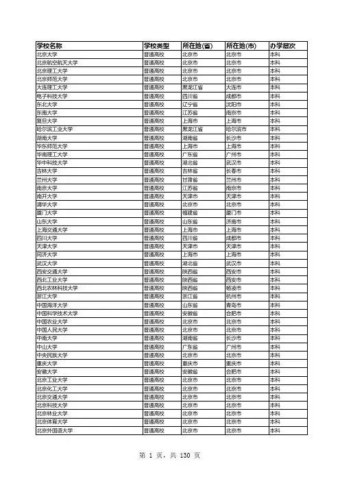
教育部最新公布:全国各类高等学校名单大全(含所有类型高校_共2921所_截至2013年6月21日)
- 格式:xls
- 大小:362.50 KB
- 文档页数:14
全国高校分类汇总国防科工委院校(工业和信息化部直属高等学校名单)军事院校名单公安院校名单“985”工程大学名单“211”工程大学名单独立学院名单民办院校名单一、国防科委院校的历史简介国防科工委院校是规模仅次于教育部直属院校的另一个大学集团。
1952年,中共中央指定北京工业学院(北京理工大学)、哈尔滨工业大学、北京航空学院(北京航空航天大学)、上海交通大学四所大学为国防院校。
国防院校后来又改名为国防科委院校,从1963年起,我国共有八所国防科委院校:哈尔滨工业大学(船舶& 综和)、北京理工大学(导弹& 坦克)、北京航空航天大学(飞机& 导弹)、上海交通大学(船舶&火车)、西北工业大学(飞机&导弹& 船舶)、成都电讯工程学院(电子)、南京航空航天大学(飞机)、太原机械学院(兵器--现在的中北大学)。
六十年代中期,国防科委院校在上述八大院校的基础上又增加了哈军工、西军电、南炮工。
七十年代国防科委院校解散,哈工大、上海交大及哈船工(原哈军工的海军系)分到船舶部。
北航、西工大、南航分到航空部。
北理工、南京理工大学(即南炮工)分到兵器部。
电子科大(成都电讯)、西安电子科大(西军电)被分到电子部。
随后,哈工大转到航天部;上海交大转到教育部;电子科大、西安电子科大转到信息产业部。
哈军工的主体改名为国防科技大学,1989年归总参领导。
1996年,恢复国防科工委院校。
只有七所:哈工大、北理工、北航、西工大、南理工、南航、哈船工。
该七所国防科工委院校全是211工程大学;其中哈工大、北理工、北航、西工大是首批15所进入211工程的大学,而且也是排在靠前位置的985工程大学。
二、国防院校十分重要的地位1、50年代四所国防院校全部纳入国家重点扶植的10所大学(清华、北大、复旦、西交大、中科大、哈军工、哈工大、北理工、北航、上海交大)。
2、1959年中共中央指定16所重点大学,国防院校就占了4所(哈工大、北理工、北航、上海交大)。
(按学校标识码排序)序号北京市(23所)1234567891011121314151617181920212223天津市(14所)242526272829303334353637河北省(6所)383940414243山西省(11所)4445464748495051525354内蒙古自治区(2所)5556辽宁省(20所)5758596061656667686970717273747576吉林省(14所)7778798081828384858687888990黑龙江省(21所)919293949599100101102103104105106107108109110111上海市(14所)112113114115116117118119120121122123124125江苏省(8所)126127128129133浙江省(9所)134135136137138139140141142安徽省(6所)143144145146147148福建省(3所)149150151江西省(8所)152153154155156157158159山东省(11所)160164165166167168169170河南省(11所)171172173174175176177178179180181湖北省(14所)182183184185186187188189190191192193194湖南省(12所)196197198199200201202203204205206207广东省(14所)208209210211212213214215216217218219220221广西壮族自治区(6所)222223224225226227重庆市(4所)229230231232四川省(17所)233234235236237238239240241242243244245246247248249贵州省(3所)250251252云南省(2所)253254陕西省(15所)255256257260261262263264265266267268269甘肃省(5所)270271272273274青海省(2所)275276宁夏回族自治区(1所)277新疆维吾尔自治区(6所)278279280281282283全国成人高等学校名单(按学校标识码排序)学校名称学校标识码北京市海淀区职工大学4211050001北京市东城区职工业余大学4211050002北京市崇文区职工大学4211050004北京宣武红旗业余大学4211050005北京市石景山区业余大学4211050006北京市朝阳区职工大学4211050007北京医药集团职工大学4211050018北京市总工会职工大学4211050025中央党校继续教育学院4211050038中国记协职工新闻学院4211050043中南海业余大学4211050044北京教育学院4211050061北京开放大学4211051160国家开放大学(中央广播电视大学)4211051161民航管理干部学院4211051167北京市丰台区职工大学4211051624北京市西城经济科学大学4211051626北京市农工商联合总公司职工大学4211051630公安部管理干部学院4211051643国家法官学院4211051651华北电业联合职工大学4211051800首都联合职工大学4211051837国家检察官学院4211051898天津市和平区新华职工大学4212050063天津市河西区职工大学4212050064天津市河东区职工大学4212050065天津市红桥区职工大学4212050066天津市南开区职工大学4212050068天津市建筑工程职工大学4212050070天津市职工经济技术大学4212050073天津市渤海化工职工学院4212050095天津市管理干部学院4212050121天津市广播电视大学4212051171天津物资管理干部学院4212051172天津市政法管理干部学院4212051175天津市工会管理干部学院4212051176天津市房地产局职工大学4212051659河北地质职工大学4213050139河北省广播电视大学4213051177石家庄职工大学4213051180海关管理干部学院4231051332河北管理干部学院4213051723河北青年管理干部学院4213051802太原化学工业集团有限公司职工大学4214050162山西机电职工学院4214050163太原钢铁(集团)有限公司职工钢铁学院4214050164山西职工医学院4214050166山西煤炭职工联合大学4214050167山西兵器工业职工大学4214050169山西省职工工艺美术学院4214050175山西省吕梁市教育学院4214050197山西省广播电视大学4214051187山西省政法管理干部学院4214051787长治市教育学院4214051788包头市职工大学4215050204内蒙古自治区广播电视大学4215051192辽宁兵器工业职工大学4221051087辽宁省直属机关职工大学4221051097大连工人大学4221051110空军第四职工大学4221051117海军职工大学4221051118大连职工大学4221051120抚顺矿务局职工工学院4221051125抚顺石油化工公司职工大学4221051