已知三角函数图象求解析式方法例析
- 格式:doc
- 大小:928.50 KB
- 文档页数:6
求三角函数解析式遇到的烦心事已知三角函数图像的特征,写出解析式,是考查学生对三角函数图像和性质的常见的题型。
给出图象求sin()y A x B ωϕ=++的解析式, A 是振幅大小,一般可以观察最大值与最小值求得;B 是平衡位置在y 轴上的截距;确定ω,通常可由平衡点或最值点确定周期T ,进而求ω。
求sin()y A x B ωϕ=++的解析式难点在于ϕ的确定,常见的方法有以下三种基本方法。
①寻找特殊点(平衡点、最值点)代入解析式,代点法求ω;②图象变换法,利用函数图像变化;③逆用五点法作图的过程,五点法作图时,五个点的横坐标求解的方法是,将sin()y x ωϕ=+与函数sin y α=相比较,令0x ωϕ+=,得到x 的值,便是第一个点的横坐标;令2x πωϕ+=,得到第二个点的横坐标,等等。
一、五点法求出的ϕ不在规定的范围内怎么办 例1.已知函数sin()y A x ωϕ=+(0,A >322ππφ-<<)的一段图象如下图所示,求函数的解析式. 解:由图得32,()2882T A πππ==--=,∴T π=,∴2ω=, ∴2sin(2)y x ϕ=+,又∵图象经过点(,2)8π-,它是五点法作图时的第二点,故令 42ππϕ'-=,∴34πϕ'=,∴32sin(2)4y x π=+. 352sin(22)2sin(2)44y x x πππ=+-=-∴函数解析式52sin(2)4y x π=-说明:34πϕ'=显然不符合322ππφ-<<,这时要把求得的解析式:32sin(2)4y x π=+进行转换,注意仅仅是变换函数解析式,使得ϕ'转换到符合条件的值上,即54πϕ=-。
二、为什么给定的ϕ范围都是2π跨度大多数的此类问题都规定ϕ范围,那么,不禁还让人担心五点法得出的ϕ的值,会不会漏掉一个值?但是,仔细研究发现他们的ϕ范围都是2π跨度,是不是说命题人努力避免此类事实的发生,还是根本就不可能?例2.(福建卷)函数)20,0,)(sin(πϕωϕω<≤>∈+=R x x y 的部分图象如图,则( )A .4,2πϕπω==B .6,3πϕπω==C .4,4πϕπω==D .45,4πϕπω==答案: C解析:4(31)8T =-=,2,84ππω==(1,1)是五点法作图时的第二点,故令 42ππϕ+=,4πϕ=。
求三角函数解析式)sin(ϕω+=x A y 常用的方法全面总结三角函数的解析式是研究三角函数图像与性质的重要依据,也是高中数学教学的重点,也是历年来高考考查的热点,学生往往不知如何挖掘出有用的信息,去求A 、ω、φ。
A (振幅):A=2-最小值最大值φ+wx :相位,其中Tw π2=(T 为最小正周期) ϕ:初相,求φ常有代入法、五点法、特殊值法等一、利用五点法,逆求函数解析式三角函数五点法是三角函数图像绘制的方法,分别找三角函数一个周期内端点与终点两个点,另加周期内一个零点,两个极值点和一共零点,总共五个点第一点,即图像上升时与x 轴的交点,为φ+wx =0 第二点,即图像曲线的最高点,为φ+wx =2π 第三点,即图像下降时与x 轴的交点,为φ+wx =π第四点,即图像曲线的最低点,为φ+wx =23π 第五点,即图像最后一个端点,为φ+wx =π2例1.右图所示的曲线是)sin(ϕω+=x A y (0>A ,0>ω)图象的一部分,求这个函数的解析式.例2.是函数π2sin()2y x ωϕϕ⎛⎫=+< ⎪⎝⎭的图象上的一段,则( ) A.10π116ωϕ==,B.10π116ωϕ==-, C.π26ωϕ==,D.π26ωϕ==-,例3.函数)20,0,)(sin(πϕωϕω<≤>∈+=R x x y 的部分图象如图,则A .4,2πϕπω==B .6,3πϕπω==C .4,4πϕπω==D .45,4πϕπω==例4、函数()ϕω+=x A y sin 的一个周期内的图象如下图, 求y 的解析式。
(其中 πϕπω<<->>,0,0A )变式练习1、已知函数)sin(ϕω+=x A y (A >0,ω>0,|ϕ|<π)2、已知函数)sin(ϕω+=x Ay (A >0,ω>0,|ϕ|<π)的图象如图,求函数的解析式。
高考数学《图像变换在三角函数中的应用》基础知识与典型例题分析在高考中涉及到的三角函数图像变换主要指的是形如()sin y A x ωϕ=+的函数,通过横纵坐标的平移与放缩,得到另一个三角函数解析式的过程。
要求学生熟练掌握函数图像变换,尤其是多次变换时,图像变化与解析式变化之间的对应联系。
一、基础知识:(一)图像变换规律:设函数为()y f x =(所涉及参数均为正数) 1、函数图像的平移变换:(1)()f x a +:()f x 的图像向左平移a 个单位 (2)()f x a −:()f x 的图像向右平移a 个单位 (3)()f x b +:()f x 的图像向上平移b 个单位 (4)()f x b −:()f x 的图像向下平移b 个单位 2、函数图像的放缩变换:(1)()f kx :()f x 的图像横坐标变为原来的1k(图像表现为横向的伸缩) (2)()kf x :()f x 的图像纵坐标变为原来的k 倍(图像表现为纵向的伸缩) 3、函数图象的翻折变换: (1)()fx :()f x 在x 轴正半轴的图像不变,负半轴的图像替换为与正半轴图像关于y 轴对称的图像(2)()f x :()f x 在x 轴上方的图像不变,x 轴下方的部分沿x 轴向上翻折即可(与原x 轴下方图像关于x 轴对称)(二)图像变换中要注意的几点:1、如何判定是纵坐标变换还是横坐标变换?在寻找到联系后可根据函数的形式了解变换所需要的步骤,其规律如下: ① 若变换发生在“括号”内部,则属于横坐标的变换 ② 若变换发生在“括号”外部,则属于纵坐标的变换例如:()31y f x =+:可判断出属于横坐标的变换:有放缩与平移两个步骤()2y f x =−+:可判断出横纵坐标均需变换,其中横坐标的为对称变换,纵坐标的为平移变换2、解析式变化与图像变换之间存在怎样的对应?由前面总结的规律不难发现: (1)加“常数”⇔ 平移变换(2)添“系数”⇔放缩变换 (3)加“绝对值”⇔翻折变换3、多个步骤的顺序问题:在判断了需要几步变换以及属于横坐标还是纵坐标的变换后,在安排顺序时注意以下原则:① 横坐标的变换与纵坐标的变换互不影响,无先后要求 ② 横坐标的多次变换中,每次变换只有x 发生相应变化 例如:()()21y f x y f x =→=+可有两种方案方案一:先平移(向左平移1个单位),此时()()1f x f x →+。
求三角函数解析式常用的方法三角函数是高中数学的一个重点,而三角函数图象与性质又是其中的难点,学生往往不知如何挖掘出有用的信息,去求A 、ω、φ。
现就几道例题谈谈常用的求解方法。
1 利用五点法,逆求函数解析式例1.右图所示的曲线是)sin(ϕω+=x A y (0>A ,0>ω)图象的一部分,求这个函数的解析式. 解:由22y -≤≤,得A=2已知第二个点(,2)12π和第五个点5(,0)6π 35346124T πππ=-= T π∴= 2ω=把(,2)12π代入,2122ππφ⨯+=得3πϕ=所以y=)32sin(2π+x点评:由图像确定解析式,观察图像的特征,形助数寻找“五点法”中的整体点,从而确定初相ϕ。
2 利用图像平移,选准变换过程切入求解例2下列函数中,图象的一部分如右图所示的是( )A .sin 6y x π⎛⎫=+ ⎪⎝⎭ B.sin 26y x π⎛⎫=- ⎪⎝⎭C.cos 43y x π⎛⎫=- ⎪⎝⎭D.cos 26y x π⎛⎫=- ⎪⎝⎭解:从图象看出,41T =1264πππ+=,所以函数的最小正周期为π,函数应为y=sin 2x 向左平移了6π个单位,即sin 2()6y x π=+=sin(2)cos(2)cos(2)3236x x x ππππ+=-++=-,故选择答案D 。
点评:数形结合,由图像确定周期和初相位后,选准图像平移变换过程切入,如本题y=sin 2x 向左平移了6π个单位进行验证化简是求解的关键。
对于利用图象的变换来求解函数的解析式,一定要清楚每一种变换对,,A ωϕ的影响,注重整体变量观念的应用。
3 特殊化赋值法求解例3设函数)(),0( )2sin()(x f y x x f =<<-+=ϕπϕ图像的一条对称轴是直线8π=x 。
求()y f x =的解析式。
解:对称性特殊赋值切入,8x π=是函数()y f x =的图像的对称轴,()()88f x f x ππ∴+=-令8x π=,则()(0)4f f π=,即sin() =sin cos 2πϕϕϕ+=,tan 1ϕ∴=。
已知函数()f x =Acos(x ωϕ+)的图象如图所示,2()23f π=-,则(0)f =( ) (A )23-(B) 23 (C)- 12 (D) 12【解析】选B.由图象可得最小正周期为2π3,于是f(0)=f(2π3),注意到2π3与π2关于7π12对称,所以f(2π3)=-f(π2)=23.如果函数()cos 2y x φ=3+的图像关于点43π⎛⎫⎪⎝⎭,0中心对称,那么||ϕ的最小值 为( ) (A )6π (B )4π (C )3π (D) 2π【解析】选A. Q 函数()cos 2y x φ=3+的图像关于点43π⎛⎫⎪⎝⎭,0中心对称 4232k ππφπ∴⋅+=+13()6k k Z πφπ∴=-∈由此易得min ||6πφ=. 已知函数y=sin (ωx+ϕ)(ω>0, -π≤ϕ<π)的图像如图所示,则 ϕ=________________【解析】由图可知,()544,,2,1255T x πωπϕ⎛⎫=∴=+ ⎪⎝⎭把代入y=sin 有: 89,510ππϕϕ⎛⎫+∴= ⎪⎝⎭1=sin已知函数()2sin()f x x ωφ=+的图像如图所示,则712f π⎛⎫=⎪⎝⎭。
