大学物理-电磁学
- 格式:ppt
- 大小:3.51 MB
- 文档页数:10
大学物理电磁学引言电磁学是物理学的一个重要分支,研究电荷之间相互作用的原理和电磁波的特性。
在大学物理学中,电磁学是必学的一门课程,它涵盖了电荷、电场、电势、电流、电磁感应、电磁波等基本概念和原理。
本文将介绍大学物理电磁学的基本原理和相关内容。
一、电荷和电场电荷是电磁学的基本物理量之一,分为正电荷和负电荷。
正电荷和负电荷相互吸引,相同电荷相互排斥。
电场是电荷在周围产生的一种力场,用于描述电荷对其他电荷的作用力。
电场强度是衡量电场强弱的物理量,它的定义是单位正电荷所受的力。
二、电场的产生和性质电荷在空间中形成的电场是由电荷成对产生的。
当有多个电荷时,它们各自产生的电场可以叠加。
电场的性质包括电场的线性性质、电场的无旋性和电场的势能。
三、电势和电势能电势是描述电场对单位正电荷做的功的物理量。
电势是标量,它对应于电场的能量分布。
电势能是电荷在电场中具有的能量,它是由电势引起的。
四、电容和电容器电容是描述电场在电荷分布上的储存能力的物理量。
电容器是用来储存电荷和能量的装置,由两个导体之间的介质隔开,形成电场。
常见的电容器包括电容器、平行板电容器和球形电容器。
五、电流和电阻电流是电荷随时间变化的物理量,是单位时间内流过某个横截面的电荷量。
电阻是导体对电流流动的阻碍,它符合欧姆定律。
电流在电路中的运动受到欧姆定律和基尔霍夫定律的约束。
六、磁场和磁感应磁场是由带电粒子的运动产生的物理现象,描述了磁力的作用。
磁感应是描述磁场强度的物理量。
电流在导线中产生磁场,被称为安培环路定律。
七、电磁感应和法拉第定律电磁感应是通过磁场的变化产生电场的现象。
法拉第定律描述了导体中感应电动势与磁通量变化的关系。
法拉第定律是电磁感应定律的基础,它是电磁感应现象的定量描述。
八、电磁波和光学电磁波是由电场和磁场相互作用而产生的一种波动现象。
电磁波具有电磁场的传播性质,包括光学、无线电波等各种波动现象。
结论大学物理电磁学是电磁学的基本课程,涵盖了电荷、电场、电势、电流、电磁感应、电磁波等内容。
大学物理电磁学是物理学的一个重要分支,主要研究电磁现象的规律和本质。
电磁学在科学技术、工业生产和日常生活中都有着广泛的应用。
本文将从电磁学的基本概念、基本定律和电磁波的传播等方面对大学物理电磁学进行介绍。
一、基本概念1.电荷:电荷是物质的一种属性,分为正电荷和负电荷。
电荷间的相互作用规律是:同种电荷相互排斥,异种电荷相互吸引。
2.电场:电场是电荷及变化磁场周围空间里存在的一种特殊物质,它对放入其中的电荷有作用力。
电场的强度用电场强度E表示,单位是牛/库仑。
3.磁场:磁场是磁体周围空间里存在的一种特殊物质,它对放入其中的磁体有作用力。
磁场的强度用磁感应强度B表示,单位是特斯拉。
4.电磁波:电磁波是由同相振荡且互相垂直的电场与磁场在空间中以波的形式移动,其传播方向垂直于电场与磁场构成的平面,有效的传递能量。
电磁波在真空传播速度与光速一样,速度为30万千米/秒。
二、基本定律1.库仑定律:库仑定律是描述电荷之间相互作用的定律,其内容为:真空中两点电荷间的作用力与它们的电荷量的乘积成正比,与它们的距离的平方成反比,作用力在它们的连线上。
2.安培定律:安培定律是描述电流和电流激发磁场的定律,其内容为:电流I1通过一条无限长直导线时,在距离导线r处产生的磁场强度H1与I1成正比,与r成反比,即H1与I1r成反比。
磁场方向垂直于电流方向和通过点的平面。
3.法拉第电磁感应定律:法拉第电磁感应定律是描述磁场变化引起电场变化的定律,其内容为:穿过电路的磁通量发生变化时,产生感应电动势。
感应电动势的大小与磁通量变化率成正比,与电路的匝数成正比。
