高考数学第一轮复习(典型题+详解)专题二 高考中的三角函数综合问题文档强练 文 新人教A版(1)
- 格式:doc
- 大小:214.60 KB
- 文档页数:9
π 1. (2013 安·徽皖南质检)已知函数f(x) = Asin( ωx+ φ) A > 0, ω> 0, |φ|< , x ∈ R 的图2象的一部分如下图.(1)求函数 f(x)的分析式;(2)当 x ∈ - 6,-2时,求函数 y = f(x)+ f(x + 2)的最大值与最小值及相应的 x 的值.3解: (1)由图象知 A = 2, T = 8,2π π∵T = ω= 8,∴ω= 4.π又∵图象经过点 ( -1,0),∴2sin - 4+φ = 0. π π∵|φ|<2,∴φ= 4.π π∴f(x)= 2sin 4x +4 .(2)y = f(x)+ f(x + 2)π ππ π π= 2sin 4x +4 + 2sin 4x + 2+ 4π π π = 2 2sin4x + 2 = 22cos 4x.23π ππ∵x ∈- 6,- 3 ,∴- 2 ≤ 4x ≤ - 6.π π 2时, y = f(x)+ f(x + 2)获得最大值 6;当 π ∴当 ,即 x =-4x =- π,即 x =- 4 时, 4x =- 6 3y = f(x)+ f(x + 2)获得最小值- 2 2.2. (2012 ·高考湖北卷)已知向量 a = (cos ωx- sin ωx, sin ωx ), b = (- cos ωx- sin ωx ,23cos ωx ),设函数 f(x)= a ·b + λ(x ∈R )的图象对于直线x = π对称,此中 ω,λ为常数,且ω∈(1) 求函数 f(x)的最小正周期;3π (2) 若 y = f(x) 的图象经过点 π,求函数 f(x)在区间 0, , 0 上的取值范围.452 23sin ωx·cos ωx+ λ解: (1)f(x) = sin ωx- cos ωx+ 2π =- cos2ωx+ 3sin2ωx+ λ= 2sin 2ωx- 6 + λ.由直线 x = π是函数 f(x)图象的一条对称轴,可得πsin 2ωπ- 6 =±1,ππ k 1因此 2ωπ- 6= k π+2(k ∈Z ),即 ω=2+ 3(k ∈Z ).1 5 又 ω∈2, 1 ,故 ω= 6.1,1 .2因此 f(x)的最小正周期是6π5 .(2)由 y = f(x) 的图象过点π,得 f π, 0 4 = 0,45 π π π即 λ=- 2sin 6× 2-6 =- 2sin 4=- 2,即 λ=- 2.5π故 f(x)= 2sin 3x - 6 - 2,3π π 5 π 5π由 0≤x ≤ 5 ,有- 6≤ 3x -6≤ 6 , 因此- 1≤ sin 5 π≤1,得23x - 6 5π- 1- 2≤2sin 3x - 6 - 2≤ 2- 2,故函数 f(x)在 0,3π5 上的取值范围为 [- 1- 2, 2- 2].3π3. (2013 锦·州质检 )向量 a = (2,2),向量 b 与向量 a 的夹角为 4 ,且 a ·b =- 2.(1)求向量 b ; (2)若 t = (1,0),且 b ⊥ t ,c = cosA , 2cos2C,此中 A 、B 、C 是△ ABC 的内角,若△ ABC2的内角 A 、 B 、C 挨次成等差数列,试求 |b + c |的取值范围.解: (1)设 b = (x , y),则 a ·b = 2x + 2y =- 2,且 |b |=a ·b= 1= x 2+ y 2,3π|a |cos 4x =- 1,x = 0,∴解得或y = 0,y =- 1.∴b =(-1,0)或 b = (0,- 1).(2)∵b ⊥t ,且 t = (1,0),∴b = (0,- 1).π∵A 、 B 、C 挨次成等差数列,∴ B = 3.2C∴b +c = cosA , 2cos 2 -1 = (cosA , cosC).∴|b +c |2=cos 2A + cos 2C1 = 1+2(cos2A + cos2C)1 4π = 1+2 cos2A + cos3 -2A113= 1+2 cos2A -2cos2A - 2 sin2A 1 π= 1+2cos 2A +3 . π π 5π∵2A + 3∈ 3, 3 ,π 1∴-1≤ cos 2A + 3 < 2,1 2 5∴ ≤|b + c | < ,242≤ |b +c |< 5∴2 2 .4. (2011 高·考福建卷 )设函数 f(θ)= 3sin θ+ cos θ,此中,角 θ的极点与坐标原点重合,始边与 x 轴非负半轴重合,终边经过点P(x , y),且 0≤θ≤ π.(1)若点 P 的坐标为 1,3,求 f(θ)的值;22x + y ≥ 1(2)若点 P( x ,y)为平面地区 Ω: x ≤ 1,上的一个动点,试确立角θ的取值范围,y ≤ 1并求函数 f(θ)的最小值和最大值.3sin θ= 2 ,解: (1)由点 P 的坐标和三角函数的定义可得1cos θ=2.3 1于是 f(θ)= 3sin θ+ cos θ= 3× 2 + 2= 2.(2)作出平面地区 Ω(即图中暗影部分 )如下图,此中 A(1,0), B(1,1),C(0,1) .π于是 0≤ θ≤ 2.π又 f(θ)= 3sin θ+ cos θ= 2sin(θ+ 6),π π 2π≤θ+ ≤且 6 6 3 ,π π π故当 θ+ 6= 2,即 θ=3时,f(θ)获得最大值,且最大值等于 2;π π 当 θ+ 6= 6,即 θ= 0 时,f(θ)获得最小值,且最小值等于 1.π ππ5.已知函数 f(x)= 2cos(x + 3)[sin( x + 3) - 3cos(x + 3)] .(1)求 f(x)的值域和最小正周期;π(2)若对随意 x ∈ [0, 6] ,使得 m[f(x)+ 3]+ 2=0 恒建立,务实数m 的取值范围.π π π解: (1)f(x) = 2sin(x + )cos(x +)- 2 3cos 2(x +)3332π2π= sin(2x + 3 )- 3[cos(2x + 3 )+ 1]2π 2π = sin(2x + 3 )- 3cos(2x + 3 )- 3π= 2sin(2x + 3)- 3.π ∵-1≤ sin(2x +3)≤ 1,∴-2- 3≤ π2π2sin(2 x +3, T = = π,3)- 3≤ 2-2即 f(x)的值域为 [ - 2- 3, 2- 3],最小正周期为 π.π π π 2π(2)当 x ∈[0, 6] 时, 2x + 3∈[3, 3 ],π3故 sin(2x + 3)∈[ 2 , 1],π此时 f(x)+ 3= 2sin(2x + 3)∈[ 3,2].由 m[f(x)+3]+2= 0 知, m ≠ 0,且 f(x)+ 3=- 2 ,m 2m + 3≤ 02≤2,即∴ 3≤ -m2 +2≥0,m解得- 2 3 3≤ m ≤- 1.即实数 m 的取值范围是- 2 33,-1 .6.(2013 安·徽名校质检 )如下图, A 、 B 分别是单位圆与 x 轴、 y 轴正半轴的交点,点 P在单位圆上,∠ AOP = θ(0< θ< π), C 点坐标为 (- 2,0),平行四边形 OAQP 的面积为 S.→ →(1)求 OA ·OQ + S 的最大值;(2)若 CB ∥ OP ,求 sin 2θ- π的值.6解: (1)由已知得 A 、 B 、P 的坐标分别为 (1,0)、 (0,1)、(cos θ,sin θ),∵四边形 OAQP 是平行四边形,→ → →+ (cos θ, sin θ)= (1+ cos θ, sin θ), ∴OQ = OA + OP = (1,0)→ → ∴OA ·OQ =1+ cos θ,又平行四边形 → →OAQP 的面积 S = |OA| ·|OP|sin θ= sin θ, → → θ+ π + 1. ∴OA ·OQ +S = 1+ cos θ+ sin θ= 2sin 4∵0<θ< π,π → →2+ 1.∴当θ= 时, OA ·OQ + S 的最大值为4→ →(2)由题意知, CB = (2,1), OP = (cos θ, sin θ),∵CB ∥OP ,∴tan θ=12,π∵0<θ< π,∴0< θ<2,由 cos θ= 2sin θ, cos 2θ+ sin 2θ= 1,52 5得 sin θ= 5 , cos θ= 5 ,∴sin2θ= 2sin θcos θ= 4, cos2θ= cos 223, 5θ- sin θ= 5 π π π ∴sin 2θ-6 = sin2θcos 6- cos2θsin 6= 4× 4 3- 3 3-3× 1= 10 .5 2 5 2。
专练23 高考大题专练(二)三角函数的综合运用1.[2020·全国卷Ⅱ]△ABC的内角A,B,C的对边分别为a,b,c,已知cos2错误!+cos A=错误!.(1)求A;(2)若b-c=错误!a,证明:△ABC是直角三角形.2.[2019·全国卷Ⅲ]△ABC的内角A,B,C的对边分别为a,b,c.已知a sin错误!=b sin A。
(1)求B;(2)若△ABC为锐角三角形,且c=1,求△ABC面积的取值范围.3.[2019·天津卷]在△ABC中,内角A,B,C所对的边分别为a,b,c。
已知b+c=2a,3c sin B=4a sin C。
