求法,顶点坐标的应用,中等难度,建立平面直角坐标系是解题关键.23.(1)能射入球门.理由见解析;(2)不能阻止.理由见解析.【解析】【分析】(1)设抛物线解析式为()20y ax bx c a =++≠,将()5212,03⎛⎫ ⎪⎝⎭,,代入求解析式,再将9x =代入即可判断;(2)根据“守门员乙站在球门正前方2m 处”可知此时x=7,将其代入解析式即可判断.【详解】解:(1)能射入球门.设抛物线解析式为()20y ax bx c a =++≠ 将()5212,03⎛⎫ ⎪⎝⎭,,代入求解可得: 抛物线解析式为2112y x x =-+ 当9x =时,2712y =- ∵27 2.4412<, ∴能射入球门.(2)不能阻止.∵守门员乙站在球门正前方2 m 处,∴7x =当7x =时,3512y =∵35 2.5212>, ∴不能阻止.【点睛】本题考查的是待定系数法求二次函数解析式,能够求出抛物线解析式是解题的关键. 24.小球运动3秒时,最大高度是45m .【分析】首先将二次函数转换成顶点式,然后即可求出自变量和函数值的最大值.【详解】2305h t t =-25(3)45t =--+06t ≤≤∴当3t =时,h 最大45=.答:小球运动3秒时,小球最高,最大高度是45m .【点睛】此题主要考查二次函数的性质,熟练掌握,即可解题.25.(1)当球运行的水平距离为2.5m 时,达到最大高度为3.5m ;(2)球出手时,他跳离地面0.2m .【解析】【分析】(1)根据待定系数法,即可求解;(2)令0x =时,则 2.25y =,进而即可求出答案.【详解】(1)依题意得:抛物线2y ax x c =++经过点(1.5,3.3)和(4,3.05),∴221.5 1.5 3.344 3.05a c a c ⎧⨯++=⎨⨯++=⎩,解得:0.22.25a c =-⎧⎨=⎩, ∴220.2 2.250.2( 2.5) 3.5y x x x =-++=--+,∴当球运行的水平距离为2.5m 时,达到最大高度为3.5m ;(2)∵0x =时, 2.25y =,∴2.250.25 1.80.2--=m ,即球出手时,他跳离地面0.2m .【点睛】本题主要考查二次函数的实际应用,掌握二次函数的图象和性质,是解题的关键.26.(1)能,1或3;(2)20m【解析】【分析】(1)当h=15米时,15=20t-5t 2,解方程即可解答;(2)求出当2205h t t =-的最大值即可.【详解】解;(1)解方程:215205t t =-2430t t -+=,解得:121,3t t ==,需要飞行1s 或3s ;(2)222055(t 2)20h t t =-=--+,当2t =时,h 取最大值20,∴球飞行的最大高度是20m .【点睛】本题主要考查了二次函数与一元二次方程的关系,根据题意建立方程是解决问题的关键. 27.(1)球被抛出60m ,该抛物线的解析式为y =﹣190x 2+23x ;(2)球离抛出地的水平距离是10m 或50m .【解析】【分析】(1)根据已知条件设抛物线顶点式解析式即可求解;(2)根据(1)中求得的解析式,把球的高度为509m 代入,即可求出球离抛出地的水平距离.【详解】解:(1)根据题意,得设抛物线的解析式为2(30)10y a x =-+,把(0,0)代入得190a =-.所以抛物线解析式为22112(30)1090903y x x x =--+=+. 当0y =时,10x =,260x =.或者:因为抛物线对称轴为30x =,所以抛物线与x 轴的交点为(0,0),(60,0)答:球被抛出60m .该抛物线的解析式为212903y x x =-+. (2)当509y =时,2501(30)10990x =--+,解得150x =,210x =. 答:球离抛出地的水平距离是10m 或50m .【点睛】本题考查了二次函数的应用,要恰当地把实际问题中的数据落实到平面直角坐标系中的抛物线上,从而确定抛物线的解析式,通过解析式可解决问题.28.y = -0.4x 2+4【解析】【分析】根据题意设抛物线的表达式为y=ax 2+4 (0a ≠),代入(-2,2.4),即可求出a .【详解】解:设y=ax 2+4 (0a ≠)∵ 图象经过(-2,2.4)∴ 4a+4=2.4a= -0.4∴ 表达式为y= -0.4x 2+4【点睛】本题考查了二次函数的应用,解题的关键是从实际问题中抽象出二次函数模型.29.(Ⅰ) y =﹣5x 2+20x ;(Ⅱ)小球的飞行高度不能达到22m ,理由见解析.【解析】【分析】(Ⅰ)设y 与x 之间的函数关系式为y =ax 2+bx(a≠0),然后再根据表格代入x =1时,y =15;x =2时,y =20可得关于a 、b 的方程组,再解即可得到a 、b 的值,进而可得函数解析式; (Ⅱ)把函数解析式写成顶点式的形式可得小球飞行的最大高度,进而可得答案.【详解】(Ⅰ)∵x=0时,y=0,∴设y与x之间的函数关系式为y=ax2+bx(a≠0),∵x=1时,y=15;x=2时,y=20,∴15 4220 a ba b+=⎧⎨+=⎩,解得520ab=-⎧⎨=⎩,∴y与x之间的函数关系式为y=﹣5x2+20x;(Ⅱ)由(Ⅰ)得:y=﹣5x2+20x=﹣5(x﹣2)2+20,∴小球飞行的最大高度为20m,∵22>20,∴小球的飞行高度不能达到22m.【点睛】本题主要考查了二次函数的实际应用,熟练掌握相关方法是解题关键.30.(1)h=﹣5t2+20t;(2)小球飞行3s时的高度为15米;(3)小球的飞行高度不能达到22m.【解析】【分析】(1)设h与t之间的函数关系式为h=at2+bt(a≠0),然后再根据表格代入t=1时,h=15;t=2时,h=20可得关于a、b的方程组,再解即可得到a、b的值,进而可得函数解析式;(2)根据函数解析式,代入t=3可得h的值;(3)把函数解析式写成顶点式的形式可得小球飞行的最大高度,进而可得答案.【详解】解:(1)∵t=0时,h=0,∴设h与t之间的函数关系式为h=at2+bt(a≠0),∵t=1时,h=15;t=2时,h=20,∴a15{4220ba b+=+=,解得5 {20ab=-=,∴h与t之间的函数关系式为h=﹣5t2+20t;(2)小球飞行3秒时,t=3(s),此时h=﹣5×32+20×3=15(m).答:小球飞行3s时的高度为15米;(3)∵h=﹣5t2+20t=﹣5(t﹣2)2+20,∴小球飞行的最大高度为20m,∵22>20,∴小球的飞行高度不能达到22m.【点睛】此题主要考查了二次函数的应用,关键是掌握待定系数法求函数解析式,掌握配方法化顶点解析式.。
抛物线专题考点1 抛物线的定义题型 利用定义,实现抛物线上的点到焦点的距离与到准线的距离之间的转换1.已知点P 在抛物线y 2 = 4x 上,那么点P 到点Q (2,-1)的距离与点P 到抛物线焦点距离之和的最小值为【[解析]过点P 作准线的垂线l 交准线于点R ,由抛物线的定义知,PR PQ PF PQ +=+,当P 点为抛物线与垂线l 的交点时,PR PQ +取得最小值,最小值为点Q 到准线的距离 ,因准线方程为x=-1,故最小值为32. 已知点),4,3(A F 是抛物线x y 82=的焦点,M 是抛物线上的动点,当MF MA +最小时, M 点坐标是 ( )A. )0,0(B. )62,3(C. )4,2(D. )62,3(-[解析] 设M 到准线的距离为MK ,则MK MA MF MA +=+|||,当MK MA +最小时,M 点坐标是)4,2(,选C考点2 抛物线的标准方程题型:求抛物线的标准方程3.求满足下列条件的抛物线的标准方程,并求对应抛物线的准线方程:(1)过点(-3,2) (2)焦点在直线上【解题思路】以方程的观点看待问题,并注意开口方向的讨论.[解析] (1)设所求的抛物线的方程为22y px =-或22(0)x py p =>, ∵过点(-3,2) ∴229)3(24⋅=--=p p 或 ∴2934p p ==或 ∴抛物线方程为243y x =-或292x y =,前者的准线方程是1,3x =后者的准线方程为98y =- (2)令0x =得2y =-,令0y =得4x =,∴抛物线的焦点为(4,0)或(0,-2),当焦点为(4,0)时,42p =, ∴8p =,此时抛物线方程216y x =;焦点为(0,-2)时22p = ∴4p =,此时抛物线方程28x y =-.∴所求抛物线方程为216y x =或28x y =-,对应的准线方程分别是4,2x y =-=.4.对于顶点在原点的抛物线,给出下列条件:①焦点在y 轴上;②焦点在x 轴上;③抛物线上横坐标为1的点到焦点的距离等于6;④抛物线的通径的长为5;⑤由原点向过焦点的某条直线作垂线,垂足坐标为(2,1).能使这抛物线方程为y 2=10x 的条件是____________.(要求填写合适条件的序号)[解析] 用排除法,由抛物线方程y 2=10x 可排除①③④,从而②⑤满足条件.5. 若抛物线的顶点在原点,开口向上,F 为焦点,M 为准线与Y 轴的交点,A 为抛物线上一点,且3||,17||==AF AM ,求此抛物线的方程[解析] 设点'A 是点A 在准线上的射影,则3|'|=AA ,由勾股定理知22|'|=MA ,点A 的横坐标为)23,22(p -,代入方程py x 22=得2=p 或4,抛物线的方程y x 42=或y x 82= 考点3 抛物线的几何性质题型:有关焦半径和焦点弦的计算与论证6.设A 、B 为抛物线px y22=上的点,且 90=∠AOB (O 为原点),则直线AB 必过的定点坐标为__________.【解题思路】由特殊入手,先探求定点位置 [解析]设直线OA 方程为kx y =,由⎩⎨⎧==px y kx y 22解出A 点坐标为)2,2(2k p k p ⎪⎩⎪⎨⎧=-=px y x k y 212解出B 点坐标为)2,2(2pk pk -,直线AB 方程为221)2(2k pk x k pk y ---=+,令0=y 得p x 2=,直线AB 必过的定点)0,2(p【指引】(1)由于是填空题,可取两特殊直线AB, 求交点即可;(2)B 点坐标可由A 点坐标用k1-换k 而得。
专题13 巧解二次函数与图形面积综合题知识解读因动点产生的图形面积问题,是抛物线与三角形、四边形相结合的重要形式,解决这类问题常常用到以下技巧:(1)图形的面积割补;(2)利用平行线的性质作等积变形;(3)等量代换,即把面积之比转化为线段之比;(4)“等底,等高,等面积”由二推一,即以其中任意两个为条件,第三个为结论,命题总成立.培优学案典例示范例1如图13-1,已知抛物线y=ax2+bx+3与x轴交于A、B两点,过点A的直线l与抛物线交于点C,其中A点的坐标是(1,0),C点坐标是(4,3).(1)求抛物线的解析式;(2)若点E是抛物线上的一个动点,且位于直线AC的下方,试求△ACE的最大面积及E点的坐标.【提示】(1)只需将A点,C点坐标代入解析式中即可;(2)思路一:△ACE的面积可由12AC×h表示,因为AC固定,若要它的面积最大,则只需h最大,即点E到直线AC的距离最大,如图13-2,若设一条平行于AC的直线,那么当该直线与抛物线有且只有一个公共点时,该点就是点E.不妨把这种方法形象的记忆为“平行切线法”。
思路二:基于“分割图形”考虑.如图13-3,过点E 作x 轴的垂线,交AC 于点F .设E (x ,x 2-4x +3),则S △AEC =S △AEF +S △CEF =32EF ,即△ACE 的面积取决于EF 的长。
若把EF 的长称为△ACE 的“竖直高”,把A ,C 两点横坐标之差的绝对值称为△ACE 的“水平宽”,则△ACE 的面积可直接记为“12×竖直高×水平宽”。
思路三:基于“补全图形”考虑。
但要分点E 在x 轴下方和上方两种情况讨论(为什么要分两种情况?),如图13-4,同时一定要搞清楚线段长度与点坐标的关系,长度是正的,要用大坐标减去小坐标,若不能区分,加上绝对值,请读者自行完成。
【跟踪训练】1.如图13-5,抛物线223212--=x x y 交x 轴正半轴于点A ,交y 轴于点B ,点C 是线段AB 方的抛物线上的一点,求ABC ∆的面积的最大值,并求出此时点C 的坐标。
中考数学压轴题名师辅导讲座材料:抛物线与几何问题(附答案)
国各地中考试题压轴题精选讲座四
抛物线与几何问题
【知识纵横】
抛物线的解析式有下列三种形式:1、一般式: (a≠0);
2、顶点式:y =a(x—h) 2 +k;
3、交点式:y=a(x—x 1)(x —x 2 ) ,这里x 1、x 2 是方程ax 2 +bx+c=0的两个实根。
解函数与几何的综合题,善于求点的坐标,进而求出函数解析式是解题的基础;而充分发挥形的因素,数形互动,把证明与计算相结合是解题的关键。
【典型例题】
【例1】 (浙江杭州) 在直角坐标系xOy中,设点A(0,t),点Q(t,b)。
平移二
次函数的图象,得到的抛物线F满足两个条件:①顶点为Q;②与x轴相交于B,C两点(∣OB∣<∣OC∣),连结A,B。
(1)是否存在这样的抛物线F,
?请你作出判断,并说明理由;
(2)如果AQ∥BC,且tan∠ABO= ,求抛物线F
对应的二次函数的解析式。
第七节 抛 物 线 2019考纲考题考情1.抛物线的概念平面内与一个定点F 和一条定直线l (F ∉l )的距离相等的点的轨迹叫做抛物线,点F 叫做抛物线的焦点,直线l 叫做抛物线的准线。
2.抛物线的标准方程与几何性质 标准 方程y 2=2px (p >0)y 2=-2px (p >0)x 2=2py (p >0)x 2=-2py (p >0)p 的几何意义:焦点F 到准线l 的距离图形顶点 O (0,0)对称轴 y =0x =0焦点 F ⎝ ⎛⎭⎪⎫p 2,0 F ⎝ ⎛⎭⎪⎫-p 2,0 F ⎝ ⎛⎭⎪⎫0,p 2 F ⎝ ⎛⎭⎪⎫0,-p 2 离心率e =100抛物线焦点弦的6个常用结论设AB是过抛物线y2=2px(p>0)焦点F的弦,若A(x1,y1),B(x2,y2),则(1)x1x2=p24,y1y2=-p2。
(2)弦长|AB|=x1+x2+p=2psin2α(α为弦AB的倾斜角)。
(3)以弦AB为直径的圆与准线相切。
(4)过焦点垂直于对称轴的弦长等于2p(通径)。
(5)S△AOB=p22sinθ(θ为AB的倾斜角).(6)1|AF|+1|BF|为定值2p.考点一抛物线的定义及应用【例1】(1)已知抛物线x2=4y上一点A纵坐标为4,则点A到抛物线焦点的距离为()A.10B.4C.5D.15(2)已知抛物线C:y2=4x的焦点为F,准线为l,P为C上一点,PQ垂直l 于点Q,M,N分别为PQ,PF的中点,MN与x轴相交于点R,若∠NRF=60°,则|FR|等于()A.12B.1C.2 D.4解析(1)抛物线x2=4y的准线方程为y=-1,点A到准线的距离为5,根据抛物线定义可知点A到焦点的距离为5。
故选C。
(2)因为M,N分别是PQ,PF的中点,所以MN∥FQ,且PQ∥x轴。
又∠NRF=60°,所以∠FQP=60°。
由抛物线定义知|PQ|=|PF|,所以△FQP为正三角形。