4.麦克斯韦方程组:麦克斯韦方程组是描述电磁场分布和电磁波传播的四个偏微分方程,包括库仑定律、法拉第电磁感应定律、安培定律和位移电流定律。
三、电磁波的传播1.电磁波的发射:电磁波的产生通常是通过振荡电路实现的。
当振荡电路中的电场和磁场相互垂直且同相振荡时,电磁波便会产生并向外传播。
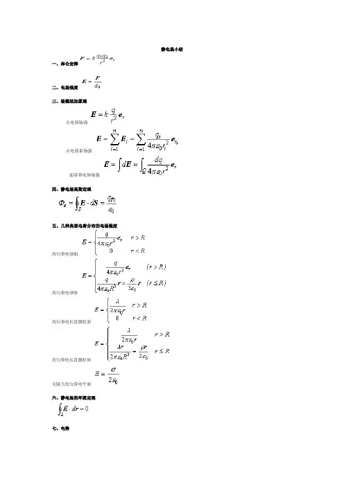
静电场小结一、库仑定律(两个点电荷,d>>r)二、电场强度三、场强迭加原理点电荷场强点电荷系场强连续带电体场强四、静电场高斯定理五、几种典型电荷分布的电场强度均匀带电球面均匀带电球体均匀带电长直圆柱面均匀带电长直圆柱体无限大均匀带电平面六、静电场的环流定理七、电势八、电势迭加原理点电荷电势点电荷系电势连续带电体电势九、几种典型电场的电势均匀带电球面均匀带电直线十、导体静电平衡条件(1) 导体内电场强度为零;导体表面附近场强与表面垂直。
(2) 导体是一个等势体,表面是一个等势面。
推论一电荷只分布于导体表面推论二导体表面附近场强与表面电荷密度关系十一、静电屏蔽导体空腔能屏蔽空腔内、外电荷的相互影响。
即空腔外(包括外表面)的电荷在空腔内的场强为零,空腔内(包括内表面)的电荷在空腔外的场强为零。
十二、电容器的电容平行板电容器圆柱形电容器球形电容器孤立导体球十三、电容器的联接并联电容器串联电容器十四、电场的能量电容器的能量电场的能量密度电场的能量稳恒电流磁场小结一、磁场运动电荷的磁场毕奥——萨伐尔定律二、磁场高斯定理三、安培环路定理四、几种典型磁场有限长载流直导线的磁场无限长载流直导线的磁场圆电流轴线上的磁场圆电流中心的磁场长直载流螺线管内的磁场载流密绕螺绕环内的磁场五、载流平面线圈的磁矩m和S沿电流的右手螺旋方向六、洛伦兹力七、安培力公式八、载流平面线圈在均匀磁场中受到的合磁力载流平面线圈在均匀磁场中受到的磁力矩电磁感应小结一、电动势非静电性场强电源电动势一段电路的电动势闭合电路的电动势当时,电动势沿电路(或回路)l的正方向,时沿反方向。
二、电磁感应的实验定律1、楞次定律:闭合回路中感生电流的方向是使它产生的磁通量反抗引起电磁感应的磁通量变化。
楞次定律是能量守恒定律在电磁感应中的表现。
静电场小结一、库仑定律二、电场强度三、场强迭加原理点电荷场强点电荷系场强连续带电体场强四、静电场高斯定理五、几种典型电荷分布的电场强度均匀带电球面均匀带电球体均匀带电长直圆柱面均匀带电长直圆柱体无限大均匀带电平面六、静电场的环流定理七、电势八、电势迭加原理点电荷电势点电荷系电势连续带电体电势九、几种典型电场的电势均匀带电球面均匀带电直线十、导体静电平衡条件(1) 导体内电场强度为零;导体表面附近场强与表面垂直。
(2) 导体是一个等势体,表面是一个等势面。
推论一电荷只分布于导体表面推论二导体表面附近场强与表面电荷密度关系十一、静电屏蔽导体空腔能屏蔽空腔内、外电荷的相互影响。
即空腔外(包括外表面)的电荷在空腔内的场强为零,空腔内(包括内表面)的电荷在空腔外的场强为零。
十二、电容器的电容平行板电容器圆柱形电容器球形电容器孤立导体球十三、电容器的联接并联电容器串联电容器十四、电场的能量电容器的能量电场的能量密度电场的能量稳恒电流磁场小结一、磁场运动电荷的磁场毕奥——萨伐尔定律(sin@ 二、磁场高斯定理三、安培环路定理四、几种典型磁场有限长载流直导线的磁场无限长载流直导线的磁场圆电流轴线上的磁场圆电流中心的磁场长直载流螺线管内的磁场载流密绕螺绕环内的磁场五、载流平面线圈的磁矩m和S沿电流的右手螺旋方向六、洛伦兹力七、安培力公式八、载流平面线圈在均匀磁场中受到的合磁力载流平面线圈在均匀磁场中受到的磁力矩电磁感应小结一、电动势非静电性场强电源电动势一段电路的电动势闭合电路的电动势当时,电动势沿电路(或回路)l的正方向,时沿反方向。
二、电磁感应的实验定律1、楞次定律:闭合回路中感生电流的方向是使它产生的磁通量反抗引起电磁感应的磁通量变化。