【解析】由图象知最小正周期T =32(445ππ-)=32π=ωπ2,故ω=3,又x =4π时,f (x )=0,即2φπ+⨯43sin()=0,可得4πφ=,所以,712f π⎛⎫=⎪⎝⎭2)41273sin(ππ+⨯=0。
)已知函数()sin(),f x A x x R ωϕ=+∈(其中0,0,02A πωϕ>><<)的图象与x 轴的交点中,相邻两个交点之间的距离为2π,且图象上一个最低点为2(,2)3M π-.(Ⅰ)求()f x 的解析式; (Ⅱ)当[,]122x ππ∈,求()f x 的值域.【解析】(1)由最低点为2(,2)3M π-得A=2.由x 轴上相邻的两个交点之间的距离为2π得2T =2π,即T π=,222T ππωπ===由点2(,2)3M π-在图像上得242sin(2)2,)133ππϕϕ⨯+=-+=-即sin(故42,32k k Z ππϕπ+=-∈ 1126k πϕπ∴=- 又(0,),,()2sin(2)266f x x πππϕϕ∈∴==+故(2)7[,],2[,]122636x x πππππ∈∴+∈Q 当26x π+=2π,即6x π=时,()f x 取得最大值2;当7266x ππ+=即2x π=时,()f x 取得最小值-1,故()f x 的值域为[-1,2]把函数y =cos(3x +4π)的图象适当变动就可以得到y =sin(-3x )的图象,这种变动可以是( )A.向右平移4π B.向左平移4π C.向右平移12π D.向左平移12π分析:三角函数图象变换问题的常规题型是:已知函数和变换方法,求变换后的函数或图象,此题是已知变换前后的函数,求变换方式的逆向型题目,解题的思路是将异名函数化为同名函数,且须x 的系数相同.解:∵y =cos(3x +4π)=sin(4π-3x )=sin [-3(x -12π)]∴由y =sin [-3(x -12π)]向左平移12π才能得到y =sin(-3x )的图象.答案:D4.将函数y =f (x )的图象沿x 轴向右平移3π,再保持图象上的纵坐标不变,而横坐标变为原来的2倍,得到的曲线与y =sin x 的图象相同,则y =f (x )是( )=sin(2x +3π) =sin(2x -3π) =sin(2x +32π) =sin(2x -32π)分析:这是三角图象变换问题的又一类逆向型题,解题的思路是逆推法.解:y =f (x )可由y =sin x ,纵坐标不变,横坐标压缩为原来的1/2,得y =sin2x ;再沿x 轴向左平移3π得y =sin2(x +3π),即f (x )=sin(2x +32π).若函数f (x )=sin2x +a cos2x 的图象关于直线x =-8π对称,则a =–1. 分析:这是已知函数图象的对称轴方程,求函数解析式中参数值的一类逆向型题,解题的关键是如何巧用对称性.解:∵x 1=0,x 2=-4π是定义域中关于x =-8π对称的两点 ∴f (0)=f (-4π) 即0+a =sin(-2π)+a cos(-2π)∴a =-1若对任意实数a ,函数y =5sin(312+k πx -6π)(k ∈N)在区间[a ,a +3]上的值45出现不少于4次且不多于8次,则k 的值是( )或4 或3分析:这也是求函数解析式中参数值的逆向型题,解题的思路是:先求出与k 相关的周期T 的取值范围,再求k .解:∵T =3)3(,1263122=-++=+a a k k ππ又因每一周期内出现45值时有2次,出现4次取2个周期,出现45值8次应有4个周期.∴有4T ≥3且2T ≤3即得43≤T ≤23,∴43≤126+k ≤23 解得23≤k ≤27,∵k ∈N,∴k =2或3.巧求初相角求初相角是高中数学学习中的一个难点,怎样求初相角初相角有几个下面通过错解剖析,介绍四种方法.如图,它是函数y =A sin(ωx +ϕ)(A >0,ω>0),|ϕ|<π的图象,由图中条件,写出该函数解析式. 错解: 由图知:A =5由23252πππ=-=T 得T =3π,∴ω=T π2=32∴y =5sin(32x +ϕ)将(π,0)代入该式得:5sin(32π+ϕ)=0由sin(32π+ϕ)=0,得32π+ϕ=k πϕ=k π-32π(k ∈Z )∵|ϕ|<π,∴ϕ=-32π或ϕ=3π∴y =5sin(32x -32π)或y =5sin(32x +3π)分析:由题意可知,点(4π,5)在此函数的图象上,但在y =5sin(32x -32π)中,令x =4π,则y =5sin(6π-32π)=5sin(-2π)=-5,由此可知:y =5sin(32x -32π)不合题意.那么,问题出在哪里呢我们知道,已知三角函数值求角,在一个周期内一般总有两个解,只有在限定的范围内才能得出惟一解.正解一:(单调性法)∵点(π,0)在递减的那段曲线上∴32π+ϕ∈[2π+2k π,32π+2k π](k ∈Z ) 由sin(32π+ϕ)=0得32π+ϕ=2k π+π∴ϕ=2k π+3π(k ∈Z )∵|ϕ|<π,∴ϕ=3π正解二:(最值点法)将最高点坐标(4π,5)代入y =5sin(32x +ϕ)得5sin(6π+ϕ)=5∴6π+ϕ=2k π+2π ∴ϕ=2k π+3π (k ∈Z )取ϕ=3π正解三:(起始点法)函数y =A sin(ωx +ϕ)的图象一般由“五点法”作出,而起始点的横坐标x 正是由ωx +ϕ=0解得的,故只要找出起始点横坐标x 0,就可以迅速求得角ϕ.由图象求得x 0=-2x,∴ϕ=-ωx 0=-32 (-2π)=3π. 正解四:(平移法)由图象知,将y =5sin(32x )的图象沿x 轴向左平移2π个单位,就得到本题图象,故所求函数为y =5sin 32(x +2π),即y =5sin(32x +3π).【基础知识精讲】1.用五点法作y=Asin(ωx+φ)(ω>0)的图像时,我们采用换元法,将ωx+φ看成y=sinx 中的x ,模仿y=sinx 的五点法来作.ωx 1+φ=0⇒x 1=-ωΦ,ωx 2+φ=2π⇒x 2=ωπΦ-2ωx 3=π⇒x 3=ωπΦ-,ωx 4+φ=23π⇒x 4=ωπΦ-23,ωx 5+φ=2π⇒x 5=ωπΦ-2.即五点(-ωΦ,0),(ωπΦ-2,A),( ωπΦ-,0).(ωπΦ-23,-A).(ωπΦ-2,0)2.函数y=Asin(ωx+φ)的图像与y=sinx 的图像关系.(1)振幅变换函数y=Asinx(A >0,且A ≠1)的图像,可以看作是y=sinx 图像上所有点的纵坐标伸长(A >1)或缩短(0<A <1)到原来的A 倍(横坐标不变)而得到的.这种变换叫振幅变换,它实质上是纵向的伸缩.(2)周期变换函数y=sin ωx(ω>0,且ω≠1)的图像,可以看作是把y=sinx 的图像上各点的横坐标都缩短(ω>1)或伸长(0<ω<1)到原来的ω1倍(纵坐标不变)而得到的,由y=sinx 的图像变换为y=sin ωx 的图像,其周期由2π变ωπ2.这种变换叫做周期变换.它实质上是横向的伸缩.(3)相位变换函数y=sin(x+φ)(φ≠0)的图像,可以看作是把y=sinx 的图像上各点向左(φ>0)或向右(φ<0)平移|φ|个单位而得到的.这种由y=sinx 的图像变换为y=sin(x+φ)的图像的变换,使相位x 变为x+φ,我们称它为相位变换.它实质上是一种左右平移变换.应用振幅变换、周期变换、相位变换(左右平移变移)和上下平移变换可由y=sinx 的图像得到y=Asin(ωx+φ)+k 的图像.事实上,设f 、t 、h 分别表示相位变换,周期变换,振幅变换,则变换作图法共有以下不同的程序.(1)f →t →h;(2)f →g →t(3)t →h →f;(4)t →f →h;(5)h →f →t;(6)h →t →f=Asin(ωx+φ)(A >0,ω>0)与振动在物理学中,y=Asin(ωt+φ)(A >0,ω>0),其中t ∈[0,+∞),表示简谐振动的运动方程.这时参数A ,ω,φ有如下物理意义.A 称为振幅,它表示振动时物体离开平衡位置的最大距离.T=ωπ2称为周期,它表示振动一次所需的时间(亦即函数y 的最小正周期).f=T = π2称为振动的频率,它表示单位时间内往复振动的次数,ωt+φ叫做相位,当t=0时的相位,即φ称为初相.4.函数图像的对称变换一个函数的图像经过适当的变换(例如对称、平移、伸缩等)得到与其图像有关函数的图像,叫做函数的初等变换.前面的平移、伸缩变换均属初等变换. 对称变换主要指下面几种:(1)函数y=-f(x)的图像与y=f(x)的图像关于x 轴对称. (2)函数y=f(-x)的图像与y=f(x)的图像关于y 轴对称. (3)函数y=f(-x)的图像与y=-f(x)的图像关于原点对称.(4)函数y=f -1(x)(或x=f(y))的图像与y=f(x)的图像关于直线y=x 对称. 【重点难点解析】重点:用“五点法”画函数y=Asin(ωx+φ)的简图及三角函数的图像变换. 难点:三角函数的图像变换.即由y=sinx 的图像变换到y=Asin(ωx+φ)的过程. 关键:理解A 、ω、φ的对图像变化所起的作用.例1 函数y=3cos(2x -4π)的图像可以由y=sinx 的图像经过怎样的变换得到 解:y=3cos(2x -4π)=3sin [2π+( 2x -4π)]=3sin(2x +4π).先将y=sinx 的图像向右平移4π个单位,得到y 1=sin(x+4π)的图像.