126阜新矿务局职工大学4221051138朝阳职工工学院4221051143大连市教育学院4221051149辽宁广播电视大学4221051196阜新煤炭职工医学专科学校4221051227辽宁文化艺术职工大学4221051694辽宁冶金职工大学4221051695辽宁公安司法管理干部学院4221051842沈阳机械工业职工大学4221051843鞍山钢铁集团公司职工大学4221051845沈阳市广播电视大学4221051848大连市广播电视大学4221051849长春职工大学4222050226长春市建筑职工业余大学4222050229长春职工医科大学4222050232吉林市职工大学4222050234吉林化学工业公司职工大学4222050236通化市职工大学4222050242通化钢铁公司职工大学4222050243四平农村成人高等专科学校4222050249吉林省教育学院4222050252长春教育学院4222050253吉林广播电视大学4222051230吉林省经济管理干部学院4222051243吉林职工医科大学4222051704长春广播电视大学4222051887黑龙江兵器工业职工大学4223050264哈尔滨航空职工大学4223050266哈尔滨轻型车厂职工大学4223050268哈尔滨市职工大学4223050269黑龙江省电力职工大学4223050293齐齐哈尔市建设职工大学4223050306齐齐哈尔市职工大学4223050311鹤岗矿务局职工大学4223050327大庆石油化工总厂职工大学4223050330黑龙江农垦管理干部学院4223050337黑龙江省经济管理干部学院4223050335黑龙江省政法管理干部学院4223050343黑龙江省教育学院4223050344绥化市教育学院4223050349牡丹江市教育学院4223050350佳木斯市教育学院4223050351黑龙江省广播电视大学4223051244黑龙江省商业职工大学4223051744黑龙江省社会科学院职工大学4223051745哈尔滨市职工医学院4223051746哈尔滨市广播电视大学4223051876上海科技管理干部学院4231050033上海市黄浦区业余大学4231050363上海市徐汇区业余大学4231050366上海市长宁区业余大学4231050367上海市静安区业余大学4231050368上海市普陀区业余大学4231050369上海市虹口区业余大学4231050371上海市杨浦区业余大学4231050372上海纺织工业职工大学4231050393上海医药职工大学4231050424上海开放大学4231051252上海市经济管理干部学院4231051613上海青年管理干部学院4231051615上海市宝山区业余大学4231051852南京市职工大学4232050460空军第一职工大学4232050461南通市工人业余大学4232050504扬州教育学院4232050526江苏开放大学4232051255江苏省省级机关管理干部学院4232051257南京市广播电视大学4232051396江苏省青年管理干部学院4232051828浙江省省级机关职工业余大学4233050550杭州市工人业余大学4233050551温州市工人业余大学4233050554宁波教育学院4233050559金华教育学院4233050561浙江省广播电视大学4233051258浙江经济管理职工大学4233051259浙江嘉兴教育学院4233051814宁波市广播电视大学4233051885淮南市职工大学4234050565合肥职工科技大学4234050569合肥市职工大学4234050570安徽经济管理干部学院4234050581宿州教育学院4234051265安徽广播电视大学4234051388福建教育学院4235050591福建省广播电视大学4235051270厦门市广播电视大学4235051833江西行政管理干部学院4236050151昌河职工工学院4236050603南昌钢铁有限责任公司职工大学4236050607南昌市业余大学4236050616南昌市职工科技大学4236050617江西广播电视大学4236051281南昌教育学院4236051283江西经济管理干部学院4236051285山东省水利职工大学4237050626山东兵器工业职工大学4237050638新汶矿务局职工大学4237050641济南市职工大学4237050644山东省经济管理干部学院4237050649山东省聊城教育学院4237050661山东省济宁教育学院4237050663山东省广播电视大学4237051286兖州矿区职工大学4237051777山东财政职工大学4237051779青岛市广播电视大学4237051858长城铝业公司职工工学院4241050673郑州市职工大学4241050674第一拖拉机制造厂拖拉机学院4241050680洛阳轴承职工大学4241050682洛阳有色金属职工大学4241050686开封空分设备厂职工大学4241050688平顶山教育学院4241050709河南省广播电视大学4241051287焦作职工医学院4241051408磨料磨具工业职工大学4241051411驻马店教育学院4241051413武汉市广播电视大学4242050046湖北兵器工业职工大学4242050717湖北省纺织职工大学4242050733鄂城钢铁厂职工大学4242050738丹江口工程管理局职工大学4242050740湖北省直属机关业余大学4242050742湖北省经济管理干部学院4242050756十堰教育学院4242050762荆州教育学院4242050763大冶钢厂职工大学4242051297湖北广播电视大学4242051305武汉冶金管理干部学院4242051773湖北武汉公安管理干部学院4242051774华中电业联合职工大学4242051862涟源钢铁总厂职工大学4243050774株洲市职工大学4243050788湖南航空工业职工工学院4243050793中钢集团衡阳重机职工大学4243050794衡阳工业职工大学4243050798长沙教育学院4243050810湘潭教育学院4243050812湖南省广播电视大学4243051306益阳教育学院4243051310湖南金融技术职工大学4243051766湖南纺织职工大学4243051767长沙工业职工大学4243050784广州金桥管理干部学院4244050075南海成人学院4244050079湛江市业余大学4244050821广东省国防工业职工大学4244050826汕头市业余大学4244050835韶关市职工大学4244050837广州市公安管理干部学院4244050855广东省公安司法管理干部学院4244050859广东开放大学4244051315广东新华教育学院4244051317广东省职工体育运动技术学院4244051319广东社会科学大学4244051320广州市广播电视大学4244051393深圳广播电视大学4244051888桂林市职工大学4245050867广西壮族自治区经济管理干部学院4245050869广西教育学院4245050870广西壮族自治区广播电视大学4245051338广西政法管理干部学院4245051340南宁地区教育学院4245051675海南广播电视大学4246051865重庆电力职工大学4250050901重庆冶金成人学院4250050905重庆职工会计专科学校4250051759