楞次定律是能量守恒定律在电磁感应中的表现。
2、法拉第电磁感应定律:当闭合回路l中的磁通量变化时,在回路中的感应电动势为若时,电动势沿回路l的正方向,时,沿反方向。
对线图,为全磁通。
大学物理——电磁学电磁学是物理学中的一门基础学科,研究电荷之间相互作用的规律性和电磁波的产生、传播以及与物质的相互作用。
电磁学的理论和应用范围广泛,是现代通讯、信息技术、能源领域中必不可少的一门科学。
1. 静电学静电学是电磁学的一个分支,主要研究静电场、电荷分布和电势等基本概念及其相互关系。
静电学的基本定理是库仑定律,它描述了电荷之间的相互作用力与其距离的平方成反比。
此外,静电学还研究电荷密度、电场强度、电荷守恒定律、高斯定理等。
2. 恒定电流学恒定电流学是研究静态电荷(即不随时间变化的电荷)所产生的电流和电场。
这一分支的基本定理为安培定律,它描述了电流与导线长度、截面积的乘积和导体电荷密度的乘积成正比。
恒定电流学还研究电阻、电势差、欧姆定律、基尔霍夫定律等。
3. 电磁场电磁场是指在空间中存在的包含电场和磁场的物理场。
电磁场的基本方程是麦克斯韦方程组,它是电磁学研究的核心。
麦克斯韦方程组包括四个方程,其中两个是描述电场的方程,另外两个是描述磁场的方程。
这些方程可以用来描述电磁波的产生、传播和与物质的相互作用等现象。
4. 电磁波电磁波是电场和磁场在空间中传播的波动现象。
电磁波的产生需要电荷在空间中振动,形成变化的电场和磁场,产生一种横波。
电磁波的特点是在真空中传播,速度是光速,而且具有波长和频率等特征。
电磁波的应用极广,包括无线通信、雷达、移动通讯等。
5. 辐射现象辐射现象是指电荷加速时会产生电磁波辐射的现象。
这一现象是电子学的基础,也是实现电子器件中心频率和带宽的重要途径。
辐射现象的基本定理是洛伦兹方程,它描述了电子发射电磁辐射能量的表达式。
强烈的电磁辐射还会带来安全风险,例如核辐射和光辐射等。
总之,电磁学是一门广泛应用的学科,在通讯技术、信息技术、能源等领域中都有着重要的应用。
它不仅具有基础理论的重要性,还承担着促进社会发展和改善人类生活的使命。
6. 电动力学电动力学是电磁学的一个分支,主要研究带电粒子在电场和磁场中的运动规律。
一、教学内容1. 库仑定律:描述静电力的大小和方向,公式为F=kq1q2/r^2,其中k为库仑常数,q1和q2分别为两个点电荷的电量,r为它们之间的距离。
2. 电场强度:描述电场对电荷的作用力,公式为E=F/q,其中F为电场对电荷的作用力,q为电荷的电量。
3. 高斯定律:描述电场通过一个闭合曲面的通量与该闭合曲面内部的总电荷之间的关系,公式为Φ=Q/ε0,其中Φ为电通量,Q为闭合曲面内部的总电荷,ε0为真空中的电常数。
4. 磁感应强度:描述磁场对运动电荷的作用力,公式为B=F/IL,其中F为磁场对运动电荷的作用力,I为电流的大小,L为电流所在导线的有效长度。
5. 安培定律:描述电流产生的磁场,公式为B=μ0I/2πr,其中B为磁场的大小,I为电流的大小,r为电流所在导线到被测点的距离,μ0为真空中的磁常数。
6. 法拉第电磁感应定律:描述磁场变化产生的电动势,公式为E=ΔΦ/Δt,其中E为电动势,ΔΦ为磁通量的变化量,Δt为时间的变化量。
二、教学目标1. 掌握大学物理电磁学的基本概念和公式。
2. 能够运用电磁学的知识解决实际问题。
3. 培养学生的科学思维和解决问题的能力。
三、教学难点与重点重点:库仑定律、电场强度、高斯定律、磁感应强度、安培定律、法拉第电磁感应定律。
难点:高斯定律、安培定律、法拉第电磁感应定律的理解和应用。
四、教具与学具准备教具:黑板、粉笔、PPT课件。
学具:教材、笔记本、笔。
五、教学过程1. 实践情景引入:讲解库仑定律时,可以引入两个点电荷之间的相互作用力。