初中数学二次函数应用题型分类——抛物线形物体问题5(附答案)1.一同学推铅球,铅球高度y(m)关于时间x(s)的函数表达式为y=ax 2+bx(a≠0).若铅球在第7秒与第14秒时的高度相等,则在第m 秒时铅球最高,则m 的值为( ) A .7B .8C .10.5D .212.一位篮球运动员在距离篮圈中心水平距离4m 处起跳投篮,球沿一条抛物线运动,当球运动的水平距离为2.5m 时,达到最大高度3.5m ,然后准确落入篮筐内.已知篮圈中心距离地面高度为3.05m ,在如图所示的平面直角坐标系中,下列说法正确的是( )A .篮圈中心的坐标是()4,3.05B .此抛物线的解析式是21 3.55y x =-+ C .此抛物线的顶点坐标是()3.5,0 D .篮球出手时离地面的高度是2m3.如图,以40m/s 的速度将小球沿与地面成30°角的方向击出时,小球的飞行路线将是一条抛物线.如果不考虑空气阻力,小球的飞行高度h (单位:m )与飞行时间t (单位:s )之间具有函数关系h =20t ﹣5t 2.下列叙述正确的是( )A .小球的飞行高度不能达到15mB .小球的飞行高度可以达到25mC .小球从飞出到落地要用时4sD .小球飞出1s 时的飞行高度为10m4.一学生推铅球,铅球行进的高度()y m 与水平距离()x m 之间的关系为21251233y x x =-++,则学生推铅球的距离为( ) A .35m B .3mC .10mD .12m飞行的高度()h m 与发球后球飞行的时间()t s 满足关系式22 1.5h t t =-++,则该运动员发球后1s 时,羽毛球飞行的高度为( ) A .1.5mB .2mC .2.5mD .3m6.铅球运动员掷铅球的高度y(m)与水平距离x(m)之间的函数关系式为y =-112x 2+23x +53.则该运动员此次掷铅球的成绩是( ) A .6 mB .12 mC .8 mD .10 m7.从地面竖直向上先后抛出两个小球,小球的高度h (单位:)m 与小球运动时间t (单位:)s 之间的函数关系式为240(3)409h t =--+,若后抛出的小球经过2.5s 比先抛出的小球高103m ,则抛出两个小球的间隔时间是( )s A .1 B .1.5 C .2 D .2.58.一个运动员打高尔夫球,若球的飞行高度y (m )与水平距离x (m )之间的函数表达式为:y 150=-(x ﹣25)2+12,则高尔夫球在飞行过程中的最大高度为( )m . A .12B .25C .13D .149.如图,排球运动员站在点O 处练习发球,将球从O 点正上方2m 的A 处发出,把球看成点,其运行的高度y (m )与运行的水平距离x (m )满足关系式y =a (x ﹣k )2+h .已知球与D 点的水平距离为6m 时,达到最高2.6m ,球网与D 点的水平距离为9m .高度为2.43m ,球场的边界距O 点的水平距离为18m ,则下列判断正确的是( )A .球不会过网B .球会过球网但不会出界C .球会过球网并会出界D .无法确定10.如图,一位运动员推铅球,铅球行进高度y(m)与水平距离x(m)之间的关系是y =﹣22531312x x ++,则此运动员把铅球推出多远( )11.教练对小明推铅球的录像进行技术分析,发现铅球行进高度y (m )与水平距离x (m )之间的关系为21(4)312y x =--+,由此可知铅球推出的距离是______m .12.如图,是一学生掷铅球时,铅球行进高度()y cm 的函数图象,点B 为抛物线的最高点,则该同学的投掷成绩为________米.13.如图,一名男生推铅球,铅球行进高度y (单位:m )与水平距离x (单位:m )之间的关系是21251233y x x =-++,则他将铅球推出的距离是__________m .14.校运会上,小明参加铅球比赛,若某次试掷,铅球飞行的高度()y m 与水平距离(m)x 之间的函数关系式为21251233y x x =-++,小明这次试掷的成绩是__________.15.从地面竖直向上抛出一小球,小球离地面的高度h (米)与小球运动时间t (秒)之间关系是h=30t ﹣5t 2(0≤t≤6),则小球从抛出后运动4秒共运动的路径长是______米. 16.如图,池中心竖直水管的顶端安一个喷水头,使喷出的抛物线形水柱在与池中心的水平距离为1m 处达到最高,高度为3m ,水柱落地处离池中心3m ,水管的长为_____.17.广场上喷水池中的喷头微露水面,喷出的水线呈一条抛物线,水线上水珠的高度y (米)关于水珠与喷头的水平距离x (米)的函数解析式是()2510042y x x x =-+≤≤.水珠可以达到的最大高度是________(米).18.某运动员对自己某次实心球训练的录像进行分析,发现实心球飞行高度y (米)与水平距离x (米)之间的关系为21251233y x x =-++,由此可知该运动员此次实心球训练的成绩为____米.19.如图,一小球沿与地面成一定角度的方向飞出,小球的飞行路线是一条抛物线,如果不考虑空气阻力,小球的飞行高度y (单位:m )与飞行时间x (单位:s )之间具有函数关系y =﹣5x 2+20x ,在飞行过程中,当小球的行高度为15m 时,则飞行时间是_____.20.如图,铅球运动员掷铅球的高度y (m )与水平距离x (m )之间的函数关系式是y=﹣112x 2+23x+53,则该运动员此次掷铅球的成绩是_____ m .21.一个斜抛物体的水平运动距离为x (m ),对应的高度记为h (m ),且满足h =ax 2+bx ﹣2a (其中a≠0).已知当x =0时,h =2;当x =10时,h =2. (1)求h 关于x 的函数表达式;(2)求斜抛物体的最大高度和达到最大高度时的水平距离.22.如图是甲、乙两人进行羽毛球练习赛时的一个瞬间,羽毛球飞行的高度y (m )与水平距离x (m )的路线为抛物线的一部分,如图,甲在O 点正上方1m 的P 处发出一球,已知点O 与球网的水平距离为5m ,球网的高度为1.55m .羽毛球沿水平方向运动4m 时,达到羽毛球距离地面最大高度是53m . (1)求羽毛球经过的路线对应的函数关系式; (2)通过计算判断此球能否过网;(3)若甲发球过网后,羽毛球飞行到离地面的高度为3124m 的Q 处时,乙扣球成功求此时乙与球网的水平距离.23.杂技团进行杂技表演,演员从跷跷板右端A 处弹跳到人梯顶端椅子B 处,其身体(看成一点)的路线是抛物线23315y x x =-++的一部分,如图所示. ()1求演员弹跳离地面的最大高度;()2已知人梯高 3.4BC =米,在一次表演中,人梯到起跳点A 的水平距离是4米,问这次表演是否成功?请说明理由.24.小明跳起投篮,球出手时离地面m ,球出手后在空中沿抛物线路径运动,并在距出手点水平距离4m 处达到最高度4m .已知篮筐中心距地面3m ,与球出手时的水平距离为8m ,建立如图所示的平面直角坐标系. (1)求此抛物线对应的函数关系式;(2)此次投篮,球能否直接命中篮筐中心?若能,请说明理由;若不能,在出手的角度和力度都不变的情况下,球出手时距离地面多少米可使球直接命中篮筐中心?25.在一次篮球比赛中,如图队员甲正在投篮.已知球出手时离地面209m ,与篮圈中心的水平距离为7 m ,球出手后水平距离为4 m 时达到最大高度4 m ,设篮球运行轨迹为抛物线,篮圈距地面3 m.(1)建立如图所示的平面直角坐标系,问此球能否准确投中?(2)此时,对方队员乙在甲面前1 m 处跳起盖帽拦截,已知乙的最大摸高为3.1 m ,那么他能否获得成功?26.某乒乓球馆使用发球机进行辅助训练,出球口在桌面中线端点A处的正上方,如果每次发出的乒乓球的运动路线固定不变,且落在中线上,在乒乓球从发射出到第一次落在桌面的运行过程中,设乒乓球与端点A的水平距离为x(米),距桌面的高度为y (米),运行时间为t(秒),经多次测试后,得到如下部分数据:t(秒)0 0.16 0.2 0.4 0.6 0.64 0.8 …x(米)0 0.4 0.5 1 1.5 1.6 2 …y(米)0.25 0.378 0.4 0.45 0.4 0.378 0.25 …(1)如果y是t的函数,①如图,在平面直角坐标系tOy中,描出了上表中y与t各对对应值为坐标的点.请你根据描出的点,画出该函数的图象;②当t为何值时,乒乓球达到最大高度?(2)如果y是关于x的二次函数,那么乒乓球第一次落在桌面时,与端点A的水平距离是多少?27.在一场篮球比赛中,一名球员在关键时刻投出一球,已知球出手时离地面高2米,与篮圈中心的水平距离为7米,当球出手后水平距离为4米时到达最大高度4米,已知篮球运行的轨迹为抛物线,篮圈中心距离地面3.19米.(1)以地面为x轴,篮球出手时垂直地面所在直线为y轴建立平面直角坐标系,求篮球运行的抛物线轨迹的解析式;(2)通过计算,判断这个球员能否投中?28.如图,在某场足球比赛中,球员甲从球门底部中心点O的正前方10m处起脚射门,足球沿抛物线飞向球门中心线;当足球飞离地面高度为3m时达到最高点,此时足球飞行的水平距离为6m.已知球门的横梁高OA为2.44m.()1在如图所示的平面直角坐标系中,问此飞行足球能否进球门?(不计其它情况)()2守门员乙站在距离球门2m处,他跳起时手的最大摸高为2.52m,他能阻止球员甲的此次射门吗?如果不能,他至少后退多远才能阻止球员甲的射门?29.初三年级的一场篮球比赛中,如图队员甲正在投篮,已知球出手时离地面高209m,与篮圈中心的水平距离为7m,当球出手后水平距离为4m时到达最大高度4m,设篮球运行的轨迹为抛物线,篮圈距地面3m.(1)建立如图所示的平面直角坐标系,求抛物线的解析式并判断此球能否准确投中?(2)此时,若对方队员乙在甲前面1m处跳起盖帽拦截,已知乙的最大摸高为3.1m,那么他能否获得成功?30.如图,某足球运动员站在点O处练习射门.将足球从离地面0.5m的A处正对球门踢出(点A在y轴上),足球的飞行高度y(单位:m)与飞行时间t(单位:s)之间满足函数关系y=at2+5t+c,己知足球飞行0.8s时,离地面的高度为3.5m.(1)a=,c=;(2)当足球飞行的时间为多少时,足球离地面最高?最大高度是多少?(3)若足球飞行的水平距离x(单位:m)与飞行时间t(单位:s)之间具有函数关系x=10t,已知球门的高度为2.44m,如果该运动员正对球门射门时,离球门的水平距离为28m,他能否将球直接射入球门?参考答案1.C 【解析】 【分析】由由第7秒和第14秒的高度相同,知道这两个点是关于抛物线的对称轴对称的,从而求出抛物线的对称轴,知道顶点的横坐标,得到答案. 【详解】解:由第7秒和第14秒的高度相同,知道抛物线的对称轴为7142122x +==, 所以顶点的横坐标为212,即函数取得最大值,铅球最高时的时间,所以10.5m =. 故选C . 【点睛】本题考查的是抛物线的性质,掌握抛物线上纵坐标相等的两个点是关于抛物线对称轴对称的是关键. 2.A 【解析】 【分析】设抛物线的表达式为y=ax 2+3.5,依题意可知图象经过的坐标,由此可得a 的值,可判断A ;根据函数图象可判断B 、C ;设这次跳投时,球出手处离地面hm ,因为求得21 3.55y x =-+,当x=-2,5时,即可判断D . 【详解】解:A 、∵抛物线的顶点坐标为(0,3.5), ∴可设抛物线的函数关系式为y=ax 2+3.5.∵篮圈中心(1.5,3.05)在抛物线上,将它的坐标代入上式,得 3.05=a×1.52+3.5, ∴a=15-, ∴21 3.55y x =-+,故本选项正确; B 、由图示知,篮圈中心的坐标是(1.5,3.05),故本选项错误; C 、由图示知,此抛物线的顶点坐标是(0,3.5),故本选项错误; D 、设这次跳投时,球出手处离地面hm ,因为(1)中求得y=-0.2x2+3.5,∴当x=-2.5时,h=-0.2×(-2.5)2+3.5=2.25m.∴这次跳投时,球出手处离地面2.25m,故本选项错误.故选:A.【点睛】本题考查了二次函数的应用,解题的关键是从实际问题中抽象出二次函数模型,体现了数学建模的数学思想,难度不大,能够结合题意利用二次函数不同的表达形式求得解析式是解答本题的关键.3.C【解析】【分析】直接利用h=15以及结合配方法求出二次函数最值分别分析得出答案.【详解】A、当h=15时,15=20t﹣5t2,解得:t1=1,t2=3,故小球的飞行高度能达到15m,故此选项错误;B、h=20t﹣5t2=﹣5(t﹣2)2+20,故t=2时,小球的飞行高度最大为:20m,故此选项错误;C、∵h=0时,0=20t﹣5t2,解得:t1=0,t2=4,∴小球从飞出到落地要用时4s,故此选项正确;D、当t=1时,h=15,故小球飞出1s时的飞行高度为15m,故此选项错误;故选C.此题主要考查了二次函数的应用,灵活运用所学知识是解题关键.4.C【解析】【分析】铅球落地时,高度y=0,把实际问题可理解为当y=0时,求x 的值.【详解】 令函数式21251233y x x =-++中,y =0, 即21251233x x -++=0, 解得1210,2x x ==- (舍去),即铅球推出的距离是10m.故选C.【点睛】考查二次函数的应用以及函数式中自变量与函数表达式的实际意义,需要结合题意. 5.C【解析】【分析】根据函数关系式,求出t=1时的h 的值即可.【详解】22 1.5h t t =-++∴t=1s 时,h=-1+2+1.5=2.5故选C.【点睛】本题考查了二次函数的应用,知道t=1时满足函数关系式是解题的关键.6.D【解析】【分析】依题意,该二次函数与x 轴的交点的x 值为所求.即在抛物线解析式中.令y=0,求x 的正【详解】把y=0代入y=-112x 2+23x+53得: -112x 2+23x+=0, 解之得:x 1=10,x 2=-2.又x >0,解得x=10.故选D .7.B【解析】【分析】把t=2.5代入240(3)409h t =--+,求得3509h =,当35010320939h =-=时,解方程即可得出结论.【详解】解:把t=2.5代入240(3)409h t =--+,得3509h =, 当35010320939h =-=时,即240320(3)4099t --+=, 解得 t=4或t=-2(不合题意,舍去)∴抛出两个小球间隔的时间是4-2.5=1.5.故选B.【点睛】本题主要考查了二次函数的应用,正确理解题意是解题的关键.8.A【解析】【分析】直接根据二次函数的图象及性质即可得出答案.【详解】解:∵y 150=-(x ﹣25)2+12, 顶点坐标为(25,12), ∵150-<0, ∴当x =25时,y 有最大值,最大值为12.故选:A .【点睛】本题主要考查二次函数的最大值,掌握二次函数的图象和性质是解题的关键.9.C【解析】分析:(1)将点A (0,2)代入2(6) 2.6y a x =-+求出a 的值;分别求出x =9和x =18时的函数值,再分别与2.43、0比较大小可得.详解:根据题意,将点A (0,2)代入2(6) 2.6y a x =-+,得:36a +2.6=2, 解得:160a ,=- ∴y 与x 的关系式为21(6) 2.660y x =--+; 当x =9时,()2196 2.6 2.45 2.4360y =--+=>, ∴球能过球网, 当x =18时,()21186 2.60.2060y =--+=>, ∴球会出界.故选C.点睛:考查二次函数的应用题,求范围的问题,可以利用临界点法求出自变量的值,根据题意确定范围.10.B【解析】【分析】令y =﹣22531312x x ++=0,解得符合题意的x 值,则该值为此运动员把铅球推出的距离,据此可解.【详解】解:令y =﹣22531312x x ++=0 则:x 2﹣8x ﹣20=0∴(x+2)(x ﹣10)=0∴x 1=﹣2(舍),x 2=10由题意可知当x =10时,符合题意故选:B.【点睛】本题考查二次函数的实际应用,利用数形结合思想解题是本题的关键.11.10【解析】【分析】要求铅球推出的距离,实际上是求铅球的落脚点与坐标原点的距离,故可直接令0y =,求出x 的值,x 的正值即为所求.【详解】 在函数式21(4)312y x =--+中,令0y =,得 21(4)3012x --+=,解得110x =,22x =-(舍去), ∴铅球推出的距离是10m.【点睛】 本题是二次函数的实际应用题,需要注意的是21(4)312y x =--+中3代表的含义是铅球在起始位置距离地面的高度;当0y =时,x 的正值代表的是铅球最终离原点的距离.12.(4+【解析】【分析】根据函数的顶点B 的坐标设解析式为y =a (x −4)2+3,把(0,2)代入得出2=a (0−4)2+3,求出a ,得出函数的解析式是21(4)316y x =--+,把y =0代入解析式,求出方程的解即可. 【详解】∵函数的图象的最高点是B ,B 的坐标是(4,3),∴设函数的解析式是y =a (x −4)2+3,∵图象过(0,2)点,∴代入得:2=a (0−4)2+3, 解得:116a =-, ∴函数的解析式是21(4)316y x =--+, 把y =0代入解析式得:210(4)316x =--+,解得:1244x x =+=-∴(4A +,故答案为(4+【点睛】考查二次函数在实际问题中的应用,掌握待定系数法求二次函数解析式是解题的关键.. 