再将y 1的图像上各点的横坐标伸长到原来的2倍,得到y 2=sin(2x +4π)的图像.再将y 2的图像上各点的纵坐标伸长到原来的3倍,就得到所求函数的图像.评析:这种图像变换的顺序通常是先作相位变换,再作周期变换,最后作振幅变换.本题中若将相位变换与周期变换的顺序交换,得到的结果将是y=3sin(2x +8π)而不是y=3sin(2+4).例2用五点法作出函数y=4sin(2x+3π)在一个周期内的简图.解:函数y=4sin(2x+3π)的振幅A=4,周期T=4π,令2x+3π=0,得初始值x0=-32π(初始值指图像由x轴下方向上经过x轴时的横截距).列表:2x+3π02ππ23π2πx-32π3π34π37π310πy040-40评注:注意到五点的横坐标是从x0开始,每次增加周期的4,即x i=x i-1+4(i=1,2,3,4)可简化x的五个值的运算.例3设三角函数f(x)=sin(5kx+3π)(k≠0).(1)写出f(x)的最大值M,最小值m和最小正周期T;(2)试求最小正整数k,使得当自变量x在任意两个整数间(包括整数本身)变化时,函数f(x)至少有一个值是M,一个值是m.解:(1)M=1,m=-1,T=52kπ=kπ10.(2)f(x)在它的每一个周期中都恰好有一个值是M 与一个值是m ,而任意两个整数间的距离都≥1,因此要使任意两个整数间函数f(x)至少有一个值是M 与一个值m ,必须且只须f(x)的周期≤1,即kπ10≤1,|k |≥10π=,可见,k=32就是这样的最小整数.例4 已知正弦数y=Asin(ωx+φ)(其中A >0,ω>0)的一个周期的图像如图所示,试求函数的解析式.分析:求函数的解析式,就是确定解析式中A ,ω,φ的值.由图像中三个已知点的坐标列出A ,ω,φ的方程组求解.若令X=ωx+φ,要注意x 0=-25π是初始值,对应于X=0,x=-π时对应于X=π.∴函数解析式为y=2sin(32x+35π).【难题巧解点拔】例1 指出将y=sinx 的图像变换为y=sin(2x+3π)的图像的两种方法.思路1 x →2x →2(x+6π)=2x+3π.解法 1 y=sinx 纵坐标不变横坐标缩短为原来的−−−−−−−−−−→−21y=sin2x −−−−−−−→−π单位向左平移6y=sin[2(x+6π)]=sin(2x+3π).思路2 x →x+3π→2x+3π.解法2y=sinx−−−−−−−→−π单位向左平移3y=sin(x+3π)纵坐标不变横坐标缩短为原来的−−−−−−−−−−→−21y=sin(2x+3π).说明:在解法1中,先伸缩,后平移.在解法2中,先平移,后伸缩.表面上看来,两种变换方法中的平移是不同的(即6π和3π),但由于伸缩变换的影响,所以实质上都是一致的.例2 函数f(x)的横坐标伸长到原来的两倍,再向左平移2π个单位,所得到的曲线是y=21sinx 的图像,试求函数y=f(x)的解析式.分析:这个问题有两种解法,一是考虑以上变换的“逆变换”(所谓“逆变换”,即将以上变换倒过来,由y=21sinx 变换到y=f(x);二是代换法,即设y=Asin(ωx+φ),然后按题设中的变换分两步得:y=Asin [2ω(x+2π)+φ],它就是y=21sinx ,即可求得A 、ω、φ的值.解法1:问题即是将y=21sinx 的图像先向右平移2π个单位,得y=21sin(x-2π);再将横坐标压缩到原来的21,得y=21sin(2x-2π),即y=-21cos2x.这就是所求函数f(x)的解析式.例2 已知正弦函数y=Asin(ωx+φ)的一段曲线(如下图),试求解析式.解:(1)因为A=3,T=π,ω=2,φ=-ωx 0=-2(-52π)=54π,所以y=3sin(2x+54π).(2)A=2,当x=0时,y=1,所以2sin φ=1,又|φ|<2π,所以φ=4π,当x=1211π时,y=0,即2sin(ω·1211π+4π)=0,所以ω=1121,所以y=2sin(1121x+4π).评析:若已知曲线与x 轴的交点的坐标,先确定ω=T π2;若已知曲线与y 轴的交点的坐标,先确定φ;若先确定ω则有φ=-ωx 0,其中x 0是离y 轴最近的递增区间的中心点的横坐标.1.如图,是正弦函数f(x)=Asin(ωx+φ)(A >0,ω>0)的一个周期的图像.(1)写出f(x)的解析式;(2)若g(x)与f(x)的图像关于直线x=2对称,写出g(x)的解析式.2.试说明y=cosx 的图像经怎样的变换可得到y=3cos(3x+2π)+1的图像3.已知y=Asin(ωx+φ)(A >0,ω>0,0<φ<π)的最小正周期为32π,最小值为-2,且过点(95π,0),求它的表达式.1.已知f(x)=Asin(ωx+φ)(A >0,ω>0,|φ|<2π)的图像在y 轴上的截距为1,它在y 轴右侧的第一个最大值点和最小值点分别为(x 0,2)和(x 0+3π,-2).(Ⅰ)求f(x)的解析式;(Ⅱ)y=f(x)的图像上所有点的横坐标缩短到原来的31(纵坐标不变),然后再将所得图像向x 轴正方向平移3个单位,得到函数y=g(x)的图像.写出函数y=g(x)的解析式并用列表作图的方法画出y=g(x)在长度为一个周期的闭区间上的图像.例2 右图为某三角函数图像的一段(1)试用y=Asin (ωx+φ)型函数表示其解析式;(2)求这个函数关于直线x=2π对称的函数解析式. 解:(1)T= 13π3- π3 =4π. ∴ω=2πT = 12 .又A=3,由图象可知所给曲线是由y=3sin x 2沿x 轴向右平移 π3而得到的.∴解析式为 y=3sin 12 (x -π3).(2)设(x ,y)为y=3sin(12 x -π6 )关于直线x=2π对称的图像上的任意一点,则该点关于直线x=2π的对称点应为(4π-x ,y),故与y=3sin(12 x -π6)关于直线x=2π对称的函数解析式是y=3sin [12(4π-x)- π6]=-3sin(12 x +π6).点评 y=sin(ωx+φ)(ω>0)的图象由y=sin ωx 的图象向左平移(φ>0)或向右平移(φ<0)|φ|ω个单位.特别要注意不能搞错平移的方向和平移的单位数量.求一个函数的图象关于一条直线对称图象的函数解析式时,要注意解几知识的运用.例1 求函数f(x)=sin 2x+2sinxcosx+3cos 2x 的最大值,并求出此时x 的值. 分析 由于f (x )的表达式较复杂,需进行化简.解 y=sin 2x+cos 2x+sin2x+1+cos2x=sin2x+cos2x+2= 2 sin(2x+π4)+2当2x+π4=2k π+π2, 即x=k π+π8 (k ∈Z)时,y max =2 +2 . 点评 要熟练掌握y=asinx+bcosx 类型的三角函数最值的求法,asinx+bcosx= a 2+b 2 sin (x+φ).例2 若θ∈[-π12, π12],求函数y=cos(π4+θ)+sin2θ的最小值.分析 在函数表达式中,含有两个角和两个三角函数名称,若能化成含有一个角和一个三角函数名称的式子,则问题可得到简化.解 y=cos(π4+θ)-cos [2(θ+π4)]=cos(π4+θ)-[2cos 2(θ+π4)-1]=-2cos 2(θ+π4)+cos(π4+θ)+1 =-2[cos 2(θ+π4)-12cos(θ+π4)]+1=-2[cos(θ+π4)-14]2+98 .∵θ∈[-π12, π12], ∴θ+π4∈[π6,π3].∴12≤cos(θ+π4)≤ 3 2, ∴y 最小值 = 3 -12 .点评 (1)三角函数表达式转化成一个角的一个三角函数的形式(即f(sinx)或g(cosx)),是常见的转化目标;(2)形如y=f(sinx)或y=g(cosx)的最值,常运用sinx ,cosx 的有界性,通过换元转化成y=at 2+bt+c 在某区间上的最值问题;(3)对于y= Asin(ωx+φ)或y=Acos(ωx+φ)的最值的求法,应先求出t=ωx+φ的值域,然后再由y=Asint 和y=Acost 的单调性求出最值.例3 试求函数y=sinx+cosx+2sinxcosx+2的最大值和最小值.分析 由于sinx+cosx 与sinxcosx 可以相互表示,所以令sinx+cosx=t ,则原三角函数的最值问题转化成y=at 2+bt+c 在某区间上的最值问题.解 令t=sinx+cosx ,则y=t+t 2+1=(t+12)2+34,且t ∈[- 2 , 2 ],∴y min =34 ,y max =3+ 2 .点评 注意sinx+cosx 与sinxcosx 的关系,运用换元法将原三角函数的最值问题转化成y=at 2+bt+c 在某个区间上的最值问题.【知能集成】较复杂的三角函数的最值问题,往往通过需要恒等变形,转化成形如y=f(sinx)或y=g(cosx)型或y= Asin(ωx+φ)+k 型的三角函数的最值问题,运用三角函数的有界性、单调性求三角函数的最值.用换元法解题,特别要注意sinx+tcosx 与sinxcosx 的关系,令sinx+cosx=t ,则sinxcosx=t 2-12 .y=sinxcosx+sinx+cosx ,求x ∈[0, π3]时函数y 的最大值。