(1)求cos B的值;(2)求sin错误!的值.4.[2020·山东青岛一中高三测试]已知函数f(x)=sin2x-cos2x-2错误!sin x cos x(x∈R).(1)求f错误!的值;(2)求f(x)的最小正周期及单调递增区间.5.[2020·全国卷Ⅰ]△ABC的内角A,B,C的对边分别为a,b,c.已知B=150°.(1)若a=错误!c,b=2错误!,求△ABC的面积;(2)若sin A+错误!sin C=错误!,求C。
专练23高考大题专练(二)三角函数的综合运用1。
解析:(1)由已知得sin2A+cos A=错误!,即cos2A-cos A +错误!=0.所以错误!2=0,cos A=错误!.由于0<A<π,故A=错误!。
(2)由正弦定理及已知条件可得sin B-sin C=错误!sin A。
由(1)知B+C=错误!,所以sin B-sin错误!=错误!sin错误!。
即错误!sin B-错误!cos B=错误!,sin错误!=错误!.由于0<B<错误!,故B=错误!.从而△ABC是直角三角形.2.解析:本题考查了正弦定理、二倍角公式、三角形面积公式以及学生对三角恒等变换的掌握情况;考查学生逻辑推理能力和运算求解能力;考查了逻辑推理和数学运算的核心素养.(1)由题设及正弦定理得sin A sin错误!=sin B sin A.因为sin A≠0,所以sin错误!=sin B。
弘知教育内部资料中小学课外辅导专家三角函数典型习题1 .设锐角ABC 的内角 A, B, C 的对边分别为a,b, c , a 2bsin A .(Ⅰ)求B的大小 ;(Ⅱ )求cos A sin C的取值范围 .A B C在中 ,角A, B,C所对的边分别为,, 2 .ABC c , sin sin2 . 2 2(I)试判断△ABC的形状 ;(I I)若△ABC的周长为 16,求面积的最大值 .3 .已知在ABC 中, A且与tan B是方程 x2 5 x 6 0 的两个根.B , tan A(Ⅰ )求tan( A B) 的值;(Ⅱ )若 AB 5 ,求BC的长.4.在ABC 中,角A.B.C所对的边分别是a,b,c,且a2 c 2 b 2 1 ac.A C 2(1)求sin2 cos 2B 的值;2(2)若 b=2,求△ABC面积的最大值 .5.已知函数f ( x) 2sin 2 π3 cos2x , xπ π.x4,4 2(1)求f ( x)的最大值和最小值;(2)f ( x) m 2 在 x π π上恒成立,求实数m 的取值范围.,4 26.在锐角△ABC 中,角..的对边分别为a、b、已知(b2 c 2 a 2) tanA bcA B C c, 3 .(I)求角 A;(II)若 a=2,求△ ABC面积 S 的最大值 ?7.已知函数f ( x) (sin x cos x)2 +cos2 x .(Ⅰ )求函数f x 的最小正周期 ;(Ⅱ )当x 0,2时 ,求函数f x 的最大值 ,并写出 x 相应的取值 .8 .在ABC中,已知内角 A . B . C 所对的边分别为 a 、 b 、 c, 向量r2sin B, rcos2B, 2cos2 B1r rm 3 , n 2 ,且m / / n ?(I)求锐角 B 的大小 ;(II)如果b 2 ,求ABC 的面积S ABC的最大值?答案解析11【解析】 :(Ⅰ )由 a2b sin A ,根据正弦定理得 sin A2sin B sin A ,所以 sin B ,2π由ABC 为锐角三角形得B.6(Ⅱ ) cos A sin C cos A sinAcos A sin6Acos A13 sin Acos A223 sin A .32【解析】 :I. sinC sin C cos C sin C 2 sin( C)C2 22 2 2 4即 C ,所以此三角形为直角三角形 .2422II. 16 a b22ab2ab , ab64(22) 2a b 时取等ab2 当且仅当 号,此时面积的最大值为326 4 2 .3【解析】 :(Ⅰ )由所给条件 ,方程 x 2 5 x 6 0 的两根 tan A 3, tan B2 .∴ tan( A B)tan A tan B2 311 tan A tan B 12 3(Ⅱ)∵ A B C 180 ,∴ C180 (A B) .由(Ⅰ )知 , tanCtan( A B)1,∵ C 为三角形的内角 ,∴ sin C22∵ tan A3 , A 为三角形的内角 ,∴ sin A3 ,10由正弦定理得 :AB BC5 3 ∴ BC 3 5 .21028【解析】 :(1)r r2sinB(2cos 2 B m / / n-1)=- 3cos2B22sinBcosB=- 3cos2Btan2B=- 32ππ ∵ 0<2B< π,∴ 2B= 3 ,∴ 锐角 B=3(2)由 tan2B=- 3π 5πB= 或63π① 当B= 时 ,已知 b=2,由余弦定理 ,得 :34=a 2+c 2 -ac ≥ 2ac-ac=ac(当且仅当 a=c=2 时等号成立 )1 3∵△ ABC 的面积 S △ABC =2 acsinB= 4 ac ≤ 3∴△ ABC 的面积最大值为 35π ② 当 B= 6 时 ,已知 b=2,由余弦定理 ,得 :4=a 2+c 2 + 3ac ≥2ac+ 3ac=(2+ 3)ac(当且仅当 a=c= 6- 2时等号成立 )∴ac ≤ 4(2-3)1 1∵△ ABC 的面积 S △ABC =2 acsinB=4ac ≤2- 3 ∴△ ABC 的面积最大值为 2- 314【解析】 :(1) 由余弦定理 :cosB=4sin 2A C+cos2B=124(2)由 cos B1,得 sin B15. ∵ b=2,44a218 115 2+ c =2ac+4≥2ac,得 ac ≤ ,S △ABC =2acsinB ≤(a=c 时取等号 )33故 S △ABC 的最大值为 1535 【解析】∵f ( x) 1 π3 cos2 x 1 sin 2x 3cos2 x( Ⅰ )cos2x21 2sin 2xπ.3又∵ xπ ππ 2xπ 2π, , ∴≤≤,4 2633即2≤12sin 2xπ≤ 3,3∴ f ( x) max 3, f ( x) min 2 .(Ⅱ ) ∵ f ( x)m 2f (x) 2 mf (x) 2 , xπ π ,4,2∴ mf ( x)max 2 且 m f ( x) min 2 ,∴1 m 4 ,即 m 的取值范围是 (14), .6【解析】 :(I)由已知得b 2c 2a 2 sin A3 32bccos A sin A22又在锐角 △ABC 中,所以 A=60°,[不说明是锐角 △ABC 中,扣 1 分 ](II)因为 a=2,A=60 所°以 b2c2bc 4, S1bc sin A3bc24而b 2c 22bc4 2bcbc4bc又 S1bc sin A3bc3 4 3244所以 △ ABC 面积 S 的最大值等于37【解析】 :(Ⅰ )因为 f ( x) (sin xcos x)2 +cos2 xsin 2 x 2sin x cos x cos 2 x cos2 x1 sin2 x cos2x ( ) =1+ 2 sin(2 x)4所以 2,即函数 f (x) 的最小正周期为, T2(Ⅱ )因为 0 x,得4 2x45,所以有2 sin(2 x) 1242 4 12 sin(2 x) 2,即0 12 sin(2 x)1244所以 ,函数 f x的最大值为 1 2此时 ,因为2 x5,所以 , 2 x,即 x844442。
高考数学一轮复习《三角函数》复习练习题(含答案)一、单选题2TC1.已知cos。
= 一,0 < a < 勿,贝!jtan( -------- a)=( )3 4A.--B. -7C. -4A/5 - 9D. 4右-92.设函数f(x) = x3,若0<6><yHt, 恒成立,则实数扪的取值范围是A. (-8,1)B. [一°°,;]C.(YO,0)D. (0,1)3.如图,为了测量山坡上灯塔CD的高度,某人从高为人=40的楼/W的底部《处和楼顶B处分别测得仰角6=60。
,a=30。
,若山坡高为a=35,则灯塔的高度是( )A. 20B. 25C. 20^/2D. 30TT4.已知函数/(x) = A sin — x, g (x) = - 2), fc > 0. & 知A = 1 时,函数/z(x) = y(x)-g(x)的所有零点之和为6,贝。
当A = 2时,函数h(x) = f(x)-g(x)的所有零点之和为A. 6B. 8C. 10D. 125.下列说法中正确的是A.若数列{%}为常数列,贝州%}既是等差数列也是等比数列;B.若函数六了)为奇函数,贝0/(0) = 0;C.在AABC中,A>B是sinA>sinB的充要条件;D.若两个变量X,,的相关系数为「,贝越大,x与 > 之间的相关性越强.6.要得到函数y = 4sin]4x-f|的图像,只需要将函数y = 4sin4x的图像( )A.向左平移尚个单位B.向右平移%个单位C.向左平移:个单位D.向右平移:个单位7. 将函数f (x) = cos(2x-g)向左平移中(9>0)个单位长度,所得图像的对应函数为g(x),则“9 =;‘是“g(x)为奇函数"的( )取值范围是( )变横坐标压缩为原来的?,得到函数顼:的图象,则使球为增函数的一个区间是12.时钟的分针在1点到3点20分这段时间里转过的弧度为二、填空题13. A>4BC 的内角 4、B 、C 的对边分别为 a, b, c,已知 c+b (sinA - cosA) =0, c= ^2 , a =1,则人=.14. 在 AABC 中,若Z? = 2asinB,则 A 等于15. 甲船在岛A 处南偏西50。