13.10【解析】【分析】令y=0时求出x 的值,保留正值,即为该男生将铅球推出的距离.【详解】解:当y=0时,2125=01233x x -++, 解方程得,x 1=10,x 2=-2(负值舍去),∴该男生把铅球推出的水平距离是10 m .故答案为:10.【点睛】本题考查了二次函数在实际问题中的应用,可以用配方法写成顶点式求得;同时本题还考查了二次函数与一元二次方程的关系及解一元二次方程,本题属于中档题.14.10米【解析】【分析】根据题意,将y=0代入解析式中,求出x 的值即可.【详解】解:将y=0代入21251233y x x =-++中,得 212501233x x -++= 解得:1210,2x x ==-(不符合实际,舍去)∴小明这次试掷的成绩是10米故答案为:10米.【点睛】此题考查的是二次函数的应用,掌握x 和y 的实际意义和一元二次方程的解法是解决此题的关键.15.50【解析】【分析】根据题目中的函数解析式可以求得h 的最大值,从而可以求得小球从抛出后运动4秒共运动的路径长.【详解】解:∵h =30t−5t 2=−5(t−3)2+45(0≤t≤6),∴当t =3时,h 取得最大值,此时h =45,∴小球从抛出后运动4秒共运动的路径长是:45+[45−(30×4−5×42)]=50(米), 故答案为:50.【点睛】本题考查二次函数的应用,解答本题的关键是明确题意,求出相应的路径的长.16.2.25m .【解析】【分析】设抛物线的解析式为:y =a (x ﹣1)2+3(0≤x ≤3),将(3,0)代入求得a 值,则x=0时得y 值即为水管的长.【详解】解:由于在距池中心的水平距离为1m 时达到最高,高度为3m ,则设抛物线的解析式为:y =a (x ﹣1)2+3(0≤x ≤3),代入(3,0)求得:a =34-, 将a 值代入得到抛物线的解析式为:y =34-(x ﹣1)2+3(0≤x ≤3), 令x =0,则y =94=2.25. 则水管长为2.25m .故答案为:2.25m .【点睛】本题主要考查了二次函数的应用,掌握二次函数的应用是解题的关键.17.10【解析】【分析】将一般式转化为顶点式,依据自变量的变化范围求解即可.【详解】 解:()()222555104210222y x x x x x =-+=--=--+,当x=2时,y 有最大值10, 故答案为:10.【点睛】利用配方法将一般式转化为顶点式,再利用顶点式去求解函数的最大值.18.10【解析】【分析】根据铅球落地时,高度y=0,把实际问题可理解为当y=0时,求x 的值即可.【详解】当y=0时,212501233x x -++= 解得,x=-2(舍去),x=10.故答案为:10.【点睛】本题考查了二次函数的应用中函数式中自变量与函数表达的实际意义,需要结合题意,取函数或自变量的特殊值列方程求解是解题关键.19.1s 或3s【解析】【分析】根据题意可以得到15=﹣5x 2+20x ,然后求出x 的值,即可解答本题.【详解】∵y=﹣5x 2+20x ,∴当y=15时,15=﹣5x 2+20x ,得x 1=1,x 2=3,故答案为1s 或3s .【点睛】本题考查二次函数的应用、一元二次方程的应用,解答本题的关键是明确题意,利用二次函数的性质和一元二次方程的知识解答.20.10【解析】【分析】根据铅球落地时,高度y=0,把实际问题可理解为当y=0时,求x 的值即可.【详解】 解:在21251233y x x =-++中,当y=0时, 212501233x x -++= 整理得:x 2-8x-20=0,(x-10)(x+2)=0,解得x 1=10,x 2=-2(舍去),即该运动员此次掷铅球的成绩是10m .故答案为:10.【点睛】本题考查了二次函数的应用中函数式中自变量与函数表达的实际意义,需要结合题意,取函数或自变量的特殊值列方程求解是解题关键.21.(1)h =﹣x 2+10x+2;(2)斜抛物体的最大高度为27,达到最大高度时的水平距离为5.【解析】【分析】(1)将当x =0时,h =2;当x =10时,h =2,代入解析式,可求解;(2)由h =−x 2+10x +2=−(x−5)2+27,即可求解.【详解】(1)∵当x =0时,h =2;当x =10时,h =2.∴222100102a a b a =-⎧⎨=+-⎩解得:110a b =-⎧⎨=⎩ ∴h 关于x 的函数表达式为:h =﹣x 2+10x+2;(2)∵h =﹣x 2+10x+2=﹣(x ﹣5)2+27,∴斜抛物体的最大高度为27,达到最大高度时的水平距离为5.【点睛】本题考查了二次函数的应用,求出二次函数的解析式是本题的关键.22.(1)215(4)243y x =--+;(2)此球能过网,见解析;(3)2m 【解析】【分析】(1)依题意,函数图象的顶点坐标为(4,53),则可设函数的解析式为:25(4)3y a x =-+,再由点(0,1)在抛物线上,代入求得a 即可(2)将x =5代入所求的函数解析式,求得y 即可判断;(3)将y =3124代入函数解析式求得x ,即可求出乙与球网的水平距离. 【详解】解(1)依题意,函数图象的顶点坐标为54,3⎛⎫ ⎪⎝⎭, 故设函数的解析式为:25(4)3y a x =-+,∵点(0,1)在抛物线上,∴代入得251(04)3a =-+, 解得124a =-, 则羽毛球经过的路线对应的函数关系式为:215(4)243y x =--+; (2)由(1)知羽毛球经过的路线对应的函数关系式为215(4)243y x =--+, 则当5x =时,21513(54) 1.6252438y =-⨯-+==, ∵1.625 1.55>,∴此球能过网;(3)由(1)知羽毛球经过的路线对应的函数关系式为215(4)243y x =--+, 当3124y =时,有23115(4)24243x =--+, 解得11x =(舍去),27x =,∴此时乙与球网的水平距离为:752m -=.【点睛】本题考查了二次函数在实际生活中的应用,利用待定系数法求出羽毛球经过的路线对应的函数关系式是解题的关键.23.(1) 194;(2)能成功;理由见解析. 【解析】【分析】(1)将抛物线解析式整理成顶点式,可得最大值,即为最大高度;(2)将x=4代入抛物线解析式,计算函数值是否等于3.4进行判断.【详解】 (1)y=-35x 2+3x+1=-35252x ⎛⎫- ⎪⎝⎭+194 ∵-35<0,∴函数的最大值是194.答:演员弹跳的最大高度是194米.(2)当x=4时,y=-35×42+3×4+1=3.4=BC,所以这次表演成功.【点睛】此题将用待定系数法求二次函数解析式、动点问题和最小值问题相结合,有较大的维跳跃,考查了同学们的应变能力和综合思维能力,是一道好题.24.(1)y=;(2)不能正中篮筐中心;3米.【解析】试题分析:(1)根据顶点坐标(4,4),设抛物线的解析式为:y=,由球出手时离地面m,可知抛物线与y轴交点为(0,),代入可求出a的值,写出解析式;(2)先计算当x=8时,y的值是否等于3,把x=8代入得:y=,所以要想球经过(8,3),则抛物线得向上平移3﹣=个单位,即球出手时距离地面3米可使球直接命中篮筐中心.试题解析:(1)设抛物线为y=,将(0,)代入,得=,解得a=,∴所求的解析式为y=;(2)令x=8,得y==≠3,∴抛物线不过点(8,3),故不能正中篮筐中心;∵抛物线过点(8,),∴要使抛物线过点(8,3),可将其向上平移个单位长度,故小明需向上多跳m再投篮(即球出手时距离地面3米)方可使球正中篮筐中心.考点:二次函数的应用.25.(1)能准确投中(2)能获得成功【解析】【分析】(1)根据条件先确定抛物线的解析式,然后令x=7,求出y的值,与3m比较即可作出判断;(2)将x=1代入抛物线的解析式,求出y的值与3.1比较大小即可.【详解】解:(1)由题意可得抛物线的顶点为(4,4),出手点为(0,209),设2()y a x h k=-+,则h=4,k=4,然后把点(0,209)代入解析式得19a=-,所以()21449y x=--+,当x=7时,y=3,所以此球能准确投中.(2)当x=1时,y=3<3.1,他能获得成功.考点:二次函数的应用26.(1)①见解析;②t=0.4(秒),乒乓球达到最大高度;(2)52 m.【解析】【分析】(1)①根据描出了上表中y与t各对对应值为坐标的点,画出该函数的图象即可;②利用网格中数据直接得出乒乓球达到最大高度时的时间;(2)首先求出函数解析式,进而求出乒乓球落在桌面时,与端点A的水平距离.【详解】解:(1)①如图所示,②由表格中数据可得,t=0.4(秒),乒乓球达到最大高度;(2)由表格中数据,可设y=a(x﹣1)2+0.45,将(0,0.25)代入,可得:a=﹣15,则y=﹣15(x﹣1)2+0.45,当y=0时,0=﹣15(x﹣1)2+0.45,解得:x1=52,x2=﹣12(舍去),即乒乓球与端点A 的水平距离是52m .【点睛】考点:二次函数的应用.27.(1)21(4)48y x =-+;(2)不能投中 【解析】【分析】(1)根据题意可得抛物线的顶点,设函数的顶点式,再将(0,2)代入,求得二次项系数,从而可得抛物线的解析式;(2)判断当x =7时,函数值是否等于3.19即可.【详解】(1)依题意得抛物线顶点为(4,4),则设抛物线的解析式为y =a (x ﹣4)2+4依题意得抛物线经过点(0,2)∴a (0﹣4)2+4=2解得18a =- ∴抛物线的解析式为21(4)48y x =-+ (2)当x =7时,21(4)48y x =-+=23 3.198≠ ∴这个球员不能投中.【点睛】本题考查了二次函数解析式的求法以及实际应用,关键是求得函数的解析式,借助二次函数解决实际问题.28.(1)能射中球门;(2)他至少后退0.4m,才能阻止球员甲的射门.【解析】【分析】(1)、根据条件可以得到抛物线的顶点坐标是(4,3),利用待定系数法即可求得函数的解析式;(2)、求出当x=2时,抛物线的函数值,与2.52米进行比较即可判断,再利用y=2.52求出x的值即可得出答案.【详解】(1)、抛物线的顶点坐标是(4,3),设抛物线的解析式是:y=a(x-4)2+3,把(10,0)代入得36a+3=0,解得a=-112,则抛物线是y=-112(x-4)2+3,当x=0时,y=-112×16+3=3-43=53<2.44米,故能射中球门;(2)当x=2时,y=-112(2-4)2+3=83>2.52,∴守门员乙不能阻止球员甲的此次射门,当y=2.52时,y=-112(x-4)2+3=2.52,解得:x1=1.6,x2=6.4(舍去),∴2-1.6=0.4(m),答:他至少后退0.4m,才能阻止球员甲的射门.【点睛】本题主要考查了待定系数法求二次函数的解析式,以及二次函数的应用,属于中等难度的题型.根据题意得出函数的顶点坐标,求得函数解析式是解题的关键.29.(1)y=−19(x−4)2+4;能够投中;(2)能够盖帽拦截成功.【解析】【分析】(1)根据题意可知:抛物线经过(0,209),顶点坐标是(4,4),然后设出抛物线的顶点式,将(0,209)代入,即可求出抛物线的解析式,然后判断篮圈的坐标是否满足解析式即可;(2)当1x 时,求出此时的函数值,再与3.1m比较大小即可判断. 【详解】解:由题意可知,抛物线经过(0,209),顶点坐标是(4,4).设抛物线的解析式是()244y a x =-+, 将(0,209)代入,得()2200449a =-+ 解得19a =-, 所以抛物线的解析式是()21449y x =--+; 篮圈的坐标是(7,3),代入解析式得()2174439y =--+=, ∴这个点在抛物线上,∴能够投中 答:能够投中.(2)当1x =时,()2114439y =--+=<3.1, 所以能够盖帽拦截成功.答:能够盖帽拦截成功.【点睛】此题考查的是二次函数的应用,掌握二次函数的顶点式和利用二次函数解析式解决实际问题是解决此题的关键.30.(1)2516-,12;(2)当足球飞行的时间85s 时,足球离地面最高,最大高度是4.5m ;(3)能.【解析】【分析】(1)由题意得:函数y =at 2+5t +c 的图象经过(0,0.5)(0.8,3.5),代入函数的表达式即可求出a ,c 的值;(2)利用配方法即可求出足球飞行的时间以及足球离地面的最大高度;(3)把x =28代入x =10t 得t =2.8,把t =2.8代入解析式求出y 的值和2.44m 比较大小即可得到结论.【详解】(1)由题意得:函数y =at 2+5t +c 的图象经过(0,0.5)(0.8,3.5),∴20.53.50.850.8c a c =⎧⎨=+⨯+⎩, 解得:251612a c ⎧=-⎪⎪⎨⎪=⎪⎩, ∴抛物线的解析式为:y =﹣2516t 2+5t +12, 故答案为:﹣2516,12; (2)∵y =﹣2516t 2+5t +12, ∴y =﹣2516(t ﹣85)2+92, ∴当t =85时,y 最大=4.5, ∴当足球飞行的时间85s 时,足球离地面最高,最大高度是4.5m ; (3)把x =28代入x =10t 得t =2.8,∴当t =2.8时,y =﹣2516×2.82+5×2.8+12=2.25<2.44, ∴他能将球直接射入球门.【点睛】本题考查了待定系数法求二次函数的解析式,以及二次函数的应用,正确求得解析式是解题的关键.。
九年级数学竞赛专题讲座 ---二次函数的图像与性质二、例题解析例1 设抛物线为21y x kx k =-+-,根据下列各条件,求k 的值。
(1)抛物线的顶点在x 轴上; (2)抛物线的顶点在y 轴上; (3)抛物线的顶点()1,2--; (4)抛物线经过原点;(5)当1x =时,y 有最小值;(6)y 的最小值为1-.例2 设直线y kx b =+与抛物线2y ax =的两个交点的横坐标分别为1x 和2x ,且直线与x 轴交点的横坐标为3x ,求证:123111x x x +=.例3 二次函数2y ax bx c =++,当12x =时,有最大值25,而方程20ax bx c ++=的两根α、β,满足3319αβ+=,求a 、b 、c 。
例4 证明:无论a 取任何实数值时,抛物线211(1)24y x a x a =++++是通过一个定点,而且这些抛物线的顶点都在一条确定的抛物线上。
例 5 已知抛物线2(0)y ax bx c a =++>过()()0,4,2,2-两点,若抛物线在x 轴上截得的线段最短时,求这时的抛物线解析式。
例6 如果二次函数2y ax bx c =++的图像的顶点坐标是()2,4,且直线4y x =+依次与y 轴和抛物线相交于P 、Q 、R 三点,PQ:QR=1:3,求这个二次函数解析式。
训练题班级 姓名 学号1.二次函数(2)(21)y x x =-+图像抛物线的顶点坐标是_________,对称轴方程_________,与x 轴交点坐标_________,与y 轴交点坐标_________;当x =_________时,y 的最______值等于_________,当x _________时,y 随x 增大而减小;当_________时,0y >;当_________时,0y <。
2.函数2233(2)mm y m x --=-是x 的二次函数,且抛物线开口向下,则m =________。