重庆市广播电视大学4250051866四川科技职工大学4251050081四川省东方动力职工大学4251050875中国工程物理研究院职工工学院4251050879四川核工业职工大学4251050881成都飞机工业公司职工工学院4251050883国营涪江机器厂职工大学4251050885成都冶金职工大学4251050907第五冶金建设公司职工大学4251050908成都工业职工大学4251050913四川省化工职工大学4251050919中国科学院成都分院职工大学4251050928广元职工医学院4251050930南充市职工大学4251050932四川广播电视大学4251051341四川省职工运动技术学院4251051351成都市职工大学4251051758成都广播电视大学4251051886贵州铝厂职工大学4252050962贵州机械工业职工大学4252050965贵州广播电视大学4252051352云南开放大学4253051357南方电力职工大学4253051361陕西航天职工大学4261050083西安航空职工大学4261050989西安飞机工业公司职工工学院4261050990陕西兵器工业职工大学4261051001西北电业职工大学4261051002西安铁路工程职工大学4261051006西安电力机械制造公司机电学院4261051009陕西省建筑工程总公司职工大学4261051010西安市职工大学4261051017宝鸡市职工大学4261051018西安外贸职工大学4261051020陕西省宝鸡教育学院4261051027陕西省广播电视大学4261051370陕西工运学院4261051373西安市广播电视大学4261051871兰州航空工业职工大学4262051038兰州铁路工程职工大学4262051039甘肃核工业职工大学4262051040银光化学材料厂职工大学4262051042甘肃广播电视大学4262051374青海省联合职工大学4263051049青海省广播电视大学4263051382宁夏回族自治区广播电视大学4264051383新疆生产建设兵团广播电视大学4265051210新疆维吾尔自治区广播电视大学4265051387喀什教育学院4265051594新疆生产建设兵团教育学院4265051595和田地区教育学院4265051599阿克苏教育学院4265051717主管部门备注北京市北京市北京市北京市北京市北京市北京市北京市中共中央党校中华全国新闻工作者协会中共中央办公厅北京市北京市教育部交通运输部北京市北京市北京市公安部最高人民法院北京市北京市最高人民检察院天津市天津市天津市天津市天津市天津市天津市天津市天津市天津市天津市天津市天津市天津市河北省河北省河北省海关总署河北省河北省山西省山西省山西省山西省山西省山西省山西省山西省山西省山西省山西省内蒙古自治区内蒙古自治区辽宁省辽宁省辽宁省空军装备部海军装备部辽宁省辽宁省辽宁省辽宁省辽宁省辽宁省辽宁省辽宁省辽宁省辽宁省辽宁省辽宁省辽宁省辽宁省辽宁省吉林省吉林省吉林省吉林省吉林省吉林省吉林省吉林省吉林省吉林省吉林省吉林省吉林省吉林省黑龙江省黑龙江省黑龙江省黑龙江省黑龙江省黑龙江省黑龙江省黑龙江省黑龙江省黑龙江省黑龙江省黑龙江省黑龙江省黑龙江省黑龙江省黑龙江省黑龙江省黑龙江省黑龙江省黑龙江省上海市上海市上海市上海市上海市上海市上海市上海市上海市上海市上海市上海市上海市上海市江苏省空军装备部江苏省江苏省江苏省浙江省浙江省浙江省浙江省浙江省浙江省浙江省浙江省浙江省安徽省安徽省安徽省安徽省安徽省安徽省福建省福建省福建省江西省江西省江西省江西省江西省江西省江西省江西省山东省山东省山东省山东省山东省山东省山东省山东省河南省河南省河南省河南省河南省河南省河南省河南省河南省河南省河南省湖北省湖北省湖北省湖北省湖北省湖北省湖北省湖北省湖北省湖北省湖北省湖北省湖北省湖南省湖南省湖南省湖南省湖南省湖南省湖南省湖南省湖南省湖南省湖南省广东省广东省广东省广东省广东省广东省广东省广东省广东省广东省教育厅民办广东省广东省广东省广东省广西壮族自治区广西壮族自治区广西壮族自治区广西壮族自治区广西壮族自治区广西壮族自治区重庆市重庆市重庆市重庆市四川省四川省四川省四川省四川省四川省四川省四川省四川省四川省中国科学院四川省四川省四川省四川省四川省四川省贵州省贵州省贵州省云南省云南省陕西省陕西省陕西省陕西省陕西省陕西省陕西省陕西省陕西省陕西省陕西省陕西省陕西省甘肃省甘肃省甘肃省甘肃省甘肃省青海省青海省宁夏回族自治区新疆生产建设兵团新疆维吾尔自治区新疆维吾尔自治区新疆生产建设兵团新疆维吾尔自治区新疆生产建设兵团。
2023年全国高等学校共有多少所2023年全国高等学校共有多少所截至2023年6月15日,全国高等学校共计3072所,其中:普通高等学校2820所,含本科院校1275所、高职(专科)院校1545所;成人高等学校252所。
本名单未包含港澳台地区高等学校。
高校是什么意思高校指的是高等学校的简称,中国实施高等教育的学校,不包括高中;高等学校是大学、专门学院、高等职业技术学院、高等专科学校的统称,简称高校。
从学历和培养层次上讲,包括专科、本科、硕士研究生、博士研究生。
其中大学一般指综合型高等院校,专门学院包括了医科大学、戏曲学院、音乐学院、美术学院,高职高专院校包括职业技术学院、高等专科学校等。
大学是如何划分的1、根据主管部门划分大部分“双一流”大学都是由教育部直属,这可能是绝大多数家长和考生主要考虑的学校;其他中央部委也有自己的所属高校,比如工业和信息化部所属的哈尔滨工业大学等;除此之外还有一些省属高校和独立院校,中央部委直属高校较这些省属高校根据优势,比如资金、教学资源等。
中央部委直属高校目前有118所;地方管理的高校有2838所,数量是非常巨大的。
想考上中央部委直属高校自然需要很高的分数,如果分数达不到的话省属高校也还有很多不错的,这就需要大家提前了解了。
2、根据办学类型划分中国大学按照办学型型大致可分为研究型大学、应用型大学、技术型大学。
研究型大学:提供比较多的本科专业和学士学位,同时把研究放在首位的大学,致力于高层次的人才培养与科技研发。
即在校研究生数量与本科生数量相当的大学,或研究生数量占有较大比重。
应用型大学:以应用为办学定位,而不是以科研为办学定位的本科高等院校,以本科教育为主,重点围绕行业产业需求与地方支柱产业、战略新兴产业发展和社会发展的需要,提供人才支撑和智力服务。
技术型大学,即应用技术大学,是以应用技术类人才培养为办学定位的地方本科和专科院校。
3、根据办学特色划分特色型:包括理工类、师范类、农林类、语言类、体育类、医药类、财经类、政法类、艺术类、民族类。
全国高校明细首先,我想要向大家展示一份全国高校的详细名单。
这份名单包含了各个省份内的高校,能够帮助大家更好地了解我国的教育体系。
以下是详细内容:- 清华大学:位于北京市海淀区,是我国最著名的高等学府之一。
- 北京大学:也位于北京市海淀区,是中国最早建立的现代研究型大学之一。
- 中国人民大学:同样位于海淀区,以社会科学研究闻名。
- 上海交通大学:坐落于上海市徐汇区,是我国历史悠久的高等学府之一。
- 复旦大学:位于上海市杨浦区,是中国历史最悠久的综合性大学之一。
- 华东师范大学:同样位于杨浦区,以培养教育学人才为主要任务。
- 中山大学:坐落于广州市海珠区,是广东省颇具声誉的综合性大学之一。
- 深圳大学:位于深圳市南山区,以服务地方经济为主要目标。
- 华南理工大学:同样位于广州市,以工程领域著称。