三角函数典型习题1 •设锐角ABC的内角A B, C的对边分别为a, b, c,a 2bsi nA.(I )求B的大小;(n)求cosA sin C的取值范围• A B C 厂2 •在ABC中角A,B,C所对的边分别为a, b, c,sin sin— 2 .2 2(1)试判断△ ABC的形状;(II)若厶ABC的周长为16,求面积的最大值•23 •已知在ABC中,A B,且tan A与tan B是方程x 5x 6 0的两个根•(I )求tan (A B)的值;(n )若AB 5 ,求BC的长•2 2 2 14. 在ABC中,角A. B. C所对的边分别是a,b,c,且a c b ac.22A C(1) 求sin cos2B 的值;2(2) 若b=2,求厶ABC面积的最大值.5. 已知函数f(x) 2s in2 n x 3cos2x, xn,-n•4 4 2(1 )求f (x)的最大值和最小值;(2)f(x) m 2在x n,n上恒成立,求实数m的取值范围.4 26. 在锐角△ ABC 中,角A. B. C 的对边分别为a、b、c,已知(b2 c2 a2)ta nA 3bc.(I) 求角A;(II) 若a=2,求厶ABC面积S的最大值?7. 已知函数f (x) (sin x cosx) +cos2 x .(I )求函数f x的最小正周期;(n )当x o,?时,求函数f x的最大值拼写出x相应的取值•8 .在ABC中,已知内角A . B . C所对的边分别为a、b、c,向量r r 2 B r r m 2sin B, 、3 ,n cos2B, 2cos 1,且m//n?2(I) 求锐角B的大小;(II) 如果b 2,求ABC的面积S ABC的最大值?答案解析11【解析】:(I )由a 2bsi nA ,根据正弦定理得si nA 2si n Bsin A ,所以sin B -,2 由ABC 为锐角三角形得B n .6(n )cosA sin C cos A sinAcos A sin -A61 3cos A cos Asin A22、、3sinA -.32【解析】 :I. sinC . sin CC cos .C sin2sin('—222 224C C 即C,所以此三角形为直角三角形2 422••• tanA 3, A 为三角形的内角,二sin A由正弦定理得:-A 艮 -BCsin C sin A-2 2b a b 2 abII.16 号,此时面积的最大值为 32 6 42 .-2ab ,—2ab 64(2 -.2)当且仅当a b 时取等3【解析】:(I )由所给条件 方程x 2 5x 6 ••• tan (A B) tan A tan B1 tan Atan BB C 180 ,• C180 (A 0 的两根 tan A 3, tan B 2 . 1B).由(I )知,tanCtan(A B)1,•/ C 为三角形的内角,• sinC_2 23 10弘知教育内部资料 中小学课外辅导专家2 3••• BC 1 —汇 3.5. 近 y/10 2r r 2B 厂8【解析】:(1) m//n2sinB(2cos ;-1)=-,3cos2B 2sinBcosB=- 3cos2Btan2B=- 32兀 心宀 n••• 0<2B< n,2B=y,A 锐角 B=3① 当B=n^,已知b=2,由余弦定理,得: 4=a 2+c ?-ac > 2aac=ac(当且仅当a=c=2时等号成立)■/ △ ABC 的面积 S ABC =3acsinBh^ac w 3ABC 的面积最大值为.3② 当B=6n 时,已知b=2,由余弦定理,得:4=a 2+c 2+ 3ac 县ac+ . 3ac=(2+ 3)ac(当且仅当 a=c= , 6- . 2时等号成立) •,ac < 4(23)1 1•••△ ABC 的面积 S AABC =2 acsinB^ac <2- , 3 ,△ ABC 的面积最大值为 2- 314【解析】:(1)由余弦定理:cosB=4sid +cos2B=1 24⑵由cos B4 得sinB.15 •/ b=2,4n1 2sin 2x —;=;ac+4 > 2c,得 acw —,c 233 2sin(2x -)2 ,即 0 1 -2sin(2x -) 12 44(2)由 tan2B=- .3n [、. 5nB=3或石 1 V15S\ ABc =~acsi nBw(a=c 时取等号)3故S A ABC 的最大值为5【解析】(I ) T f(x).n _1 cos 2x3cos2x 1 sin2x 3cos2x弘知教育内部资料 中小学课外辅导专家n nn n又••• x —< 2x -<4 2 613 又 S besin A be24所以△ ABC 面积S 的最大值等于32 27【解析】:(I )因为 f (x) (sin x eosx) +eos2 x sin1 sin2x eos2x ( ) =1+.2si n(2x )42所以,T —,即函数f(x)的最小正周期为2(n )因为 0 x ,得 2x L,所以有-sin(2x) 12 4 4 4 24所以,函数f x 的最大值为1 2此时,因为一2x —丄,所以,2x ,即x -4 4 4428即 2 < 1 2sinn2x -3 • f(x) maxf (X)min(n) •/ f (x)f(x)f(x)•- m f (X)maxf ( X) min••• 1 m 4,即m 的取值范围是(1,4).6【解析】:(1)由已知得b 1 2 * 4e 2 a 2 si nA ,32bccos A又在锐角△ ABC 中,所以A=60,[不说明是锐角 △ ABC 中,扣 1 分](II)因为 a=2,A=60 所以 b e be 4,S1 3besin Abe2而 b 2 e 2 2be be 42bcbe 4 ,3x 2sin xeosx eos 2 x eos2x。
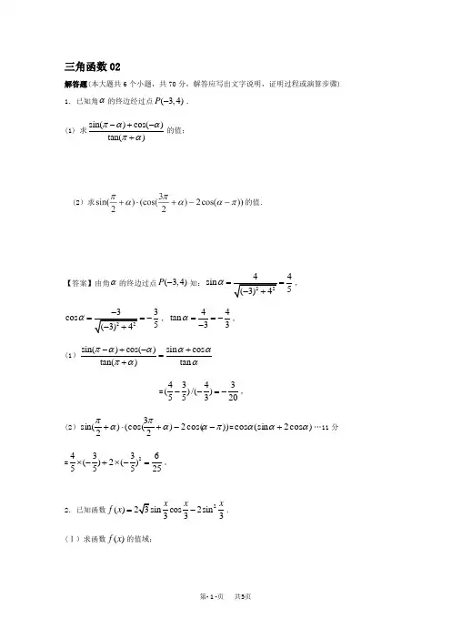
三角函数02解答题(本大题共6个小题,共70分,解答应写出文字说明,证明过程或演算步骤)1.已知角的终边经过点.(1) 求的值;(2)求的值.【答案】由角的终边过点知:, ,, (1) =, (2)=…11分 =。
2.已知函数. (Ⅰ)求函数的值域;α(3,4)P -sin()cos()tan()πααπα-+-+α(3,4)P -224sin 5(3)4α==-+223cos 5(3)4α==--+44tan 33α==--sin()cos()sin cos tan()tan πααααπαα-+-+=+4343()/()55320--=-))cos(2)23(cos()2sin(πααπαπ--+⋅+)cos 2(sin cos ααα+24336()2()55525⨯-+⨯-=2()23cos 2sin 333x x x f x =-()f x(Ⅱ)在△中,角所对的边分别为,若,且,求的值【答案】(1) ∵,∴ ∴ ∴函数的值域为(2), ∴,而, ∴. 在中,,,∴, 得 解得 ∵, ∴.3.如图所示,甲船在A 处,乙船在A 处的南偏东45°方向,距A 有9n mile 并以20n mile/h 的速度沿南偏西15°方向航行,若甲船以28n mile/h 的速度航行,应沿什么方向,用多少h 能尽快追上乙船?ABC ,,A B C ,,a b c ()1f C =2b ac =sinA 22()cos 133x x f x =+-22sin()136x π=+-x R ∈21sin()136x π-≤+≤232sin()1136x π-≤+-≤()f x [3,1]-2()2sin()1136C f C π=+-=2sin()136C π+=(0,)C π∈2C π=Rt ABC ∆2b ac =222c a b =+22c a ac =+2()10aa c c+-=a c =0sin 1A <<1sin 2a A c -==【答案】设用t 小时,甲船能追上乙船,且在C 处相遇.在△ABC 中,AC=28t ,BC=20t ,AB=9,∠ABC=1200,根据余弦定理得,AC 2=AB 2+BC 2-2AB ·Bccos ∠ABC即(28t)2=(20t)2+(20t)2-2×9×20tcos1200,整理得,128 t 2-60t -27=0,(4t -3)(32t+9)=0,解得或(舍). 所以AC=21,BC=15, 在△ABC 中,, 所以∠BAC=380,所以甲船应沿南偏西70方向行驶.答:甲船应沿南偏西70方向,用0.75h 能尽快追上乙船.4.已知向量,函数. (Ⅰ)求函数的最小正周期;(Ⅱ)已知、、分别为内角、、的对边, 其中为锐角,,且,求和的面积.【答案】(Ⅰ)3t 4=9t 32=-015BC sin1202sin BAC 0.6186AC21⋅∠===≈1(sin ,1),(3cos ,)2a xb x =-=-()()2f x a b a =+⋅-()f xT a b c ABC ∆A B C A 4a c ==()1f A =,A b ABC ∆S 2()()22f x a b a aa b =+⋅-=+⋅-21sin 1cos 22x x x =++-因为,所以5.化简:【答案】原式=6.已知函数(I )化简函数f (x )的解析式,并求函数f (x )的最小正周期;(Ⅱ)在锐角△ABC 中,若,求△AB C 的面积.【答案】(1) (2) 1cos 21sin 2222x x -=+-12cos 222x x =-sin(2)6x π=-2ω=22T ππ==)()(()(αππααπααπ+++323tan --cos )(cos )-cos sin αααααααα333323cos tan sin tan cos )cos (cos )sin (==-⋅⋅-2()2sin cos f x x x x x R =+-∈()1,2f A AB AC =⋅=)32sin(2)(π+=x x f ππ==22T 22=s。