2. 例题讲解:讲解电场强度时,可以举例一个正点电荷对周围电荷的作用力。
3. 随堂练习:让学生计算一个负点电荷对周围电荷的作用力。
4. 讲解高斯定律:讲解高斯定律时,可以举例一个闭合曲面内部的电荷对曲面外的电场的影响。
5. 讲解磁感应强度:讲解磁感应强度时,可以举例磁场对运动电荷的作用力。
6. 讲解安培定律:讲解安培定律时,可以举例电流产生的磁场对周围导线的影响。
大学物理电磁学
第一章:静止电荷的电场
讲授内容:电荷、库仑定律、电场和电场强度以及场强叠加原理、电场线和电通量、高斯定律、利用高斯定律求静电场的分布基本要求:掌握静电场场强的概念及其叠加原理、能求解连续带电体的场强分布;理解用高斯定理律计算电场的条件和方法本章重点:电场强度的矢量叠加性、高斯定律
本章难点:微积分的应用
1.库仑定律
注意:矢量符号的印刷体以黑体加粗表示,手写书写体时必须带上标箭头。
2. 叠加原理:两个以上的点电荷对一个点电荷的作用力等于各个点电荷。
单独存在时对该点电荷的作用的矢量和。
3.电场:是电荷周围空间里存在的一种特殊物质。
4.电场强度:是用来表示电场的强弱和方向的物理量,下面是定义式。
5.电场线:是为了直观形象地描述电场分布而在电场中引入的一些假想的曲线。
电场线的特性:
a.始于由正电荷,止于负电荷;
b.电场线不相交;
c.静电场线不闭合;
(曲线上每一点的切线方向为电场方向;电场线的疏密程度代表场强大小)
6.电通量:通过电场中某一个面的电场线数叫做通过这个面的电场强度通量。
注:一般规定由内向外的方向为各处面元法向的正方向。
7.高斯定律:
8.电偶极子:电偶极子由等量异号电荷构成,电偶极矩方向由负电荷指向正电荷。
大学物理《电磁学》PPT课件•电磁学基本概念与原理•静电场中的导体和电介质•恒定电流及其应用•磁场性质与描述方法•电磁感应原理及技术应用•电磁波传播特性及技术应用目录CONTENTS01电磁学基本概念与原理电场强度描述电场强弱的物理量,其大小与试探电荷所受电场力成正比,与试探电荷的电荷量成反比。
静电场由静止电荷产生的电场,其电场线不随时间变化。
电势与电势差电势是描述电场中某点电势能的物理量,电势差则是两点间电势的差值,反映了电场在这两点间的做功能力。
欧姆定律描述导体中电流、电压和电阻之间关系的定律。
恒定电流电流大小和方向均不随时间变化的电流。
静电场与恒定电流磁场磁感应强度磁性材料磁路与磁路定律磁场与磁性材料由运动电荷或电流产生的场,其对放入其中的磁体或电流有力的作用。
能够被磁场磁化并保留磁性的材料,分为永磁材料和软磁材料。
描述磁场强弱的物理量,其大小与试探电流所受磁场力成正比,与试探电流的电流强度和长度成反比。
磁路是磁性材料构成的磁通路径,磁路定律描述了磁路中磁通、磁阻和磁动势之间的关系。
描述变化的磁场产生感应电动势的定律。
法拉第电磁感应定律描述感应电流方向与原磁场变化关系的定律。
楞次定律描述磁场与变化电场之间关系的定律。
麦克斯韦-安培环路定律由变化的电场和磁场相互激发而产生的在空间中传播的电磁振荡。
电磁波电磁感应与电磁波麦克斯韦方程组及物理意义麦克斯韦方程组由四个基本方程构成的描述电磁场基本规律的方程组,包括高斯定理、高斯磁定理、法拉第电磁感应定律和麦克斯韦-安培环路定律。
物理意义麦克斯韦方程组揭示了电磁现象的统一性,预测了电磁波的存在,为电磁学的发展奠定了基础。
同时,该方程组在物理学、工程学等领域具有广泛的应用价值。
02静电场中的导体和电介质导体在静电场中的性质静电感应当导体置于外电场中时,导体内的自由电子受到电场力的作用,将重新分布,使得导体内部电场为零。
静电平衡当导体内部和表面的电荷分布不再随时间变化时,称导体达到了静电平衡状态。
大学物理:电磁学电磁学是物理学的一个分支,主要研究电磁现象、电磁辐射、电磁场以及它们与物质之间的相互作用。