- 浙江大学:坐落于杭州市西湖区,是浙江省最具声誉的高等学府之一。
- 杭州电子科技大学:位于杭州市滨江区,以电子科技为主要特色。
- 浙江工业大学:同样位于杭州市,以工科专业为主要优势。
- 武汉大学:位于武汉市洪山区,是湖北省最高学府之一。
- 华中科技大学:同样位于洪山区,以工科为主要特色。
- 中南财经政法大学:位于武汉市江夏区,以经济与法律领域著称。
以上仅仅是列举了各个省份内的几所高校,全国的高校数量众多,其中还有许多优秀的学府未能一一罗列。
希望这份明细能够为大家提供一些参考,帮助您更全面地了解我国高校教育的现状和概况。
总的来说,我希望这篇文档能够准确、生动地介绍全国高校的情况,尽量避免缺失语句和丢失序号等问题。
同时,文档的综合质量要高,不允许出现与主题无关的内容。
希望这份文档能够对您有所帮助,谢谢!。
全国高校名单及类型
全国高校名单及类型如下:
1. 北京大学:综合
2. 应用经济学、政治学、社会学、马克思主义理论、心理学、中国语言文学、外国语言文学、考古学、中国史、世界史、数学、物理学、化学、天文学、地理学、大气科学、生物学、统计学、力学、计算机科学与技术、软件工程、基础医学、临床医学、口腔医学、公共卫生与预防医学、药学、护理学、工商管理、公共管理
3. 理论经济学、法学、生态学、电子科学技术
4. 教育学、新闻传播学、材料科学与工程、信息与通信工程、测绘学科与技术、核科学与技术、环境科学与工程、生物医学工程
5. 农林经济管理、图书情报与档案管理
6. 地球地理学
7. 地质学
8. 科学技术史
9. 中西医结合
10. 医学技术
11. 戏剧艺术
12. 电影艺术
13. 广播电视艺术
除此之外,全国还有许多其他类型的高校,如综合类、师范类、工科类等。
如需获取全国高校名单的完整信息,可以登录中华人民共和国教育部官网查询,或者参考相关论坛的整理。
我国高校名录及专业excel在我国,高等教育体系非常庞大,涵盖了众多学科和专业。
我国高校名录及专业excel是一个非常有价值的资源,它包含了我国所有高校的详细信息以及各种专业的介绍。
通过这份名录,我们可以全面了解我国高等教育的现状和发展趋势,同时也可以帮助学生和家长更好地选择适合自己的学校和专业。
1. 我国高校名录我国高校名录是一个非常庞大的数据库,其中包含了我国大陆地区所有的高等学府。
从985工程、211工程的重点大学到普通本科高校,再到专科学院和独立学院,这份名录囊括了各种类型的高校。
通过这份名录,我们可以对这些高校进行系统性的比较和分析,了解它们的历史、地理位置、规模、办学特色等方面的信息。
2. 专业excel除了高校名录外,我国高校名录及专业excel还包含了各种专业的详细介绍。
这些专业涵盖了文、理、工、医、农、管、艺术等多个领域,以及各种专业方向和研究方向。
通过这份excel,我们可以了解到各种专业的就业前景、学科发展趋势、学习要求等方面的信息,有助于学生更好地选择自己感兴趣和擅长的专业。
3. 个人观点和理解我国高校名录及专业excel是一个非常有价值的资源,它为广大学生和家长提供了全面的信息参考。
在选择高校和专业时,我们不仅要考虑学校的排名和声誉,更要结合自身的兴趣和能力来进行选择。
只有找到适合自己的高校和专业,才能在未来的学习和工作中取得更好的发展。
总结回顾通过我国高校名录及专业excel,我们可以全面了解我国高等教育的现状和发展趋势,了解各个高校和专业的办学特色和优势。
通过仔细比较和分析,我们可以更好地选择适合自己的高校和专业,为将来的发展打下坚实的基础。
以上就是对我国高校名录及专业excel的深度和广度兼具的全面评估,希望对您有所帮助。
我国高校名录及专业excel是一个非常宝贵的资源,它对于广大学生和家长来说,不仅是一个指导选择高校和专业的工具,更是一份了解我国高等教育的瑰宝。
附件1普通高校名单(共269所)一、“985工程”高校(39所)北京大学、中国人民大学、清华大学、北京航空航天大学、北京理工大学、中国农业大学、北京师范大学、中央民族大学、南开大学、天津大学、大连理工大学、东北大学、吉林大学、哈尔滨工业大学、复旦大学、同济大学、上海交通大学、华东师范大学、南京大学、东南大学、浙江大学、中国科学技术大学、厦门大学、山东大学、中国海洋大学、武汉大学、华中科技大学、湖南大学、中南大学、国防科学技术大学、中山大学、华南理工大学、四川大学、电子科技大学、重庆大学、西安交通大学、西北工业大学、西北农林科技大学、兰州大学。
二、“211工程”高校(73所)北京交通大学、北京工业大学、北京科技大学、北京化工大学、北京邮电大学、北京林业大学、北京中医药大学、北京外国语大学、中国传媒大学、中央财经大学、对外经济贸易大学、北京体育大学、中央音乐学院、中国政法大学、华北电力大学、天津医科大学、河北工业大学、太原理工大学、内蒙古大学、辽宁大学、大连海事大学、延边大学、东北师范大学、哈尔滨工程大学、东北农业大学、东北林业大学、华东理工大学、东华大学、上海外国语大学、上海财经大学、上海大学、第二军医大学、苏州大学、南京航空航天大学、南京理工大学、中国矿业大学、河海大学、江南大学、南京农业大学、中国药科大学、南京师范大学、安徽大学、合肥工业大学、福州大学、南昌大学、中国石油大学、郑州大学、中国地质大学、武汉理工大学、华中农业大学、华中师范大学、中南财经政法大学、湖南师范大学、暨南大学、华南师范大学、广西大学、海南大学、西南交通大学、四川农业大学、西南财经大学、西南大学、贵州大学、云南大学、西藏大学、西北大学、西安电子科技大学、长安大学、陕西师范大学、第四军医大学、青海大学、宁夏大学、新疆大学、石河子大学校。
三、其他普通高校(157所)安徽师范大学、安徽农业大学、安徽医科大学、安徽工业大学、安徽理工大学、安徽财经大学、淮北师范大学、安徽中医药大学、安徽工程大学、安徽建筑大学、北方工业大学、北京第二外国语学院、北京电子科技学院、北京工商大学、北京师范大学-香港浸会大学联合国际学院、北京信息科技大学、北京印刷学院、北京语言大学、长春理工大学、长江大学、长沙理工大学、常州大学、成都理工大学、大连大学、大连交通大学、大连医科大学、东北财经大学、东北石油大学、福建农林大学、广东工业大学、广东外语外贸大学、广西医科大学、广州大学、广州医科大学、广州中医药大学、国际关系学院、哈尔滨医科大学、杭州电子科技大学、河北大学、河南大学、河南工业大学、河南理工大学、黑龙江大学、黑龙江中医药大学、湖北大学、湖南工业大学、湖南科技大学、湖南农业大学、湖南中医药大学、华东交通大学、华东政法大学、华南农业大学、华侨大学、集美大学、江苏大学、江苏科技大学、江西财经大学、江西理工大学、辽宁工程技术大学、辽宁科技大学、辽宁石油化工大学、闽江学院、南昌航空大学、南方科技大学、南方医科大学、南华大学、南京财经大学、南京工业大学、南京林业大学、南京审计学院、南京信息工程大学、南京医科大学、南京邮电大学、南通大学、宁波大学、宁波诺丁汉大学、青岛大学、青岛科技大学、青岛理工大学、三峡大学、山东科技大学、山西财经大学、山西大学、山西医科大学、陕西科技大学、汕头大学、上海电机学院、上海对外经贸大学、上海海事大学、上海海洋大学、上海金融学院、上海理工大学、上海立信会计学院、上海纽约大学、上海师范大学、上海政法学院、上海中医药大学、深圳大学、沈阳工业大学、沈阳建筑大学、沈阳农业大学、沈阳药科大学、石家庄铁道大学、首都经济贸易大学、首都师范大学、首都医科大学、四川外国语大学、苏州科技学院、天津财经大学、天津工业大学、天津理工大学、天津商业大学、天津外国语大学、天津中医药大学、外交学院、温州肯恩大学、武汉工程大学、武汉科技大学、西安工程大学、西安工业大学、西安建筑科技大学、西安科技大学、西安理工大学、西安石油大学、西安外国语大学、西安邮电大学、西北政法大学、西交利物浦大学、西南科技大学、西南石油大学、西南政法大学、香港城市大学、香港中文大学、湘潭大学、新疆医科大学、烟台大学、燕山大学、扬州大学、浙江财经大学、浙江工商大学、浙江工业大学、浙江海洋学院、浙江理工大学、浙江师范大学、中北大学、中国计量学院、中国民航大学、中国民用航空飞行学院、中国青年政治学院、中国人民公安大学、中国刑事警察学院、中国医科大学、中华女子学院、中南林业科技大学、重庆工商大学、重庆交通大学、重庆理工大学、重庆医科大学、重庆邮电大学。