第07讲抛物线(精讲)第07讲抛物线(精讲)目录第一部分:知识点精准记忆第二部分:课前自我评估测试第三部分:典型例题剖析题型一:抛物线的定义及其应用题型二:抛物线的标准方程题型三:抛物线的简单几何性质题型四:与抛物线有关的最值问题角度1:利用抛物线定义求最值角度2:利用函数思想求最值第四部分:高考真题感悟知识点一:抛物线的定义1、抛物线的定义:平面内与一个定点F 和一条定直线l (其中定点F 不在定直线l 上)的距离相等的点的轨迹叫做抛物线,定点F 叫做抛物线的焦点,定直线l 叫做抛物线的准线.2、抛物线的数学表达式:{|||}M MF d =(d 为点M 到准线l 的距离).知识点二:抛物线的标准方程和几何性质标准方程22y px =(0p >)22y px =-(0p >)22x py =(0p >)22x py=-(0p >)图形范0x ≥,R y ∈0x ≤,R y ∈0y ≥,x R ∈0y ≤,x R∈围对称轴x 轴x轴y 轴y 轴焦点坐标(,0)2pF (,0)2p F-(0,)2p F (0,)2p F -准线方程2px =-2p x =2p y =-2p y =顶点坐标(0,0)O 离心率1e =通径长2p知识点三:抛物线的焦半径公式如下:(为焦准距)(1)焦点在轴正半轴,抛物线上任意一点,则;(2)焦点在轴负半轴,抛物线上任意一点,则;(3)焦点在轴正半轴,抛物线上任意一点,则02p PF y =+;(4)焦点在轴负半轴,抛物线上任意一点,则02pPF y =-+.(2022·湖南衡阳·高二期末)1.抛物线21:4E y x =的焦点到其准线的距离为()A .18B .14C .2D .4(2022·北京平谷·高二期末)2.抛物线22y x =的焦点到其准线的距离是()A .1B .2C .3D .4(2022·北京·清华附中高二阶段练习)3.已知抛物线C :28y x =的焦点为F ,点P 在抛物线上,6PF =,则点P 的横坐标为()A .6B .5C .4D .2(2022·四川省资中县球溪高级中学高二阶段练习(文))4.抛物线21x y a=的准线方程是2y =,则实数a 的值()A .18-B .18C .8D .-8(2022·湖北·模拟预测)5.已知抛物线()220y px p =>,过其焦点F 的直线l 与其交与A 、B 两点,33AF BF ==,其准线方程为___________.题型一:抛物线的定义及其应用典型例题(2022·上海普陀·二模)6.已知点(2,2)M ,直线:10l x y --=,若动点P 到l 的距离等于PM ,则点P 的轨迹是()A .椭圆B .双曲线C .抛物线D .直线(2022·福建福州·高二期中)7.在平面直角坐标系xOy 中,动点(),P x y 到直线1x =的距离比它到定点()2,0-的距离小1,则P 的轨迹方程为()A .22y x =B .24y x =C .24y x=-D .28y x=-(2022·全国·高三专题练习)8.动点(),M x y 到y 轴的距离比它到定点()2,0的距离小2,求动点(),M x y 的轨迹方程.同类题型归类练(2022·山东·青岛二中高二阶段练习)9.已知动圆M 与直线y =2相切,且与定圆2231()C x y =:++外切,则动圆圆心M 的轨迹方程为()A .212x y =-B .212x y=C .212y x=D .212y x=-(2022·江苏·高二)10.与点()0,3F -和直线30y -=的距离相等的点的轨迹方程是______.(2022·全国·高三专题练习)11.已知动点(),M x y 2=+x ,则动点M 的轨迹方程为_____________.题型二:抛物线的标准方程典型例题(2022·云南曲靖·高二期末)12.过抛物线22(0)y px p =>的焦点F 的直线交抛物线于点A ,B ,交其准线于点C ,若2,3CB BF AF ==,则此抛物线方程为__________.(2022·全国·高二课时练习)13.求适合下列条件的抛物线的方程.(1)焦点为1,02F ⎛⎫- ⎪⎝⎭,准线方程为12x =;(2)顶点在原点,准线方程为=3y -;(3)顶点在原点,以y 轴为对称轴,过点()1,1M .同类题型归类练(2022·全国·高二课时练习)14.已知点M 到点()2,0A -的距离比点M 到直线3x =的距离小1,求点M 的轨迹方程.(2022·全国·高二课时练习)15.根据下列条件,求抛物线的标准方程、顶点坐标和焦点坐标.(1)准线方程为34x =;(2)准线方程为=2y -;(3)准线方程为2x =.题型三:抛物线的简单几何性质典型例题(2022·河南·驻马店市基础教学研究室高二期末(理))16.已知抛物线C :214y x =,则过抛物线C 的焦点,弦长为整数且不超过2022的直线的条数是()A .4037B .4044C .2019D .2022(2022·湖南永州·高二期末)17.已知抛物线2:4C x y =的焦点为F ,点P 为C 上任意一点,若点()1,3M ,下列结论正确的是()A .PF 的最小值为2B .抛物线C 关于x 轴对称C .过点M 与抛物线C 有一个公共点的直线有且只有一条D .点P 到点M 的距离与到焦点F 距离之和的最小值为4同类题型归类练(2022·全国·高三专题练习)18.点(5,3)M 到抛物线2y ax =的准线的距离为6,那么抛物线的标准方程是()A .2112x y =B .2112x y =或2136x y =-C .2136x y =-D .212x y =或236x y=-(2022·福建·厦门一中高二阶段练习)19.抛物线2x my =上一点()0,3M x -到焦点的距离为5,则实数m 的值为A .8-B .4-C .8D .4(2022·四川·阆中中学高二阶段练习(理))20.已知抛物线()2:20C y px p =>,以()2,0M -为圆心,半径为5的圆与抛物线C 交于,A B 两点,若8AB =,则p =()A .4B .8C .10D .16题型四:与抛物线有关的最值问题角度1:利用抛物线定义求最值典型例题(2022·新疆维吾尔自治区喀什第二中学高二期中(理))21.已知A ()4,2-,F 为抛物线28y x =的焦点,点M 在抛物线上移动,当MA MF +取最小值时,点M 的坐标为()A .()0,0B .(1,-C .()2,2-D .1,22⎛⎫- ⎪⎝⎭(2022·广西南宁·高二期末(理))22.已知抛物线2x my =焦点的坐标为(0,1)F ,P 为抛物线上的任意一点,(2,2)B ,则||||PB PF +的最小值为()A .3B .4C .5D .112同类题型归类练(2022·全国·高三专题练习)23.已知拋物线24y x =的焦点为F ,定点()2,1A ,设P 为拋物线上的动点,||||PA PF +的最小值为__________,此时点P 坐标为__________.(2022·陕西安康·高二期末(文))24.已知M 为抛物线24y x =上的动点,F 为抛物线的焦点,()3,1P ,则MP MF +的最小值为___________.(2022·全国·高三专题练习)25.已知点P 在抛物线24y x =上,点Q 在圆()2251x y -+=上,则PQ 长度的最小值为___________.(2022·重庆长寿·高二期末)26.已知P 为抛物线24y x =上任意一点,F 为抛物线的焦点,()4,2M 为平面内一定点,则PF PM +的最小值为__________.(2022·上海市青浦高级中学高二阶段练习)27.已知点P 是抛物线24y x =上的一个动点,则点P 到点(的距离与P 到y 轴的距离之和的最小值为___________.(2022·江苏·高二)28.如图所示,已知P 为抛物线()2:20C y px p =>上的一个动点,点()1,1Q ,F 为抛物线C 的焦点,若PF PQ +的最小值为3,则抛物线C 的标准方程为______.角度2:利用函数思想求最值典型例题(2022·四川泸州·高二期末(文))29.动点P 在抛物线24x y =上,则点P 到点()0,4C 的距离的最小值为()AB .CD .12(2022·辽宁·东北育才学校模拟预测)30.已知抛物线21:12C y x =,圆222:(3)1C x y -+=.若点P ,Q 分别在1C ,2C 上运动,且设点(4,0)M ,则||||PM PQ 的最小值为()A .2B .2C .12D (2022·全国·高三专题练习)31.已知抛物线()220y px p =>的焦点坐标为()1,0F ,则抛物线上的动点P 到点()3,0M p 的距离MP 的最小值为()A .2B .4C .D .同类题型归类练(2022·内蒙古·包钢一中一模(文))32.已知圆22:(3)4C x y -+=,点M 在抛物线2:4y x Γ=上运动,过点M 引直线1l ,2l 与圆C 相切,切点分别为P ,Q ,则||PQ 的最小值为()(2022·黑龙江大庆·三模(理))33.已知F 是抛物线22y x =的焦点,A 为抛物线上的动点,点()1,0B -,则当221AB AF +取最大值时,AB 的值为___________.(2022·全国·高二课时练习)34.若抛物线2:2(0)C y px p =>上一点(5,)t 到焦点的距离为6,P 、Q 分别为抛物线与圆22(6)1x y -+=上的动点,则PQ 的最小值为______.(2022·全国·高考真题(文))35.设F 为抛物线2:4C y x =的焦点,点A 在C 上,点(3,0)B ,若AF BF =,则AB =()A .2B .C .3D .(2021·天津·高考真题)36.已知双曲线22221(0,0)x y a b a b-=>>的右焦点与抛物线22(0)y px p =>的焦点重合,抛物线的准线交双曲线于A ,B 两点,交双曲线的渐近线于C 、D 两点,若|CD AB =.则双曲线的离心率为()A BC .2D .3(2021·全国·高考真题)37.抛物线22(0)y px p =>的焦点到直线1y x =+,则p =()A .1B .2C .D .4(2021·全国·高考真题)38.已知O 为坐标原点,抛物线C :22y px =(0p >)的焦点为F ,P 为C 上一点,PF 与x 轴垂直,Q 为x 轴上一点,且PQ OP ⊥,若6FQ =,则C 的准线方程为______.(2021·北京·高考真题)39.已知抛物线24y x =的焦点为F ,点M 在抛物线上,MN 垂直x 轴与于点N .若6MF =,则点M 的横坐标为_______;MNF 的面积为_______.参考答案:1.C【分析】将抛物线方程化为标准式,即可得到p ,再根据p 的几何意义得解;【详解】解:抛物线21:4E y x =,即24x y =,则24p =,所以2p =,所以抛物线的焦点到其准线的距离为2p =.故选:C 2.A【分析】求出抛物线的焦点坐标与准线方程,即可得解;【详解】解:抛物线22y x =的焦点为1,02F ⎛⎫⎪⎝⎭,准线方程为12x =-,所以焦点到准线的距离11122d ⎛⎫=--= ⎪⎝⎭;故选:A 3.C【分析】根据抛物线的标准方程,确定准线方程,根据抛物线的定义计算可得;【详解】解:设点P 的横坐标为0x ,抛物线28y x =的准线方程为2x =-,点P 在抛物线上,||6PF =,026x ∴+=,04x ∴=.故选:C .4.A【分析】根据准线方程列出方程,求出实数a 的值.【详解】由题意得:124a -=,解得:18a =-.故选:A 5.34x =-【分析】结合题意根据抛物线的定义和梯形中位线分析处理.【详解】设线段AB 中点为D ,则F 为线段BD 中点,过A 、B 、D 、F 分别向抛物线准线作垂线,垂足分别为'A 、B'、'D 、F','3AA =,'1BB =由梯形中位线得'2DD =,3'2FF =,∴准线方程为34x =-故答案为:34x =-.6.C【分析】由抛物线的定义求解即可.【详解】由抛物线的定义(平面内,到定点与定直线的距离相等的点的轨迹叫做抛物线)可知,点P 的轨迹是抛物线.故选:C 7.D【分析】根据抛物线的定义判断轨迹,再由抛物线焦点、准线得到方程即可.【详解】由题意知动点(),P x y 到直线2x =的距离与定点()2,0-的距离相等,由抛物线的定义知,P 的轨迹是以()2,0-为焦点,2x =为准线的抛物线,所以4p =,轨迹方程为28y x =-,故选:D8.()00y x =<或28y x =.【分析】由动点M 到y 轴的距离比它到定点()2,0的距离小2,利用抛物线的定义求解.【详解】解:∵动点M 到y 轴的距离比它到定点()2,0的距离小2,∴动点M 到定点()2,0的距离与它到定直线2x =-的距离相等.∴动点M 到轨迹是以()2,0为焦点,2x =-为准线的抛物线,且4p =.∴抛物线的方程为28y x =,又∵x 轴上点()0,0左侧的点到y 轴的距离比它到()2,0点的距离小2,∴M 点的轨迹方程为()00y x =<②.综上,得动点M 的轨迹方程为()00y x =<或28y x =.9.A【分析】根据动圆M 与直线y =2相切,且与定圆2231()C x y =:++外切,可得动点M 到C (0,-3)的距离与到直线y =3的距离相等,由抛物线的定义知,点M 的轨迹是抛物线,由此易得轨迹方程.【详解】设动圆圆心为M (x ,y ),半径为r ,由题意可得M 到C (0,-3)的距离与到直线y =3的距离相等,由抛物线的定义可知,动圆圆心的轨迹是以C (0,-3)为焦点,以y =3为准线的一条抛物线,所以3,2122p p ==,其方程为212.x y =-,故选:A10.212x y=-【分析】由抛物线的定义和方程,计算可得所求轨迹方程.【详解】解:由抛物线的定义可得平面内与点()0,3F -和直线30y -=的距离相等的点的轨迹为抛物线,且()0,3F -为焦点,直线3y =为准线,设抛物线的方程为22(0)x py p =->,可知32p =,解得6p =,所以该抛物线方程是212x y =-,故答案为:212x y=-11.28y x=M 到点()2,0F 的距离,2x +转化为动点M 到直线:l 2x =-的距离,再根据抛物线的定义,即可求出结果.【详解】设()2,0F ,直线:l 2x =-,则动点M 到点F M 到直线:l 2x =-,的距离为2x +2x =+,所以动点M 的轨迹是以()2,0F 为焦点,2x =-为准线的抛物线,其轨迹方程为28y x =.故答案为:28y x=12.23y x=【分析】作⊥AE 准线于E ,BD ⊥准线于D ,设BD a =,由抛物线定义得30BCD ∠= ,结合3AF =求得1a =,进而求出32p =,即可求得抛物线方程.【详解】如图,作⊥AE 准线于E ,BD ⊥准线于D ,设BD a =,由抛物线定义得BD BF a ==,22CB BF a ==,故30BCD ∠= ,在直角三角形ACE 中,因为3AE AF ==,33AC AF FC a =+=+,所以336a +=,从而得1a =,设准线与x 轴交于G ,则1322FG FC ==,所以32p =,因此抛物线方程为23y x =.故答案为:23y x =.13.(1)22y x=-(2)212x y=(3)2x y =【分析】(1)设所求抛物线的标准方程为()220y px p =->,求出p 的值,即可得解;(2)设所求抛物线的标准方程为()220x py p =>,求出p 的值,即可得解;(3)设所求抛物线的标准方程为2x ay =,将点M 的坐标代入抛物线的标准方程,求出a 的值,即可得解.【详解】(1)解:根据题意,可设所求抛物线的标准方程为()220y px p =->,则122p -=-,可得1p =,故所求抛物线的标准方程为22y x =-.(2)解:根据题意,可设所求抛物线的标准方程为()220x py p =>,则32p -=-,可得6p =,故所求抛物线的标准方程为212x y =.(3)解:根据题意,设所求抛物线的标准方程为2x ay =,则211a ⨯=,得1a =,故所求抛物线的标准方程为2x y =.14.28y x=-【分析】分析可知点M 的轨迹是以点A 为焦点,以直线2x =为准线的抛物线,可设该抛物线的方程为()220y px p =->,求出p 的值,即可得解.【详解】解:由题意可知,点M 到点()2,0A -的距离和点M 到直线2x =的距离相等,故点M 的轨迹是以点A 为焦点,以直线2x =为准线的抛物线,设点M 的轨迹方程为()220y px p =->,则22p -=-,解得4p =,故点M 的轨迹方程为28y x =-.15.