在本文中,我们将探讨电磁学的基本概念、历史背景、研究领域以及在现实生活中的应用。
一、基本概念1、电荷与电荷密度电荷是物质的一种属性,它可以产生电场。
电荷分为正电荷和负电荷。
电荷的分布可以用电荷密度来描述,它表示单位体积内所包含的电荷数量。
2、电场与电场强度电场是空间中由电荷产生的力线所形成的场。
电场强度是描述电场强弱的物理量,它与电荷密度有关。
3、磁场与磁感应强度磁场是由电流或磁体产生的场。
磁感应强度是描述磁场强弱的物理量,它与电流密度和磁场中的电荷有关。
4、电磁波电磁波是由电磁场产生的波动现象,它包括无线电波、微波、红外线、可见光、紫外线、X射线和伽马射线等。
二、历史背景电磁学的研究可以追溯到17世纪和18世纪,当时科学家们开始研究静电和静磁现象。
19世纪初,英国物理学家迈克尔·法拉第发现了电磁感应定律,即变化的磁场可以产生电流。
1864年,英国物理学家詹姆斯·克拉克·麦克斯韦将法拉第的发现与自己的研究结合起来,提出了著名的麦克斯韦方程组,预言了电磁波的存在。
三、研究领域1、静电学:研究静止电荷所产生的电场、电势、电容、电导等性质。
2、静磁学:研究静止磁场以及磁体和电流所产生的磁场和磁场分布。
3、电磁感应:研究变化的磁场和电场以及它们之间的相互作用和变化规律。
4、电磁波:研究电磁波的产生、传播、散射、反射和吸收等性质以及在各种介质中的行为。
四、应用电磁学在现实生活中有着广泛的应用,如:1、电力工业:利用电磁感应原理发电、输电和用电。
2、通信工程:利用电磁波传递信息,包括无线电通信、微波通信、光纤通信等。
3、电子技术:利用电磁学原理制造电子设备,如电视机、计算机、雷达等。
4、磁悬浮技术:利用磁力使物体悬浮,减少摩擦和能耗。
5、医学成像:利用电磁波和磁场进行医学诊断和治疗。
大学物理电磁学基础知识点汇总一、电场1、库仑定律库仑定律描述了真空中两个静止点电荷之间的相互作用力与它们电荷量的乘积成正比,与它们之间距离的平方成反比,作用力的方向沿着它们的连线。
其表达式为:$F = k\frac{q_1q_2}{r^2}$,其中$k$为库仑常量,$q_1$和$q_2$为两个点电荷的电荷量,$r$为它们之间的距离。
2、电场强度电场强度是描述电场力的性质的物理量,定义为单位正电荷在电场中所受到的力。
其表达式为:$E =\frac{F}{q}$。
对于点电荷产生的电场,其电场强度的表达式为:$E = k\frac{q}{r^2}$,方向沿径向向外(正电荷)或向内(负电荷)。
3、电场线电场线是用来形象地描述电场的一种工具。
电场线的疏密表示电场强度的大小,电场线的切线方向表示电场强度的方向。
静电场的电场线不闭合,始于正电荷或无穷远,终于负电荷或无穷远。
4、电通量电通量是通过某一面积的电场线条数。
对于匀强电场,通过平面的电通量为:$\Phi = ES\cos\theta$,其中$E$为电场强度,$S$为平面面积,$\theta$为电场强度与平面法线的夹角。
5、高斯定理高斯定理表明,通过闭合曲面的电通量等于该闭合曲面所包围的电荷量的代数和除以$\epsilon_0$。
即:$\oint_S E\cdot dS =\frac{1}{\epsilon_0}\sum q$。
高斯定理是求解具有对称性电场分布的重要工具。
二、电势1、电势电势是描述电场能的性质的物理量,定义为把单位正电荷从电场中某点移动到参考点(通常取无穷远处)时电场力所做的功。
某点的电势等于该点到参考点的电势差。
点电荷产生的电场中某点的电势为:$V = k\frac{q}{r}$。
2、等势面等势面是电势相等的点构成的面。
等势面与电场线垂直,沿电场线方向电势降低。
3、电势差电场中两点之间的电势之差称为电势差,也称为电压。
其表达式为:$U_{AB} = V_A V_B$。