函数y =Asin (ωx +φ)的图象及三角函数模型的简单应用‖知识梳理‖ 1.y =Asin (ωx +φ)的有关概念 T =2πωωx +φ用五点法画y =A sin(ωx +φ)一个周期内的简图时,要找五个关键点,如下表所示:3.| 微 点 提 醒 |1.由y =sin ωx 到y =sin(ωx +φ)(ω>0,φ>0)的变换:向左平移φω个单位长度而非φ个单位长度.2.函数y =A sin(ωx +φ)的对称轴由ωx +φ=k π+π2,k ∈Z 确定;对称中心由ωx +φ=k π,k∈Z 确定其横坐标.‖易错辨析‖判断下列结论是否正确(请在括号中打”√”或“×”)(1)把y =sin x 的图象上各点的横坐标缩短为原来的12,纵坐标不变,所得图象对应的函数解析式为y =sin 12x .(×)(2)将y =sin2x 的图象向右平移π3个单位长度,得到y =sin ⎝⎛⎭⎫2x -π3的图象.(×) (3)函数f (x )=A sin(ωx +φ)(A ≠0)的最大值为A ,最小值为-A .(×)(4)如果y =A cos(ωx +φ)的最小正周期为T ,那么函数图象的两个相邻对称中心之间的距离为T2.(√) (5)若函数y =A sin(ωx +φ)为偶函数,则φ=2k π+π2(k ∈Z ).(×)‖自主测评‖1.函数y =2sin ⎝⎛⎭⎫2x +π4的振幅、频率和初相分别为( ) A .2,1π,π4B .2,12π,π4C .2,1π,π8D .2,12π,-π8解析:选A 由振幅、频率和初相的定义可知,函数y =2sin ⎝⎛⎭⎫2x +π4的振幅为2,频率为1π,初相为π4.2.函数y =sin ⎝⎛⎭⎫2x -π3在区间⎣⎡⎦⎤-π2,π上的简图是( )解析:选A 当x =0时,y =sin ⎝⎛⎭⎫-π3=-32,排除B 、D ;当x =π6时,y =0,排除C ,故选A.3.(教材改编题)为了得到函数y =3sin ⎝⎛⎭⎫x -π5的图象,只需将y =3sin ⎝⎛⎭⎫x +π5的图象上的所有点( )A .向左平移π5个单位长度B .向右平移π5个单位长度C .向左平移2π5个单位长度D .向右平移2π5个单位长度解析:选D 因为y =3sin ⎝⎛⎭⎫x -π5=3sin ⎣⎡⎦⎤⎝⎛⎭⎫x +π5-2π5,故选D. 4.用五点法作函数y =sin ⎝⎛⎭⎫x -π6在一个周期内的图象时,主要确定的五个点是________、________、________、________、________.答案:⎝⎛⎭⎫π6,0 ⎝⎛⎭⎫2π3,1 ⎝⎛⎭⎫7π6,0 ⎝⎛⎭⎫5π3,-1 ⎝⎛⎭⎫13π6,0 5.已知函数f (x )=sin(ωx +φ)(ω>0)的图象如图所示,则ω=________.解析:由题图可知,T 4=2π3-π3=π3,即T =4π3,所以2πω=4π3,故ω=32.答案:32………考点一 函数y =Asin (ωx +φ)的图象及变换………|重点保分型|…………|研透典例|【典例】 某同学用“五点法”画函数f (x )=A sin(ωx +φ)⎝⎛⎭⎫ω>0,|φ|<π2在某一个周期内的图象时,列表并填入了部分数据,如下表:(1)(2)将y =f (x )图象上所有点向左平行移动θ(θ>0)个单位长度,得到y =g (x )的图象.若y =g (x )图象的一个对称中心为⎝⎛⎭⎫5π12,0,求θ的最小值; (3)作出函数f (x )在长度为一个周期的闭区间上的图象.[解] (1)根据表中已知数据,解得A =5,ω=2,φ=-π6,数据补全如下表:且函数解析式为f (x )=5sin ⎝⎛⎭⎫2x -π6. (2)由(1)知f (x )=5sin ⎝⎛⎭⎫2x -π6,则g (x )=5sin ⎝⎛⎭⎫2x +2θ-π6. 因为函数y =sin x 图象的对称中心为(k π,0),k ∈Z . 令2x +2θ-π6=k π,k ∈Z ,解得x =k π2+π12-θ,k ∈Z .由于函数y =g (x )的图象关于点⎝⎛⎭⎫5π12,0成中心对称, 所以令k π2+π12-θ=5π12,解得θ=k π2-π3,k ∈Z .由θ>0可知,当k =1时,θ取得最小值π6.(3)由数据作出的图象如图所示:『名师点津』………………………………………………|品名师指点迷津| 1.函数y =Asin (ωx +φ)(A>0,ω>0)的图象的两种作法(1)五点法:用“五点法”作y =A sin(ωx +φ)的简图,主要是通过变量代换,设z =ωx +φ,由z 取0,π2,π,32π,2π来求出相应的x ,通过列表,计算得出五点坐标,描点后得出图象.(2)图象变换法:由函数y =sin x 的图象通过变换得到y =A sin(ωx +φ)的图象,有两种主要途径“先平移后伸缩”与“先伸缩后平移”. 2.三角函数图象的左右平移时应注意的三点(1)弄清楚平移方向,平移哪个函数的图象,得到哪个函数的图象.(2)注意平移前后两个函数的名称一致,若不一致,应先利用诱导公式化为同名函数.(3)由y =A sin ωx 的图象得到y =A sin(ωx +φ)的图象时,需平移的单位数应为⎪⎪⎪⎪φω而不是|φ|. [提醒]y =A sin(ωx +φ)的图象横向伸缩规律,可联系周期计算公式T =2π|ω|进行记忆;纵向伸缩规律,可联系函数的最值进行记忆.|变式训练|1.(2018届河南豫南九校联考)将函数y =sin ⎝⎛⎭⎫x -π4的图象上各点的横坐标伸长到原来的2倍(纵坐标不变),再向右平移π6个单位,则所得函数图象的解析式为( )A .y =sin ⎝⎛⎭⎫x 2-5π24 B .y =sin ⎝⎛⎭⎫x 2-π3 C .y =sin ⎝⎛⎭⎫x 2-5π12D .y =sin ⎝⎛⎭⎫2x -7π12 解析:选B 函数y =sin ⎝⎛⎭⎫x -π4经伸长变换得y =sin ⎝⎛⎭⎫x 2-π4,再作平移变换得y =sin ⎣⎡⎦⎤12⎝⎛⎭⎫x -π6-π4=sin ⎝⎛⎭⎫x 2-π3. 2.(2019届南昌模拟)函数y =sin ⎝⎛⎭⎫2x +π6的图象可以由函数y =cos2x 的图象( ) A .向右平移π6个单位长度得到B .向右平移π3个单位长度得到C .向左平移π6个单位长度得到D .向左平移π3个单位长度得到解析:选A 将函数y =cos2x 的图象向右平移π4个单位长度,可得函数y =sin2x 的图象,再将y =sin2x 的图象向左平移π12个单位长度,可得函数y =sin ⎝⎛⎭⎫2x +π6的图象,综上可得,函数y =sin ⎝⎛⎭⎫2x +π6的图象可以由函数y =cos2x 的图象向右平移π6个单位长度得到,故选A. 3.(2019届石家庄质量检测)若ω>0,函数y =cos ⎝⎛⎭⎫ωx +π3的图象向右平移π3个单位长度后与函数y =sin ωx 的图象重合,则ω的最小值为________.解析:将函数y =cos ⎝⎛⎭⎫ωx +π3的图象向右平移π3个单位长度,得y =cos ⎝⎛⎭⎫ωx -ωπ3+π3的图象.因为所得函数图象与y =sin ωx 的图象重合,所以-ωπ3+π3=3π2+2k π(k ∈Z ),解得ω=-72-6k (k∈Z ),因为ω>0,所以当k =-1时,ω取得最小值52.答案:52………考点二 由图象确定y =Asin (ωx +φ)的解析式…………|重点保分型|………|研透典例|【典例】 (1)(2018届兰州诊断考试)已知函数f (x )=sin(ωx +φ)⎝⎛⎭⎫ω>0,|φ|<π2的部分图象如图所示,若x 1,x 2∈⎝⎛⎭⎫-π6,π3,且f (x 1)=f (x 2),则f (x 1+x 2)=( )A.12 B.22C.32D .1(2)已知函数f (x )=A sin(ωx +φ)+B (A >0,x ∈R ,ω>0,|φ|<π)的部分图象如图所示,则函数f (x )的解析式为f (x )=________.[解析] (1)由题图知,T 2=π2,即T =π,则ω=2,所以f (x )=sin(2x +φ),因为点⎝⎛⎭⎫π3,0在函数f (x )的图象上,所以sin ⎝⎛⎭⎫2×π3+φ=0,即2π3+φ=2k π+π,k ∈Z , 所以φ=2k π+π3,k ∈Z ,又|φ|<π2,所以φ=π3,所以f (x )=sin ⎝⎛⎭⎫2x +π3, 因为x 1,x 2∈⎝⎛⎭⎫-π6,π3, 且f (x 1)=f (x 2), 所以x 1+x 22=π12,所以x 1+x 2=π6,所以f (x 1+x 2)=sin ⎝⎛⎭⎫2×π6+π3=32. (2)由题图可知,函数的最大值为A +B =3,最小值为-A +B =-1,解得A =2,B =1. 函数的最小正周期为T =2×⎣⎡⎦⎤5π12-(-π12)=π, 由2πω=π,解得ω=2. 由f ⎝⎛⎭⎫-π12=2sin ⎣⎡⎦⎤2×⎝⎛⎭⎫-π12+φ+1=-1,得sin ⎝⎛⎭⎫φ-π6=-1, 故φ-π6=2k π-π2(k ∈Z ),解得φ= 2k π-π3(k ∈Z ),又因为|φ|<π, 所以φ=-π3.所以f (x )=2sin ⎝⎛⎭⎫2x -π3+1. [答案] (1)C (2)2sin ⎝⎛⎭⎫2x -π3+1 『名师点津』………………………………………………|品名师指点迷津| 确定y =Asin (ωx +φ)+b (A>0,ω>0)的步骤和方法(1)求A ,b :确定函数的最大值M 和最小值m ,则A =M -m 2,b =M +m2.(2)求ω:确定函数的最小正周期T ,则可得ω=2πT .(3)求φ:常用的方法有①代入法:把图象上的一个已知点代入(此时A ,ω,b 已知)或代入图象与直线y =b 的交点求解(此时要注意交点在上升区间上还是在下降区间上).②特殊点法:确定φ值时,往往以寻找“最值点”为突破口.具体如下:“最大值点”(即图象的“峰点”)时ωx +φ=π2+2k π,k ∈Z ;“最小值点”(即图象的“谷点”)时ωx +φ=3π2+2k π,k ∈Z .|变式训练|1.函数f (x )=A sin(ωx +φ)⎝⎛⎭⎫A >0,ω>0,|φ|<π2的部分图象如图所示,则f ⎝⎛⎭⎫11π24的值为( )A .