全国普通高等院校名单全国普通高等学校2631 所(含独立学院265 所)全国普通高等学校2631 所(含独立学院265 所)全国普通高等学校2631 所(含独立学院265 所)全国普通高等学校2631 所(含独立学院265 所)全国普通高等学校2631 所(含独立学院265 所)全国普通高等学校2631 所(含独立学院265 所)全国普通高等学校2631 所(含独立学院265 所)全国普通高等学校2631 所(含独立学院265 所)全国普通高等学校2631 所(含独立学院265 所)全国普通高等学校2631 所(含独立学院265 所)全国普通高等学校2631 所(含独立学院265 所)全国普通高等学校2631 所(含独立学院265 所)全国普通高等学校2631 所(含独立学院265 所)全国普通高等学校2631 所(含独立学院265 所)全国普通高等学校2631 所(含独立学院265 所)全国普通高等学校2631 所(含独立学院265 所)全国普通高等学校2631 所(含独立学院265 所)全国普通高等学校2631 所(含独立学院265 所)全国普通高等学校2631 所(含独立学院265 所)全国普通高等学校2631 所(含独立学院265 所)全国普通高等学校2631 所(含独立学院265 所)全国普通高等学校2631 所(含独立学院265 所)全国普通高等学校2631 所(含独立学所)全国普通高等学校2631 所(含独立学院265 所)全国普通高等学校2631 所(含独立学院265 所)全国普通高等学校2631 所(含独立学院265 所)全国普通高等学校2631 所(含独立学院265 所)全国普通高等学校2631 所(含独立学院265 所)全国普通高等学校2631 所(含独立学院265 所)全国普通高等学校2631 所(含独立学院265 所)全国普通高等学校2631 所(含独立学院265 所)全国普通高等学校2631 所(含独立学院265 所)全国普通高等学校2631 所(含独立学院265 所)全国普通高等学校2631 所(含独立学院265 所)全国普通高等学校2631 所(含独立学院265 所)全国普通高等学校2631 所(含独立学院265 所)全国普通高等学校2631 所(含独立学院265 所)全国普通高等学校2631 所(含独立学院265 所)全国普通高等学校2631 所(含独立学院265 所)全国普通高等学校2631 所(含独立学院265 所)全国普通高等学校2631 所(含独立学院265 所)全国普通高等学校2631 所(含独立学院265 所)全国普通高等学校2631 所(含独立学院265 所)全国普通高等学校2631 所(含独立学院265 所)全国普通高等学校2631 所(含独立学院265 所)全国普通高等学校2631 所(含独立学院265 所)全国普通高等学校2631 所(含独立学院265国普通高等学校2631 所(含独立学院265 所)全国普通高等学校2631 所(含独立学院265 所)全国普通高等学校2631 所(含独立学院265 所)全国普通高等学校2631 所(含独立学院265 所)全国普通高等学校2631 所(含独立学院265 所)全国普通高等学校2631 所(含独立学院265 所)全国普通高等学校2631 所(含独立学院265 所)全国普通高等学校2631 所(含独立学院265 所)全国普通高等学校2631 所(含独立学院265 所)全国普通高等学校2631 所(含独立学院265 所)全国普通高等学校2631 所(含独立学院265 所)全国普通高等学校2631 所(含独立学院265 所)全国普通高等学校2631 所(含独立学院265 所)全国普通高等学校2631 所(含独立学院265 所)全国普通高等学校2631 所(含独立学院265 所)全国普通高等学校2631 所(含独立学院265 所)全国普通高等学校2631 所(含独立学院265 所)全国普通高等学校2631 所(含独立学院265 所)全国普通高等学校2631 所(含独立学院265 所)全国普通高等学校2631 所(含独立学院265 所)全国普通高等学校2631 所(含独立学院265 所)全国普通高等学校2631 所(含独立学院265 所)全国普通高等学校2631 所(含独立学院265 所)全国普通高等学校2631 所(含独立学院265 所)全高等学校2631 所(含独立学院265 所)全国普通高等学校2631 所(含独立学院265 所)全国普通高等学校2631 所(含独立学院265 所)全国普通高等学校2631 所(含独立学院265 所)全国普通高等学校2631 所(含独立学院265 所)全国普通高等学校2631 所(含独立学院265 所)全国普通高等学校2631 所(含独立学院265 所)全国普通高等学校2631 所(含独立学院265 所)全国普通高等学校2631 所(含独立学院265 所)全国普通高等学校2631 所(含独立学院265 所)全国普通高等学校2631 所(含独立学院265 所)全国普通高等学校2631 所(含独立学院265 所)全国普通高等学校2631 所(含独立学院265 所)全国普通高等学校2631 所(含独立学院265 所)全国普通高等学校2631 所(含独立学院265 所)全国普通高等学校2631 所(含独立学院265 所)全国普通高等学校2631 所(含独立学院265 所)全国普通高等学校2631 所(含独立学院265 所)全国普通高等学校2631 所(含独立学院265 所)全国普通高等学校2631 所(含独立学院265 所)全国普通高等学校2631 所(含独立学院265 所)全国普通高等学校2631 所(含独立学院265 所)全国普通高等学校2631 所(含独立学院265 所)全国普通高等学校2631 所(含独立学院265 所)全国普通校2631 所(含独立学院265 所)全国普通高等学校2631 所(含独立学院265 所)全国普通高等学校2631 所(含独立学院265 所)全国普通高等学校2631 所(含独立学院265 所)全国普通高等学校2631 所(含独立学院265 所)全国普通高等学校2631 所(含独立学院265 所)全国普通高等学校2631 所(含独立学院265 所)全国普通高等学校2631 所(含独立学院265 所)全国普通高等学校2631 所(含独立学院265 所)全国普通高等学校2631 所(含独立学院265 所)全国普通高等学校2631 所(含独立学院265 所)全国普通高等学校2631 所(含独立学院265 所)全国普通高等学校2631 所(含独立学院265 所)全国普通高等学校2631 所(含独立学院265 所)全国普通高等学校2631 所(含独立学院265 所)全国普通高等学校2631 所(含独立学院265 所)全国普通高等学校2631 所(含独立学院265 所)全国普通高等学校2631 所(含独立学院265 所)全国普通高等学校2631 所(含独立学院265 所)全国普通高等学校2631 所(含独立学院265 所)全国普通高等学校2631 所(含独立学院265 所)我是教育问题达人Andy牧笛,如果您对我的回答或资讯感兴趣的话,可以点赞或关注我,也可以给我提意见或建议,我会根据您的意见和建议,逐步改进,后续我会继续更新我的资讯和问答,谢谢您的支持!。