高考解答题专项二 三角函数中的综合问题1.已知函数f (x )=2sin ωx cos ωx-π6-12(0<ω<2),函数f (x )在[a ,b ]上单调递增,且b-a 的最大值为π2,求f (x )在-π2,π2上的单调递减区间.2.(2021湖南怀化高三二模)在△ABC 中,内角A ,B ,C 所对的边长分别为a ,b ,c ,且满足2tanBtanA+tanB =bc . (1)求角A ;(2)若a=√13,b=3,求△ABC 的面积.3.(2021天津静海一中高三月考)已知锐角三角形ABC的三个角A,B,C所对的边为a,b,c,且b cos C+√3b sin C=a+c.(1)求B;(2)若b=2,△ABC的面积为√3,求a,c.4.平面凸四边形ABCD中,∠BAD=∠BCD=90°,AD=3,AB=4.(1)若∠ABC=45°,求CD;(2)若BC=2√5,求AC.5.(2021江苏徐州高三二模)若f(x)=sin(ωx+φ)ω>0,0<φ<π2的部分图象如图所示,f(0)=12,f5π12=0.(1)求f(x)的解析式;(2)在锐角三角形ABC中,若A>B,f A-B2−π12=35,求cos A-B2,并证明sin A>2√55.6.(2021河南郑州高三三模)在△ABC中,AB=2AC,点D在BC边上,AD平分∠BAC.(1)若sin∠ABC=√5,求cos∠BAC;5(2)若AD=AC,且△ABC的面积为√7,求BC.高考解答题专项二 三角函数中的综合问题1.解f (x )=2sin ωx cos ωx-π6-12=2sin ωx cos ωx cos π6+sin ωx sin π6-12=√3cos ωx sin ωx+sin 2ωx-12=√32sin2ωx-12cos2ωx=sin 2ωx-π6.若f (x )在[a ,b ]上单调递增,且b-a 的最大值为π2, 则T=π=2π2ω,故ω=1,所以f (x )=sin 2x-π6.由π2+2k π≤2x-π6≤3π2+2k π(k ∈Z ),得π3+k π≤x ≤5π6+k π(k ∈Z ),令k=0,得π3≤x ≤5π6;令k=-1,得-2π3≤k ≤-π6.又-π2≤x ≤π2, 所以f (x )在-π2,π2上单调递减区间为-π2,-π6,π3,π2.2.解(1)由2tanBtanA+tanB =bc 及正弦定理可知,2sinBcosB sinA cosA +sinBcosB=sinBsinC ,所以2sinB cosB·cosA ·cosB sin(A+B)=sinB sinC,因此2cos A=1.又A ∈(0,π),所以A=π3.(2)由余弦定理a 2=b 2+c 2-2bc cos A ,得13=9+c 2-3c , 所以c 2-3c-4=0,即(c-4)(c+1)=0,解得c=4. 从而S △ABC =12bc sin A=12×3×4×√32=3√3.3.解(1)由正弦定理得sin B cos C+√3sin B sin C=sin A+sin C=sin(B+C )+sin C=sin B cos C+cos B sin C+sin C. 因为C 为三角形内角,sin C ≠0,所以√3sin B-cos B=1,sin B-π6=12.因为-π6<B-π6<π3,则B-π6=π6,即B=π3. (2)由已知S=12ac sin B=√34ac=√3,得ac=4.又a 2+c 2-b 2=2ac cos B ,即a 2+c 2-4=ac ,解得a=c=2.4.解(1)连接BD ,在Rt △BAD 中,由AB=4,AD=3,∠BAD=90°, 得BD=5,∴sin ∠ABD=35,cos ∠ABD=45.∵∠ABC=45°,∴∠DBC=45°-∠ABD ,∴sin ∠DBC=sin45°·cos ∠ABD-cos45°·sin ∠ABD=√22×45−√22×35=√210. 在Rt △BCD 中,由∠BCD=90°,知CD=BD ·sin ∠DBC=5×√210=√22.(2)连接AC ,由(1)知BD=5,在Rt △ABD 中易知sin ∠ABD=35,cos ∠ABD=45. 在Rt △BCD 中,由BC=2√5,BD=5,得CD=√5. 易知sin ∠CBD=√55,cos ∠CBD=2√55. ∴cos ∠ABC=cos(∠ABD+∠CBD )=cos ∠ABD ·cos ∠CBD-sin ∠ABD ·sin ∠CBD=45×2√55−35×√55=√55. 在△ABC 中,由余弦定理得AC 2=AB 2+BC 2-2AB ·BC cos ∠ABC=42+(2√5)2-2×4×2√5×√55=20, ∴AC=2√5.5.解(1)由f (0)=12,得sin φ=12.又0<φ<π2,故φ=π6. 由f5π12=0,得sin ω·5π12+π6=0,所以ω·5π12+π6=2k π+π(k ∈Z ),即ω=2+24k5(k ∈Z ).由ω>0,结合函数图象可知12·2πω>5π12,所以0<ω<125.又k ∈Z ,所以k=0,从而ω=2,因此f (x )=sin 2x+π6.(2)由fA -B 2−π12=sin(A-B )=35,因为0<B<A<π2,所以0<A-B<π2,故cos(A-B )=45. 因为cos(A-B )=2cos 2A -B2-1,于是cosA -B 2=√1+cos(A -B)2=3√1010. 所以sinA -B 2=√1-cos 2A -B 2=√1010. 又A+B>π2,故A=A+B 2+A -B 2>π4+A -B 2.又y=sin x 在0,π2上单调递增,且A ∈0,π2,π4+A -B 2∈0,π2, 所以sin A>sinπ4+A -B 2=sin π4cosA -B 2+cos π4sinA -B 2=√22×3√1010+√1010=2√55.6.解(1)令△ABC 的边AC ,AB ,BC 为b ,c ,a ,由题意可得c=2b , ∵AB>AC ,∴∠ABC<∠ACB ,∴∠ABC 为锐角,即cos ∠ABC=√1-15=2√55.∵AC sin ∠ABC=AB sin ∠ACB,∴sin ∠ACB=2√55.∵∠ACB ∈(0,π),∴cos ∠ACB=±√55. ∴cos ∠BAC=-cos(∠ABC+∠ACB )=sin ∠ABC sin ∠ACB-cos ∠ABC cos ∠ACB.当cos ∠ACB=√55时,cos ∠BAC=√55×2√55−2√55×√55=0. 当cos ∠ACB=-√55时,cos ∠BAC=√55×2√55+2√55×√55=45.所以cos ∠BAC=0或45.(2)设∠CAD=∠DAB=θ,由于S △ABC =S △ACD +S △ADB , 所以12AC ·AD sin θ+12AB ·AD sin θ=12AB ·AC sin2θ, 由AD=AC ,AB=2AC 可得3sin θ=4sin θcos θ.因为sin θ≠0,则cos θ=34,sin θ=√1-cos 2θ=√74, S △ABC =12AC ·AB sin2θ=b 2sin2θ=2b 2sin θcos θ=√7,解得b 2=83.又cos2θ=2cos 2θ-1=18,∴a=√b 2+4b 2-2b ·2bcos2θ=2√3,即BC=2√3.。
高考大题强化练(二)三角综合问题1.已知函数f(x)=cos 2ωx + 3 sin 2ωx +t(ω>0),若f(x)的图象上相邻两条对称轴间的距离为π4 ,图象过点(0,0).(1)求f(x)的表达式和f(x)的递增区间;(2)将函数f(x)的图象向右平移π8 个单位长度,再将图象上各点的横坐标伸长到原来的2倍(纵坐标不变),得到函数y =g(x)的图象.若函数F(x)=g(x)+k 在区间⎣⎡⎦⎤0,π2 上有且只有一个零点,求实数k 的取值范围.〖解 析〗(1)因为f(x)=cos 2ωx + 3 sin 2ωx +t =2sin ⎝ ⎛⎭⎪⎫2ωx +π6 +t ,f(x)的最小正周期为2π2ω=π2 ,所以ω=2.因为f(x)的图象过点(0,0),所以2sin π6 +t =0, 所以t =-1,即f(x)=2sin ⎝⎛⎭⎪⎫4x +π6 -1.令2k π-π2 ≤4x +π6 ≤2k π+π2 ,k ∈Z , 12 k π-π6 ≤x ≤12 k π+π12 ,k ∈Z , 故f(x)的递增区间为⎣⎢⎡⎦⎥⎤k π2-π6,k π2+π12 ,k ∈Z . (2)将函数f(x)的图象向右平移π8 个单位长度,可得y =2sin ⎝⎛⎭⎪⎫4x -π2+π6 -1=2sin ⎝⎛⎭⎪⎫4x -π3 -1的图象,再将图象上各点的横坐标伸长到原来的2倍(纵坐标不变),得到函数g(x)=2sin ⎝⎛⎭⎪⎫2x -π3 -1的图象.因为x ∈⎣⎢⎡⎦⎥⎤0,π2 ,所以2x -π3 ∈⎣⎢⎡⎦⎥⎤-π3,2π3 ,所以sin ⎝⎛⎭⎪⎫2x -π3 ∈⎣⎢⎡⎦⎥⎤-32,1 ,故g(x)=2sin ⎝ ⎛⎭⎪⎫2x -π3 -1在区间⎣⎢⎡⎦⎥⎤0,π2 上的值域为〖- 3 -1,1〗.