-62B .-32C .-22D .-1解析:选D 由图象可得A =2,最小正周期T =4×⎝⎛⎭⎫7π12-π3=π,则ω=2πT =2.又f ⎝⎛⎭⎫7π12=2sin ⎝⎛⎭⎫7π6+φ=-2,得φ=π3,则f (x )=2sin ⎝⎛⎭⎫2x +π3,f ⎝⎛⎭⎫11π24=2sin ⎝⎛⎭⎫11π12+π3=2sin 5π4=-1,选项D 正确.2.已知函数f (x )=A cos(ωx +φ)⎝⎛⎭⎫A >0,ω>0,|φ|<π2的图象如图所示,f ⎝⎛⎭⎫π2=-23,则f ⎝⎛⎭⎫-π6=( )A .-23B .-12C.23D.12解析:选A 由题图知T 2=11π12-7π12=π3,所以T =2π3,即ω=3,当x =7π12时,y =0,即3×7π12+φ=2k π-π2,k ∈Z ,所以φ=2k π-9π4,k ∈Z ,即k =1时,φ=-π4,所以f (x )=A cos ⎝⎛⎭⎫3x -π4. 即A cos ⎝⎛⎭⎫3π2-π4=-23,得A =223, 所以f (x )=223cos ⎝⎛⎭⎫3x -π4, 故f ⎝⎛⎭⎫-π6=223cos ⎝⎛⎭⎫-π2-π4=-23. …………考点三 三角函数图象与性质的应用……………|多维探究型|……………|多角探明|角度一 三角函数模型的实际应用【例1】 某城市一年中12个月的平均气温与月份的关系可近似地用三角函数y =a +A cos ⎣⎡⎦⎤π6(x -6)(x =1,2,3,…,12)来表示,已知6月份的平均气温最高,为28 ℃,12月份的平均气温最低,为18 ℃,则10月份的平均气温值为________ ℃. [解析] 依题意知,a =28+182=23,A =28-182=5,所以y =23+5cos ⎣⎡⎦⎤π6(x -6),当x =10时,y =23+5cos ⎝⎛⎭⎫π6×4=20.5. [答案] 20.5角度二 与三角函数有关的零点(方程根)问题【例2】 已知关于x 的方程2sin 2x -3sin2x +m -1=0在⎝⎛⎭⎫π2,π上有两个不同的实数根,则m 的取值范围是________.[解析] 方程2sin 2x -3sin2x +m -1=0可转化为m =1-2sin 2x +3sin2x =cos2x +3sin2x =2sin ⎝⎛⎭⎫2x +π6,x ∈⎝⎛⎭⎫π2,π. 设2x +π6=t ,则t ∈⎝⎛⎭⎫76π,136π, 所以题目条件可转化为m2=sin t ,t ∈⎝⎛⎭⎫76π,136π有两个不同的实数根. 所以y =m2和y =sin t ,t ∈⎝⎛⎭⎫76π,136π的图象有两个不同交点,如图:由图象观察知,m2的取值范围为⎝⎛⎭⎫-1,-12, 故m 的取值范围是(-2,-1).[答案] (-2,-1)角度三 三角函数的图象与性质的综合问题【例3】 已知函数f (x )=3sin ⎝⎛⎭⎫2ωx +π3(ω>0)的图象与x 轴相邻两个交点的距离为π2. (1)求函数f (x )的解析式;(2)若将f (x )的图象向左平移m (m >0)个单位长度得到函数g (x )的图象恰好经过点⎝⎛⎭⎫-π3,0,求当m 取得最小值时,g (x )在⎣⎡⎦⎤-π6,7π12上的单调递增区间. [解] (1)函数f (x )的图象与x 轴相邻两个交点的距离为π2,得函数f (x )的最小正周期为T =2×π2=2π2ω,得ω=1,故函数f (x )的解析式为f (x )=3sin ⎝⎛⎭⎫2x +π3. (2)将f (x )的图象向左平移m (m >0)个单位长度得到函数g (x )= 3 s in ⎣⎡⎦⎤2(x +m )+π3=3sin ⎝⎛⎭⎫2x +2m +π3的图象,根据g (x )的图象恰好经过点⎝⎛⎭⎫-π3,0, 可得3sin ⎝⎛⎭⎫-2π3+2m +π3=0,即sin ⎝⎛⎭⎫2m -π3=0, 所以2m -π3=k π(k ∈Z ),m =k π2+π6(k ∈Z ),因为m >0,所以当k =0时,m 取得最小值,且最小值为π6.此时,g (x )=3sin ⎝⎛⎭⎫2x +2π3. 因为x ∈⎣⎡⎦⎤-π6,7π12,所以2x +2π3∈⎣⎡⎦⎤π3,11π6. 当2x +2π3∈⎣⎡⎦⎤π3,π2,即x ∈⎣⎡⎦⎤-π6,-π12时,g (x )单调递增, 当2x +2π3∈⎣⎡⎦⎤3π2,11π6,即x ∈⎣⎡⎦⎤5π12,7π12时,g (x )单调递增. 综上,g (x )在区间⎣⎡⎦⎤-π6,7π12上的单调递增区间是⎣⎡⎦⎤-π6,-π12和⎣⎡⎦⎤5π12, 7π12. 『名师点津』………………………………………………|品名师指点迷津|(1)三角函数模型的应用体现在两方面:一是已知函数模型求解数学问题:二是把实际问题抽象转化成数学问题,建立数学模型,再利用三角函数的有关知识解决问题. (2)方程根的个数可转化为两个函数图象的交点个数.(3)研究y =A sin(ωx +φ)的性质时可将ωx +φ视为一个整体,利用换元法和数形结合思想进行解题.|变式训练|1.已知函数f (x )=cos ⎝⎛⎭⎫3x +π3,其中x ∈⎣⎡⎦⎤π6,m ,若f (x )的值域是⎣⎡⎦⎤-1,-32,则m 的取值范围是________. 解析:画出函数的图象.由x ∈⎣⎡⎦⎤π6,m ,可知5π6≤3x +π3≤3m +π3, 因为f ⎝⎛⎭⎫π6=cos 5π6=-32且f ⎝⎛⎭⎫2π9=cosπ=-1,要使f (x )的值域是⎣⎡⎦⎤-1,-32,只要2π9≤m ≤5π18,即m ∈⎣⎡⎦⎤2π9,5π18. 答案:⎣⎡⎦⎤2π9,5π182.已知函数f (x )=4cos ωx ·sin ⎝⎛⎭⎫ωx +π6+a (ω>0)图象上最高点的纵坐标为2,且图象上相邻两个最高点的距离为π. (1)求a 和ω的值;(2)求函数f (x )在[0,π]上的单调递减区间. 解:(1)f (x )=4cos ωx ·sin ⎝⎛⎭⎫ωx +π6+a =4cos ωx ·⎝⎛⎭⎫32sin ωx +12cos ωx +a =23sin ωx cos ωx +2cos 2ωx -1+1+a =3sin2ωx +cos2ωx +1+a =2sin ⎝⎛⎭⎫2ωx +π6+1+a . 当sin ⎝⎛⎭⎫2ωx +π6=1时,f (x )取得最大值2+1+a =3+a ,又f (x )图象上最高点的纵坐标为2, 所以3+a =2,所以a =-1.又f (x )图象上相邻两个最高点的距离为π, 所以f (x )的最小正周期T =π,所以2ω=2πT =2,所以ω=1.(2)由(1)得f (x )=2sin ⎝⎛⎭⎫2x +π6, 由π2+2k π≤2x +π6≤3π2+2k π,k ∈Z , 得π6+k π≤x ≤2π3+k π,k ∈Z . 令k =0,得π6≤x ≤2π3,所以函数f (x )在[0,π]上的单调递减区间为⎣⎡⎦⎤π6,2π3. 核心素养系列 数学建模——三角函数中的实际问题【典例】 已知某海滨浴场的海浪高度y (米)是时间t (0≤t ≤24,单位:小时)的函数,记作y =f (t ).下表是某日各时的浪高数据:t (小时) 0 3 6 9 12 15 18 21 24 y (米)1.51.00.51.01.51.00.50.991.5数据,(1)求函数f (t )的解析式;(2)求一日(持续24小时)内,该海滨浴场的海浪高度超过1.25米的时间.[解] (1)由表格得⎩⎪⎨⎪⎧A +b =1.5,-A +b =0.5,解得⎩⎪⎨⎪⎧A =12,b =1,又因为T =12,所以ω=2π12=π6,故y =f (t )=12cos π6t +1.(2)由题意,令12cos π6t +1>1.25,即cos π6t >12,又因为t ∈[0,24],所以π6t ∈[0,4π],故0≤π6t <π3或5π3<π6t ≤2π,或2π<π6t <2π+π3或2π+5π3<π6t ≤2π+2π,即0≤t<2或10<t≤12或12<t<14或22<t≤24,所以在一日内该海滨浴场的海浪高度超过1.25米的时间为8小时.[点评]数学建模是通过计算得到结果来解释实际问题,并接受实际的检验,具体来讲,是运用数学的语言和方法,通过抽象、简化建立能近似刻画并“解决”实际问题的一种强有力的数学手段.。
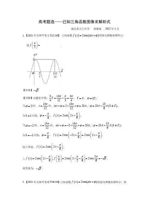