每年⾼考志愿填报和招⽣录取期间,社会上总有⼀些不法分⼦利⽤考⽣及家长的良好愿望和急切⼼理,编造和散发虚假信息,声称“不论分数多少,不论上不上线,只要肯花钱,就可以上⼤学,甚⾄上⼤学”,以此来骗取钱财。
本科录取已经结束了,专科录取也已经开始,这个时期将是⾼考录取通知书集中发放的时间,8⽉11⽇教育部阳光⾼考平台发布提⽰,提醒考⽣和家长谨防7类招⽣诈骗。
1.吹嘘有“内部指标”能操作“低分⾼录” 伎俩:这是招⽣骗⼦惯⽤⼿段。
他们伪造⽂件、印章,设⽴报名处和咨询电话,假扮⾼校招⽣⼈员,或吹嘘⾃⼰神通⼴⼤,与⾼校或招考主管部门的领导有“关系”,可弄到⾼校招⽣的内部指标等,要家长先付⼀部分定⾦,其余部分等录取通知书到⼿后再交。
他们声称,只要愿意出钱,即使考⽣没上学校投档线,甚⾄没上录取控制分数线,也能将其“操作”到相应学校读书。
然⽽,当家长将余款如数交完后,他们给家长的是伪造的假通知书,或者卷款逃之夭夭。
提醒:省招考院严格执⾏国家和省⾥下达的招⽣计划,即便是招⽣院校投放到各省的机动计划,也只能从⾼分到低分投档,按我省政策规定录取。
录取⼯作全部实⾏异地远程上录取,由专门的计算机系统按志愿和投档规则投档,不受任何⼈为因素影响。
因此,既不存在所谓的“内部指标”,也没有⼈能突破政策规定“操作”⾼校录取。
2.谎称艺术类招⽣只要交钱保证录取 伎俩:由于艺术类招⽣种类繁多,投档排序规则和操作程序复杂,加上省外艺术类招⽣计划要根据⽣源情况在全国范围进⾏调整,致使录取持续的时间较长。
⼀些不法分⼦抓住考⽣和家长的急切⼼理,利⽤录取持续时间长的特点,声称只要交钱就可以从中运作“帮忙搞定”,或以“不交钱就不录取”、“不交钱就退档”威胁考⽣和家长,达到诈骗钱财的⽬的。
提醒:艺术类招⽣会在提前批和本科⼀批以及专科批次录取,参与的学校数量也⽐较多,不同学校的录取原则也有着区别,不法分⼦会利⽤考⽣和家长对政策不了解钻空⼦。
阳光⾼考平台提醒⼴⼤考⽣特别是艺术类考⽣,当⾃⼰的录取状态处于“⾃由可投”时,要通过省招考院站及时查询⾃⼰所报的学校是否已经录取或投档,并及时通过公布的查询渠道查询⾃⼰的最新录取状态。
全国成人高等学校名单截至2017年5月31日,全国高等学校共计2914所。
根据教育部公布的名单,目前我国共有普通高等学校2631所(含独立学院265所),成人高等学校283所。
全国成人高等学校名单(按学校标识码排序)序号学校名称学校标识码主管部门备注北京市(23所)1北京市海淀区职工大学4211050001北京市2北京市东城区职工业余大学4211050002北京市3北京市崇文区职工大学4211050004北京市4北京宣武红旗业余大学4211050005北京市5北京市石景山区业余大学4211050006北京市6北京市朝阳区职工大学 4211050007北京市7北京医药集团职工大学 4211050018北京市8北京市总工会职工大学 4211050025北京市9中央党校继续教育学院 4211050038中共中央党校10中国记协职工新闻学院 4211050043中华全国新闻工作者协会 11中南海业余大学4211050044中共中央办公厅12北京教育学院4211050061北京市13北京开放大学4211051160北京市14国家开放大学(中央广播电视大学) 4211051161教育部15民航管理干部学院4211051167交通运输部16北京市丰台区职工大学4211051624北京市17北京市西城经济科学大学4211051626北京市18北京市农工商联合总公司职工大学 4211051630北京市19公安部管理干部学院4211051643公安部20国家法官学院4211051651最高人民法院21华北电业联合职工大学4211051800北京市22首都联合职工大学4211051837北京市23国家检察官学院4211051898最高人民检察院天津市(14所)24天津市和平区新华职工大学 4212050063天津市25天津市河西区职工大学4212050064天津市26天津市河东区职工大学4212050065天津市27天津市红桥区职工大学4212050066天津市28天津市南开区职工大学4212050068天津市29天津市建筑工程职工大学 4212050070天津市30天津市职工经济技术大学 4212050073天津市31天津市渤海化工职工学院 4212050095天津市32天津市管理干部学院4212050121天津市33天津市广播电视大学4212051171天津市34天津物资管理干部学院 4212051172天津市35天津市政法管理干部学院 4212051175天津市36天津市工会管理干部学院 4212051176天津市37天津市房地产局职工大学 4212051659天津市河北省(6所)38河北地质职工大学4213050139河北省39河北省广播电视大学4213051177河北省40石家庄职工大学4213051180河北省41海关管理干部学院4231051332海关总署42河北管理干部学院4213051723河北省43河北青年管理干部学院4213051802河北省山西省(11所)44太原化学工业集团有限公司职工大学4214050162山西省45山西机电职工学院4214050163山西省46太原钢铁(集团)有限公司职工钢铁学院4214050164山西省47山西职工医学院4214050166山西省48山西煤炭职工联合大学 4214050167山西省49山西兵器工业职工大学 4214050169山西省50山西省职工工艺美术学院 4214050175山西省51山西省吕梁市教育学院 4214050197山西省52山西省广播电视大学4214051187山西省53山西省政法管理干部学院 4214051787山西省54长治市教育学院4214051788山西省内蒙古自治区(2所)55包头市职工大学4215050204内蒙古自治区56内蒙古自治区广播电视大学 4215051192内蒙古自治区辽宁省(20所)57辽宁兵器工业职工大学4221051087辽宁省58辽宁省直属机关职工大学 4221051097辽宁省59大连工人大学4221051110辽宁省60空军第四职工大学4221051117空军装备部61海军职工大学4221051118海军装备部62大连职工大学4221051120辽宁省63抚顺矿务局职工工学院4221051125辽宁省64抚顺石油化工公司职工大学 4221051126辽宁省65阜新矿务局职工大学4221051138辽宁省66朝阳职工工学院4221051143辽宁省67大连市教育学院4221051149辽宁省68辽宁广播电视大学4221051196辽宁省69阜新煤炭职工医学专科学校 4221051227辽宁省70辽宁文化艺术职工大学4221051694辽宁省71辽宁冶金职工大学4221051695辽宁省72辽宁公安司法管理干部学院 