若函数F(x)=g(x)+k 在区间⎣⎢⎡⎦⎥⎤0,π2 上有且只有一个零点,即函数g(x)=2sin ⎝⎛⎭⎪⎫2x -π3 -1的图象和直线y =-k 存在交点,根据图象可知,- 3 -1≤-k < 3 -1或-k =1. 解得1- 3 <k ≤ 3 +1或k =-1,故实数k 的取值范围是(1- 3 , 3 +1〗∪{-1}. 2.已知函数f(x)=sin ⎝⎛⎭⎫x +π4 sin (x -π4 )+ 3 sin x cos x.(1)求函数f(x)的最小正周期; (2)若f(θ)=12 ,求角θ的取值集合;(3)设f ⎝⎛⎭⎫α2+π4 =33 ,f ⎝⎛⎭⎫β-π4 =13 ,且-π2 <α<0,π4 <β<π2 ,求cos (α-2β)的值.〖解 析〗f(x)=sin ⎝ ⎛⎭⎪⎫x +π4 sin ⎝ ⎛⎭⎪⎫x -π4 +3 sin x cos x=sin ⎝ ⎛⎭⎪⎫x -π4+π2 sin ⎝ ⎛⎭⎪⎫x -π4 + 3 sin x cos x=cos ⎝ ⎛⎭⎪⎫x -π4 sin ⎝ ⎛⎭⎪⎫x -π4 + 3 sin x cos x=12 sin 〖2(x -π4 )〗+3 sin x cos x =-12 cos 2x +32 sin 2x=sin ⎝⎛⎭⎪⎫2x -π6 .(1)最小正周期T =2π2 =π. (2)f(θ)=sin (2θ-π6 )=12 ,所以2θ-π6 =π6 +2k π或2θ-π6 =5π6 +2k π,k ∈Z , 所以θ=π6 +k π或θ=π2 +k π,k ∈Z ,故角θ的取值集合为{θ|θ=π6 +k π或θ=π2 +k π,k ∈Z }.(3)因为f ⎝ ⎛⎭⎪⎫α2+π4 =33 ,所以sin 〖2(α2 +π4 )-π6 〗=33 , 即sin (α+π3 )=33 .因为-π2 <α<0,所以α+π3 ∈⎝ ⎛⎭⎪⎫-π6,π3 ,所以cos ⎝ ⎛⎭⎪⎫α+π3 =63 .因为f ⎝ ⎛⎭⎪⎫β-π4 =13 ,所以sin 〖2(β-π4 )-π6 〗=13 , 即sin (2β-2π3 )=13 .因为π4 <β<π2 ,所以2β-2π3 ∈⎝ ⎛⎭⎪⎫-π6,π3 ,所以cos ⎝⎛⎭⎪⎫2β-2π3 =223 .所以cos (α-2β)=-cos 〖(α+π3 )-(2β-2π3 )〗 =-cos (α+π3 )·cos (2β-2π3 )-sin (α+π3 )·sin (2β-2π3 ) =-63 ×223 -33 ×13 =-539 .3.如图,设A ,B 是半径为1的圆O 上的动点,且A ,B 分别在第一、二象限,C 是圆O 与x 轴正半轴的交点,△AOB 为等边三角形,记以Ox 轴正半轴为始边、射线OA 为终边的角为θ.(1)若点A 的坐标为⎝⎛⎭⎫35,45 ,求5sin (-θ)-5cos (π+θ)+3tan θ的值; (2)设f(θ)=|BC|2,求函数f(θ)的解析式和值域.〖解 析〗(1)因为A 的坐标为⎝⎛⎭⎫35,45 ,以Ox 轴正半轴为始边,射线OA 为终边的角为θ.所以根据三角函数的定义可知,sin θ=45 ,cos θ=35 ,tan θ=43 , 5sin (-θ)-5cos (π+θ)+3tan θ=-5sin θ+ 5cos θ+3tan θ=-5×45 +5×35 +3×43 =3.(2)因为△AOB 为正三角形,所以∠AOB =60°. 所以cos ∠COB =cos (θ+60°),所以f(θ)=|BC|2=|OC|2+|OB|2-2|OC|· |OB|cos ∠COB =2-2cos (θ+60°), 因为30°<θ<90°,所以f(θ)∈(2,2+ 3 ).4.在△ABC 中,内角A ,B ,C 所对的边长分别为a ,b ,c ,tan A +B 2 +tan C 2 =433 .(1)求角C 的大小;(2)已知△ABC 不是钝角三角形,且c =2 3 ,sin C +sin (B -A)=2sin 2A ,求△ABC 的面积. 〖解 析〗(1)因为A +B +C =π,所以tanA +B 2 +tanC 2 =tan π-C 2 +tan C2=433 ,所以( 3 tan C 2 -1)(tan C2 -3 )=0, 解得tan C 2 =33 或tan C2 =3 , 因为C ∈(0,π),所以当tan C 2 =33 时,C 2 =π6 ,即C =π3 ; 当tan C 2 = 3 时,C 2 =π3 ,即C =2π3 . 故角C 的大小为π3 或2π3 .(2)因为△ABC 不是钝角三角形,所以C =π3 , 所以sin C =32 ,A +B =2π3 , 因为sin C +sin (B -A)=2sin 2A ,所以32 +sin (2π3 -2A)=2sin 2A , 即32 +32 cos 2A +12 sin 2A =2sin 2A , 整理得,3 sin 2A -cos 2A =1, 即sin (2A -π6 )=12 ,所以2A -π6 =π6 +2k π或2A -π6 =5π6 +2k π,k ∈Z , 解得A =π6 +k π或A =π2 +k π,k ∈Z , 因为A ∈(0,π2 〗,所以A =π6 或π2 .当A =π6 时,B =π2 ,因为c =23 ,所以a =2, 所以S △ABC =12 ac =23 ;当A =π2 时,B =π6 ,因为c =2 3 ,所以b =2, 所以S △ABC =12 bc =23 . 综上所述,△ABC 的面积为2 3 .5.现给出两个条件:①2c - 3 a =2b cos A ,②2a sin 2B 2 +2b cos 2A2 =b +c.从中选出一个条件补充在下面的问题中,并以此为依据求解问题:在△ABC 中,a ,b ,c 分别为内角A ,B ,C 所对的边,________. (1)求B ;(2)若b =2,求△ABC 面积的最大值.注:如果选择多个条件分别解答,按第一个解答计分. 〖解 析〗选择条件:①2c - 3 a =2b cosA , (1)因为由余弦定理可得2c - 3 a =2b cos A =2b ·b 2+c 2-a 22bc ,所以整理可得a 2+c 2-b 2= 3 ac , 可得cos B =a 2+c 2-b 22ac =32 , 因为B ∈(0,π),所以B =π6 . (2)因为b =2,B =π6 ,所以由余弦定理b 2=a 2+c 2-2ac cos B , 可得4=a 2+c 2-2ac·32 ,所以4=a 2+c 2- 3 ac ≥2ac - 3 ac ,可得ac ≤8+4 3 ,当且仅当a =c 时等号成立, 所以S △ABC =12 ac sin B ≤12 ×(8+4 3 )×12 =2+3 ,即△ABC 面积的最大值为2+ 3 . 选择条件:②2a sin 2B 2 +2b cos 2A2 =b +c ,(1)由条件可得2a·1-cosB 2 +2b·1+cos A2 =b +c ,整理可得a -a cos B +b cos A =c , 所以由正弦定理可得sin A -sin A cos B +sin B cos A =sin C , 又因为sin C =sin (A +B)=sin A cos B +sin B cos A , 所以整理可得sin A =2sin A cos B , 因为sin A >0, 所以cos B =12 , 因为B ∈(0,π), 所以B =π3 .(2)因为b =2,B =π3 ,所以由余弦定理b 2=a 2+c 2-2ac cos B ,可得4=a 2+c 2-2ac·12 ,所以4=a 2+c 2-ac ≥2ac -ac =ac ,可得ac ≤4,当且仅当a =c 时等号成立, 所以S △ABC =12 ac sin B ≤12 ×4×32 =3 ,即△ABC 面积的最大值为 3 .6.△ABC 内角A ,B ,C 所对的边分别为a ,b ,c ,且a =3 2 ,b 2+c 2-a 2=ac cos C +c 2cos A. (1)求b +csin B +sin C的值;(2)若bc =b +c ,求△ABC 的面积.〖解 析〗(1)由b 2+c 2-a 2=ac cos C +c 2cos A 得b 2+c 2-a 22bc =ac cos C +c 2cos A2bc , 又由正、余弦定理得cos A=sin A cos C +sin C cos A 2sin B =sin (A +C )2sin B =12 , 而0<A <π, 故A =π3 , 又a =3 2 ,从而b +csin B +sin C=asin A =2 6 .(2)由余弦定理得cos A =12 =b 2+c 2-182bc, 即(b +c)2-3bc =18,又bc =b +c ,故(bc)2-3bc =18,解得bc =6, 故△ABC 的面积为S △ABC =12 bc sin A =332 .。