高考题选——已知三角函数图像求解析式湖北省天门中学 薛德斌 2022年1月 1.【2021年全国甲卷文T15/16】 已知函数()()2cos f x x ωϕ=+的部分图像如图所示,则2f π⎛⎫= ⎪⎝⎭_______________.【答案】 【详解】由题意可得:313341234T πππ=-=,T π=,2ω=±, 当2ω=时,1312x π=时,()131322,2126x k k k Z πωϕϕπϕππ+=⨯+=∴=-∈, 令1k =可得:6πϕ=-,()2cos 26f x x π⎛⎫=- ⎪⎝⎭; 当2ω=-时,1312x π=时,()131322,2126x k k k Z πωϕϕπϕππ+=-⨯+=∴=+∈, 令1k =-可得:6πϕ=,()2cos 22cos 266f x x x ππ⎛⎫⎛⎫=-+=- ⎪ ⎪⎝⎭⎝⎭, 综上所述,()2cos 26f x x π⎛⎫=- ⎪⎝⎭.∴()52cos 2,2cos 22cos 62266f x x f πππππ⎛⎫⎛⎫⎛⎫=-=⨯-== ⎪ ⎪ ⎪⎝⎭⎝⎭⎝⎭故答案为:2.【2021年全国甲卷理T16/16】已知函数()2cos()f x x ωϕ=+的部分图像如图所示,则满足条件74(()())(()())043f x f f x f ππ--->的最小正整数x 为________.【答案】2 【详解】由题意可得:313341234T πππ=-=,T π=,2ω=±, 当2ω=时,1312x π=时,()131322,2126x k k k Z πωϕϕπϕππ+=⨯+=∴=-∈, 令1k =可得:6πϕ=-,()2cos 26f x x π⎛⎫=- ⎪⎝⎭; 当2ω=-时,1312x π=时,()131322,2126x k k k Z πωϕϕπϕππ+=-⨯+=∴=+∈, 令1k =-可得:6πϕ=,()2cos 22cos 266f x x x ππ⎛⎫⎛⎫=-+=- ⎪ ⎪⎝⎭⎝⎭, 综上所述,()2cos 26f x x π⎛⎫=-⎪⎝⎭. 解法一:T π=, ∴74(()())(()())0(()())(()())04343f x f f x f f x f f x f ππππ--->⇔-->, 结合图形可知,((1)())((1)())043f f f f ππ--<, ∴满足条件的最小正整数应该满足()0f x <,即cos 206x π⎛⎫-< ⎪⎝⎭, 解得,36k x k k π5ππ+<<π+∈Z ,令0k =,可得536x <<ππ, 可得x 的最小正整数为2.故答案为:2. 解法二:因为7()2cos 143f π11π⎛⎫-=-= ⎪⎝⎭,()2cos 032f 4π5π⎛⎫== ⎪⎝⎭;所以由74(()())(()())043f x f f x f ππ--->可得()1f x >或()0f x <; 因为()12cos 22cos 1626f πππ⎛⎫⎛⎫=-<-= ⎪ ⎪⎝⎭⎝⎭,(2)2cos 406f π⎛⎫=-< ⎪⎝⎭,符合题意,可得x 的最小正整数为2.故答案为:2.3.【2016年全国Ⅱ卷文T3/12】函数sin()y A x ωϕ=+的部分图像如图所示,则 ( A )A .π2sin 26y x ⎛⎫=- ⎪⎝⎭B .π2sin 23y x ⎛⎫=- ⎪⎝⎭C .π2sin 6y x ⎛⎫=+⎪⎝⎭ D .π2sin 3y x ⎛⎫=+ ⎪⎝⎭4.【2015年全国I 卷理文T8/12】函数()()cos f x x ωϕ=+的部分图像如图所示,则()f x 的单调递减区间为( )A .13,44k k ⎛⎫π-π+ ⎪⎝⎭,k ∈Z B .132,244k k ⎛⎫π-π+ ⎪⎝⎭,k ∈Z C .13,44k k ⎛⎫-+ ⎪⎝⎭,k ∈Z D .132,244k k ⎛⎫-+ ⎪⎝⎭,k ∈Z解:由题可得511244T =-=,即2T =,所以2Tωπ==π. 由图可知034x =,所以324k ϕπ+=π+π,解得24k ϕπ=π+,k ∈Z , 所以()cos 4f x x π⎛⎫=π+⎪⎝⎭. 令224k x k πππ+π+π,解得132244k x k -+. 故选D .5.【2020年全国Ⅰ卷理文T7/12】设函数()cos π()6f x x ω=+在[,]ππ-的图像大致如下图,则()f x 的最小正周期为( )A .10π9B .7π6C .4π3D .3π2【答案】C 解:①点4(,0)9π-在曲线()cos π()6f x x ω=+上,∴4962k πππωπ-⋅+=+,3(13)4k ω=-+,k Z ∈. 【注1:由点4(,0)9π-得“42962k πππωπ-⋅+=-+,3(13)2k ω=-,k Z ∈”是错误的,事实上,当0ω>时,42962k πππωπ-⋅+=-+,3(13)2k ω=-,k Z ∈,0k ≤; 当0ω<时,ππ()()6()cos cos 6f x x x ωω=-=+-,4()2962k πππωπ-⨯--=-+,3(16)4k ω=-+,k Z ∈,0k ≤. 比如,若令4962πππω-⋅+=,34ω=-,3π(()cos )46f x x +-=也过点4(,0)9π-,如图(10()sin 3)f x x π=+在y 轴左边离y 轴最近的对称中心为(,0)3π- ,10333πππ-+=; (()s 31in )0f x x π=+在y 轴左边离y 轴最近的对称中心为100)(,3π- ,10333πππ-+=-.】 ②函数()f x 的最小正周期2T πω=,由图可得,4()492T T ππ<---<,4()9T ππ<--,101399T ππ<<,∴189135ω<<, ∴3(11891)4353k -+<<,124113532k +<<,∴1k =-,∴32ω=,43T π=,故选C . 【注3:只由在4[,0]9π-上的图象也可以解出结果.由图可得,4492T T π<<,81699T ππ<<,∴9984ω<<, ∴3(13)49984k -<<+,33213k +<<,∴1k =-,∴32ω=,43T π=,故选C .】。
中学数学教案三角函数的解析式与图像中学数学教案:三角函数的解析式与图像引言:三角函数是数学中的重要知识点,也是高中数学的基础。
掌握三角函数的解析表达式和图像是理解与应用三角函数的关键。
本教案将介绍三角函数的解析式与图像的概念、性质和画法,并提供一些例题来加深学生对该知识点的理解。
一、解析式与图像的概念1. 三角函数的解析式三角函数包括正弦函数、余弦函数和正切函数。
其解析式如下:正弦函数:y = sin(x)余弦函数:y = cos(x)正切函数:y = tan(x)其中,x 表示角度,y 表示函数的值。
2. 三角函数的图像三角函数的图像是将解析式中的变量 x(角度)从0度到360度之间取值,计算对应的函数值 y,然后将这些点连成曲线。
三角函数的图像具有周期性,周期为360度或2π弧度。
二、三角函数的性质1. 正弦函数的性质正弦函数的图像在[0, 360]度范围内一共有一个周期。
其性质包括:- 定义域:整个实数集R- 值域:[-1, 1]- 奇偶性:奇函数,即sin(-x) = -sin(x)- 对称性:关于y轴对称- 最值:最大值为1,最小值为-1,分别对应于sin(90°)和sin(270°)2. 余弦函数的性质余弦函数的图像在[0, 360]度范围内一共有一个周期。
其性质包括:- 定义域:整个实数集R- 值域:[-1, 1]- 奇偶性:偶函数,即cos(-x) = cos(x)- 对称性:关于y轴对称- 最值:最大值为1,最小值为-1,分别对应于cos(0°)和cos(180°)3. 正切函数的性质正切函数的图像在每个90度的整数倍处有一个渐进线。
其性质包括:- 定义域:整个实数集R,除了90度的整数倍处- 值域:(-∞, +∞)- 奇偶性:奇函数,即tan(-x) = -tan(x)- 对称性:关于原点对称- 渐近线:在90度的整数倍处有垂直渐近线三、三角函数图像的画法1. 步骤一确定横坐标的范围,一般为0度到360度,或0弧度到2π弧度。
三角函数解析式的基本方法及练习题概述三角函数是数学中常见的函数类型,用于研究角度和周期性现象。
本文将介绍三角函数的解析式及其基本方法,并提供一些练题供读者练运用。
正弦函数的解析式及性质正弦函数是三角函数中最常见的一种。
它的解析式表示为:$$\sin(x) = \frac{{\text{对边}}}{{\text{斜边}}}$$其中,$x$ 表示角度,$\sin(x)$ 表示正弦函数的值。
正弦函数的性质包括:- 定义域:$(-\infty, \infty)$- 值域:$[-1, 1]$- 周期:$2\pi$余弦函数的解析式及性质余弦函数也是常见的三角函数之一,它的解析式表示为:$$\cos(x) = \frac{{\text{邻边}}}{{\text{斜边}}}$$其中,$x$ 表示角度,$\cos(x)$ 表示余弦函数的值。
余弦函数的性质包括:- 定义域:$(-\infty, \infty)$- 值域:$[-1, 1]$- 周期:$2\pi$切线函数的解析式及性质切线函数也是常见的三角函数之一,它的解析式表示为:$$\tan(x) = \frac{{\text{对边}}}{{\text{邻边}}}$$其中,$x$ 表示角度,$\tan(x)$ 表示切线函数的值。
切线函数的性质包括:- 定义域:$x \neq \frac{{2n+1}}{2}\pi$,其中 $n$ 为整数- 值域:$(-\infty, \infty)$- 周期:$\pi$练题1. 求解正弦函数 $\sin(\frac{\pi}{4})$ 的值。
2. 若 $\cos(2x) = \frac{1}{2}$,求解 $x$ 的值。
3. 若 $\tan(\frac{x}{2}) = 1$,求解 $x$ 的值。
---以上就是三角函数解析式的基本方法及练习题的介绍。
希望这些内容能帮助你理解三角函数的概念和运用。
如果有任何问题,请随时与我联系。