4221051842辽宁省73沈阳机械工业职工大学4221051843辽宁省74鞍山钢铁集团公司职工大学 4221051845辽宁省75沈阳市广播电视大学4221051848辽宁省76大连市广播电视大学4221051849辽宁省吉林省(14所)77长春职工大学4222050226吉林省78长春市建筑职工业余大学 4222050229吉林省79长春职工医科大学4222050232吉林省80吉林市职工大学4222050234吉林省81吉林化学工业公司职工大学 4222050236吉林省82通化市职工大学4222050242吉林省83通化钢铁公司职工大学4222050243吉林省84四平农村成人高等专科学校 4222050249吉林省85吉林省教育学院4222050252吉林省86长春教育学院4222050253吉林省87吉林广播电视大学4222051230吉林省88吉林省经济管理干部学院 4222051243吉林省89吉林职工医科大学4222051704吉林省90长春广播电视大学4222051887吉林省黑龙江省(21所)91黑龙江兵器工业职工大学 4223050264黑龙江省92哈尔滨航空职工大学4223050266黑龙江省93哈尔滨轻型车厂职工大学 4223050268黑龙江省94哈尔滨市职工大学4223050269黑龙江省95黑龙江省电力职工大学 4223050293黑龙江省96齐齐哈尔市建设职工大学 4223050306黑龙江省97齐齐哈尔市职工大学4223050311黑龙江省98鹤岗矿务局职工大学4223050327黑龙江省99大庆石油化工总厂职工大学 4223050330黑龙江省100黑龙江农垦管理干部学院 4223050337黑龙江省101黑龙江省经济管理干部学院 4223050335黑龙江省102黑龙江省政法管理干部学院 4223050343黑龙江省103黑龙江省教育学院4223050344黑龙江省104绥化市教育学院4223050349黑龙江省105牡丹江市教育学院4223050350黑龙江省106佳木斯市教育学院4223050351黑龙江省107黑龙江省广播电视大学4223051244黑龙江省108黑龙江省商业职工大学4223051744黑龙江省109黑龙江省社会科学院职工大学 4223051745黑龙江省110哈尔滨市职工医学院4223051746黑龙江省111哈尔滨市广播电视大学4223051876黑龙江省上海市(14所)112上海科技管理干部学院4231050033上海市113上海市黄浦区业余大学4231050363上海市114上海市徐汇区业余大学 4231050366上海市115上海市长宁区业余大学 4231050367上海市116上海市静安区业余大学 4231050368上海市117上海市普陀区业余大学 4231050369上海市118上海市虹口区业余大学 4231050371上海市119上海市杨浦区业余大学 4231050372上海市120上海纺织工业职工大学 4231050393上海市121上海医药职工大学4231050424上海市122上海开放大学4231051252上海市123上海市经济管理干部学院 4231051613上海市124上海青年管理干部学院 4231051615上海市125上海市宝山区业余大学 4231051852上海市江苏省(8所)126南京市职工大学4232050460江苏省127空军第一职工大学4232050461空军装备部128南通市工人业余大学4232050504江苏省129扬州教育学院4232050526江苏省130江苏开放大学4232051255江苏省131江苏省省级机关管理干部学院 4232051257江苏省132南京市广播电视大学4232051396江苏省133江苏省青年管理干部学院4232051828江苏省浙江省(9所)134浙江省省级机关职工业余大学 4233050550浙江省135杭州市工人业余大学4233050551浙江省136温州市工人业余大学4233050554浙江省137宁波教育学院4233050559浙江省138金华教育学院4233050561浙江省139浙江省广播电视大学 4233051258浙江省140浙江经济管理职工大学 4233051259浙江省141浙江嘉兴教育学院4233051814浙江省142宁波市广播电视大学 4233051885浙江省安徽省(6所)143淮南市职工大学4234050565安徽省144合肥职工科技大学4234050569安徽省145合肥市职工大学4234050570安徽省146安徽经济管理干部学院 4234050581安徽省147宿州教育学院4234051265安徽省148安徽广播电视大学4234051388安徽省福建省(3所)149福建教育学院4235050591福建省150福建省广播电视大学 4235051270福建省151厦门市广播电视大学 4235051833福建省江西省(8所)152江西行政管理干部学院 4236050151江西省153昌河职工工学院4236050603江西省154南昌钢铁有限责任公司职工大学 4236050607江西省155南昌市业余大学4236050616江西省156南昌市职工科技大学4236050617江西省157江西广播电视大学4236051281江西省158南昌教育学院4236051283江西省159江西经济管理干部学院4236051285江西省山东省(11所)160山东省水利职工大学4237050626山东省161山东兵器工业职工大学 4237050638山东省162新汶矿务局职工大学4237050641山东省163济南市职工大学4237050644山东省164山东省经济管理干部学院 4237050649山东省165山东省聊城教育学院4237050661山东省166山东省济宁教育学院4237050663山东省167山东省广播电视大学4237051286山东省168兖州矿区职工大学4237051777山东省169山东财政职工大学4237051779山东省170青岛市广播电视大学4237051858山东省河南省(11所)171长城铝业公司职工工学院4241050673河南省172郑州市职工大学4241050674河南省173第一拖拉机制造厂拖拉机学院 4241050680河南省174洛阳轴承职工大学4241050682河南省175洛阳有色金属职工大学4241050686河南省176开封空分设备厂职工大学 4241050688河南省177平顶山教育学院4241050709河南省178河南省广播电视大学4241051287河南省179焦作职工医学院4241051408河南省180磨料磨具工业职工大学 4241051411河南省181驻马店教育学院4241051413河南省湖北省(14所)182武汉市广播电视大学4242050046湖北省183湖北兵器工业职工大学 4242050717湖北省184湖北省纺织职工大学4242050733湖北省185鄂城钢铁厂职工大学4242050738湖北省186丹江口工程管理局职工大学 4242050740湖北省187湖北省直属机关业余大学 4242050742湖北省188湖北省经济管理干部学院 4242050756湖北省189十堰教育学院4242050762湖北省190荆州教育学院4242050763湖北省191大冶钢厂职工大学4242051297湖北省192湖北广播电视大学4242051305湖北省193武汉冶金管理干部学院4242051773湖北省194湖北武汉公安管理干部学院 