(1)抛物线方程为23y x =-,顶点坐标为(0,0),焦点坐标为3,04⎛⎫- ⎪⎝⎭(2)抛物线方程为28x y =,顶点坐标为(0,0),焦点坐标为()0,2(3)抛物线方程为28y x =-,顶点坐标为(0,0),焦点坐标为()2,0-【分析】(1)由准线方程可设抛物线的方程为22y px =-,再根据准线方程求出p 即可,(2)由准线方程可设抛物线的方程为22x py =,再根据准线方程求出p 即可,(3)由准线方程可设抛物线的方程为22y px =-,再根据准线方程求出p 即可,(1)由题意设抛物线的方程为22y px =-,因为准线方程为34x =,所以324p =,得32p =,所以抛物线方程为23y x =-,顶点坐标为(0,0),焦点坐标为3,04⎛⎫- ⎪⎝⎭.(2)由题意设抛物线方程为22x py =,因为准线方程为=2y -,所以22p =,得4p =,所以抛物线方程为28x y =,顶点坐标为(0,0),焦点坐标为()0,2.(3)由题意设抛物线方程为22y px =-,因为准线方程为2x =,所以22p =,得4p =,所以抛物线方程为28y x =-,顶点坐标为(0,0),焦点坐标为()2,0-.16.A【分析】根据已知条件,结合抛物线的性质,先求出过焦点的最短弦长,再结合抛物线的对称性,即可求解.【详解】∵抛物线C :214y x =,即24x y =,由抛物线的性质可得,过抛物线焦点中,长度最短的为垂直于y 轴的那条弦,则过抛物线C 的焦点,长度最短的弦的长为414⨯=,由抛物线的对称性可得,弦长在5到2022之间的有共有201824036⨯=条,故弦长为整数且不超过2022的直线的条数是403614037+=.故选:A .17.CD【分析】设00(,)P x y ,求出PF 的长,由二次函数性质得最小值判断A ,由抛物线的对称性判断B ,由直线与抛物线的位置关系判断C ,结合抛物线的定义,把PF 转化为P 到准线的距离后可求得题中距离和的最小值判断D .【详解】设00(,)P x y ,则2004x y =,00≥y ,又抛物线的焦点为(0,1)F ,所以00111PF y y ===+=+≥,00y =时,等号成立.所以PF 的最小值是1,A 错;抛物线的焦点在y 轴上,抛物线关于y 轴对称,B 错;易知点M 在抛物线的内部(含有焦点的部分),因此过M 与对称轴平行的直线与抛物线只有一个公共点,其他直线与抛物线都有两个公共点,C 正确;记抛物线的准线为l ,准线方程为1y =-,过P 作PH l ⊥于H ,过M 作MN l ⊥于N ,则PF PH =,PM PF MP PH +=+,所以当,,M P H 三点共线,即H 与N 重合时,PM PF +最小,最小值为314+=.D 正确.故选:CD .18.D【解析】将2y ax =转化为21x y a=,分类讨论0a >和a<0两种情况,利用抛物线性质,列出关于a 的方程求解即可.【详解】将2y ax =转化为21x y a =,当0a >时,抛物线开口向上,准线方程14y a =-,点(5,3)M 到准线的距离为1364a+=,解得112a =,所以抛物线方程为2112y x =,即212x y =;当a<0时,抛物线开口向下,准线方程14y a =-,点(5,3)M 到准线的距离为1364a +=,解得136a =-或112a =(舍去),所以抛物线方程为2136y x =-,即236x y =-.所以抛物线的方程为212x y =或236x y=-故选:D【点睛】易错点睛:本题考查求抛物线的标准方程,解题时要注意,已知抛物线方程,求它的焦点坐标,准线方程等,一定要注意所给方程是不是标准形式,若不是,一定要先转化为标准形式,然后根据标准形式的类型,确定参数p 的值及抛物线的开口方向等,然后给出结论.19.A【分析】根据抛物线的定义及抛物线的几何性质即可求解.【详解】解:因为抛物线2x my =过点()0,3M x -,所以0m <,抛物线2x my =的焦点为0,4m F ⎛⎫ ⎪⎝⎭,由抛物线的定义可知0335224p p m MF y =+=+=-=,解得8m =-.故选:A.20.B【分析】由圆和抛物线的对称性及|AB |的长,可以得到点A ,B 的纵坐标,代入抛物线方程得到其横坐标关于p 的函数表达式,再代入圆的方程求得p 的值.【详解】以()2,0M -为圆心,半径为5的圆的方程为()22225x y ++=,由抛物线()2:20C y px p =>,得到抛物线关于x 轴对称,又∵上面的圆的圆心在x 轴上,∴圆的图形也关于x 轴对称,∴它们的交点A ,B 关于x 轴对称,因为|AB |=8,∴A ,B 点的纵坐标的绝对值都是4,∵它们在抛物线上,于是A 点的横坐标的值2482p p=,不妨设A 在x 轴上方,则A 点的坐标为8,4p ⎛⎫ ⎪⎝⎭,又∵A 在圆上,∴2282425p ⎛⎫++= ⎪⎝⎭,解得8p =,故选:B.【点睛】本题考查抛物线的方程和几何性质,涉及圆的方程和性质,关键是利用抛物线和圆的对称性,结合弦长求得A ,B 的纵坐标,进而得到其横坐标,代入圆的方程求得p 的值.21.D【分析】过M 点作准线l 的垂线,垂足为E ,由抛物线定义,知MF ME =,当M 在抛物线上移动时,当,,A M E 三点共线时,ME MA +最小,由此即可求出结果.【详解】如图所示,过M 点作准线l 的垂线,垂足为E ,由抛物线定义,知MF .ME =当M 在抛物线上移动时,ME MA +的值在变化,显然M 移动到M '时,,,A M E 三点共线,ME MA +最小,此时//AM Ox ',把=2y -代入28y x =,得12x =,所以当MA MF +取最小值时,点M 的坐标为1,22⎛⎫- ⎪⎝⎭.故选:D.22.A【分析】先根据焦点坐标求出m ,结合抛物线的定义可求答案.【详解】因为抛物线2x my =焦点的坐标为()0,1,所以14m =,解得4m =.记抛物线的准线为l ,作PN l ⊥于N ,作BA l ^于A ,则由抛物线的定义得||||||||||3PB PF PB PN BA +=+= ,当且仅当P 为BA 与抛物线的交点时,等号成立.故选:A.23.31,14⎛⎫ ⎪⎝⎭【分析】设点P 在准线上的射影为B ,由抛物线的定义把问题转化为求||||PA PB +的最小值,由图形推断出当H ,P ,A 三点共线时||||PA PB +最小,答案可得.【详解】过点P 作PB 垂直于准线,过A 作AH 垂直于准线,||||||||PA PF PA PB AH +=+ ,||||PA PF +取到最小值时,且为2(1)3--=;点P 与点A 的纵坐标相同,可设点P 为0(x ,1),则2014x =,解得014x =,所以点1(4P ,1).故答案为:3;1,14⎛⎫ ⎪⎝⎭24.4【分析】利用抛物线的定义求解.【详解】解:如图所示:设点M 在准线上的射影为D ,由抛物线的定义知MF MD =,∴要求MP MF +的最小值,即求MP MD +的最小值,当D ,M ,P 三点共线时,MP MD +最小,最小值为()314--=.故答案为:425.3【分析】根据抛物线和圆的对称性,结合圆的性质、两点间距离公式、配方法进行求解即可.【详解】因为抛物线和圆都关于横轴对称,所以不妨设(0)P m m ≥,设圆()2251x y -+=的圆心坐标为:(5,0)A ,半径为1,因此PA =3m =时,min 4PA ==,所以PQ 长度的最小值为413-=,故答案为:326.5【分析】利用抛物线的定义,将PF 转化为P 到准线的距离,再由三点共线求最小值.【详解】由题意,抛物线的准线为=1x -,焦点坐标为(1,0)F ,过点P 向准线作垂线,垂足为A ,则||||P M P M A P P F =++,当,,P M A 共线时,和最小;过点P 向准线作垂线,垂足为B ,则||||||5PA P M P P M F M B +=+≥=,所以最小值为5.故答案为:5.27.1【分析】由抛物线的定义可得11P PM x PM PF MF +=+-≥-,再求出||MF 的值即可.【详解】由抛物线24y x =可知其焦点为()1,0F ,由抛物线的定义可知1P PF x =+,故点P 到点(M 的距离与P 到y 轴的距离之和为1111P PM x PM PF MF +=+-≥-==,即点P 到点(的距离与P 到y 轴的距离之和的最小值为1.故答案为:1.28.28y x =【分析】根据定义将PF PQ +转化为点P 到点Q 和准线的距离之和,由最小值为3可得p ,然后可得抛物线标准方程.【详解】过点P 、Q 分别作准线的垂线,垂直分别为M 、N ,由抛物线定义可知PF PQ PM PQ NQ +=+≥,当P ,M ,Q 三点共线时等号成立所以132p NQ =+=,解得4p =所以抛物线C 的标准方程为28y x =.故答案为:28y x =29.B【分析】设出点P 坐标,用两点间距离公式表达出点P 到点()0,4C 的距离,配方后求出最小值.【详解】设2,4x P x ⎛⎫ ⎪⎝⎭,则()2222214812416x PC x x ⎛⎫=+-=-+ ⎪⎝⎭28x =时,PC 取得最小值,最小值为23故选:B30.A【分析】圆心2(3,0)C 是抛物线的焦点,设(,)P x y ,因此2||4PQ PC r x ≤+=+,这样有22(4)||||4x y PM PQ x -+,变形后利用基本不等式得最小值.【详解】易知2C 即为抛物线1C 的焦点,即2(3,0)C ,设(,)P x y ,∴2||4PQ PC r x ≤+=+∴||||4PM PQ x ≥+当0x >时,上式≥=4x =,即(4,P ±时,取得最小值2故选:A .31.C 【分析】根据题意得抛物线的标准方程为:24y x =,进而设()00,P x y ,得()220420MP x =-+,故MP ≥【详解】解:由题意,抛物线的标准方程为:24y x =,设抛物线上的动点P 的坐标为()00,P x y ,则:2004y x =由()6,0M ,所以()()22222000000612364420MP x y x x x x =-+=-++=-+由00x ≥,所以220MP MP ≥⇒≥即动点P 到点()3,0M p 的距离MP的最小值为故选:C32.C 【分析】利用切线性质,构造PQ 的长度关于CM 的函数关系,再求函数的最小值即可.【详解】圆C 的方程:22(3)4x y -+=,可知PC PM ⊥,CQ MQ ⊥,MC PQ ⊥,||2PC =,故四边形PCQM的面积112222PCMS S PC PM CM PQ ==⋅=⋅,2PC PMPQCM∴==当||CM取最小值时||PQ最小,设(,)M x y,则CM=当1x=时,||CM取最小值为||PQ∴的最小值为故选:C.33【分析】设(,)A x y,应用两点距离公式及抛物线定义得到||AB、||AF关于x的表达式,由2||2||1ABAF+应用基本不等式求最值,注意等号成立时的x值,即可求AB的值.【详解】设(,)A x y,则||AB==,而1||2AF x=+,所以22222||4121311112||121212122AB x x xxAF x x x xx⎛⎫++==++≤+⎪+++++⎝⎭++,当且仅当1x=时等号成立,所以2||2||1ABAF+取最大值时1x=,此时||AB==34.1##1-+【分析】根据抛物线定义有562p+=,即可求参数p,再将问题转化为求圆心(6,0)A到抛物线上点最小距离,结合两点距离公式及二次函数性质即可求PQ 的最小值.【详解】由题设及抛物线定义知:562p +=,可得2p =,故2:4C y x =,而22(6)1x y -+=的圆心为(6,0)A ,半径为1,所以PQ 最小,则,,A Q P 共线且||1PQ AP =-,故只需||AP 最小,令(,)P x y ,则||AP =,且0x ≥,当4x =时,min ||AP =PQ 的最小值为1-.故答案为:135.B【分析】根据抛物线上的点到焦点和准线的距离相等,从而求得点A 的横坐标,进而求得点A 坐标,即可得到答案.【详解】由题意得,()1,0F ,则2AF BF ==,即点A 到准线=1x -的距离为2,所以点A 的横坐标为121-+=,不妨设点A 在x 轴上方,代入得,()1,2A ,所以AB ==.故选:B 36.A【分析】设公共焦点为(),0c ,进而可得准线为x c =-,代入双曲线及渐近线方程,结合线段长度比值可得2212a c =,再由双曲线离心率公式即可得解.【详解】设双曲线22221(0,0)x y a b a b-=>>与抛物线22(0)y px p =>的公共焦点为(),0c ,则抛物线22(0)y px p =>的准线为x c =-,令x c =-,则22221c y a b -=,解得2b y a =±,所以22b AB a=,又因为双曲线的渐近线方程为b y x a =±,所以2bc CD a=,所以2bc a =c =,所以222212a c b c =-=,所以双曲线的离心率c e a==故选:A.37.B 【分析】首先确定抛物线的焦点坐标,然后结合点到直线距离公式可得p 的值.【详解】抛物线的焦点坐标为,02p ⎛⎫ ⎪⎝⎭,其到直线10x y -+=的距离:d ==解得:2p =(6p =-舍去).故选:B.38.32x =-【分析】先用坐标表示P Q ,,再根据向量垂直坐标表示列方程,解得p ,即得结果.【详解】抛物线C :22y px =(0p >)的焦点,02p F ⎛⎫ ⎪⎝⎭,∵P 为C 上一点,PF 与x 轴垂直,所以P 的横坐标为2p ,代入抛物线方程求得P 的纵坐标为p ±,不妨设(,)2p P p ,因为Q 为x 轴上一点,且PQ OP ⊥,所以Q 在F 的右侧,又||6FQ = ,(6,0),(6,)2p Q PQ p ∴+∴=-uu u r 因为PQ OP ⊥,所以PQ OP ⋅= 2602p p ⨯-=,0,3p p >∴=Q ,所以C 的准线方程为32x =-故答案为:32x =-.【点睛】利用向量数量积处理垂直关系是本题关键.39.5【分析】根据焦半径公式可求M 的横坐标,求出纵坐标后可求FMN S .【详解】因为抛物线的方程为24y x =,故2p =且()1,0F .因为6MF =,62M p x +=,解得5M x =,故M y =±,所以()1512FMN S =⨯-⨯ ,故答案为:5;。
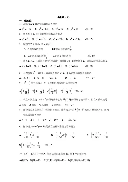
抛物线(A )一.选择题:1. 准线为x=2的抛物线的标准方程是A.24y x =- B. 28y x =- C. 24y x = D. 28y x = (答:B)2. 焦点是(-5,0)的抛物线的标准方程是A.25y x = B. 210y x =- C. 220y x =- D. 220x y =- (答:C)3. 抛物线F 是焦点,则p 表示A. F 到准线的距离B.F 到准线距离的14B. C. F 到准线距离的18D. F 到y 轴距离的 (答:B ) 4. 动点M (x,y )到点F(4,0)的距离比它到直线x+5=0的距离小1,则点M 的轨迹方程是 A.40x += B. 40x -= C. 28y x = D. 216y x = (答:D) 5. 若抛物线2(1)y a x =+的准线方程是x=-3,那么抛物线的焦点坐标是 A.(3,0) B.(2,0) C.1,0) D.(-1,0) (答:C ) 6. 24xy =点于直线0x y -=对称的抛物线的焦点坐标为 A 10,16⎛⎫ ⎪⎝⎭ B 10,16⎛⎫- ⎪⎝⎭ C 1,016⎛⎫ ⎪⎝⎭ D 1,016⎛⎫- ⎪⎝⎭(答:A )7. 动点P 到直线40x +=的距离减去它到()2,0M 的距离之差等于2,则点P 的轨迹是 A 直线 B 椭圆 C 双曲线 D 抛物线 (答:D )8. 抛物线的顶点在原点,焦点在y 轴上,抛物线上一点(),3P m -到焦点的距离为5,则抛物线的准线方程是A 4y =B 4y =-C 2y =D 2y =- (答:C ) 9. 抛物线()20y axa =<的焦点坐标和准线方程分别为A11,044x a a ⎛⎫= ⎪⎝⎭B11,044x a a ⎛⎫-=- ⎪⎝⎭C110,44y a a ⎛⎫=- ⎪⎝⎭D 110,44y a a⎛⎫-=- ⎪⎝⎭ (答:C ) 10. 在28y x =上有一点P ,它到焦点的距离是20,则P 点的坐标是 A ()8,12 B ()18,12- C ()18,12或()18,12- D ()12,18或()12,18-(答:C ) 11.物线210y x =的焦点到准线的距离是A.10B.5C.20D.52(答:B ) 12.抛物线28x y =-的焦点坐标是A.()4,0-B.()0,4-C.()2,0-D.()0,2- (答:D) 二.填空题:1. 2(0)y ax a =≠的焦点坐标是 答:(,0)4a2. 24y x =的焦点坐标是 准线方程是 (答:(0,116),116y =- 3. 顶点在原点,焦点为(0,-2)的抛物线的方程为 (答:28x y =-) 4. 抛物线22(0)y px p =>上一点M 到焦点的距离是()2pa a >,则点M 到准线的距离是 点M 的横坐标是 (答:,2p a a -) 5. 一条隧道的顶部是抛物拱形,拱高1.1米,跨度是2.2米,则拱形的抛物线方程是 (答:21.1x y =-)6. 抛物线22(0)y px p =>点()23-,到其焦点的距离是5,则p=_______ (答:4)7. 抛物线()()12,1812,18-24x y =上一点A 的纵坐标为4,则点A 与抛物线的焦点为_______(答:5) 三.解答题:1. 根据下列条件写出抛物线的标准方程(1) 焦点是F (3,0) (答:212y x =) (2) 准线方程是14x =-(答:2y x =) (3) 焦点到准线距离是2 (答:2x y =±24y x =±)2. 求顶点在原点,对称轴为坐标轴,过点(2,-8)的抛物线方程,并指出焦点和准线。