1、(安徽卷文8)函数sin(2)3y x π=+图像的对称轴方程可能是( )A .6x π=-B .12x π=-C .6x π=D .12x π=2、(广东卷文5)已知函数2()(1cos 2)sin ,f x x x x R =+∈,则()f x 是( ) A 、最小正周期为π的奇函数 B 、最小正周期为2π的奇函数 C 、最小正周期为π的偶函数 D 、最小正周期为2π的偶函数 3、(全国Ⅰ卷文6)2(sin cos )1y x x =--是( ) A .最小正周期为2π的偶函数B .最小正周期为2π的奇函数C .最小正周期为π的偶函数D .最小正周期为π的奇函数4、(湖南卷理6)函数2()sin cos f x x x x =+在区间,42ππ⎡⎤⎢⎥⎣⎦上的最大值是( )A.1C. 325、(天津卷文6)把函数sin ()y x x =∈R 的图象上所有的点向左平行移动3π个单位长度,再把所得图象上所有点的横坐标缩短到原来的12倍(纵坐标不变),得到的图象所表示的函数是( )A .sin 23y x x π⎛⎫=-∈ ⎪⎝⎭R ,B .sin 26x y x π⎛⎫=+∈ ⎪⎝⎭R ,C .sin 23y x x π⎛⎫=+∈ ⎪⎝⎭R ,D .sin 23y x x 2π⎛⎫=+∈ ⎪⎝⎭R ,6、(全国Ⅰ卷文9)为得到函数πcos 3y x ⎛⎫=+ ⎪⎝⎭的图象,只需将函数sin y x =的图像( )A .向左平移π6个长度单位B .向右平移π6个长度单位 C .向左平移5π6个长度单位D .向右平移5π6个长度单位7、(全国Ⅰ卷理8)为得到函数πcos 23y x ⎛⎫=+ ⎪⎝⎭的图像,只需将函数sin 2y x =的图像( )A .向左平移5π12个长度单位 B .向右平移5π12个长度单位 C .向左平移5π6个长度单位D .向右平移5π6个长度单位1.(安徽卷文8)函数sin(2)3y x π=+图像的对称轴方程可能是( )A .6x π=-B .12x π=-C .6x π=D .12x π=解:sin(2)3y x π=+的对称轴方程为232x k πππ+=+,即212k x ππ=+,0,12k x π==2.(广东卷文5)已知函数2()(1cos 2)sin ,f x x x x R =+∈,则()f x 是( ) A 、最小正周期为π的奇函数 B 、最小正周期为2π的奇函数 C 、最小正周期为π的偶函数 D 、最小正周期为2π的偶函数 【解析】222211cos 4()(1cos 2)sin 2cos sin sin 224xf x x x x x x -=+===,选D.9.(全国Ⅰ卷文6)2(sin cos )1y x x =--是( ) A .最小正周期为2π的偶函数B .最小正周期为2π的奇函数C .最小正周期为π的偶函数D .最小正周期为π的奇函数sinx cosx,2sinxcosx 2y=1sin 2x 1=sin 2x T D2ππ±解析:本题主要考查了三角函数的化简,主要应用了与的关系,同时还考查了二倍角公式和函数的奇偶性和利用公式法求周期。
初中数学三角函数的反函数与解析式三角函数是数学中重要的概念之一,包括正弦函数、余弦函数和正切函数。
在初中数学中,我们学习了这些函数的概念、性质以及图像,并且了解到三角函数是周期性的。
在解题过程中,我们也经常需要求解三角函数的反函数以及它们的解析式。
本文将重点讨论初中数学中三角函数的反函数和解析式。
一、反函数的概念反函数是指将一个函数的输出作为输入,而得到原函数的输入作为输出的函数。
在初中数学中,我们常用"反函数"来表示函数之间的互逆关系。
对于三角函数而言,它们的反函数分别为反正弦函数、反余弦函数和反正切函数。
1. 反正弦函数反正弦函数(arcsin)记作y = arcsin(x),其中x的定义域为[-1, 1],y的值域为[-π/2, π/2]。
反正弦函数的图像为关于y轴对称的单调递增函数,其特点是输入值在定义域内的范围下,通过反正弦函数可以得到原始的正弦函数的角度值。
2. 反余弦函数反余弦函数(arccos)记作y = arccos(x),其中x的定义域为[-1, 1],y的值域为[0, π]。
反余弦函数的图像为关于x轴对称的单调递减函数,其特点是输入值在定义域内的范围下,通过反余弦函数可以得到原始的余弦函数的角度值。
3. 反正切函数反正切函数(arctan)记作y = arctan(x),其中x的定义域为实数集,y的值域为(-π/2, π/2)。
反正切函数的图像是关于原点对称的,其特点是输入值可以通过反正切函数获得原始的正切函数的角度值。
二、解析式的推导在初中数学中,我们学习了正弦函数、余弦函数和正切函数的图像及其周期性,但我们很少了解它们的具体解析式。
下面将以正弦函数为例,推导其解析式。
正弦函数的定义为y = sin(x),其中x为角度值。
在单位圆中,我们可以获得不同角度下正弦函数的值。
为了进一步得到正弦函数的解析式,我们需要引入三角恒等式。
三角恒等式是指三角函数之间的一类等式关系,常见的有正弦函数、余弦函数和正切函数的恒等式。
三角函数的反三角函数与解析式应用实例三角函数是数学中常见的一类函数,包括正弦函数、余弦函数、正切函数等。
而相对应的,反三角函数则提供了一种逆运算,用于得到某个已知三角函数值的角度。
一、正弦函数和反正弦函数正弦函数的定义域为实数集,值域为[-1, 1]。
对于给定的角度x(单位为弧度),可以使用正弦函数sin(x)来表示。
反正弦函数,记为arcsin(x),定义域为[-1, 1],值域为[-π/2, π/2]。
反正弦函数的计算可以用来求解已知正弦函数值的角度。
例如,若已知sin(x) = 0.5,通过计算可以得到x = arcsin(0.5) ≈ π/6。
实例一:根据已知正弦函数值求解角度假设有一个直角三角形,其中一条直角边的长度为3,斜边的长度为5。
现在需要求解另一条直角边的长度。
设该直角边对应的角为θ,根据正弦函数的定义,可以得到sin(θ) = 对边/斜边 = 3/5。
此时,需要使用反正弦函数来求解θ的取值。
解析式应用实例:θ = arcsin(3/5)二、余弦函数和反余弦函数余弦函数的定义域为实数集,值域为[-1, 1]。
对于给定的角度x(单位为弧度),可以使用余弦函数cos(x)来表示。
反余弦函数,记为arccos(x),定义域为[-1, 1],值域为[0, π]。
反余弦函数的计算可以用来求解已知余弦函数值的角度。
例如,若已知cos(x) = 0.5,通过计算可以得到x = arccos(0.5) ≈ π/3。
实例二:根据已知余弦函数值求解角度假设有一个直角三角形,其中一条直角边的长度为4,斜边的长度为5。
现在需要求解另一条直角边的长度。
设该直角边对应的角为θ,根据余弦函数的定义,可以得到cos(θ) = 临边/斜边 = 4/5。
此时,可以使用反余弦函数来求解θ的取值。
解析式应用实例:θ = arccos(4/5)三、正切函数和反正切函数正切函数的定义域为实数集,值域为整个实数集。
对于给定的角度x(单位为弧度),可以使用正切函数tan(x)来表示。
如何由三角函数的图象求解析式t1r—J『]野]rtP一目卿舶1]r"CJ]训fIiX腑C*rIlSUPxlulEIDAISIJ数学大世界—]":=兰:竺兰兰.I如何由三角函数的◎唐春健河南安阳一中如何由三角函数的图象来确定它的解析式?用什么方法能够达到快速解答的目的?我们用实例来说明.[例1]如图是某正弦函数的部分图象,则其解析式是()A.一2sin(2z+手)B..y一2sin2一手)c.一2sin2一号)D.一2sin(2z十号)2…一一手lox.方法一看图司知,与Y一2sin2x的图象对照,只须将它向右平移手单位,所以把一2sin2x中的改为z一季即可,得一2sin2(一手)一2sin(2一号),选C.方法二抓住特征点(号,2),当取一号的时候Y…一2,得2—2sin2?号+),则sin(7r+)一1,于是sin一一1,一2k丌一号,取志一0,得=--号,故选C.或取x----0时,Y一一2.方法三抓住特征点(一手,0),(0,一2),(手,o),(号,2),(等,o)中任意一个代人选择支,验证即知C正确.取特殊值是解选择题最常用的方法之一.圈此题条件完备,可直接计算求解,但有些选择题则根据图象提供的信息无法求出未知的常数,必须结合选择支方可确定其解析式.下图是函数一2sin(cu+)(I≤号)的一St图象求解析式图象,那么()A.一订10,一百/rB.∞一订10,一一詈C.一2,一詈,一2,一一詈'2l',.等-2分析图象是由一2sino~x的图象向左平移而得,则>0,于是可以否定B,D,而选择支中II一罢,那么移动量为,因此周期T一+一O(£,j∞,所以∞一2,选C.I发散类比I函数_厂()=Msin(~ox+9)(cu>0)在区间[口,6] 上是增函数,且f(a)一一M,,(6)一M,则函数g(z) =Mcos(tot+)在[口,6]上()A.是增函数B.是减函数C.可取得最大值MD.可取得最小值一M方法一(直接推算)由于,(z)在[口,6]上是增函数,于是厂(n)<厂(6),即一M<M,得M>O. 而厂(n)一一M,n+一2k~r--鲁,厂(6):M,+—2krr+鲁(是∈z).又∞>O,因此当z∈[1,6]时,z+∈E2k~r一号,2志丌+吾](是∈z),对于z∈[n,6],当∞+一2k~r(k∈z)时,函数g()=Mcos(tox+9)有最大值M,故选C.方法二画张草图(如下图),观察图象,轻松获解. Y/…,,,,,\()/:,_【",b】■强露Q瑟35/::一……..………数形结合是解选择又一常用的方法.[例2]xE(o,2丌),—Asin(z+手)与函数—sin(2+)图像有一个相同的最高点,那么A一——,一——分析显然A一1,在(O,2丌)上,y=sin(+手)的最高点为(7I",1),把这点坐标代入—sin(2+),即一O,如下图././手4三角函数的图象把它的性质清楚直观地表述出来了,因此熟悉三角函数的图象对进一步理解三角的本质具有重要的意义.[例3]如图是由一正弦函数图象变换而得,则其解析式为.\f\/号.号\/V………一一,/分析图中阴影面积如何处理?它是不规则图形,求其面积肯定要用特殊的手段.由正弦函数图象的性质我们去寻找解题的途径.由于函数Y—Asin(十)的图象是关于它与轴交点成中心对称图形,所以图中阴影部分面积可转化为求矩形F0HP的面积,而A—lFOI一2,因此IOHI一一37f,从而得丁一3丌, 则cu=6丁7r2,于是移动量为一,故一号.