4242051774湖北省195华中电业联合职工大学4242051862湖北省湖南省(12所)196涟源钢铁总厂职工大学4243050774湖南省197株洲市职工大学4243050788湖南省198湖南航空工业职工工学院 4243050793湖南省199中钢集团衡阳重机职工大学 4243050794湖南省200衡阳工业职工大学4243050798湖南省201长沙教育学院4243050810湖南省202湘潭教育学院4243050812湖南省203湖南省广播电视大学4243051306湖南省204益阳教育学院4243051310湖南省205湖南金融技术职工大学4243051766湖南省206湖南纺织职工大学4243051767湖南省207长沙工业职工大学4243050784湖南省广东省(14所)208广州金桥管理干部学院 4244050075广东省209南海成人学院4244050079广东省210湛江市业余大学4244050821广东省211广东省国防工业职工大学 4244050826广东省212汕头市业余大学4244050835广东省213韶关市职工大学4244050837广东省214广州市公安管理干部学院 4244050855广东省215广东省公安司法管理干部学院 4244050859广东省216广东开放大学4244051315广东省217广东新华教育学院4244051317广东省教育厅民办218广东省职工体育运动技术学院 4244051319广东省219广东社会科学大学4244051320广东省220广州市广播电视大学4244051393广东省221深圳广播电视大学4244051888广东省广西壮族自治区(6所)222桂林市职工大学4245050867广西壮族自治区223广西壮族自治区经济管理干部学院 4245050869广西壮族自治区224广西教育学院4245050870广西壮族自治区225广西壮族自治区广播电视大学4245051338广西壮族自治区226广西政法管理干部学院4245051340广西壮族自治区227南宁地区教育学院4245051675广西壮族自治区海南省(1所)228海南广播电视大学4246051865海南省重庆市(4所)229重庆电力职工大学4250050901重庆市230重庆冶金成人学院4250050905重庆市231重庆职工会计专科学校4250051759重庆市232重庆市广播电视大学4250051866重庆市四川省(17所)233四川科技职工大学4251050081四川省234四川省东方动力职工大学4251050875四川省235中国工程物理研究院职工工学院 4251050879四川省236四川核工业职工大学4251050881四川省237成都飞机工业公司职工工学院 4251050883四川省238国营涪江机器厂职工大学4251050885四川省239成都冶金职工大学4251050907四川省240第五冶金建设公司职工大学 4251050908四川省241成都工业职工大学4251050913四川省242四川省化工职工大学4251050919四川省243中国科学院成都分院职工大学 4251050928中国科学院244广元职工医学院4251050930四川省245南充市职工大学4251050932四川省246四川广播电视大学4251051341四川省247四川省职工运动技术学院 4251051351四川省248成都市职工大学4251051758四川省249成都广播电视大学4251051886四川省贵州省(3所)250贵州铝厂职工大学4252050962贵州省251贵州机械工业职工大学 4252050965贵州省252贵州广播电视大学4252051352贵州省云南省(2所)253云南开放大学4253051357云南省254南方电力职工大学4253051361云南省陕西省(15所)255陕西航天职工大学4261050083陕西省256西安航空职工大学4261050989陕西省257西安飞机工业公司职工工学院 4261050990陕西省258陕西兵器工业职工大学4261051001陕西省259西北电业职工大学4261051002陕西省260西安铁路工程职工大学4261051006陕西省261西安电力机械制造公司机电学院 4261051009陕西省262陕西省建筑工程总公司职工大学 4261051010陕西省263西安市职工大学4261051017陕西省264宝鸡市职工大学4261051018陕西省265西安外贸职工大学4261051020陕西省266陕西省宝鸡教育学院4261051027陕西省267陕西省广播电视大学4261051370陕西省268陕西工运学院4261051373陕西省269西安市广播电视大学4261051871陕西省甘肃省(5所)270兰州航空工业职工大学 4262051038甘肃省271兰州铁路工程职工大学 4262051039甘肃省272甘肃核工业职工大学4262051040甘肃省273银光化学材料厂职工大学 4262051042甘肃省274甘肃广播电视大学4262051374甘肃省青海省(2所)275青海省联合职工大学4263051049青海省276青海省广播电视大学4263051382青海省宁夏回族自治区(1所)277宁夏回族自治区广播电视大学4264051383宁夏回族自治区新疆维吾尔自治区(6所)278新疆生产建设兵团广播电视大学4265051210新疆生产建设兵团279新疆维吾尔自治区广播电视大学4265051387新疆维吾尔自治区280喀什教育学院4265051594新疆维吾尔自治区281新疆生产建设兵团教育学院4265051595新疆生产建设兵团282和田地区教育学院4265051599新疆维吾尔自治区283阿克苏教育学院4265051717新疆生产建设兵团科塔学术领先的科研与学术资源导航平台查看cambrian.render('tail') 扫码,关注科塔学术公众号致力于成为国内领先的科研与学术资源导航平台,让科研工作更简单、更有效率。
全国有多少高校
全国有很多高校,分布在不同的省份和城市。
这些高校
在培养了大批优秀的人才,为国家的发展做出了重要贡献。
首先,让我们来看看中国的高校数量。
根据教育部的数
据显示,截至2021年,全国共有约2850所普通高校。
这些高校包括本科高校、独立学院、职业高校、成人高校等。
其中,本科高校是最常见的类型,培养了大量的本科生。
此外,还有一些技术学院和军事学院等专业性高校。
这些高校覆盖了全国的各个角落。
从东部的沿海城市到
西部的内陆省份,每个地区都有自己的高校。
特别是一些大城市,如北京、上海、广州和深圳,拥有许多知名的高校,吸引了来自全国各地的优秀学子。
中国的高校发展迅速,不断提高教育质量。
许多高校在
学科建设、教学资源、师资队伍等方面取得了很大的成就。
一些高校甚至在国际上享有盛誉,吸引了来自世界各地的留学生。
高校不仅为学生提供了优质的教育资源,还承担了科研
任务。
许多高校设有研究机构和实验室,积极从事科学研究和技术创新。
这些研究成果对于推动国家的经济发展和社会进步具有重要意义。
此外,高校还承担了社会服务的重要任务。
许多高校与
当地政府、企业和社会组织合作,共同开展各种社会实践活动,为社会做出贡献。
例如,一些高校开设的扶贫班帮助贫困地区的学生接受高质量的教育,提升他们的就业竞争力。
总的来说,全国有很多高校,它们在培养人才、科学研
究和社会服务方面发挥着重要作用。
随着社会的不断发展和进步,高校也在不断壮大和改进,为国家的未来发展打下了坚实的基础。