抛物线试题及答案初三抛物线试题及答案(初三)一、选择题1. 抛物线y=ax^2+bx+c(a≠0)的对称轴是直线x=-1,那么a+b+c的值是()A. 0B. 1C. 2D. -1答案:D解析:抛物线的对称轴为x=-1,根据对称轴公式x=-b/2a,可得-b/2a=-1,即b=2a。
又因为抛物线过原点,所以c=0。
将b和c 的值代入a+b+c,得到a+2a+0=3a。
由于a≠0,所以a+b+c=-1。
2. 抛物线y=-2x^2+4x+1的顶点坐标是()A. (1, 3)B. (2, 3)C. (1, 1)D. (2, 1)答案:B解析:抛物线的顶点坐标可以通过公式x=-b/2a求得,其中a=-2,b=4。
代入公式得到x=-4/(2*-2)=1。
将x=1代入抛物线方程求得y值,得到y=-2*1^2+4*1+1=3。
所以顶点坐标为(1, 3)。
3. 抛物线y=x^2-6x+9的开口方向是()A. 向上B. 向下C. 向左D. 向右答案:A解析:抛物线的开口方向由二次项系数a决定。
在这个例子中,a=1,因为a>0,所以抛物线开口向上。
二、填空题4. 抛物线y=x^2-4x+c的顶点坐标是()。
答案:(2, c-4)解析:抛物线的顶点坐标可以通过公式x=-b/2a求得,其中a=1,b=-4。
代入公式得到x=-(-4)/2*1=2。
将x=2代入抛物线方程求得y 值,得到y=2^2-4*2+c=c-4。
所以顶点坐标为(2, c-4)。
5. 抛物线y=2x^2-8x+5与x轴的交点坐标是()。
答案:(1, 0) 和 (5/2, 0)解析:抛物线与x轴的交点即为抛物线方程的根。
将y=0代入抛物线方程得到2x^2-8x+5=0。
解这个二次方程,得到x1=1和x2=5/2。
所以与x轴的交点坐标是(1, 0)和(5/2, 0)。
三、解答题6. 已知抛物线y=x^2-2x-3,求证抛物线与x轴有两个交点。
答案:证明:将y=0代入抛物线方程得到x^2-2x-3=0。
初三抛物线试题及答案一、选择题1. 抛物线y=ax^2+bx+c(a≠0)的对称轴是直线x=-b/2a,那么下列抛物线中,对称轴是直线x=1的是()。
A. y=x^2-2x+1B. y=x^2+2x+1C. y=-x^2+2x+1D. y=-x^2-2x+1答案:B解析:对于抛物线y=ax^2+bx+c,其对称轴为x=-b/2a。
将x=1代入,得到-b/2a=1,解得b=-2a。
因此,只有选项B满足条件。
2. 抛物线y=ax^2+bx+c(a≠0)与x轴有两个交点,那么下列说法正确的是()。
A. b^2-4ac>0B. b^2-4ac=0C. b^2-4ac<0D. b^2-4ac≥0答案:A解析:抛物线与x轴有两个交点,说明方程ax^2+bx+c=0有两个不相等的实根。
根据判别式的性质,当b^2-4ac>0时,方程有两个不相等的实根。
因此,选项A正确。
二、填空题3. 已知抛物线y=x^2-4x+c与x轴有一个交点,求c的值。
答案:c=4解析:抛物线与x轴有一个交点,说明方程x^2-4x+c=0有两个相等的实根。
根据判别式的性质,当b^2-4ac=0时,方程有两个相等的实根。
将方程x^2-4x+c=0的系数代入,得到(-4)^2-4c=0,解得c=4。
4. 已知抛物线y=-2x^2+4x+m与y轴交于点(0,3),求m的值。
答案:m=3解析:将点(0,3)代入抛物线方程y=-2x^2+4x+m,得到3=-2(0)^2+4(0)+m,解得m=3。
三、解答题5. 已知抛物线y=-x^2+2x+3,求抛物线与x轴的交点坐标。
答案:交点坐标为(-1,0)和(3,0)。
解析:令y=0,得到方程-x^2+2x+3=0。
解这个二次方程,得到x=-1和x=3。
因此,抛物线与x轴的交点坐标为(-1,0)和(3,0)。
6. 已知抛物线y=x^2-6x+8,求抛物线的顶点坐标。
答案:顶点坐标为(3,-1)。
专题09 特殊与一般——二次函数与二次方程阅读与思考二次函数的一般形式是()02≠++=a c bx ax y ,从这个式子中可以看出,二次函数的解析式实际上是关于x 的二次三项式,若令y =0,则得02=++c bx ax这是一个关于x 的一元二次方程,因此,二次函数与一元二次方程有着密切的联系,表现为: 1.当0>∆时,方程有两个不相等实数根,抛物线与x 轴有两个不同的交点,设为A (1x ,0),B (2x ,0),其中1x ,2x 是方程两相异实根,aacb AB 42-=;2.当0=∆时,方程有两个相等实数根,抛物线与x 轴只有一个交点;3.当0<∆时,方程没有实数根,抛物线与x 轴没有交点.由于二次函数与二次方程有着深刻的内在联系,所以,善于促成二次函数问题与二次方程问题相互转化,是解相关问题的常用技巧.例题与求解【例1】(1)抛物线c bx ax y ++=2与x 轴交于A ,B 两点,与y 轴交于点C ,若ABC ∆是直角三角形,则ac = .(全国初中数学联赛试题)(2)为使方程b x x +=+-311322有四个不同的实数根,则实数b 的取值范围为 . 解题思路:对于(1),ABC ∆为直角三角形,则A ,B 两点在原点的两旁,运用根与系数关系及射影定理解题,对于(2),作出函数图象,借助图象解题.【例2】设一元二次方程0622=-++k kx x 的根分别满足下列条件:①两根均大于1;②一根大于1,另一根小于1;③两根均大于1且小于4.试求实数k 的取值范围.解题思路:因为根的表达式复杂,故应把原问题转化为二次函数问题来解决,作出函数图象,借助图象找制约条件.【例3】如果抛物线()1122++-+-=m x m x y 与x 轴交于A ,B 两点,且A 点在x 轴的正半轴上,B 点在x 轴的负半轴上,OA 的长是a ,OB 的长是b , (1)求m 的取值范围;(2)若1:3:=b a ,求m 的值,并写出此时抛物线的解析式; (3)设(2)的抛物线与y 轴交于点C ,抛物线的顶点是M ,问:抛物线是否存在一点P ,使得PAB ∆面积等于BCM ∆的面积的8倍?若存在,求出P 点坐标,若不存在,请说明理由.(南京市中考试题)解题思路:由题设条件得相应二次方程两实根的符号特征,两实根的关系,这是解本例的突破口.【例4】 设p 是实数,二次函数p px x y --=22的图像与x 轴有2个不同的交点A ()0,1x ,B ()0,2x . (1)求证:032221>++p x px ;(2)若A ,B 两点之间距离不超过32-p ,求p 的最大值.(全国初中数学联赛试题)解题思路:根据题意,方程022=--p px x 有两个不同的实数根1x ,2x ,于是0>∆,综合运用判别式、根与系数关系、根的方程、不等式来解.【例5】是否存在这样的实数k ,使得二次方程()()023122=+--+k x k x 有两个实数根,且两根都在2与4之间?如果有,试确定k 的取值范围;如果没有,试述理由.(“祖冲之杯”邀请赛试题)解题思路:由于根的表示形式复杂,因此,应把原问题转化为二次函数问题来讨论,即讨论相应二次函数交点在2与4之间,k 应满足的条件,借助函数图象解题.【例6】设m ,n 为正整数,且2≠m .如果对一切实数t ,二次函数()mt x mt x y 332--+=的图象与x 轴的两个交点间的距离不小于n t +2,求m ,n 的值.(全国初中数学联赛试题)解题思路:由()0332=--+mt x mt x ,得mt x x =-=21,3,由条件得n t mt +≥+23,因此不等式对任意实数t 都成立,故将问题转化为判别式结合正整数求解.能力训练A 级1.已知二次函数2242m mx x y +-=的图象与x 轴有两个交点A ,B ,顶点为C ,若△ABC 的面积为24,则m = .2.把抛物线()213--=x y 向上平移k 个单位,所得抛物线与x 轴相交于点A (1x ,0)和B (2x ,0),已知9262221=+x x ,那么平移后的抛物线的解析式为 . (杭州市中考试题) 3.抛物线()02≠++=a c bx ax y 的图象如图所示.(1)判断abc 及ac b 42-的符号:abc 0 ,ac b 42- 0; .(2)当OB OA =时,c b a ,,满足的关系式为________________ .4.已知二次函数c bx ax y ++=2的图象过(-1,0)和(0,-1)两点,则a 的取值范围为 . (黑龙江省中考试题)5.若关于x 的方程0322=+-m x x 的一个根大于-2,且小于-1,另一个根大于2且小于3,则m 的取值范围是( )A. 89<m B.8914<<-m C. 59<<-m D. 214-<<-m (天津市竞赛试题) 6.设函数()()5412+-+-=m x m x y 的图象如图所示,它与x 轴交于A ,B 两点,且线段OA 与OB 的长的比为1:4,则m 的值为( )A. 8B.-4C. 11D. -4 或117.已知二次函数c bx ax y ++=2与x 轴相交于两点A (1x ,0),B (2x ,0),其顶点坐标为P⎪⎪⎭⎫ ⎝⎛--44,22b c b ,AB=21x x -,若1=∆APB S ,则b 与c 的关系是( ) A. 0142=+-c b B. 0142=--c bC. 0442=+-c bD. 0442=--c b(福州市中考试题)8.设关于x 的方程()0922=+++a x a ax 有两个不等的实数根1x ,2x ,且1x <1<2x ,那么a的取值范围是( )A. 5272<<-a B. 52>a C. 72-<a D. 0112<<-a(全国初中数学竞赛试题)第4题图第3题图第6题图9.已知二次函数()()628222+++-=m x m x y .(1)求证:不论m 取任何实数,此函数的图象都与x 轴有两个交点,且两个交点都在x 轴的正半轴上;(2)设这个函数的图象与x 轴交于B ,C 两点,与y 轴交于A 点,若△ABC 的面积为48,求m 的值. (徐州市中考试题)10.已知抛物线m mx x y 223212--=交x 轴于A (1x ,0),B (2x ,0),交轴于C 点,且1x <0<2x ,()1122+=+CO BO AO(1)求抛物线的解析式;(2)在x 轴的下方是否存在着抛物线上的点P ,使∠APB 为锐角?若存在,求出P 点的横坐标的范围;若不存在,请说明理由.(武汉市中考试题)11.已知抛物线m m mx x y -++=2218381与x 轴交于A (1x ,0),B (2x ,0) (1x <2x )两点,与y 轴交于点C (0,b ),O 为原点.(1)求m 的取值范围.(2)若81>m ,且OC OB OA 3=+,求抛物线的解析式及A ,B ,C 的坐标; (3)在(2)情形下,点P ,Q 分别从A ,O 两点同时出发(如图)以相同的速度沿AB ,OC 向B ,C 运动,连接PQ 与BC 交于M ,设AP =k ,问:是否存在k 值,使以P ,B ,M 为顶点的三角形与△ABC 相似?若存在,求所有k 值;若不存在,请说明理由.(黄冈市中考试题)12.某商品的进价为每件40元,售价为每件50元,每个月可卖出210件;如果每件商品的售价每上涨1元,则每个月少卖10件(每件售价不能高于65元),设每件商品的售价上涨x 元(x 为正整数),每个月的销售利润为y 元.(1)求y 与x 的函数关系式并直接写出自变量x 的取值范围;(2)每件商品的售价定为多少元时,每个月可获得最大利润?最大的月利润是多少元?(3)每件商品的售价定为多少元时,每个月的利润恰为2200元?根据以上的结论,请你直接写出售价在什么范围时,每个月的利润不低于2200元?(武汉市中考试题)B 级1.已知抛物线722-++=m mx x y 与x 轴的两个交点在(1,0)两旁,则m 的取值范围为 ____________.2.设抛物线()452122++++=a x a x y 的图象与x 轴只有一个交点,则618323-+a a 的值为 ____________.(全国初中数学联赛试题)3.设m 是整数,且方程0232=-+mx x 的两根都大于59-而小于73,则m = .(全国初中数学联赛试题)4.已知抛物线12++=kx x y 与x 轴的正方向相交于A ,B 两点,顶点为C ,△ABC 为等腰直角三角形,则k = .5.如图,已知抛物线q px x y ++=2与x 轴交于A ,B 两点,交y 轴负半轴于C 点,∠ACB =90°,且OCOB OA 211=-,则△ABC 的外接圆的面积为 .yxCBAO6.已知抛物线12-++=k kx x y ,(1)求证:无论k 为何实数,抛物线经过x 轴上的一定点;(2)设抛物线与y 轴交于C 点,与x 轴交于A (1x ,0),B (2x ,0),两点,且满足:1x <2x ,21x x <,6=∆ABC S .问:过A ,B ,C 三点的圆与该抛物线是否有第四个交点?试说明理由,如果有,求出其坐标.(武汉市中考试题)7.已知抛物线q px x y ++=2上有一点()00,y x M 位于x 轴下方.(1)求证:已知抛物线必与x 轴有两个交点A (1x ,0),B (2x ,0),其中1x <2x ; (2)求证:1x <0x <2x ;(3)当点M 为(1,-2)时,求整数1x ,2x . (《学习报》公开赛试题)8.随着绿城南宁近几年城市建设的快速发展,对花木的需求量逐年提高,某园林专业户计划投资种植花卉及树木,根据市场调查与预测,种植树木的利润y 1与投资量x 成正比例的关系,如图1所示;种植花卉的利润y 2与投资量x 成二次函数关系,如图2所示(注:利润与投资量的单位:万元)(1)分别求出利润y 1与y 2关于投资量x 的函数关系式;(2)如果这位专业户以8万元资金投入种植花卉和树木,他至少获得多少利润?他能获得的最大利润是多少?(南宁市中考试题)图2图19.已知以x 为自变量的二次函数23842---=n nx x y ,该二次函数图象与x 轴两个交点的横坐标的差的平方等于关于x 的方程()0)45)(1(2672=++++-n n x n x 的一整数根,求n 的值.(绍兴市竞赛试题)10.如图,在直角坐标系中,点A 的坐标为(-2,0),连结OA ,将线段OA 绕原点O 顺时针旋转120°,得到线段OB .(1)求点B 的坐标;(2)求经过A ,O ,B 三点的抛物线的解析式;(3)在(2)中抛物线的对称轴上是否存在点C ,使△BOC 周长最小?若存在,求点出C 的坐标;若不存在,请说明理由;(4)如果点P 是(2)中的抛物线上的动点,且在x 轴的下方,那么△P AB 是否有最大面积?