[例4]已知正弦曲线Y—Asin(+)fA>0,>o,iI≤号)的一个最高点是(2,√),由这个最高点到相邻的最低点的曲线与轴相交于点(6,O),求曲线的解析式.分析如何确定是本题的关键,画张草图注意到两点(2,)和(6,0),两横坐标的差为车.解A一,T一16,T一,故詈,有一sin(詈z+)因点(2,)在曲线上,从而有一sin(季+),sin(号+)一1.又I~l-<T一,季+一号,一手.因此所求解析式一sin(专+).通常我们总是先确定A,然后求求T,通过T一求∞,最后确定.但这也不是绝对的,A,,三个元素中到底先求谁,读者可以在自己认最熟悉的情况下自由选择.翮1.如图为函数Y一-厂()=Asin('+)的一个周期的图象.(1)写出Y—f()的解析式;2}:\一I:///-2(2)写出Yg(x)的解析式,便f()与g()的图象关于直线z一2对称.分析抓住移动量为1,而T一8,然后去求.解(1)A一2,T一7一(一1)一8,而T一,则一孚,C移动量为里6O—l,于是一号,故所求解析式为一2sin(+手).(2)设(.,.)是曲线—g(1z)上任一点,(z,Y)是曲线一-厂()上关于直线一2对称的点.即有0一2,0—4--X2,则)-2n[号(4z)+刳一2sin(一手)in[丌一(号一)]一2sin(-~--5r2--号).\冒警:一,√_:.一:::二:…一…一一…一,……………一……一,故=::g()一2sin(手一号).或由于-厂()与g(x)的图象关于直线一2对称,而函数3,一,(z)图象靠近直线z===2最左侧的一条对称轴为直线一1.于是直线z=3是g(z)的一条对称轴.2.如图单摆从某点开始来回摆动,离开平衡位置的距离S()和时间£(sec)的函数关系是s=Asin(cot-F~p),根据图象,求(1)函数解析式;(2)单摆摆动到最右边时,离开平衡位置是多少?(3)单摆来回摆动一次需要多少时间?解(1)由图知:手丁一一百1一3,则T=I,故∞一擎一2丌.又:时取得最大值,bm.I1I7r则27rX百+一号,O所以一詈.2()_L\/I_Lt\v/又当£一0时,S一2,因此2一Asin詈,得A一4, 因此,函数解析式为s一4sin2丌+詈).≥SHUX'UEDASHIJIE数学大世界{(2)由于A一4,则单摆摆动到最右边时,离开平i衡位置4cm.(3)因为T一1,所以单摆来回摆动一次需时间为1sec.3.如图,某地一天从6时至14时的温度变化曲线近似满足函数一4sin(oJx+~o)+b.(1)求这段时间的最大温度差;(2)写出这段曲线函数解析式.解(1)由题中图所示,这段时间的最大温度差是30—10:20(℃).(2)图中从6时到14时的图象是函数—Asin(cU+)4-b的半个周期的图象,3O/,,2O,lO/1D61014所以专,一14—6,解得一号.∞o由图示,A=l(30—10)=10,b=1(30+10)=20.这时一10sin(詈z+)+2o.将—,一10代人上式,可取一.综上,所求的解析式为.y=1osin(詈+)+数学史上的冤案在自然科学领域,有不少公式和定律都以发理者的名字而命名.而数学上的"卡尔丹诺公式"的命名则是一桩地地道道的冤案.在中世纪的意大利,盛行在街头打数学擂台.通常是摆上一张桌子.数学斗士们各向对手提交一批数量不等的难题,谁先做出正确的解答,谁就是优胜者.这种风气有效地培养出一批颇具才华的数学家.出身寒微而自学成才的尼古拉?塔尔达利亚便是其中的佼佼者.由于他才智过人,又极为勤奋好学,因而享有"不可战胜者"的盛誉.一次,他接到了平庸的大富豪费奥里的挑战书,并且得知费奥里已向一位教师要到了三次方程式的秘密解法,企图以此获胜.塔尔达利亚为赢得得这次胜利,闭门谢客,废寝忘食,苦苦琢磨了三天三夜,终于找到了三次方程式的新解法,并在随后的比赛中,又一次轻取桂冠.这时,一个名叫卡尔丹诺的科学骗子找到了塔尔达利亚,狂妄地自称他有4万项发明,只有三次方程式的解法才是他唯一的不解之谜,并为此痛不欲生.在卡尔丹诺甜言蜜语的哄骗下,诚实而善良的塔尔达利亚便毫不保留地将自己的新发现告诉了他.谁知,几天以后,卡尔丹诺意发表了一篇论文,阐述了三次方程式的新解法,并大言不惭地宣称,这是他的最新发现.待人一向诚恳的诺尔达利亚,被骗子这一欺世盗名的无耻行径激怒了,他向卡尔丹诺堂堂正正地提出挑战, 并把骗子派来的数学高手击得惨败.然而,在随即而来的一个没有星光的夜晚,塔尔达利亚竞被骗子收买的亡命之徒秘密刺杀了.从此,在罗马街头的数学擂台上,不可战胜的数学斗士塔尔达利亚的勃勃英姿永远消逝了,他对三次方程式的新解法的卓越贡献,也被一些不公正的记载一笔抹煞了, 在今天的不少数学着作中,他的发现仍被称为"卡尔丹诺公式",这使凡是熟知上述史实的人,无不痛感必须恢复真理的权威性和历史本身的尊严.。
已知三角函数图象求解析式方法例析
-CAL-FENGHAI.-(YICAI)-Company One1
已知三角函数图象求解析式方法例析
已知函数y =Asin(ωx+φ)+k(A >0,ω>0)的部分图象,求其解析式,与用“五点法”作函数y =Asin(ωx+φ)+k的图象有着密切联系,最主要的是看图象上的“关键点”与“特殊点”.本文就一般情况例析如下.
一、A 值的确定方法:A 等于图象中最高点的纵坐标减去最低点的纵坐标所得差的一半.
二、 ω值的确定方法:
方法1.在一个周期内的五个“关键点”中,若任知其中两点的横坐标,则可先求出周期T,然后据ω=T
π2求得
ω的值.
方法2:“特殊点坐标法”。
特殊点包括曲线与坐标轴的交点、最高点和最低点等。
在求出了A 与φ的值之后,可由特殊点的坐标来确定ω的值.
三、 φ值的确定方法:
方法1:“关键点对等法”.确定了ω的值之后,把已知图象上五个关键点之一的横坐标代人ωx+φ,它应与曲线y=sinx 上对应五点之一的横坐标相等,由此可求得φ的值.此法最主要的是找准“对等的关键点”,我们知道曲线y =sinx 在区间[0,2π]上的第一至第五个关键点的横坐标依次为0、2
π、π、2
3π、2π,若设所给图象与曲线y=sinx
上对应五点的横坐标为x J (J =1,2,3,4,5), 则顺次有ωx 1+φ=
0、 ωx 2+φ=2
π、ωx 3+φ=π、ωx 4+φ=2
3π、ωx 5+φ=
2π,由此可求出φ的值。
方法2:“筛选选项法”,对于选择题,可根据图象的平移方向经过筛选选项来确定φ的值.
方法3:“特殊点坐标法”.(与2中的方法2类同).
四、 k 值的确定方法: K 等于图象向上或向下平移的长度,图象上移时k 为正值,下移时k 为负值.
另外A 、ω、φ的值还可以通过“解方程(组)法”来求得.
例1.图1是函数y=2sin (ωx+φ)(ω>0,φ≤2
π)的
图象,那么正确的是( )
A.ω=11
10, φ=6
π B.ω=11
10, φ=-6
π
C.ω=2,φ=6
π D.ω=2,φ=-6
π
, 解:可用“筛选选项法”.
题设图象可看作由y =2sin ωx
的图象向左平移而得到,所以φ>0 排除B 和D ,由A,C
知φ=6
π;
ω值的确定可用“关键点对等法”, 图1 因点(12
11π,0)是“五点法”中的第五个点,
∴ω·12
11π
+6
π=2π 解得ω=2, 故选C .
例2.图2是函数y =Asin(ωx+φ)图象上的一段,
12
11π1211πx
y
2 -
(A >0,ω>0,φ∈(0,2
π)),求该函数的解析式.
解法一:观察图象易得A =∴T =2×(87π-83π
)=π,
∴ω=ππ
2=2.
∴y =2sin(2x+φ).
下面用“关键点对等法”来求出 图2 φ的值,由
2×83π
+φ=π(用“第三点”) 得φ=4π
∴所求函数解析式为
y =2sin(2x+4π
).
说明:若用“第二点”,可由2×8π +φ=2
π
求得φ的值;
若用“第五点”,可由2×87π
+φ=2π求得φ的值.
解法二:由解法一得到T= π,ω=2后,可用“解方程组法”求得φ与A 的值,∵点(0,2)及点(
8
3π
,0)在图象上, ∴ Asin φ=
2
(1)
Asin(2×83π
+φ)=0 (2) 由(2)得 φ=k π-4
3π(k ∈Z), 又φ∈(0,2
π),
∴只有K =1,得φ=4π
, 代人(1)得A =2.
∴所求函数解析式为 y =2sin(2x+4π
).
0 1
4
2
x
y
例3.已知函数y =Asin(ωx+φ) (A >0,ω>0, φ<2
π)图象上的一部分如图3所示,则必定有( )
(A) A=-2 (B )ω=1 (C )φ=3
π
(D )K =-2
解:观察图象可知 A =2,k =2. ∴y =2sin(ωx+φ)+2 下面用“解方程组法”求φ与ω的值.
∵ 图象过点(0,2+3)、(-6
π
,2)
∴ 2+3=2sin φ+2 图3
2=2sin(-6
π
ω+φ)+2 解得ω=2,φ=3
π
故选C.
例4.如图4给出了函数y =Asin(ωx+φ)(A >0,ω>0, φ <2
π)图象的一段,求这个函数的解析式.
解:由图象可知 T=2×(4-1)=6,
∴ω=
6
2π=3π
,∴y =2sin (3πx +φ) 下面用“特殊点坐标法”求φ,
∵ 图象过点(1,2)
∴2=2sin(3π
×1+φ), 又 φ <2
π 图4
∴只有φ=6π
∴所求函数解析式为y =2sin(3πx +6π
).
x
2+3
y
0
4 6
π-
2
说明:本题φ的值也可由“关键点对等法”来求得,
如令3π×1+φ=2π 或3π×4+φ=23π
等均可求得φ的值.。