三角恒等变换1、已知cos α=17,cos(α-β)=1314,且0<β<α<π2,(1)求tan 2α的值; (2)求β.解 (1)∵cos α=17,0<α<π2,∴sin α=437,∴tan α=43,∴tan 2α=2tan α1-tan 2α=2×431-48=-8347. (2)∵0<β<α<π2,∴0<α-β<π2,∴sin(α-β)=3314,∴cos β=cos[α-(α-β)]=co s αcos(α-β)+sin αsin(α-β) =17×1314+437×3314=12. ∴β=π3.2、已知f (x )=⎝ ⎛⎭⎪⎫1+1tan x sin 2x -2sin ⎝ ⎛⎭⎪⎫x +π4·sin ⎝ ⎛⎭⎪⎫x -π4. (1)若tan α=2,求f (α)的值; (2)若x ∈⎣⎢⎡⎦⎥⎤π12,π2,求f (x )的取值范围.解 (1)f (x )=(sin 2x +sin x cos x )+2sin ⎝⎛⎭⎪⎫x +π4· cos ⎝⎛⎭⎪⎫x +π4=1-cos 2x 2+12sin 2x +sin ⎝ ⎛⎭⎪⎫2x +π2 =12+12(sin 2x -cos 2x )+cos 2x =12(sin 2x +cos 2x )+12. 由tan α=2,得sin 2α=2sin αcos αsin 2α+cos 2α=2tan αtan 2α+1=45. cos 2α=cos 2α-sin 2αsin 2α+cos 2α=1-tan 2α1+tan 2α=-35.所以f (α)=12(sin 2α+cos 2α)+12=35.(2)由(1)得f (x )=12(sin 2x +cos 2x )+12=22sin ⎝⎛⎭⎪⎫2x +π4+12.由x ∈⎣⎢⎡⎦⎥⎤π12,π2,得2x +π4∈⎣⎢⎡⎦⎥⎤5π12,5π4. ∴-22≤sin ⎝ ⎛⎭⎪⎫2x +π4≤1,∴0≤f (x )≤2+12, 所以f (x )的取值范围是⎣⎢⎡⎦⎥⎤0,2+12. 3、已知函数f (x )=4cos x ·sin ⎝⎛⎭⎪⎫x +π6-1.(1)求f (x )的最小正周期;(2)求f (x )在区间⎣⎢⎡⎦⎥⎤-π6,π4上的最大值和最小值.解 (1)因为f (x )=4cos x sin ⎝⎛⎭⎪⎫x +π6-1=4cos x ⎝⎛⎭⎪⎫32sin x +12cos x -1=3sin 2x +2cos 2x -1=3sin 2x +cos 2x =2sin ⎝⎛⎭⎪⎫2x +π6,所以f (x )的最小正周期为π.(2)因为-π6≤x ≤π4,所以-π6≤2x +π6≤2π3.于是,当2x +π6=π2,即x =π6时,f (x )取得最大值2;当2x +π6=-π6,即x =-π6时,f (x )取得最小值-1.4、设α为锐角,若cos ⎝ ⎛⎭⎪⎫α+π6=45,则sin ⎝ ⎛⎭⎪⎫2α+π12的值为________.解析 ∵α为锐角且cos ⎝ ⎛⎭⎪⎫α+π6=45, ∴α+π6∈⎝ ⎛⎭⎪⎫π6,2π3,∴sin ⎝⎛⎭⎪⎫α+π6=35. ∴sin ⎝ ⎛⎭⎪⎫2α+π12=sin ⎣⎢⎡⎦⎥⎤2⎝ ⎛⎭⎪⎫α+π6-π4=sin 2⎝ ⎛⎭⎪⎫α+π6cos π4-cos 2⎝ ⎛⎭⎪⎫α+π6sin π4=2sin ⎝ ⎛⎭⎪⎫α+π6cos ⎝ ⎛⎭⎪⎫α+π6-22⎣⎢⎡⎦⎥⎤2cos 2⎝ ⎛⎭⎪⎫α+π6-1 =2×35×45-22⎣⎢⎡⎦⎥⎤2×⎝ ⎛⎭⎪⎫452-1=12225-7250=17250. 答案172505、已知cos α=13,cos(α+β)=-13,且α,β∈⎝ ⎛⎭⎪⎫0,π2,则cos(α-β)的值为________.解析 ∵cos α=13,α∈⎝⎛⎭⎪⎫0,π2,∴sin α=223,∴sin 2α=429,cos 2α=-79.又cos(α+β)=-13,α+β∈(0,π),∴sin(α+β)=223.∴cos(α-β)=cos[2α-(α+β)] =cos 2αcos(α+β)+sin 2αsin(α+β)=⎝ ⎛⎭⎪⎫-79×⎝ ⎛⎭⎪⎫-13+429×223=2327.答案23276.计算cos 42°cos 18°-cos 48°sin 18°的结果等于( ). A.12 B.33 C.22 D.32解析 原式=sin 48°cos 18°-cos 48°sin 18° =sin(48°-18°)=sin 30°=12.答案 A 7.已知sin ⎝ ⎛⎭⎪⎫π2+α=13,则cos(π+2α)的值为( ).A .-79 B.79 C.29 D .-23解析 由题意,得sin ⎝ ⎛⎭⎪⎫π2+α=cos α=13.所以cos(π+2α)=-cos 2α=-(2cos 2α-1)=1-2cos 2α=79.答案 B8.已知cos ⎝ ⎛⎭⎪⎫π4-x =35,则sin 2x =( ).A.1825B.725 C .-725 D .-1625 解析 因为sin 2x =cos ⎝ ⎛⎭⎪⎫π2-2x =cos 2⎝ ⎛⎭⎪⎫π4-x =2cos 2⎝ ⎛⎭⎪⎫π4-x -1,所以sin 2x =2×⎝ ⎛⎭⎪⎫352-1=1825-1=-725.答案 C9.已知α∈⎝ ⎛⎭⎪⎫π,32π,且cos α=-45,则tan ⎝ ⎛⎭⎪⎫π4-α等于( ). A .7 B.17 C .-17D .-7解析 因α∈⎝ ⎛⎭⎪⎫π,32π,且cos α=-45,所以sin α<0,即sin α=-35,所以tan α=34.所以tan ⎝ ⎛⎭⎪⎫π4-α=1-tan α1+tan α=1-341+34=17. 答案 B10.已知tan ⎝ ⎛⎭⎪⎫α+π4=-12,且π2<α<π,则sin 2α-2cos 2αsin ⎝ ⎛⎭⎪⎫α-π4等于( ). A.255 B .-3510 C .-255 D .-31010解析 sin 2α-2cos 2αsin ⎝ ⎛⎭⎪⎫α-π4=2sin αcos α-2cos 2α22sin α-cos α=22cos α,由tan ⎝ ⎛⎭⎪⎫α+π4=-12,得tan α+11-tan α=-12,解得tan α=-3,因为π2<α<π,所以解得cos α=-1tan 2α+1=-1010,所以原式=22cos α=22×⎝ ⎛⎭⎪⎫-1010=-255.答案 C11.设f (x )=1+cos 2x 2sin ⎝ ⎛⎭⎪⎫π2-x +sin x +a 2sin ⎝ ⎛⎭⎪⎫x +π4的最大值为2+3,则常数a =________.解析 f (x )=1+2cos 2x -12cos x +sin x +a 2sin ⎝⎛⎭⎪⎫x +π4=cos x +sin x +a 2sin ⎝ ⎛⎭⎪⎫x +π4=2sin ⎝ ⎛⎭⎪⎫x +π4+a 2sin ⎝ ⎛⎭⎪⎫x +π4=(2+a 2)sin ⎝⎛⎭⎪⎫x +π4.依题意有2+a 2=2+3,∴a =± 3. 答案 ± 312、已知cos 4 α-sin 4α=23,且α∈⎝ ⎛⎭⎪⎫0,π2,则cos ⎝⎛⎭⎪⎫2α+π3=________.解析 ∵cos 4α-sin 4 α=(sin 2 α+cos 2α)(cos 2α-sin 2 α)=23,∴cos 2α=23,又α∈⎝ ⎛⎭⎪⎫0,π2,∴2α∈(0,π), ∴sin 2α=1-cos 22α=53, ∴cos ⎝ ⎛⎭⎪⎫2α+π3=12cos 2α-32sin 2α =12×23-32×53=2-156. 答案2-15613.已知函数f (x )=cos ⎝ ⎛⎭⎪⎫x -π3-sin ⎝ ⎛⎭⎪⎫π2-x .(1)求函数f (x )的最小正周期;(2)若α∈⎝ ⎛⎭⎪⎫0,π2,且f ⎝ ⎛⎭⎪⎫α+π6=35,求f (2α)的值.解 (1)f (x )=12cos x +32sin x -cos x=32sin x -12cos x =sin ⎝⎛⎭⎪⎫x -π6.∴f (x )的最小正周期为2π.(2)由(1)知f (x )=sin ⎝⎛⎭⎪⎫x -π6.所以f ⎝ ⎛⎭⎪⎫α+π6=sin ⎝⎛⎭⎪⎫α+π6-π6=sin α=35,∵α∈⎝⎛⎭⎪⎫0,π2,∴cos α=1-sin 2α=1-⎝ ⎛⎭⎪⎫352=45. ∴sin 2α=2sin αcos α=2×35×45=2425,cos 2α=2cos 2α-1=2×⎝ ⎛⎭⎪⎫452-1=725,∴f (2α)=sin ⎝ ⎛⎭⎪⎫2α-π6=32sin 2α-12cos 2α =32×2425-12×725=243-750. 14.已知函数f (x )=-3sin 2x +sin x cos x . (1)求f ⎝⎛⎭⎪⎫25π6的值.(2)设α∈(0,π),f ⎝ ⎛⎭⎪⎫α2=14-32,求sin α的值.解 f (x )=-3sin 2x +sin x cos x =-3×1-cos 2x 2+12sin 2x =-32+sin ⎝⎛⎭⎪⎫2x +π3, (1)f ⎝⎛⎭⎪⎫25π6=-32+sin ⎝⎛⎭⎪⎫25π3+π3=0.(2)f ⎝ ⎛⎭⎪⎫α2=-32+sin ⎝ ⎛⎭⎪⎫α+π3=14-32,∴0<sin ⎝⎛⎭⎪⎫α+π3=14<12,又∵α∈()0,π,∴α+π3∈⎝ ⎛⎭⎪⎫π3,4π3.∴α+π3∈⎝ ⎛⎭⎪⎫5π6,π, ∴cos ⎝ ⎛⎭⎪⎫α+π3=-154,∴sin α=sin ⎝ ⎛⎭⎪⎫α+π3-π3=14×12+154×32=1+358. 15.已知tan(α+β)=25,tan ⎝ ⎛⎭⎪⎫β-π4=14,那么tan ⎝ ⎛⎭⎪⎫α+π4等于( ).A.1318B.1322C.322D.16解析 因为α+π4+β-π4=α+β,所以α+π4=(α+β)-⎝ ⎛⎭⎪⎫β-π4,所以tan ⎝ ⎛⎭⎪⎫α+π4=tan ⎣⎢⎡⎦⎥⎤α+β-⎝⎛⎭⎪⎫β-π4=tan α+β-tan ⎝⎛⎭⎪⎫β-π41+tan α+βtan ⎝ ⎛⎭⎪⎫β-π4=25-141+25×14=322.答案 C15.已知α,β∈⎝⎛⎭⎪⎫0,π2,满足t an (α+β)=4tan β,则tan α的最大值是( ). A.14 B.34 C.34 2 D.32解析 由tan(α+β)=4tan β,得tan α+tan β1-tan αtan β=4tan β,解得tan α=3tan β1+4tan 2β,因为β∈⎝⎛⎭⎪⎫0,π2,所以tan β>0.所以tan α=31tan β+4tan β≤321tan β·4tan β=34,当且仅当1tan β=4tan β,即tan 2β=14,tan β=12时取等号, 所以tan α的最大值是34. 答案 B16.若sin ⎝ ⎛⎭⎪⎫α+π6=3sin ⎝ ⎛⎭⎪⎫π2-α,则tan 2α=________.解析 由已知,得sin ⎝⎛⎭⎪⎫α+π6=32sin α+12cos α=3cos α,即32sin α=52cos α,所以tanα=533, 所以tan 2α=2tan α1-tan 2α=2×5331-⎝ ⎛⎭⎪⎫5332=-5311. 答案 -5311。