若有,求出此时P 点的坐标及△P AB 的最大面积;若没有,请说明理由.(深圳市中考试题)11.如图1,抛物线32++=bx ax y 经过两点A (-3,0),B (-1,0)两点. (1)求抛物线的解析式;(2)设抛物线的顶点为M ,直线92+-=x y 与y 轴交于点C ,与直线OM 交于点D ,现将抛物线平移,保持顶点在直线OD 上,若平移的抛物线与射线CD (含端点C )只有一个公共点,求它的顶点横坐标的值或取值范围;(3)如图2,将抛物线平移,当顶点至原点时,过Q (0,3)作不平行于x 轴的直线交抛物线于E ,F 两点,问在y 轴的负半轴上是否存在点P ,使得△PEF 的内心在y 轴上?若存在,求出点P 的坐标;若不存在,请说明理由.(武汉市中考试题)12.已知二次函数c bx x y -+=2的图象经过两点P (1,a ),Q (2,10a ) (1)如果a ,b ,c 都是整数,且a b c 8<<,求a ,b ,c 的值;(2)设二次函数c bx x y -+=2的图象与x 轴的交点为A ,B ,与y 轴的交点为C ,如果关于x 的方程02=-+c bx x 的两个根都是整数,求△ABC 的面积.(全国初中数学联赛试题)图2图1专题09特殊与一般 ——二次函数与二次方程例1(1)-1 提示:BO AO OC•=2,即.212ac x x c == (2)令,31,132221b x y x x y +=+-=当01=y 时,01322=+-x x ,∴23±=x∴()().0,23,0,23+-Q P①若直线1l 过P 点,此时两图象有三个交点,再向上移将有四个交点,∴0=(),2331b +-则;363--=b ②若直线2l 与抛物线PQ 部分相切,恰有三个交点, ∴⎪⎩⎪⎨⎧+=+-=,31,132221b x y x x y 整理得 (),014335,0133522=+-⎪⎪⎭⎫ ⎝⎛-=∆=++-b b x x 则.1213336,1213<<-∴=b b 例2(1)如图1,设()()()⎪⎪⎩⎪⎪⎨⎧>⨯->≥--=∆-++==,1122,01,0644,6222kf k k k kx x x f y ∴.37-≤<-k(2)如图2,(),01<f 则.7-<k(3)如图3,()()⎪⎪⎩⎪⎪⎨⎧<-<>>>∆,4221,04,010kf f ,则.3722-≤<-k322++-=x x y ,1=S点存在,P 点的坐标是:(1,4),(221±,一4). 例4提示:.,2,04421212p x x p x x p p -==+>+=∆(1)原式=()().0444232222121>+=++=+++p p p x x p p p px px(2)()3244422122112-≤+=-+=-=p p p x x x x x x AB 两边平方,解得169≤p . 169=p 符合题意,故p 的最大值为169. 例5这样的k 值不存在,理由如下:设()()()23122+--+==k x k x x f y 并作出如图所示的图象,则()()()()()()()()⎪⎪⎩⎪⎪⎨⎧<+-=-<>+--+=>+--+=≥++-=∆.42122,023124164,023122420234122k a b k k f k k f k k ,这个不等式组无解. 例6 由,23n t mt +≥+得()(),2322n t mt +≥+即()().09464222≥-+-+-n t n m t m 由题意知,,042≠-m 且上式对一切实数t 恒成立,故()()()⎩⎨⎧≤----=∆>-,094446042222n m n m m 即()⎩⎨⎧≤->,064,22mn m 得⎩⎨⎧==2,3n m 或⎩⎨⎧==.1,6n m A 级1.2± 2.35632-+-=x x y 提示:设平移后的抛物线的解析式为().132k x y +--= 3.(1)< > (2)ac -b +1=0 4.0<a <1 提示:当x =1时,y <0. 5. C 提示:设(),322m x x x f +-=,由已知画出y = f (x )的大致图象,知()(),01,02<->-f f ()(),03,02><f f 联立解得.59-<<-m 6.C 7.D 8.D 提示:,09212=+⎪⎭⎫ ⎝⎛++x a x 记,9212+⎪⎭⎫ ⎝⎛++=x a x y 则这个抛物线开口向上,由题意得x =1时, y <0. 9. (1)证明略 (2)2±=m 10.(1)m =1,223212--=x x y (2) 存在这样的P 点,其横坐标为0x ,使∠APB 为锐角.提示:A (一1,0),B (4,0),C (0,一2). ,222AB BC AC =+△ABC 为直角三角形,过A ,B ,C 三点作⊙1O ,则AB 为⊙1O 的直径,C 点关于直线23=x 的对称点M 是⊙1O 与抛物线的另一交点,M (3,-2),.300<<x 11.(1)181>m (2)()()().4,0,0,4,0,8.423812C B A x x y --++= (3)当PQ ∥AC 时,则,QO CO PO AP =即,48k k k k -=-解得;38=k 当PQ ∥AC 时,∠CAB =∠PMB 时,同理可求得,2=k 故存在k 符合题目条件,38=k 或2时,所得三角形与△ABC 相似.12.(1)()()2100110104050102102++-=-+-=x x x x y (150≤<x 且x 为整数)(2)()∴<-=+--=,010.5.24025.5102a x y 当x =5.5时,y 有最大值2402.5.∵150≤<x 且x 为整数,当x =5时,50+x =55,y =2400(元);当x =6时,50+x =56,y =2400(元).∴当售价定为每件55元或56元,每个月的利润最大,最大的月利润是 2 400元.(3)当y =2 200时,,2200210011010-2=++x x 解得∴==.10,121x x 当x =1时,50+x =51;当x =10时,50+x =60.∴当售价定为每件51元或60元,每个月的利润恰为2 200元; 当售价不低于51元且不高于60元且为整数时,每个月的利润不低于2200元(或当售价分别为51,52,53,54,55,56,57,58,59,60元时,每个月的利润不低于2200元).1.m <2 提示:f (1)<0.2. 5 796 提示:a 2-a -1=0,a 4=(a +1)2=3a +2,a 8 =(3a +2)2 =21a +13,a 16=(21a +13)2 =987a +610,a 18=(987a + 610)(a +1)=987a 2+1597a +610=2584a +1597,a -6=1a 4•a 2=18a +5.3. 4 提示:由题意得3×(-95)2+m (-95)-2>0,3×(37)2+m (37)-2>0,-95<-m 6<37.解得3821<m <41345. 4.-2 25. 2π 提示:设A (x 1,0),B (x 2,0),OA =―x 1,OB =x 2,得⎩⎪⎨⎪⎧-q =q 2-p q 2=2|q | ,解得⎩⎨⎧q =-1p =-2.y =x 2-2x -1,AB =|x 2―x 1|=2 2.6.(1)抛物线恒过x 轴上一定点(-1,0). (2)过A ,B ,C 三点的圆与抛物线有第四个交点D .∵|x 1|<| x 2|,C 点在y 轴上,C 不是抛物线顶点,x 1=-1,x 2>1,即x 2=1-k >1,得k <0,由S △ABC =6得k =-2,∴y =x 2-2x -3,其对称轴为x =1,根据对称性,D 点坐标(2,-3)., 7.(1)由y 0=x 02+Px 0+q =(x 0+p 2)2-p 2-4q 4,得p 2-4q =4 (x 0+p 2)2-4 y 0≥―4y 0>0. (2)将p =-(x 1+x 2),q =x 1•x 2,代入y 0=x 02+Px 0+q <0,得x 02-(x 1+x 2)x 0+x 1x 2<0,即(x 0-x 1)(x 0-x 2)<0.证得x 1<x 0<x 2. (3)⎩⎨⎧x 1=0x 2=3或⎩⎨⎧x 1=-1x 2=2. 8.(1)y 1=2x ,y 2=12x 2.(2)设种植树木的资金投入为x 万元,那么种植花卉的资金投入为(8―x )万元,两项投入所获得的总利润为y 万元,依题意,得y =y 1+y 2=2x +12(8-x )2=12x 2-6x +32=12(x -6)2+14.∴当x =6时,y 最小=14.因此,这位专业户至少获利14万元,∵0≤x ≤8,抛物线的对称轴为x =6,当0≤x <6时,y 随x 的增大而减小,所以x =0时,y 最大=32;当6≤x ≤8时,y 值随x 的增大而增大,所以x =8时,y 最大=16.综上可知,这位专业户能获取的最大利润是32万元。
初三抛物线经典例题讲解抛物线,听起来就像是某种高大上的东西,对吧?但其实你一学就明白,嘿!它其实就像你打篮球时投篮的轨迹,或者是你丢石子水里的涟漪那样,都是抛物线的一部分。
今天就来聊聊初三那经典的抛物线题目,你会发现,它其实没你想象的那么复杂,甚至比你想象的要有趣得多。
你别看它一开始那么让人头疼,真正理解了之后,你会发现抛物线其实就像是解谜一样,让人上瘾。
好了,咱们直接开始,带你深入了解抛物线的世界。
你们学过数学,应该知道有个公式叫做y = ax² + bx + c吧?这个公式就是抛物线的“身份证”。
说白了,只要你能看懂这个公式,你就能搞定抛物线题目了。
那它到底是啥意思呢?嗯,简单来说,抛物线就是一个图形,它有个尖尖的底部,像是个倒过来的“U”字。
至于a、b、c,它们分别控制着抛物线的开口方向、宽度以及位置。
你可以想象它们就是调皮的小精灵,想怎么跳就怎么跳,随便控制抛物线的各种“表情”。
抛物线的题目会问到它的顶点在哪。
这个问题听起来有点吓人,但其实它并不难。
顶点就是抛物线的最高点或者最低点,具体看开口朝上还是朝下。
别担心,你只需要用公式顶点的坐标公式,就能轻松算出来。
公式是:x = b/2a。
嘿!记住了这个公式,计算起来就像是吃饭一样简单。
找到了x之后,代入原方程就能得到y坐标,完事儿!题目还会问抛物线与x轴的交点在哪?这个就稍微麻烦点,得用到求解二次方程。
不过别怕,求根公式就是你最好的朋友,能帮你轻松搞定。
再说说抛物线与实际生活的关系吧。
你有没有在夏天的时候,看到某个人把水泼出去,看它划出一条优美的弧线?对了!那就是抛物线的真实写照。
投篮也是一样,篮球离开手的瞬间,飞行的轨迹也是抛物线。
很多体育动作,比如羽毛球、跳远、甚至你跳水时,你的身体轨迹都可以用抛物线来描述。
所以说,抛物线并不是只有数学题里才有,它活跃在你我生活的方方面面。
嘿,说到这里,你是不是也对这个数学小家伙感兴趣了?不过说实话,有些同学学抛物线的时候,常常会觉得头大,弄不清楚它究竟是啥。
初中奥数培优系列讲座第十讲 抛物线一般地说来,我们称函数c bx ax y ++=2 (a 、b 、c 为常数,0≠a )为x 的二次函数,其图象为一条抛物线,与抛物线相关的知识有:1.a 、b 、c 的符号决定抛物线的大致位置;2.抛物线关于ab x 2-=对称,抛物线开口方向、开口大小仅与a 相关,抛物线在顶点(ab 2-,a b ac 442-)处取得最值; 3.抛物线的解析式有下列三种形式:①一般式:c bx ax y ++=2;②顶点式:k h x a y +-=2)(;③交点式:))((21x x x x a y --=,这里1x 、2x 是方程02=++c bx ax 的两个实根.确定抛物线的解析式一般要两个或三个独立条件,灵活地选用不同方法求出抛物线的解析式是解与抛物线相关问题的关键.注:对称是一种数学美,它展示出整体的和谐与平衡之美,抛物线是轴对称图形,解题中应积极捕捉、创造对称关系,以便从整体上把握问题,由抛物线捕捉对称信息的方式有:(1)从抛物线上两点的纵坐标相等获得对称信息;(2)从抛物线的对称轴方程与抛物线被x 轴所截得的弦长获得对称信息.【例题求解】【例1】 二次函数c bx x y ++=2的图象如图所示,则函数值0<y 时,对应x 的取值范围是 .思路点拨 由图象知抛物线顶点坐标为(一1,一4),可求出b ,c 值,先求出0=y 时,对应x 的值.【例2】 已知抛物线c bx x y ++=2(a <0)经过点(一1,0),且满足024>++c b a .以下结论:①0>+b a ;②0>+c a ;③0>++-c b a ;④2252a ac b >-.其中正确的个数有( )A .1个B .2个C .3个D .4个思路点拨 由条件大致确定抛物线的位置,进而判定a 、b 、c 的符号;由特殊点的坐标得等式或不等式;运用根的判别式、根与系数的关系.【例3】 如图,有一块铁皮,拱形边缘呈抛物线状,MN =4分米,抛物线顶点处到边MN 的距离是4分米,要在铁皮上截下一矩形ABCD ,使矩形顶点B 、C 落在边MN 上,A 、D 落在抛物线上,问这样截下的矩形铁皮的周长能否等于8分米?思路点拨 恰当建立直角坐标系,易得出M 、N 及抛物线顶点坐标,从而求出抛物线的解析式,设A(x ,y ),建立含x 的方程,矩形铁皮的周长能否等于8分米,取决于求出x 的值是否在已求得的抛物线解析式中自变量的取值范围内.注: 把一个生产、生活中的实际问题转化,成数学问题,需要观察分析、建模,建立直角坐标系下的函数模型是解决实际问题的常用方法,同一问题有不同的建模方式,通过分析比较可获得简解.【例4】 二次函数223212-++-=m x x y 的图象与x 轴交于A 、两点(点A 在点B 左边),与y 轴交于C 点,且∠ACB =90°.(1)求这个二次函数的解析式;(2)设计两种方案:作一条与y 轴不重合,与△A BC 两边相交的直线,使截得的三角形与△ABC 相似,并且面积为△BOC 面积的41,写出所截得的三角形三个顶点的坐标(注:设计的方案不必证明).思路点拨 (1)A 、B 、C 三点坐标可用m 的代数式表示,利用相似三角形性质建立含m 的方程;(2)通过特殊点,构造相似三角形基本图形,确定设计方案.注: 解函数与几何结合的综合题,善于求点的坐标,进而求出函数解析式是解题的基础;而充分发挥形的因素,数形互助,把证明与计算相结合是解题的关键.【例5】 已知函数1)1(2)2(22+--+=x a x a y ,其中自变量x 为正整数,a 也是正整数,求x 何值时,函数值最小.思路点拨 将函数解析式通过变形得配方式,其对称轴为23)2(212++-=+-=a a a a x ,因1230≤+<a ,12122-≤+-<-a a a a ,故函数的最小值只可能在x 取2-a ,2-a ,212+-a a 时达到.所以,解决本例的关键在于分类讨论.学历训练1.如图,若抛物线2ax y =与四条直线1=x 、2=x 、1=y 、2=y 所围成的正方形有公共点,则a 的取值范围是 .2.抛物线c bx ax y ++=2与x 轴的正半轴交于A ,B 两点,与y 轴交于C 点,且线段AB 的长为1,△ABC 的面积为1,则b 的值为 .3.如图,抛物线的对称轴是直线1=x ,它与x 轴交于A 、B 两点,与y 轴交于点C ,点A 、C 的坐标分别为(-l ,0)、(0,23),则(1)抛物线对应的函数解析式为 ;(2)若点P 为此抛物线上位于x 轴上方的一个动点,则△ABP 面积的最大值为 .4.已知二次函数c bx ax y ++=2的图象如图所示,且OA =OC ,则由抛物线的特征写出如下含有a 、b 、c 三个字母的式子①1442-=-ab ac ,②01=++b ac ,③0>abc ,④0>+-c b a ,>0,其中正确结论的序号是 (把你认为正确的都填上).5.已知1-<a ,点(1-a ,1y ),(a ,2y ),(1+a ,3y )都在函数2x y =的图象上,则( )A .321y y y <<B .231y y y <<C .123y y y <<D .312y y y <<6.