专题二 高考中的三角函数综合问题1.(2013·北京)“φ=π”是“曲线y =sin(2x +φ)过坐标原点”的 ( )A .充分而不必要条件B .必要而不充分条件C .充分必要条件D .既不充分也不必要条件答案 A解析 当φ=π时,y =sin(2x +φ)=-sin 2x 过原点.当曲线过原点时,φ=k π,k ∈Z ,不一定有φ=π.∴“φ=π”是“曲线y =sin(2x +φ)过原点”的充分不必要条件. 2.已知向量a =(2,sin x ),b =(cos 2x,2cos x ),则函数f (x )=a·b 的最小正周期是( )A.π2 B .π C .2π D .4π 答案 B解析 f (x )=2cos 2x +2sin x cos x =1+cos 2x +sin 2x=1+2sin ⎝⎛⎭⎫2x +π4,T =2π2=π. 3.若函数f (x )=(1+3tan x )cos x,0≤x <π2,则f (x )的最大值为( )A .1B .2 C.3+1 D.3+2答案 B解析 依题意,得f (x )=cos x +3sin x =2sin(x +π6),当0≤x <π2时,π6≤x +π6<2π3,f (x )的最大值是2. 4.已知向量OB →=(2,0),向量OC →=(2,2),向量CA →=(2cos α,2sin α),则向量OA →与向量OB →的夹角的取值范围是( )A.⎣⎡⎦⎤0,π4 B.⎣⎡⎦⎤π4,512πC.⎣⎡⎦⎤512π,π2 D.⎣⎡⎦⎤π12,512π答案 D解析 由题意,得:OA →=OC →+CA →=(2+2cos α,2+2sin α),所以点A 的轨迹是圆(x -2)2+(y -2)2=2,如图,当A 位于使向量OA →与圆相切时,向量OA →与向量OB →的夹角分别达到最大、最小值,故选D.5.如图, 正方形ABCD 的边长为1,延长BA 至E ,使AE =1,连接EC 、 ED ,则sin ∠CED =________________________________________.答案 1010解析 方法一 应用两角差的正弦公式求解. 由题意知,在Rt △ADE 中,∠AED =45°, 在Rt △BCE 中,BE =2,BC =1,∴CE =5,则sin ∠CEB =15,cos ∠CEB =25.而∠CED =45°-∠CEB , ∴sin ∠CED =sin(45°-∠CEB ) =22(cos ∠CEB -sin ∠CEB ) =22×⎝⎛⎭⎫25-15=1010. 方法二 利用余弦定理及同角三角函数基本关系式求解. 由题意得ED =2,EC =12+22= 5.在△EDC 中,由余弦定理得cos ∠CED =CE 2+DE 2-DC 22CE ·DE =31010,又0<∠CED <π, ∴sin ∠CED =1-cos 2∠CED=1-⎝⎛⎭⎫310102=1010.题型一 三角函数的图象和性质例1 已知函数f (x )=sin(ωx +π6)+sin(ωx -π6)-2cos 2ωx2,x ∈R (其中ω>0).(1)求函数f (x )的值域;(2)若函数y =f (x )的图象与直线y =-1的两个相邻交点间的距离为π2,求函数y =f (x )的单调增区间.思维启迪 对三角函数的性质的讨论,首先要化成y =A sin(ωx +φ)+k (一角、一次、一函数)的形式;根据(2)中条件可确定ω.解 (1)f (x )=32sin ωx +12cos ωx +32sin ωx -12cos ωx -(cos ωx +1) =2(32sin ωx -12cos ωx )-1=2sin(ωx -π6)-1.由-1≤sin(ωx -π6)≤1,得-3≤2sin(ωx -π6)-1≤1,所以函数f (x )的值域为[-3,1].(2)由题设条件及三角函数图象和性质可知,y =f (x )的周期为π,所以2πω=π,即ω=2.所以f (x )=2sin(2x -π6)-1,再由2k π-π2≤2x -π6≤2k π+π2(k ∈Z ),解得k π-π6≤x ≤k π+π3(k ∈Z ).所以函数y =f (x )的单调增区间为[k π-π6,k π+π3](k ∈Z ).思维升华 三角函数的图象和性质是高考考查的重点,通常先将三角函数化为y =A sin(ωx +φ)+k 的形式,然后将t =ωx +φ视为一个整体,结合y =sin t 的图象求解.已知函数f (x )=sin 2x -2sin x cos x +3cos 2x .(1)求函数f (x )的最小正周期;(2)当x ∈[19π24,π]时,求函数f (x )的最大值和最小值.解 f (x )=sin 2x -2sin x cos x +3cos 2x =1-sin 2x +2cos 2x =2+cos 2x -sin 2x=2+2cos(2x +π4).(1)函数f (x )的最小正周期T =π.(2)因为19π24≤x ≤π,所以116π≤2x +π4≤9π4.所以22≤cos(2x +π4)≤1.所以3≤2+2cos(2x +π4)≤2+2,即3≤f (x )≤2+ 2.所以函数f (x )的最小值为3,最大值为2+ 2. 题型二 三角函数和解三角形例2 (2013·重庆)在△ABC 中,内角A ,B ,C 的对边分别是a ,b ,c ,且a 2+b 2+2ab =c 2. (1)求C ;(2)设cos A cos B =325,cos (α+A )cos (α+B )cos 2α=25,求tan α的值.思维启迪 (1)利用余弦定理求C ;(2)由(1)和cos A cos B =325可求得A +B ,代入求tan α.解 (1)因为a 2+b 2+2ab =c 2,由余弦定理有cos C =a 2+b 2-c 22ab =-2ab 2ab =-22.又0<C <π,故C =3π4.(2)由题意得(sin αsin A -cos αcos A )(sin αsin B -cos αcos B )cos 2α=25.因此(tan αsin A -cos A )(tan αsin B -cos B )=25,tan 2αsin A sin B -tan α(sin A cos B +cos A sin B )+cos A cos B =25, tan 2αsin A sin B -tan αsin(A +B )+cos A cos B =25.① 因为C =3π4,所以A +B =π4,所以sin(A +B )=22,因为cos(A +B )=cos A cos B -sin A sin B , 即325-sin A sin B =22, 解得sin A sin B =325-22=210.由①得tan 2α-5tan α+4=0,解得tan α=1或tan α=4.思维升华 三角函数和三角形的结合,一般可以利用正弦定理、余弦定理先确定三角形的边角,再代入到三角函数中,三角函数和差公式的灵活运用是解决此类问题的关键.(2012·安徽)设△ABC 的内角A ,B ,C 所对边的长分别为a ,b ,c ,且有2sin B cosA =sin A cos C +cos A sin C . (1)求角A 的大小;(2)若b =2,c =1,D 为BC 的中点,求AD 的长. 解 (1)方法一 由题设知,2sin B cos A =sin(A +C )=sin B .因为sin B ≠0,所以cos A =12.由于0<A <π,故A =π3.方法二 由题设可知,2b ·b 2+c 2-a 22bc =a ·a 2+b 2-c 22ab +c ·b 2+c 2-a 22bc ,于是b 2+c 2-a 2=bc ,所以cos A =b 2+c 2-a 22bc =12.由于0<A <π,故A =π3.(2)方法一 因为AD →2=⎝ ⎛⎭⎪⎫AB →+AC →22=14(AB →2+AC →2+2AB →·AC →) =14(1+4+2×1×2×cos π3)=74, 所以|AD →|=72.从而AD =72.方法二 因为a 2=b 2+c 2-2bc cos A =4+1-2×2×1×12=3,所以a 2+c 2=b 2,B =π2.因为BD =32,AB =1,所以AD = 1+34=72.题型三 三角函数与平面向量的综合应用例3 已知向量m =⎝⎛⎭⎫3sin x 4,1,n =⎝⎛⎭⎫cos x 4,cos 2x 4. (1)若m·n =1,求cos ⎝⎛⎭⎫2π3-x 的值;(2)记f (x )=m·n ,在△ABC 中,角A ,B ,C 的对边分别是a ,b ,c ,且满足(2a -c )cos B =b cos C ,求函数f (A )的取值范围.思维启迪 (1)由向量数量积的运算转化成三角函数式,化简求值.