把抛物线c bx x y ++=2的图象向右平移3个单位,再向下平移2个单位,所得图象的解析式为532+-=x x y ,则有( )A .3=b ,7=cB .9-=b ,15-=cC .3=b ,c =3D .9-=b ,21=c7.二次函数c bx ax y ++=2的图象如图所示,则点(b a +,ac )所在的直角坐标系是( )A .第一象限B .第二象限C .第三象限D .第四象限8.周长是4m 的矩形,它的面积S(m 2)与一边长x (m)的函数图象大致是( )9.阅读下面的文字后,回答问题:“已知:二次函数c bx ax y ++=2的图象经过点A(0,a ),B(1,-2) ,求证:这个二次函数图象的对称轴是直线2=x .题目中的横线部分是一段被墨水污染了无法辨认的文字.(1)根据现有的信息,你能否求出题目中二次函数的解析式?若能,写出求解过程;若不能,说明理由.(2)请你根据已有信息,在原题中的横线上,填加一个适当的条件,把原题补充完整.10.如图,一位运动员在距篮下4米处跳起投篮,球运行的路线是抛物线,当球运行的水平距离为2.5米时,达到最大高度3.5米,然后准确落入篮圈.已知篮圈中心到地面的距离为3.05米.(1)建立如图所示的直角坐标系,求抛物线的解析式;(2)该运动员身高1. 8米,在这次跳投中,球在头顶上方0.25米处出手,问:球出手时,他跳离地面的高度是多少?11.如图,抛物线和直线k kx y 4-= (0<k )与x 轴、y 轴都相交于A 、B 两点,已知抛物线的对称轴1-=x 与x 轴相交于C 点,且∠ABC =90°,求抛物线的解析式.12.抛物线c bx ax y ++=2与x 轴交于A 、B 两点,与y 轴交于点C ,若△ABC 是直角三角形,则=ac .13.如图,已知直线32+-=x y 与抛物线2x y =相交于A 、B 两点,O 为坐标原点,那么△OAB 的面积等于 .14.已知二次函数c bx ax y ++=2,一次函数4)1(2k x k y --=.若它们的图象对于任意的实数是都只有一个公共点,则二次函数的解析式为 .15.如图,抛物线c bx ax y ++=2与两坐标轴的交点分别是A ,B ,E ,且△ABE 是等腰直角三角形,AE =BE ,则下列关系式中不能总成立的是( )A .b=0B .S △ADC =c 2 C .ac =一1D .a+c =016.由于被墨水污染,一道数学题仅能见到如下文字:已知二次函数c bx x y ++=2的图象过点(1,0)…求证:这个二次函数的图象关于直线2=x 对称.根据现有信息,题中的二次函数不具有的性质是( )A .过点(3,0)B .顶点是(2,一2)C .在x 轴上截得的线段长为2D .与y 轴的交点是(0,3)17.已知A(x 1,2002),B(x 2,2002)是二次函数52++=bx ax y (0≠a )的图象上两21x x x += 时,二次函数的值是( )A .522+a bB .542+-ab C . 2002 D .518.某种产品的年产量不超过1000吨,该产品的年产量(单位:吨)与费用(单位:万元)之间函数的图象是顶点在原点的抛物线的一部分(如图1所示);该产品的年销售量(单位:吨)与销售单价(单位:万元/吨)之间函数的图象是线段(如图2所示).若生产出的产品都能在当年销售完,问年产量是多少吨时,所获毛利润最大?(毛利润=销售额一费用).19.如图,已知二次函数222-=x y 的图象与x 轴交于A 、B 两点(点A 在点B 的左边),与y 轴交于点C ,直线:x =m(m>1)与x 轴交于点D .(1)求A 、B 、C 三点的坐标;(2)在直线x =m (m>1)上有一点P (点P 在第一象限),使得以P 、D 、B 为顶点的三角形与以B 、C 、O 为顶点的三角形相似,求P 点坐标(用含m 的代数式表示);(3)在(2)成立的条件下,试问:抛物线222-=x y 上是否存在一点Q ,使得四边形ABPQ 为平行四边形?如果存在这样的点Q ,请求出m 的值;如果不存在,请简要说明理由.20.已知二次函数22--=x x y 及实数2->a ,求(1)函数在一2<x ≤a 的最小值;(2)函数在a ≤x ≤a+2的最小值.21.如图,在直角坐标:x O y 中,二次函数图象的顶点坐标为C(4,3-),且在x 轴上截得的线段AB 的长为6.(1)求二次函数的解析式;(2)在y 轴上求作一点P (不写作法)使PA+PC 最小,并求P 点坐标;(3)在x 轴的上方的抛物线上,是否存在点Q ,使得以Q 、A 、B 三点为顶点的三角形与△ABC 相似?如果存在,求出Q 点的坐标;如果不存在,请说明理由.22.某校研究性学习小组在研究有关二次函数及其图象性质的问题时,发现了两个重要结论.一是发现抛物线y=ax 2+2x+3(a≠0),当实数a 变化时,它的顶点都在某条直线上;二是发现当实数a 变化时,若把抛物线y=ax 2+2x+3的顶点的横坐标减少a 1,纵坐标增加,得到A 点的坐标;若把顶点的横坐标增加a 1,纵坐标增加a1,得到B 点的坐标,则A 、B 两点一定仍在抛物线y=ax 2+2x+3上.(1)请你协助探求出当实数a 变化时,抛物线y=ax 2+2x+3的顶点..所在直线的解析式; (2)问题(1)中的直线上有一个点不是该抛物线的顶点,你能找出它来吗?并说明理由;(3)在他们第二个发现的启发下,运用“一般——特殊—一般”的思想,你还能发现什么?你能用数学语言将你的猜想表述出来吗?你的猜想能成立吗?若能成立请说明理由.参考答案。
一般地说来,我们称函数c bx ax y ++=2 (a 、b 、c 为常数,0≠a )为x 的二次函数,其图象为一条抛物线,与抛物线相关的知识有:1.a 、b 、c 的符号决定抛物线的大致位置;2.抛物线关于a b x 2-=对称,抛物线开口方向、开口大小仅与a 相关,抛物线在顶点(ab 2-,a b ac 442-)处取得最值; 3.抛物线的解析式有下列三种形式:①一般式:c bx ax y ++=2;②顶点式:k h x a y +-=2)(;③交点式:))((21x x x x a y --=,这里1x 、2x 是方程02=++c bx ax 的两个实根.确定抛物线的解析式一般要两个或三个独立条件,灵活地选用不同方法求出抛物线的解析式是解与抛物线相关问题的关键.注:对称是一种数学美,它展示出整体的和谐与平衡之美,抛物线是轴对称图形,解题中应积极捕捉、创造对称关系,以便从整体上把握问题,由抛物线捕捉对称信息的方式有:(1)从抛物线上两点的纵坐标相等获得对称信息;(2)从抛物线的对称轴方程与抛物线被x 轴所截得的弦长获得对称信息.【例题求解】【例1】 二次函数c bx x y ++=2的图象如图所示,则函数值0<y 时,对应x 的取值范围是 . 思路点拨 由图象知抛物线顶点坐标为(一1,一4),可求出b ,c 值,先求出0=y 时,对应x 的值.【例2】 已知抛物线c bx x y ++=2(a <0)经过点(一1,0),且满足024>++c b a .以下结论:①0>+b a ;②0>+c a ;③0>++-c b a ;④2252a ac b >-.其中正确的个数有( )A .1个B .2个C .3个D .4个思路点拨 由条件大致确定抛物线的位置,进而判定a 、b 、c 的符号;由特殊点的坐标得等式或不等式;运用根的判别式、根与系数的关系.【例3】 如图,有一块铁皮,拱形边缘呈抛物线状,MN =4分米,抛物线顶点处到边MN 的距离是4分米,要在铁皮上截下一矩形ABCD ,使矩形顶点B 、C 落在边MN 上,A 、D 落在抛物线上,问这样截下的矩形铁皮的周长能否等于8分米?思路点拨 恰当建立直角坐标系,易得出M 、N 及抛物线顶点坐标,从而求出抛物线的解析式,设A(x ,y ),建立含x 的方程,矩形铁皮的周长能否等于8分米,取决于求出x 的值是否在已求得的抛物线解析式中自变量的取值范围内.注: 把一个生产、生活中的实际问题转化,成数学问题,需要观察分析、建模,建立直角坐标系下的函数模型是解决实际问题的常用方法,同一问题有不同的建模方式,通过分析比较可获得简解.【例4】 二次函数223212-++-=m x x y 的图象与x 轴交于A 、两点(点A 在点B 左边),与y 轴交于C 点,且∠ACB =90°.(1)求这个二次函数的解析式;(2)设计两种方案:作一条与y 轴不重合,与△A BC 两边相交的直线,使截得的三角形与△ABC 相似,并且面积为△BOC 面积的41,写出所截得的三角形三个顶点的坐标(注:设计的方案不必证明).思路点拨 (1)A 、B 、C 三点坐标可用m 的代数式表示,利用相似三角形性质建立含m 的方程;(2)通过特殊点,构造相似三角形基本图形,确定设计方案.注: 解函数与几何结合的综合题,善于求点的坐标,进而求出函数解析式是解题的基础;而充分发挥形的因素,数形互助,把证明与计算相结合是解题的关键.【例5】 已知函数1)1(2)2(22+--+=x a x a y ,其中自变量x 为正整数,a 也是正整数,求x 何值时,函数值最小.思路点拨 将函数解析式通过变形得配方式,其对称轴为23)2(212++-=+-=a a a a x ,因1230≤+<a ,12122-≤+-<-a a a a ,故函数的最小值只可能在x 取2-a ,2-a ,212+-a a 时达到.所以,解决本例的关键在于分类讨论.学历训练1.如图,若抛物线2ax y =与四条直线1=x 、2=x 、1=y 、2=y 所围成的正方形有公共点,则a 的取值范围是 .2.抛物线c bx ax y ++=2与x 轴的正半轴交于A ,B 两点,与y 轴交于C 点,且线段A B 的长为1,△ABC 的面积为1,则b 的值为 .3.如图,抛物线的对称轴是直线1=x ,它与x 轴交于A 、B 两点,与y 轴交于点C ,点A 、C 的坐标分别为(-l ,0)、(0,23),则(1)抛物线对应的函数解析式为 ;(2)若点P 为此抛物线上位于x 轴上方的一个动点,则△ABP 面积的最大值为 .4.已知二次函数c bx ax y ++=2的图象如图所示,且OA =OC ,则由抛物线的特征写出如下含有a 、b 、c 三个字母的式子①1442-=-ab ac ,②01=++b ac ,③0>abc ,④0>+-c b a ,>0,其中正确结论的序号是 (把你认为正确的都填上).5.已知1-<a ,点(1-a ,1y ),(a ,2y ),(1+a ,3y )都在函数2x y =的图象上,则( )A .321y y y <<B .231y y y <<C .123y y y <<D .312y y y <<6.把抛物线c bx x y ++=2的图象向右平移3个单位,再向下平移2个单位,所得图象的解析式为532+-=x x y ,则有( )A .3=b ,7=cB .9-=b ,15-=cC .3=b ,c =3D .9-=b ,21=c7.二次函数c bx ax y ++=2的图象如图所示,则点(b a +,ac )所在的直角坐标系是( )A .第一象限B .第二象限C .第三象限D .第四象限8.周长是4m 的矩形,它的面积S(m 2)与一边长x (m)的函数图象大致是( )9.阅读下面的文字后,回答问题:“已知:二次函数c bx ax y ++=2的图象经过点A(0,a ),B(1,-2) ,求证:这个二次函数图象的对称轴是直线2=x .题目中的横线部分是一段被墨水污染了无法辨认的文字.(1)根据现有的信息,你能否求出题目中二次函数的解析式?若能,写出求解过程;若不能,说明理由.(2)请你根据已有信息,在原题中的横线上,填加一个适当的条件,把原题补充完整.10.如图,一位运动员在距篮下4米处跳起投篮,球运行的路线是抛物线,当球运行的水平距离为2.5米时,达到最大高度3.5米,然后准确落入篮圈.已知篮圈中心到地面的距离为3.05米.(1)建立如图所示的直角坐标系,求抛物线的解析式;(2)该运动员身高1. 8米,在这次跳投中,球在头顶上方0.25米处出手,问:球出手时,他跳离地面的高度是多少?11.如图,抛物线和直线k kx y 4-= (0<k )与x 轴、y 轴都相交于A 、B 两点,已知抛物线的对称轴1-=x 与x 轴相交于C 点,且∠ABC =90°,求抛物线的解析式.12.抛物线c bx ax y ++=2与x 轴交于A 、B 两点,与y 轴交于点C ,若△ABC 是直角三角形,则=ac .13.如图,已知直线32+-=x y 与抛物线2x y =相交于A 、B 两点,O 为坐标原点,那么△OAB 的面积等于 .14.已知二次函数c bx ax y ++=2,一次函数4)1(2k x k y --=.若它们的图象对于任意的实数是都只有一个公共点,则二次函数的解析式为 .15.如图,抛物线c bx ax y ++=2与两坐标轴的交点分别是A ,B ,E ,且△ABE 是等腰直角三角形,AE =BE ,则下列关系式中不能总成立的是( )A .b=0B .S △ADC =c 2C .ac =一1D .a+c =016.由于被墨水污染,一道数学题仅能见到如下文字:已知二次函数c bx x y ++=2的图象过点(1,0)…求证:这个二次函数的图象关于直线2=x 对称.根据现有信息,题中的二次函数不具有的性质是( )A .过点(3,0)B .顶点是(2,一2)C .在x 轴上截得的线段长为2D .与y 轴的交点是(0,3)17.已知A(x 1,2002),B(x 2,2002)是二次函数52++=bx ax y (0≠a )的图象上两21x x x += 时,二次函数的值是( )A .522+a bB .542+-ab C . 2002 D .518.某种产品的年产量不超过1000吨,该产品的年产量(单位:吨)与费用(单位:万元)之间函数的图象是顶点在原点的抛物线的一部分(如图1所示);该产品的年销售量(单位:吨)与销售单价(单位:万元/吨)之间函数的图象是线段(如图2所示).若生产出的产品都能在当年销售完,问年产量是多少吨时,所获毛利润最大?(毛利润=销售额一费用).19.如图,已知二次函数222-=x y 的图象与x 轴交于A 、B 两点(点A 在点B 的左边),与y 轴交于点C ,直线:x =m(m>1)与x 轴交于点D .(1)求A 、B 、C 三点的坐标;(2)在直线x =m (m>1)上有一点P (点P 在第一象限),使得以P 、D 、B 为顶点的三角形与以B 、C 、O 为顶点的三角形相似,求P 点坐标(用含m 的代数式表示);(3)在(2)成立的条件下,试问:抛物线222-=x y 上是否存在一点Q ,使得四边形ABPQ 为平行四边形?如果存在这样的点Q ,请求出m 的值;如果不存在,请简要说明理由.20.已知二次函数22--=x x y 及实数2->a ,求(1)函数在一2<x ≤a 的最小值;(2)函数在a ≤x ≤a+2的最小值.21.如图,在直角坐标:x O y 中,二次函数图象的顶点坐标为C(4,3-),且在x 轴上截得的线段AB 的长为6.(1)求二次函数的解析式;(2)在y 轴上求作一点P (不写作法)使PA+PC 最小,并求P 点坐标;(3)在x 轴的上方的抛物线上,是否存在点Q ,使得以Q 、A 、B 三点为顶点的三角形与△ABC 相似?如果存在,求出Q 点的坐标;如果不存在,请说明理由.22.某校研究性学习小组在研究有关二次函数及其图象性质的问题时,发现了两个重要结论.一是发现抛物线y=ax 2+2x+3(a≠0),当实数a 变化时,它的顶点都在某条直线上;二是发现当实数a 变化时,若把抛物线y=ax 2+2x+3的顶点的横坐标减少a 1,纵坐标增加,得到A 点的坐标;若把顶点的横坐标增加a 1,纵坐标增加a1,得到B 点的坐标,则A 、B 两点一定仍在抛物线y=ax 2+2x+3上. (1)请你协助探求出当实数a 变化时,抛物线y=ax 2+2x+3的顶点..所在直线的解析式; (2)问题(1)中的直线上有一个点不是该抛物线的顶点,你能找出它来吗?并说明理由;(3)在他们第二个发现的启发下,运用“一般——特殊—一般”的思想,你还能发现什么?你能用数学语言将你的猜想表述出来吗?你的猜想能成立吗?若能成立请说明理由.参考答案。