(2)在△ABC 中,求出∠A 的范围,再求f (A )的取值范围.解 (1)m·n =3sin x 4·cos x 4+cos 2x4=32sin x2+1+cosx22=sin ⎝⎛⎭⎫x 2+π6+12, ∵m·n =1,∴sin ⎝⎛⎭⎫x 2+π6=12.∵cos ⎝⎛⎭⎫x +π3=1-2sin 2⎝⎛⎭⎫x 2+π6=12, ∴cos ⎝⎛⎭⎫2π3-x =-cos ⎝⎛⎭⎫x +π3=-12. (2)∵(2a -c )cos B =b cos C ,由正弦定理得(2sin A -sin C )cos B =sin B cos C , ∴2sin A cos B -sin C cos B =sin B cos C . ∴2sin A cos B =sin(B +C ).∵A +B +C =π,∴sin(B +C )=sin A ≠0. ∴cos B =12,∵0<B <π,∴B =π3.∴0<A <2π3.∴π6<A 2+π6<π2,sin ⎝⎛⎭⎫A 2+π6∈⎝⎛⎭⎫12,1. 又∵f (x )=sin ⎝⎛⎭⎫x 2+π6+12.∴f (A )=sin ⎝⎛⎭⎫A 2+π6+12.故函数f (A )的取值范围是⎝⎛⎭⎫1,32. 思维升华 (1)向量是一种解决问题的工具,是一个载体,通常是用向量的数量积运算或性质转化成三角函数问题.(2)三角形中的三角函数要结合正弦定理、余弦定理进行转化,注意角的范围对变形过程的影响.(2013·北京延庆模拟)已知a =(53cos x ,cos x ),b =(sin x,2cos x ),设函数f (x )=a ·b +|b |2+32.(1)当x ∈[π6,π2]时,求函数f (x )的值域;(2)当x ∈[π6,π2]时,若f (x )=8,求函数f (x -π12)的值;(3)将函数y =f (x )的图象向右平移π12个单位后,再将得到的图象上各点的纵坐标向下平移5个单位,得到函数y =g (x )的图象,求函数g (x )的表达式并判断奇偶性.解 (1)f (x )=a ·b +|b |2+32=53sin x cos x +2cos 2x +4cos 2x +sin 2x +32=53sin x cos x +5cos 2x +52=532sin 2x +5×1+cos 2x 2+52=5sin(2x +π6)+5.由π6≤x ≤π2,得π2≤2x +π6≤7π6, ∴-12≤sin(2x +π6)≤1,∴当π6≤x ≤π2时,函数f (x )的值域为[52,10].(2)f (x )=5sin(2x +π6)+5=8,则sin(2x +π6)=35,所以cos(2x +π6)=-45,f (x -π12)=5sin 2x +5=5sin(2x +π6-π6)+5=332+7.(3)由题意知f (x )=5sin(2x +π6)+5→g (x )=5sin[2(x -π12)+π6]+5-5=5sin 2x ,即g (x )=5sin 2x ,g (-x )=5sin(-2x )=-5sin 2x =-g (x ), 故g (x )为奇函数.1.函数y =sin(ωx +φ)(ω>0,|φ|<π2)在同一个周期内,当x =π4时,y 取最大值1,当x =7π12时,y 取最小值-1.(1)求函数的解析式y =f (x );(2)函数y =sin x 的图象经过怎样的变换可得到y =f (x )的图象;(3)若函数f (x )满足方程f (x )=a (0<a <1),求在[0,2π]内的所有实数根之和.解 (1)∵T =2(712π-π4)=23π,∴ω=3,又∵sin(34π+φ)=1,∴3π4+φ=2k π+π2,k ∈Z .又|φ|<π2,得φ=-π4,∴函数的解析式为f (x )=sin(3x -π4).(2)y =sin x 的图象向右移π4个单位,得到y =sin(x -π4)的图象,再由y =sin(x -π4)的图象上所有点的横坐标变为原来的13,纵坐标不变,得到y =sin(3x -π4)的图象.(3)∵f (x )=sin(3x -π4)的最小正周期为23π,∴f (x )=sin(3x -π4)在[0,2π]内恰有3个周期,∴sin(3x -π4)=a (0<a <1)在[0,2π]内有6个实数根且x 1+x 2=π2.同理,x 3+x 4=11π6,x 5+x 6=196π,故所有实数根之和为π2+11π6+19π6=11π2.2.(2013·安徽)已知函数f (x )=4cos ωx ·sin ⎝⎛⎭⎫ωx +π4(ω>0)的最小正周期为π. (1)求ω的值;(2)讨论f (x )在区间⎣⎡⎦⎤0,π2上的单调性. 解 (1)f (x )=4cos ωx ·sin ⎝⎛⎭⎫ωx +π4 =22sin ωx ·cos ωx +22cos 2ωx =2(sin 2ωx +cos 2ωx )+ 2=2sin ⎝⎛⎭⎫2ωx +π4+ 2. 因为f (x )的最小正周期为π,且ω>0. 从而有2π2ω=π,故ω=1.(2)由(1)知,f (x )=2sin ⎝⎛⎭⎫2x +π4+ 2. 若0≤x ≤π2,则π4≤2x +π4≤5π4.当π4≤2x +π4≤π2,即0≤x ≤π8时,f (x )单调递增; 当π2≤2x +π4≤5π4, 即π8≤x ≤π2时,f (x )单调递减.综上可知,f (x )在区间⎣⎡⎦⎤0,π8上单调递增, 在区间⎣⎡⎦⎤π8,π2上单调递减.3.(2013·四川)在△ABC 中,角A ,B ,C 的对边分别为a ,b ,c ,且2cos 2A -B 2cos B -sin(A-B )sin B +cos(A +C )=-35.(1)求cos A 的值;(2)若a =42,b =5,求向量BA →在BC →方向上的投影.解 (1)由2cos 2A -B 2cos B -sin(A -B )sin B +cos(A +C )=-35,得[cos(A -B )+1]cos B -sin(A -B )sin B -cos B =-35,即cos(A -B )cos B -sin(A -B )sin B =-35.则cos(A -B +B )=-35,即cos A =-35.(2)由cos A =-35,0<A <π,得sin A =45,由正弦定理,有a sin A =b sin B ,所以,sin B =b sin A a =22.由题知a >b ,则A >B ,故B =π4,根据余弦定理,有(42)2=52+c 2-2×5c ×⎝⎛⎭⎫-35, 解得c =1或c =-7(舍去).故向量BA →在BC →方向上的投影为|BA →|cos B =22.4.已知向量a =(cos α,sin α),b =(cos x ,sin x ),c =(sin x +2sin α,cos x +2cos α),其中0<α<x <π.(1)若α=π4,求函数f (x )=b ·c 的最小值及相应x 的值;(2)若a 与b 的夹角为π3,且a ⊥c ,求tan 2α的值.解 (1)∵b =(cos x ,sin x ),c =(sin x +2sin α,cos x +2cos α),α=π4,∴f (x )=b ·c=cos x sin x +2cos x sin α+sin x cos x +2sin x cos α =2sin x cos x +2(sin x +cos x ).令t =sin x +cos x ⎝⎛⎭⎫π4<x <π, 则2sin x cos x =t 2-1,且-1<t < 2.则y =t 2+2t -1=⎝⎛⎭⎫t +222-32,-1<t <2,∴t =-22时,y min =-32,此时sin x +cos x =-22,即2sin ⎝⎛⎭⎫x +π4=-22,∵π4<x <π,∴π2<x +π4<54π, ∴x +π4=76π,∴x =11π12.∴函数f (x )的最小值为-32,相应x 的值为11π12.(2)∵a 与b 的夹角为π3,∴cos π3=a ·b |a |·|b |=cos αcos x +sin αsin x =cos(x -α).∵0<α<x <π,∴0<x -α<π,∴x -α=π3.∵a ⊥c ,∴cos α(sin x +2sin α)+sin α(cos x +2cos α)=0,∴sin(x +α)+2sin 2α=0,即sin ⎝⎛⎭⎫2α+π3+2sin 2α=0. ∴52sin 2α+32cos 2α=0,∴tan 2α=-35. 5.函数f (x )=A sin(ωx +φ)(x ∈R ,A >0,ω>0,0<φ<π2)的部分图象如图所示.(1)求f (x )的解析式;(2)设g (x )=[f (x -π12)]2,求函数g (x )在x ∈[-π6,π3]上的最大值,并确定此时x 的值.解 (1)由题图知A =2,T 4=π3,则2πω=4×π3,∴ω=32.又f (-π6)=2sin[32×(-π6)+φ]=2sin(-π4+φ)=0,∴sin(φ-π4)=0,∵0<φ<π2,∴-π4<φ-π4<π4,∴φ-π4=0,即φ=π4,∴f (x )=2sin(32x +π4).(2)由(1)可得f (x -π12)=2sin[32(x -π12)+π4]=2sin(32x +π8),∴g (x )=[f (x -π12)]2=4×1-cos (3x +π4)2=2-2cos(3x +π4),∵x ∈[-π6,π3],∴-π4≤3x +π4≤5π4,∴当3x +π4=π,即x =π4时,[g (x )]max =4.。